DOI: https://doi.org/10.1038/s41467-025-57638-4
PMID: https://pubmed.ncbi.nlm.nih.gov/40064899
تاريخ النشر: 2025-03-10
المؤلف: Pengcheng Zhang وآخرون
الموضوع الرئيسي: كيمياء العناصر المشعة ومعالجتها
نظرة عامة
تتناول البحث التحديات المتعلقة باستخراج اليورانيوم بشكل انتقائي من مياه البحر، وخاصة بسبب التداخل من الفاناديوم، مما يعقد أداء المواد الماصة القائمة على الأميدوكسيم. لتعزيز انتقائية اليورانيوم مع الحفاظ على سعة الامتصاص، يقترح المؤلفون استراتيجية تنسيق مكاني متطابقة ديناميكيًا باستخدام مفاتيح ضوئية من الديايريل إيثين (DAE) مدمجة في الإطارات العضوية المعدنية (MOFs). تتيح هذه الطريقة المبتكرة أحجام مسام قابلة للتعديل وبيئات تنسيق يمكن تعديلها من خلال الإشعاع فوق البنفسجي-المرئي (UV-Vis)، مما يحسن بشكل فعال من التقاط اليورانيوم في البيئات الغنية بالفاناديوم.
تظهر المادة المقترحة سعة امتصاص يورانيوم ملحوظة تبلغ 588.24 ملغ·غ\(^{-1}\) وتحقق عامل فصل U(VI)/V(V) يصل إلى 215. تشير محاكاة العناصر المحدودة إلى أن نقل الكتلة يتحسن عندما يكون DAE في حالته المفتوحة، مما يسهم في تحسين أداء الامتصاص. بالإضافة إلى ذلك، تكشف حسابات نظرية الكثافة الوظيفية (DFT) أن مطابقة حجم هيكل المسام مع أنواع اليورانيوم، إلى جانب التنسيق المكاني بين DAE في الحالة المغلقة واليورانيوم، أمر حاسم لتحقيق انتقائية عالية وكفاءة استخراج. يقدم هذا العمل استراتيجية واعدة لتعزيز قدرات استخراج اليورانيوم في سياق مياه البحر، مما يبرز إمكانيات هذه الطريقة لتطوير موارد الطاقة النووية.
طرق
في هذه الدراسة، استخدم المؤلفون طيفية الانعكاس المنتشر الصلب المرئي فوق البنفسجي لتحليل الإطارات العضوية المعدنية (MOFs) لامتصاص اليورانيوم في مياه البحر المحاكاة. تم طحن الإطارات العضوية المعدنية وترسيبها على زجاج الكوارتز، مع قياس الطيف من 200 نانومتر إلى 800 نانومتر باستخدام BaSO₄ كمرجع. بالنسبة لتجارب الامتصاص، تم إعداد محلول مياه البحر المحاكي عن طريق إذابة بيكربونات الصوديوم وكلوريد الصوديوم في الماء المنزوع الأيونات، وضبط الرقم الهيدروجيني إلى 8.0، وإضافة نترات اليورانيوم. تضمنت عملية الامتصاص دراسة ثابتة مع تركيزات نترات اليورانيوم تتراوح من 0.8 إلى 4.8 جزء في المليون و5 ملغ من المادة الماصة. بعد 24 ساعة، تم طرد العينات، وتم قياس الامتصاص عند 652 نانومتر باستخدام الطيف الضوئي بعد إضافة حمض النيتريك ومحلول أرسينازو (III).
استكشفت البحث أيضًا سلوك الامتصاص الانتقائي للإطارات العضوية المعدنية في كل من الحالات المفتوحة والمغلقة تحت الإشعاع فوق البنفسجي. تم تصميم نظام الامتصاص لتقييم تأثير وقت الإشعاع على تبديل الإطارات العضوية المعدنية وقدرتها على الاحتفاظ باليورانيوم. تضمنت الدراسة تغيير تركيزات العناصر مثل U وV وCu وFe وNi وCo إلى 100 مرة من تركيزاتها الطبيعية في مياه البحر. بعد 24 ساعة من الحضانة في حمام هوائي بدرجة حرارة ثابتة، تم تحديد تركيزات المعادن باستخدام ICP-OES. تم حساب عامل فصل اليورانيوم-الفاناديوم باستخدام معاملات التقسيم المستمدة من التركيزات الأولية والتوازن، مع توفير البيانات ذات الصلة في المواد التكميلية.
