DOI: https://doi.org/10.1007/s10668-023-04399-z
تاريخ النشر: 2024-01-18
تحليل العلاقة بين توسيع الطاقة النظيفة، واستخراج الموارد الطبيعية، وعامل سعة الحمل في الصين: خطوة نحو تحقيق أهداف مؤتمر COP27
الملخص
لقد استمر الاستخدام المفرط للطاقة غير المتجددة في نمو الاقتصاد في القرن الحادي والعشرين في الإضرار بالبيئة من خلال تراكم ثاني أكسيد الكربون وغازات الدفيئة الأخرى. ومع ذلك، يتطلب تعزيز الاستدامة البيئية توسيع استخدام الطاقة النظيفة. في هذه الدراسة، نفحص آثار توسيع الطاقة النظيفة واستخراج الموارد الطبيعية على عامل سعة الحمل (LCF) في الصين من عام 1970 إلى 2018. باستخدام نهج محاكاة الانحدار الذاتي الديناميكي الموزع، نوسع فرضية منحنى سعة الحمل القياسي (LCC) من خلال دمج توسيع الطاقة النظيفة واستخراج الموارد الطبيعية كعوامل رئيسية تحدد LCF. تكشف النتائج التجريبية أن التوسع الاقتصادي مرتبط إيجابياً بـ LCF، ولكن مصطلحه التربيعي يضعف LCF. وهذا يؤكد أن فرضية LCC غير صالحة للصين. علاوة على ذلك، بينما لتوسيع الطاقة النظيفة تأثير إيجابي على LCF، فإن تأثير استخراج الموارد الطبيعية سلبي. هذه التأثيرات أقوى وذات دلالة إحصائية فقط على المدى الطويل. لذلك، تسلط هذه الدراسة الضوء على الإمكانيات لاقتصاد مستدام خالٍ من الكربون في الصين من خلال الاستثمار ليس فقط في مصادر الطاقة النظيفة ولكن أيضًا في الاستخدام الفعال للموارد الطبيعية المتاحة في البلاد.
1 المقدمة
الأدب. يقدم القسم 3 مجموعة البيانات والأساليب التجريبية المستخدمة. يقدم القسم 4 النتائج التجريبية ومناقشة النتائج الرئيسية. أخيرًا، يقدم القسم 5 ملخصًا للدراسة جنبًا إلى جنب مع التوصيات السياسية بناءً على النتائج.
2 الإطار النظري ومراجعة الأدبيات
النمو المستدام في دول منظمة التعاون والتنمية الاقتصادية، بينما دعم عثمان (2023) فرضية التمويل المستدام من خلال دعم دور الإنفاق على الطاقة المتجددة في التخفيف من تدهور البيئة في دول مجموعة السبع.
| متغير | أبر | قياس | المصادر |
| عامل سعة التحميل | LCF |
|
GFN (2022) |
| التوسع الاقتصادي | الناتج المحلي الإجمالي | الناتج المحلي الإجمالي للفرد بالأسعار الثابتة بالدولار الأمريكي لعام 2015 | WDI (2022) |
| استهلاك الطاقة النظيفة | تسجيل | استهلاك الطاقة الأولية من المصادر المتجددة (% من الإجمالي) | OWD (2022) |
| استخراج الموارد الطبيعية | NR | إجمالي إيرادات الموارد الطبيعية كنسبة من الناتج المحلي الإجمالي | WDI (2022) |
3 مصادر البيانات وتطوير المنهجية
3.1 مصادر البيانات
3.2 النموذج التجريبي
النمو الاقتصادي، يظهر الناتج المحلي الإجمالي المربع ما إذا كانت الدولة ذات التكلفة المنخفضة تتميز بـ
3.3 نموذج محاكاة ARDL الديناميكي
4 النتائج التجريبية والمناقشة
4.1 الفحص الأولي

| lnLCF | LnGDP | lnREC | lnNR | |
| معنى | -0.748 | ٧.٢٦٤ | 1.650 | 1.438 |
| الوسيط | -0.688 | ٧.٢٣٣ | 1.599 | 1.582 |
| الحد الأقصى | -0.166 | 9.171 | ٢.٥٥٠ | ٢.٩٥٨ |
| حد أدنى | -1.414 | 5.647 | 1.015 | -0.201 |
| الانحراف المعياري | 0.383 | 1.143 | 0.385 | 0.847 |
| الانحراف | -0.387 | 0.142 | 0.615 | -0.167 |
| التفرطح | 1.881 | 1.690 | 2.835 | 2.201 |
| جارك-بيرا | ٣.٧٨١ | ٣.٦٦٥ | ٣.١٤٢ | 1.529 |
| احتمال | 0.151 | 0.160 | 0.208 | 0.466 |
|
|
٤٩ | ٤٩ | ٤٩ | ٤٩ |
4.2 نتائج جذر الوحدة
| اللوحة أ: اختبار الجذر الأحادي المعدل بواسطة نج-بيرون | ||||
| MZa | MZt | MSB | MPT | |
| lnLCF | 1.430 | 1.166 | 0.815 | 52.430 |
|
|
-20.161*** | -3.147*** | 0.156*** | 1.315*** |
| lnGDP | 0.081 | 0.041 | 0.506 | 19.698 |
|
|
-15.224*** | -2.759*** | 0.181*** | 1.610*** |
| lnREC | ٢.٦٠١ | 1.736 | 0.667 | 44.574 |
|
|
-23.484*** | -3.423*** | 0.146*** | 1.056*** |
| lnNR | -2.194 | -1.040 | 0.474 | ١١.١٠٥ |
|
|
-22.061*** | -3.318*** | 0.150*** | 1.121*** |
| اختبار القيم الحرجة اللانهائية | ||||
| 1% | -١٣.٨٠٠ | -2.580 | 0.174 | 1.780 |
| 5% | -8.100 | -1.980 | 0.233 | ٣.١٧٠ |
| 10٪ | – ٥.٧٠٠ | – 1.620 | 0.275 | ٤.٤٥٠ |
| اللوحة ب: اختبار جذر الوحدة DF-GLS | ||||
|
|
اختبار القيم الحرجة | |||
| lnLCF | 1.046 | 1% | -2.615 | |
|
|
– 4.533*** | 5٪ | -1.948 | |
| lnGDP | 0.352 | 10٪ | -1.612 | |
|
|
-3.465*** | |||
| lnREC | 1.405 | |||
|
|
-6.621*** | |||
| lnNR | -1.190 | |||
|
|
– 5.265*** | |||
1992). ونتيجة لذلك، يتم استخدام اختبار جذر الوحدة Ng-Perron و DF-GLS في هذه الدراسة. تكشف الجدول 3 عن نتائج اختبار جذر الوحدة لجميع المتغيرات (LCF، GDP، REC، NR). كما تظهر النتائج، لا يمكن لجميع المتغيرات رفض الفرضية الصفرية، مما قد يدل على عدم الاستقرار عند المستويات، ولكن نتائج الفروق الأولى تشير إلى أن جميع السلاسل مستقرة بشكل ملحوظ عند
4.3 نتائج التكامل المشترك
| نموذج:
|
|||||||
| النموذج المقدر: ARDL(2,1,0,0,1) | |||||||
| القيم الحرجة لنارايان (2005) | |||||||
| 10٪ | 5% | 1٪ | |||||
|
|
12.082*** | ![]() |
![]() |
![]() |
![]() |
![]() |
![]() |
| ٤.٠٧ | 5.19 | 5.82 | ٧:٣٠ | ||||
|
|||||||
| 10٪ | 5% | 1% | |||||
|
|
– 5.552*** | ![]() |
![]() |
![]() |
![]() |
![]() |
|
| -2.57 | -3.21 | -2.86 | -3.53 | -3.43 | – 4.10 | ||
