DOI: https://doi.org/10.1038/s41377-024-01425-1
PMID: https://pubmed.ncbi.nlm.nih.gov/38514679
تاريخ النشر: 2024-03-22
طيفية الفوتو acoustics الرنانة متعددة الترددات المعززة بالكوارتز
الملخص
تمديد طيفية المزدوجة (DCS) لتشمل جميع أطوال موجات الضوء، إلى جانب قدرتها على توفير نطاق ديناميكي فائق الاتساع ودقة طيفية فائقة، يجعلها مفيدة للغاية لمجموعة متنوعة من التطبيقات في الفيزياء والكيمياء وعلوم الغلاف الجوي وعلوم الفضاء، بالإضافة إلى التطبيقات الطبية. في هذا العمل، نبلغ عن تقنية مبتكرة من طيفية الصوت الضوئي الرنان المعزز بالكوارتز متعددة الترددات (QEMR-PAS)، حيث يتم تحويل استجابة تردد الضرب من المزدوجة إلى نطاق تردد الصوت. بهذه الطريقة، تعمل جزيئات الغاز كموحد بصري صوتي من خلال تأثير الصوت الضوئي، مما يولد موجات صوتية غير متجانسة. على عكس DCS التقليدية، حيث يتم الكشف عن موجة الضوء بواسطة جهاز استشعار ضوئي يعتمد على الطول الموجي، تستخدم QEMR-PAS شوكة تذبذب كوارتز (QTF) كجهاز تحويل صوتي عالي الجودة وتعمل بالتعاون مع كاشف حساس للطور لاستخراج المكون الصوتي الرنان من النغمات الصوتية غير المتجانسة المتعددة، مما يؤدي إلى تكوين بسيط ومنخفض التكلفة للأجهزة. تمكن هذه التقنية الجديدة QEMR-PAS الكشف عن DCS المستقل عن الطول الموجي لاستشعار الغاز، مما يوفر نطاق ديناميكي غير مسبوق يبلغ 63 ديسيبل، ودقة طيفية ملحوظة تبلغ 43 ميغاهيرتز.
مقدمة
ثانياً، يتم تحديد دقة الطيف لجهاز الطيف القائم على DCS بواسطة عرض خط وضع الكم بالإضافة إلى نافذة الوقت التي يتم خلالها قياس الشكل الزمني.
بشكل إجمالي، يتراوح نطاق تردد الصوت المرجعي عادةً من 20 هرتز إلى 20 كيلو هرتز، حيث يتمتع بديناميات زمنية أبطأ من معدلات الاسترخاء الاهتزازي-الانتقالي النموذجية لجزيئات الغاز. وبالتالي، يمكن استخدام جزيئات الغاز كمحوّلات لتغيرات شدة الكهرومغناطيسية إلى موجات صوتية من خلال التأثير الضوئي الصوتي عندما يتم تحويل الإشارات الضوئية إلى نطاق تردد الصوت. يمكن بعد ذلك استخدام محول صوتي مثل الميكروفون، مع جزيئات الغاز، لتشكيل كاشف مزدوج يعتمد على تحويل الطاقة من ضوئية إلى صوتية إلى كهربائية. ميزة هذه الطريقة الضوئية الصوتية هي استقلاليتها عن الطول الموجي، مما يجعلها قابلة للتطبيق في قياسات الكومب المزدوج.
مؤخراً، تم استخدام شوكة التذبذب الكوارتزية (QTF)، التي تم اختراعها في الأصل كمعيار تردد للساعات الإلكترونية، على نطاق واسع
لأداة واحدة. من حيث الجهاز، يستخدم QEMR-PAS كاشف حساس للطور بسيط لمعالجة إشارة QTF بدلاً من جهاز تحويل فورييه المعقد. يعمل الكاشف الحساس للطور كمرشح كهربائي وعادة ما يحتوي على
في هذه المخطوطة، نقدم إثبات مفهوم لتقنية QEMR-PAS. يتم تحويل استجابة تردد النبض من مشط مزدوج إلى نطاق تردد الصوت. تُستخدم مستويات طاقة جزيئات الغاز كمحوّلات بصرية صوتية، مما يولد إشارات صوتية متعددة الترددات. يتم استخدام QTF لـ “الاستماع” إلى الصوت المتناغم مع وضعه الانحنائي الأساسي من إشارات الترددات المتعددة وتحويله إلى إشارة تيار. مع هذا النهج، يتم تحقيق مطياف مشط مزدوج عالي الدقة وعريض النطاق ضمن مساحة صغيرة.
