DOI: https://doi.org/10.5194/nhess-25-77-2025
تاريخ النشر: 2025-01-06
تمت المراجعة: 23 أغسطس 2024 – تم القبول: 6 سبتمبر 2024 – تم النشر: 6 يناير 2025
الملخص
تزداد أحداث الجفاف والحرارة في أوروبا بشكل متكرر بسبب تغير المناخ الناجم عن الأنشطة البشرية، مما يؤثر على رفاهية الإنسان ووظائف النظام البيئي. تختلف شدة وتأثيرات هذه الأحداث عبر القارة، مما يجعل من الضروري لصانعي القرار فهم التباين المكاني في تأثيرات الجفاف. البيانات المتعلقة بالأضرار الناتجة عن الجفاف موزعة حاليًا عبر المنشورات العلمية والتقارير الحكومية ووسائل الإعلام. تجمع هذه الدراسة البيانات حول أضرار الجفاف والحرارة في الغابات الأوروبية من 2018 إلى 2022، باستخدام مجموعات بيانات شاملة تشمل تلك المتعلقة بتساقط أوراق التاج، وأضرار الحشرات، ومساحات الغابات المحترقة، وفقدان غطاء الأشجار. تم تحليل البيانات، التي تغطي 16 دولة أوروبية، عبر أربع مناطق: الشمالية، والوسطى، والألبية، والجنوبية، ومقارنتها بفترة مرجعية من 2010 إلى 2014.
تكشف النتائج أن الغابات في جميع المناطق شهدت انخفاضًا في الحيوية بسبب الجفاف وارتفاع درجات الحرارة، مع تفاوت في الشدة. أظهرت وسط أوروبا أعلى مستوى من الضعف، مما أثر على كل من الأشجار الصنوبرية والنفضية. بينما تأثرت المنطقة الجنوبية بفقدان غطاء الأشجار، أظهرت مرونة أكبر، على الأرجح بسبب التعرض التاريخي للجفاف. تعاني المنطقة الشمالية من تأثيرات ناشئة أقل حدة، ربما بسبب الأنواع البورالية المتكيفة مع الموقع، بينما أظهرت المنطقة الألبية تأثيرًا ضئيلًا، مما يشير إلى تأثير وقائي للارتفاع.
تشمل الاتجاهات الرئيسية (1) فقدان كبير في غطاء الأشجار في المناطق الشمالية والوسطى والجنوبية؛ (2) مستويات عالية من الأضرار على الرغم من أن عام 2021 كان عامًا متوسطًا، مما يشير إلى آثار دائمة من السنوات السابقة؛ (3) تحديات ملحوظة في المنطقة الوسطى وفي السويد بسبب غزو خنفساء اللحاء؛ و(4) عدم زيادة شدة حرائق الغابات في جنوب أوروبا على الرغم من التحديات المستمرة.
استنادًا إلى هذا التقييم، نستنتج أن (i) الغابات الأوروبية معرضة بشدة للجفاف والحرارة، حتى أن النظم البيئية المرنة معرضة لخطر الأضرار الشديدة؛ (ii) استراتيجيات مخصصة ضرورية للتخفيف من آثار تغير المناخ على الغابات الأوروبية، مع الأخذ في الاعتبار الفروق الإقليمية في أضرار الغابات ومرونتها؛ و(iii) يتطلب الإدارة الفعالة جمع بيانات متناسقة ورصدًا معززًا لمعالجة التحديات المستقبلية بشكل شامل.
1 المقدمة
1.1 المقدمة العامة
حتى إذا تمكنا من البقاء دون عتبة الاحترار العالمي بحلول نهاية القرن الحادي والعشرين (بالنسبة لمستويات ما قبل الصناعة)، من المتوقع أن يكون واحد من كل شهرين صيفيين في أوروبا بنفس حرارة أو أكثر حرارة من صيف 2010، الذي كان واحدًا من أكثر الفصول حرارة في أوروبا حتى الآن.
1.2 النطاق والأهداف ونهج البحث
تم تضمين الأضرار الاستثنائية الناتجة عن حرائق الغابات في عام 2017 في جنوب أوروبا لتوفير سياق للأضرار اللاحقة، وذلك في الفترة من 2018 إلى 2022. بعد عام 2017، تم تنفيذ تدابير إدارة كبيرة في جنوب أوروبا للتخفيف من حرائق الغابات، مما أثر على اتجاهات الأضرار اللاحقة (على سبيل المثال، REA، 2024). لم يتم مناقشة أضرار الغابات في مناطق أخرى لعام 2017 حيث كانت مقارنةً ضئيلة.
| منطقة | دول |
| شمالي | فنلندا (FIN)، السويد (SWE)، النرويج (NOR)، المملكة المتحدة (UK)، أيرلندا (IRL) |
| مركزي | بولندا (POL)، جمهورية التشيك (CZE)، سويسرا (CHE)، النمسا (AUT)، ألمانيا (GER)، هولندا (NLD)، بلجيكا (BEL)، فرنسا (FRA) |
| جبلي | سويسرا، النمسا، إيطاليا، فرنسا |
| جنوبى | إيطاليا، إسبانيا (ESP)، البرتغال (POR) |
2 الظروف الجوية
2.1 حدوث الجفاف والحرارة في أوروبا خلال 2018-2022

ومع ذلك، سادت ظروف حارة وجافة بشكل مستمر خلال ربيع وصيف 2022، مما أدى إلى انخفاض مستويات المياه في التربة (مشابه لعام 2018) وظروف جفاف حرجة على مستوى المنطقة (الشكل 1). خلال صيف 2022، أدت موجات الحرارة وهطول الأمطار المنخفض بشكل استثنائي إلى ظروف جفاف شديدة في وسط أوروبا. وأبرزت الشذوذات الملحوظة في جريان المياه أن جفاف أوروبا في 2022 قد يكون الأسوأ منذ 500 عام (هنلي، 2022؛ شومخر وآخرون، 2024). بين مايو ويوليو 2022، شهدت العديد من المناطق في أوروبا أقوى شذوذات في ارتفاع الجيوإمكانات عند 500 هكتوباسكال منذ عام 1950 (توريتي وآخرون، 2022أ).
2.2 الجفاف والحرارة في المنطقة الشمالية، 2018-2022
الجفاف في أواخر الربيع والصيف (هانسن-باور وآخرون، 2017).
2.3 الجفاف والحرارة في المنطقة الوسطى، 2018-2022
2.4 الجفاف والحرارة في المنطقة الألبية، 2018-2022
2.5 الجفاف والحرارة في المنطقة الجنوبية، 2018-2022
2.6 الجفاف الأوروبي من الماضي إلى المستقبل: تحدي النسبة
استنتاجات حيوية حول شدة الجفاف الحالية في سياق تاريخي.
زاد من شدة حدث الجفاف. أخيرًا، قام فيليب وآخرون (2020) بدراسة جفاف المياه في عام 2018، مشيرين إلى أن الاتجاه مدفوع باتجاهات قوية في درجة الحرارة والإشعاع العالمي بدلاً من اتجاه في هطول الأمطار، مما يؤدي إلى اتجاه عام في التبخر والنتح المحتمل. نظرًا لأن هذه الاتجاهات تتطابق مع نتائج محاكاة نماذج المناخ، يستنتج المؤلفون أن الاتجاه الملحوظ في جفاف الزراعة يمكن أن يُعزى على الأقل جزئيًا إلى تغير المناخ الناتج عن الأنشطة البشرية.
3 أضرار للغابات
خلال موجة الحرارة الشديدة في عام 2003 في وسط وغرب أوروبا، ارتفعت درجات حرارة السطح أقل في الغابات مقارنة بالمناطق غير المشجرة، مما سمح للغابات بالحفاظ على المياه (تويلينغ وآخرون، 2010). هذا “تأثير موصل التاج” هو آلية تكيف، يمكن أن تمنع تضخيم العواقب طويلة الأمد للحرارة الشديدة والجفاف (غرينزويغ وآخرون، 2022). يتطلب فهم كمي للتأثيرات البيوفيزيائية الإقليمية والمحلية لمثل هذه التغيرات في استخدام الأراضي لتمكين تدابير التخفيف والتكيف الفعالة المعتمدة على الأراضي (على سبيل المثال، بيروجيني وآخرون، 2017). ومع ذلك، فإن هذه التأثيرات معقدة وتعتمد بشدة على الظروف المحلية، مما يجعل قياسها تحديًا.
(ليندنر وآخرون، 2010) حيث يتعرض مالكو الغابات، وشركات قطع الأشجار، وغيرهم من أصحاب المصلحة في قطاع الغابات لخسائر كبيرة بسبب انخفاض حجم وجودة الأخشاب (على سبيل المثال، بريكا وآخرون، 2018؛ ديفيز وآخرون، 2020؛ كنوك وآخرون، 2021). يمكن أن تحدث تأثيرات إضافية على الاقتصاديات المحلية والمجتمعات، حيث يعد قطاع الغابات صاحب عمل مهم في العديد من المناطق الريفية في أوروبا، حيث يوظف حوالي 3.6 مليون شخص (الاتحاد الأوروبي-27؛ يوروستات، 2023). علاوة على ذلك، من المحتمل أن تنخفض قيمة المناطق الحرجية إذا انخفضت الأنواع الشجرية ذات القيمة الاقتصادية (هانيوينكل وآخرون، 2013)، ويمكن أن تتأثر الصفات الثقافية والترفيهية للغابات (وينكل وآخرون، 2022).
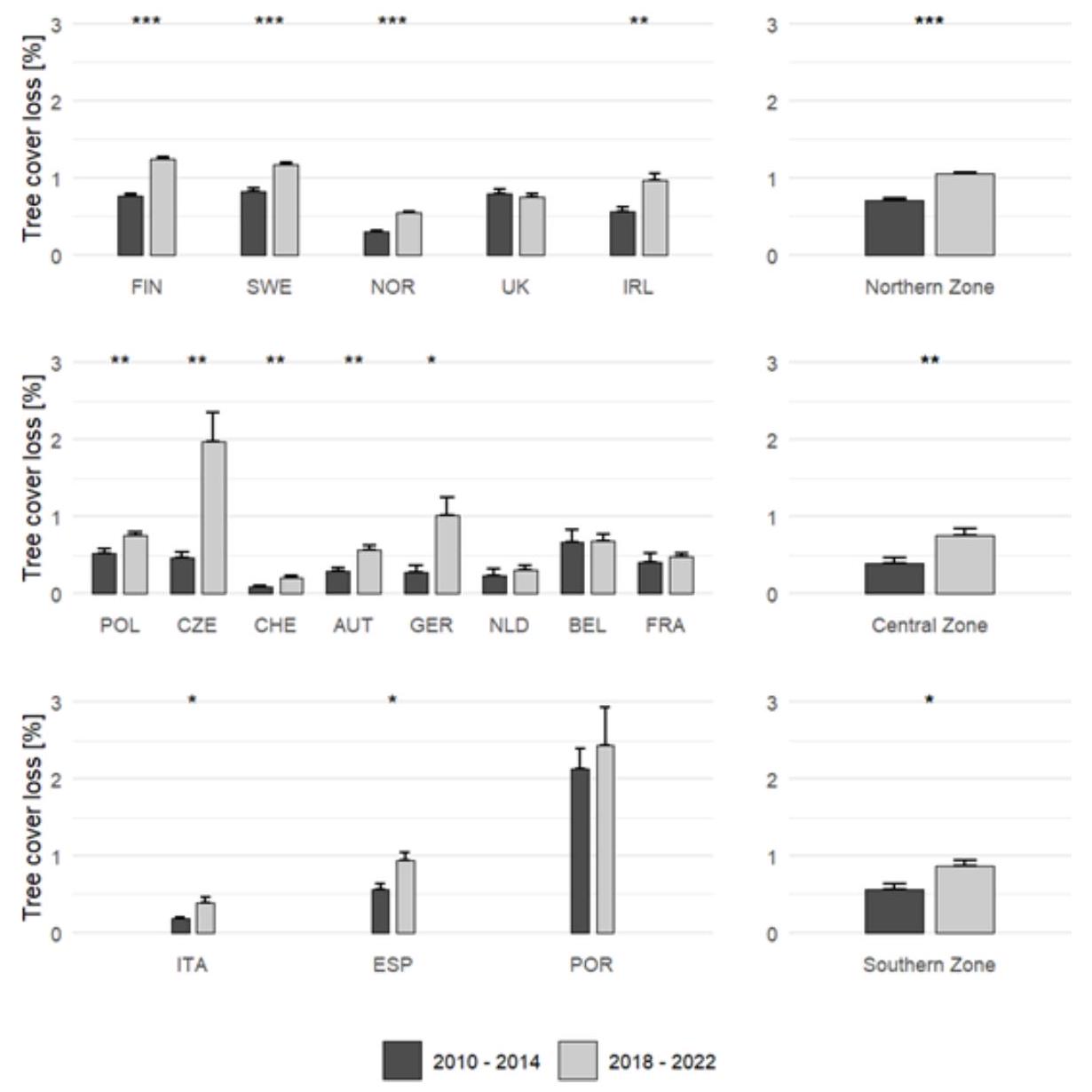
3.1 الأضرار التي لحقت بالغابات في جميع أنحاء أوروبا، 2018-2022



الآفات داخل النظم البيئية للغابات وزيادة الاهتمام بمراقبة أضرار الغابات.

أكثر من 166 مليون يورو. هذا تقدير مشابه كما لو كانت حرائق الغابات في السويد في عام 2014 (14000 هكتار؛ التكاليف 1 مليار كرونة سويدية) قد تم توسيعها لتصل إلى عام 2018 – 160-200 مليون يورو.

نمو
استمرت في السنوات اللاحقة. أدت الظروف الجوية المتطرفة في عام 2020 إلى تفاقم مرض موت الرماد (الذي تسببه الفطريات Hymenoscyphus fraxineus)، مع توقع حدوث وفيات واسعة النطاق في المستقبل (ميشيل وآخرون، 2021). بحلول عام 2021، كانت الفطريات Phytophthora pluvialis تؤثر على الأشجار الناضجة، وأدى الجفاف الشديد في عام 2022 إلى تساقط الأوراق على نطاق واسع (ميشيل وآخرون، 2022؛ أبحاث الغابات، 2022c).
3.3 الأضرار التي لحقت بالغابات في المنطقة الوسطى، 2018-2022
(2019) 58056 هكتار (2020) 34673 هكتار (2021) 20258 هكتار (2022). تم الإبلاغ عن خسائر بسبب درجات الحرارة العالية (حروق، ذبول، تراجع) تؤثر على 80 هكتار (2018)، 340 هكتار (2019)، 2574 هكتار (2020)، 197 هكتار (2021)، و244 هكتار (2022). أدت الجفاف المستمر في بولندا أيضًا إلى انخفاض مستوى السطح ومياه الجوف، فضلاً عن انخفاض نمو الأشجار وحيوية الغابات ومقاومتها للآفات والأمراض (Kwiatkowski et al., 2020). من بين الأنواع المتأثرة بهذه العملية هي البلوط، حيث تم ملاحظة تأثير انخفاض مياه الجوف منذ أواخر الثمانينيات (Przybył, 1989). تؤدي التقلبات الحالية في مياه الجوف إلى إضعاف أشجار البلوط وتسريع تراجعها (Skrzecz et al., 2022)، على سبيل المثال، في هضبة كروتوشين (Danielewicz, 2016).
على الجانب البشري من الحدود، تأثرت منطقة تبلغ مساحتها حوالي 150 هكتار في حديقة سكسون سويسرا الوطنية (DAV، 2022). خلال عقد 2010-2020 في جمهورية التشيك، تقريباً
لقد شهدت معدلات وفيات ضخمة منذ عام 2018 (على سبيل المثال، كونرت، 2019، 2020). في هذه الحالة، بالإضافة إلى الصيف الحار والجاف، يتسبب الفطر Spaeropsis sapinea (أو Diplodia pinea) في تدهور أشجار الصنوبر (ميتي وكولينغ، 2020).
تسجيل الغابات العامة المتضررة أدى إلى حصاد
3.4 الأضرار التي لحقت بالغابات في المنطقة الألبية، 2018-2022
تم الاستثمار في عام 2021. كانت السبب الرئيسي وراء هذا الضرر هو الزيادة الكبيرة في infestations خنفساء اللحاء، حيث انتشرت هذه الآفات الآن حتى خط الأشجار على ارتفاع حوالي 2000 متر فوق مستوى سطح البحر بسبب تغير المناخ (Bundesforste، 2023). بالإضافة إلى ذلك، في مارس 2022، اندلعت حرائق غابات ضخمة في ألينتستيج، النمسا السفلى، حيث احترق حوالي 800 هكتار، بما في ذلك 400 هكتار من الغابات، مما جعلها واحدة من أكبر حرائق الغابات في تاريخ النمسا (Müller، 2022).
3.5 الأضرار التي لحقت بالغابات في المنطقة الجنوبية، 2018-2022
لنهر بو، الذي كان مرتبطًا أيضًا بنقص الثلوج في جبال الألب الإيطالية في ذلك الشتاء (كوهلر وآخرون، 2022). وجدت دراسة تبحث في آثار الجفاف وموجات الحر من 2017-2022 في المناطق الغابية في توسكاني أن أشد الآثار، بما في ذلك تساقط الأوراق والوفيات، لوحظت في الغابات المتوسطية دائمة الخضرة العالية وفي الكوبس القديمة (بلوط هولم؛ بوسوتي وآخرون، 2023). تقترح الدراسة أن تأثير الجفاف المطول في 2022 على الغابات كان يمكن أن يكون أكبر، لكن الأشجار قد تستجيب لتغير المناخ الحالي من خلال التكيف السريع استنادًا إلى التعديلات الجينية (ريكو وآخرون، 2014).
4.3 آثار الجفاف المتراكمة في الغابات – تراكم الأضرار طويلة الأمد بسبب نقص رطوبة التربة
5 المناقشة
التعرض الطويل الأمد للجفاف في المنطقة، والذي قد يكون قد ساهم في تعزيز آليات التكيف وبناء المرونة مع مرور الوقت. في الوقت نفسه، قد يكون التفاوت في حدوث ظروف الجفاف على طول المنطقة الجنوبية قد ساهم أيضًا في التأثير المعتدل. في المنطقة الشمالية، تبدأ أولى آثار الجفاف والحرارة في الظهور، على الرغم من أن الشدة لم تتضح بعد. من المحتمل أن تسهم وجود أنواع الأشجار من الغابات الشمالية المتكيفة مع الموقع في مقاومة المنطقة بشكل عام. أظهرت المنطقة الجبلية أقل تأثير، مما قد يبرز الدور الوقائي المحتمل للارتفاع في التخفيف من آثار التغيرات المناخية المتطرفة.
5.1 المنطقة المركزية
2023). في عام 2019، كانت أكثر من
5.2 المنطقة الجنوبية
الأضرار الناجمة عن الحشرات الحفارة غير متاحة، مما يشير إلى أن الآفات الحشرية قد لا تشكل تهديدًا كبيرًا بين عامي 2018 و2022. ومع ذلك، لوحظ زيادة كبيرة في TCL مقارنة بالفترة المرجعية. لم يكن من الممكن تقييم حدوث حرائق الغابات خلال الفترة من 2018 إلى 2022. ومع ذلك، فإن حرائق الغابات الشديدة بشكل استثنائي في عام 2017 مع خسائر مذهلة، وخاصة في البرتغال، استدعت تضمينها في هذه الدراسة. تمثل الدمار الناجم عن حرائق الغابات تحديًا متزايدًا باستمرار لأوروبا الجنوبية، على الرغم من أن حرائق الغابات عمومًا جزء من النظم البيئية في جنوب غرب أوروبا. تأثرت إيطاليا بشدة بالعاصفة الهوائية فايا في عام 2018. لم نجد زيادة في إصابة الحشرات خلال الفترة من 2018 إلى 2022 ولا في السنوات السابقة. تم الإبلاغ عن تحويل ما يصل إلى
5.3 المنطقة الشمالية
تشير البيانات إلى إمكانية تعرضها لمخاطر الجفاف المستقبلية، مما يبرز الحاجة إلى المراقبة المستمرة وجهود الحفظ. من المهم ملاحظة أن نقص البيانات حول تساقط أوراق التاج للأشجار العريضة يحد من التقييم الشامل للوضع.
لكن، أصبحت مجموعة تكاثر خنفساء لحاء التنوب الأوروبي (Ips typographus) الآن راسخة في جنوب شرق إنجلترا، ومن المحتمل أنها وصلت عن طريق الطيران عبر القناة الإنجليزية بعد انتشار واسع النطاق من أوروبا القارية بسبب الطقس القاسي في 2021-2022 (Inward et al., 2024). وهذا يشكل تهديدًا مستقبليًا للتنوب في المملكة المتحدة، التي هي النوع السائد من الخشب. يجب أيضًا ملاحظة أنه عندما يتعلق الأمر بأضرار الجفاف المسجلة في إنجلترا واسكتلندا في عام 2018، كانت حرائق الغابات تحتل المرتبة الثالثة فقط، بينما كانت التأثيرات على النظم البيئية للمياه العذبة وجودة المياه تحتل مرتبة أعلى (Turner et al., 2021).
5.4 المنطقة الجبلية
عبر جبال الألب، مع ملاحظة تأثيرات أكبر بشكل ملحوظ في المناطق الشمالية من جبال الألب. ذكر إريكسن وهوري (2021) أن حرائق الغابات كانت تقليديًا أكثر شيوعًا على الجانب الجنوبي من جبال الألب، وقد قدمت الدول استراتيجيات أفضل لإدارة حرائق الغابات.
5.5 حرائق الغابات وفقدان الغطاء الشجري
المساحة خلال الفترة من 1996-2021 مقارنة بالفترة من 1971-1995 (Turco et al., 2023). في غرب الولايات المتحدة، أدت التغيرات المناخية وعوامل أخرى إلى مضاعفة المساحة التراكمية للحرائق الغابية منذ عام 1984 (Abatzoglou and Williams, 2016). تشير التوقعات العالمية للقرن الحادي والعشرين إلى أن التغير المناخي سيزيد من سوء ظروف الطقس المتعلقة بالحرائق، مما يؤثر على جزء كبير من الأراضي القابلة للاحتراق في جميع أنحاء العالم (Abatzoglou et al., 2019). تسلط الفجوات الكبيرة في TCL التي لوحظت عبر المناطق الأوروبية بين الفترة الجافة 2018-2022 والفترة المرجعية 2010-2014 الضوء على التفاعلات المعقدة بين الأنشطة البشرية والظواهر الطبيعية والتغير المناخي، مما يبرز أهمية استراتيجيات إدارة الغابات الشاملة للتخفيف من آثار التغيرات البيئية على نظم الغابات البيئية. إن تزايد تكرار وشدة الأحداث المناخية المتطرفة مثل العواصف والجفاف والحرائق البرية يشكل تهديدات كبيرة لصحة الغابات ومرونتها. ومع ذلك، فإن الغابات تتعرض لضغوط متزايدة، ليس فقط من الظروف المناخية المتطرفة ولكن أيضًا من الأنشطة البشرية مثل قطع الأشجار وإزالة الغابات والتحضر، مما يبرز الحاجة الملحة لاتخاذ تدابير استباقية لمعالجة هذه التحديات. هناك حاجة إلى مزيد من البحث لفهم المحركات المحددة وراء الفجوات في التقارير وتطوير تدخلات مستهدفة للحفاظ على الغابات وإدارتها بشكل مستدام.
5.6 الاتجاهات المستقبلية، والتغذية الراجعة البيوفيزيائية، وتأثيراتها على الغابات
من المتوقع أن تزداد أنظمة الاضطراب مع استمرار الاحترار العالمي، مما يؤدي إلى زيادة خسائر الكتلة الحيوية للغابات بسبب سقوط الأشجار، والحرائق، وتفشي الحشرات (فورزيري وآخرون، 2021؛ باتاكا وآخرون، 2023).
6 الاستنتاجات
- الغابات الأوروبية معرضة بشدة للحرارة والجفاف، حتى أن النظم البيئية التي تعتبر حاليًا مرنة معرضة لخطر كبير من الأضرار الشديدة في العقود القادمة.
- يجب دمج التباين الجغرافي في توزيع أضرار الغابات في استراتيجيات على مستوى أوروبا للتخفيف الفعال من الآثار المستقبلية.
- تسلط الدراسة الضوء على التحديات في جمع البيانات وتبرز ضرورة وجود بيانات موحدة ومراقبة محسنة لمواجهة التحديات البيئية المستقبلية بشكل فعال.
- مثل اختيار الأنواع، والتخفيف، أو الحرق الموصوف جنبًا إلى جنب مع تدابير التكيف المناخي، وأنظمة الإنذار المبكر، واستراتيجيات تقليل مخاطر الحرائق. سيكون تعزيز مرونة الغابات من خلال هذه التدابير على نطاق إقليمي أمرًا حيويًا في معالجة التحديات البيئية المستقبلية بشكل فعال.
References
Abatzoglou, J. T., Williams, A. P., and Barbero, R.: Global emergence of anthropogenic climate change in fire weather indices, Geophys. Res. Lett., 46, 326-336, https://doi.org/10.1029/2018GL080959, 2019.
Aeschbach-Hertig, W. and Gleeson, T.: Regional strategies for the accelerating global problem of groundwater depletion, Nat. Geosci., 5, 853-861, https://doi.org/10.1038/ngeo1617, 2012.
Agrar-&Forstbericht Südtirol: Bericht über das Jahr 2021, https://www.provinz.bz.it/land-forstwirtschaft/landwirtschaft/ publikationen.asp?publ_action=300&publ_image_id=616940 (last access: 30 October 2024), 2021.
AIEF: Memoria del Inventario Español de Especies Terrestres, https://www.miteco.gob.es/es/biodiversidad/temas/ inventarios-nacionales/es-00-memoria-19-dist_tcm30-524045. pdf (last access: 19 November 2024), 2019.
AIEF: Informe de Estado de la Diversidad Forestal en España, https://www.miteco.gob.es/es/biodiversidad/temas/ inventarios-nacionales/idf2020_tcm30-524136.pdf (last access: 19 November 2024), 2020.
Albrich, K., Seidl, R., Rammer, W., and Thom, D.: From sink to source: changing climate and disturbance regimes could tip the 21st century carbon balance of an unmanaged mountain forest landscape, Forestry, 96, 399-409, https://doi.org/10.1093/forestry/cpac022, 2023.
Allen, C. D., Macalady, A. K., Chenchouni, H., Bachelet, D., McDowell, N., Vennetier, M., Kitzberger, T., Rigling, A., Breshears, D. D., Hogg, E. H. (Ted), Gonzalez, P., Fensham, R., Zhang, Z., Castro, J., Demidova, N., Lim, J.-H., Allard, G., Running, S. W., Semerci, A., and Cobb, N.: A global overview of drought and heat-induced tree mortality reveals emerging climate change risks for forests, Forest Ecol. Manage., 259, 660-684, https://doi.org/10.1016/j.foreco.2009.09.001, 2010.
Allen, C. D., Breshears, D. D., and McDowell, N. G.: On underestimation of global vulnerability to tree mortality and forest die-off from hotter drought in the Anthropocene, Ecosphere, 6, 1-55, https://doi.org/10.1890/ES15-00203.1, 2015.
Alpconv: The Alps in 25 Maps: https://www.alpconv.org/fileadmin/ user_upload/Publications/25maps.pdf (last access: 28 November 2024), 2018.
AON: Weather, Climate, and Catastrophe Insight, https://www.aon.com/reinsurance/getmedia/ 1b516e4d-c5fa-4086-9393-5e6afb0eeded/ 20220125-2021-weather-climate-catastrophe-insight.pdf (last access: 30 October 2024), 2018.
APA: Seca, https://rea.apambiente.pt/content/seca (last access: 27 June 2023), 2023.
Bader, S., Collaud Coen, M., Duguay-Tetzlaff, A., Frei, C., Fukutome, S., Gehrig, R., Maillard Barras, E., Martucci, G., Romanens, G., Scherrer, S., Schlegel, T., Spirig, Ch., Stübi, R., Vuilleumier, L., and Zubler, E.: Klimareport 2018, Berichte & Bulletins, Bundesamt für Meteorologie und Klimatologie MeteoSchweiz, Bern, Switzerland, ISSN 2296-1488, 2019.
Banerjee, T., De Roo, F., and Mauder, M.: Explaining the convector effect in canopy turbulence by means of largeeddy simulation, Hydrol. Earth Syst. Sci., 21, 2987-3000, https://doi.org/10.5194/hess-21-2987-2017, 2017.
Bakke, S. J., Ionita, M., and Tallaksen, L. M.: The 2018 northern European hydrological drought and its drivers in a historical perspective, Hydrol. Earth Syst. Sci., 24, 5621-5653, https://doi.org/10.5194/hess-24-5621-2020, 2020.
Bakke, S. J., Ionita, M., and Tallaksen, L. M.: Recent European drying and its link to prevailing large-scale atmospheric patterns, Sci. Rep., 13, 21921, https://doi.org/10.1038/s41598-023-488614, 2023.