تقدم القيم الحرجة لنارايان (2005) والقيم التقريبية دليلًا على وجود علاقة تكامل مشترك بين السلاسل. وهذا يعني أن LCF و GDP و GDP
4.4 معاملات ARDL الديناميكية على المدى الطويل والمدى القصير
| نموذج:
|
||||
| متغير | معامل | خطأ قياسي |
|
احتمال |
| ثابت | -0.907*** | 0.212 | -4.270 | 0.000 |
| lnLCF(-1) | -0.578*** | 0.104 | -5.552 | 0.000 |
|
|
0.328*** | 0.067 | ٤.٨٩٦ | 0.000 |
|
|
-0.038*** | 0.006 | -5.754 | 0.000 |
| 1nREC | 0.103*** | 0.029 | ٣.٥٤٨ | 0.001 |
| lnNR(-1) | -0.027*** | 0.008 | -3.461 | 0.001 |
|
|
0.358** | 0.134 | 2.676 | 0.011 |
|
|
0.179 | 0.127 | 1.410 | 0.167 |
|
|
-0.000 | 0.011 | -0.018 | 0.986 |
|
|
0.623 | صفة
|
0.596 | |
| اختبارات |
|
| مضاعف لاجرانج لبريوش غودفري | 0.941 |
| بريوش باجان غودفري | 0.570 |
| قوس | 0.613 |
| رامزي RESET | 0.556 |
| جارك-بيرا | 0.483 |





4.5 مناقشة النتائج

5 الخاتمة وتوصيات السياسة
الإعلانات
إذا كان ذلك مسموحًا به بموجب اللوائح القانونية أو يتجاوز الاستخدام المسموح به، ستحتاج إلى الحصول على إذن مباشرة من صاحب حقوق الطبع والنشر. لعرض نسخة من هذه الرخصة، قم بزيارةhttp://creativecommons.org/licenses/by/4.0/.
References
Adikpo, J. A., & Usman, O. (2023). Moving towards the path of environmental sustainability in Develop-ing-8 countries: Investigating the role of country’s reputation in mitigating environmental externalities. Environmental Science and Pollution Research. https://doi.org/10.1007/s11356-023-29883-x
Ahmed, Z., Asghar, M. M., Malik, M. N., & Nawaz, K. (2020). Moving towards a sustainable environment: The dynamic linkage between natural resources, human capital, urbanization, economic growth, and ecological footprint in China. Resources Policy, 67, 101677.
Akhayere, E., Kartal, M. T., Adebayo, T. S., & Kavaz, D. (2023). Role of energy consumption and trade openness towards environmental sustainability in Turkey. Environmental Science and Pollution Research, 30(8), 21156-21168.
Alola, A. A., Özkan, O., & Usman, O. (2023). Role of non-renewable energy efficiency and renewable energy in driving environmental sustainability in India: Evidence from the load capacity factor hypothesis. Energies, 16(6), 2847.
Badeeb, R. A., Lean, H. H., & Shahbaz, M. (2020). Are too many natural resources to blame for the shape of the environmental Kuznets curve in resource-based economies? Resources Policy, 68, 101694.
Balcilar, M., Usman, O., & Ike, G. N. (2023a). Investing green for sustainable development without ditching economic growth. Sustainable Development, 31(2), 728-743.
Balcilar, M., Usman, O., & Ike, G. N. (2023b). Operational behaviours of multinational corporations, renewable energy transition, and environmental sustainability in Africa: Does the level of natural resource rents matter? Resources Policy, 81, 103344.
Baloch, M. A., Mahmood, N., & Zhang, J. W. (2019). Effect of natural resources, renewable energy and economic development on
Caglar, A. E., & Askin, B. E. (2023). A path towards green revolution: How do competitive industrial performance and renewable energy consumption influence environmental quality indicators? Renewable Energy, 205, 273-280.
Chang, Y. C., & Wang, N. (2010). Environmental regulations and emissions trading in China. Energy Policy, 38(7), 3356-3364.
Chang, Y. C., & Wang, N. (2017). Legal system for the development of marine renewable energy in China. Renewable and Sustainable Energy Reviews, 75, 192-196.
Chen, L., Msigwa, G., Yang, M., Osman, A. I., Fawzy, S., Rooney, D. W., & Yap, P. S. (2022). Strategies to achieve a carbon neutral society: A review. Environmental Chemistry Letters, 20(4), 2277-2310.
da Silva, P. P., Cerqueira, P. A., & Ogbe, W. (2018). Determinants of renewable energy growth in SubSaharan Africa: Evidence from panel ARDL. Energy, 156, 45-54.
DeJong, D. N., Nankervis, J. C., Savin, N. E., & Whiteman, C. H. (1992). The power problems of unit root test in time series with autoregressive errors. Journal of Econometrics, 53(1-3), 323-343.
Dickey, D. A., & Fuller, W. A. (1979). Distribution of the estimators for autoregressive time series with a unit root. Journal of the American Statistical Association, 74(366a), 427-431.
Ding, Q., Khattak, S. I., & Ahmad, M. (2021). Towards sustainable production and consumption: Assessing the impact of energy productivity and eco-innovation on consumption-based carbon dioxide emissions (
Dogan, A., & Pata, U. K. (2022). The role of ICT, R&D spending and renewable energy consumption on environmental quality: Testing the LCC hypothesis for G7 countries. Journal of Cleaner Production, 380, 135038.
Elliott, G., Rothenberg, T. J., & Stock, J. H. (1996). Efficient tests for an autoregressive unit root. Econometrica, 64(4), 813-836.