النتائج
توضيح للمفهوم
تعيين صغير جدًا، أي،
إعداد

القياسات
يجدر بالذكر أن نسبة الإشارة إلى الضوضاء (SNR) تتعلق فقط بوقت التكامل بدلاً من وقت الاكتساب، حيث يتم استخدام الطريقة الحساسة للطور بدلاً من تحويل فورييه.
إعداد

تعتبر دقة الطيف لطيف معاد بناؤه واحدة من أهم المعلمات للتحليل الطيفي. تم قياس طيف متداخل من الأمونيا


لـ QTF. نظريًا، تقتصر دقة الطيف لـ QEMR-PAS فقط على عرض خط الليزر. لم يتم اختبار دقة الطيف الأعلى (المعني بإعادة بناء الطيف لميزات الامتصاص الخالية من دوبلر).
يحتوي طيف التردد الضوئي المستخدم على 32 سنًا مرتبة بالتساوي على كلا الجانبين من التردد السائد مع تباعد طيف يبلغ 1 جيجاهرتز. لذلك، يمكن أن يغطي طيف التردد مدى ترددي يبلغ 31 جيجاهرتز، وهو أكبر بكثير من نطاقات التعديل الخالية من القفز النموذجية لليزر ثنائي الأشعة تحت الحمراء. إذا تم توفير المزيد من الترددات السائدة، يمكن تحقيق طيف واسع النطاق مع دقة طيفية عالية. وبالتالي، يتم استخدام ليزر ثنائي الأشعة في تجويف خارجي (ECDL). من خلال ضبط تردد ECDL بطريقة تدريجية، يمتد الطيف المزدوج تقريبًا 1 تيراهرتز. بالنسبة لـ

تحليل الأداء
يظهر تحليل الضوضاء الخلفية لـ QEMR-PAS أن مصدرين رئيسيين للضوضاء هما الضوضاء الحرارية المرتبطة بالتبدد الميكانيكي في QTF وضوضاء حرارية لمقاوم التغذية الراجعة (انظر الملاحظة التكميلية S4). في الوقت نفسه، تكون سعة إشارة QEMR-PAS متناسبة مع القدرة الضوئية للأسنان المعنية في توليد ملاحظة الضرب، و
الإشارة التداخلية من خلال تشبع جهاز استقبال ضوئي أو جهاز رقمي. على سبيل المثال، قد يكون لجهاز استقبال ضوئي معزز تجاري 100 ميجاهرتز InGaAs حد
الضوضاء الطورية التفاضلية بين المشطين غير مشمولة في المعادلات (7)، (9). حتى في المشطين المتماسكين، يوجد قاعدة ضوضاء طور متبقية على أي سن معين. ستساهم ضوضاء الطور عند ترددات فورييه أقل من تباعد الأسنان في تقلبات خط الأساس البطيئة، وتلك

تمثل النقطة الحمراء بيانات تباين ألان لنظام QEMR-PAS عند التشغيل مع
لتقييم الاستقرار على المدى الطويل لنظام QEMR-PAS، تم إجراء تحليل تباين ألان لمكون سن المشط الرئيسي (
| التقنيات | نوع الكاشف | التغطية الطيفية للكاشف (
|
النطاق الديناميكي (ديسيبل) | الدقة الطيفية (جيجاهرتز) | زمن التوسيع (ثانية) | حد الكشف (جزء في المليون) | NEA (
|
| NIR-DCS
|
InGaAs | 0.8-1.6 | 27 | 1 | 0.0025 |
|
|
| MIR-DCS
|
HgCdTe | 3-10 | 22 | 0.5 | 2 | المزيج: – |
|
| DC-PAS
|
ميكروفون | جميع النطاقات | 45 | 1 | 1000 |
|
|
| QEMR-PAS | QTF | جميع النطاقات | 60 | 0.043 | 9.6 |
|
|
المناقشة
من الجدير بالذكر أنه بينما يوفر استخدام QTF العديد من المزايا، بما في ذلك الاستجابة المستقلة عن الطول الموجي، النطاق الديناميكي الكبير، والحساسية العالية، فإنه يؤدي أيضًا إلى زمن اكتساب أطول للنظام بسبب القيمة العالية لـ QTF. في الدراسات المستقبلية، يمكن دمج تقنية QEMR-PAS المقترحة مع كشف تردد الضرب
المواد والأساليب
مصدر المشط المزدوج
نظام QEMR-PAS
حساب NNEA
الشكر والتقدير
تفاصيل المؤلف
مساهمات المؤلف
توفر البيانات
تعارض المصالح
تم النشر عبر الإنترنت: 22 مارس 2024
References
- Coddington, I., Newbury, N. & Swann, W. Dual-comb spectroscopy. Optica 3, 414-426 (2016).
