DOI: https://doi.org/10.1103/physrevlett.132.166001
PMID: https://pubmed.ncbi.nlm.nih.gov/38701475
تاريخ النشر: 2024-04-15
المؤلف: Kapildeb Dolui وآخرون
الموضوع الرئيسي: الجيولوجيا الفيزيائية عالية الضغط والمواد
نظرة عامة
في سعيها نحو الموصلات الفائقة عند درجات حرارة عالية، ظهرت مواد الهيدروجين والهيدريد كمرشحين واعدين بسبب إمكانياتها للموصلية الفائقة التقليدية المعتمدة على الفونونات. ومع ذلك، كانت تطبيقاتها محدودة بسبب الحاجة إلى ضغوط عالية لاستقرار هذه المواد. تستخدم هذه الدراسة طرق حسابية عالية الإنتاجية لاستكشاف مجموعة متنوعة من الهيدريدات الثلاثية ذات التناظر العالي تحت ضغط محيط، مع تضييق مساحة التركيب بشكل منهجي من خلال تقييم الاستقرار الديناميكي والحراري والمغناطيسي، تليها تقديرات مباشرة لدرجات الحرارة الحرجة للموصلية الفائقة.
تسلط النتائج الضوء على اكتشاف ملحوظ: الموصل الفائق الهيدريد غير المستقر تحت ضغط محيط Mg\(_2\)IrH\(_6\)، الذي يظهر درجة حرارة حرجة متوقعة تبلغ 160 كلفن، تنافس تلك الخاصة بأعلى الموصلات الفائقة حرارة. يقترح المؤلفون مسار تخليق لـ Mg\(_2\)IrH\(_6\) من خلال عازل مرتبط هيكليًا، Mg\(_2\)IrH\(_7\)، الذي يبقى مستقرًا حراريًا عند ضغوط تتجاوز 15 جيجا باسكال. كما تتناول الورقة التحديات المحتملة المرتبطة بهذا المسار التخليقي، مما يبرز أهمية هذه النتائج لمستقبل أبحاث المواد الموصلية الفائقة.
نقاش
في هذا القسم، يوضح المؤلفون المنهجيات الحسابية المستخدمة للتحقيق في الخصائص الموصلية الفائقة والخصائص الهيكلية لـ Mg\(_2\)IrH\(_6\). تستخدم الحسابات نظرية الاضطراب الوظيفي الكثافي (DFPT) مع دالة تبادل-ترابط PBE وموصلات كاذبة ناعمة ذات نسبية قياسية، مما يضمن إعدادات معلمات قوية مثل حدود الطاقة وشبكات الشبكة لتداخل دقيق لخصائص الفونون والإلكترون. يتم اشتقاق الفجوة الموصلية الفائقة غير المتجانسة من نظرية إلياشبرغ، مع تقديم الحلول العددية رؤى حول درجة حرارة الانتقال الموصلية الفائقة، \(T_{ME}^c\)، تحت ظروف متغيرة.
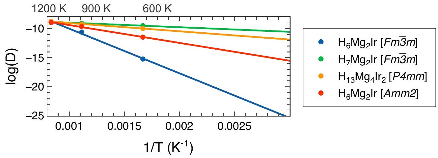
بالإضافة إلى ذلك، يستكشف المؤلفون سلوك الفونونات غير التوافقية باستخدام إطار العمل التقريبي التوافقي الذاتي (SSCHA)، مع تحسين مواقع الذرات وثوابت القوة لتقليل الطاقة الحرة. توضح حسابات الطاقة الحرة الكوازهرمونية والمحاكاة الديناميكية الجزيئية خصائص انتشار ذرات الهيدروجين داخل المادة، كاشفة عن طاقات التنشيط وديناميات الكتل عند درجات حرارة مختلفة. تشير النتائج إلى أن المرحلة المكعبة من Mg\(_2\)IrH\(_6\) يمكن تخليقها من خلال المعالجة الحرارية لتعزيز تشكيل كتل IrH\(_6\)، مع تداعيات لفهم تخزين الهيدروجين والموصلية الفائقة في هذا النظام.
DOI: https://doi.org/10.1103/physrevlett.132.166001
PMID: https://pubmed.ncbi.nlm.nih.gov/38701475
Publication Date: 2024-04-15
Author(s): Kapildeb Dolui et al.
Primary Topic: High-pressure geophysics and materials
Overview
In the pursuit of high-temperature superconductors, hydrogen and hydride materials have emerged as promising candidates due to their potential for conventional phonon-mediated superconductivity. However, their application has been limited by the necessity for high pressures to stabilize these materials. This study employs high-throughput computational methods to explore a diverse array of high-symmetry ternary hydrides at ambient pressure, systematically narrowing down the composition space by assessing thermodynamic, dynamic, and magnetic stability, followed by direct estimations of superconducting critical temperatures.
The findings highlight a notable discovery: the metastable ambient-pressure hydride superconductor Mg\(_2\)IrH\(_6\), which exhibits a predicted critical temperature of 160 K, rivaling that of the highest temperature superconducting cuprates. The authors propose a synthesis pathway for Mg\(_2\)IrH\(_6\) through a structurally related insulator, Mg\(_2\)IrH\(_7\), which remains thermodynamically stable at pressures exceeding 15 GPa. The paper also addresses potential challenges associated with this synthesis route, emphasizing the significance of these findings for the future of superconducting materials research.
Discussion
In this section, the authors detail the computational methodologies employed to investigate the superconducting properties and structural characteristics of Mg\(_2\)IrH\(_6\). The calculations utilize density functional perturbation theory (DFPT) with the PBE exchange-correlation functional and scalar-relativistic ultrasoft pseudopotentials, ensuring robust parameter settings such as energy cutoffs and mesh grids for accurate phonon and electronic property interpolation. The anisotropic superconducting gap is derived from the Eliashberg theory, with numerical solutions providing insights into the superconducting transition temperature, \(T_{ME}^c\), under varying conditions.
Additionally, the authors explore anharmonic phonon behavior using the self-consistent harmonic approximation (SSCHA) framework, optimizing atomic positions and force constants to minimize free energy. Quasiharmonic free energy calculations and molecular dynamics simulations further elucidate the diffusion characteristics of hydrogen atoms within the material, revealing activation energies and cluster dynamics at various temperatures. The findings suggest that the cubic phase of Mg\(_2\)IrH\(_6\) can be synthesized through thermal treatment to enhance IrH\(_6\) cluster formation, with implications for understanding hydrogen storage and superconductivity in this system.