Eweade, B. S., Uzuner, G., Akadiri, A. C., & Lasisi, T. T. (2022). Japan energy mix and economic growth nexus: Focus on natural gas consumption. Energy and Environment. https://doi.org/10.1177/09583 05X221130460
Fareed, Z., Salem, S., Adebayo, T. S., Pata, U. K., & Shahzad, F. (2021). Role of export diversification and renewable energy on the load capacity factor in Indonesia: A Fourier quantile causality approach. Frontiers in Environmental Science, 434.
Fernández, L. (2023). Topic: Renewable energy china. Statista. Retrieved Feb 17, 2023, from https://www. statista.com/topics/5100/renewable-energy-china/#topicOverview.
GFN (2022). Global footprint network. https://www.footprintnetwork.org (Accessed on 22 Dec 2022).
Gimba, O. J., Alhassan, A., Ozdeser, H., Ghardallou, W., Seraj, M., & Usman, O. (2023). Towards low carbon and sustainable environment: Does income inequality mitigate ecological footprints in SubSaharan Africa? Environment, Development and Sustainability, 25, 10425-10445.
Grossman, G. M. & Krueger, A. B. (1991). Environmental impacts of a North American free trade agreement. NBER working paper 3914, Nov. 1991.
Huang, Y., Villanthenkodath, M. A., & Haseeb, M. (2023). The nexus between eco-friendly technology and environmental degradation in India: Does the
Jordan, S., & Philips, A. Q. (2018). Cointegration testing and dynamic simulations of autoregressive distributed lag models. The Stata Journal, 18(4), 902-923.
Kartal, M. T., Samour, A., Adebayo, T. S., & Depren, S. K. (2023). Do nuclear energy and renewable energy surge environmental quality in the United States? New insights from novel bootstrap Fourier Granger causality in quantiles approach. Progress in Nuclear Energy, 155, 104509.
Khattak, S. I., Ahmad, M., Ul Haq, Z., Shaofu, G., & Hang, J. (2022). On the goals of sustainable production and the conditions of environmental sustainability: Does cyclical innovation in green and sustainable technologies determine carbon dioxide emissions in G-7 economies. Sustainable Production and Consumption, 1(29), 406-420.
Leggett, J. A. (2020). The united nations framework convention on climate change, the Kyoto protocol, and the Paris agreement: a summary. Congressional research service, R46204, UNFCC, New York, 2. https://sgp.fas.org/crs/misc/R46204.pdf.
Li, Y., Alharthi, M., Ahmad, I., Hanif, I., & Hassan, M. U. (2022). Nexus between renewable energy, natural resources and carbon emissions under the shadow of transboundary trade relationship from South East Asian economies. Energy Strategy Reviews, 41, 100855.
Luo, J., Ali, S. A., Aziz, B., Aljarba, A., Akeel, H., & Hanif, I. (2023). Impact of natural resource rents and economic growth on environmental degradation in the context of COP-26: Evidence from low-income, middle-income, and high-income Asian countries. Resources Policy, 80, 103269.
Meng, F., Guo, J., Guo, Z., Lee, J. C., Liu, G., & Wang, N. (2021). Urban ecological transition: The practice of ecological civilization construction in China. Science of the Total Environment, 755, 142633.
Morrison, W. M. (2019). China’s economic rise: History, trends, challenges, and implications for the United States. Current Politics and Economics of Northern and Western Asia, 28(2/3), 189-242.
Naqvi, S. A. A., Hussain, B., & Ali, S. (2023). Evaluating the influence of biofuel and waste energy production on environmental degradation in APEC: Role of natural resources and financial development. Journal of Cleaner Production, 386, 135790.
Narayan, P. K. (2005). The saving and investment nexus for China: Evidence from cointegration tests. Applied Economics, 37(17), 1979-1990.
Nathaniel, S. P., & Bekun, F. V. (2020). Environmental management amidst energy use, urbanization, trade openness, and deforestation: The Nigerian experience. Journal of Public Affairs, 20(2), e2037.
Nathaniel, S. P. (2021). Environmental degradation in ASEAN: Assessing the criticality of natural resources abundance, economic growth and human capital. Environmental Science and Pollution Research, 28(17), 21766-21778.
Nathaniel, S. P., Yalçiner, K., & Bekun, F. V. (2021). Assessing the environmental sustainability corridor: Linking natural resources, renewable energy, human capital, and ecological footprint in BRICS. Resources Policy, 70, 101924.
Ng, S., & Perron, P. (2001). Lag length selection and the construction of unit root tests with good size and power. Econometrica, 69(6), 1519-1554.
Nguyen, K. H., & Kakinaka, M. (2019). Renewable energy consumption, carbon emissions, and development stages: Some evidence from panel cointegration analysis. Renewable Energy, 132, 1049-1057.
Nwani, C., Usman, O., Okere, K. I., & Bekun, F. V. (2023). Technological pathways to decarbonisation and the role of renewable energy: A study of European countries using consumption-based metrics. Resources Policy, 83, 103738.
OWD (2022). Our world in data. https://ourworldindata.org (Accessed on 22 Dec 2022).
Özkan, O., Haruna, R. A., Alola, A. A., Ghardallou, W., & Usman, O. (2023b). Investigating the nexus between economic complexity and energy-related environmental risks in the USA: Empirical evidence from a novel multivariate quantile-on-quantile regression. Structural Change and Economic Dynamics, 65, 382-392.
Ozkan, O., Sharif, A., Mey, L. S., & Tiwari, S. (2023). The dynamic role of green technological innovation, financial development and trade openness on urban environmental degradation in China: Fresh insights from carbon efficiency. Urban Climate, 52, 101679.
Pata, U. K. (2021). Do renewable energy and health expenditures improve load capacity factor in the USA and Japan? A new approach to environmental issues. The European Journal of Health Economics, 22(9), 1427-1439.
Pata, U. K., & Isik, C. (2021). Determinants of the load capacity factor in China: A novel dynamic ARDL approach for ecological footprint accounting. Resources Policy, 74, 102313.
Pata, U. K., & Kartal, M. T. (2023). Impact of nuclear and renewable energy sources on environment quality: Testing the EKC and LCC hypotheses for South Korea. Nuclear Engineering and Technology, 55(2), 587-594.
Pata, U. K., Kartal, M. T., Erdogan, S., & Sarkodie, S. A. (2023a). The role of renewable and nuclear energy R&D expenditures and income on environmental quality in Germany: Scrutinizing the EKC and LCC hypotheses with smooth structural changes. Applied Energy, 342, 121138.
Pata, U. K., Olasehinde-Williams, G., & Ozkan, O. (2023b). Carbon efficiency in China: Should we be concerned about the shadow economy and urbanization? Geological Journal, 58(10), 3646-3658.