- Picqué, N. & Hänsch, T. W. Frequency comb spectroscopy. Nat. Photonics 13, 146-157 (2019).
- Schiller, S. Spectrometry with frequency combs. Opt. Lett. 27, 766-768, (2002).
- Okubo, S. et al. Near-infrared broadband dual-frequency-comb spectroscopy with a resolution beyond the Fourier limit determined by the observation time window. Opt. Express 23, 33184-33193, (2015).
- Hoghooghi, N. et al. Broadband 1-GHz mid-infrared frequency comb. Light Sci. Appl. 11, 264 (2022).
- Brehm, M., Schliesser, A. & Keilmann, F. Spectroscopic near-field microscopy using frequency combs in the mid-infrared. Opt. Expr. 14, 11222-11233 (2006).
- Pistore, V. et al. Self-induced phase locking of terahertz frequency combs in a phase-sensitive hyperspectral near-field nanoscope. Adv. Sci. 9, 2200410 (2022).
- Baumann, E. et al. Spectroscopy of the methane
band with an accurate midinfrared coherent dual-comb spectrometer. Phys. Rev. A 84, 062513 (2011). - Cassinerio, M. et al. Absolute dual-comb spectroscopy at
by freerunning Er: fiber lasers. Appl. Phys. Lett. 104, 231102 (2014). - Vicentini, E. et al. Dual-comb hyperspectral digital holography. Nat. Photonics 15, 890-894 (2021).
- Ideguchi, T. et al. Coherent Raman spectro-imaging with laser frequency combs. Nature 502, 355-358 (2013).
- Rieker, G. B. et al. Frequency-comb-based remote sensing of greenhouse gases over kilometer air paths. Optica 1, 290-298, (2014).
- Ycas, G. et al. Compact mid-infrared dual-comb spectrometer for outdoor spectroscopy. Opt. Express 28, 14740-14752, (2020).
- Wang, Q. et al. Dual-comb photothermal spectroscopy. Nat. Commun. 13, 2181 (2022).
- Coddington, I., Swann, W. & Newbury, N. Coherent dual-comb spectroscopy at high signal-to-noise ratio. Phys. Rev. A 82, 043817 (2010).
- Yasui, T. et al. Super-resolution discrete Fourier transform spectroscopy beyond time-window size limitation using precisely periodic pulsed radiation. Optica 2, 460-467, (2015).
- Demtröder, W. Laser Spectroscopy. (Heidelberg: Springer, 1982).
- Svanberg, S. Atomic and Molecular Spectroscopy: Basic Aspects and Practical Applications. (Heidelberg: Springer, 2012).
- Rösch, M. et al. On-chip, self-detected terahertz dual-comb source. Appl. Phys. Lett. 108, 171104 (2016).
- Muraviev, A. V. et al. Massively parallel sensing of trace molecules and their isotopologues with broadband subharmonic mid-infrared frequency combs. Nat. Photonics 12, 209-214 (2018).
- Sterczewski, L. A. et al. Terahertz hyperspectral imaging with dual chip-scale combs. Optica 6, 766-771 (2019).
- Wei, T. T. et al. High and flat spectral responsivity of quartz tuning fork used as infrared photodetector in tunable diode laser spectroscopy. Appl. Phys. Rev. 8, 041409 (2021).