Bardalen, A., Pettersen, I., Dombu, S. V., Rosnes, O., Mittenzwei, K., and Skulstad, A.: Klimaendring utfordrer det norske matsystemet. Kunnskapsgrunnlag for vurdering av klimarisiko i verdikjeder med matsystemet som case, NIBIO rapport 8 (110), https://hdl.handle.net/11250/3013268 (last access: 27 November 2024), 2022.
BBC: Droughts in England and their impacts, BBC News, https: //www.bbc.com/news/uk-england-lancashire-44853173 (last access: 14 March 2023), 2018.
Beguería, S., Vicente-Serrano, S. M., Reig, F., and Latorre, B.: Standardized precipitation evapotranspiration index (SPEI) revisited: parameter fitting, evapotranspiration models, tools, datasets and drought monitoring, Int. J. Climatol., 33, 2308-2319, 2013.
Beloiu, M., Stahlmann, R., and Beierkuhnlein, C.: Drought impacts in forest canopy and deciduous tree saplings in Central European forests, Forest Ecol. Manag., 509, 120075, https://doi.org/10.1016/j.foreco.2022.120075, 2022.
Bento, V. A., Ribeiro, A. F., Russo, A., Gouveia, C. M., Cardoso, R. M., and Soares, P. M.: The impact of climate change in wheat and barley yields in the Iberian Peninsula, Sci. Rep., 11, 1-12, 2021.
BFW: Borkenkaefer und Sturmschäden in Österreich bis 2020, https://www.bfw.gv.at/wp-content/uploads/Abb_Borkenkaefer_ SturmSchnee_bis2020_Oesterreich.pdf (last access: 15 November 2024), 2020.
BFW: Borkenkäferbefall in Südösterreich, https://www.bfw.gv.at/pressemeldungen/borkenkaefer-fichtenwaelder-im-sueden-oesterreichs-stark-betroffen/ (last access: 15 November 2024), 2023.
Blunden, J. and Arndt, D. S.: State of the Climate in 2018, B. Am. Meteorol. Soc., 100, Si-S306, https://doi.org/10.1175/2019BAMSStateoftheClimate.1, 2019.
Bundesforste: Waldbilanz 2022, https://www.bundesforste.at/service-presse/presse/pressedetail/news/bundesforste-waldbilanz-2022-gepraegt-von-hitze-trockenheit-und-kaefer.html (last access: 15 November 2024), 2023.
BMEL: Ergebnisse der Waldzustandserhebung 2019, https://www.bmel.de/SharedDocs/Downloads/DE/_Wald/ ergebnisse-waldzustandserhebung-2019.pdf?_blob= publicationFile&
BMEL: Internationaler Tag des Waldes 2021, https://www.bmel. de/DE/themen/wald/waelder-weltweit/tag-des-waldes.html (last access: 19 November 2024), 2023b.
Bork, K., Triebenbacher, C., and Hahn, A.: Schadholz muss schnell raus, BLW, 5, 48-50, 2024.
Bonaldo, D., Bellafiore, D., Ferrarin, C., Ferretti, R., Ricchi, A., Sangelantoni, L., and Vitelletti, M. L.: The summer 2022 drought: a taste of future climate for the Po valley (Italy)?, Reg. Environ. Change, 23, 1, https://doi.org/10.1007/s10113-022-02004-z, 2023.
Brás, T. A., Seixas, J., Carvalhais, N., and Jägermeyr, J.: Severity of drought and heatwave crop losses tripled over the last five decades in Europe, Environ. Res. Lett., 16, 065012, https://doi.org/10.1088/1748-9326/abf004, 2021.
Breil, M., Rechid, D., Davin, E. L., de Noblet-Ducoudré, N., Katragkou, E., Cardoso, R. M., Hoffmann, P., Jach, L. L., Soares, P. M. M., Sofiadis, G., Strada, S., Strandberg, G., Tölle, M. H., and Warrach-Sagi, K.: The opposing effects of reforestation and afforestation on the diurnal temperature cycle at the surface and in the lowest atmospheric model level in the European summer, J. Climate, 33, 9159-9179, 2020.
Brun, P., Psomas, A., Ginzler, C., Thuiller, W., Zappa, M., and Zimmermann, N. E.: Large-scale early-wilting response of Central European forests to the 2018 extreme drought, Glob. Change Biol., 26, 7021-7035, 2020.
Büntgen, U., Urban, O., Krusic, P. J., Rybníček, M., Kolář, T., Kyncl, T., Ač, A., Koňasová, E., Čáslavský, J., Esper, J., Wagner, S., Saurer, M., Tegel, W., Dobrovolný, P., Cherubini, P., Reinig, F., and Trnka, M.: Recent European drought extremes beyond Common Era background variability, Nat. Geosci., 14, 190-196, 2021.
Buras, A., Meyer, B., and Rammig, A.: Record reduction in European forest canopy greenness during the 2022 drought, EGU General Assembly 2023, Vienna, Austria, 24-28 April 2023, EGU23-8927, https://doi.org/10.5194/egusphere-egu238927, 2023.
Bussotti, F., Papitto, G., Di Martino, D., Cocciufa, C., Cindolo, C., Cenni, E., Bettini, D., Iacopetti, G., and Pollastrini, M.: Le condizioni delle foreste italiane stanno peggiorando a causa di eventi climatici estremi? Evidenze dalle reti di monitoraggio nazionali ICP Forests – CON.ECO.FOR., Forest@, 19, 74-81, https://doi.org/10.3832/efor4134-019, 2022.
Bussotti, F., Bettini, D., Carrari, E., Selvi, F., and Pollastrini, M.: Cambiamenti climatici in atto: osservazioni sugli impatti degli eventi siccitosi sulle foreste toscane, Forest@, 20, 1-9, https://doi.org/10.3832/efor4224-019, 2023.
Caesar, L., Rahmstorf, S., Robinson, A., Feulner, G., and Saba, V.: Observed fingerprint of a weakening Atlantic Ocean overturning circulation, Nature, 556, 191-196, https://doi.org/10.1038/s41586-018-0006-5, 2018.
Christidis, N., and Stott, P. A.: The influence of anthropogenic climate change on wet and dry summers in Europe, Sci. Bull., 66, 813-823, https://doi.org/10.1016/j.scib.2021.01.020, 2021.
CIPRA: Bergwald im Klimawandel, https://www.cipra.org/de/ news/bergwald-im-klimawandel (last access: 15 November 2024), 2022.
CIW: Evaluatierapport waterschaarste en droogte 2019, https://www.integraalwaterbeleid.be/nl/nieuws/downloads-van-nieuwsberichten/evaluatierapport-waterschaarste-en-droogte2019 (last access: 16 August 2024), 2020.
CIW: Evaluatierapport waterschaarste en droogte 2020, https: //www.integraalwaterbeleid.be/nl/overleg/droogtecommissie/ evaluatierapport-waterschaarste-en-droogte-2020-1 (last access: 16 August 2024), 2021.
Copernicus: Mapping of emergency response for the 2023 floods, https://emergency.copernicus.eu/mapping/list-of-components/ EMSR281 (last access: 15 November 2024), 2023.
Cartwright, J. M., Littlefield, C. E., Michalak, J. L., Lawler, J. J., and Dobrowski, S. Z.: Topographic, soil, and climate drivers of drought sensitivity in forests and shrublands of the Pacific Northwest, USA, Sci. Rep., 10, 18486, https://doi.org/10.1038/s41598-020-75273-5, 2020.
Daloz, A. S., Schwingshackl, C., Mooney, P., Strada, S., Rechid, D., Davin, E. L., Katragkou, E., de Noblet-Ducoudré, N., Belda, M., Halenka, T., Breil, M., Cardoso, R. M., Hoffmann, P., Lima, D. C. A., Meier, R., Soares, P. M. M., Sofiadis, G., Strandberg, G., Toelle, M. H., and Lund, M. T.: Land-atmosphere interactions in sub-polar and alpine climates in the CORDEX flagship pilot study Land Use and Climate Across Scales (LUCAS) models Part 1: Evaluation of the snow-albedo effect, The Cryosphere, 16, 2403-2419, https://doi.org/10.5194/tc-16-2403-2022, 2022.
Davies, G. M., Gray, A., Rein, G., and Legg, C. J.: Peat consumption and carbon loss due to smouldering wildfire in a temperate peatland, Forest Ecol. Manag., 308, 169-177, https://doi.org/10.1016/j.foreco.2013.07.001, 2013.
Davies, S., Bathgate, S., Petr, M., Gale, A., Patenaude, G., and Perks, M.: Drought risk to timber production A risk versus return comparison of commercial conifer species in Scotland, Forest Policy Econ., 117, 102189, https://doi.org/10.1016/j.forpol.2020.102189, 2020.
Davin, E. L., Rechid, D., Breil, M., Cardoso, R. M., Coppola, E., Hoffmann, P., Jach, L. L., Katragkou, E., de Noblet-Ducoudré, N., Radtke, K., Raffa, M., Soares, P. M. M., Sofiadis, G., Strada, S., Strandberg, G., Tölle, M. H., Warrach-Sagi, K., and Wulfmeyer, V.: Biogeophysical impacts of forestation in Europe: first results from the LUCAS (Land Use and Climate Across Scales) regional climate model intercomparison, Earth
DAV: Waldbrand und Klima, https://magazin. alpenverein.de/artikel/waldbrand-klima-mensch_ a8c8fe7a-67c8-417c-9e65-95835ba16f17 (last access: 19 November 2024), 2022.
de Noblet-Ducoudré, N., Boisier, J. P., Pitman, A., Bonan, G. B., Brovkin, V., Cruz, F., and Voldoire, A.: Determining robust impacts of land-use-induced land cover changes on surface climate over North America and Eurasia: results from the first set of LUCID experiments, J. Climate, 25, 3261-3281, https://doi.org/10.1175/JCLI-D-11-00338.1, 2012.
DAERA: Wildfire damage across Mournes assessed by DAERA and partner agencies, https://www.daera-ni.gov.uk/news/wildfire-damage-across-mournes-assessed-by-daera-and-partner-agencies (last access: 19 November 2024), 2022.
Desiato, F., Fioravanti, G., Fraschetti, P., Perconti, W., Piervitali, E., and Pavan, V.: Gli indicatori del clima in Italia nel 2018 – ISPRA Report, https://www.isprambiente.gov.it/it/pubblicazioni/ stato-dellambiente/gli-indicatori-del-clima-in-italia-nel-2018 (last access: 24 July 2022), 2018.
DFWR: Schäden durch Fowi, https://dfwr.de/wp-content/uploads/ 2022/01/DFWR-Position-Schaeden-Fowi-Langfassung-Studie. pdf (last access: 15 August 2024), 2021.
Drouard, M., Kornhuber, K., and Woollings, T.: Disentangling dynamic contributions to summer 2018 anomalous weather over Europe, Geophys. Res. Lett., 46, 12537-12546, https://doi.org/10.1029/2019GL084601, 2019.
Dubach, V., Beenken, L., Bader, M., Odermatt, O., Stroheker, S., Hölling, D., treenet, Vögtli, I., Augustinus, B. A., and Queloz, V.: Protection des forêts – Vue d’ensemble 2020, WSL Ber. 110, 57 p., https://doi.org/10.3929/ethz-a-004498101, 2021.
Duchez, A., Frajka-Williams, E., Josey, S. A., Evans, D. G., Grist, J. P., Marsh, R., McCarthy, G. D., Sinha, B., Berry, D. I., and Hirschi, J. J.-M.: Drivers of exceptionally cold North Atlantic Ocean temperatures and their link to the 2015 European heat wave, Environ. Res. Lett., 11, 074004, https://doi.org/10.1088/1748-9326/11/7/074004, 2016.
DESTATIS: Holzernte 2019, https://www.destatis.de/DE/ Presse/Pressemitteilungen/2020/07/PD20_N041_412.html#: ~:text=ImJahr2019wurden46, warenes54MillionenKubikmeter (last access: 15 November 2024), 2020.
DESTATIS: Holzeinschlag, https://www.destatis.de/DE/Themen/ Branchen-Unternehmen/Landwirtschaft-Forstwirtschaft-Fischerei/Wald-Holz/aktuell-holzeinschlag.html (last access: 15 November 2024), 2023.
Dittus, A. J., Collins, M., Sutton, R., and Hawkins, E.: Reversal of projected European summer precipitation decline in a stabilizing climate, Geophys. Res. Lett., 51, e2023GL107448, https://doi.org/10.1029/2023GL107448, 2024.
Dolomitenstadt: 220 Mio. Borkenkäfer gingen in Osttirol in die Falle, https://www.dolomitenstadt.at/2022/08/03/ 220 -mio-borkenkaefer-gingen-in-osttirol-in-die-falle/ (last access: 15 November 2024), 2023.
Dobor, L., Hlásny, T., and Zimová, S.: Contrasting vulnerability of monospecific and species-diverse forests to wind and bark beetle disturbance: The role of management, Ecol. Evol., 10, 1223312245, 2020b.
DSB: Skogbrannsesongen 2018, https://www.dsb.no/globalassets/ dokumenter/rapporter/skogbrannsesongen_2018_nn.pd (last access: 19 October 2024), 2019.
DWD: https://www.dwd.de/DE/wetter/thema_des_tages/2022/4/ 20.html (last access: 15 November 2024), 2022.
EC-JRC Drought Reports, https://joint-research-centre.ec. europa.eu/european-and-global-drought-observatories/ drought-reports_en (last access: 21 August 2024), 2024.
EFFIS: Annual Statistics for UK, https://effis.jrc.ec.europa.eu/apps/ effis.statistics/estimates (last access: 20 March 2023), 2023a.
EFFIS: Annual Statistics for Ireland, https://effis.jrc.ec.europa. eu/apps/effis.statistics/estimates (last access: 20 March 2023), 2023b.
Eriksen, C. and Hauri, A.: Climate Change in the Swiss Alps, CSS Analyses in Security Policy, 290, https://doi.org/10.3929/ethz-b000496457, 2021.
EUFORGEN: Pinus cembra, https://www.euforgen.org/species/ pinus-cembra (last access: 22 August 2024), 2024.
European Commission, Libertà, G., Vivancos, T., Leray, T., Costa, H., San-Miguel-Ayanz, J., Branco, A., Durrant, T., Lana, F., Nuijten, D., Ahlgren, A., Löffler, P., Ferrari, D., De Rigo, D., Boca, R., and Maianti, P.: Forest fires in Europe, Middle East and North Africa 2017, Publ. Off. EU, https://doi.org/10.2760/663443, 2018.
EUROSTAT: Latest statistics on forest and wood products, https://ec.europa.eu/eurostat/web/products-eurostat-news/w/ edn-20230321-1 (last access: 24 April 2023), 2023.
Euwid: Sweden assuming
Fan, Y., Miguez-Macho, G., Jobbágy, E. G., Jackson, R. B., and Otero-Casal, C.: Hydrologic regulation of plant rooting depth, P. Natl. Acad. Sci., 114, 10572-10577, https://doi.org/10.1073/pnas.1712381114, 2017.
Feller, U., Kingston-Smith, A. H., and Centritto, M.: Editorial: abiotic stresses in agroecology: a challenge for whole plant physiology, Front. Environ. Sci., 5, 13, https://doi.org/10.3389/fenvs.2017.00013, 2017.
Feuerwehrverband: Rekord-Waldbrandsommer 2022: Fast 4300 Hektar Wald verbrannt – Waldeigentümer und Feuerwehren
fordern finanzielle Unterstützung für Präventionsmaßnahmen, https://www.feuerwehrverband.de/rekord-waldbrandsommer-2022-fast-4300-hektar-wald-verbrannt-waldeigentuemer-und-feuerwehren-fordern-finanzielle-unterstuetzung-fuerpraeventionsmassnahmen/ (last access: 15 November 2024), 2022.
Feurdean, A., Vannière, B., Finsinger, W., Warren, D., Connor, S. C., Forrest, M., Liakka, J., Panait, A., Werner, C., Andrič, M., Bobek, P., Carter, V. A., Davis, B., Diaconu, A.-C., Dietze, E., Feeser, I., Florescu, G., Gałka, M., Giesecke, T., Jahns, S., Jamrichová, E., Kajukało, K., Kaplan, J., Karpińska-Kołaczek, M., Kołaczek, P., Kuneš, P., Kupriyanov, D., Lamentowicz, M., Lemmen, C., Magyari, E. K., Marcisz, K., Marinova, E., Niamir, A., Novenko, E., Obremska, M., Pędziszewska, A., Pfeiffer, M., Poska, A., Rösch, M., Słowiński, M., Stančikaitė, M., Szal, M., Święta-Musznicka, J., Tanţău, I., Theuerkauf, M., Tonkov, S., Valkó, O., Vassiljev, J., Veski, S., Vincze, I., Wacnik, A., Wiethold, J., and Hickler, T.: Fire hazard modulation by long-term dynamics in land cover and dominant forest type in eastern and central Europe, Biogeosciences, 17, 1213-1230, https://doi.org/10.5194/bg-17-1213-2020, 2020.
Forest health: https://assets.gov.ie/136864/6a39a3ce-3f1d-461b-bbd9-7dd9bf7da570.pdf (last access: 15 November 2024), 2021.
Forest Research: A review of the evidence base on tree health and pests, https://cdn.forestresearch.gov.uk/2008/01/fcrn101.pdf (last access: 20 March 2023), 2008.
Forest Research: Public Opinion of Forestry 2019 – Northern Ireland, https://cdn.forestresearch.gov.uk/2022/03/pof2020ni.pdf (last access: 20 March 2023), 2019.
Forest Research: Public Opinion of Forestry 2021: UK and England, https://cdn.forestresearch.gov.uk/2022/02/pof_uk_eng_2021.pdf (last access: 20 March 2023), 2021.
Forest Research: Provisional Woodland Statistics 2022, https://cdn. forestresearch.gov.uk/2022/06/PWS-statsnotice-16jun22.pdf (last access: 20 March 2023), 2022a.
Forest Research: Forestry Statistics 2022, https://www. forestresearch.gov.uk/tools-and-resources/statistics/ forestry-statistics/ (last access: 20 March 2023), 2022b.
Forest Research: Pest and Disease Resources – Phytophthora pluvialis, https://www.forestresearch.gov.uk/tools-and-resources/fthr/ pest-and-disease-resources/phytophthora-pluvialis/ (last access: 20 March 2023), 2022c.
Forest Statistics Ireland: https://www.teagasc.ie/media/website/ crops/forestry/advice/Forest-Statistics-Ireland-2020.pdf (last access: 20 March 2023), 2020.
Forzieri, G., Girardello, M., Ceccherini, G., Spinoni, J., Feyen, L., Hartmann, H., Beck, P. S. A., Camps-Valls, G., Chirici, G., Mauri, A., and Cescatti, A.: Emergent vulnerability to climatedriven disturbances in European forests, Nat. Commun., 12, 1081, https://doi.org/10.1038/s41467-021-21399-7, 2021.
GAN-NIK: Resultados 2021 Red de Evaluacion Fitosanitaria de las Mas, https://www.navarra.es/NR/rdonlyres/ 4FC06980-DB33-40F3-8698-3BC9938F0142/480640/
Garbarino, M., Morresi, D., Urbinati, C., Malandra, F., Motta, R., Sibona, E. M., Vitali, A., and Weisberg, P. J.: Contrasting land use legacy effects on forest landscape dynamics in the Italian Alps and the Apennines, Landscape Ecol., 35, 2679-2694, https://doi.org/10.1007/s10980-020-01013-9, 2020.
García-León, D., Casanueva, A., Standardi, G., Burgstall, A., Flouris, A. D., and Nybo, L.: Current and projected regional economic impacts of heatwaves in Europe, Nat. Commun., 12, 5807, https://doi.org/10.1038/s41467-021-26050-z, 2021.
García-Herrera, R., Garrido-Perez, J. M., Barriopedro, D., Ordóñez, C., Vicente-Serrano, S. M., Nieto, R., Gimeno, L., Sorí, R., and Yiou, P.: The European 2016/17 Drought, J. Climate, 32, 31693187, https://doi.org/10.1175/JCLI-D-18-0331.1, 2019.
Gazol, A. and Camarero, J. J.: Compound climate events increase tree drought mortality across European forests, Sci. Total Environ., 816, 151604, https://doi.org/10.1016/j.scitotenv.2021.151604, 2022.
Gazol, A., Camarero, J. J., Jiménez, J. J., Moret-Fernández, D., López, M. V., Sangüesa-Barreda, G., and Igual, J. M.: Beneath the canopy: Linking drought-induced forest die-off and changes in soil properties, For. Ecol. Manag., 422, 294-302, https://doi.org/10.1016/j.foreco.2018.03.019, 2018.
GeoSphere Austria: Klimamonitoring, https://www.zamg.ac. at/cms/de/klima/klima-aktuell/klimamonitoring/?param=t& period=period-ymd-2024-08-20&ref
Geological Survey of Sweden: Årsredovisning 2017, https: //resource.sgu.se/produkter/broschyrer/arsredovisning-2017.pdf (last access: 15 November 2024), 2017.
George, J. P., Bürkner, P. C., Sanders, T. G., Neumann, M., Cammalleri, C., Vogt, J. V., and Lang, M.: Long-term forest monitoring reveals constant mortality rise in European forests, Plant Biol., 24, 199-209, https://doi.org/10.1111/plb.13430, 2022.
Gliksman, D., Averbeck, P., Becker, N., Gardiner, B., Goldberg, V., Grieger, J., Handorf, D., Haustein, K., Karwat, A., Knutzen, F., Lentink, H. S., Lorenz, R., Niermann, D., Pinto, J. G., Queck, R., Ziemann, A., and Franzke, C. L. E.: Review article: A European perspective on wind and storm damage – from the meteorological background to index-based approaches to assess impacts, Nat. Hazards Earth Syst. Sci., 23, 2171-2201, https://doi.org/10.5194/nhess-23-2171-2023, 2023.
Global Fire Monitoring Center: News, https://gfmc.online/media/ 2018/02-2018/news_20180223_pt.html (last access: 15 November 2024), 2018.
Greenpeace: Un año horribilis para España: incendios, sequía, olas de calor e inundaciones, https://es.greenpeace.org/es/sala-de-prensa/comunicados/2022-un-ano-horribilis-para-espana-incendios-sequia-olas-de-calor-e-inundaciones/ (last access: April 2023), 2022.
Gimbel, K. F., Puhlmann, H., and Weiler, M.: Does drought alter hydrological functions in forest soils?, Hydrol. Earth Syst. Sci., 20, 1301-1317, https://doi.org/10.5194/hess-20-1301-2016, 2016.
Głowacka, B. (Ed.), Hilszczański, J., Jabłoński, T., Łukaszewicz, J., Skrzecz, I., and Tarwacki, G.: Metodyka integrowanej ochrony drzewostanów iglastych, Instytut Badawczy Leśnictwa, ISBN 978-83-62830-28-2, 2013.
Grünig, M., Seidl, R., and Senf, C.: Increasing aridity causes larger and more severe forest fires across Europe, Glob. Change Biol., 29, 1648-1659, https://doi.org/10.1111/gcb.16385, 2023.
Grünzweig, J. M., de Boeck, H. J., Rey, A., Santos, M. J., Adam, O., Bahn, M., Belnap, J., Deckmyn, G., Dekker, S. C., Flores, O., Gliksman, D., Helman, D., Hultine, K. R., Liu, L., Meron, E., Michael, Y., Sheffer, E., Throop, H. L., Tzuk, O., and Yakir, D.: Dryland mechanisms could widely control ecosystem functioning in a drier and warmer world, Nat. Ecol. Evol., 6, 1064-1076, https://doi.org/10.1038/s41559-022-01779-y, 2022.
Gouvernement Français: France Relance – Toutes les mesures du plan de relance national, https://agriculture.gouv.fr/telecharger/ 118602 (last access: 15 November 2024), 2020.
Gunther, M.: Uvanlig barkbilleangrep i Vestfold. Forskning.no https://www.forskning.no/insekter-nibio-partner/ uvanlig-barkbilleangrep-i-vestfold/1319291 (last access: 17 December 2024). 2019.
Haarsma, R. J., Selten, F. M., and Drijfhout, S. S.: Decelerating Atlantic meridional overturning circulation main cause of future west European summer atmospheric circulation changes, Environ. Res. Lett., 10, 094007, https://doi.org/10.1088/17489326/10/9/094007, 2015.
Hanewinkel, M., Cullmann, D. A., Schelhaas, M. J., Nabuurs, G. J., and Zimmermann, N. E.: Climate change may cause severe loss in the economic value of European forest land, Nat. Clim. Change, 3, 203-208, https://doi.org/10.1038/nclimate1687, 2013.
Hari, V., Rakovec, O., Markonis, Y., Hanel, M., and Kumar, R.: Increased future occurrences of the exceptional 2018-2019 Central European drought under global warming, Sci. Rep., 10, 1-10, https://doi.org/10.1038/s41598-020-68872-9, 2020.
Hartick, C., Furusho-Percot, C., Goergen, K., and Kollet, S.: An interannual probabilistic assessment of subsurface water storage over Europe using a fully coupled terrestrial model, Water Resour. Res., 57, e2020WR027828, https://doi.org/10.1029/2020WR027828, 2021.
Hauser, M., Gudmundsson, L., Orth, R., Jézéquel, A., Haustein, K., Vautard, R., van Oldenborgh, G. J., Wilcox, L., and Seneviratne, S. I.: Methods and model dependency of extreme event attribution: The 2015 European drought, Earth’s Future, 5, 1034-1043, https://doi.org/10.1002/2017EF000612, 2017.
Heinze, B.: Bei uns und über dem Gartenzaun: die Entwicklung des Eschentriebsterbens in Österreich im europäischen Kontext, BFW-Praxisinformation Nr. 43, 7-12, Translation: Reneema Hazarika/BFW, https://shop.bfw.ac.at/ bfw-praxisinformation/bfw-praxisinfo-43-2017.html (last access: 19 November 2024), 2017.
Hellwig, J., de Graaf, I. E. M., Weiler, M., and Stahl, K.: Large-Scale Assessment of Delayed Groundwater Responses to Drought, Water Resour. Res., 56, e2019WR025441, https://doi.org/10.1029/2019WR025441, 2020.
Henley, J.: Europe’s rivers run dry as scientists warn drought could be worst in 500 years, https://www.theguardian.com/ environment/2022/aug/ (last access: 27 February 2023), 2022.
Hermann, M., Röthlisberger, M., Gessler, A., Rigling, A., Senf, C., Wohlgemuth, T., and Wernli, H.: Meteorological history of low-forest-greenness events in Europe in 2002-2022, Biogeosciences, 20, 1155-1180, https://doi.org/10.5194/bg-20-11552023, 2023.
Hewelke, E., Oktaba, L., Gozdowski, D., Kondras, M., Olejniczak, I., and Górska, E. B.: Intensity and persistence of soil water repellency in pine forest soil in a temperate continental climate under drought conditions, Water, 10, 1121, https://doi.org/10.3390/w10091121, 2018.
Highland Council: Scotland’s firefighters responded to more than one wildfire a day during spring last year, https://www.highland. gov.uk/news/article/15161/scotland_s_firefighters_responded_ to_more_than_one_wildfire_a_day_during_spring_last_year (last access: 22 March 2023), 2023.
Hicks, L. C., Rahman, M. M., Carnol, M., Verheyen, K., and Rousk, J.: The legacy of mixed planting and precipitation reduction treatments on soil microbial activity, biomass and community composition in a young tree plantation, Soil Biol. Biochem., 124, 227235, https://doi.org/10.1016/j.soilbio.2018.06.022, 2018.
Hlásny, T., Krokene, P., Liebhold, A., Montagné-Huck, C., Müller, J., Qin, H., Raffa, K., Schelhaas, M.-J., Seidl, R., Svoboda, M., and Viiri, H.: Living with bark beetles: impacts, outlook and management options, No. 8, European Forest Institute, https://doi.org/10.36333/fs08, 2019.
Hlásny, T., Zimová, S., Merganičová, K., Štěpánek, P., Modlinger, R., and Turčáni, M.: Devastating outbreak of bark beetles in the Czech Republic: Drivers, impacts, and management implications, For. Ecol. Manag., 490, 119075, https://doi.org/10.1016/j.foreco.2021.119075, 2021.
Holman, I. P., Hess, T. M., Rey, D., and Knox, J. W.: A multi-level framework for adaptation to drought within temperate agriculture, Front. Environ. Sci., 8, 589871, https://doi.org/10.3389/fenvs.2020.589871, 2021.
Hoy, A., Haensel, S., Skalak, P., Ustrnul, Z., and Bochníček, O.: The extreme European summer of 2015 in a long-term perspective, Int. J. Climatol., 37, 943-962, https://doi.org/10.1002/joc.4722, 2017.
Huuskonen, S., Domisch, T., Finér, L., Hantula, J., Hynynen, J., Matala, J., Miina, J., Neuvonen, S., Nevalainen, S., Niemistö, P., Nikula, A., Piria, T., Siitonen, J., Smolander, A., Tonteri, T., Uotila, K., and Viiri, H.: What is the potential for replacing monocultures with mixedspecies stands to enhance ecosystem services in boreal forests in Fennoscandia?, For. Ecol. Manag., 479, 118558, https://doi.org/10.1016/j.foreco.2020.118558, 2021.
Hroššo, B., Mezei, P., Potterf, M., Majdák, A., Blaženec, M., Korolyova, N., and Jakuš, R.: Drivers of Spruce
ICP forests: Annual Report, https://www.icp-forests.org/pdf/ TR2007.pdf (last access: 27 June 2023), 2007.