Pesaran, M. H., Shin, Y., & Smith, R. J. (2001). Bounds testing approaches to the analysis of level relationships. Journal of Applied Econometrics, 16(3), 289-326.
Phillips, P. C., & Perron, P. (1988). Testing for a unit root in time series regression. Biometrika, 75(2), 335-346.
Ramezani, M., Abolhassani, L., Shahnoushi Foroushani, N., Burgess, D., & Aminizadeh, M. (2022). Ecological footprint and its determinants in MENA countries: A spatial econometric approach. Sustainability, 14(18), 11708.
Rehman, S. U., Elrehail, H., Alshwayat, D., Ibrahim, B., & Alami, R. (2023). Linking hotel environmental management initiatives and sustainable hotel performance through employees’ eco-friendly behaviour and environmental strategies: A moderated-mediated model. European Business Review, 35(2), 184-201.
Sadorsky, P. (2009). Renewable energy consumption and income in emerging economies. Energy Policy, 37(10), 4021-4028.
Samreen, I., & Majeed, M. T. (2022). Economic development, social-political factors and ecological footprint: A global panel data analysis. SN Business & Economics, 2(9), 132.
Sarkodie, S. A., Strezov, V., Weldekidan, H., Asamoah, E. F., Owusu, P. A., & Doyi, I. N. Y. (2019). Environmental sustainability assessment using dynamic autoregressive-distributed lag simula-tions-nexus between greenhouse gas emissions, biomass energy, food and economic growth. Science of the Total Environment, 668, 318-332.
Shahbaz, M., Raghutla, C., Chittedi, K. R., Jiao, Z., & Vo, X. V. (2020). The effect of renewable energy consumption on economic growth: Evidence from the renewable energy country attractive index. Energy, 207, 118162.
Shao, W., Yu, X., & Chen, Z. (2022). Does the carbon emission trading policy promote foreign direct investment?: A quasi-experiment from China. Frontiers in Environmental Science, 9, 798438.
Siche, R., Pereira, L., Agostinho, F., & Ortega, E. (2010). Convergence of ecological footprint and emergy analysis as a sustainability indicator of countries: Peru as case study. Communications in Nonlinear Science and Numerical Simulation, 15(10), 3182-3192.
Sun, Y., Li, M., Zhang, M., Khan, H. S. U. D., Li, J., Li, Z., & Anaba, O. A. (2021). A study on China’s economic growth, green energy technology, and carbon emissions based on the Kuznets curve (EKC). Environmental Science and Pollution Research, 28, 7200-7211.
Usman, O. (2022). Modelling the economic and social issues related to environmental quality in Nigeria: The role of economic growth and internal conflict. Environmental Science and Pollution Research, 29(26), 39209-39227.
Usman, O. (2023). Renewable energy and
Usman, O., Alola, A. A., & Sarkodie, S. A. (2020a). Assessment of the role of renewable energy consumption and trade policy on environmental degradation using innovation accounting: Evidence from the US. Renewable Energy, 150, 266-277.
Wang, H., Schandl, H., Wang, G., Ma, L., & Wang, Y. (2019). Regional material flow accounts for China: Examining China’s natural resource use at the provincial and national level. Journal of Industrial Ecology, 23(6), 1425-1438.
Wang, N., & Chang, Y. C. (2014). The development of policy instruments in supporting low-carbon governance in China. Renewable and Sustainable Energy Reviews, 35, 126-135.
Wang, X., & Yan, L. (2022). Measuring the integrated risk of China’s carbon financial market based on the copula model. Environmental Science and Pollution Research, 29(36), 54108-54121.
WDI (2022). World development indicators of the World Bank. https://databank.worldbank.org/source/ world-development-indicators (Accessed on 22 Dec 2022).
Xiong, J., & Xu, D. (2021). Relationship between energy consumption, economic growth and environmental pollution in China. Environmental Research, 194, 110718.
Xu, D., Salem, S., Awosusi, A. A., Abdurakhmanova, G., Altuntaş, M., Oluwajana, D., Kirikkaleli, D., & Ojekemi, O. (2022). Load capacity factor and financial globalization in Brazil: The role of renewable energy and urbanization. Frontiers in Environmental Science, 9, 823185.
Zafar, M. W., Zaidi, S. A. H., Khan, N. R., Mirza, F. M., Hou, F., & Kirmani, S. A. A. (2019). The impact of natural resources, human capital, and foreign direct investment on the ecological footprint: The case of the United States. Resources Policy, 63, 101428.
Zhang, L., Godil, D. I., Bibi, M., Khan, M. K., Sarwat, S., & Anser, M. K. (2021). Caring for the environment: How human capital, natural resources, and economic growth interact with environmental degradation in Pakistan? A dynamic ARDL approach. Science of the Total Environment, 774, 145553.
Zhao, X., Ma, X., Chen, B., Shang, Y., & Song, M. (2022). Challenges toward carbon neutrality in China: Strategies and countermeasures. Resources, Conservation and Recycling, 176, 105959.
Zheng, W., & Walsh, P. P. (2019). Economic growth, urbanization and energy consumption-A provincial level analysis of China. Energy Economics, 80, 153-162.
المؤلفون والانتماءات
أوجونغوا عثمان
(D • أوقتاي أوزكان
إبراهيم أديشولا
باباتوندي سونداي إيوادي
ousman@ticaret.edu.tr
أوكتاي أوزكان
oktay.ozkan@gop.edu.tr
إبراهيم أديشولا
ibrahim.adeshola@final.edu.tr
باباتوندي سونداي إيوادي
eweade.babatunde@gmail.com
1 قسم الاقتصاد، جامعة إسطنبول للتجارة، إسطنبول، تركيا
3 قسم إدارة الأعمال، كلية الاقتصاد والعلوم الإدارية، جامعة توكات غازيوسمن باشا، توكات، تركيا
4 قسم هندسة الكمبيوتر، كلية الهندسة، الجامعة الدولية النهائية، عبر مرسين 10، أوزانكوي، شمال قبرص، تركيا
5 قسم الاقتصاد، كلية الأعمال والاقتصاد، جامعة البحر الأبيض المتوسط الشرقية، عبر مرسين 10، فاماغوستا، شمال قبرص، تركيا
6 مركز أبحاث الاقتصاد التنموي، جامعة أذربيجان الحكومية للاقتصاد (UNEC)، باكو AZ1001، أذربيجان
7 مركز أبحاث الاقتصاد الرقمي، جامعة أذربيجان الحكومية للاقتصاد (UNEC)، شارع الاستقلال 6، باكو، أذربيجان
- معلومات المؤلف الموسعة متاحة في الصفحة الأخيرة من المقال
تكون منحنى التكلفة الحدية (LCC) على شكل حرف U إذا كان الناتج المحلي الإجمالي (GDP) مرتبطًا سلبًا مع التكلفة الحدية (LCF)، ومربع الناتج المحلي الإجمالي مرتبطًا إيجابيًا مع التكلفة الحدية. وعلى العكس، يكون منحنى التكلفة الحدية (LCC) على شكل حرف U مقلوب إذا كان الناتج المحلي الإجمالي مرتبطًا إيجابيًا مع التكلفة الحدية، ومربع الناتج المحلي الإجمالي مرتبطًا سلبًا مع التكلفة الحدية.