- Sadiek, I. et al. Optical frequency comb photoacoustic spectroscopy. Phys. Chem. Chem. Phys. 20, 27849-27855 (2018).
- Wildi, T. et al. Photo-acoustic dual-frequency comb spectroscopy. Nat. Commun. 11, 1-6 (2020).
- Friedlein, J. T. et al. Dual-comb photoacoustic spectroscopy. Nat. Commun. 11, 3152 (2020).
- Kosterev, A. A. et al. Quartz-enhanced photoacoustic spectroscopy. Opt. Lett. 27, 1902-1904, (2002).
- Wu, H. P. et al. Beat frequency quartz-enhanced photoacoustic spectroscopy for fast and calibration-free continuous trace-gas monitoring. Nat. Commun. 8, 15331 (2017).
- Milde, T. et al. QEPAS sensor for breath analysis: a behavior of pressure. Appl. Opt. 57, C120-C127 (2018).
- Yi, H. M. et al. T-shape microresonator-based high sensitivity quartz-enhanced photoacoustic spectroscopy sensor. Opt. Express 20, 9187-9196, (2012).
- Kosterev, A. A. et al. Applications of quartz tuning forks in spectroscopic gas sensing. Rev. Sci. Instrum. 76, 043105 (2005).
- Blaauwgeers, R. et al. Quartz tuning fork: Thermometer, pressure-and viscometer for helium liquids. J. Low. Temp. Phys. 146, 537-562 (2007).
- Wu, H. P. et al. Enhanced near-infrared QEPAS sensor for sub-ppm level
detection by means of a fiber amplified 1582 nm DFB laser. Sens. Actuators, B 221, 666-672 (2015). - Cui, R. Y. et al. Generalized optical design of two-spherical-mirror multipass cells with dense multi-circle spot patterns. Appl. Phys. Lett. 116, 091103 (2020).
- Ren, X. Y. et al. Dual-comb quartz-enhanced photoacoustic spectroscopy. Photoacoustics 28, 100403 (2022).
- Schibli, T. R. et al. Optical frequency comb with submillihertz linewidth and more than 10 W average power. Nat. Photonics 2, 355-359 (2008).
- Cingöz, A. et al. Direct frequency comb spectroscopy in the extreme ultraviolet. Nature 482, 68-71 (2012).
- Yan, M. et al. Mid-infrared dual-comb spectroscopy with electro-optic modulators. Light Sci. Appl. 6, e17076 (2017).
- Martín-Mateos, P. et al. Frequency accurate coherent electro-optic dual-comb spectroscopy in real-time. Opt. Expr. 26, 9700-9713 (2018).
- Nitzsche, L. et al. Tunable dual-comb spectrometer for mid-infrared trace gas analysis from 3 to
. Opt. Expr. 29, 25449-25461 (2021).
- Correspondence: Lei Dong (donglei@sxu.edu.cn)
State Key Laboratory of Quantum Optics and Quantum Optics Devices, Institute of Laser Spectroscopy, Shanxi University, Taiyuan 030006, China
Collaborative Innovation Center of Extreme Optics, Shanxi University, Taiyuan 030006, China
Full list of author information is available at the end of the article These authors contributed equally: Jiapeng Wang, Hongpeng Wu.