ICCP: Douville, H., Raghavan, K., Renwick, J., Allan, R. P., Arias, P. A., Barlow, M., Cerezo-Mota, R., Cherchi, A., Gan, T. Y., Gergis, J., Jiang, D., Khan, A., Pokam Mba, W., Rosenfeld, D., Tierney, J., and Zolina, O.: Water Cycle Changes, in: Climate Change 2021: The Physical Science Basis, Contribution of Working Group I to the Sixth Assessment Report of the Intergovernmental Panel on Climate Change, edited by: Masson-Delmotte, V., Zhai, P., Pirani, A., Connors, S. L., Péan, C., Berger, S., Caud, N., Chen, Y., Goldfarb, L., Gomis, M. I., Huang, M., Leitzell, K., Lonnoy, E., Matthews, J. B. R., Maycock, T. K., Waterfield, T., Yelekçi, O., and Yu, R., New York, NY, USA, 1055-1210, https://doi.org/10.1017/9781009157896.010, 2021a.
ICCP: IPCC: Summary for Policymakers, in: Climate Change 2021: The Physical Science Basis, Contribution of Working Group I to the Sixth Assessment Report of the Intergovernmental Panel on Climate Change, edited by: Masson-Delmotte, V., Zhai, P., Pirani, A., Connors, S. L., Péan, C., Berger, S., Caud, N., Chen, Y., Goldfarb, L., Gomis, M. I., Huang, M., Leitzell, K., Lonnoy, E., Matthews, J. B. R., Maycock, T. K., Waterfield, T., Yelekçi, O., Yu, R., and Zhou, B., Cambridge University Press, Cambridge, United Kingdom and New York, NY, USA, 3-32, https://doi.org/10.1017/9781009157896.001, 2021b.
Ilmastokatsaus: Elokuu 2019, https://doi.org/10.35614/ISSN-2341-6408-IK-2019-08-00, 2019.
Ilmastokatsaus: Ilmastovuosikatsaus 2020, https://doi.org/10.35614/ISSN-2341-6408-IVK-2020-00, 2020.
Ilmastokatsaus: Ilmastovuosikatsaus 2021, https://doi.org/10.35614/ISSN-2341-6408-IVK-2021-00, 2021.
Ilmastokatsaus: Ilmastovuosikatsaus 2022, https://doi.org/10.35614/ISSN-2341-6408-IVK-2022-00, 2022.
IMKTRO: Wetter und Klima – Fakten zum Klimawandel – Klimawandel in Mitteleuropa – Niederschlag, https://www.kit.edu/ IMKTRO (last access: 21 August 2024), 2023a.
IMKTRO: Wetter und Klima – Fakten zum Klimawandel – Klimawandel in Mitteleuropa – Temperatur, https://www.kit.edu/ IMKTRO (last access: 21 August 2024), 2023b.
Inward, D. J. G., Caiti, E., Barnard, K., Hasbroucq, S., Reed, K., and Grégoire, J. C.: Evidence of cross-channel dispersal into England of the forest pest Ips typographus, J. Pest Sci., 97, 1823-1837, https://doi.org/10.1007/s10340-024-01763-4, 2024.
Ionita, M. and Nagavciuc, V.: Changes in drought features at the European level over the last 120 years, Nat. Hazards Earth Syst. Sci., 21, 1685-1701, https://doi.org/10.5194/nhess-21-1685-2021, 2021a.
Ionita, M., Dima, M., Nagavciuc, V., Scholz, P., and Dima, M.: Past megadroughts in central Europe were longer, more severe and less warm than modern droughts, Commun. Earth Environ., 2, 61, https://doi.org/10.1038/s43247-021-00130-w, 2021b.
Ionita, M., Nagavciuc, V., Scholz, P., and Dima, M.: Longterm drought intensification over Europe driven by the weakening trend of the Atlantic Meridional Overturning Circulation, J. Hydrol. Reg. Stud., 42, 101176, https://doi.org/10.1016/J.EJRH.2022.101176, 2022.
Jabłoński, T., Tarwacki, G., and Sukovata, L.: Pine forest conditions in Poland in 201-2018, Conf. Pap., Pine forests: current status, existing challenges and ways forward, Kyiv, 2019b.
Jactel, H., Koricheva, J., and Castagneyrol, B.: Responses of forest insect pests to climate change: not so simple, Curr. Opin. Insect Sci., 35, 103-108, https://doi.org/10.1016/j.cois.2019.07.010, 2019.
Jiang, Y., Marchand, W., Rydval, M., Matula, R., Janda, P., Begović, K., Thom, D., Fruleux, A., Buechling, A., Pavlin, J., Nogueira, J., Dušátko, M., Málek, J., Kníř, T., Veber, A., and Svoboda, M.: Drought resistance of major tree species in the Czech Republic, Agric. For. Meteorol., 348, 109933, https://doi.org/10.1016/j.agrformet.2024.109933, 2024.
Karavani, A., Boer, M. M., Baudena, M., Colinas, C., DíazSierra, R., Pemán, J., de Luis, M., Enríquez-de-Salamanca, Á., and Resco de Dios, V.: Fire-induced deforestation in drought-prone Mediterranean forests: drivers and unknowns from leaves to communities, Ecol. Monogr., 88, 141-169, https://doi.org/10.1002/ecm.1285, 2018.
Kautz, M., Peter, F. J., Harms, L., Kammen, S., and Delb, H.: Patterns, drivers and detectability of infestation symptoms following attacks by the European spruce bark beetle, J. Pest Sci., 96, 403414, 2023.
Kendon, M., McCarthy, M., Jevrejeva, S., Matthews, A., Sparks, T., and Garforth, J.: State of the UK Climate 2020, Int. J. Climatol., https://doi.org/10.1002/joc.7285, 2021.
Kendon, M., McCarthy, M., Jevrejeva, S., Matthews, A., Sparks, T., Garforth, J., and Kennedy, J.: State of the UK Climate 2021, Int. J. Climatol., https://doi.org/10.1002/joc.7787, 2022.
Kirchmeier-Young, M. C., Gillett, N. P., Zwiers, F. W., Cannon, A. J., and Anslow, F. S.: Attribution of the influence of humaninduced climate change on an extreme fire season, Earth Fut., 7, 2-10, 2019.
Kirkpatrick Baird, F., Stubbs Partridge, J., and Spray, D.: Anticipating and mitigating projected climate-driven increases in extreme drought in Scotland, 2021-2040, NatureScot Res. Rep., 1228, ISBN 978-1-78391-878-2, 2021.
Knoke, T., Gosling, E., Thom, D., Chreptun, C., Rammig, A., and Seidl, R.: Economic losses from natural disturbances in Norway spruce forests – A quantification using Monte-Carlo simulations, Ecol. Econ., 185, 107046, https://doi.org/10.1016/j.ecolecon.2021.107046, 2021.
Koehler, J., Dietz, A. J., Zellner, P., Baumhoer, C. A., Dirscherl, M., Cattani, L., Vlahović, Ž., Alasawedah, M. H., Mayer, K., Haslinger, K., Bertoldi, G., Jacob, A., and Kuenzer, C.:
Kollet, S. J. and Maxwell, R. M.: Capturing the influence of groundwater dynamics on land surface processes using an integrated, distributed watershed model, Water Resour. Res., 44, 2, https://doi.org/10.1029/2007WR006004, 2008.
Kosenius, A.-K., Tulla, T., Horne, P., Vanha-Majamaa, I., and Kerkelä, L.: Economics of forest fire management and ecosystem services – Cost analysis from North Karelia (in Finnish), PTT Working Papers 165, 54 pp. , ISBN 978-952-224-157-3, 2014.
Kotlarski, S., Gobiet, A., Morin, S., Olefs, M., Rajczak, J., and Samacoïts, R.: 21st Century alpine climate change, Clim. Dynam., 60, 65-86, 2023.
Kozhoridze, G., Korolyova, N., and Jakuš, R.: Norway spruce susceptibility to bark beetles is associated with increased canopy surface temperature in a year prior disturbance, For. Ecol. Manage., 547, 121400, https://doi.org/10.1016/j.foreco.2023.121400, 2023.
Krumm, F., Rigling, A., Bollmann, K., Brang, P., Dürr, C., Gessler, A., Schuck, A., Schulz-Marty, T., and Winkel, G.: Synthesis: Improving biodiversity conservation in European managed forests needs pragmatic, courageous, and regionally-rooted management approaches, European Forest Institute (EFI), Swiss Federal Institute for Forest, Snow and Landscape Research (WSL), 608633, 2020.
Kunert, N.: Das Ende der Kiefer als Hauptbaumart in Mittelfranken, AFZ-Der Wald, 3, 24-25, 2019.
Kunert, N.: Preliminary indications for diverging heat and drought sensitivities in Norway spruce and Scots pine in Central Europe, iForest, 13, 89-96, 2020.
Kurz-Besson, C., Otieno, D., Lobo do Vale, R., Siegwolf, R., Schmidt, M., Herd, A., Nogueira, C., David, T. S., David, J. S., Tenhunen, J., Pereira, J. S., and Chaves, M.: Hydraulic lift in cork oak trees in a savannah-type Mediterranean ecosystem and its contribution to the local water balance, Plant Soil, 282, 361378, https://doi.org/10.1007/s11104-006-0001-5, 2006.
Kurz-Besson, C., Lousada, J. L., Gaspar, M. J., Correia, I., Soares, P. M. M., Cardoso, R. M., Russo, A., Varino, F., Mériaux, C., Trigo, R. M., and Gouveia, C. M.: Effects of recent minimum temperature and water deficit increases on Pinus pinaster radial growth and wood density in Southern Portugal, Front. Plant Sci., 7, 1170, https://doi.org/10.3389/fpls.2016.01170, 2016.
Kwiatkowski, M., Rutkiewicz, A., and Sawicki, A. (Eds.): Klęski żywiołowe w lasach, Instytut Badawczy Leśnictwa, ISBN 978-83-62830-85-5, 2020.
Laaha, G., Gauster, T., Tallaksen, L. M., Vidal, J.-P., Stahl, K., Prudhomme, C., Heudorfer, B., Vlnas, R., Ionita, M., Van Lanen, H. A. J., Adler, M.-J., Caillouet, L., Delus, C., Fendekova, M., Gailliez, S., Hannaford, J., Kingston, D., Van Loon, A. F., Mediero, L., Osuch, M., Romanowicz, R., Sauquet, E., Stagge, J. H., and Wong, W. K.: The European 2015 drought from a hydrological perspective, Hydrol. Earth Syst. Sci., 21, 3001-3024, https://doi.org/10.5194/hess-21-3001-2017, 2017.
Lech, P., Żółciak, A., and Hildebrand, R.: Occurrence of European Mistletoe (Viscum album L.) on Forest Trees in Poland and Its Dynamics of Spread in the Period 2008-2018, Forests, 11, 83, https://doi.org/10.3390/f11010083, 2019.
Lech, P., Zajączkowski, G. (Ed.), Boczoń, A., Hildebrand, R., Kluziński, L., Kowalska, J., Małachowska, J., Wawrzoniak, J., and Zajączkowski, G.: Stan zdrowotny lasów Polski w 2020 roku, Instytut Badawczy Leśnictwa, Sękocin Stary, http://www.gios.gov. pl/monlas/raporty/raport_2020/raport_2020.pdf (last access: 28 November 2024), 2021.
Lehtonen, I. and Venäläinen, A.: Metsäpalokesä 2018 muuttuvassa ilmastossa – poikkeuksellinen vuosi vai uusi normaali?, Finn. Meteorol. Inst. Rep., 2020:2, https://doi.org/10.35614/isbn.9789523361089, 2020.
Lejeune, Q., Davin, E. L., Gudmundsson, L., Winckler, J., and Seneviratne, S. I.: Historical deforestation locally increased the intensity of hot days in northern mid-latitudes, Nat. Clim. Change, 8, 386-390, https://doi.org/10.1038/s41558-018-01402, 2018.
Leuschner, C.: Drought response of European beech (Fagus sylvatica L.) – a review, Perspect. Plant Ecol. Evol. Syst., https://doi.org/10.1016/j.ppees.2020.125576, 2020.
Leverkus, A. B., García Murillo, P., Jurado Doña, V., and Pausas, J. G.: Wildfires: Opportunity for restoration?, Science, 363, 134135, https://doi.org/10.1126/science.aaw2134, 2019.
Li, M., Yao, Y., Simmonds, I., Luo, D., Zhong, L., and Chen, X.: Collaborative impact of the NAO and atmospheric blocking on European heatwaves, with a focus on the hot summer of 2018, Environ. Res. Lett., 15, 114003, https://doi.org/10.1088/17489326/aba6ad, 2020.
Liebhold, A. M., Brockerhoff, E. G., Kalisz, S., Nuñez, M. A., Wardle, D. A., and Wingfield, M. J.: Biological invasions in forest ecosystems, Biol. Invasions, 19, 3437-3458, https://doi.org/10.1007/s10530-017-1450-7, 2017.
Lindner, M., Maroschek, M., Netherer, S., Kremer, A., Barbati, A., Garcia-Gonzalo, J., Marchetti, M.: Climate change impacts, adaptive capacity, and vulnerability of European forest ecosystems, For. Ecol. Manage., 259, 698-709, https://doi.org/10.1016/j.foreco.2009.09.023, 2010.
Locatelli, T., Beauchamp, K., Perks, M., Xenakis, G., Nicoll, B., and Morison, J.: Drought risk in Scottish forests, Forest Research, https://doi.org/10.7488/era/1292, 2021.
López, R., Cano, F. J., Choat, B., Cochard, H., and Gil, L.: Plasticity in vulnerability to cavitation of Pinus canariensis occurs only at the driest end of an aridity gradient, Front. Plant Sci., 7, 769, https://doi.org/10.3389/fpls.2016.00769, 2016.
MAA (Ministère de l’Agriculture et de l’Alimentation): Récolte de bois et production de sciages en 2018, Agreste Chiffres et Données,
MAA (Ministère de l’Agriculture et de l’Alimentation): Récolte de bois et production de sciages en 2019, Agreste Primeur, n
MAA (Ministère de l’Agriculture et de l’Alimentation): Récolte de bois en 2020. Repli de
Mao, J., Nierop, K. G. J., Dekker, S. C., Dekker, L. W., and Chen, B.: Understanding the mechanisms of soil water repellency from nanoscale to ecosystem scale: a review, J. Soils Sediments, 19, 171-185, https://doi.org/10.1007/s11368-018-2195-9, 2019.
Martinez del Castillo, E., Zang, C. S., Buras, A., and Others: Climate-change-driven growth decline of European beech forests, Commun. Biol., 5, 163, https://doi.org/10.1038/s42003-022-03107-3, 2022.
Matías Resina, L., Bose, A. K., Gessler, A., Bolte, A., Bottero, A., Buras, A., and Cailleret, M.: Growth and resilience responses of Scots pine to extreme droughts across Europe depend on predrought growth conditions, Glob. Change Biol., 26, 4521-4537, https://doi.org/10.1111/gcb.15166, 2020.
Matiu, M., Crespi, A., Bertoldi, G., Carmagnola, C. M., Marty, C., Morin, S., Schöner, W., Cat Berro, D., Chiogna, G., De Gregorio, L., Kotlarski, S., Majone, B., Resch, G., Terzago, S., Valt, M., Beozzo, W., Cianfarra, P., Gouttevin, I., Marcolini, G., Notarnicola, C., Petitta, M., Scherrer, S. C., Strasser, U., Winkler, M., Zebisch, M., Cicogna, A., Cremonini, R., Debernardi, A., Faletto, M., Gaddo, M., Giovannini, L., Mercalli, L., Soubeyroux, J.-M., Sušnik, A., Trenti, A., Urbani, S., and Weilguni, V.: Observed snow depth trends in the European Alps: 1971 to 2019, The Cryosphere, 15, 1343-1382, https://doi.org/10.5194/tc-15-1343-2021, 2021.
Melin, M. (Ed.), Terhonen, E. (Ed.), Aarnio, L., Hantula, J., Helenius, P., Henttonen, H., Huitu, O., Härkönen, M., Isberg, T., Kaitera, J., Kasanen, R., Koivula, M., Kuitunen, P., Korhonen, K. T., Laurila, I., Lindberg, H., Linnakoski, R., Luoranen, J., Matala, J., Niemimaa, J., Nuorteva, H., Piri, T., Poimala, A., Poteri, M., Pouttu, A., Siitonen, J., Silver, T., Strandström, M., Uimari, A., Vainio, E., Vanha-Majamaa, I., Vuorinen, M., and Ylioja, T.: Metsätuhot vuonna 2021 (in Finnish), Luonnonvara- ja biotalouden tutkimus 38/2022, Natural Resources Institute Finland, Helsinki, http://urn.fi/URN:ISBN:978-952-380-423-4 (last access: 19 November 2024), 2022.
Merkur: Schloss Neuschwanstein Waldbrand Gefahr, https://www.merkur.de/bayern/schloss-neuschwanstein-waldbrand-tirol-feuer-gefahr-bayern-feuer-trockenheit-grenze-news-91407046.html, last access: 19 February 2024.
Mette, T. and Kölling, C.: Die Zukunft der Kiefer in Franken, LWF Aktuell, 2, 14-17, 2020.
MET Norway: Tørkesommeren 2018, MetINFO, 14, https://www. met.no/publikasjoner/met-info (last access: 15 November 2024), 2019.
Mezei, P., Fleischer, P., Rozkošný, J., Kurjak, D., Dzurenko, M., Rell, S., Lalík, M., and Galko, J.: Weather conditions and host characteristics drive infestations of sessile oak (Quercus petraea) trap trees by oak bark beetles (Scolytus intricatus), For. Ecol. Manage., 503, 119775, https://doi.org/10.1016/j.foreco.2021.119775, 2022.
Michel, A., Prescher, A.-K., and Schwärzel, K. (Eds.): Forest Condition in Europe: The 2019 Assessment, ICP Forests Techni-
cal Report, BFW Austrian Research Centre for Forests, Vienna, ISBN 978-3-903258-17-4, 2019.
Michel, A., Kirchner, T., Prescher, A.-K., and Schwärzel, K. (Eds.): Forest Condition in Europe: The 2020 Assessment, ICP Forests Technical Report, Thünen Institute, https://doi.org/10.3220/ICPTR1606916913000, 2020.
Michel, A., Kirchner, T., Prescher, A.-K., and Schwärzel, K. (Eds.): Forest Condition in Europe: The 2021 Assessment, ICP Forests Technical Report, Thünen Institute, https://doi.org/10.3220/ICPTR1624952851000, 2021.
Michel, A., Kirchner, T., Prescher, A.-K., and Schwärzel, K. (Eds.): Forest Condition in Europe: The 2022 Assessment, ICP Forests Technical Report, Thünen Institute, https://doi.org/10.3220/ICPTR1656330928000, 2022.
Milanovic, S., Markovic, N., Pamucar, D., Gigovic, L., Kostic, P., and Milanovic, S. D.: Forest fire probability mapping in Eastern Serbia: Logistic regression versus random forest method, Forests, 12, 5, https://doi.org/10.3390/f12010005, 2021.
Miljødirektoratet: Klimatiltak i Norge mot 2030: Oppdatert kunnskapsgrunnlag om utslippsreduksjonspotensial, barrierer og mulige virkemidler, Miljødirektoratet: Oslo, https://www.miljodirektoratet.no/publikasjoner/2023/juni-2023/ klimatiltak-i-norge-mot-2030/ (last access: 27 November 2024), 2023.
Moemken, J., Koerner, B., Ehmele, F., Feldmann, H., and Pinto, J. G.: Recurrence of drought events over Iberia. Part II: Future changes using regional climate projections, Tellus A, 74, 262279, https://doi.org/10.16993/tellusa.52, 2022.
Mohr, S., Ehret, U., Kunz, M., Ludwig, P., Caldas-Alvarez, A., Daniell, J. E., Ehmele, F., Feldmann, H., Franca, M. J., Gattke, C., Hundhausen, M., Knippertz, P., Küpfer, K., Mühr, B., Pinto, J. G., Quinting, J., Schäfer, A. M., Scheibel, M., Seidel, F., and Wisotzky, C.: A multi-disciplinary analysis of the exceptional flood event of July 2021 in central Europe – Part 1: Event description and analysis, Nat. Hazards Earth Syst. Sci., 23, 525551, https://doi.org/10.5194/nhess-23-525-2023, 2023.
Möhring, B., Bitter, A., Bub, G., Dieter, M., Dög, M., Hanewinkel, M., Hatzfeld, N., Köhler, J., Ontrup, G., Rosenberger, R., Seintsch, B., and Thoma, F.: Schadenssumme insgesamt 12,7 Mrd. Euro – Abschätzung der ökonomischen Schäden der Extremwetterereignisse der Jahre 2018 bis 2020 in der Forstwirtschaft, Holz-Zentralblatt, 9, 155-158, 2021.
Montanari, A., Nguyen, H., Rubinetti, S., Ceola, S., Galelli, S., Rubino, A., and Zanchettin, D.: Why the 2022 Po River drought is the worst in the past two centuries, Sci. Adv., 9, eadg8304, https://doi.org/10.1126/sciadv.adg8304, 2023.
Mooney, P. A., Rechid, D., Davin, E. L., Katragkou, E., de NobletDucoudré, N., Breil, M., Cardoso, R. M., Daloz, A. S., Hoffmann, P., Lima, D. C. A., Meier, R., Soares, P. M. M., Sofiadis, G., Strada, S., Strandberg, G., Toelle, M. H., and Lund, M. T.: Land-atmosphere interactions in sub-polar and alpine climates in the CORDEX Flagship Pilot Study Land Use and Climate Across Scales (LUCAS) models – Part 2: The role of changing vegetation, The Cryosphere, 16, 1383-1397, https://doi.org/10.5194/tc-16-1383-2022, 2022.
Morcillo, L., Gallego, D., González, E., and Vilagrosa, A.: Forest decline triggered by phloem parasitism-related biotic factors in Aleppo pine (Pinus halepensis), Forests, 10, 608, https://doi.org/10.3390/f10080608, 2019.
Motta, R., Ascoli, D., Corona, P., Marchetti, M., and Vacchiano, G.: Selvicoltura e schianti da vento. Il caso della “tempesta Vaia,” For. J. Silvic. For. Ecol., 15, 94, https://doi.org/10.3832/EFOR2990-015, 2018.
Müller, M. M., Vilà-Vilardell, L., Vacik, H., Mayer, C., Mayr, S., Carrega, P., and Maier, H.: Forest fires in the Alps: State of knowledge, future challenges and options for an integrated fire management, EUSALP Action Group, 8, https://doi.org/10.13140/RG.2.2.15609.42081, 2020.
Müller, M. M.: Rekordbrand TÜPl Allentsteig, https: //fireblog.boku.ac.at/2022/04/12/rekordbrand-tuepl-allentsteig, last access: 12 April 2022.
Müller, L. M. and Bahn, M.: Drought legacies and ecosystem responses to subsequent drought, Glob. Change Biol., 28, 50865103, https://doi.org/10.1111/gcb.16351, 2022.
Nardi, D., Jactel, H., Pagot, E., Samalens, J. C., and Marini, L.: Drought and stand susceptibility to attacks by the European spruce bark beetle: A remote sensing approach, Agric. For. Entomol., 25, 119-129, https://doi.org/10.1111/afe.12533, 2023.
NBI-7: Lerink, B., Schelhaas, M. J., Clerkx, S., Teeuwen, S., Oldenburger, J., and Beerkens, G.: 7e Nederlandse Bosinventarisatie: een gemengde boodschap, Vakblad Natuur Bos Landschap, 19, 8-11, 2022.
Neuvonen, S.: Ilmastonmuutos ja metsien hyönteistuhot (in Finnish), Metsätieteen aikakauskirja, 10498, https://doi.org/10.14214/ma.10498, 2020.
Nevalainen, S. and Pouttu, A. (Eds.): Metsätuhot vuonna 2016 (in Finnish), Luonnonvara- ja biotalouden tutkimus 50/2017, Natural Resources Institute Finland, Helsinki, http://urn.fi/URN: ISBN:978-952-326-447-2 (last access: 15 November 2024), 2017.
Norwegian Center for Climate Services: Observations and weather statistics, https://seklima.met.no/observations/ (last access: 15 November 2024), 2023.
Nuorteva, H. (Ed.): Metsätuhot vuonna 2018, Luonnonvara- ja biotalouden tutkimus 85/2019, Natural Resources Institute Finland, Helsinki, http://urn.fi/URN:ISBN:978-952-326-878-4 (last access: 19 November 2024), 2019 (in Finnish).
Nuorteva, H. (Ed.), Kytö, M. (Ed.), Aarnio, L., Ahola, A., Balázs, A., Elfving, R., Haapanen, M., Hantula, J., Henttonen, H., Huitu, O., Ihalainen, A., Kaitera, J., Kuitunen, P., Kashif, M., Korhonen, K. T., Lindberg, H., Linnakoski, R., Matala, J., Melin, M., Neuvonen, S., Niemimaa, J., Pietilä, V., Piri, T., Poteri, M., Pusenius, J., Silver, T., Strandström, M., Tikkanen, O.-P., Uimari, A., Vanha-Majamaa, I., Viiri, H., Vuorinen, M., and Ylioja, T.: Metsätuhot vuonna 2019 (in Finnish), Luonnonvara- ja biotalouden tutkimus 1/2022, Natural Resources Institute Finland, Helsinki, http://urn.fi/URN:ISBN:978-952-380-348-0 (last access: 19 November 2024), 2022.
NVE: Groundwater observations Norway, July 2018, https://www. senorge.no/ (last access: 15 November 2024), 2023.
NW-FVA: Waldzustandsbericht Niedersachsen 2022, https://www.ml.niedersachsen.de/download/190134/ Waldzustandsbericht_Niedersachsen_2022.pdf (last access: 15 November 2024), 2022.
O’Hanlon, R., Ryan, C., Choiseul, J., Murchie, A. K., and Williams, C. D.: Catalogue of pests and pathogens of trees on the island of Ireland, Biol. Environ. Proc. Roy. Irish Acad., 121B, 21-45, https://doi.org/10.1353/bae.2021.0005, 2021.
Öhrn, P., Berlin, M., Elfstrand, M., Krokene, P., and Jönsson, A. M.: Seasonal variation in Norway spruce response to inoculation with bark beetle-associated bluestain fungi one year after a severe drought, Forest Ecol. Manag., 496, 119443, https://doi.org/10.1016/j.foreco.2021.119443, 2021.
Olefs, M., Formayer, H., Gobiet, A., Marke, T., Schöner, W., and Revesz, M.: Past and future changes of the Austrian climateImportance for tourism, J. Outdoor Recreat. Tour., 34, 100395, https://doi.org/10.1016/j.jort.2021.100395, 2021.
ONF (Office National des Forêts): Forêts publiques françaises: quel nouveau visage?, https://www.onf.fr/onf/lonf-agit/+/8cf:: forets-publiques-francaises-quel-nouveau-visage.html (last access: 15 November 2024), 2020.
ONF (Office National des Forêts): En forêt, la crise des scolytes s’accélère partout en France, https://www.onf.fr/onf/+/2e0:: epidemie-de-scolytes-les-forestiers-de-lonf-sur-le-front.html (last access: 15 November 2024), 2021.
Orwig, D. A. and Abrams, M. D.: Variation in radial growth responses to drought among species, site, and canopy strata, Trees, 11, 474-484, https://doi.org/10.1007/s004680050114, 1997.
Patacca, M., Lindner, M., Lucas-Borja, M. E., Cordonnier, T., Fidej, G., Gardiner, B., and Schelhaas, M. J.: Significant increase in natural disturbance impacts on European forests since 1950, Glob. Change Biol., 29, 1359-1376, https://doi.org/10.1111/gcb.16578, 2023.
Peñuelas, J. and Filella, I.: Deuterium labelling of roots provides evidence of deep water access and hydraulic lift by Pinus nigra in a Mediterranean forest of NE Spain, Environ. Exp. Bot., 49, 201208, https://doi.org/10.1016/S0098-8472(02)00070-9, 2003.
Perugini, L., Caporaso, L., Marconi, S., Cescatti, A., Quesada, B., de Noblet-Ducoudré, N., and Arneth, A.: Biophysical effects on temperature and precipitation due to land cover change, Environ. Res. Lett., 12, 053002, https://doi.org/10.1088/17489326/aa6b3f, 2017.
Peters, W., Bastos, A., Ciais, P., and Vermeulen, A.: A historical, geographical and ecological perspective on the 2018 European summer drought, Philos. T. Roy. Soc. B, 375, 20190505, https://doi.org/10.1098/rstb.2019.0505, 2020.
Pettit, J. M., Voelker, S. L., DeRose, R. J., and Burton, J. I.: Spruce beetle outbreak was not driven by drought stress: Evidence from a tree-ring iso-demographic approach indicates temperatures were more important, Glob. Change Biol., 26, 58295843, https://doi.org/10.1111/gcb.15291, 2020.
Philipp, M., Wegmann, M., and Kübert-Flock, C.: Quantifying the Response of German Forests to Drought Events via Satellite Imagery, Remote Sens., 13, 1845, https://doi.org/10.3390/rs13091845, 2021.