DOI: https://doi.org/10.1007/s10668-023-04399-z
Publication Date: 2024-01-18
Analysing the nexus between clean energy expansion, natural resource extraction, and load capacity factor in China: a step towards achieving COP27 targets
Abstract
The excessive use of non-renewable energy in 21st-century economic growth has continued to hurt the environment by accumulating carbon dioxide and other greenhouse gases. However, promoting environmental sustainability requires expanding clean energy utilisation. In this study, we examine the effects of clean energy expansion and natural resource extraction on load capacity factor (LCF) in China from 1970 to 2018. Using the dynamic autoregressive distributed lag simulations approach, we extend the standard load capacity curve (LCC) hypothesis by incorporating clean energy expansion and natural resource extraction as main determinants of the LCF. The empirical outcomes reveal that economic expansion is, although positively associated with the LCF, but its squared term degrades the LCF. This confirms that the LCC hypothesis is not valid for China. Moreover, while clean energy expansion has a positive effect on the LCF, the effect of natural resource extraction is negative. These effects are stronger and statistically significant only in the long run. Therefore, this study highlights the potentials for a sustainable decarbonized economy in China by investing not only in clean energy sources but also efficiently use the available natural resources in the country.
1 Introduction
literature. Section 3 presents the dataset and empirical approaches employed. Section 4 presents the empirical results and a discussion of major findings. Lastly, Sect. 5 provides a summary of the study alongside the policy recommendation based on the findings.
2 Theoretical framework and literature review
sustainable growth in OECD countries, while Usman (2023) supported the sustainable finance hypothesis by supporting the role of expenditure on renewable energy in mitigating environmental degradation in G7 countries.
| Variable | Abr | Measurement | Sources |
| Load capacity factor | LCF |
|
GFN (2022) |
| Economic expansion | GDP | Gross domestic product per capita at constant 2015 US Dollar | WDI (2022) |
| Clean energy consumption | REC | Primary energy consumption from renewables (% of total) | OWD (2022) |
| Natural resources extraction | NR | Total natural resources rents as a share of GDP | WDI (2022) |
3 Sources of data and methodological development
3.1 Data sources
3.2 Empirical model
economic growth, the squared GDP unfolds whether the LCC is characterized by a
3.3 Dynamic ARDL simulations model
4 Empirical results and discussion
4.1 Preliminary check

| lnLCF | LnGDP | lnREC | lnNR | |
| Mean | -0.748 | 7.264 | 1.650 | 1.438 |
| Median | -0.688 | 7.233 | 1.599 | 1.582 |
| Maximum | -0.166 | 9.171 | 2.550 | 2.958 |
| Minimum | -1.414 | 5.647 | 1.015 | -0.201 |
| Std. Dev | 0.383 | 1.143 | 0.385 | 0.847 |
| Skewness | -0.387 | 0.142 | 0.615 | -0.167 |
| Kurtosis | 1.881 | 1.690 | 2.835 | 2.201 |
| Jarque-Bera | 3.781 | 3.665 | 3.142 | 1.529 |
| Prob | 0.151 | 0.160 | 0.208 | 0.466 |
|
|
49 | 49 | 49 | 49 |
4.2 Unit root results
| Panel A: Ng-Perron modified unit root test | ||||
| MZa | MZt | MSB | MPT | |
| lnLCF | 1.430 | 1.166 | 0.815 | 52.430 |
|
|
-20.161*** | -3.147*** | 0.156*** | 1.315*** |
| lnGDP | 0.081 | 0.041 | 0.506 | 19.698 |
|
|
-15.224*** | -2.759*** | 0.181*** | 1.610*** |
| lnREC | 2.601 | 1.736 | 0.667 | 44.574 |
|
|
-23.484*** | -3.423*** | 0.146*** | 1.056*** |
| lnNR | -2.194 | -1.040 | 0.474 | 11.105 |
|
|
-22.061*** | -3.318*** | 0.150*** | 1.121*** |
| Test asymptotic critical values | ||||
| 1% | -13.800 | -2.580 | 0.174 | 1.780 |
| 5% | -8.100 | -1.980 | 0.233 | 3.170 |
| 10% | – 5.700 | – 1.620 | 0.275 | 4.450 |
| Panel B: DF-GLS unit root test | ||||
|
|
Test critical values | |||
| lnLCF | 1.046 | 1% | -2.615 | |
|
|
– 4.533*** | 5% | -1.948 | |
| lnGDP | 0.352 | 10% | -1.612 | |
|
|
-3.465*** | |||
| lnREC | 1.405 | |||
|
|
-6.621*** | |||
| lnNR | -1.190 | |||
|
|
– 5.265*** | |||
1992). As a result, the Ng-Perron and DF-GLS unit root test is used in this study. Table 3 reveals the unit root test results of all the variables (LCF, GDP, REC, NR). As shown by the results, all the variables cannot reject the null hypothesis which perhaps shows no stationarity at levels but the results of their first differences submit that all the series are remarkably stationary at a
4.3 Cointegration outcomes
| Model:
|
|||||||
| Estimated model: ARDL(2,1,0,0,1) | |||||||
| Narayan (2005) critical values | |||||||
| 10% | 5% | 1% | |||||
|
|
12.082*** | ![]() |
![]() |
![]() |
![]() |
![]() |
![]() |
| 4.07 | 5.19 | 5.82 | 7.30 | ||||
|
|||||||
| 10% | 5% | 1% | |||||
|
|
– 5.552*** | ![]() |
![]() |
![]() |
![]() |
![]() |
|
| -2.57 | -3.21 | -2.86 | -3.53 | -3.43 | – 4.10 | ||
the Narayan (2005) critical values and the approximate values provide evidence of a cointegrating relationship among the series. This implies that LCF, GDP, GDP
4.4 Long-run and short-run dynamic ARDL coefficients
| Model:
|
||||
| Variable | Coefficient | Std. Error |
|
Prob |
| Constant | -0.907*** | 0.212 | -4.270 | 0.000 |
| lnLCF(-1) | -0.578*** | 0.104 | -5.552 | 0.000 |
|
|
0.328*** | 0.067 | 4.896 | 0.000 |
|
|
-0.038*** | 0.006 | -5.754 | 0.000 |
| 1nREC | 0.103*** | 0.029 | 3.548 | 0.001 |
| lnNR(-1) | -0.027*** | 0.008 | -3.461 | 0.001 |
|
|
0.358** | 0.134 | 2.676 | 0.011 |
|
|
0.179 | 0.127 | 1.410 | 0.167 |
|
|
-0.000 | 0.011 | -0.018 | 0.986 |
|
|
0.623 | Adj.