DOI: https://doi.org/10.1038/s41377-024-01425-1
PMID: https://pubmed.ncbi.nlm.nih.gov/38514679
Publication Date: 2024-03-22
Quartz-enhanced multiheterodyne resonant photoacoustic spectroscopy
Abstract
The extension of dual-comb spectroscopy (DCS) to all wavelengths of light along with its ability to provide ultralarge dynamic range and ultra-high spectral resolution, renders it extremely useful for a diverse array of applications in physics, chemistry, atmospheric science, space science, as well as medical applications. In this work, we report on an innovative technique of quartz-enhanced multiheterodyne resonant photoacoustic spectroscopy (QEMR-PAS), in which the beat frequency response from a dual comb is frequency down-converted into the audio frequency domain. In this way, gas molecules act as an optical-acoustic converter through the photoacoustic effect, generating heterodyne sound waves. Unlike conventional DCS, where the light wave is detected by a wavelengthdependent photoreceiver, QEMR-PAS employs a quartz tuning fork (QTF) as a high-Q sound transducer and works in conjunction with a phase-sensitive detector to extract the resonant sound component from the multiple heterodyne acoustic tones, resulting in a straightforward and low-cost hardware configuration. This novel QEMRPAS technique enables wavelength-independent DCS detection for gas sensing, providing an unprecedented dynamic range of 63 dB , a remarkable spectral resolution of 43 MHz (or
Introduction
performance. Secondly, the spectral resolution of a DCSbased spectrometer is determined by the comb mode linewidth as well as the time window during which the temporal waveform is measured
In total, 20 Hz to 20 kHz is the commonly referenced audio frequency range, having slower temporal dynamics than the typical vibrational-translational relaxation rates of gas molecules. Thus, gas molecules can be used as converters of the electromagnetic intensity changes into sound waves through the photoacoustic effect when the optical signals are frequency down-converted to the audio frequency domain. A sound transducer such as a microphone can then be employed, together with gas molecules, to form a dual-comb detector based on optical-to-acoustic-to-electric energy conversion. The advantage of this photoacoustic method is its wavelength independence, therefore making it applicable in dual-comb measurements
Recently, quartz tuning fork (QTF), originally invented as a frequency standard for electronic clocks, has been widely
for two combs. In terms of the device, QEMR-PAS employs a simple phase-sensitive detector for the QTF signal processing instead of a complex Fourier transform instrument. The phase-sensitive detector acting as an electrical filter commonly has a
In this manuscript, we provide a proof-of-concept of the QEMR-PAS technique. The beat frequency response from a dual comb is down-converted to the audio frequency domain. The energy levels of gas molecules are used as optical-acoustic converters, generating multiheterodyne sound signals. A QTF is used to “listen” to the sound resonant with its fundamental flexural mode from the multiheterodyne signals and convert it into a current signal. With this approach, a large-dynamic-range, highresolution, broad-bandwidth dual-comb spectrometer is achieved within a small footprint.
Results
Illustration of concept
set very small, i.e.,
Setup

Measurements
worth noting that the signal-to-noise ratio (SNR) is only related to the integration time rather than the acquisition time, as the phase-sensitive method is employed instead of Fourier transform.
The setting of

The spectral resolution of a reconstructed spectrum is one of the most important parameters for spectroscopic analysis. An overlapping spectrum of ammonia


of the QTF. In theory, the QEMR-PAS spectral resolution is just limited by laser linewidth. Higher spectral resolution (meaningful for spectral reconstruction of Dopplerfree absorption features) has not been tested.
The employed optical frequency comb has 32 comb teeth evenly arranged on both sides of the dominant frequency with a comb spacing of 1 GHz . Therefore, the frequency comb can cover a frequency span of 31 GHz , significantly larger than the typical mode-hop-free tuning ranges of NIR diode lasers. If more dominant frequencies are provided, a broadband spectrogram with high spectral resolution can be achieved. Hence, an external cavity diode laser (ECDL) is employed. By tuning the ECDL frequency in a step-wise manner, the dual-comb spans nearly 1 THz . For a