Pilli, R., Vizzarri, M., and Chirici, G.: Combined effects of natural disturbances and management on forest carbon sequestration: the case of Vaia storm in Italy, Ann. For. Sci., 78, 1-18, https://doi.org/10.1007/s13595-021-01043-6, 2021.
Pirtskhalava-Karpova, N., Trubin, A., Karpov, A., and Jakuš, R.: Drought initialised bark beetle outbreak in Central Europe: Meteorological factors and infestation dynamic, Forest Ecol. Manag., 554, 121666, https://doi.org/10.1016/j.foreco.2023.121666, 2024.
Polish Supreme Chamber of Control: https://www.nik.gov.pl/ aktualnosci/zapobieganie-suszy-rolniczej.html, last access: 27 June 2023.
Popkin, G.: Forest fight, Science, 374, 1184-1189, https://doi.org/10.1126/science.acx9733, 2021.
Prieto, I., Armas, C., and Pugnaire, F. I.: Water release through plant roots: new insights into its consequences at the plant and ecosystem level, New Phytol., 193, 830-841, 2012.
Przybyl, K.: Wpływ warunków klimatycznych na zamieranie dębów w Polsce oraz symptomy choroby, Arboretum Kornickie, 34, https://rcin.org.pl/Content/189871/KOR001_148916. pdf (last access: 28 November 2024), 1989 (in Polish).
Rabbel, I., Bogena, H., Neuwirth, B., and Diekkrüger, B.: Using sap flow data to parameterize the Feddes water stress model for Norway Spruce, Water-Sui, 10, https://doi.org/10.3390/w10030279, 2018.
e del settore forestale in Veneto 2020, https://www.reterurale. it/flex/cm/pages/ServeBLOB.php/L/IT/IDPagina/19231 (last access: 15 November 2024), 2019.
Rakovec, O., Samaniego, L., Hari, V., Markonis, Y., Moravec, V., Thober, S., et al.: The 2018-2020 multi-year drought sets a new benchmark in Europe, Earth’s Future, 10, e2021EF002394, https://doi.org/10.1029/2021EF002394, 2022.
REA: https://rea.ec.europa.eu/news/fighting-flames-eu-funded-projects-protecting-forests-fire-destruction-2024-07-23_en, last access: 21 August 2024.
Rechid, D., Davin, E., de Noblet-Ducoudré, N., and Katragkou, E.: CORDEX Flagship Pilot Study “LUCAS-Land Use & Climate Across Scales”-a new initiative on coordinated regional land use change and climate experiments for Europe, EGU General Assembly Conference Abstracts, 13172, Geophysical Research Abstracts, Vol. 19, EGU2017-13172, 23-28 April 2017, EGU General Assembly 2017, Vienna, Austria, 2017.
Ribeiro, A. F., Russo, A., Gouveia, C. M., and Pires, C. A.: Drought-related hot summers: a joint probability analysis in the Iberian Peninsula, Weather Climate Extremes, 30, 100279, https://doi.org/10.1016/j.wace.2020.100279, 2020.
Rico, L., Ogaya, R., Barbeta, A., and Peñuelas, J.: Changes in DNA methylation fingerprint of Quercus ilex trees in response to experimental field drought simulating projected climate change, Plant Biol., 16, 419-427, https://doi.org/10.1111/plb.12049, 2014.
Rotenberg, E. and Yakir, D.: Contribution of semi-arid forests to the climate system, Science, 327, 451-454, https://doi.org/10.1126/science.1180556, 2010.
Rousi, E., Selten, F., Rahmstorf, S., and Coumou, D.: Changes in North Atlantic Atmospheric Circulation in a Warmer Climate Favor Winter Flooding and Summer Drought over Europe, J. Climate, 34, 2277-2295, https://doi.org/10.1175/JCLI-D-200311.1, 2021.
Ruffault, J., Curt, T., Moron, V., Trigo, R. M., Mouillot, F., Koutsias, N., and Dupuy, J. L.: Increased likelihood of heat-induced large wildfires in the Mediterranean Basin, Sci. Rep., 10, 13790, https://doi.org/10.1038/s41598-020-70069-z, 2020.
Ruosteenoja, K., Markkanen, T., and Räisänen, J.: Thermal seasons in northern Europe in projected future climate, Int. J. Climatol., 40, 4444-4462, https://doi.org/10.1002/joc.6471, 2020.
Russo, A., Gouveia, C. M., Páscoa, P., DaCamara, C. C., Sousa, P. M., and Trigo, R. M.: Assessing the role of drought events on wildfires in the Iberian Peninsula, Agr. Forest Meteorol., 237, 50-59, https://doi.org/10.1016/j.agrformet.2017.01.021, 2017.
Saintonge, F.-X., Gillette, M., Blaser, S., Queloz, V., and Leroy, Q.: Situation et gestion de la crise liée aux scolytes de l’Épicéa commun fin 2021 dans l’est de la France, en Suisse et en Wallonie, Rev. For. Fr., 73, 619-641, https://doi.org/10.20870/revforfr.2021.7201, 2021.
Salomón, R. L., Peters, R. L., Zweifel, R., Sass-Klaassen, U. G. W., Stegehuis, A. I., Smiljanic, M., Poyatos, R., Babst, F., Cienciala, E., Fonti, P., Lerink, B. J. W., Lindner, M., MartinezVilalta, J., Mencuccini, M., Nabuurs, G.-J., van der Maaten, E., von Arx, G., Bär, A., Akhmetzyanov, L., Balanzategui, D., Bellan, M., Bendix, J., Berveiller, D., Blaženec, M., Čada, V., Carraro, V., Cecchini, S., Chan, T., Conedera, M., Delpierre, N., Delzon, S., Ditmarová, L’., Dolezal, J., Dufrêne, E., Edvardsson, J., Ehekircher, S., Forner, A., Frouz, J., Ganthaler, A., Gryc, V., Güney, A., Heinrich, I., Hentschel, R., Janda, P., Ježík, M., Kahle, H.-P., Knüsel, S., Krejza, J., Kuberski, Ł., Kučera, J., Lebourgeois, F., Mikoláš, M., Matula, R., Mayr, S., Oberhuber, W., Obojes, N., Osborne, B., Paljakka, T., Plichta, R., Rabbel, I., Rathgeber, C. B. K., Salmon, Y., Saunders, M., Scharnweber, T., Sitková, Z., Stangler, D. F., Stereńczak, K., Stojanović, M., Střelcová, K., Světlík, J., Svoboda, M., Tobin, B., Trotsiuk, V., Urban, J., Valladares, F., Vavrčík, H., Vejpustková, M., Walthert, L., Wilmking, M., Zin, E., Zou, J., and Steppe, K.: The 2018 European heatwave led to stem dehydration but not to consistent growth reductions in forests, Nat. Commun., 13, 31432, https://doi.org/10.1038/s41467-021-27579-9, 2022.
San-Miguel-Ayanz, J., Oom, D., Artes, T., Viegas, D. X., Fernandes, P., Faivre, N., and Castellnou, M.: Forest fires in Portugal in 2017, in: Science for Disaster Risk Management 2020: Acting Today, Protecting Tomorrow, edited by: Casajus Valles, A., Marin Ferrer, M., Poljanšek, K., and Clark, I., EUR 30183 EN, Publications Office of the European Union, Luxembourg, https://doi.org/10.2760/571085, 2020.
SCB: Marken i Sverige, https://www.scb.se/hitta-statistik/ sverige-i-siffror/miljo/marken-i-sverige/ (last access: 21 November 2024), 2020.
Scherrer, D., Ascoli, D., Conedera, M., Fischer, C., Maringer, J., Moser, B., Wohlgemuth, T. et al.: Canopy disturbances catalyse tree species shifts in Swiss forests, Ecosystems, 25, 199-214, https://doi.org/10.1007/s10021-021-00649-1, 2022.
Schnabel, F., Purrucker, S., Schmitt, L., Engelmann, R. A., Kahl, A., Richter, R., Seele-Dilbat, C., Skiadaresis, G., and Wirth, C.: Cumulative growth and stress responses to the 2018-2019 drought in a European floodplain forest, Glob. Change Biol., 28, 18701883, https://doi.org/10.1111/gcb.16028, 2021.
Schuldt, B., Knutzen, F., Delzon, S., Jansen, S., Müller-Haubold, H., Burlett, R., Clough, Y., and Leuschner, C.: How adaptable is the hydraulic system of European beech in the face of climate change-related precipitation reduction?, New Phytol., 210, 443458, https://doi.org/10.1111/nph.13798, 2016.
Schuldt, B., Buras, A., Arend, M., Vitasse, Y., Beierkuhnlein, C., Damm, A., Gharun, M., Grams, T. E. E., Hauck, M., Hajek, P., Hartmann, H., Hiltbrunner, E., Hoch, G., Holloway-Phillips, M., Körner, C., Larysch, E., Lübbe, T., Nelson, D. B., Rammig, A., Rigling, A., Rose, L., Ruehr, N. K., Schumann, K., Weiser, F., Werner, C., Wohlgemuth, T., Zang, C. S., and Kahmen, A.: A first assessment of the impact of the extreme 2018 summer drought on Central European forests, Basic Appl. Ecol., 45, 86103, https://doi.org/10.1016/j.baae.2020.04.003, 2020.
Schumacher, D. L., Zachariah, M., Otto, F., Barnes, C., Philip, S., Kew, S., Vahlberg, M., Singh, R., Heinrich, D., Arrighi, J., van Aalst, M., Thalheimer, L., Raju, E., Hauser, M., Hirschi, M., Gudmundsson, L., Beaudoing, H. K., Rodell, M., Li, S., Yang, W., Vecchi, G. A., Vautard, R., Harrington, L. J., and Seneviratne, S. I.: High temperatures exacerbated by climate change made 2022 Northern Hemisphere soil moisture droughts more likely, World Weather Attribution, United Kingdom, https://coilink.org/ 20.500.12592/f00cjq (last access: 9 December 2024), 2022.
Seaton, F. M., Jones, D. L., Creer, S., George, P. B. L., Smart, S. M., Lebron, I., Barrett, G., Emmett, B. A., and Robinson, D. A.: Plant and soil communities are associated with the response of soil water repellency to environmental stress, Sci. Total Environ., 687, 929-938, https://doi.org/10.1016/j.scitotenv.2019.06.050, 2019.
Sefton, C., Muchan, K., Parry, S., Matthews, B., Barker, L. J., Turner, S., and Hannaford, J.: The 2019/2020 floods in the UK: a hydrological appraisal, Weather, https://doi.org/10.1002/wea.3993, 2021.
Seidl, R., Schelhaas, M. J., Rammer, W., et al.: Increasing forest disturbances in Europe and their impact on carbon storage, Nat. Clim. Change, 4, 806-810, https://doi.org/10.1038/nclimate2318, 2014.
Seidl, R., Thom, D., Kautz, M., Martin-Benito, D., Peltoniemi, M., Vacchiano, G., Wild, J., Ascoli, D., Petr, M., Honkaniemi, J., Lexer, M. J., Trotsiuk, V., Mairota, P., Svoboda, M., Fabrika, M., Nagel, T. A., and Reyer, C. P. O.: Forest distur-
bances under climate change, Nat. Clim. Chang., 7, 395-402, https://doi.org/10.1038/nclimate3303, 2017.
Seidl, R., Honkaniemi, J., Aakala, T., Aleinikov, A., Angelstam, P., Bouchard, M., Boulanger, Y., Burton, P. J., De Grandpré, L., Gauthier, S., Hansen, W. D., Jepsen, J. U., Jõgiste, K., Kneeshaw, D. D., Kuuluvainen, T., Lisitsyna, O., Makoto, K., Mori, A. S., Pureswaran, D. S., Shorohova, E., Shubnitsina, E., Taylor, A. R., Vladimirova, N., Vodde, F., and Senf, C.: Globally consistent climate sensitivity of natural disturbances across boreal and temperate forest ecosystems, Ecography, 43, 967-978, https://doi.org/10.1111/ecog.04995, 2020.
Senf, C. and Seidl, R.: Persistent impacts of the 2018 drought on forest disturbance regimes in Europe, Biogeosciences, 18, 52235230, https://doi.org/10.5194/bg-18-5223-2021, 2021a.
Senf, C. and Seidl, R.: Storm and fire disturbances in Europe: Distribution and trends, Glob. Change Biol., 27, 3605-3619, 2021b.
Seneviratne, S. I., Zhang, X., Adnan, M., Badi, W., Dereczynski, C., Di Luca, A., Ghosh, S., Iskandar, I., Kossin, J., Lewis, S., Otto, F., Pinto, I., Satoh, M., Vicente-Serrano, S. M., Wehner, M., and Zhou, B.: Chapter 11: Weather and climate extreme events in a changing climate, 2021.
Sierota, Z., Grodzki, W., and Szczepkowski, A.: Abiotic and Biotic Disturbances Affecting Forest Health in Poland over the Past 30 Years: Impacts of Climate and Forest Management, Forests, 10, 75, https://doi.org/10.3390/f10010075, 2019.
Sierota, Z. and Grodzki, W.: Picea abies-ArmillariaIps: A strategy or coincidence?, Forests, 11, 1023, https://doi.org/10.3390/F11091023, 2020.
Sioen, G., Verschelde, P., and Roskams, P.: Bosvitaliteitsinventaris 2018. Resultaten uit het bosvitaliteitsmeetnet (Level 1), Rapports van het Instituut voor Natuur- en Bosonderzoek, Nr. 20, Instituut voor Natuur- en Bosonderzoek, https://doi.org/10.21436/inbor.16207115, 2019.
Sioen, G., Verschelde, P., and Roskams, P.: Bosvitaliteitsinventaris 2019: Resultaten uit het bosvitaliteitsmeetnet (Level 1), Rapports van het Instituut voor Natuur- en Bosonderzoek, Nr. 20, Instituut voor Natuur- en Bosonderzoek, https://doi.org/10.21436/inbor.18050253, 2020.
Sioen, G., Verschelde, P., and Roskams, P.: Bosvitaliteitsinventaris 2020: Resultaten uit het bosvitaliteitsmeetnet (Level 1), Rapports van het Instituut voor Natuur- en Bosonderzoek, Nr. 20, Instituut voor Natuur- en Bosonderzoek, https://doi.org/10.21436/inbor.34283136, 2021.
Sioen, G., Verschelde, P., and Roskams, P.: Bosvitaliteitsinventaris 2021. Resultaten uit het bosvitaliteitsmeetnet (Level 1), Rapports van het Instituut voor Natuur- en Bosonderzoek, Nr. 7, Instituut voor Natuur- en Bosonderzoek, https://doi.org/10.21436/inbor.71783042, 2022.
Sioen, G., Verschelde, P., and Roskams, P.: Bosvitaliteitsinventaris 2022. Resultaten uit het bosvitaliteitsmeetnet (Level 1), Rapports van het Instituut voor Natuur- en Bosonderzoek, Nr. 4, https://doi.org/10.21436/inbor.90109478, 2023.
Sire, L., Schmidt Yáñez, P., Wang, C., Bézier, A., Courtial, B., Cours, J., Fontaneto, D., Larrieu, L., Bouget, C., Thorn, S., Müller, J., Yu, D. W., Monaghan, M. T., Herniou, E. A., and Lopez-Vaamonde, C.: Climate-induced forest dieback drives compositional changes in insect communities that are more pronounced for rare species, Commun. Biol., 5, 57, https://doi.org/10.1038/s42003-021-02968-4, 2022.
SMHI: Året 2022. Mycket tört i sydöstra Sverige, https://www.smhi.se/klimat/klimatet-da-och-nu/arets-vader/ aret-2022-mycket-torrt-i-sydostra-sverige-1.190565 (last access: 15 November 2024), 2023.
Sofiadis, G., Katragkou, E., Davin, E. L., Rechid, D., de NobletDucoudre, N., Breil, M., Cardoso, R. M., Hoffmann, P., Jach, L., Meier, R., Mooney, P. A., Soares, P. M. M., Strada, S., Tölle, M. H., and Warrach Sagi, K.: Afforestation impact on soil temperature in regional climate model simulations over Europe, Geosci. Model Dev., 15, 595-616, https://doi.org/10.5194/gmd-15-5952022, 2022.
Spinoni, J., Vogt, J. V., Naumann, G., Barbosa, P., and Dosio, A.: Will drought events become more frequent and severe in Europe?, Int. J. Climatol., 38, 1718-1736, 2018.
SSB: Landskogtakseringen (forest volume statistics Norway), https: //www.ssb.no/statbank/table/06289/tableViewLayout1/ (last access: 15 November 2024), 2022.
Stagge, J. H., Kingston, D. G., Tallaksen, L. M., and Hannah, D. M.: Observed drought indices show increasing divergence across Europe, Sci. Rep., 7, 1-10, https://doi.org/10.1038/s41598-017-14283-2, 2017.
Statsforvalteren: Årsmelding 2019. Skogbruket i Vestfold og Telemark, https://www.statsforvalteren.no/siteassets/ fm-vestfold-og-telemark/landbruk-og-mat/skogbruk/ arsmelding-2020-hele-med-logo.pdf (last access: 27 November 2024), 2020.
Stelzl, A., Pointl, M., and Fuchs-Hanusch, D.: Estimating Future Peak Water Demand with a Regression Model Considering Climate Indices, Water, 13, 1912, https://doi.org/10.3390/w13141912, 2021.
Stephan, R., Erfurt, M., Terzi, S., Žun, M., Kristan, B., Haslinger, K., and Stahl, K.: An inventory of Alpine drought impact reports to explore past droughts in a mountain region, Nat. Hazards Earth Syst. Sci., 21, 2485-2501, https://doi.org/10.5194/nhess-21-2485-2021, 2021.
Středová, H., Fukalová, P., Chuchma, F., and Středa, T.: A complex method for estimation of multiple abiotic hazards in forest ecosystems, Water, 12, 2872, https://doi.org/10.3390/w12102872, 2020.
Sturm, J., Santos, M. J., Schmid, B., and Damm, A.: Satellite data reveal differential responses of Swiss forests to unprecedented 2018 drought, Glob. Chang. Biol., 28, 2956-2978, https://doi.org/10.1111/gcb.16194, 2022.
Suarez-Gutierrez, L., Li, C., Müller, W. A., and Marotzke, J.: Internal variability in European summer temperatures at
Suarez-Gutierrez, L., Müller, W. A., and Marotzke, J.: Extreme heat and drought typical of an end-of-century climate could occur over Europe soon and repeatedly, Commun. Earth Environ., 4, 415, https://doi.org/10.1038/s43247-023-01075-y, 2023.
Sommerfeld, A., Rammer, W., Heurich, M., Hilmers, T., Müller, J., and Seidl, R.: Do bark beetle outbreaks amplify or dampen future bark beetle disturbances in Central Europe?, J. Ecol., 109, 737749, 2021.
SRF: https://www.srf.ch/news/schweiz/der-schweizer-wald-leidet-extremer-befall-von-borkenkaefern (last access: 15 November 2024), 2020.
Swedish Board of Agriculture: Långsiktiga effekter av torkan 2018, och hur jordbruket kan bli mer motståndskraftigt mot extremväder, Jorbruksverkets rapport RA 19/13, https:// webbutiken.jordbruksverket.se/sv/artiklar/ra1913.html (last access: 19 November 2024), 2019.
SZ: https://www.sueddeutsche.de/bayern/schloss-neuschwanstein-allgaeu-waldbrand-1.5547353 (last access: 15 November 2024), 2022.
Terhonen, E., Melin, M., Aarnio, L., Granberg, F., Hantula, J., Henttonen, H., Huitu, O., Huuskonen, S., Härkönen, M., Kaitera, J., Koivula, M., Kokko, A., Kokkonen, J., Korhonen, K. T., Laurila, I., Lehto, T., Luoranen, J., Niemimaa, J., Nuorteva, H., Pennanen, T., Piri, T., Poimala, A., Pouttu, A., Pätäri, V., Siitonen, J., Silver, T., Strandström, M., Sutela, S., Tikkanen, O.-P., Vainio, E., Vanha-Majamaa, I., Velmala, S., and Ylioja, T.: Metsätuhot vuonna 2022 (in Finnish), Luonnonvara- ja biotalouden tutkimus 48/2023, Natural Resources Institute Finland, Helsinki, http://urn.fi/URN:ISBN:978-952-380-694-8 (last access: 19 November 2024), 2023.
Teuling, A. J., Seneviratne, S. I., Stöckli, R., Reichstein, M., Moors, E., Ciais, P., Luyssaert, S., van den Hurk, B., Ammann, C., Bernhofer, C., Dellwik, E., Gianelle, D., Gielen, B., Grünwald, T., Klumpp, K., Montagnani, L., Moureaux, C., Sottocornola, M., and Wohlfahrt, G.: Contrasting response of European forest and grassland energy exchange to heatwaves, Nat. Geosci., 3, 722727, 2010.
Teutschbein, C., Jonsson, E., Todorović, A., Tootoonchi, F., Stenfors, E., and Grabs, T.: Drought Propagation through the Water-Energy-Food-Ecosystem Nexus: a Nordic Perspective, https://doi.org/10.1016/j.jhydrol.2022.128963, 2022a.
Teutschbein, C., Montano, B. Q., Todorović, A., and Grabs, T.: Streamflow droughts in Sweden: Spatiotemporal patterns emerging from six decades of observations, J. Hydrol. Regional Stud., 42, 101171, https://doi.org/10.1016/j.ejrh.2022.101171, 2022b.
The Herald: Scotland escaped global 2021 wildfire crisis so far, https://www.heraldscotland.com/news/19482198. scotland-escaped-global-2021-wildfire-crisis-far/ (last access: 14 March 2023), 2021.
Thom, D., Rammer, W., Laux, P., Smiatek, G., Kunstmann, H., Seibold, S., and Seidl, R.: Will forest dynamics continue to accelerate throughout the 21st century in the Northern Alps?, https://doi.org/10.1111/gcb.16133, 2022.
Thrippleton, T., Lüscher, F., and Bugmann, H.: Climate change impacts across a large forest enterprise in the Northern Pre-Alps: dynamic forest modelling as a tool for decision support, Eur. J. Forest Res., 139, 483-498, 2020.
TMIL: https://infrastruktur-landwirtschaft.thueringen.de/ fileadmin/Forst_und_Jagd_Fischerei/Forstwirtschaft/2022_ Waldzustandsbericht_barrierefrei.pdf (last access: 15 November 2024), 2022.
Toreti, A., Bavera, D., Avanzi, F., Cammalleri, C., De Felice, M., de Jager, A., Di Ciollo, C., Gabellani, S., Maetens, W., Magni, D., Manfron, G., Masante, D., Mazzeschi, M., McCormick, N., Naumann, G., Niemeyer, S., Rossi, L., Seguini, L., Spinoni, J., and van den Berg, M.: Drought in northern Italy March 2022, EUR 31037 EN, Publications Office of the European Union, Luxembourg, JRC128974, https://doi.org/10.2760/781876, 2022b.
Toreti, A., Bavera, D., Acosta Navarro, J., Arias-Muñoz, C., Avanzi, F., Marinho Ferreira Barbosa, P., De Jager, A., Di Ciollo, C., Ferraris, L., Fioravanti, G., Gabellani, S., Grimaldi, S., Hrast Essenfelder, A., Isabellon, M., Jonas, T., Maetens, W., Magni, D., Masante, D., Mazzeschi, M., McCormick, N., Meroni, M., Rossi, L., Salamon, P., and Spinoni, J.: Drought in Europe March 2023, EUR 31448 EN, Publications Office of the European Union, Luxembourg, JRC133025, https://doi.org/10.2760/998985, 2023.
Toth, D., Maitah, M., Maitah, K., and Jarolínová, V.: The impacts of calamity logging on the development of spruce wood prices in Czech forestry, Forests, 11, 283, https://doi.org/10.3390/f11030283, 2020.
Turco, M., Jerez, S., Augusto, S., Tarín-Carrasco, P., Ratola, N., Jiménez-Guerrero, P., and Trigo, R. M.: Climate drivers of the 2017 devastating fires in Portugal, Sci. Rep., 9, 13886, https://doi.org/10.1038/s41598-019-50281-2, 2019.
Turco, M., Abatzoglou, J. T., Herrera, S., Zhuang, Y., Jerez, S., Lucas, D. D., AghaKouchak, A., and Cvijanovic, I.: Anthropogenic climate change impacts exacerbate summer forest fires in California, Proc. Natl. Acad. Sci., 120, e2213815120, https://doi.org/10.1073/pnas.2213815120, 2023.
Turner, S., Barker, L. J., Hannaford, J., Muchan, K., Parry, S., and Sefton, C.: The 2018/2019 drought in the UK: a hydrological appraisal, Weather, 76, 248-253, 2021.
UBA: Waldbrände in Deutschland, Umweltbundesamt, https://www.umweltbundesamt.de/daten/land-forstwirtschaft/ waldbraende#waldbrande-in-deutschland (last access: 15 November 2024), 2023a.
UBA: Das Monitoringbericht 2023, Umweltbundesamt, https://www.umweltbundesamt.de/sites/default/files/medien/ 376/publikationen/das-monitoringbericht_2023_bf_korr.pdf (last access: 19 August 2023), 2023b.
Ukkola, A. M., De Kauwe, M. G., Roderick, M. L., Abramowitz, G., and Pitman, A. J.: Robust future changes in meteorological drought in CMIP6 projections despite uncertainty in precipitation, Geophys. Res. Lett., 47, e2020GL087820, https://doi.org/10.1029/2020GL087820, 2020.
UN: Member States, United Nations, https://www.un.org/en/ about-us/member-states (last access: 9 February 2024), 2024.
UNECE Committee on Forest and the Forest Industry and the European Forestry Commission (Foresta2022): Sweden: Country market statement 2022, UNECE, https://unece.org/forestry-timber/documents/2022/10/ informal-documents/sweden-country-market-statement-2022 (last access 1 March 2023), 2022.
Van Der Wiel, K., Batelaan, T. J., and Wanders, N.: Large increases of multi-year droughts in north-western Europe in a warmer climate, Clim. Dyn., 59, 1-20, https://doi.org/10.1007/S00382-022-06373-3, 2022.
Van Loon, A. F.: Hydrological drought explained, WIREs Water, 2, 359-392, 2015.
Veijalainen, N., Ahopelto, L., Marttunen, M., Jääskeläinen, J., Britschgi, R., Orvomaa, M., Belinskij, A., and Keskinen, M.: Severe drought in Finland: Modeling effects on water resources and assessing climate change impacts, Sustainability, 11, 2450, https://doi.org/10.3390/su11082450, 2019.
Venäläinen, A., Lehtonen, I., and Mäkelä, A.: Laaja-alaisia metsäpaloja mahdollistavat säätilanteet Suomen ilmastossa [The risk of large forest fires in Finland], Finnish Meteorological Institute, Reports 2016:3 (in Finnish, English Abstract), https:// helda.helsinki.fi/handle/10138/161478 (last access: 15 November 2024), 2016.
Verkerk, P. J., Delacote, P., Hurmekoski, E., Kunttu, J., Matthews, R., Mäkipää, R., Mosley, F., Perugini, L., Reyer, C. P. O., Roe, S., and Trømborg, E.: Forest-based climate change mitigation and adaptation in Europe. From Science to Policy, 14, European Forest Institute, https://doi.org/10.36333/fs14, 2022.
Vicedo-Cabrera, A. M., Scovronick, N., Sera, F., Royé, D., Schneider, R., Tobias, A., Astrom, C., Guo, Y., Honda, Y., Hondula, D. M., Abrutzky, R., Tong, S., Coelho, M., de Sousa Zanotti Stagliorio, P. H., Nascimento Saldiva, E., Lavigne, P., Matus Correa, N. Valdes Ortega, H. Kan, S. Osorio, Kyselý, J., Urban, A., Orru, H., Indermitte, E., Jaakkola, J. J. K., Ryti, N., Pascal, M., Schneider, A., Katsouyanni, K., Samoli, E., Mayvaneh, F., Entezari, A., Goodman, P., Zeka, A., Michelozzi, P., de’Donato, F., Hashizume, M., Alahmad, B., Hurtado Diaz, M., De La Cruz Valencia, C., Overcenco, A., Houthuijs, D., Ameling, C., Rao, S., Di Ruscio, F., Carrasco-Escobar, G., Seposo, X., Silva, S.,
Vicente-Serrano, S. M., Beguería, S., Lorenzo-Lacruz, J., Camarero, J. J., López-Moreno, J. I., Azorin-Molina, C., Revuelto, J., Morán-Tejeda, E., and Sanchez-Lorenzo, A.: Performance of drought indices for ecological, agricultural, and hydrological applications, Earth Interact., 16, 1-27, 2012.
Vicente-Serrano, S. M., Gouveia, C., Camarero, J. J., Beguería, S., Trigo, R., López-Moreno, J. I., Azorín-Molina, C., Pasho, E., and Lorenzo-Lacruz, J., Revuelto, J., Morán-Tejeda, E., and SanchezLorenzo, A.: The response of vegetation to drought time-scales across global land biomes, P. Natl. Acad. Sci. USA., 110, 52-57, 2013.
Vogel, J., Paton, E., Aich, V., and Bronstert, A.: Increasing compound warm spells and droughts in the Mediterranean Basin, Weather Clim. Extremes, 32, 100312, https://doi.org/10.1016/j.wace.2021.100312, 2021.
