DOI: https://doi.org/10.2147/nsa.s450026
PMID: https://pubmed.ncbi.nlm.nih.gov/38469157
تاريخ النشر: 2024-03-01
المؤلف: Suryani Suryani وآخرون
الموضوع الرئيسي: أنظمة توصيل الأدوية المتقدمة
نظرة عامة
تقدم هذه القسم نظرة عامة على الكيتوزان كبوليمر وظيفي في التطبيقات الصيدلانية، وخاصة في أنظمة توصيل الأدوية باستخدام الجسيمات النانوية. يسلط الضوء على التحديات المرتبطة بذوبانية الكيتوزان، والتي تعيق استخدامه على نطاق واسع في الصناعة. لمعالجة هذه المشكلة، تم استكشاف تعديلات كيميائية مختلفة لتعزيز الذوبانية، ومع ذلك، غالبًا ما تغفل المراجعات الحالية الخصائص والتطبيقات المحددة لهذه التعديلات. تهدف هذه المراجعة إلى سد هذه الفجوة من خلال التركيز على تحسينات الذوبانية لمشتقات الكيتوزان وأدوارها في أنظمة توصيل الأدوية باستخدام الجسيمات النانوية، مع توضيح طرق التحضير والنتائج الحديثة المتعلقة بسمية الكيتوزان.
في الختام، تظهر مشتقات الكيتوزان وعدًا كبيرًا في تقدم أنظمة توصيل الأدوية باستخدام الجسيمات النانوية. يجب أن تعطي الأبحاث المستقبلية الأولوية لتوحيد الخصائص الفيزيائية والكيميائية الرئيسية، مثل الوزن الجزيئي، ودرجة إزالة الأسيتيل، ودرجة الاستبدال، والذوبانية، لتسوية التباينات الملحوظة عبر الدراسات. بالإضافة إلى ذلك، فإن التحقيقات في طرق التحضير المثلى لجسيمات الكيتوزان المشتقة، وتطبيقاتها عبر مجالات مختلفة، وملفات سمومها أمر ضروري. سيساهم فهم الديناميكا الدوائية واستقرار هذه الجسيمات النانوية، خاصة فيما يتعلق بالتجمع والعوامل البيئية، في تعزيز قابليتها للاستخدام في التطبيقات الصيدلانية. من المحتمل أن يؤدي معالجة هذه الفجوات البحثية إلى رفع أهمية وقابلية تطبيق الجسيمات النانوية المعتمدة على مشتقات الكيتوزان في الصناعة.
مقدمة
تناقش مقدمة ورقة البحث أهمية الكيتوزان، وهو مشتق مزيل الأسيتيل من الكيتين، كبوليمر وظيفي في التطبيقات الصيدلانية بسبب قابليته للتحلل الحيوي، وتوافقه الحيوي، وخصائصه غير السامة. تم استخدام الكيتوزان في أنظمة توصيل الأدوية باستخدام الجسيمات النانوية، حيث يقوم بفعالية بتغليف مجموعة متنوعة من الأدوية، بما في ذلك الجزيئات الصغيرة، والبولينوكليوتيدات، والبروتينات. ومن الجدير بالذكر أن الجسيمات النانوية المعتمدة على الكيتوزان أظهرت إمكانات للإفراج المنظم عن عوامل مكافحة السرطان، مما يعزز اختراق الدواء من خلال آليات مثل تعطيل الوصلات الضيقة في الأغشية. ومع ذلك، فإن تطبيق الكيتوزان يعيقه عدم ذوبانيته عند درجة الحموضة المحايدة، مما يحد من استخدامه في تركيبات الأدوية والعمليات الصناعية على نطاق واسع.
لمعالجة هذه القيود، تسلط الورقة الضوء على تعديلات كيميائية مختلفة للكيتوزان تهدف إلى تحسين ذوبانيته، بما في ذلك الأسيلا، والألكلة، والكربوكسيلة، والتأين، والاسترة، والإيثرية. تؤكد المراجعة على الحاجة إلى مناقشة مركزة حول الخصائص المحددة التي تم تحقيقها من خلال هذه التعديلات وآثارها على إنتاج الجسيمات النانوية. بالإضافة إلى ذلك، تستكشف ملفات سمية الكيتوزان ومشتقاته والجسيمات النانوية الناتجة، بينما تقدم نظرة شاملة على طرق تحضير الجسيمات النانوية المعتمدة على مشتقات الكيتوزان. تمهد المقدمة الطريق لفحص مفصل للتقدم في تعديل الكيتوزان وتطبيقاته في أنظمة توصيل الأدوية.