Performance analysis
A background noise analysis of QEMR-PAS shows that two primary noise sources are the thermal noise associated with mechanical dissipation in the QTF and the thermal noise of the feedback resistor (see Supplementary Note S4). At the same time, the signal amplitude of QEMR-PAS is proportional to the optical power of the two teeth involved in the generation of the beat note, the
interferometric signal by saturating a photoreceiver or a digitizer. For example, a commercial 100 MHz InGaAs amplified photoreceiver might have a limited
Differential phase noise between the combs is not involved in Eqs. (7), (9). Even in mutually coherent combs, a residual phase noise pedestal exists on any given tooth. Phase noise at Fourier frequencies below the tooth spacing will contribute to slow baseline variations, and those

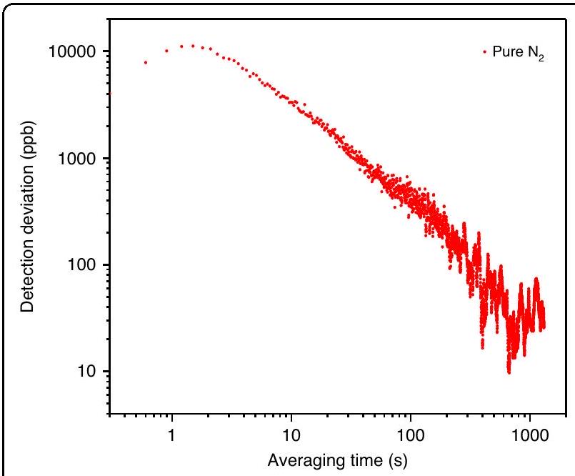
The red data point represents the Allan variance of the QEMR-PAS system when operating with pure
To assess the long-term stability of the QEMR-PAS system, an Allan variance analysis for the main comb tooth component (
| Techniques | Detector Type | Spectral coverage of detector (
|
Dyna-mic range (dB) | Spectral resolution (GHz) | Avera-ging time (s) | Detection limit (ppm) | NEA (
|
| NIR-DCS
|
InGaAs | 0.8-1.6 | 27 | 1 | 0.0025 |
|
|
| MIR-DCS
|
HgCdTe | 3-10 | 22 | 0.5 | 2 | Mixture: – |
|
| DC-PAS
|
Microph-one | All band | 45 | 1 | 1000 |
|
|
| QEMR-PAS | QTF | All band | 60 | 0.043 | 9.6 |
|
|
Discussion
It is worth noting that while utilizing a QTF offers several advantages, including wavelength-independent response, large dynamic range, and high sensitivity, it also results in a longer acquisition time for the system due to the high Q value of the QTF. In future studies, the proposed QEMR-PAS technique can be combined with beat frequency detection
Materials and methods
Dual-comb source
QEMR-PAS system
Calculation of NNEA
Acknowledgements
Author details
Author contributions
Data availability
Conflict of interest
Published online: 22 March 2024
References
- Coddington, I., Newbury, N. & Swann, W. Dual-comb spectroscopy. Optica 3, 414-426 (2016).
- Picqué, N. & Hänsch, T. W. Frequency comb spectroscopy. Nat. Photonics 13, 146-157 (2019).
- Schiller, S. Spectrometry with frequency combs. Opt. Lett. 27, 766-768, (2002).
- Okubo, S. et al. Near-infrared broadband dual-frequency-comb spectroscopy with a resolution beyond the Fourier limit determined by the observation time window. Opt. Express 23, 33184-33193, (2015).
- Hoghooghi, N. et al. Broadband 1-GHz mid-infrared frequency comb. Light Sci. Appl. 11, 264 (2022).
- Brehm, M., Schliesser, A. & Keilmann, F. Spectroscopic near-field microscopy using frequency combs in the mid-infrared. Opt. Expr. 14, 11222-11233 (2006).
- Pistore, V. et al. Self-induced phase locking of terahertz frequency combs in a phase-sensitive hyperspectral near-field nanoscope. Adv. Sci. 9, 2200410 (2022).
- Baumann, E. et al. Spectroscopy of the methane
band with an accurate midinfrared coherent dual-comb spectrometer. Phys. Rev. A 84, 062513 (2011). - Cassinerio, M. et al. Absolute dual-comb spectroscopy at
by freerunning Er: fiber lasers. Appl. Phys. Lett. 104, 231102 (2014). - Vicentini, E. et al. Dual-comb hyperspectral digital holography. Nat. Photonics 15, 890-894 (2021).
- Ideguchi, T. et al. Coherent Raman spectro-imaging with laser frequency combs. Nature 502, 355-358 (2013).
- Rieker, G. B. et al. Frequency-comb-based remote sensing of greenhouse gases over kilometer air paths. Optica 1, 290-298, (2014).
- Ycas, G. et al. Compact mid-infrared dual-comb spectrometer for outdoor spectroscopy. Opt. Express 28, 14740-14752, (2020).
- Wang, Q. et al. Dual-comb photothermal spectroscopy. Nat. Commun. 13, 2181 (2022).
- Coddington, I., Swann, W. & Newbury, N. Coherent dual-comb spectroscopy at high signal-to-noise ratio. Phys. Rev. A 82, 043817 (2010).
- Yasui, T. et al. Super-resolution discrete Fourier transform spectroscopy beyond time-window size limitation using precisely periodic pulsed radiation. Optica 2, 460-467, (2015).