Waldschutz: Leichte Zunahme von Buchdrucker-Befallsherden, https://www.dora.lib4ri.ch/wsl/islandora/object/wsl: 32875/datastream/PDF/Stroheker-2023-Leichte_Zunahme_ von_Buchdrucker-Befallsherden-(published_version).pdf (last access: 15 November 2024), 2023.
Wataha: An increase in the bark beetle population in Norwegian forests, Wataha, https://wataha.no/en/2021/11/15/ an-increase-in-the-bark-beetle-population-in-norwegian-forests/ (last access: 21 August 2024), 2021.
Watts, N., Amann, M., Arnell, N., Ayeb-Karlsson, S., Beagley, J., Belesova, K., Boykoff, M., Byass, P., Cai, W., CampbellLendrum, D., Capstick, S., Chambers, J., Coleman, S., Dalin, C., Daly, M., Dasandi, N., Dasgupta, S., Davies, M., Di Napoli, C., Dominguez-Salas, P., Drummond, P., Dubrow, R., Ebi, K. L., Eckelman, M., Ekins, P., Escobar, L. E., Georgeson, L., Golder, S., Grace, D., Graham, H., Haggar, P., Hamilton, I., Hartinger, S., Hess, J., Hsu, S.-C., Hughes, N., Jankin Mikhaylov, S., Jimenez, M. P., Kelman, I., Kennard, H., Kiesewetter, G., Kinney, P. L., Kjellstrom, T., Kniveton, D., Lampard, P., Lemke, B., Liu, Y., Liu, Z., Lott, M., Lowe, R., Martinez-Urtaza, J., Maslin, M., McAllister, L., McGushin, A., McMichael, C., Milner, J., Moradi-Lakeh, M., Morrissey, K., Munzert, S., Murray, K. A., Neville, T., Nilsson, M., Odhiambo Sewe, M., Oreszczyn, T., Otto, M., Owfi, F., Pearman, O., Pencheon, D., Quinn, R., Rabbaniha, M., Robinson, E., Rocklöv, J., Romanello, M., Semenza, J. C., Sherman, J., Shi, L., Springmann, M., Tabatabaei, M., Taylor, J., Triñanes, J., Shumake-Guillemot, J., Vu, B., Wilkinson, P., Winning, M., Gong, P., Montgomery, H., and Costello, A.:
Weigel, R., Bat-Enerel, B., Dulamsuren, C., Muffler, L., Weithmann, G., and Leuschner, C.: Summer drought exposure, stand structure, and soil properties jointly control the growth of European beech along a steep precipitation gradient in northern Germany, Glob. Change Biol., 29, 763-779, 2023.
WSL: Trockenheit 2018: Buchen mit frühzeitig verfärbtem Laub neigen zum Absterben in den Folgejahren, WSL, https://www.wsl.ch/de/news/trockenheit-2018-buchen-mit-fruehzeitig-verfaerbtem-laub-neigen-zum-absterben-in-denfolgejahren/ (last access: 20 November 2024), 2022.
WSL: Leichte Zunahme des Borkenkäfer-Befalls im Jahr 2022, WSL, https://www.wsl.ch/de/news/ leichte-zunahme-des-borkenkaefer-befalls-im-jahr-2022/#:
WSL: Zwischenberichte, WSL, https://www.waldwissen. net/assets/technik/inventur/wsl_zwischenergebnisse-lfi5/ Zwischenergebnisse_LFI_print.pdf#page=2 (last access: 15 November 2024), 2023b.
Winkel, G., Lovrić, M., Muys, B., Katila, P., Lundhede, T., Pecurul, M., Pettenella, D., Pipart, N., Plieninger, T., Prokofieva, I., Parra, C., Pülzl, H., Roitsch, D., Roux, J.-L., Thorsen, B. J., Tyrväinen, L., Torralba, M., Vacik, H., Weiss, G., and Wunder, S.: Governing Europe’s forests for multiple ecosystem services: Opportunities, challenges, and policy options, For. Policy Econ., 145, 102849, https://doi.org/10.1016/j.forpol.2022.102849, 2022.
Zahradník, P. and Zahradníková, M.: Salvage felling in the Czech Republic’s forests during the last twenty years, Cent. Eur. For. J., 65, 12-20, 2019.
Worlds Aid: Worlds Aid, https://www.worldsaid.com/node/1378 (last access: 15 November 2024), 2022.
Wulff, S. and Roberge, J.-M.: Forest monitoring: Synthesis of 2010-2018 results, SLU, https://pub.epsilon.slu.se/21827/1/ wulff_s_et_al_210201.pdf (last access: 15 November 2024), 2020.
Yu, Z., Wang, J., Liu, S., Rentch, J. S., Sun, P., and Lu, C.: Global gross primary productivity and water use efficiency changes under drought stress, Environ. Res. Lett., 12, 014016, https://doi.org/10.1088/1748-9326/aa5258, 2017.
Xoplaki, E., Ellsäßer, F., Grieger, J., Nissen, K. M., Pinto, J., Augenstein, M., Chen, T.-C., Feldmann, H., Friederichs, P., Gliksman, D., Goulier, L., Haustein, K., Heinke, J., Jach, L., Knutzen, F., Kollet, S., Luterbacher, J., Luther, N., Mohr, S., Mudersbach, C., Müller, C., Rousi, E., Simon, F., Suarez-Gutierrez, L., Szemkus, S., Vallejo-Bernal, S. M., Vlachopoulos, O., and Wolf, F.: Compound events in Germany in 2018: drivers and case studies, EGUsphere [preprint], https://doi.org/10.5194/egusphere-20231460, 2023.
Zas, R., Touza, R., Sampedro, L., Lario, F. J., Bustingorri, G., and Lema, M.: Variation in resin flow among Maritime pine populations: Relationship with growth potential and climatic responses, For. Ecol. Manag., 474, 118351, https://doi.org/10.1016/j.foreco.2020.118351, 2020.
Zscheischler, J., Martius, O., Westra, S., Bevacqua, E., Raymond, C., Horton, R. M., van den Hurk, B., AghaKouchak, A., Jézéquel, A., Mahecha, M. D., Maraun, D., Ramos, A. M., Ridder, N. N., Thiery, W., and Vignotto, E.: A typology of compound weather and climate events, Nat. Rev. Earth Environ., 1, 333-347, 2020.
DOI: https://doi.org/10.5194/nhess-25-77-2025
Publication Date: 2025-01-06
Revised: 23 August 2024 – Accepted: 6 September 2024 – Published: 6 January 2025
Abstract
Drought and heat events in Europe are becoming increasingly frequent due to human-induced climate change, impacting both human well-being and ecosystem functioning. The intensity and effects of these events vary across the continent, making it crucial for decision-makers to understand spatial variability in drought impacts. Data on droughtrelated damage are currently dispersed across scientific publications, government reports, and media outlets. This study consolidates data on drought and heat damage in European forests from 2018 to 2022, using Europe-wide datasets including those related to crown defoliation, insect damage, burnt forest areas, and tree cover loss. The data, covering 16 European countries, were analysed across four regions, northern, central, Alpine, and southern, and compared with a reference period from 2010 to 2014.
Findings reveal that forests in all zones experienced reduced vitality due to drought and elevated temperatures, with varying severity. Central Europe showed the highest vulnerability, impacting both coniferous and deciduous trees. The southern zone, while affected by tree cover loss, demonstrated greater resilience, likely due to historical drought exposure. The northern zone is experiencing emerging impacts less severely, possibly due to site-adapted boreal species, while the Alpine zone showed minimal impact, suggesting a protective effect of altitude.
Key trends include (1) significant tree cover loss in the northern, central, and southern zones; (2) high damage levels despite 2021 being an average year, indicating lasting effects from previous years; ( 3 ) notable challenges in the central zone and in Sweden due to bark beetle infestations; and (4) no increase in wildfire severity in southern Europe despite ongoing challenges.
Based on this assessment, we conclude that (i) European forests are highly vulnerable to drought and heat, with even resilient ecosystems at risk of severe damage; (ii) tailored strategies are essential to mitigate climate change impacts on European forests, incorporating regional differences in forest damage and resilience; and (iii) effective management requires harmonised data collection and enhanced monitoring to address future challenges comprehensively.
1 Introduction
1.1 General introduction
treme (Seneviratne et al., 2021). Even if we manage to stay below the
1.2 Scope, aims, and research approach
age spanning 2018-2022, the exceptional forest fire damage in 2017 in southern Europe was also included to provide context for subsequent damage. Post-2017, significant management measures were implemented in southern Europe to mitigate forest fires, affecting subsequent damage trends (e.g. REA, 2024). Forest damage in other zones is not discussed for 2017 as it was comparatively minimal.
| Zone | Countries |
| Northern | Finland (FIN), Sweden (SWE), Norway (NOR), United Kingdom (UK), Ireland (IRL) |
| Central | Poland (POL), Czech Republic (CZE), Switzerland (CHE), Austria (AUT), Germany (GER), the Netherlands (NLD), Belgium (BEL), France (FRA) |
| Alpine | Switzerland, Austria, Italy (ITA), France |
| Southern | Italy, Spain (ESP), Portugal (POR) |
2 Meteorological conditions
2.1 Occurrence of drought and heat in Europe during 2018-2022

mal to wet year. However, persistent hot and dry conditions prevailed during spring and summer 2022, which led to depleted soil water levels (similar to 2018) and regionally critical drought conditions (Fig. 1). Throughout the summer of 2022, heat waves and exceptionally low rainfall led to very dry conditions in central Europe. Observed runoff anomalies highlighted the 2022 European drought as potentially the worst in 500 years (Henley, 2022; Schumacher et al., 2024). Between May and July 2022, many areas in Europe experienced the strongest 500 hPa geopotential height anomalies since 1950 (Toreti et al., 2022a).
2.2 Drought and heat in the northern zone, 2018-2022
drought in late spring and summer (Hanssen-Bauer et al., 2017).
2.3 Drought and heat in the central zone, 2018-2022
2.4 Drought and heat in the Alpine zone, 2018-2022
2.5 Drought and heat in the southern zone, 2018-2022
2.6 European droughts from past to future: an attribution challenge
tive conclusions about current drought intensity in a historical context.
acerbated the severity of the drought event. Finally, Philipp et al. (2020) investigated the hydrological drought of 2018, stating that the trend is driven by strong trends in temperature and global radiation rather than a trend in precipitation, resulting in an overall trend in potential evapotranspiration. Given that these trends match results from climate model simulations, the authors conclude that the observed trend in agricultural drought can at least in part be attributed to human-induced climate change.
3 Damage to forests
during the 2003 extreme heatwave in central and western Europe, surface temperatures rose less in forests than in nonforested areas, allowing forests to conserve water (Teuling et al., 2010). This “canopy convector effect” is an adaptation mechanism, which can prevent long-term amplification of the consequences of extreme heat and drought (Grünzweig et al., 2022). A quantitative understanding of regional and local biophysical effects of such land use changes is required to enable effective land-based mitigation and adaptation measures (e.g. Perugini et al., 2017). However, these effects are complex and strongly depend on local conditions, making their quantification challenging.
(Lindner et al., 2010) as forest owners, logging companies, and other stakeholders in the forestry sector experience significant losses due to a reduction in volume and quality of timber (e.g. Brecka et al., 2018; Davies et al., 2020; Knoke et al., 2021). Further impacts to local economies and communities can occur, since the forestry sector is an important employer in many rural areas of Europe, employing about 3.6 million people (EU-27; EUROSTAT, 2023). Furthermore, the value of forest areas is likely to decrease if economically valuable tree species decline (Hanewinkel et al., 2013), and the cultural and recreational qualities of forests can suffer (Winkel et al., 2022).
3.1 Europe-wide damage to forests, 2018-2022



pests within forest ecosystems and a greater interest in monitoring forest damage.

are more than EUR 166 million. This is a similar estimate as though the forest fires in Sweden in 2014 (14 000 ha; costs SEK 1 billion) were upscaled to 2018 – EUR 160-200 million.

growth of
persisted in subsequent years. The 2020 weather extremes exacerbated ash dieback (caused by Hymenoscyphus fraxineus), with widespread future mortality expected (Michel et al., 2021). By 2021, Phytophthora pluvialis was affecting mature trees, and 2022’s severe drought led to widespread defoliation (Michel et al., 2022; Forest Research, 2022c).
3.3 Damage to forests in the central zone, 2018-2022
(2019), 58056 ha (2020), 34673 ha (2021), and 20258 ha (2022). High temperature losses (burns, wilt, dieback) were reported affecting 80 ha (2018), 340 ha (2019), 2574 ha (2020), 197 ha (2021), and 244 ha (2022). Long-lasting drought in Poland has also led to a lowering of the surface and GW table, as well as to a decrease in tree growth, stand vitality, and resistance to pathogens and pests (Kwiatkowski et al., 2020). Among the species affected by this process are oaks, where the impact of declining GW has been observed since the late 1980s (Przybył, 1989). Current GW fluctuations further weaken oak trees and accelerate their decline (Skrzecz et al., 2022), e.g. on the Krotoszyn Plateau (Danielewicz, 2016).
man side of the border, an area of about 150 ha in the Saxon Switzerland National Park was affected (DAV, 2022). During the decade of 2010-2020 in the Czech Republic, almost
have experienced massive mortality since 2018 (e.g. Kunert, 2019, 2020). In this case, in addition to the hot and dry summers, the fungus Spaeropsis sapinea (or Diplodia pinea) causes pine dieback (Mette and Kölling, 2020).
logging of the damaged public forests led to the harvest of
3.4 Damage to forests in the Alpine zone, 2018-2022
vested in 2021. The primary cause of this damage was a significant increase in bark beetle infestations, with these pests now spreading up to the treeline at approximately 2000 m above sea level due to climate change (Bundesforste, 2023). Additionally, in March 2022, a massive wildfire in Allentsteig, Lower Austria, burned approximately 800 ha, including 400 ha of forest, making it one of the largest forest fires in Austria’s history (Müller, 2022).
3.5 Damage to forests in the southern zone, 2018-2022
of the Po River, which was also related to the lack of snow in the Italian Alps that winter (Koehler et al., 2022). A study looking at the impacts of the 2017-2022 drought and heatwaves in forest areas in Tuscany found that the most-severe impacts, including defoliation and mortality, were observed in the tall evergreen Mediterranean woodlands and in the aged coppices (holm oaks; Bussotti et al., 2023). The study suggests that the impact of the 2022 prolonged drought on forests could have been larger, but trees might be responding to current climate change via rapid acclimation based on epigenetic modifications (Rico et al., 2014).
4.3 Drought legacy effects in forests – the accumulation of long-term damage due to soil moisture deficit
5 Discussion
gion’s long-term exposure to drought, which may have fostered adaptive mechanisms and built resilience over time. At the same time, the varying occurrence of drought conditions along the southern zone may also have contributed to the moderate impact. In the northern zone, the first impacts of drought and heat start to emerge, although the severity is not yet pronounced. The presence of site-adapted boreal forest tree species is likely to contribute to the region’s overall resistance. The Alpine zone displayed the least impact, which may highlight the potential protective role of altitude in mitigating the effects of climate extremes.
5.1 Central zone
2023). In 2019, over
5.2 Southern zone
damage caused by wood-boring insects are unavailable, suggesting that insect pests may not have posed a major threat between 2018 to 2022. Nevertheless, a significant increase in TCL compared to the reference period was observed. Assessing the incidence of wildfires during the period of 2018-2022 was not possible. However, the exceptionally severe wildfires in 2017 with staggering losses, particularly in Portugal, necessitated their inclusion in this study. The devastation caused by wildfires presents a continuously growing challenge for southern Europe, despite wildfires generally being a part of the southwestern European ecosystems. Italy was strongly affected by the windstorm Vaia in 2018. We found no increase in insect infestation during the period from 2018 to 2022 nor in the years prior. Up to
5.3 Northern zone
the data indicate potential vulnerability to future drought impacts, highlighting the need for ongoing monitoring and conservation efforts. It is important to note that the lack of data on crown defoliation for broadleaves limits a comprehensive assessment of the situation.
ing. However, a breeding population of the European spruce bark beetle (Ips typographus) has now become established in southeast England, likely arriving by flight across the English Channel following a large-scale dispersal from continental Europe due to extreme weather in 2021-2022 (Inward et al., 2024). This poses a future threat to the spruce in the UK, which is the dominant timber species. It should also be noted that when it comes to drought damage recorded in England and Scotland in 2018, wildfires only ranked third, while impacts on freshwater ecosystems and water quality ranked higher (Turner et al., 2021).
5.4 Alpine zone
ity across the Alps, with notably greater impacts observed in the northern Alpine regions. Eriksen and Hauri (2021) mentioned that forest fires have traditionally been more common on the southern side of the Alps, and the countries have introduced better forest fire management strategies.
5.5 Forest fire and tree cover loss
area during 1996-2021 compared to 1971-1995 (Turco et al., 2023). In the western United States, climate change and other factors have doubled the cumulative forest fire area since 1984 (Abatzoglou and Williams, 2016). Global projections for the 21st century suggest that climate change will worsen fire weather conditions, affecting a significant portion of the burnable land worldwide (Abatzoglou et al., 2019). The significant disparities in TCL observed across European regions between the dry period of 2018-2022 and the reference period of 2010-2014 highlight the complex interactions between human activities, natural phenomena, and climate change, emphasising the importance of comprehensive forest management strategies to mitigate the impacts of environmental changes on forest ecosystems. The escalating frequency and intensity of extreme weather events such as storms, droughts, and wildfires pose significant threats to forest health and resilience. However, forests are under increasing pressure, not only from climate extremes but also from human activities such as logging, deforestation, and urbanisation, underscoring the urgent need for proactive measures to address these challenges. Further research is needed to better understand the specific drivers behind the disparities in reporting and to develop targeted interventions for sustainable forest conservation and management.
5.6 Future trends, biophysical feedback, and impacts on forests
turbance regimes are expected to intensify with continuing global warming, leading to increasing forest biomass losses due to windthrow, fires, and insect outbreaks (Forzieri et al., 2021; Patacca et al., 2023).
6 Conclusions
- European forests are highly vulnerable to heat and drought, with even currently resilient ecosystems at significant risk of severe damage in the decades to come.
- The geographical variability in the distribution of forest damage needs to be integrated into Europe-wide strategies to effectively mitigate future impacts.
- The study underscores the challenges in data collection and highlights the necessity for harmonised data and enhanced monitoring to address future environmental challenges effectively.
- such as species choice, thinning, or prescribed burning alongside climate adaptation measures, early warning systems, and wildfire risk reduction strategies. Enhancing forest resilience through these measures on a regional scale will be pivotal in addressing future environmental challenges effectively.
References
Abatzoglou, J. T., Williams, A. P., and Barbero, R.: Global emergence of anthropogenic climate change in fire weather indices, Geophys. Res. Lett., 46, 326-336, https://doi.org/10.1029/2018GL080959, 2019.
Aeschbach-Hertig, W. and Gleeson, T.: Regional strategies for the accelerating global problem of groundwater depletion, Nat. Geosci., 5, 853-861, https://doi.org/10.1038/ngeo1617, 2012.
Agrar-&Forstbericht Südtirol: Bericht über das Jahr 2021, https://www.provinz.bz.it/land-forstwirtschaft/landwirtschaft/ publikationen.asp?publ_action=300&publ_image_id=616940 (last access: 30 October 2024), 2021.
AIEF: Memoria del Inventario Español de Especies Terrestres, https://www.miteco.gob.es/es/biodiversidad/temas/ inventarios-nacionales/es-00-memoria-19-dist_tcm30-524045. pdf (last access: 19 November 2024), 2019.
AIEF: Informe de Estado de la Diversidad Forestal en España, https://www.miteco.gob.es/es/biodiversidad/temas/ inventarios-nacionales/idf2020_tcm30-524136.pdf (last access: 19 November 2024), 2020.
Albrich, K., Seidl, R., Rammer, W., and Thom, D.: From sink to source: changing climate and disturbance regimes could tip the 21st century carbon balance of an unmanaged mountain forest landscape, Forestry, 96, 399-409, https://doi.org/10.1093/forestry/cpac022, 2023.
Allen, C. D., Macalady, A. K., Chenchouni, H., Bachelet, D., McDowell, N., Vennetier, M., Kitzberger, T., Rigling, A., Breshears, D. D., Hogg, E. H. (Ted), Gonzalez, P., Fensham, R., Zhang, Z., Castro, J., Demidova, N., Lim, J.-H., Allard, G., Running, S. W., Semerci, A., and Cobb, N.: A global overview of drought and heat-induced tree mortality reveals emerging climate change risks for forests, Forest Ecol. Manage., 259, 660-684, https://doi.org/10.1016/j.foreco.2009.09.001, 2010.
Allen, C. D., Breshears, D. D., and McDowell, N. G.: On underestimation of global vulnerability to tree mortality and forest die-off from hotter drought in the Anthropocene, Ecosphere, 6, 1-55, https://doi.org/10.1890/ES15-00203.1, 2015.
Alpconv: The Alps in 25 Maps: https://www.alpconv.org/fileadmin/ user_upload/Publications/25maps.pdf (last access: 28 November 2024), 2018.
AON: Weather, Climate, and Catastrophe Insight, https://www.aon.com/reinsurance/getmedia/ 1b516e4d-c5fa-4086-9393-5e6afb0eeded/ 20220125-2021-weather-climate-catastrophe-insight.pdf (last access: 30 October 2024), 2018.
APA: Seca, https://rea.apambiente.pt/content/seca (last access: 27 June 2023), 2023.
Bader, S., Collaud Coen, M., Duguay-Tetzlaff, A., Frei, C., Fukutome, S., Gehrig, R., Maillard Barras, E., Martucci, G., Romanens, G., Scherrer, S., Schlegel, T., Spirig, Ch., Stübi, R., Vuilleumier, L., and Zubler, E.: Klimareport 2018, Berichte & Bulletins, Bundesamt für Meteorologie und Klimatologie MeteoSchweiz, Bern, Switzerland, ISSN 2296-1488, 2019.
Banerjee, T., De Roo, F., and Mauder, M.: Explaining the convector effect in canopy turbulence by means of largeeddy simulation, Hydrol. Earth Syst. Sci., 21, 2987-3000, https://doi.org/10.5194/hess-21-2987-2017, 2017.
Bakke, S. J., Ionita, M., and Tallaksen, L. M.: The 2018 northern European hydrological drought and its drivers in a historical perspective, Hydrol. Earth Syst. Sci., 24, 5621-5653, https://doi.org/10.5194/hess-24-5621-2020, 2020.
Bakke, S. J., Ionita, M., and Tallaksen, L. M.: Recent European drying and its link to prevailing large-scale atmospheric patterns, Sci. Rep., 13, 21921, https://doi.org/10.1038/s41598-023-488614, 2023.
Bardalen, A., Pettersen, I., Dombu, S. V., Rosnes, O., Mittenzwei, K., and Skulstad, A.: Klimaendring utfordrer det norske matsystemet. Kunnskapsgrunnlag for vurdering av klimarisiko i verdikjeder med matsystemet som case, NIBIO rapport 8 (110), https://hdl.handle.net/11250/3013268 (last access: 27 November 2024), 2022.
BBC: Droughts in England and their impacts, BBC News, https: //www.bbc.com/news/uk-england-lancashire-44853173 (last access: 14 March 2023), 2018.
Beguería, S., Vicente-Serrano, S. M., Reig, F., and Latorre, B.: Standardized precipitation evapotranspiration index (SPEI) revisited: parameter fitting, evapotranspiration models, tools, datasets and drought monitoring, Int. J. Climatol., 33, 2308-2319, 2013.
Beloiu, M., Stahlmann, R., and Beierkuhnlein, C.: Drought impacts in forest canopy and deciduous tree saplings in Central European forests, Forest Ecol. Manag., 509, 120075, https://doi.org/10.1016/j.foreco.2022.120075, 2022.
Bento, V. A., Ribeiro, A. F., Russo, A., Gouveia, C. M., Cardoso, R. M., and Soares, P. M.: The impact of climate change in wheat and barley yields in the Iberian Peninsula, Sci. Rep., 11, 1-12, 2021.
BFW: Borkenkaefer und Sturmschäden in Österreich bis 2020, https://www.bfw.gv.at/wp-content/uploads/Abb_Borkenkaefer_ SturmSchnee_bis2020_Oesterreich.pdf (last access: 15 November 2024), 2020.
BFW: Borkenkäferbefall in Südösterreich, https://www.bfw.gv.at/pressemeldungen/borkenkaefer-fichtenwaelder-im-sueden-oesterreichs-stark-betroffen/ (last access: 15 November 2024), 2023.
Blunden, J. and Arndt, D. S.: State of the Climate in 2018, B. Am. Meteorol. Soc., 100, Si-S306, https://doi.org/10.1175/2019BAMSStateoftheClimate.1, 2019.
Bundesforste: Waldbilanz 2022, https://www.bundesforste.at/service-presse/presse/pressedetail/news/bundesforste-waldbilanz-2022-gepraegt-von-hitze-trockenheit-und-kaefer.html (last access: 15 November 2024), 2023.
BMEL: Ergebnisse der Waldzustandserhebung 2019, https://www.bmel.de/SharedDocs/Downloads/DE/_Wald/ ergebnisse-waldzustandserhebung-2019.pdf?_blob= publicationFile&
BMEL: Internationaler Tag des Waldes 2021, https://www.bmel. de/DE/themen/wald/waelder-weltweit/tag-des-waldes.html (last access: 19 November 2024), 2023b.
Bork, K., Triebenbacher, C., and Hahn, A.: Schadholz muss schnell raus, BLW, 5, 48-50, 2024.
Bonaldo, D., Bellafiore, D., Ferrarin, C., Ferretti, R., Ricchi, A., Sangelantoni, L., and Vitelletti, M. L.: The summer 2022 drought: a taste of future climate for the Po valley (Italy)?, Reg. Environ. Change, 23, 1, https://doi.org/10.1007/s10113-022-02004-z, 2023.
Brás, T. A., Seixas, J., Carvalhais, N., and Jägermeyr, J.: Severity of drought and heatwave crop losses tripled over the last five decades in Europe, Environ. Res. Lett., 16, 065012, https://doi.org/10.1088/1748-9326/abf004, 2021.
Breil, M., Rechid, D., Davin, E. L., de Noblet-Ducoudré, N., Katragkou, E., Cardoso, R. M., Hoffmann, P., Jach, L. L., Soares, P. M. M., Sofiadis, G., Strada, S., Strandberg, G., Tölle, M. H., and Warrach-Sagi, K.: The opposing effects of reforestation and afforestation on the diurnal temperature cycle at the surface and in the lowest atmospheric model level in the European summer, J. Climate, 33, 9159-9179, 2020.
Brun, P., Psomas, A., Ginzler, C., Thuiller, W., Zappa, M., and Zimmermann, N. E.: Large-scale early-wilting response of Central European forests to the 2018 extreme drought, Glob. Change Biol., 26, 7021-7035, 2020.
Büntgen, U., Urban, O., Krusic, P. J., Rybníček, M., Kolář, T., Kyncl, T., Ač, A., Koňasová, E., Čáslavský, J., Esper, J., Wagner, S., Saurer, M., Tegel, W., Dobrovolný, P., Cherubini, P., Reinig, F., and Trnka, M.: Recent European drought extremes beyond Common Era background variability, Nat. Geosci., 14, 190-196, 2021.
Buras, A., Meyer, B., and Rammig, A.: Record reduction in European forest canopy greenness during the 2022 drought, EGU General Assembly 2023, Vienna, Austria, 24-28 April 2023, EGU23-8927, https://doi.org/10.5194/egusphere-egu238927, 2023.
Bussotti, F., Papitto, G., Di Martino, D., Cocciufa, C., Cindolo, C., Cenni, E., Bettini, D., Iacopetti, G., and Pollastrini, M.: Le condizioni delle foreste italiane stanno peggiorando a causa di eventi climatici estremi? Evidenze dalle reti di monitoraggio nazionali ICP Forests – CON.ECO.FOR., Forest@, 19, 74-81, https://doi.org/10.3832/efor4134-019, 2022.
Bussotti, F., Bettini, D., Carrari, E., Selvi, F., and Pollastrini, M.: Cambiamenti climatici in atto: osservazioni sugli impatti degli eventi siccitosi sulle foreste toscane, Forest@, 20, 1-9, https://doi.org/10.3832/efor4224-019, 2023.
Caesar, L., Rahmstorf, S., Robinson, A., Feulner, G., and Saba, V.: Observed fingerprint of a weakening Atlantic Ocean overturning circulation, Nature, 556, 191-196, https://doi.org/10.1038/s41586-018-0006-5, 2018.
Christidis, N., and Stott, P. A.: The influence of anthropogenic climate change on wet and dry summers in Europe, Sci. Bull., 66, 813-823, https://doi.org/10.1016/j.scib.2021.01.020, 2021.
CIPRA: Bergwald im Klimawandel, https://www.cipra.org/de/ news/bergwald-im-klimawandel (last access: 15 November 2024), 2022.
CIW: Evaluatierapport waterschaarste en droogte 2019, https://www.integraalwaterbeleid.be/nl/nieuws/downloads-van-nieuwsberichten/evaluatierapport-waterschaarste-en-droogte2019 (last access: 16 August 2024), 2020.