مناقشة
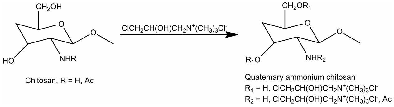
في قسم المناقشة، تتناول الورقة بالتفصيل طرقًا مختلفة لتخليق مشتقات الكيتوزان، مع التركيز بشكل خاص على الكيتوزان N-الألكيلي والكربوكسيل، وتطبيقاتها في أنظمة توصيل الأدوية. يتم تخليق الكيتوزان N-الألكيلي من خلال تفاعلات مع الألكانات الهالوجينية وقواعد شيف، مما يعزز ذوبانيته في الماء بسبب تقليل الروابط الهيدروجينية وإدخال مجموعات الأمونيوم الرباعية. تشير الدراسات إلى أن هذه المشتقات تظهر ذوبانية عبر نطاق واسع من درجة الحموضة (3 إلى 14)، على عكس الكيتوزان غير المعدل، الذي يذوب فقط في الظروف الحمضية. بالإضافة إلى ذلك، فإن دمج ثنائي السكريات واستخدام تفاعلات إضافة مايكل تعزز أيضًا الذوبانية والوظائف للتطبيقات في أنظمة توصيل الأدوية النانوية، مثل جسيمات الأنسولين وتركيبات مضادة للميكروبات.