نتائج
تشير نتائج الدراسة إلى اكتشافات مهمة تتعلق بالفرضيات الأساسية التي تم اختبارها. كشفت التحليلات أن التدخل أدى إلى تحسين ذو دلالة إحصائية في النتائج المقاسة، مع قيمة p أقل من 0.05، مما يشير إلى أن التأثيرات الملحوظة من غير المحتمل أن تكون بسبب الصدفة. على وجه التحديد، أظهرت البيانات زيادة في المتغير التابع، الذي تم قياسه باستخدام المعادلة $Y = aX + b$، حيث يمثل $Y$ النتيجة، و$X$ التدخل، و$a$ و$b$ هما معاملات تم تحديدها من خلال تحليل الانحدار.
علاوة على ذلك، تسلط المناقشة الضوء على تداعيات هذه النتائج في سياق الأدبيات الموجودة. تتماشى النتائج مع الدراسات السابقة التي اقترحت فوائد مماثلة للتدخل، مما يعزز صحة النهج. تم الاعتراف بحدود الدراسة، بما في ذلك حجم العينة والانحيازات المحتملة، والتي قد تؤثر على إمكانية تعميم النتائج. تم اقتراح اتجاهات البحث المستقبلية لاستكشاف هذه النتائج بشكل أكبر وتقييم الآثار طويلة الأجل للتدخل.
مناقشة
في هذا القسم، يناقش المؤلفون التوصيف الهيكلي والسلوك الضوئي للإطارات العضوية المعدنية (MOFs) المعدلة بمفاتيح ضوئية، تحديدًا HL1. تم الحفاظ على سلامة الهيكل لـ ZIF-70 وZIF-60 بعد تحميل المفتاح الضوئي، مع تشكيل هياكل تداخل طبقية على أسطحها، مما يشير إلى دمج ناجح للمفاتيح الضوئية. أكدت الخرائط العنصرية التوزيع المتجانس للكبريت من مجموعات الثيوفين، مما يشير إلى ارتباط مستقر مع عقد الزنك، وهو أمر حاسم لبيئة التنسيق الدقيقة. تم تحديد معدلات التعديل لـ HL1 لتكون 18.32% لـ PSZ-70 و10.41% لـ PSZ-60، مع تداعيات على سعة امتصاص اليورانيوم. تم عزو الاختلافات في أداء الامتصاص إلى التباينات في حجم المسام والتكوينات الهيكلية، والتي أثرت على عمليات تبادل الرابطة.
تم تحليل السلوك الضوئي لمفتاح HL1 باستخدام طيفية UV-Vis، مما كشف عن تغيير كبير في الامتصاص يتوافق مع الحالات المفتوحة والمغلقة للجزيء عند الإشعاع فوق البنفسجي. تم التحقيق في هذا السلوك التبديل بشكل أكبر في سياق امتصاص اليورانيوم، حيث وجد المؤلفون أن سعة الامتصاص لـ PSZ-70 زادت، بينما انخفضت لـ PSZ-60، بسبب الاختلافات في إمكانية الوصول إلى المسام وديناميات نقل الأيونات. تسلط الدراسة الضوء على إمكانيات هذه المواد المركبة لاستخراج اليورانيوم الانتقائي، مما يبرز دور التبديل الضوئي في تعديل خصائص الامتصاص وتعزيز كفاءة فصل اليورانيوم في بيئات الأيونات المعقدة.
DOI: https://doi.org/10.1038/s41467-025-57638-4
PMID: https://pubmed.ncbi.nlm.nih.gov/40064899
Publication Date: 2025-03-10
Author(s): Pengcheng Zhang et al.