CIW: Evaluatierapport waterschaarste en droogte 2020, https: //www.integraalwaterbeleid.be/nl/overleg/droogtecommissie/ evaluatierapport-waterschaarste-en-droogte-2020-1 (last access: 16 August 2024), 2021.
Copernicus: Mapping of emergency response for the 2023 floods, https://emergency.copernicus.eu/mapping/list-of-components/ EMSR281 (last access: 15 November 2024), 2023.
Cartwright, J. M., Littlefield, C. E., Michalak, J. L., Lawler, J. J., and Dobrowski, S. Z.: Topographic, soil, and climate drivers of drought sensitivity in forests and shrublands of the Pacific Northwest, USA, Sci. Rep., 10, 18486, https://doi.org/10.1038/s41598-020-75273-5, 2020.
Daloz, A. S., Schwingshackl, C., Mooney, P., Strada, S., Rechid, D., Davin, E. L., Katragkou, E., de Noblet-Ducoudré, N., Belda, M., Halenka, T., Breil, M., Cardoso, R. M., Hoffmann, P., Lima, D. C. A., Meier, R., Soares, P. M. M., Sofiadis, G., Strandberg, G., Toelle, M. H., and Lund, M. T.: Land-atmosphere interactions in sub-polar and alpine climates in the CORDEX flagship pilot study Land Use and Climate Across Scales (LUCAS) models Part 1: Evaluation of the snow-albedo effect, The Cryosphere, 16, 2403-2419, https://doi.org/10.5194/tc-16-2403-2022, 2022.
Davies, G. M., Gray, A., Rein, G., and Legg, C. J.: Peat consumption and carbon loss due to smouldering wildfire in a temperate peatland, Forest Ecol. Manag., 308, 169-177, https://doi.org/10.1016/j.foreco.2013.07.001, 2013.
Davies, S., Bathgate, S., Petr, M., Gale, A., Patenaude, G., and Perks, M.: Drought risk to timber production A risk versus return comparison of commercial conifer species in Scotland, Forest Policy Econ., 117, 102189, https://doi.org/10.1016/j.forpol.2020.102189, 2020.
Davin, E. L., Rechid, D., Breil, M., Cardoso, R. M., Coppola, E., Hoffmann, P., Jach, L. L., Katragkou, E., de Noblet-Ducoudré, N., Radtke, K., Raffa, M., Soares, P. M. M., Sofiadis, G., Strada, S., Strandberg, G., Tölle, M. H., Warrach-Sagi, K., and Wulfmeyer, V.: Biogeophysical impacts of forestation in Europe: first results from the LUCAS (Land Use and Climate Across Scales) regional climate model intercomparison, Earth
DAV: Waldbrand und Klima, https://magazin. alpenverein.de/artikel/waldbrand-klima-mensch_ a8c8fe7a-67c8-417c-9e65-95835ba16f17 (last access: 19 November 2024), 2022.
de Noblet-Ducoudré, N., Boisier, J. P., Pitman, A., Bonan, G. B., Brovkin, V., Cruz, F., and Voldoire, A.: Determining robust impacts of land-use-induced land cover changes on surface climate over North America and Eurasia: results from the first set of LUCID experiments, J. Climate, 25, 3261-3281, https://doi.org/10.1175/JCLI-D-11-00338.1, 2012.
DAERA: Wildfire damage across Mournes assessed by DAERA and partner agencies, https://www.daera-ni.gov.uk/news/wildfire-damage-across-mournes-assessed-by-daera-and-partner-agencies (last access: 19 November 2024), 2022.
Desiato, F., Fioravanti, G., Fraschetti, P., Perconti, W., Piervitali, E., and Pavan, V.: Gli indicatori del clima in Italia nel 2018 – ISPRA Report, https://www.isprambiente.gov.it/it/pubblicazioni/ stato-dellambiente/gli-indicatori-del-clima-in-italia-nel-2018 (last access: 24 July 2022), 2018.
DFWR: Schäden durch Fowi, https://dfwr.de/wp-content/uploads/ 2022/01/DFWR-Position-Schaeden-Fowi-Langfassung-Studie. pdf (last access: 15 August 2024), 2021.
Drouard, M., Kornhuber, K., and Woollings, T.: Disentangling dynamic contributions to summer 2018 anomalous weather over Europe, Geophys. Res. Lett., 46, 12537-12546, https://doi.org/10.1029/2019GL084601, 2019.
Dubach, V., Beenken, L., Bader, M., Odermatt, O., Stroheker, S., Hölling, D., treenet, Vögtli, I., Augustinus, B. A., and Queloz, V.: Protection des forêts – Vue d’ensemble 2020, WSL Ber. 110, 57 p., https://doi.org/10.3929/ethz-a-004498101, 2021.
Duchez, A., Frajka-Williams, E., Josey, S. A., Evans, D. G., Grist, J. P., Marsh, R., McCarthy, G. D., Sinha, B., Berry, D. I., and Hirschi, J. J.-M.: Drivers of exceptionally cold North Atlantic Ocean temperatures and their link to the 2015 European heat wave, Environ. Res. Lett., 11, 074004, https://doi.org/10.1088/1748-9326/11/7/074004, 2016.
DESTATIS: Holzernte 2019, https://www.destatis.de/DE/ Presse/Pressemitteilungen/2020/07/PD20_N041_412.html#: ~:text=ImJahr2019wurden46, warenes54MillionenKubikmeter (last access: 15 November 2024), 2020.
DESTATIS: Holzeinschlag, https://www.destatis.de/DE/Themen/ Branchen-Unternehmen/Landwirtschaft-Forstwirtschaft-Fischerei/Wald-Holz/aktuell-holzeinschlag.html (last access: 15 November 2024), 2023.
Dittus, A. J., Collins, M., Sutton, R., and Hawkins, E.: Reversal of projected European summer precipitation decline in a stabilizing climate, Geophys. Res. Lett., 51, e2023GL107448, https://doi.org/10.1029/2023GL107448, 2024.
Dolomitenstadt: 220 Mio. Borkenkäfer gingen in Osttirol in die Falle, https://www.dolomitenstadt.at/2022/08/03/ 220 -mio-borkenkaefer-gingen-in-osttirol-in-die-falle/ (last access: 15 November 2024), 2023.
Dobor, L., Hlásny, T., and Zimová, S.: Contrasting vulnerability of monospecific and species-diverse forests to wind and bark beetle disturbance: The role of management, Ecol. Evol., 10, 1223312245, 2020b.
DSB: Skogbrannsesongen 2018, https://www.dsb.no/globalassets/ dokumenter/rapporter/skogbrannsesongen_2018_nn.pd (last access: 19 October 2024), 2019.
DWD: https://www.dwd.de/DE/wetter/thema_des_tages/2022/4/ 20.html (last access: 15 November 2024), 2022.
EC-JRC Drought Reports, https://joint-research-centre.ec. europa.eu/european-and-global-drought-observatories/ drought-reports_en (last access: 21 August 2024), 2024.
EFFIS: Annual Statistics for UK, https://effis.jrc.ec.europa.eu/apps/ effis.statistics/estimates (last access: 20 March 2023), 2023a.
EFFIS: Annual Statistics for Ireland, https://effis.jrc.ec.europa. eu/apps/effis.statistics/estimates (last access: 20 March 2023), 2023b.
Eriksen, C. and Hauri, A.: Climate Change in the Swiss Alps, CSS Analyses in Security Policy, 290, https://doi.org/10.3929/ethz-b000496457, 2021.
EUFORGEN: Pinus cembra, https://www.euforgen.org/species/ pinus-cembra (last access: 22 August 2024), 2024.
European Commission, Libertà, G., Vivancos, T., Leray, T., Costa, H., San-Miguel-Ayanz, J., Branco, A., Durrant, T., Lana, F., Nuijten, D., Ahlgren, A., Löffler, P., Ferrari, D., De Rigo, D., Boca, R., and Maianti, P.: Forest fires in Europe, Middle East and North Africa 2017, Publ. Off. EU, https://doi.org/10.2760/663443, 2018.
EUROSTAT: Latest statistics on forest and wood products, https://ec.europa.eu/eurostat/web/products-eurostat-news/w/ edn-20230321-1 (last access: 24 April 2023), 2023.
Euwid: Sweden assuming
Fan, Y., Miguez-Macho, G., Jobbágy, E. G., Jackson, R. B., and Otero-Casal, C.: Hydrologic regulation of plant rooting depth, P. Natl. Acad. Sci., 114, 10572-10577, https://doi.org/10.1073/pnas.1712381114, 2017.
Feller, U., Kingston-Smith, A. H., and Centritto, M.: Editorial: abiotic stresses in agroecology: a challenge for whole plant physiology, Front. Environ. Sci., 5, 13, https://doi.org/10.3389/fenvs.2017.00013, 2017.
Feuerwehrverband: Rekord-Waldbrandsommer 2022: Fast 4300 Hektar Wald verbrannt – Waldeigentümer und Feuerwehren
fordern finanzielle Unterstützung für Präventionsmaßnahmen, https://www.feuerwehrverband.de/rekord-waldbrandsommer-2022-fast-4300-hektar-wald-verbrannt-waldeigentuemer-und-feuerwehren-fordern-finanzielle-unterstuetzung-fuerpraeventionsmassnahmen/ (last access: 15 November 2024), 2022.
Feurdean, A., Vannière, B., Finsinger, W., Warren, D., Connor, S. C., Forrest, M., Liakka, J., Panait, A., Werner, C., Andrič, M., Bobek, P., Carter, V. A., Davis, B., Diaconu, A.-C., Dietze, E., Feeser, I., Florescu, G., Gałka, M., Giesecke, T., Jahns, S., Jamrichová, E., Kajukało, K., Kaplan, J., Karpińska-Kołaczek, M., Kołaczek, P., Kuneš, P., Kupriyanov, D., Lamentowicz, M., Lemmen, C., Magyari, E. K., Marcisz, K., Marinova, E., Niamir, A., Novenko, E., Obremska, M., Pędziszewska, A., Pfeiffer, M., Poska, A., Rösch, M., Słowiński, M., Stančikaitė, M., Szal, M., Święta-Musznicka, J., Tanţău, I., Theuerkauf, M., Tonkov, S., Valkó, O., Vassiljev, J., Veski, S., Vincze, I., Wacnik, A., Wiethold, J., and Hickler, T.: Fire hazard modulation by long-term dynamics in land cover and dominant forest type in eastern and central Europe, Biogeosciences, 17, 1213-1230, https://doi.org/10.5194/bg-17-1213-2020, 2020.
Forest health: https://assets.gov.ie/136864/6a39a3ce-3f1d-461b-bbd9-7dd9bf7da570.pdf (last access: 15 November 2024), 2021.
Forest Research: A review of the evidence base on tree health and pests, https://cdn.forestresearch.gov.uk/2008/01/fcrn101.pdf (last access: 20 March 2023), 2008.
Forest Research: Public Opinion of Forestry 2019 – Northern Ireland, https://cdn.forestresearch.gov.uk/2022/03/pof2020ni.pdf (last access: 20 March 2023), 2019.
Forest Research: Public Opinion of Forestry 2021: UK and England, https://cdn.forestresearch.gov.uk/2022/02/pof_uk_eng_2021.pdf (last access: 20 March 2023), 2021.
Forest Research: Provisional Woodland Statistics 2022, https://cdn. forestresearch.gov.uk/2022/06/PWS-statsnotice-16jun22.pdf (last access: 20 March 2023), 2022a.
Forest Research: Forestry Statistics 2022, https://www. forestresearch.gov.uk/tools-and-resources/statistics/ forestry-statistics/ (last access: 20 March 2023), 2022b.
Forest Research: Pest and Disease Resources – Phytophthora pluvialis, https://www.forestresearch.gov.uk/tools-and-resources/fthr/ pest-and-disease-resources/phytophthora-pluvialis/ (last access: 20 March 2023), 2022c.
Forest Statistics Ireland: https://www.teagasc.ie/media/website/ crops/forestry/advice/Forest-Statistics-Ireland-2020.pdf (last access: 20 March 2023), 2020.
Forzieri, G., Girardello, M., Ceccherini, G., Spinoni, J., Feyen, L., Hartmann, H., Beck, P. S. A., Camps-Valls, G., Chirici, G., Mauri, A., and Cescatti, A.: Emergent vulnerability to climatedriven disturbances in European forests, Nat. Commun., 12, 1081, https://doi.org/10.1038/s41467-021-21399-7, 2021.
GAN-NIK: Resultados 2021 Red de Evaluacion Fitosanitaria de las Mas, https://www.navarra.es/NR/rdonlyres/ 4FC06980-DB33-40F3-8698-3BC9938F0142/480640/
Garbarino, M., Morresi, D., Urbinati, C., Malandra, F., Motta, R., Sibona, E. M., Vitali, A., and Weisberg, P. J.: Contrasting land use legacy effects on forest landscape dynamics in the Italian Alps and the Apennines, Landscape Ecol., 35, 2679-2694, https://doi.org/10.1007/s10980-020-01013-9, 2020.
García-León, D., Casanueva, A., Standardi, G., Burgstall, A., Flouris, A. D., and Nybo, L.: Current and projected regional economic impacts of heatwaves in Europe, Nat. Commun., 12, 5807, https://doi.org/10.1038/s41467-021-26050-z, 2021.
García-Herrera, R., Garrido-Perez, J. M., Barriopedro, D., Ordóñez, C., Vicente-Serrano, S. M., Nieto, R., Gimeno, L., Sorí, R., and Yiou, P.: The European 2016/17 Drought, J. Climate, 32, 31693187, https://doi.org/10.1175/JCLI-D-18-0331.1, 2019.
Gazol, A. and Camarero, J. J.: Compound climate events increase tree drought mortality across European forests, Sci. Total Environ., 816, 151604, https://doi.org/10.1016/j.scitotenv.2021.151604, 2022.
Gazol, A., Camarero, J. J., Jiménez, J. J., Moret-Fernández, D., López, M. V., Sangüesa-Barreda, G., and Igual, J. M.: Beneath the canopy: Linking drought-induced forest die-off and changes in soil properties, For. Ecol. Manag., 422, 294-302, https://doi.org/10.1016/j.foreco.2018.03.019, 2018.
GeoSphere Austria: Klimamonitoring, https://www.zamg.ac. at/cms/de/klima/klima-aktuell/klimamonitoring/?param=t& period=period-ymd-2024-08-20&ref
Geological Survey of Sweden: Årsredovisning 2017, https: //resource.sgu.se/produkter/broschyrer/arsredovisning-2017.pdf (last access: 15 November 2024), 2017.
George, J. P., Bürkner, P. C., Sanders, T. G., Neumann, M., Cammalleri, C., Vogt, J. V., and Lang, M.: Long-term forest monitoring reveals constant mortality rise in European forests, Plant Biol., 24, 199-209, https://doi.org/10.1111/plb.13430, 2022.
Gliksman, D., Averbeck, P., Becker, N., Gardiner, B., Goldberg, V., Grieger, J., Handorf, D., Haustein, K., Karwat, A., Knutzen, F., Lentink, H. S., Lorenz, R., Niermann, D., Pinto, J. G., Queck, R., Ziemann, A., and Franzke, C. L. E.: Review article: A European perspective on wind and storm damage – from the meteorological background to index-based approaches to assess impacts, Nat. Hazards Earth Syst. Sci., 23, 2171-2201, https://doi.org/10.5194/nhess-23-2171-2023, 2023.
Global Fire Monitoring Center: News, https://gfmc.online/media/ 2018/02-2018/news_20180223_pt.html (last access: 15 November 2024), 2018.
Greenpeace: Un año horribilis para España: incendios, sequía, olas de calor e inundaciones, https://es.greenpeace.org/es/sala-de-prensa/comunicados/2022-un-ano-horribilis-para-espana-incendios-sequia-olas-de-calor-e-inundaciones/ (last access: April 2023), 2022.
Gimbel, K. F., Puhlmann, H., and Weiler, M.: Does drought alter hydrological functions in forest soils?, Hydrol. Earth Syst. Sci., 20, 1301-1317, https://doi.org/10.5194/hess-20-1301-2016, 2016.
Głowacka, B. (Ed.), Hilszczański, J., Jabłoński, T., Łukaszewicz, J., Skrzecz, I., and Tarwacki, G.: Metodyka integrowanej ochrony drzewostanów iglastych, Instytut Badawczy Leśnictwa, ISBN 978-83-62830-28-2, 2013.
Grünig, M., Seidl, R., and Senf, C.: Increasing aridity causes larger and more severe forest fires across Europe, Glob. Change Biol., 29, 1648-1659, https://doi.org/10.1111/gcb.16385, 2023.
Grünzweig, J. M., de Boeck, H. J., Rey, A., Santos, M. J., Adam, O., Bahn, M., Belnap, J., Deckmyn, G., Dekker, S. C., Flores, O., Gliksman, D., Helman, D., Hultine, K. R., Liu, L., Meron, E., Michael, Y., Sheffer, E., Throop, H. L., Tzuk, O., and Yakir, D.: Dryland mechanisms could widely control ecosystem functioning in a drier and warmer world, Nat. Ecol. Evol., 6, 1064-1076, https://doi.org/10.1038/s41559-022-01779-y, 2022.
Gouvernement Français: France Relance – Toutes les mesures du plan de relance national, https://agriculture.gouv.fr/telecharger/ 118602 (last access: 15 November 2024), 2020.
Gunther, M.: Uvanlig barkbilleangrep i Vestfold. Forskning.no https://www.forskning.no/insekter-nibio-partner/ uvanlig-barkbilleangrep-i-vestfold/1319291 (last access: 17 December 2024). 2019.
Haarsma, R. J., Selten, F. M., and Drijfhout, S. S.: Decelerating Atlantic meridional overturning circulation main cause of future west European summer atmospheric circulation changes, Environ. Res. Lett., 10, 094007, https://doi.org/10.1088/17489326/10/9/094007, 2015.
Hanewinkel, M., Cullmann, D. A., Schelhaas, M. J., Nabuurs, G. J., and Zimmermann, N. E.: Climate change may cause severe loss in the economic value of European forest land, Nat. Clim. Change, 3, 203-208, https://doi.org/10.1038/nclimate1687, 2013.
Hari, V., Rakovec, O., Markonis, Y., Hanel, M., and Kumar, R.: Increased future occurrences of the exceptional 2018-2019 Central European drought under global warming, Sci. Rep., 10, 1-10, https://doi.org/10.1038/s41598-020-68872-9, 2020.
Hartick, C., Furusho-Percot, C., Goergen, K., and Kollet, S.: An interannual probabilistic assessment of subsurface water storage over Europe using a fully coupled terrestrial model, Water Resour. Res., 57, e2020WR027828, https://doi.org/10.1029/2020WR027828, 2021.
Hauser, M., Gudmundsson, L., Orth, R., Jézéquel, A., Haustein, K., Vautard, R., van Oldenborgh, G. J., Wilcox, L., and Seneviratne, S. I.: Methods and model dependency of extreme event attribution: The 2015 European drought, Earth’s Future, 5, 1034-1043, https://doi.org/10.1002/2017EF000612, 2017.
Heinze, B.: Bei uns und über dem Gartenzaun: die Entwicklung des Eschentriebsterbens in Österreich im europäischen Kontext, BFW-Praxisinformation Nr. 43, 7-12, Translation: Reneema Hazarika/BFW, https://shop.bfw.ac.at/ bfw-praxisinformation/bfw-praxisinfo-43-2017.html (last access: 19 November 2024), 2017.
Hellwig, J., de Graaf, I. E. M., Weiler, M., and Stahl, K.: Large-Scale Assessment of Delayed Groundwater Responses to Drought, Water Resour. Res., 56, e2019WR025441, https://doi.org/10.1029/2019WR025441, 2020.
Henley, J.: Europe’s rivers run dry as scientists warn drought could be worst in 500 years, https://www.theguardian.com/ environment/2022/aug/ (last access: 27 February 2023), 2022.
Hermann, M., Röthlisberger, M., Gessler, A., Rigling, A., Senf, C., Wohlgemuth, T., and Wernli, H.: Meteorological history of low-forest-greenness events in Europe in 2002-2022, Biogeosciences, 20, 1155-1180, https://doi.org/10.5194/bg-20-11552023, 2023.
Hewelke, E., Oktaba, L., Gozdowski, D., Kondras, M., Olejniczak, I., and Górska, E. B.: Intensity and persistence of soil water repellency in pine forest soil in a temperate continental climate under drought conditions, Water, 10, 1121, https://doi.org/10.3390/w10091121, 2018.
Highland Council: Scotland’s firefighters responded to more than one wildfire a day during spring last year, https://www.highland. gov.uk/news/article/15161/scotland_s_firefighters_responded_ to_more_than_one_wildfire_a_day_during_spring_last_year (last access: 22 March 2023), 2023.
Hicks, L. C., Rahman, M. M., Carnol, M., Verheyen, K., and Rousk, J.: The legacy of mixed planting and precipitation reduction treatments on soil microbial activity, biomass and community composition in a young tree plantation, Soil Biol. Biochem., 124, 227235, https://doi.org/10.1016/j.soilbio.2018.06.022, 2018.
Hlásny, T., Krokene, P., Liebhold, A., Montagné-Huck, C., Müller, J., Qin, H., Raffa, K., Schelhaas, M.-J., Seidl, R., Svoboda, M., and Viiri, H.: Living with bark beetles: impacts, outlook and management options, No. 8, European Forest Institute, https://doi.org/10.36333/fs08, 2019.
Hlásny, T., Zimová, S., Merganičová, K., Štěpánek, P., Modlinger, R., and Turčáni, M.: Devastating outbreak of bark beetles in the Czech Republic: Drivers, impacts, and management implications, For. Ecol. Manag., 490, 119075, https://doi.org/10.1016/j.foreco.2021.119075, 2021.
Holman, I. P., Hess, T. M., Rey, D., and Knox, J. W.: A multi-level framework for adaptation to drought within temperate agriculture, Front. Environ. Sci., 8, 589871, https://doi.org/10.3389/fenvs.2020.589871, 2021.
Hoy, A., Haensel, S., Skalak, P., Ustrnul, Z., and Bochníček, O.: The extreme European summer of 2015 in a long-term perspective, Int. J. Climatol., 37, 943-962, https://doi.org/10.1002/joc.4722, 2017.
Huuskonen, S., Domisch, T., Finér, L., Hantula, J., Hynynen, J., Matala, J., Miina, J., Neuvonen, S., Nevalainen, S., Niemistö, P., Nikula, A., Piria, T., Siitonen, J., Smolander, A., Tonteri, T., Uotila, K., and Viiri, H.: What is the potential for replacing monocultures with mixedspecies stands to enhance ecosystem services in boreal forests in Fennoscandia?, For. Ecol. Manag., 479, 118558, https://doi.org/10.1016/j.foreco.2020.118558, 2021.
Hroššo, B., Mezei, P., Potterf, M., Majdák, A., Blaženec, M., Korolyova, N., and Jakuš, R.: Drivers of Spruce
ICP forests: Annual Report, https://www.icp-forests.org/pdf/ TR2007.pdf (last access: 27 June 2023), 2007.
ICCP: Douville, H., Raghavan, K., Renwick, J., Allan, R. P., Arias, P. A., Barlow, M., Cerezo-Mota, R., Cherchi, A., Gan, T. Y., Gergis, J., Jiang, D., Khan, A., Pokam Mba, W., Rosenfeld, D., Tierney, J., and Zolina, O.: Water Cycle Changes, in: Climate Change 2021: The Physical Science Basis, Contribution of Working Group I to the Sixth Assessment Report of the Intergovernmental Panel on Climate Change, edited by: Masson-Delmotte, V., Zhai, P., Pirani, A., Connors, S. L., Péan, C., Berger, S., Caud, N., Chen, Y., Goldfarb, L., Gomis, M. I., Huang, M., Leitzell, K., Lonnoy, E., Matthews, J. B. R., Maycock, T. K., Waterfield, T., Yelekçi, O., and Yu, R., New York, NY, USA, 1055-1210, https://doi.org/10.1017/9781009157896.010, 2021a.
ICCP: IPCC: Summary for Policymakers, in: Climate Change 2021: The Physical Science Basis, Contribution of Working Group I to the Sixth Assessment Report of the Intergovernmental Panel on Climate Change, edited by: Masson-Delmotte, V., Zhai, P., Pirani, A., Connors, S. L., Péan, C., Berger, S., Caud, N., Chen, Y., Goldfarb, L., Gomis, M. I., Huang, M., Leitzell, K., Lonnoy, E., Matthews, J. B. R., Maycock, T. K., Waterfield, T., Yelekçi, O., Yu, R., and Zhou, B., Cambridge University Press, Cambridge, United Kingdom and New York, NY, USA, 3-32, https://doi.org/10.1017/9781009157896.001, 2021b.
Ilmastokatsaus: Elokuu 2019, https://doi.org/10.35614/ISSN-2341-6408-IK-2019-08-00, 2019.
Ilmastokatsaus: Ilmastovuosikatsaus 2020, https://doi.org/10.35614/ISSN-2341-6408-IVK-2020-00, 2020.
Ilmastokatsaus: Ilmastovuosikatsaus 2021, https://doi.org/10.35614/ISSN-2341-6408-IVK-2021-00, 2021.
Ilmastokatsaus: Ilmastovuosikatsaus 2022, https://doi.org/10.35614/ISSN-2341-6408-IVK-2022-00, 2022.
IMKTRO: Wetter und Klima – Fakten zum Klimawandel – Klimawandel in Mitteleuropa – Niederschlag, https://www.kit.edu/ IMKTRO (last access: 21 August 2024), 2023a.
IMKTRO: Wetter und Klima – Fakten zum Klimawandel – Klimawandel in Mitteleuropa – Temperatur, https://www.kit.edu/ IMKTRO (last access: 21 August 2024), 2023b.
Inward, D. J. G., Caiti, E., Barnard, K., Hasbroucq, S., Reed, K., and Grégoire, J. C.: Evidence of cross-channel dispersal into England of the forest pest Ips typographus, J. Pest Sci., 97, 1823-1837, https://doi.org/10.1007/s10340-024-01763-4, 2024.
Ionita, M. and Nagavciuc, V.: Changes in drought features at the European level over the last 120 years, Nat. Hazards Earth Syst. Sci., 21, 1685-1701, https://doi.org/10.5194/nhess-21-1685-2021, 2021a.
Ionita, M., Dima, M., Nagavciuc, V., Scholz, P., and Dima, M.: Past megadroughts in central Europe were longer, more severe and less warm than modern droughts, Commun. Earth Environ., 2, 61, https://doi.org/10.1038/s43247-021-00130-w, 2021b.
Ionita, M., Nagavciuc, V., Scholz, P., and Dima, M.: Longterm drought intensification over Europe driven by the weakening trend of the Atlantic Meridional Overturning Circulation, J. Hydrol. Reg. Stud., 42, 101176, https://doi.org/10.1016/J.EJRH.2022.101176, 2022.
Jabłoński, T., Tarwacki, G., and Sukovata, L.: Pine forest conditions in Poland in 201-2018, Conf. Pap., Pine forests: current status, existing challenges and ways forward, Kyiv, 2019b.
Jactel, H., Koricheva, J., and Castagneyrol, B.: Responses of forest insect pests to climate change: not so simple, Curr. Opin. Insect Sci., 35, 103-108, https://doi.org/10.1016/j.cois.2019.07.010, 2019.
Jiang, Y., Marchand, W., Rydval, M., Matula, R., Janda, P., Begović, K., Thom, D., Fruleux, A., Buechling, A., Pavlin, J., Nogueira, J., Dušátko, M., Málek, J., Kníř, T., Veber, A., and Svoboda, M.: Drought resistance of major tree species in the Czech Republic, Agric. For. Meteorol., 348, 109933, https://doi.org/10.1016/j.agrformet.2024.109933, 2024.
Karavani, A., Boer, M. M., Baudena, M., Colinas, C., DíazSierra, R., Pemán, J., de Luis, M., Enríquez-de-Salamanca, Á., and Resco de Dios, V.: Fire-induced deforestation in drought-prone Mediterranean forests: drivers and unknowns from leaves to communities, Ecol. Monogr., 88, 141-169, https://doi.org/10.1002/ecm.1285, 2018.
Kautz, M., Peter, F. J., Harms, L., Kammen, S., and Delb, H.: Patterns, drivers and detectability of infestation symptoms following attacks by the European spruce bark beetle, J. Pest Sci., 96, 403414, 2023.
Kendon, M., McCarthy, M., Jevrejeva, S., Matthews, A., Sparks, T., and Garforth, J.: State of the UK Climate 2020, Int. J. Climatol., https://doi.org/10.1002/joc.7285, 2021.
Kendon, M., McCarthy, M., Jevrejeva, S., Matthews, A., Sparks, T., Garforth, J., and Kennedy, J.: State of the UK Climate 2021, Int. J. Climatol., https://doi.org/10.1002/joc.7787, 2022.
Kirchmeier-Young, M. C., Gillett, N. P., Zwiers, F. W., Cannon, A. J., and Anslow, F. S.: Attribution of the influence of humaninduced climate change on an extreme fire season, Earth Fut., 7, 2-10, 2019.