|
0.596 | |
| Tests |
|
| Breusch Godfrey Lagrange Multiplier | 0.941 |
| Breusch Pagan Godfrey | 0.570 |
| ARCH | 0.613 |
| Ramsey RESET | 0.556 |
| Jarque-Bera | 0.483 |





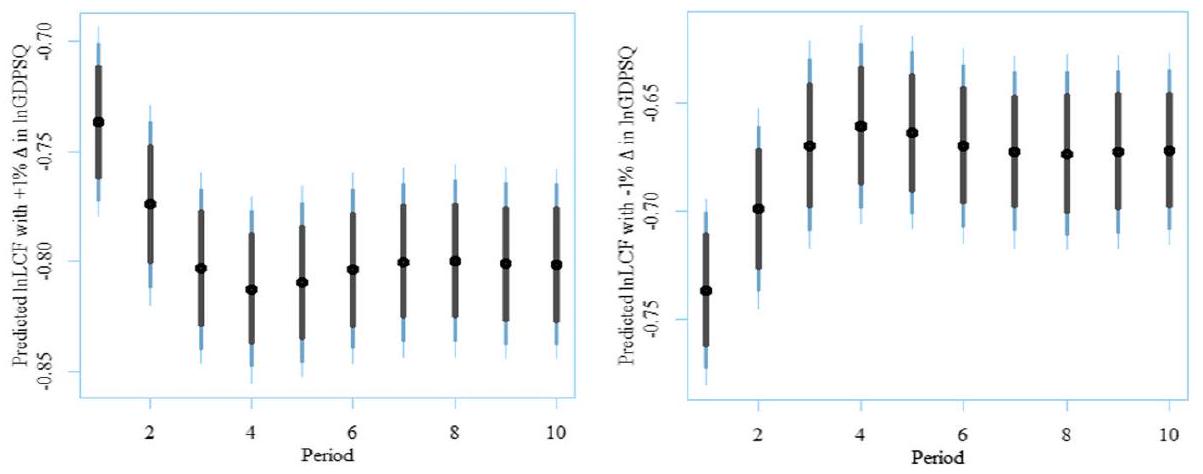
4.5 Discussion of findings

5 Conclusion and policy recommendations
Declarations
permitted by statutory regulation or exceeds the permitted use, you will need to obtain permission directly from the copyright holder. To view a copy of this licence, visit http://creativecommons.org/licenses/by/4.0/.
References
Adikpo, J. A., & Usman, O. (2023). Moving towards the path of environmental sustainability in Develop-ing-8 countries: Investigating the role of country’s reputation in mitigating environmental externalities. Environmental Science and Pollution Research. https://doi.org/10.1007/s11356-023-29883-x
Ahmed, Z., Asghar, M. M., Malik, M. N., & Nawaz, K. (2020). Moving towards a sustainable environment: The dynamic linkage between natural resources, human capital, urbanization, economic growth, and ecological footprint in China. Resources Policy, 67, 101677.
Akhayere, E., Kartal, M. T., Adebayo, T. S., & Kavaz, D. (2023). Role of energy consumption and trade openness towards environmental sustainability in Turkey. Environmental Science and Pollution Research, 30(8), 21156-21168.
Alola, A. A., Özkan, O., & Usman, O. (2023). Role of non-renewable energy efficiency and renewable energy in driving environmental sustainability in India: Evidence from the load capacity factor hypothesis. Energies, 16(6), 2847.
Badeeb, R. A., Lean, H. H., & Shahbaz, M. (2020). Are too many natural resources to blame for the shape of the environmental Kuznets curve in resource-based economies? Resources Policy, 68, 101694.
Balcilar, M., Usman, O., & Ike, G. N. (2023a). Investing green for sustainable development without ditching economic growth. Sustainable Development, 31(2), 728-743.
Balcilar, M., Usman, O., & Ike, G. N. (2023b). Operational behaviours of multinational corporations, renewable energy transition, and environmental sustainability in Africa: Does the level of natural resource rents matter? Resources Policy, 81, 103344.
Baloch, M. A., Mahmood, N., & Zhang, J. W. (2019). Effect of natural resources, renewable energy and economic development on
Caglar, A. E., & Askin, B. E. (2023). A path towards green revolution: How do competitive industrial performance and renewable energy consumption influence environmental quality indicators? Renewable Energy, 205, 273-280.
Chang, Y. C., & Wang, N. (2010). Environmental regulations and emissions trading in China. Energy Policy, 38(7), 3356-3364.
Chang, Y. C., & Wang, N. (2017). Legal system for the development of marine renewable energy in China. Renewable and Sustainable Energy Reviews, 75, 192-196.
Chen, L., Msigwa, G., Yang, M., Osman, A. I., Fawzy, S., Rooney, D. W., & Yap, P. S. (2022). Strategies to achieve a carbon neutral society: A review. Environmental Chemistry Letters, 20(4), 2277-2310.
da Silva, P. P., Cerqueira, P. A., & Ogbe, W. (2018). Determinants of renewable energy growth in SubSaharan Africa: Evidence from panel ARDL. Energy, 156, 45-54.
DeJong, D. N., Nankervis, J. C., Savin, N. E., & Whiteman, C. H. (1992). The power problems of unit root test in time series with autoregressive errors. Journal of Econometrics, 53(1-3), 323-343.
Dickey, D. A., & Fuller, W. A. (1979). Distribution of the estimators for autoregressive time series with a unit root. Journal of the American Statistical Association, 74(366a), 427-431.
Ding, Q., Khattak, S. I., & Ahmad, M. (2021). Towards sustainable production and consumption: Assessing the impact of energy productivity and eco-innovation on consumption-based carbon dioxide emissions (
Dogan, A., & Pata, U. K. (2022). The role of ICT, R&D spending and renewable energy consumption on environmental quality: Testing the LCC hypothesis for G7 countries. Journal of Cleaner Production, 380, 135038.
Elliott, G., Rothenberg, T. J., & Stock, J. H. (1996). Efficient tests for an autoregressive unit root. Econometrica, 64(4), 813-836.