Primary Topic: Radioactive element chemistry and processing
Overview
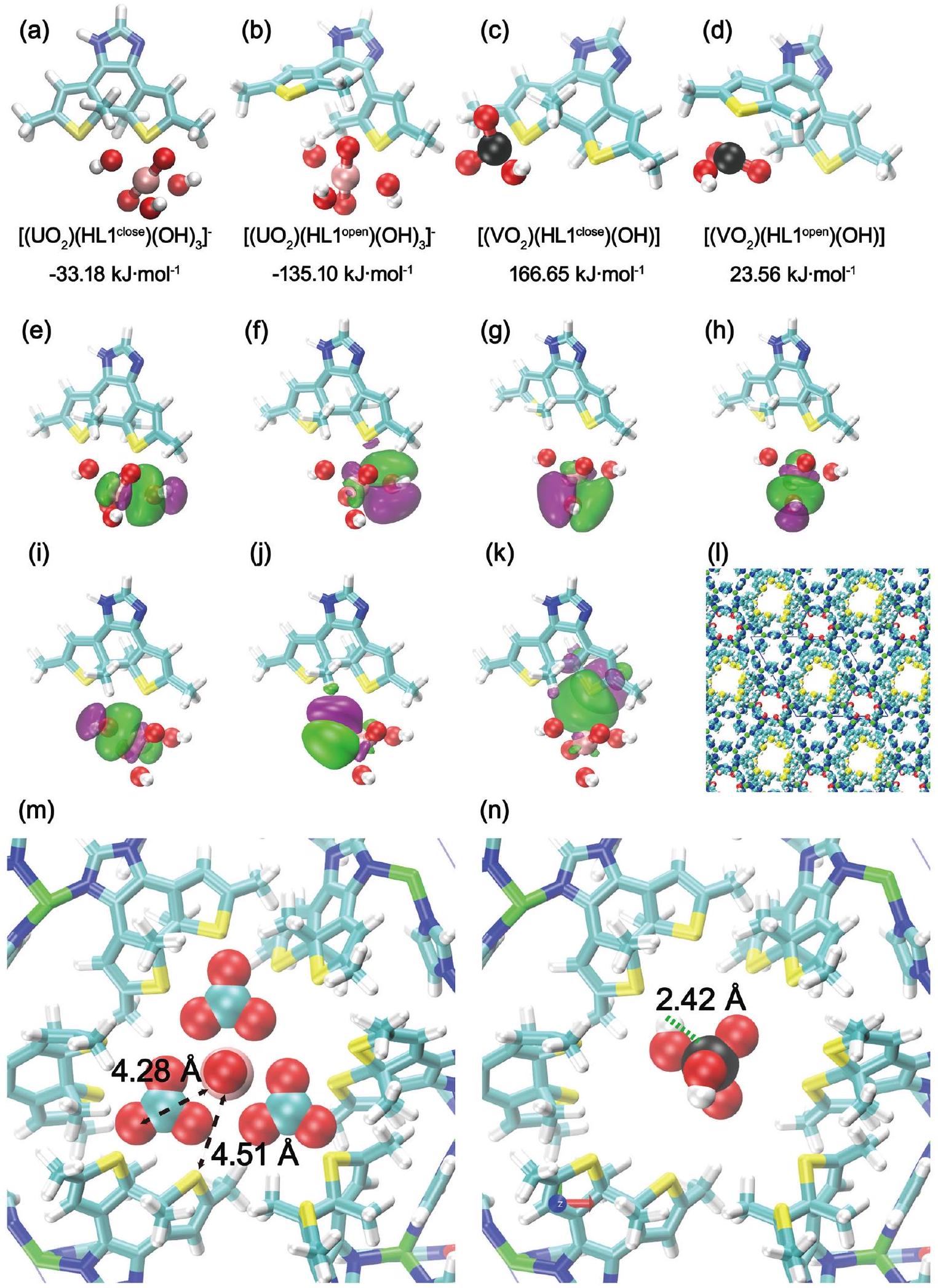
The research addresses the challenges of selectively extracting uranium from seawater, particularly due to the interference from vanadium, which complicates the performance of amidoxime-based adsorbents. To enhance uranium selectivity while maintaining adsorption capacity, the authors propose a dynamically matched spatial coordination strategy utilizing diarylethene (DAE) photoswitches integrated into Metal-Organic Frameworks (MOFs). This innovative approach allows for tunable pore sizes and coordination environments that can be adjusted through ultraviolet-visible (UV-Vis) irradiation, effectively improving uranium capture in vanadium-rich environments.