Kirkpatrick Baird, F., Stubbs Partridge, J., and Spray, D.: Anticipating and mitigating projected climate-driven increases in extreme drought in Scotland, 2021-2040, NatureScot Res. Rep., 1228, ISBN 978-1-78391-878-2, 2021.
Knoke, T., Gosling, E., Thom, D., Chreptun, C., Rammig, A., and Seidl, R.: Economic losses from natural disturbances in Norway spruce forests – A quantification using Monte-Carlo simulations, Ecol. Econ., 185, 107046, https://doi.org/10.1016/j.ecolecon.2021.107046, 2021.
Koehler, J., Dietz, A. J., Zellner, P., Baumhoer, C. A., Dirscherl, M., Cattani, L., Vlahović, Ž., Alasawedah, M. H., Mayer, K., Haslinger, K., Bertoldi, G., Jacob, A., and Kuenzer, C.:
Kollet, S. J. and Maxwell, R. M.: Capturing the influence of groundwater dynamics on land surface processes using an integrated, distributed watershed model, Water Resour. Res., 44, 2, https://doi.org/10.1029/2007WR006004, 2008.
Kosenius, A.-K., Tulla, T., Horne, P., Vanha-Majamaa, I., and Kerkelä, L.: Economics of forest fire management and ecosystem services – Cost analysis from North Karelia (in Finnish), PTT Working Papers 165, 54 pp. , ISBN 978-952-224-157-3, 2014.
Kotlarski, S., Gobiet, A., Morin, S., Olefs, M., Rajczak, J., and Samacoïts, R.: 21st Century alpine climate change, Clim. Dynam., 60, 65-86, 2023.
Kozhoridze, G., Korolyova, N., and Jakuš, R.: Norway spruce susceptibility to bark beetles is associated with increased canopy surface temperature in a year prior disturbance, For. Ecol. Manage., 547, 121400, https://doi.org/10.1016/j.foreco.2023.121400, 2023.
Krumm, F., Rigling, A., Bollmann, K., Brang, P., Dürr, C., Gessler, A., Schuck, A., Schulz-Marty, T., and Winkel, G.: Synthesis: Improving biodiversity conservation in European managed forests needs pragmatic, courageous, and regionally-rooted management approaches, European Forest Institute (EFI), Swiss Federal Institute for Forest, Snow and Landscape Research (WSL), 608633, 2020.
Kunert, N.: Das Ende der Kiefer als Hauptbaumart in Mittelfranken, AFZ-Der Wald, 3, 24-25, 2019.
Kunert, N.: Preliminary indications for diverging heat and drought sensitivities in Norway spruce and Scots pine in Central Europe, iForest, 13, 89-96, 2020.
Kurz-Besson, C., Otieno, D., Lobo do Vale, R., Siegwolf, R., Schmidt, M., Herd, A., Nogueira, C., David, T. S., David, J. S., Tenhunen, J., Pereira, J. S., and Chaves, M.: Hydraulic lift in cork oak trees in a savannah-type Mediterranean ecosystem and its contribution to the local water balance, Plant Soil, 282, 361378, https://doi.org/10.1007/s11104-006-0001-5, 2006.
Kurz-Besson, C., Lousada, J. L., Gaspar, M. J., Correia, I., Soares, P. M. M., Cardoso, R. M., Russo, A., Varino, F., Mériaux, C., Trigo, R. M., and Gouveia, C. M.: Effects of recent minimum temperature and water deficit increases on Pinus pinaster radial growth and wood density in Southern Portugal, Front. Plant Sci., 7, 1170, https://doi.org/10.3389/fpls.2016.01170, 2016.
Kwiatkowski, M., Rutkiewicz, A., and Sawicki, A. (Eds.): Klęski żywiołowe w lasach, Instytut Badawczy Leśnictwa, ISBN 978-83-62830-85-5, 2020.
Laaha, G., Gauster, T., Tallaksen, L. M., Vidal, J.-P., Stahl, K., Prudhomme, C., Heudorfer, B., Vlnas, R., Ionita, M., Van Lanen, H. A. J., Adler, M.-J., Caillouet, L., Delus, C., Fendekova, M., Gailliez, S., Hannaford, J., Kingston, D., Van Loon, A. F., Mediero, L., Osuch, M., Romanowicz, R., Sauquet, E., Stagge, J. H., and Wong, W. K.: The European 2015 drought from a hydrological perspective, Hydrol. Earth Syst. Sci., 21, 3001-3024, https://doi.org/10.5194/hess-21-3001-2017, 2017.
Lech, P., Żółciak, A., and Hildebrand, R.: Occurrence of European Mistletoe (Viscum album L.) on Forest Trees in Poland and Its Dynamics of Spread in the Period 2008-2018, Forests, 11, 83, https://doi.org/10.3390/f11010083, 2019.
Lech, P., Zajączkowski, G. (Ed.), Boczoń, A., Hildebrand, R., Kluziński, L., Kowalska, J., Małachowska, J., Wawrzoniak, J., and Zajączkowski, G.: Stan zdrowotny lasów Polski w 2020 roku, Instytut Badawczy Leśnictwa, Sękocin Stary, http://www.gios.gov. pl/monlas/raporty/raport_2020/raport_2020.pdf (last access: 28 November 2024), 2021.
Lehtonen, I. and Venäläinen, A.: Metsäpalokesä 2018 muuttuvassa ilmastossa – poikkeuksellinen vuosi vai uusi normaali?, Finn. Meteorol. Inst. Rep., 2020:2, https://doi.org/10.35614/isbn.9789523361089, 2020.
Lejeune, Q., Davin, E. L., Gudmundsson, L., Winckler, J., and Seneviratne, S. I.: Historical deforestation locally increased the intensity of hot days in northern mid-latitudes, Nat. Clim. Change, 8, 386-390, https://doi.org/10.1038/s41558-018-01402, 2018.
Leuschner, C.: Drought response of European beech (Fagus sylvatica L.) – a review, Perspect. Plant Ecol. Evol. Syst., https://doi.org/10.1016/j.ppees.2020.125576, 2020.
Leverkus, A. B., García Murillo, P., Jurado Doña, V., and Pausas, J. G.: Wildfires: Opportunity for restoration?, Science, 363, 134135, https://doi.org/10.1126/science.aaw2134, 2019.
Li, M., Yao, Y., Simmonds, I., Luo, D., Zhong, L., and Chen, X.: Collaborative impact of the NAO and atmospheric blocking on European heatwaves, with a focus on the hot summer of 2018, Environ. Res. Lett., 15, 114003, https://doi.org/10.1088/17489326/aba6ad, 2020.
Liebhold, A. M., Brockerhoff, E. G., Kalisz, S., Nuñez, M. A., Wardle, D. A., and Wingfield, M. J.: Biological invasions in forest ecosystems, Biol. Invasions, 19, 3437-3458, https://doi.org/10.1007/s10530-017-1450-7, 2017.
Lindner, M., Maroschek, M., Netherer, S., Kremer, A., Barbati, A., Garcia-Gonzalo, J., Marchetti, M.: Climate change impacts, adaptive capacity, and vulnerability of European forest ecosystems, For. Ecol. Manage., 259, 698-709, https://doi.org/10.1016/j.foreco.2009.09.023, 2010.
Locatelli, T., Beauchamp, K., Perks, M., Xenakis, G., Nicoll, B., and Morison, J.: Drought risk in Scottish forests, Forest Research, https://doi.org/10.7488/era/1292, 2021.
López, R., Cano, F. J., Choat, B., Cochard, H., and Gil, L.: Plasticity in vulnerability to cavitation of Pinus canariensis occurs only at the driest end of an aridity gradient, Front. Plant Sci., 7, 769, https://doi.org/10.3389/fpls.2016.00769, 2016.
MAA (Ministère de l’Agriculture et de l’Alimentation): Récolte de bois et production de sciages en 2018, Agreste Chiffres et Données,
MAA (Ministère de l’Agriculture et de l’Alimentation): Récolte de bois et production de sciages en 2019, Agreste Primeur, n
MAA (Ministère de l’Agriculture et de l’Alimentation): Récolte de bois en 2020. Repli de
Mao, J., Nierop, K. G. J., Dekker, S. C., Dekker, L. W., and Chen, B.: Understanding the mechanisms of soil water repellency from nanoscale to ecosystem scale: a review, J. Soils Sediments, 19, 171-185, https://doi.org/10.1007/s11368-018-2195-9, 2019.
Martinez del Castillo, E., Zang, C. S., Buras, A., and Others: Climate-change-driven growth decline of European beech forests, Commun. Biol., 5, 163, https://doi.org/10.1038/s42003-022-03107-3, 2022.
Matías Resina, L., Bose, A. K., Gessler, A., Bolte, A., Bottero, A., Buras, A., and Cailleret, M.: Growth and resilience responses of Scots pine to extreme droughts across Europe depend on predrought growth conditions, Glob. Change Biol., 26, 4521-4537, https://doi.org/10.1111/gcb.15166, 2020.
Matiu, M., Crespi, A., Bertoldi, G., Carmagnola, C. M., Marty, C., Morin, S., Schöner, W., Cat Berro, D., Chiogna, G., De Gregorio, L., Kotlarski, S., Majone, B., Resch, G., Terzago, S., Valt, M., Beozzo, W., Cianfarra, P., Gouttevin, I., Marcolini, G., Notarnicola, C., Petitta, M., Scherrer, S. C., Strasser, U., Winkler, M., Zebisch, M., Cicogna, A., Cremonini, R., Debernardi, A., Faletto, M., Gaddo, M., Giovannini, L., Mercalli, L., Soubeyroux, J.-M., Sušnik, A., Trenti, A., Urbani, S., and Weilguni, V.: Observed snow depth trends in the European Alps: 1971 to 2019, The Cryosphere, 15, 1343-1382, https://doi.org/10.5194/tc-15-1343-2021, 2021.
Melin, M. (Ed.), Terhonen, E. (Ed.), Aarnio, L., Hantula, J., Helenius, P., Henttonen, H., Huitu, O., Härkönen, M., Isberg, T., Kaitera, J., Kasanen, R., Koivula, M., Kuitunen, P., Korhonen, K. T., Laurila, I., Lindberg, H., Linnakoski, R., Luoranen, J., Matala, J., Niemimaa, J., Nuorteva, H., Piri, T., Poimala, A., Poteri, M., Pouttu, A., Siitonen, J., Silver, T., Strandström, M., Uimari, A., Vainio, E., Vanha-Majamaa, I., Vuorinen, M., and Ylioja, T.: Metsätuhot vuonna 2021 (in Finnish), Luonnonvara- ja biotalouden tutkimus 38/2022, Natural Resources Institute Finland, Helsinki, http://urn.fi/URN:ISBN:978-952-380-423-4 (last access: 19 November 2024), 2022.
Merkur: Schloss Neuschwanstein Waldbrand Gefahr, https://www.merkur.de/bayern/schloss-neuschwanstein-waldbrand-tirol-feuer-gefahr-bayern-feuer-trockenheit-grenze-news-91407046.html, last access: 19 February 2024.
Mette, T. and Kölling, C.: Die Zukunft der Kiefer in Franken, LWF Aktuell, 2, 14-17, 2020.
MET Norway: Tørkesommeren 2018, MetINFO, 14, https://www. met.no/publikasjoner/met-info (last access: 15 November 2024), 2019.
Mezei, P., Fleischer, P., Rozkošný, J., Kurjak, D., Dzurenko, M., Rell, S., Lalík, M., and Galko, J.: Weather conditions and host characteristics drive infestations of sessile oak (Quercus petraea) trap trees by oak bark beetles (Scolytus intricatus), For. Ecol. Manage., 503, 119775, https://doi.org/10.1016/j.foreco.2021.119775, 2022.
Michel, A., Prescher, A.-K., and Schwärzel, K. (Eds.): Forest Condition in Europe: The 2019 Assessment, ICP Forests Techni-
cal Report, BFW Austrian Research Centre for Forests, Vienna, ISBN 978-3-903258-17-4, 2019.
Michel, A., Kirchner, T., Prescher, A.-K., and Schwärzel, K. (Eds.): Forest Condition in Europe: The 2020 Assessment, ICP Forests Technical Report, Thünen Institute, https://doi.org/10.3220/ICPTR1606916913000, 2020.
Michel, A., Kirchner, T., Prescher, A.-K., and Schwärzel, K. (Eds.): Forest Condition in Europe: The 2021 Assessment, ICP Forests Technical Report, Thünen Institute, https://doi.org/10.3220/ICPTR1624952851000, 2021.
Michel, A., Kirchner, T., Prescher, A.-K., and Schwärzel, K. (Eds.): Forest Condition in Europe: The 2022 Assessment, ICP Forests Technical Report, Thünen Institute, https://doi.org/10.3220/ICPTR1656330928000, 2022.
Milanovic, S., Markovic, N., Pamucar, D., Gigovic, L., Kostic, P., and Milanovic, S. D.: Forest fire probability mapping in Eastern Serbia: Logistic regression versus random forest method, Forests, 12, 5, https://doi.org/10.3390/f12010005, 2021.
Miljødirektoratet: Klimatiltak i Norge mot 2030: Oppdatert kunnskapsgrunnlag om utslippsreduksjonspotensial, barrierer og mulige virkemidler, Miljødirektoratet: Oslo, https://www.miljodirektoratet.no/publikasjoner/2023/juni-2023/ klimatiltak-i-norge-mot-2030/ (last access: 27 November 2024), 2023.
Moemken, J., Koerner, B., Ehmele, F., Feldmann, H., and Pinto, J. G.: Recurrence of drought events over Iberia. Part II: Future changes using regional climate projections, Tellus A, 74, 262279, https://doi.org/10.16993/tellusa.52, 2022.
Mohr, S., Ehret, U., Kunz, M., Ludwig, P., Caldas-Alvarez, A., Daniell, J. E., Ehmele, F., Feldmann, H., Franca, M. J., Gattke, C., Hundhausen, M., Knippertz, P., Küpfer, K., Mühr, B., Pinto, J. G., Quinting, J., Schäfer, A. M., Scheibel, M., Seidel, F., and Wisotzky, C.: A multi-disciplinary analysis of the exceptional flood event of July 2021 in central Europe – Part 1: Event description and analysis, Nat. Hazards Earth Syst. Sci., 23, 525551, https://doi.org/10.5194/nhess-23-525-2023, 2023.
Möhring, B., Bitter, A., Bub, G., Dieter, M., Dög, M., Hanewinkel, M., Hatzfeld, N., Köhler, J., Ontrup, G., Rosenberger, R., Seintsch, B., and Thoma, F.: Schadenssumme insgesamt 12,7 Mrd. Euro – Abschätzung der ökonomischen Schäden der Extremwetterereignisse der Jahre 2018 bis 2020 in der Forstwirtschaft, Holz-Zentralblatt, 9, 155-158, 2021.
Montanari, A., Nguyen, H., Rubinetti, S., Ceola, S., Galelli, S., Rubino, A., and Zanchettin, D.: Why the 2022 Po River drought is the worst in the past two centuries, Sci. Adv., 9, eadg8304, https://doi.org/10.1126/sciadv.adg8304, 2023.
Mooney, P. A., Rechid, D., Davin, E. L., Katragkou, E., de NobletDucoudré, N., Breil, M., Cardoso, R. M., Daloz, A. S., Hoffmann, P., Lima, D. C. A., Meier, R., Soares, P. M. M., Sofiadis, G., Strada, S., Strandberg, G., Toelle, M. H., and Lund, M. T.: Land-atmosphere interactions in sub-polar and alpine climates in the CORDEX Flagship Pilot Study Land Use and Climate Across Scales (LUCAS) models – Part 2: The role of changing vegetation, The Cryosphere, 16, 1383-1397, https://doi.org/10.5194/tc-16-1383-2022, 2022.
Morcillo, L., Gallego, D., González, E., and Vilagrosa, A.: Forest decline triggered by phloem parasitism-related biotic factors in Aleppo pine (Pinus halepensis), Forests, 10, 608, https://doi.org/10.3390/f10080608, 2019.
Motta, R., Ascoli, D., Corona, P., Marchetti, M., and Vacchiano, G.: Selvicoltura e schianti da vento. Il caso della “tempesta Vaia,” For. J. Silvic. For. Ecol., 15, 94, https://doi.org/10.3832/EFOR2990-015, 2018.
Müller, M. M., Vilà-Vilardell, L., Vacik, H., Mayer, C., Mayr, S., Carrega, P., and Maier, H.: Forest fires in the Alps: State of knowledge, future challenges and options for an integrated fire management, EUSALP Action Group, 8, https://doi.org/10.13140/RG.2.2.15609.42081, 2020.
Müller, M. M.: Rekordbrand TÜPl Allentsteig, https: //fireblog.boku.ac.at/2022/04/12/rekordbrand-tuepl-allentsteig, last access: 12 April 2022.
Müller, L. M. and Bahn, M.: Drought legacies and ecosystem responses to subsequent drought, Glob. Change Biol., 28, 50865103, https://doi.org/10.1111/gcb.16351, 2022.
Nardi, D., Jactel, H., Pagot, E., Samalens, J. C., and Marini, L.: Drought and stand susceptibility to attacks by the European spruce bark beetle: A remote sensing approach, Agric. For. Entomol., 25, 119-129, https://doi.org/10.1111/afe.12533, 2023.
NBI-7: Lerink, B., Schelhaas, M. J., Clerkx, S., Teeuwen, S., Oldenburger, J., and Beerkens, G.: 7e Nederlandse Bosinventarisatie: een gemengde boodschap, Vakblad Natuur Bos Landschap, 19, 8-11, 2022.
Neuvonen, S.: Ilmastonmuutos ja metsien hyönteistuhot (in Finnish), Metsätieteen aikakauskirja, 10498, https://doi.org/10.14214/ma.10498, 2020.
Nevalainen, S. and Pouttu, A. (Eds.): Metsätuhot vuonna 2016 (in Finnish), Luonnonvara- ja biotalouden tutkimus 50/2017, Natural Resources Institute Finland, Helsinki, http://urn.fi/URN: ISBN:978-952-326-447-2 (last access: 15 November 2024), 2017.
Norwegian Center for Climate Services: Observations and weather statistics, https://seklima.met.no/observations/ (last access: 15 November 2024), 2023.
Nuorteva, H. (Ed.): Metsätuhot vuonna 2018, Luonnonvara- ja biotalouden tutkimus 85/2019, Natural Resources Institute Finland, Helsinki, http://urn.fi/URN:ISBN:978-952-326-878-4 (last access: 19 November 2024), 2019 (in Finnish).
Nuorteva, H. (Ed.), Kytö, M. (Ed.), Aarnio, L., Ahola, A., Balázs, A., Elfving, R., Haapanen, M., Hantula, J., Henttonen, H., Huitu, O., Ihalainen, A., Kaitera, J., Kuitunen, P., Kashif, M., Korhonen, K. T., Lindberg, H., Linnakoski, R., Matala, J., Melin, M., Neuvonen, S., Niemimaa, J., Pietilä, V., Piri, T., Poteri, M., Pusenius, J., Silver, T., Strandström, M., Tikkanen, O.-P., Uimari, A., Vanha-Majamaa, I., Viiri, H., Vuorinen, M., and Ylioja, T.: Metsätuhot vuonna 2019 (in Finnish), Luonnonvara- ja biotalouden tutkimus 1/2022, Natural Resources Institute Finland, Helsinki, http://urn.fi/URN:ISBN:978-952-380-348-0 (last access: 19 November 2024), 2022.
NVE: Groundwater observations Norway, July 2018, https://www. senorge.no/ (last access: 15 November 2024), 2023.
NW-FVA: Waldzustandsbericht Niedersachsen 2022, https://www.ml.niedersachsen.de/download/190134/ Waldzustandsbericht_Niedersachsen_2022.pdf (last access: 15 November 2024), 2022.
O’Hanlon, R., Ryan, C., Choiseul, J., Murchie, A. K., and Williams, C. D.: Catalogue of pests and pathogens of trees on the island of Ireland, Biol. Environ. Proc. Roy. Irish Acad., 121B, 21-45, https://doi.org/10.1353/bae.2021.0005, 2021.
Öhrn, P., Berlin, M., Elfstrand, M., Krokene, P., and Jönsson, A. M.: Seasonal variation in Norway spruce response to inoculation with bark beetle-associated bluestain fungi one year after a severe drought, Forest Ecol. Manag., 496, 119443, https://doi.org/10.1016/j.foreco.2021.119443, 2021.
Olefs, M., Formayer, H., Gobiet, A., Marke, T., Schöner, W., and Revesz, M.: Past and future changes of the Austrian climateImportance for tourism, J. Outdoor Recreat. Tour., 34, 100395, https://doi.org/10.1016/j.jort.2021.100395, 2021.
ONF (Office National des Forêts): Forêts publiques françaises: quel nouveau visage?, https://www.onf.fr/onf/lonf-agit/+/8cf:: forets-publiques-francaises-quel-nouveau-visage.html (last access: 15 November 2024), 2020.
ONF (Office National des Forêts): En forêt, la crise des scolytes s’accélère partout en France, https://www.onf.fr/onf/+/2e0:: epidemie-de-scolytes-les-forestiers-de-lonf-sur-le-front.html (last access: 15 November 2024), 2021.
Orwig, D. A. and Abrams, M. D.: Variation in radial growth responses to drought among species, site, and canopy strata, Trees, 11, 474-484, https://doi.org/10.1007/s004680050114, 1997.
Patacca, M., Lindner, M., Lucas-Borja, M. E., Cordonnier, T., Fidej, G., Gardiner, B., and Schelhaas, M. J.: Significant increase in natural disturbance impacts on European forests since 1950, Glob. Change Biol., 29, 1359-1376, https://doi.org/10.1111/gcb.16578, 2023.
Peñuelas, J. and Filella, I.: Deuterium labelling of roots provides evidence of deep water access and hydraulic lift by Pinus nigra in a Mediterranean forest of NE Spain, Environ. Exp. Bot., 49, 201208, https://doi.org/10.1016/S0098-8472(02)00070-9, 2003.
Perugini, L., Caporaso, L., Marconi, S., Cescatti, A., Quesada, B., de Noblet-Ducoudré, N., and Arneth, A.: Biophysical effects on temperature and precipitation due to land cover change, Environ. Res. Lett., 12, 053002, https://doi.org/10.1088/17489326/aa6b3f, 2017.
Peters, W., Bastos, A., Ciais, P., and Vermeulen, A.: A historical, geographical and ecological perspective on the 2018 European summer drought, Philos. T. Roy. Soc. B, 375, 20190505, https://doi.org/10.1098/rstb.2019.0505, 2020.
Pettit, J. M., Voelker, S. L., DeRose, R. J., and Burton, J. I.: Spruce beetle outbreak was not driven by drought stress: Evidence from a tree-ring iso-demographic approach indicates temperatures were more important, Glob. Change Biol., 26, 58295843, https://doi.org/10.1111/gcb.15291, 2020.
Philipp, M., Wegmann, M., and Kübert-Flock, C.: Quantifying the Response of German Forests to Drought Events via Satellite Imagery, Remote Sens., 13, 1845, https://doi.org/10.3390/rs13091845, 2021.
Pilli, R., Vizzarri, M., and Chirici, G.: Combined effects of natural disturbances and management on forest carbon sequestration: the case of Vaia storm in Italy, Ann. For. Sci., 78, 1-18, https://doi.org/10.1007/s13595-021-01043-6, 2021.
Pirtskhalava-Karpova, N., Trubin, A., Karpov, A., and Jakuš, R.: Drought initialised bark beetle outbreak in Central Europe: Meteorological factors and infestation dynamic, Forest Ecol. Manag., 554, 121666, https://doi.org/10.1016/j.foreco.2023.121666, 2024.
Polish Supreme Chamber of Control: https://www.nik.gov.pl/ aktualnosci/zapobieganie-suszy-rolniczej.html, last access: 27 June 2023.
Popkin, G.: Forest fight, Science, 374, 1184-1189, https://doi.org/10.1126/science.acx9733, 2021.
Prieto, I., Armas, C., and Pugnaire, F. I.: Water release through plant roots: new insights into its consequences at the plant and ecosystem level, New Phytol., 193, 830-841, 2012.
Przybyl, K.: Wpływ warunków klimatycznych na zamieranie dębów w Polsce oraz symptomy choroby, Arboretum Kornickie, 34, https://rcin.org.pl/Content/189871/KOR001_148916. pdf (last access: 28 November 2024), 1989 (in Polish).
Rabbel, I., Bogena, H., Neuwirth, B., and Diekkrüger, B.: Using sap flow data to parameterize the Feddes water stress model for Norway Spruce, Water-Sui, 10, https://doi.org/10.3390/w10030279, 2018.
e del settore forestale in Veneto 2020, https://www.reterurale. it/flex/cm/pages/ServeBLOB.php/L/IT/IDPagina/19231 (last access: 15 November 2024), 2019.
Rakovec, O., Samaniego, L., Hari, V., Markonis, Y., Moravec, V., Thober, S., et al.: The 2018-2020 multi-year drought sets a new benchmark in Europe, Earth’s Future, 10, e2021EF002394, https://doi.org/10.1029/2021EF002394, 2022.
REA: https://rea.ec.europa.eu/news/fighting-flames-eu-funded-projects-protecting-forests-fire-destruction-2024-07-23_en, last access: 21 August 2024.
Rechid, D., Davin, E., de Noblet-Ducoudré, N., and Katragkou, E.: CORDEX Flagship Pilot Study “LUCAS-Land Use & Climate Across Scales”-a new initiative on coordinated regional land use change and climate experiments for Europe, EGU General Assembly Conference Abstracts, 13172, Geophysical Research Abstracts, Vol. 19, EGU2017-13172, 23-28 April 2017, EGU General Assembly 2017, Vienna, Austria, 2017.
Ribeiro, A. F., Russo, A., Gouveia, C. M., and Pires, C. A.: Drought-related hot summers: a joint probability analysis in the Iberian Peninsula, Weather Climate Extremes, 30, 100279, https://doi.org/10.1016/j.wace.2020.100279, 2020.
Rico, L., Ogaya, R., Barbeta, A., and Peñuelas, J.: Changes in DNA methylation fingerprint of Quercus ilex trees in response to experimental field drought simulating projected climate change, Plant Biol., 16, 419-427, https://doi.org/10.1111/plb.12049, 2014.
Rotenberg, E. and Yakir, D.: Contribution of semi-arid forests to the climate system, Science, 327, 451-454, https://doi.org/10.1126/science.1180556, 2010.
Rousi, E., Selten, F., Rahmstorf, S., and Coumou, D.: Changes in North Atlantic Atmospheric Circulation in a Warmer Climate Favor Winter Flooding and Summer Drought over Europe, J. Climate, 34, 2277-2295, https://doi.org/10.1175/JCLI-D-200311.1, 2021.
Ruffault, J., Curt, T., Moron, V., Trigo, R. M., Mouillot, F., Koutsias, N., and Dupuy, J. L.: Increased likelihood of heat-induced large wildfires in the Mediterranean Basin, Sci. Rep., 10, 13790, https://doi.org/10.1038/s41598-020-70069-z, 2020.
Ruosteenoja, K., Markkanen, T., and Räisänen, J.: Thermal seasons in northern Europe in projected future climate, Int. J. Climatol., 40, 4444-4462, https://doi.org/10.1002/joc.6471, 2020.
Russo, A., Gouveia, C. M., Páscoa, P., DaCamara, C. C., Sousa, P. M., and Trigo, R. M.: Assessing the role of drought events on wildfires in the Iberian Peninsula, Agr. Forest Meteorol., 237, 50-59, https://doi.org/10.1016/j.agrformet.2017.01.021, 2017.
Saintonge, F.-X., Gillette, M., Blaser, S., Queloz, V., and Leroy, Q.: Situation et gestion de la crise liée aux scolytes de l’Épicéa commun fin 2021 dans l’est de la France, en Suisse et en Wallonie, Rev. For. Fr., 73, 619-641, https://doi.org/10.20870/revforfr.2021.7201, 2021.
Salomón, R. L., Peters, R. L., Zweifel, R., Sass-Klaassen, U. G. W., Stegehuis, A. I., Smiljanic, M., Poyatos, R., Babst, F., Cienciala, E., Fonti, P., Lerink, B. J. W., Lindner, M., MartinezVilalta, J., Mencuccini, M., Nabuurs, G.-J., van der Maaten, E., von Arx, G., Bär, A., Akhmetzyanov, L., Balanzategui, D., Bellan, M., Bendix, J., Berveiller, D., Blaženec, M., Čada, V., Carraro, V., Cecchini, S., Chan, T., Conedera, M., Delpierre, N., Delzon, S., Ditmarová, L’., Dolezal, J., Dufrêne, E., Edvardsson, J., Ehekircher, S., Forner, A., Frouz, J., Ganthaler, A., Gryc, V., Güney, A., Heinrich, I., Hentschel, R., Janda, P., Ježík, M., Kahle, H.-P., Knüsel, S., Krejza, J., Kuberski, Ł., Kučera, J., Lebourgeois, F., Mikoláš, M., Matula, R., Mayr, S., Oberhuber, W., Obojes, N., Osborne, B., Paljakka, T., Plichta, R., Rabbel, I., Rathgeber, C. B. K., Salmon, Y., Saunders, M., Scharnweber, T., Sitková, Z., Stangler, D. F., Stereńczak, K., Stojanović, M., Střelcová, K., Světlík, J., Svoboda, M., Tobin, B., Trotsiuk, V., Urban, J., Valladares, F., Vavrčík, H., Vejpustková, M., Walthert, L., Wilmking, M., Zin, E., Zou, J., and Steppe, K.: The 2018 European heatwave led to stem dehydration but not to consistent growth reductions in forests, Nat. Commun., 13, 31432, https://doi.org/10.1038/s41467-021-27579-9, 2022.