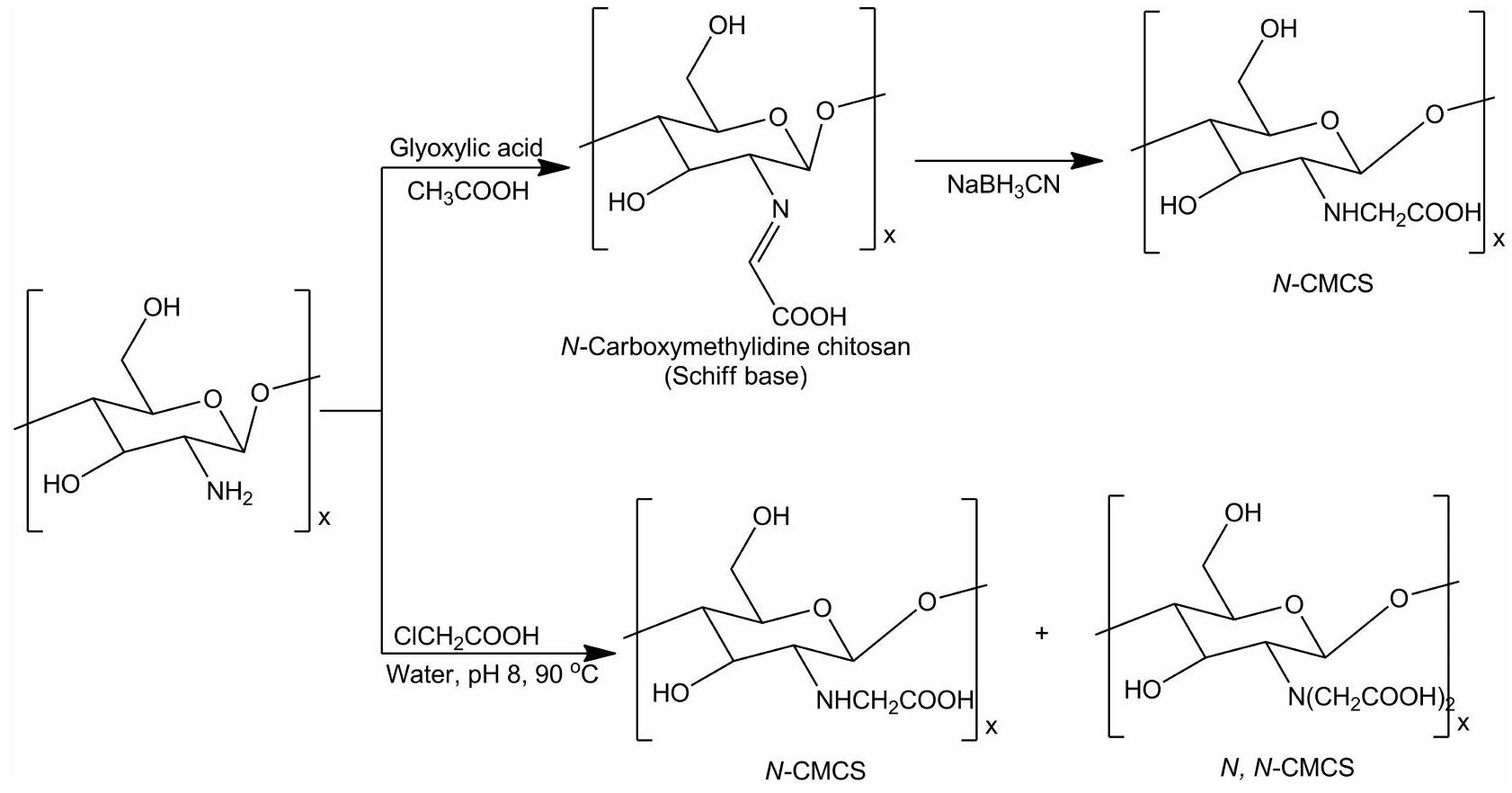
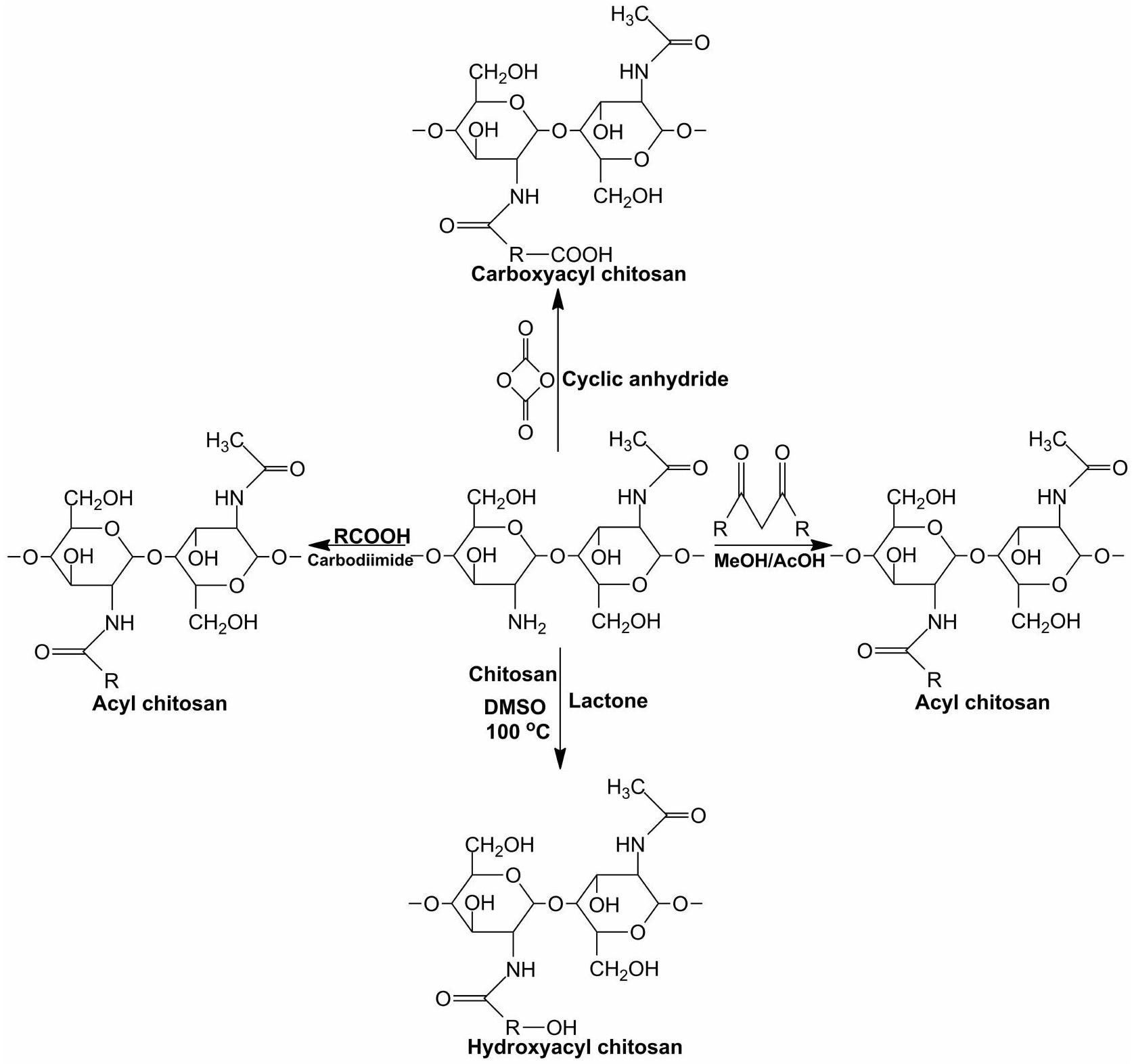
يتم تسليط الضوء على الكيتوزان الكربوكسيلي، الذي يتم الحصول عليه بشكل أساسي من خلال الكربوكسيميثيليشن، لذوبانيته في درجة الحموضة المحايدة والقلوية، حيث تتأثر خصائصه بدرجة الكربوكسيميثيليشن. تظهر دراسات مختلفة إمكاناته في تطوير الجسيمات النانوية لتوصيل الأدوية، مع عرض تطبيقات تتراوح بين العوامل المضادة للبكتيريا إلى العلاجات المضادة للسرطان. تناقش هذه القسم أيضًا عملية التأين، التي تعزز ذوبانية مشتقات الكيتوزان، وطرق الاسترة والإيثرية التي تنتج مشتقات كيتوزان قابلة للذوبان في الماء مناسبة للتطبيقات الصيدلانية. بشكل عام، تؤكد النتائج على تعدد استخدامات مشتقات الكيتوزان في تعزيز أنظمة توصيل الأدوية، مع التأكيد على توافقها الحيوي وإمكاناتها لتطبيقات الإفراج المستدام.