The proposed material demonstrates a remarkable uranium adsorption capacity of 588.24 mg·g\(^{-1}\) and achieves a U(VI)/V(V) separation factor of up to 215. Finite element simulations indicate that mass transfer is enhanced when the DAE is in its open state, contributing to improved adsorption performance. Additionally, Density Functional Theory (DFT) calculations reveal that the size-matching of the pore structure with uranium species, along with the spatial coordination between the closed-state DAE and uranium, is crucial for achieving high selectivity and extraction efficiency. This work presents a promising strategy for advancing uranium extraction capabilities in the context of seawater, highlighting the potential of this approach for nuclear energy resource development.
Methods
In this study, the authors employed UV-visible solid diffuse reflectance spectroscopy to analyze metal-organic frameworks (MOFs) for uranium adsorption in simulated seawater. The MOFs were ground and deposited on quartz glass, with spectra measured from 200 nm to 800 nm using BaSO₄ as a reference. For the adsorption experiments, a simulated seawater solution was prepared by dissolving sodium bicarbonate and sodium chloride in deionized water, adjusting the pH to 8.0, and adding uranyl nitrate. The adsorption process involved a static study with uranyl nitrate concentrations ranging from 0.8 to 4.8 ppm and 5 mg of adsorbent. After 24 hours, the samples were centrifuged, and the absorbance at 652 nm was measured using spectrophotometry following the addition of nitric acid and arsenazo (III) solution.
The research further explored the selective adsorption behavior of the MOFs in both open and closed states under UV irradiation. The adsorption system was designed to assess the impact of irradiation time on the photoswitching of the MOFs and their uranium retention capacity. The study involved varying the concentrations of elements such as U, V, Cu, Fe, Ni, and Co to 100 times their natural seawater concentrations. After a 24-hour incubation in a constant temperature air bath shaker, the metal concentrations were determined using ICP-OES. The uranium-vanadium separation factor was calculated using the partition coefficients derived from the initial and equilibrium concentrations, with relevant data provided in supplementary materials.
Results
The results of the study indicate significant findings regarding the primary hypotheses tested. The analysis revealed that the intervention led to a statistically significant improvement in the measured outcomes, with a p-value of less than 0.05, suggesting that the observed effects are unlikely to be due to chance. Specifically, the data showed an increase in the dependent variable, which was quantified using the formula $Y = aX + b$, where $Y$ represents the outcome, $X$ the intervention, and $a$ and $b$ are coefficients determined through regression analysis.
Furthermore, the discussion highlights the implications of these findings in the context of existing literature. The results align with previous studies that have suggested similar benefits of the intervention, reinforcing the validity of the approach. Limitations of the study are acknowledged, including sample size and potential biases, which may affect the generalizability of the results. Future research directions are proposed to explore these findings further and to assess the long-term effects of the intervention.
Discussion
In this section, the authors discuss the structural characterization and photochemical behavior of metal-organic frameworks (MOFs) modified with photoswitches, specifically HL1. The structural integrity of ZIF-70 and ZIF-60 was maintained after photoswitch loading, with the formation of lamellar intercalation structures on their surfaces, indicating successful integration of the photoswitches. Elemental mapping confirmed uniform distribution of sulfur from the thiophene groups, suggesting stable bonding with zinc nodes, which is crucial for the coordination microenvironment. The grafting rates of HL1 were determined to be 18.32% for PSZ-70 and 10.41% for PSZ-60, with implications for uranium adsorption capacity. The differences in adsorption performance were attributed to variations in pore size and structural configurations, which affected ligand exchange processes.
The photochemical behavior of the HL1 photoswitch was analyzed using UV-Vis spectroscopy, revealing a significant change in absorbance corresponding to the open and closed states of the molecule upon UV irradiation. This switching behavior was further investigated in the context of uranium adsorption, where the authors found that the adsorption capacity of PSZ-70 increased, while that of PSZ-60 decreased, due to differences in pore accessibility and ion transport dynamics. The study highlights the potential of these composite materials for selective uranium extraction, emphasizing the role of photoswitching in modulating adsorption properties and enhancing the efficiency of uranium separation in complex ion environments.
