DOI: https://doi.org/10.1038/s41467-023-44661-6
PMID: https://pubmed.ncbi.nlm.nih.gov/38286982
تاريخ النشر: 2024-01-29
المؤلف: Shilong Chen وآخرون
الموضوع الرئيسي: تركيب الأمونيا وتقليل النيتروجين
طرق
في قسم الطرق، يوضح المؤلفون المواد المستخدمة في تخليق سوائل المحفزات. تشمل المواد الكيميائية المستخدمة نترات الكوبالت (II) سداسي الهيدرات (≥98% نقاء)، وكبريتات الحديد (II) سباعي الهيدرات (≥99.5% نقاء)، ونترات الحديد (III) غير الهيدرات (≥98% نقاء)، ونترات المغنيسيوم سداسي الهيدرات (≥98% نقاء)، وكربونات الصوديوم، وهيدروكسيد الصوديوم (≥99% نقاء). تم الحصول على جميع المواد من موردين موثوقين، بما في ذلك كارل روث GmbH & Co. KG، ألفا أيسار GmbH، وأبلي كيم GmbH، وتم استخدامها دون مزيد من التنقية، مما يضمن نزاهة عملية التخليق.
نتائج
في هذا القسم، يقدم المؤلفون نتائج حساباتهم المتعلقة بتشتت الجسيمات النانوية أحادية وثنائية المعدن، باستخدام البيانات التي تم الحصول عليها من المجهر الإلكتروني الناقل الماسح (STEM). تم حساب متوسط قطر الحجم-المساحة ($d_{VA}$) للجسيمات النانوية باستخدام المعادلة:
\[
d_{VA} = \frac{\sum n_i d_i^3}{\sum n_i d_i^2} \tag{1}
\]
حيث يمثل $d_i$ قطر الجسيمات النانوية المعدنية الفردية و $n_i$ يدل على كمياتها المعنية. تسهل هذه الحسابات تحديد تشتت المعدن ($D_{metal}$)، والذي يُعرف بأنه نسبة ذرات السطح إلى العدد الإجمالي للذرات داخل جسيم معدني نصف كروي. يتم قياس التشتت باستخدام المعادلة:
\[
D_{metal} = \frac{6 V_{metal}}{a_{metal} d_{VA}} \tag{2}
\]
حيث $V_{metal}$ هو حجم ذرة المعدن و $a_{metal}$ هو مساحة سطح ذرة المعدن. توفر هذه النتائج رؤى حاسمة حول الخصائص الهيكلية للجسيمات النانوية، والتي تعتبر أساسية لفهم خصائصها وتطبيقاتها المحتملة.
مناقشة
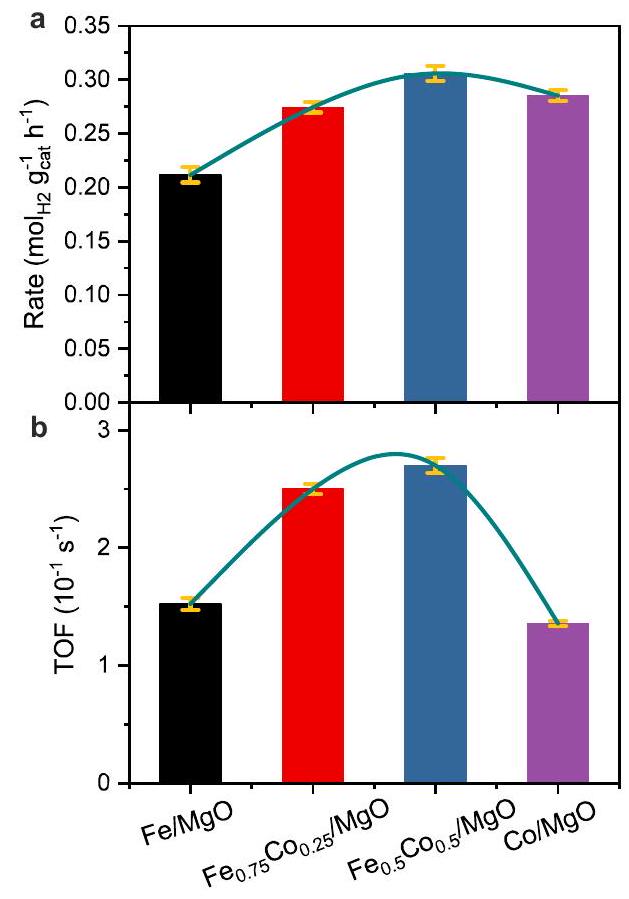
تناقش الدراسة تخليق وتوصيف المحفزات الحديدية عالية التحميل باستخدام نهج السبينل، مع التركيز بشكل خاص على MgFe₂O₄ كمحفز مسبق. تم تخليق المحفز من خلال طريقة ترسيب مشترك محسّنة، تلتها التحلل الحراري. كشفت تقنيات التوصيف، بما في ذلك H₂-TPR و XRD في الموقع، أن سبينل MgFe₂O₄ يتحول إلى الحديد-المغنيسيوم-وستيت وأخيرًا إلى الحديد المعدني عند الاختزال. من الجدير بالذكر أن جزءًا كبيرًا من الحديد يبقى في حالة محلول صلب، مما يعقد اختزاله. أظهر أداء المحفز Fe/MgO نشاطًا مستقرًا لإنتاج الهيدروجين من تحلل الأمونيا، محققًا معدل إنتاج H₂ مُعدل بالكتلة قدره 0.21 مول H₂ g_cat⁻¹ h⁻¹ عند 500 درجة مئوية. أشار التحليل الهيكلي للمحفز المستهلك إلى تكوين نيتريد الحديد، مما يشير إلى أن الحالة العاملة للمحفز أثناء تحلل الأمونيا هي في الغالب مرحلة نيتريد الحديد.