- Demtröder, W. Laser Spectroscopy. (Heidelberg: Springer, 1982).
- Svanberg, S. Atomic and Molecular Spectroscopy: Basic Aspects and Practical Applications. (Heidelberg: Springer, 2012).
- Rösch, M. et al. On-chip, self-detected terahertz dual-comb source. Appl. Phys. Lett. 108, 171104 (2016).
- Muraviev, A. V. et al. Massively parallel sensing of trace molecules and their isotopologues with broadband subharmonic mid-infrared frequency combs. Nat. Photonics 12, 209-214 (2018).
- Sterczewski, L. A. et al. Terahertz hyperspectral imaging with dual chip-scale combs. Optica 6, 766-771 (2019).
- Wei, T. T. et al. High and flat spectral responsivity of quartz tuning fork used as infrared photodetector in tunable diode laser spectroscopy. Appl. Phys. Rev. 8, 041409 (2021).
- Sadiek, I. et al. Optical frequency comb photoacoustic spectroscopy. Phys. Chem. Chem. Phys. 20, 27849-27855 (2018).
- Wildi, T. et al. Photo-acoustic dual-frequency comb spectroscopy. Nat. Commun. 11, 1-6 (2020).
- Friedlein, J. T. et al. Dual-comb photoacoustic spectroscopy. Nat. Commun. 11, 3152 (2020).
- Kosterev, A. A. et al. Quartz-enhanced photoacoustic spectroscopy. Opt. Lett. 27, 1902-1904, (2002).
- Wu, H. P. et al. Beat frequency quartz-enhanced photoacoustic spectroscopy for fast and calibration-free continuous trace-gas monitoring. Nat. Commun. 8, 15331 (2017).
- Milde, T. et al. QEPAS sensor for breath analysis: a behavior of pressure. Appl. Opt. 57, C120-C127 (2018).
- Yi, H. M. et al. T-shape microresonator-based high sensitivity quartz-enhanced photoacoustic spectroscopy sensor. Opt. Express 20, 9187-9196, (2012).
- Kosterev, A. A. et al. Applications of quartz tuning forks in spectroscopic gas sensing. Rev. Sci. Instrum. 76, 043105 (2005).
- Blaauwgeers, R. et al. Quartz tuning fork: Thermometer, pressure-and viscometer for helium liquids. J. Low. Temp. Phys. 146, 537-562 (2007).
- Wu, H. P. et al. Enhanced near-infrared QEPAS sensor for sub-ppm level
detection by means of a fiber amplified 1582 nm DFB laser. Sens. Actuators, B 221, 666-672 (2015). - Cui, R. Y. et al. Generalized optical design of two-spherical-mirror multipass cells with dense multi-circle spot patterns. Appl. Phys. Lett. 116, 091103 (2020).
- Ren, X. Y. et al. Dual-comb quartz-enhanced photoacoustic spectroscopy. Photoacoustics 28, 100403 (2022).
- Schibli, T. R. et al. Optical frequency comb with submillihertz linewidth and more than 10 W average power. Nat. Photonics 2, 355-359 (2008).
- Cingöz, A. et al. Direct frequency comb spectroscopy in the extreme ultraviolet. Nature 482, 68-71 (2012).
- Yan, M. et al. Mid-infrared dual-comb spectroscopy with electro-optic modulators. Light Sci. Appl. 6, e17076 (2017).
- Martín-Mateos, P. et al. Frequency accurate coherent electro-optic dual-comb spectroscopy in real-time. Opt. Expr. 26, 9700-9713 (2018).
- Nitzsche, L. et al. Tunable dual-comb spectrometer for mid-infrared trace gas analysis from 3 to
. Opt. Expr. 29, 25449-25461 (2021).
- Correspondence: Lei Dong (donglei@sxu.edu.cn)
State Key Laboratory of Quantum Optics and Quantum Optics Devices, Institute of Laser Spectroscopy, Shanxi University, Taiyuan 030006, China
Collaborative Innovation Center of Extreme Optics, Shanxi University, Taiyuan 030006, China
Full list of author information is available at the end of the article These authors contributed equally: Jiapeng Wang, Hongpeng Wu.