DOI: https://doi.org/10.2147/nsa.s450026
PMID: https://pubmed.ncbi.nlm.nih.gov/38469157
Publication Date: 2024-03-01
Author(s): Suryani Suryani et al.
Primary Topic: Advanced Drug Delivery Systems
Overview
The section provides an overview of chitosan as a functional polymer in pharmaceutical applications, particularly in nanoparticle drug delivery systems. It highlights the challenges associated with chitosan’s solubility, which hinders its large-scale industrial use. To address this issue, various chemical modifications have been explored to enhance solubility, yet existing reviews have often overlooked the specific characteristics and applications of these modifications. This review aims to fill that gap by focusing on the solubility improvements of chitosan derivatives and their roles in nanoparticle drug delivery systems, while also detailing preparation methods and recent findings regarding chitosan’s toxicity.
In conclusion, chitosan derivatives show considerable promise for advancing nanoparticle drug delivery systems. Future research should prioritize the standardization of key physicochemical properties, such as molecular weight, deacetylation degree, degree of substitution, and solubility, to reconcile the discrepancies observed across studies. Additionally, investigations into optimal preparation methods for chitosan derivative nanoparticles, their applications across various fields, and their toxicity profiles are essential. Understanding the pharmacokinetics and stability of these nanoparticles, particularly concerning agglomeration and environmental factors, will further enhance their viability in pharmaceutical applications. Addressing these research gaps will likely elevate the significance and applicability of chitosan derivative-based nanoparticles in the industry.
Introduction
The introduction of the research paper discusses the significance of chitosan, a deacetylated derivative of chitin, as a functional polymer in pharmaceutical applications due to its biodegradability, biocompatibility, and non-toxic properties. Chitosan has been utilized in nanoparticle drug delivery systems, effectively encapsulating a variety of drugs, including small molecules, polynucleotides, and proteins. Notably, chitosan-based nanoparticles have demonstrated potential for the controlled release of anticancer agents, enhancing drug penetration through mechanisms such as membrane tight junction disruption. However, the application of chitosan is hindered by its insolubility at neutral pH, which limits its use in drug formulations and large-scale industrial processes.
To address these limitations, the paper highlights various chemical modifications of chitosan aimed at improving its solubility, including acylation, alkylation, carboxylation, quaternization, esterification, and etherification. The review emphasizes the need for a focused discussion on the specific characteristics achieved through these modifications and their implications for nanoparticle production. Additionally, it explores the toxicity profiles of chitosan, its derivatives, and the resulting nanoparticles, while presenting a comprehensive overview of the methods for preparing chitosan derivative-based nanoparticles. The introduction sets the stage for a detailed examination of the advancements in chitosan modification and its applications in drug delivery systems.
Discussion
In the discussion section, the paper elaborates on various methods for synthesizing chitosan derivatives, particularly focusing on N-alkylated and carboxylated chitosan, and their applications in drug delivery systems. N-alkylated chitosan is synthesized through reactions with halogenated alkanes and Schiff’s bases, which enhance its water solubility due to reduced hydrogen bonding and the introduction of quaternary ammonium groups. Studies indicate that these derivatives exhibit solubility across a broad pH range (3 to 14), unlike unmodified chitosan, which is only soluble in acidic conditions. Additionally, the incorporation of disaccharides and the use of Michael’s addition reactions further improve solubility and functionality for applications in nano drug delivery systems, such as insulin nanoparticles and antimicrobial formulations.
Carboxylated chitosan, primarily obtained through carboxymethylation, is highlighted for its solubility in neutral and alkaline pH, with its properties being influenced by the degree of carboxymethylation. Various studies demonstrate its potential in developing nanoparticles for drug delivery, showcasing applications ranging from antibacterial agents to anticancer therapies. The section also discusses the quaternization process, which enhances the solubility of chitosan derivatives, and the esterification and etherification methods that yield water-soluble chitosan derivatives suitable for pharmaceutical applications. Overall, the findings underscore the versatility of chitosan derivatives in enhancing drug delivery systems, emphasizing their biocompatibility and potential for sustained release applications.