Eweade, B. S., Uzuner, G., Akadiri, A. C., & Lasisi, T. T. (2022). Japan energy mix and economic growth nexus: Focus on natural gas consumption. Energy and Environment. https://doi.org/10.1177/09583 05X221130460
Fareed, Z., Salem, S., Adebayo, T. S., Pata, U. K., & Shahzad, F. (2021). Role of export diversification and renewable energy on the load capacity factor in Indonesia: A Fourier quantile causality approach. Frontiers in Environmental Science, 434.
Fernández, L. (2023). Topic: Renewable energy china. Statista. Retrieved Feb 17, 2023, from https://www. statista.com/topics/5100/renewable-energy-china/#topicOverview.
GFN (2022). Global footprint network. https://www.footprintnetwork.org (Accessed on 22 Dec 2022).
Gimba, O. J., Alhassan, A., Ozdeser, H., Ghardallou, W., Seraj, M., & Usman, O. (2023). Towards low carbon and sustainable environment: Does income inequality mitigate ecological footprints in SubSaharan Africa? Environment, Development and Sustainability, 25, 10425-10445.
Grossman, G. M. & Krueger, A. B. (1991). Environmental impacts of a North American free trade agreement. NBER working paper 3914, Nov. 1991.
Huang, Y., Villanthenkodath, M. A., & Haseeb, M. (2023). The nexus between eco-friendly technology and environmental degradation in India: Does the
Jordan, S., & Philips, A. Q. (2018). Cointegration testing and dynamic simulations of autoregressive distributed lag models. The Stata Journal, 18(4), 902-923.
Kartal, M. T., Samour, A., Adebayo, T. S., & Depren, S. K. (2023). Do nuclear energy and renewable energy surge environmental quality in the United States? New insights from novel bootstrap Fourier Granger causality in quantiles approach. Progress in Nuclear Energy, 155, 104509.
Khattak, S. I., Ahmad, M., Ul Haq, Z., Shaofu, G., & Hang, J. (2022). On the goals of sustainable production and the conditions of environmental sustainability: Does cyclical innovation in green and sustainable technologies determine carbon dioxide emissions in G-7 economies. Sustainable Production and Consumption, 1(29), 406-420.
Leggett, J. A. (2020). The united nations framework convention on climate change, the Kyoto protocol, and the Paris agreement: a summary. Congressional research service, R46204, UNFCC, New York, 2. https://sgp.fas.org/crs/misc/R46204.pdf.
Li, Y., Alharthi, M., Ahmad, I., Hanif, I., & Hassan, M. U. (2022). Nexus between renewable energy, natural resources and carbon emissions under the shadow of transboundary trade relationship from South East Asian economies. Energy Strategy Reviews, 41, 100855.
Luo, J., Ali, S. A., Aziz, B., Aljarba, A., Akeel, H., & Hanif, I. (2023). Impact of natural resource rents and economic growth on environmental degradation in the context of COP-26: Evidence from low-income, middle-income, and high-income Asian countries. Resources Policy, 80, 103269.
Meng, F., Guo, J., Guo, Z., Lee, J. C., Liu, G., & Wang, N. (2021). Urban ecological transition: The practice of ecological civilization construction in China. Science of the Total Environment, 755, 142633.
Morrison, W. M. (2019). China’s economic rise: History, trends, challenges, and implications for the United States. Current Politics and Economics of Northern and Western Asia, 28(2/3), 189-242.
Naqvi, S. A. A., Hussain, B., & Ali, S. (2023). Evaluating the influence of biofuel and waste energy production on environmental degradation in APEC: Role of natural resources and financial development. Journal of Cleaner Production, 386, 135790.
Narayan, P. K. (2005). The saving and investment nexus for China: Evidence from cointegration tests. Applied Economics, 37(17), 1979-1990.
Nathaniel, S. P., & Bekun, F. V. (2020). Environmental management amidst energy use, urbanization, trade openness, and deforestation: The Nigerian experience. Journal of Public Affairs, 20(2), e2037.
Nathaniel, S. P. (2021). Environmental degradation in ASEAN: Assessing the criticality of natural resources abundance, economic growth and human capital. Environmental Science and Pollution Research, 28(17), 21766-21778.
Nathaniel, S. P., Yalçiner, K., & Bekun, F. V. (2021). Assessing the environmental sustainability corridor: Linking natural resources, renewable energy, human capital, and ecological footprint in BRICS. Resources Policy, 70, 101924.
Ng, S., & Perron, P. (2001). Lag length selection and the construction of unit root tests with good size and power. Econometrica, 69(6), 1519-1554.
Nguyen, K. H., & Kakinaka, M. (2019). Renewable energy consumption, carbon emissions, and development stages: Some evidence from panel cointegration analysis. Renewable Energy, 132, 1049-1057.
Nwani, C., Usman, O., Okere, K. I., & Bekun, F. V. (2023). Technological pathways to decarbonisation and the role of renewable energy: A study of European countries using consumption-based metrics. Resources Policy, 83, 103738.
OWD (2022). Our world in data. https://ourworldindata.org (Accessed on 22 Dec 2022).
Özkan, O., Haruna, R. A., Alola, A. A., Ghardallou, W., & Usman, O. (2023b). Investigating the nexus between economic complexity and energy-related environmental risks in the USA: Empirical evidence from a novel multivariate quantile-on-quantile regression. Structural Change and Economic Dynamics, 65, 382-392.
Ozkan, O., Sharif, A., Mey, L. S., & Tiwari, S. (2023). The dynamic role of green technological innovation, financial development and trade openness on urban environmental degradation in China: Fresh insights from carbon efficiency. Urban Climate, 52, 101679.
Pata, U. K. (2021). Do renewable energy and health expenditures improve load capacity factor in the USA and Japan? A new approach to environmental issues. The European Journal of Health Economics, 22(9), 1427-1439.
Pata, U. K., & Isik, C. (2021). Determinants of the load capacity factor in China: A novel dynamic ARDL approach for ecological footprint accounting. Resources Policy, 74, 102313.
Pata, U. K., & Kartal, M. T. (2023). Impact of nuclear and renewable energy sources on environment quality: Testing the EKC and LCC hypotheses for South Korea. Nuclear Engineering and Technology, 55(2), 587-594.
Pata, U. K., Kartal, M. T., Erdogan, S., & Sarkodie, S. A. (2023a). The role of renewable and nuclear energy R&D expenditures and income on environmental quality in Germany: Scrutinizing the EKC and LCC hypotheses with smooth structural changes. Applied Energy, 342, 121138.
Pata, U. K., Olasehinde-Williams, G., & Ozkan, O. (2023b). Carbon efficiency in China: Should we be concerned about the shadow economy and urbanization? Geological Journal, 58(10), 3646-3658.
