DOI: https://doi.org/10.1038/s41467-024-47383-5
PMID: https://pubmed.ncbi.nlm.nih.gov/38600059
تاريخ النشر: 2024-04-10
المؤلف: Jingxiu Qin وآخرون
الموضوع الرئيسي: استدامة الزراعة وتأثيرها البيئي
الطرق
قسم “الطرق” يوضح الأساليب التجريبية والتحليلية المستخدمة في الدراسة. استخدم الباحثون مجموعة من التقنيات الكمية والنوعية لجمع البيانات، مما يضمن فهمًا شاملاً للظواهر قيد التحقيق. تشمل المنهجيات المحددة التجارب المنضبطة، والتحليلات الإحصائية، وتقنيات النمذجة، التي تم اختيارها بناءً على صلتها بأسئلة البحث المطروحة.
شمل جمع البيانات أخذ عينات منهجية وتطبيق بروتوكولات موحدة للحفاظ على الاتساق والموثوقية. تم إجراء التحليل باستخدام برامج إحصائية متقدمة، مما يسمح بتقييم العلاقات بين المتغيرات واختبار الفرضيات. يبرز القسم أهمية الصرامة المنهجية في استخلاص استنتاجات صحيحة من النتائج، مع تسليط الضوء على الخطوات المتخذة للتخفيف من التحيزات المحتملة وتعزيز قوة النتائج.
النتائج
يقدم قسم “النتائج” من ورقة البحث النتائج الرئيسية المستمدة من التجارب أو التحليلات التي تم إجراؤها. يوضح نتائج الدراسة، مع تسليط الضوء على الاتجاهات أو الأنماط أو العلاقات المهمة التي لوحظت في البيانات. عادةً ما تكون النتائج مصحوبة بتحليلات إحصائية ذات صلة، بما في ذلك قيم p، وفترات الثقة، أو أحجام التأثير، التي تدعم صحة النتائج.
بالإضافة إلى ذلك، يتم الإشارة إلى أي تمثيلات بصرية، مثل الرسوم البيانية أو الجداول، لتوضيح النتائج بشكل أكثر وضوحًا. قد يناقش القسم أيضًا تداعيات هذه النتائج فيما يتعلق بالفرضيات الأصلية أو أسئلة البحث المطروحة في بداية الدراسة. بشكل عام، توفر النتائج نظرة شاملة على الأدلة التجريبية التي تم جمعها، مما يمهد الطريق للنقاش والتفسير اللاحقين.
المناقشة
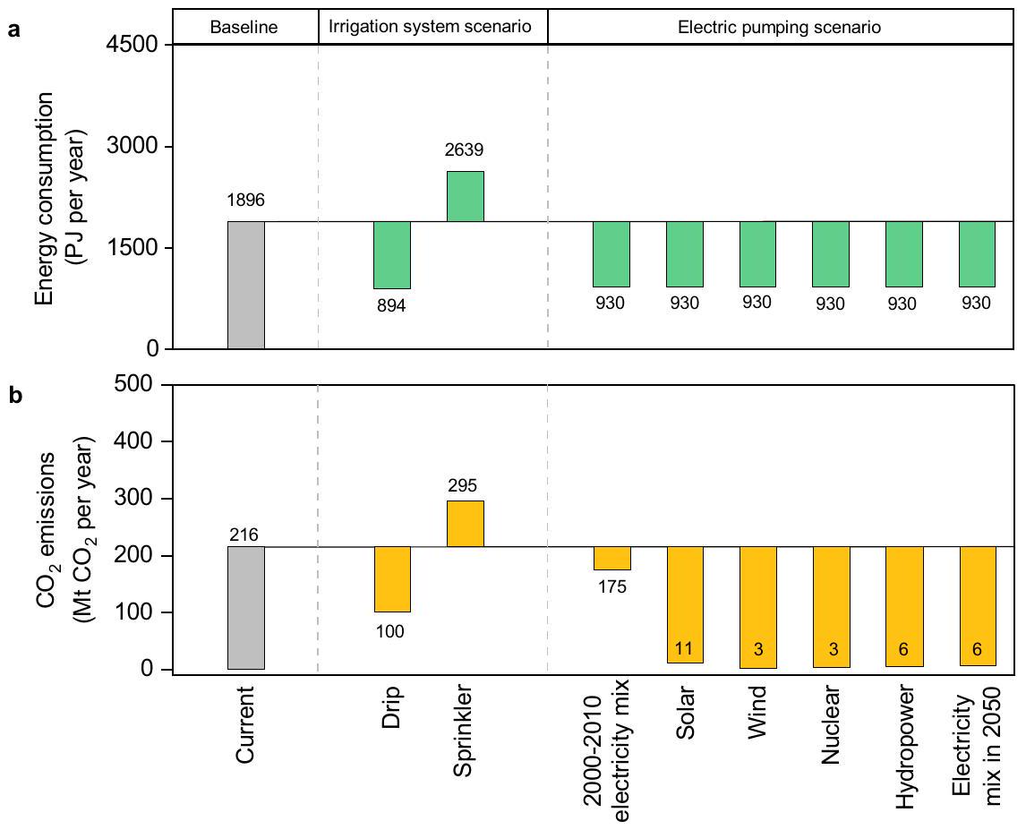
يسلط قسم المناقشة في ورقة البحث الضوء على التباينات الكبيرة في كثافة الطاقة وانبعاثات CO₂ المرتبطة بالري عبر مناطق مختلفة، حيث تظهر آسيا أعلى القيم. تم الإبلاغ عن كثافة الطاقة المتوسطة عند 2655 MJ/ha، بينما متوسط كثافة انبعاثات CO₂ هو 259 كجم CO₂/ha. من الجدير بالذكر أن الري بالرش تم تحديده كأكثر الطرق استهلاكًا للطاقة، يليه الري بالتنقيط والري السطحي. تكشف تحليل استهلاك الطاقة وانبعاثات CO₂ من الري بين عامي 2000 و2010 أن الاستهلاك العالمي للطاقة بلغ 1896 PJ، مع كون آسيا وأمريكا الشمالية هما المساهمين الرئيسيين. تقدر إجمالي انبعاثات CO₂ من الري بـ 222 مليون طن CO₂ سنويًا، بشكل أساسي من استهلاك الطاقة.