لتحسين الأداء التحفيزي، استكشفت الدراسة سبائك الحديد مع الكوبالت لتشكيل محفزات ثنائية المعدن (Fe₁₋ₓCoₓ/MgO). أدى إدخال الكوبالت إلى كبح نيتريد الحديد بشكل فعال، مما أدى إلى تحسين الاستقرار والنشاط. أظهر محفز Fe₀.₅Co₀.₅/MgO زيادة كبيرة في معدل إنتاج الهيدروجين مقارنةً بمحفز Fe/MgO النقي، بمعدل ثابت قدره حوالي 0.31 مول H₂ g_cat⁻¹ h⁻¹. أشارت حسابات DFT إلى أن عملية السبيكة لم تقلل فقط من النيتريد، بل أيضًا حسنت من طاقة ارتباط النيتروجين، مما وضع المحفزات الثنائية المعدن أقرب إلى بركان النشاط النظري لتحلل الأمونيا. تسلط هذه الدراسة الضوء على إمكانيات استراتيجيات السبيكة لتطوير محفزات فعالة ومستقرة لتحلل الأمونيا، مما يبرز أهمية طاقة ارتباط النيتروجين في النشاط التحفيزي.
DOI: https://doi.org/10.1038/s41467-023-44661-6
PMID: https://pubmed.ncbi.nlm.nih.gov/38286982
Publication Date: 2024-01-29
Author(s): Shilong Chen et al.
Primary Topic: Ammonia Synthesis and Nitrogen Reduction
Methods
In the methods section, the authors detail the materials utilized for synthesizing catalyst precursors. The chemicals employed include Cobalt (II) nitrate hexahydrate (≥98% purity), iron (II) sulfate heptahydrate (≥99.5% purity), iron (III) nitrate nonahydrate (≥98% purity), magnesium nitrate hexahydrate (≥98% purity), sodium carbonate, and sodium hydroxide (≥99% purity). All materials were sourced from reputable suppliers, including Carl Roth GmbH & Co. KG, Alfa Aesar GmbH, and AppliChem GmbH, and were used without further purification, ensuring the integrity of the synthesis process.
Results
In this section, the authors present the results of their calculations regarding the dispersion of mono- and bi-metal nanoparticles, utilizing data obtained from Scanning Transmission Electron Microscopy (STEM). The volume-area mean diameter ($d_{VA}$) of the nanoparticles was computed using the formula:
\[
d_{VA} = \frac{\sum n_i d_i^3}{\sum n_i d_i^2} \tag{1}
\]
where $d_i$ represents the diameter of individual metal nanoparticles and $n_i$ denotes their respective quantities. This calculation facilitates the determination of metal dispersion ($D_{metal}$), defined as the ratio of surface atoms to the total number of atoms within a hemispherical metal particle. The dispersion is quantified using the equation:
\[
D_{metal} = \frac{6 V_{metal}}{a_{metal} d_{VA}} \tag{2}
\]
where $V_{metal}$ is the volume of a metal atom and $a_{metal}$ is the surface area of a metal atom. These findings provide critical insights into the structural characteristics of the nanoparticles, which are essential for understanding their properties and potential applications.
Discussion
The research discusses the synthesis and characterization of highly-loaded iron catalysts using a spinel approach, specifically focusing on MgFe₂O₄ as a pre-catalyst. The catalyst was synthesized through an optimized co-precipitation method, followed by thermal decomposition. Characterization techniques, including H₂-TPR and in situ XRD, revealed that the MgFe₂O₄ spinel transforms into iron-magnesium-wüstite and ultimately into metallic iron upon reduction. Notably, a significant fraction of iron remains in a solid solution state, complicating its reduction. The catalytic performance of the Fe/MgO catalyst demonstrated stable activity for hydrogen production from ammonia decomposition, achieving a mass-normalized H₂ production rate of 0.21 mol H₂ g_cat⁻¹ h⁻¹ at 500 °C. Structural analysis of the spent catalyst indicated the formation of iron nitride, suggesting that the working state of the catalyst during ammonia decomposition is predominantly an Fe nitride phase.
To enhance catalytic performance, the study explored alloying iron with cobalt to form bimetallic catalysts (Fe₁₋ₓCoₓ/MgO). The introduction of cobalt effectively suppressed the nitridation of iron, leading to improved stability and activity. The Fe₀.₅Co₀.₅/MgO catalyst exhibited a significant increase in hydrogen production rate compared to the pure Fe/MgO catalyst, with a steady-state rate of approximately 0.31 mol H₂ g_cat⁻¹ h⁻¹. DFT calculations indicated that the alloying process not only mitigated nitridation but also optimized nitrogen binding energy, positioning the bimetallic catalysts closer to the theoretical activity volcano for ammonia decomposition. This research highlights the potential of alloying strategies to develop efficient and stable catalysts for ammonia decomposition, emphasizing the importance of nitrogen binding energy in catalytic activity.