Pesaran, M. H., Shin, Y., & Smith, R. J. (2001). Bounds testing approaches to the analysis of level relationships. Journal of Applied Econometrics, 16(3), 289-326.
Phillips, P. C., & Perron, P. (1988). Testing for a unit root in time series regression. Biometrika, 75(2), 335-346.
Ramezani, M., Abolhassani, L., Shahnoushi Foroushani, N., Burgess, D., & Aminizadeh, M. (2022). Ecological footprint and its determinants in MENA countries: A spatial econometric approach. Sustainability, 14(18), 11708.
Rehman, S. U., Elrehail, H., Alshwayat, D., Ibrahim, B., & Alami, R. (2023). Linking hotel environmental management initiatives and sustainable hotel performance through employees’ eco-friendly behaviour and environmental strategies: A moderated-mediated model. European Business Review, 35(2), 184-201.
Sadorsky, P. (2009). Renewable energy consumption and income in emerging economies. Energy Policy, 37(10), 4021-4028.
Samreen, I., & Majeed, M. T. (2022). Economic development, social-political factors and ecological footprint: A global panel data analysis. SN Business & Economics, 2(9), 132.
Sarkodie, S. A., Strezov, V., Weldekidan, H., Asamoah, E. F., Owusu, P. A., & Doyi, I. N. Y. (2019). Environmental sustainability assessment using dynamic autoregressive-distributed lag simula-tions-nexus between greenhouse gas emissions, biomass energy, food and economic growth. Science of the Total Environment, 668, 318-332.
Shahbaz, M., Raghutla, C., Chittedi, K. R., Jiao, Z., & Vo, X. V. (2020). The effect of renewable energy consumption on economic growth: Evidence from the renewable energy country attractive index. Energy, 207, 118162.
Shao, W., Yu, X., & Chen, Z. (2022). Does the carbon emission trading policy promote foreign direct investment?: A quasi-experiment from China. Frontiers in Environmental Science, 9, 798438.
Siche, R., Pereira, L., Agostinho, F., & Ortega, E. (2010). Convergence of ecological footprint and emergy analysis as a sustainability indicator of countries: Peru as case study. Communications in Nonlinear Science and Numerical Simulation, 15(10), 3182-3192.
Sun, Y., Li, M., Zhang, M., Khan, H. S. U. D., Li, J., Li, Z., & Anaba, O. A. (2021). A study on China’s economic growth, green energy technology, and carbon emissions based on the Kuznets curve (EKC). Environmental Science and Pollution Research, 28, 7200-7211.
Usman, O. (2022). Modelling the economic and social issues related to environmental quality in Nigeria: The role of economic growth and internal conflict. Environmental Science and Pollution Research, 29(26), 39209-39227.
Usman, O. (2023). Renewable energy and
Usman, O., Alola, A. A., & Sarkodie, S. A. (2020a). Assessment of the role of renewable energy consumption and trade policy on environmental degradation using innovation accounting: Evidence from the US. Renewable Energy, 150, 266-277.
Wang, H., Schandl, H., Wang, G., Ma, L., & Wang, Y. (2019). Regional material flow accounts for China: Examining China’s natural resource use at the provincial and national level. Journal of Industrial Ecology, 23(6), 1425-1438.
Wang, N., & Chang, Y. C. (2014). The development of policy instruments in supporting low-carbon governance in China. Renewable and Sustainable Energy Reviews, 35, 126-135.
Wang, X., & Yan, L. (2022). Measuring the integrated risk of China’s carbon financial market based on the copula model. Environmental Science and Pollution Research, 29(36), 54108-54121.
WDI (2022). World development indicators of the World Bank. https://databank.worldbank.org/source/ world-development-indicators (Accessed on 22 Dec 2022).
Xiong, J., & Xu, D. (2021). Relationship between energy consumption, economic growth and environmental pollution in China. Environmental Research, 194, 110718.
Xu, D., Salem, S., Awosusi, A. A., Abdurakhmanova, G., Altuntaş, M., Oluwajana, D., Kirikkaleli, D., & Ojekemi, O. (2022). Load capacity factor and financial globalization in Brazil: The role of renewable energy and urbanization. Frontiers in Environmental Science, 9, 823185.
Zafar, M. W., Zaidi, S. A. H., Khan, N. R., Mirza, F. M., Hou, F., & Kirmani, S. A. A. (2019). The impact of natural resources, human capital, and foreign direct investment on the ecological footprint: The case of the United States. Resources Policy, 63, 101428.
Zhang, L., Godil, D. I., Bibi, M., Khan, M. K., Sarwat, S., & Anser, M. K. (2021). Caring for the environment: How human capital, natural resources, and economic growth interact with environmental degradation in Pakistan? A dynamic ARDL approach. Science of the Total Environment, 774, 145553.
Zhao, X., Ma, X., Chen, B., Shang, Y., & Song, M. (2022). Challenges toward carbon neutrality in China: Strategies and countermeasures. Resources, Conservation and Recycling, 176, 105959.
Zheng, W., & Walsh, P. P. (2019). Economic growth, urbanization and energy consumption-A provincial level analysis of China. Energy Economics, 80, 153-162.
Authors and Affiliations
Ojonugwa Usman
(D • Oktay Ozkan
Ibrahim Adeshola
. Babatunde Sunday Eweade
ousman@ticaret.edu.tr
Oktay Ozkan
oktay.ozkan@gop.edu.tr
Ibrahim Adeshola
ibrahim.adeshola@final.edu.tr
Babatunde Sunday Eweade
eweade.babatunde@gmail.com
1 Department of Economics, İstanbul Ticaret University, Istanbul, Turkey
3 Department of Business Administration, Faculty of Economics and Administrative Sciences, Tokat Gaziosmanpasa University, Tokat, Turkey
4 Department of Computer Engineering, Faculty of Engineering, Final International University, Via Mersin 10, Ozanköy, North Cyprus, Turkey
5 Department of Economics, Faculty of Business and Economics, Eastern Mediterranean University, Via Mersin 10, Famagusta, North – Cyprus, Turkey
6 Research Center of Development Economics, Azerbaijan State University of Economics (UNEC), Baku AZ1001, Azerbaijan
7 UNEC Research Center of Digital Economics, Azerbaijan State University of Economics (UNEC), Istiqlaliyyat Str. 6, Baku, Azerbaijan
- Extended author information available on the last page of the article
The LCC is U-shaped if GDP is negatively associated with the LCF, and square of GDP is positively associated with the LCF. Conversely, the LCC is an inverted U-shape if GDP is positively associated with the LCF, and square of GDP is negatively associated with the LCF.