بالنظر إلى المستقبل، تقدر الورقة أن توسيع الري المستدام قد يؤدي إلى استهلاك إضافي للطاقة قدره 536 PJ، مما يمثل 28% من إجمالي استهلاك الطاقة من 2000-2010. تؤكد الدراسة على أهمية الانتقال إلى الكهرباء منخفضة الكربون وأنظمة الري الفعالة، وخاصة الري بالتنقيط، للتخفيف من استخدام الطاقة وانبعاثات CO₂. تشير النتائج إلى أنه بينما يمكن أن يقلل الري بالتنقيط بشكل كبير من الانبعاثات، فإن قابليته للتطبيق محدودة لبعض المحاصيل، وتختلف جدوى اعتماد الكهرباء منخفضة الكربون حسب المنطقة. بشكل عام، تؤكد الأبحاث على الحاجة إلى ممارسات مستدامة في الري لتحقيق التوازن بين متطلبات إنتاج الغذاء وتأثيرات البيئة.
DOI: https://doi.org/10.1038/s41467-024-47383-5
PMID: https://pubmed.ncbi.nlm.nih.gov/38600059
Publication Date: 2024-04-10
Author(s): Jingxiu Qin et al.
Primary Topic: Agriculture Sustainability and Environmental Impact
Methods
The “Methods” section outlines the experimental and analytical approaches employed in the study. The researchers utilized a combination of quantitative and qualitative techniques to gather data, ensuring a comprehensive understanding of the phenomena under investigation. Specific methodologies included controlled experiments, statistical analyses, and modeling techniques, which were chosen based on their relevance to the research questions posed.
Data collection involved systematic sampling and the application of standardized protocols to maintain consistency and reliability. The analysis was conducted using advanced statistical software, allowing for the evaluation of relationships between variables and the testing of hypotheses. The section emphasizes the importance of methodological rigor in drawing valid conclusions from the findings, highlighting the steps taken to mitigate potential biases and enhance the robustness of the results.
Results
The “Results” section of the research paper presents the key findings derived from the conducted experiments or analyses. It details the outcomes of the study, highlighting significant trends, patterns, or correlations observed in the data. The results are typically accompanied by relevant statistical analyses, including p-values, confidence intervals, or effect sizes, which substantiate the validity of the findings.
Additionally, any visual representations, such as graphs or tables, are referenced to illustrate the results more clearly. The section may also discuss the implications of these findings in relation to the original hypotheses or research questions posed at the outset of the study. Overall, the results provide a comprehensive overview of the empirical evidence gathered, laying the groundwork for subsequent discussion and interpretation.
Discussion
The discussion section of the research paper highlights the significant variations in energy and CO₂ emissions intensity associated with irrigation across different regions, with Asia exhibiting the highest values. The median energy intensity is reported at 2655 MJ/ha, while CO₂ emissions intensity averages 259 kg CO₂/ha. Notably, sprinkler irrigation is identified as the most energy-intensive method, followed by drip and surface irrigation. The analysis of energy consumption and CO₂ emissions from irrigation between 2000 and 2010 reveals that global energy consumption reached 1896 PJ, with Asia and North America being the primary contributors. The total CO₂ emissions from irrigation are estimated at 222 Mt CO₂ per year, predominantly from energy consumption.
Looking towards the future, the paper estimates that sustainable irrigation expansion could lead to an additional energy consumption of 536 PJ, representing 28% of the total energy consumption from 2000-2010. The study emphasizes the importance of transitioning to low-carbon electricity and efficient irrigation systems, particularly drip irrigation, to mitigate energy use and CO₂ emissions. The findings suggest that while drip irrigation can significantly reduce emissions, its applicability is limited to certain crops, and the feasibility of adopting low-carbon electricity varies by region. Overall, the research underscores the need for sustainable practices in irrigation to balance food production demands with environmental impacts.