San-Miguel-Ayanz, J., Oom, D., Artes, T., Viegas, D. X., Fernandes, P., Faivre, N., and Castellnou, M.: Forest fires in Portugal in 2017, in: Science for Disaster Risk Management 2020: Acting Today, Protecting Tomorrow, edited by: Casajus Valles, A., Marin Ferrer, M., Poljanšek, K., and Clark, I., EUR 30183 EN, Publications Office of the European Union, Luxembourg, https://doi.org/10.2760/571085, 2020.
SCB: Marken i Sverige, https://www.scb.se/hitta-statistik/ sverige-i-siffror/miljo/marken-i-sverige/ (last access: 21 November 2024), 2020.
Scherrer, D., Ascoli, D., Conedera, M., Fischer, C., Maringer, J., Moser, B., Wohlgemuth, T. et al.: Canopy disturbances catalyse tree species shifts in Swiss forests, Ecosystems, 25, 199-214, https://doi.org/10.1007/s10021-021-00649-1, 2022.
Schnabel, F., Purrucker, S., Schmitt, L., Engelmann, R. A., Kahl, A., Richter, R., Seele-Dilbat, C., Skiadaresis, G., and Wirth, C.: Cumulative growth and stress responses to the 2018-2019 drought in a European floodplain forest, Glob. Change Biol., 28, 18701883, https://doi.org/10.1111/gcb.16028, 2021.
Schuldt, B., Knutzen, F., Delzon, S., Jansen, S., Müller-Haubold, H., Burlett, R., Clough, Y., and Leuschner, C.: How adaptable is the hydraulic system of European beech in the face of climate change-related precipitation reduction?, New Phytol., 210, 443458, https://doi.org/10.1111/nph.13798, 2016.
Schuldt, B., Buras, A., Arend, M., Vitasse, Y., Beierkuhnlein, C., Damm, A., Gharun, M., Grams, T. E. E., Hauck, M., Hajek, P., Hartmann, H., Hiltbrunner, E., Hoch, G., Holloway-Phillips, M., Körner, C., Larysch, E., Lübbe, T., Nelson, D. B., Rammig, A., Rigling, A., Rose, L., Ruehr, N. K., Schumann, K., Weiser, F., Werner, C., Wohlgemuth, T., Zang, C. S., and Kahmen, A.: A first assessment of the impact of the extreme 2018 summer drought on Central European forests, Basic Appl. Ecol., 45, 86103, https://doi.org/10.1016/j.baae.2020.04.003, 2020.
Schumacher, D. L., Zachariah, M., Otto, F., Barnes, C., Philip, S., Kew, S., Vahlberg, M., Singh, R., Heinrich, D., Arrighi, J., van Aalst, M., Thalheimer, L., Raju, E., Hauser, M., Hirschi, M., Gudmundsson, L., Beaudoing, H. K., Rodell, M., Li, S., Yang, W., Vecchi, G. A., Vautard, R., Harrington, L. J., and Seneviratne, S. I.: High temperatures exacerbated by climate change made 2022 Northern Hemisphere soil moisture droughts more likely, World Weather Attribution, United Kingdom, https://coilink.org/ 20.500.12592/f00cjq (last access: 9 December 2024), 2022.
Seaton, F. M., Jones, D. L., Creer, S., George, P. B. L., Smart, S. M., Lebron, I., Barrett, G., Emmett, B. A., and Robinson, D. A.: Plant and soil communities are associated with the response of soil water repellency to environmental stress, Sci. Total Environ., 687, 929-938, https://doi.org/10.1016/j.scitotenv.2019.06.050, 2019.
Sefton, C., Muchan, K., Parry, S., Matthews, B., Barker, L. J., Turner, S., and Hannaford, J.: The 2019/2020 floods in the UK: a hydrological appraisal, Weather, https://doi.org/10.1002/wea.3993, 2021.
Seidl, R., Schelhaas, M. J., Rammer, W., et al.: Increasing forest disturbances in Europe and their impact on carbon storage, Nat. Clim. Change, 4, 806-810, https://doi.org/10.1038/nclimate2318, 2014.
Seidl, R., Thom, D., Kautz, M., Martin-Benito, D., Peltoniemi, M., Vacchiano, G., Wild, J., Ascoli, D., Petr, M., Honkaniemi, J., Lexer, M. J., Trotsiuk, V., Mairota, P., Svoboda, M., Fabrika, M., Nagel, T. A., and Reyer, C. P. O.: Forest distur-
bances under climate change, Nat. Clim. Chang., 7, 395-402, https://doi.org/10.1038/nclimate3303, 2017.
Seidl, R., Honkaniemi, J., Aakala, T., Aleinikov, A., Angelstam, P., Bouchard, M., Boulanger, Y., Burton, P. J., De Grandpré, L., Gauthier, S., Hansen, W. D., Jepsen, J. U., Jõgiste, K., Kneeshaw, D. D., Kuuluvainen, T., Lisitsyna, O., Makoto, K., Mori, A. S., Pureswaran, D. S., Shorohova, E., Shubnitsina, E., Taylor, A. R., Vladimirova, N., Vodde, F., and Senf, C.: Globally consistent climate sensitivity of natural disturbances across boreal and temperate forest ecosystems, Ecography, 43, 967-978, https://doi.org/10.1111/ecog.04995, 2020.
Senf, C. and Seidl, R.: Persistent impacts of the 2018 drought on forest disturbance regimes in Europe, Biogeosciences, 18, 52235230, https://doi.org/10.5194/bg-18-5223-2021, 2021a.
Senf, C. and Seidl, R.: Storm and fire disturbances in Europe: Distribution and trends, Glob. Change Biol., 27, 3605-3619, 2021b.
Seneviratne, S. I., Zhang, X., Adnan, M., Badi, W., Dereczynski, C., Di Luca, A., Ghosh, S., Iskandar, I., Kossin, J., Lewis, S., Otto, F., Pinto, I., Satoh, M., Vicente-Serrano, S. M., Wehner, M., and Zhou, B.: Chapter 11: Weather and climate extreme events in a changing climate, 2021.
Sierota, Z., Grodzki, W., and Szczepkowski, A.: Abiotic and Biotic Disturbances Affecting Forest Health in Poland over the Past 30 Years: Impacts of Climate and Forest Management, Forests, 10, 75, https://doi.org/10.3390/f10010075, 2019.
Sierota, Z. and Grodzki, W.: Picea abies-ArmillariaIps: A strategy or coincidence?, Forests, 11, 1023, https://doi.org/10.3390/F11091023, 2020.
Sioen, G., Verschelde, P., and Roskams, P.: Bosvitaliteitsinventaris 2018. Resultaten uit het bosvitaliteitsmeetnet (Level 1), Rapports van het Instituut voor Natuur- en Bosonderzoek, Nr. 20, Instituut voor Natuur- en Bosonderzoek, https://doi.org/10.21436/inbor.16207115, 2019.
Sioen, G., Verschelde, P., and Roskams, P.: Bosvitaliteitsinventaris 2019: Resultaten uit het bosvitaliteitsmeetnet (Level 1), Rapports van het Instituut voor Natuur- en Bosonderzoek, Nr. 20, Instituut voor Natuur- en Bosonderzoek, https://doi.org/10.21436/inbor.18050253, 2020.
Sioen, G., Verschelde, P., and Roskams, P.: Bosvitaliteitsinventaris 2020: Resultaten uit het bosvitaliteitsmeetnet (Level 1), Rapports van het Instituut voor Natuur- en Bosonderzoek, Nr. 20, Instituut voor Natuur- en Bosonderzoek, https://doi.org/10.21436/inbor.34283136, 2021.
Sioen, G., Verschelde, P., and Roskams, P.: Bosvitaliteitsinventaris 2021. Resultaten uit het bosvitaliteitsmeetnet (Level 1), Rapports van het Instituut voor Natuur- en Bosonderzoek, Nr. 7, Instituut voor Natuur- en Bosonderzoek, https://doi.org/10.21436/inbor.71783042, 2022.
Sioen, G., Verschelde, P., and Roskams, P.: Bosvitaliteitsinventaris 2022. Resultaten uit het bosvitaliteitsmeetnet (Level 1), Rapports van het Instituut voor Natuur- en Bosonderzoek, Nr. 4, https://doi.org/10.21436/inbor.90109478, 2023.
Sire, L., Schmidt Yáñez, P., Wang, C., Bézier, A., Courtial, B., Cours, J., Fontaneto, D., Larrieu, L., Bouget, C., Thorn, S., Müller, J., Yu, D. W., Monaghan, M. T., Herniou, E. A., and Lopez-Vaamonde, C.: Climate-induced forest dieback drives compositional changes in insect communities that are more pronounced for rare species, Commun. Biol., 5, 57, https://doi.org/10.1038/s42003-021-02968-4, 2022.
SMHI: Året 2022. Mycket tört i sydöstra Sverige, https://www.smhi.se/klimat/klimatet-da-och-nu/arets-vader/ aret-2022-mycket-torrt-i-sydostra-sverige-1.190565 (last access: 15 November 2024), 2023.
Sofiadis, G., Katragkou, E., Davin, E. L., Rechid, D., de NobletDucoudre, N., Breil, M., Cardoso, R. M., Hoffmann, P., Jach, L., Meier, R., Mooney, P. A., Soares, P. M. M., Strada, S., Tölle, M. H., and Warrach Sagi, K.: Afforestation impact on soil temperature in regional climate model simulations over Europe, Geosci. Model Dev., 15, 595-616, https://doi.org/10.5194/gmd-15-5952022, 2022.
Spinoni, J., Vogt, J. V., Naumann, G., Barbosa, P., and Dosio, A.: Will drought events become more frequent and severe in Europe?, Int. J. Climatol., 38, 1718-1736, 2018.
SSB: Landskogtakseringen (forest volume statistics Norway), https: //www.ssb.no/statbank/table/06289/tableViewLayout1/ (last access: 15 November 2024), 2022.
Stagge, J. H., Kingston, D. G., Tallaksen, L. M., and Hannah, D. M.: Observed drought indices show increasing divergence across Europe, Sci. Rep., 7, 1-10, https://doi.org/10.1038/s41598-017-14283-2, 2017.
Statsforvalteren: Årsmelding 2019. Skogbruket i Vestfold og Telemark, https://www.statsforvalteren.no/siteassets/ fm-vestfold-og-telemark/landbruk-og-mat/skogbruk/ arsmelding-2020-hele-med-logo.pdf (last access: 27 November 2024), 2020.
Stelzl, A., Pointl, M., and Fuchs-Hanusch, D.: Estimating Future Peak Water Demand with a Regression Model Considering Climate Indices, Water, 13, 1912, https://doi.org/10.3390/w13141912, 2021.
Stephan, R., Erfurt, M., Terzi, S., Žun, M., Kristan, B., Haslinger, K., and Stahl, K.: An inventory of Alpine drought impact reports to explore past droughts in a mountain region, Nat. Hazards Earth Syst. Sci., 21, 2485-2501, https://doi.org/10.5194/nhess-21-2485-2021, 2021.
Středová, H., Fukalová, P., Chuchma, F., and Středa, T.: A complex method for estimation of multiple abiotic hazards in forest ecosystems, Water, 12, 2872, https://doi.org/10.3390/w12102872, 2020.
Sturm, J., Santos, M. J., Schmid, B., and Damm, A.: Satellite data reveal differential responses of Swiss forests to unprecedented 2018 drought, Glob. Chang. Biol., 28, 2956-2978, https://doi.org/10.1111/gcb.16194, 2022.
Suarez-Gutierrez, L., Li, C., Müller, W. A., and Marotzke, J.: Internal variability in European summer temperatures at
Suarez-Gutierrez, L., Müller, W. A., and Marotzke, J.: Extreme heat and drought typical of an end-of-century climate could occur over Europe soon and repeatedly, Commun. Earth Environ., 4, 415, https://doi.org/10.1038/s43247-023-01075-y, 2023.
Sommerfeld, A., Rammer, W., Heurich, M., Hilmers, T., Müller, J., and Seidl, R.: Do bark beetle outbreaks amplify or dampen future bark beetle disturbances in Central Europe?, J. Ecol., 109, 737749, 2021.
SRF: https://www.srf.ch/news/schweiz/der-schweizer-wald-leidet-extremer-befall-von-borkenkaefern (last access: 15 November 2024), 2020.
Swedish Board of Agriculture: Långsiktiga effekter av torkan 2018, och hur jordbruket kan bli mer motståndskraftigt mot extremväder, Jorbruksverkets rapport RA 19/13, https:// webbutiken.jordbruksverket.se/sv/artiklar/ra1913.html (last access: 19 November 2024), 2019.
SZ: https://www.sueddeutsche.de/bayern/schloss-neuschwanstein-allgaeu-waldbrand-1.5547353 (last access: 15 November 2024), 2022.
Terhonen, E., Melin, M., Aarnio, L., Granberg, F., Hantula, J., Henttonen, H., Huitu, O., Huuskonen, S., Härkönen, M., Kaitera, J., Koivula, M., Kokko, A., Kokkonen, J., Korhonen, K. T., Laurila, I., Lehto, T., Luoranen, J., Niemimaa, J., Nuorteva, H., Pennanen, T., Piri, T., Poimala, A., Pouttu, A., Pätäri, V., Siitonen, J., Silver, T., Strandström, M., Sutela, S., Tikkanen, O.-P., Vainio, E., Vanha-Majamaa, I., Velmala, S., and Ylioja, T.: Metsätuhot vuonna 2022 (in Finnish), Luonnonvara- ja biotalouden tutkimus 48/2023, Natural Resources Institute Finland, Helsinki, http://urn.fi/URN:ISBN:978-952-380-694-8 (last access: 19 November 2024), 2023.
Teuling, A. J., Seneviratne, S. I., Stöckli, R., Reichstein, M., Moors, E., Ciais, P., Luyssaert, S., van den Hurk, B., Ammann, C., Bernhofer, C., Dellwik, E., Gianelle, D., Gielen, B., Grünwald, T., Klumpp, K., Montagnani, L., Moureaux, C., Sottocornola, M., and Wohlfahrt, G.: Contrasting response of European forest and grassland energy exchange to heatwaves, Nat. Geosci., 3, 722727, 2010.
Teutschbein, C., Jonsson, E., Todorović, A., Tootoonchi, F., Stenfors, E., and Grabs, T.: Drought Propagation through the Water-Energy-Food-Ecosystem Nexus: a Nordic Perspective, https://doi.org/10.1016/j.jhydrol.2022.128963, 2022a.
Teutschbein, C., Montano, B. Q., Todorović, A., and Grabs, T.: Streamflow droughts in Sweden: Spatiotemporal patterns emerging from six decades of observations, J. Hydrol. Regional Stud., 42, 101171, https://doi.org/10.1016/j.ejrh.2022.101171, 2022b.
The Herald: Scotland escaped global 2021 wildfire crisis so far, https://www.heraldscotland.com/news/19482198. scotland-escaped-global-2021-wildfire-crisis-far/ (last access: 14 March 2023), 2021.
Thom, D., Rammer, W., Laux, P., Smiatek, G., Kunstmann, H., Seibold, S., and Seidl, R.: Will forest dynamics continue to accelerate throughout the 21st century in the Northern Alps?, https://doi.org/10.1111/gcb.16133, 2022.
Thrippleton, T., Lüscher, F., and Bugmann, H.: Climate change impacts across a large forest enterprise in the Northern Pre-Alps: dynamic forest modelling as a tool for decision support, Eur. J. Forest Res., 139, 483-498, 2020.
TMIL: https://infrastruktur-landwirtschaft.thueringen.de/ fileadmin/Forst_und_Jagd_Fischerei/Forstwirtschaft/2022_ Waldzustandsbericht_barrierefrei.pdf (last access: 15 November 2024), 2022.
Toreti, A., Bavera, D., Avanzi, F., Cammalleri, C., De Felice, M., de Jager, A., Di Ciollo, C., Gabellani, S., Maetens, W., Magni, D., Manfron, G., Masante, D., Mazzeschi, M., McCormick, N., Naumann, G., Niemeyer, S., Rossi, L., Seguini, L., Spinoni, J., and van den Berg, M.: Drought in northern Italy March 2022, EUR 31037 EN, Publications Office of the European Union, Luxembourg, JRC128974, https://doi.org/10.2760/781876, 2022b.
Toreti, A., Bavera, D., Acosta Navarro, J., Arias-Muñoz, C., Avanzi, F., Marinho Ferreira Barbosa, P., De Jager, A., Di Ciollo, C., Ferraris, L., Fioravanti, G., Gabellani, S., Grimaldi, S., Hrast Essenfelder, A., Isabellon, M., Jonas, T., Maetens, W., Magni, D., Masante, D., Mazzeschi, M., McCormick, N., Meroni, M., Rossi, L., Salamon, P., and Spinoni, J.: Drought in Europe March 2023, EUR 31448 EN, Publications Office of the European Union, Luxembourg, JRC133025, https://doi.org/10.2760/998985, 2023.
Toth, D., Maitah, M., Maitah, K., and Jarolínová, V.: The impacts of calamity logging on the development of spruce wood prices in Czech forestry, Forests, 11, 283, https://doi.org/10.3390/f11030283, 2020.
Turco, M., Jerez, S., Augusto, S., Tarín-Carrasco, P., Ratola, N., Jiménez-Guerrero, P., and Trigo, R. M.: Climate drivers of the 2017 devastating fires in Portugal, Sci. Rep., 9, 13886, https://doi.org/10.1038/s41598-019-50281-2, 2019.
Turco, M., Abatzoglou, J. T., Herrera, S., Zhuang, Y., Jerez, S., Lucas, D. D., AghaKouchak, A., and Cvijanovic, I.: Anthropogenic climate change impacts exacerbate summer forest fires in California, Proc. Natl. Acad. Sci., 120, e2213815120, https://doi.org/10.1073/pnas.2213815120, 2023.
Turner, S., Barker, L. J., Hannaford, J., Muchan, K., Parry, S., and Sefton, C.: The 2018/2019 drought in the UK: a hydrological appraisal, Weather, 76, 248-253, 2021.
UBA: Waldbrände in Deutschland, Umweltbundesamt, https://www.umweltbundesamt.de/daten/land-forstwirtschaft/ waldbraende#waldbrande-in-deutschland (last access: 15 November 2024), 2023a.
UBA: Das Monitoringbericht 2023, Umweltbundesamt, https://www.umweltbundesamt.de/sites/default/files/medien/ 376/publikationen/das-monitoringbericht_2023_bf_korr.pdf (last access: 19 August 2023), 2023b.
Ukkola, A. M., De Kauwe, M. G., Roderick, M. L., Abramowitz, G., and Pitman, A. J.: Robust future changes in meteorological drought in CMIP6 projections despite uncertainty in precipitation, Geophys. Res. Lett., 47, e2020GL087820, https://doi.org/10.1029/2020GL087820, 2020.
UN: Member States, United Nations, https://www.un.org/en/ about-us/member-states (last access: 9 February 2024), 2024.
UNECE Committee on Forest and the Forest Industry and the European Forestry Commission (Foresta2022): Sweden: Country market statement 2022, UNECE, https://unece.org/forestry-timber/documents/2022/10/ informal-documents/sweden-country-market-statement-2022 (last access 1 March 2023), 2022.
Van Der Wiel, K., Batelaan, T. J., and Wanders, N.: Large increases of multi-year droughts in north-western Europe in a warmer climate, Clim. Dyn., 59, 1-20, https://doi.org/10.1007/S00382-022-06373-3, 2022.
Van Loon, A. F.: Hydrological drought explained, WIREs Water, 2, 359-392, 2015.
Veijalainen, N., Ahopelto, L., Marttunen, M., Jääskeläinen, J., Britschgi, R., Orvomaa, M., Belinskij, A., and Keskinen, M.: Severe drought in Finland: Modeling effects on water resources and assessing climate change impacts, Sustainability, 11, 2450, https://doi.org/10.3390/su11082450, 2019.
Venäläinen, A., Lehtonen, I., and Mäkelä, A.: Laaja-alaisia metsäpaloja mahdollistavat säätilanteet Suomen ilmastossa [The risk of large forest fires in Finland], Finnish Meteorological Institute, Reports 2016:3 (in Finnish, English Abstract), https:// helda.helsinki.fi/handle/10138/161478 (last access: 15 November 2024), 2016.
Verkerk, P. J., Delacote, P., Hurmekoski, E., Kunttu, J., Matthews, R., Mäkipää, R., Mosley, F., Perugini, L., Reyer, C. P. O., Roe, S., and Trømborg, E.: Forest-based climate change mitigation and adaptation in Europe. From Science to Policy, 14, European Forest Institute, https://doi.org/10.36333/fs14, 2022.
Vicedo-Cabrera, A. M., Scovronick, N., Sera, F., Royé, D., Schneider, R., Tobias, A., Astrom, C., Guo, Y., Honda, Y., Hondula, D. M., Abrutzky, R., Tong, S., Coelho, M., de Sousa Zanotti Stagliorio, P. H., Nascimento Saldiva, E., Lavigne, P., Matus Correa, N. Valdes Ortega, H. Kan, S. Osorio, Kyselý, J., Urban, A., Orru, H., Indermitte, E., Jaakkola, J. J. K., Ryti, N., Pascal, M., Schneider, A., Katsouyanni, K., Samoli, E., Mayvaneh, F., Entezari, A., Goodman, P., Zeka, A., Michelozzi, P., de’Donato, F., Hashizume, M., Alahmad, B., Hurtado Diaz, M., De La Cruz Valencia, C., Overcenco, A., Houthuijs, D., Ameling, C., Rao, S., Di Ruscio, F., Carrasco-Escobar, G., Seposo, X., Silva, S.,
Vicente-Serrano, S. M., Beguería, S., Lorenzo-Lacruz, J., Camarero, J. J., López-Moreno, J. I., Azorin-Molina, C., Revuelto, J., Morán-Tejeda, E., and Sanchez-Lorenzo, A.: Performance of drought indices for ecological, agricultural, and hydrological applications, Earth Interact., 16, 1-27, 2012.
Vicente-Serrano, S. M., Gouveia, C., Camarero, J. J., Beguería, S., Trigo, R., López-Moreno, J. I., Azorín-Molina, C., Pasho, E., and Lorenzo-Lacruz, J., Revuelto, J., Morán-Tejeda, E., and SanchezLorenzo, A.: The response of vegetation to drought time-scales across global land biomes, P. Natl. Acad. Sci. USA., 110, 52-57, 2013.
Vogel, J., Paton, E., Aich, V., and Bronstert, A.: Increasing compound warm spells and droughts in the Mediterranean Basin, Weather Clim. Extremes, 32, 100312, https://doi.org/10.1016/j.wace.2021.100312, 2021.
Waldschutz: Leichte Zunahme von Buchdrucker-Befallsherden, https://www.dora.lib4ri.ch/wsl/islandora/object/wsl: 32875/datastream/PDF/Stroheker-2023-Leichte_Zunahme_ von_Buchdrucker-Befallsherden-(published_version).pdf (last access: 15 November 2024), 2023.
Wataha: An increase in the bark beetle population in Norwegian forests, Wataha, https://wataha.no/en/2021/11/15/ an-increase-in-the-bark-beetle-population-in-norwegian-forests/ (last access: 21 August 2024), 2021.
Watts, N., Amann, M., Arnell, N., Ayeb-Karlsson, S., Beagley, J., Belesova, K., Boykoff, M., Byass, P., Cai, W., CampbellLendrum, D., Capstick, S., Chambers, J., Coleman, S., Dalin, C., Daly, M., Dasandi, N., Dasgupta, S., Davies, M., Di Napoli, C., Dominguez-Salas, P., Drummond, P., Dubrow, R., Ebi, K. L., Eckelman, M., Ekins, P., Escobar, L. E., Georgeson, L., Golder, S., Grace, D., Graham, H., Haggar, P., Hamilton, I., Hartinger, S., Hess, J., Hsu, S.-C., Hughes, N., Jankin Mikhaylov, S., Jimenez, M. P., Kelman, I., Kennard, H., Kiesewetter, G., Kinney, P. L., Kjellstrom, T., Kniveton, D., Lampard, P., Lemke, B., Liu, Y., Liu, Z., Lott, M., Lowe, R., Martinez-Urtaza, J., Maslin, M., McAllister, L., McGushin, A., McMichael, C., Milner, J., Moradi-Lakeh, M., Morrissey, K., Munzert, S., Murray, K. A., Neville, T., Nilsson, M., Odhiambo Sewe, M., Oreszczyn, T., Otto, M., Owfi, F., Pearman, O., Pencheon, D., Quinn, R., Rabbaniha, M., Robinson, E., Rocklöv, J., Romanello, M., Semenza, J. C., Sherman, J., Shi, L., Springmann, M., Tabatabaei, M., Taylor, J., Triñanes, J., Shumake-Guillemot, J., Vu, B., Wilkinson, P., Winning, M., Gong, P., Montgomery, H., and Costello, A.:
Weigel, R., Bat-Enerel, B., Dulamsuren, C., Muffler, L., Weithmann, G., and Leuschner, C.: Summer drought exposure, stand structure, and soil properties jointly control the growth of European beech along a steep precipitation gradient in northern Germany, Glob. Change Biol., 29, 763-779, 2023.
WSL: Trockenheit 2018: Buchen mit frühzeitig verfärbtem Laub neigen zum Absterben in den Folgejahren, WSL, https://www.wsl.ch/de/news/trockenheit-2018-buchen-mit-fruehzeitig-verfaerbtem-laub-neigen-zum-absterben-in-denfolgejahren/ (last access: 20 November 2024), 2022.
WSL: Leichte Zunahme des Borkenkäfer-Befalls im Jahr 2022, WSL, https://www.wsl.ch/de/news/ leichte-zunahme-des-borkenkaefer-befalls-im-jahr-2022/#:
WSL: Zwischenberichte, WSL, https://www.waldwissen. net/assets/technik/inventur/wsl_zwischenergebnisse-lfi5/ Zwischenergebnisse_LFI_print.pdf#page=2 (last access: 15 November 2024), 2023b.
Winkel, G., Lovrić, M., Muys, B., Katila, P., Lundhede, T., Pecurul, M., Pettenella, D., Pipart, N., Plieninger, T., Prokofieva, I., Parra, C., Pülzl, H., Roitsch, D., Roux, J.-L., Thorsen, B. J., Tyrväinen, L., Torralba, M., Vacik, H., Weiss, G., and Wunder, S.: Governing Europe’s forests for multiple ecosystem services: Opportunities, challenges, and policy options, For. Policy Econ., 145, 102849, https://doi.org/10.1016/j.forpol.2022.102849, 2022.
Zahradník, P. and Zahradníková, M.: Salvage felling in the Czech Republic’s forests during the last twenty years, Cent. Eur. For. J., 65, 12-20, 2019.
Worlds Aid: Worlds Aid, https://www.worldsaid.com/node/1378 (last access: 15 November 2024), 2022.
Wulff, S. and Roberge, J.-M.: Forest monitoring: Synthesis of 2010-2018 results, SLU, https://pub.epsilon.slu.se/21827/1/ wulff_s_et_al_210201.pdf (last access: 15 November 2024), 2020.
Yu, Z., Wang, J., Liu, S., Rentch, J. S., Sun, P., and Lu, C.: Global gross primary productivity and water use efficiency changes under drought stress, Environ. Res. Lett., 12, 014016, https://doi.org/10.1088/1748-9326/aa5258, 2017.
Xoplaki, E., Ellsäßer, F., Grieger, J., Nissen, K. M., Pinto, J., Augenstein, M., Chen, T.-C., Feldmann, H., Friederichs, P., Gliksman, D., Goulier, L., Haustein, K., Heinke, J., Jach, L., Knutzen, F., Kollet, S., Luterbacher, J., Luther, N., Mohr, S., Mudersbach, C., Müller, C., Rousi, E., Simon, F., Suarez-Gutierrez, L., Szemkus, S., Vallejo-Bernal, S. M., Vlachopoulos, O., and Wolf, F.: Compound events in Germany in 2018: drivers and case studies, EGUsphere [preprint], https://doi.org/10.5194/egusphere-20231460, 2023.
Zas, R., Touza, R., Sampedro, L., Lario, F. J., Bustingorri, G., and Lema, M.: Variation in resin flow among Maritime pine populations: Relationship with growth potential and climatic responses, For. Ecol. Manag., 474, 118351, https://doi.org/10.1016/j.foreco.2020.118351, 2020.
Zscheischler, J., Martius, O., Westra, S., Bevacqua, E., Raymond, C., Horton, R. M., van den Hurk, B., AghaKouchak, A., Jézéquel, A., Mahecha, M. D., Maraun, D., Ramos, A. M., Ridder, N. N., Thiery, W., and Vignotto, E.: A typology of compound weather and climate events, Nat. Rev. Earth Environ., 1, 333-347, 2020.
