DOI: https://doi.org/10.1016/j.jqsrt.2024.108902
تاريخ النشر: 2024-01-20
مستويات الطاقة الروبيترونية التجريبية لأكسيد النيتروز
معلومات المقال
الكلمات المفتاحية:
مارفيل
الملخص
تم إجراء مسح للعدد الهائل من الانتقالات الروبيترونية المقاسة لأكسيد النيتروز، والذي إما يؤكد المواقع، والتعيينات، وعدم اليقين في القياسات أو ينفي على الأقل واحدة منها. تم تحليل بيانات من 95 مصدر أدبي وتم تعديل تعييناتها إلى مجموعة موحدة من البوليدات وأرقام العد المرتبطة بها. هذه نتيجة مهمة للدراسة الحالية ويوصى بهذه المجموعة الكانونية من تعيينات الحالة الاهتزازية للدراسات المستقبلية. ثم خضعت القائمة المعدلة من 67930 انتقالًا (43246 فريدة) لتحليل شامل باستخدام مارفيل (مستويات الطاقة الروبيترونية النشطة المقاسة)، مما أسفر عن 17561 مستوى طاقة روبيترونية تجريبية. تم تحديد عدم اليقين لهذه المستويات باستخدام نهج البوتستراب الذي تم تنفيذه حديثًا. تشير عدم اليقين في البوتستراب إلى أن عدم اليقين لحوالي
أكسيد النيتروز، المعروف عمومًا باسم غاز الضحك بسبب تطبيقاته الطبية في الجراحة وطب الأسنان، هو جزيء ثلاثي الذرات غير متماثل خطي بصيغة
,
2. التفاصيل النظرية
2.1. مارفيل
2.2. التسمية
مما يعني أنه يتم تمثيلها بشكل أفضل باستخدام تدوين متعدد الأبعاد (
و
2.3. تحديد عدم اليقين لمستويات الطاقة: نهج Bootstrap
مثالان يوضحان كيف يعمل تطبيق طريقة Bootstrap في تحديد عدم اليقين، مع
| مستوى الطاقة (
|
طاقة MARVEL
|
عدم اليقين الأصلي.
|
عدم اليقين Bootstrap.
|
علامة الخط | عدم اليقين الأولي.
|
الطاقة المتوقعة
|
| (17114 e 36) | 10425.772 | 0.001 | 0.028 | 16KaCaKaPe. 1421 | 0.001 | 10425.772 |
| 04BeCaPeTa. 409 | 0.005 | 10425.814 | ||||
| (16 210 e 25) | 9374.588 | 0.001 | 0.022 |
|
0.001 | 9374.588 |
| 04BeCaPeTa. 84 | 0.005 | 9374.635 | ||||
| 04BeCaPeTa. 85 | 0.005 | 9374.634 |
تعتبر نهج “Bootstrap” [202,203] مناسبة للحصول على عدم يقين معقول في حالة القياسات المتضاربة، حيث بدون هذا النهج سيتم إعطاء عدم يقين صغير جدًا لمستويات الطاقة إذا تم رفض بعض نتائج القياس. النسخة من إجراء Bootstrap التي نستخدمها هي كما يلي: يتم توليد عينات Bootstrap عن طريق ضرب عدم اليقين لكل انتقال برقم عشوائي بين 1 و 10، ثم نقوم بتشغيل Marvel مرة أخرى لكل عينة. بعد مئة أو أكثر من هذه الجولات، نتحقق مما إذا كان متوسط الطاقات المعاد تشكيلها مختلفًا عن طاقة Marvel الأصلية. إذا كانت الطاقات المحسوبة بواسطة الطريقتين تختلف بمقدار محدد، يتم زيادة عدم يقين طاقة Marvel. إذا كانت الطاقات المحسوبة بواسطة الطريقتين قريبة ولكن الانحراف المعياري لطاقات Bootstrap أكبر من عدم يقين طاقة Marvel الأصلية، فسيتم أيضًا زيادة عدم يقين طاقة Marvel.
عدم اليقين في الانتقال الذي يُفترض أنه تم قياسه بدقة أكبر هو أقل بخمس مرات من ذلك الخاص بالانتقال الآخر، قامت مارفل بزيادة عدم اليقين في الانتقال الثاني. ومع ذلك، دون رؤية الطيف الأصلي فعليًا، من المستحيل تحديد ما إذا كان عدم اليقين الأولي لـ
3. النتائج والمناقشة
3.1. مصادر البيانات

عدد الانتقالات التي تم قياسها مرة واحدة هو 27444، بينما هناك 4 و142 انتقالات تم قياسها 7 و6 مرات، على التوالي (عدد مستويات الطاقة الروفيبرational التجريبية المحددة، 17561، أقرب بكثير إلى 43000 من 68000).
3.2. عدم اليقين في المستوى

عدم اليقين
| علامة المقطع | نطاق |
|
|
أمـر | السيد |
| 78ReMeDy [58] | 0.002-0.009 | 3/3/0 |
|
|
|
| 64 لا لي [22] | 0.835-2.521 | ٤/٤/٠ |
|
|
|
| 47CoElGo [6] | 0.838-0.838 | 1/1/0 |
|
|
|
| 75CaKu [51] | 0.838-0.838 | 1/1/0 |
|
|
|
| 75بوغي [49] | 1.662-4.156 | ٤/٤/٠ |
|
|
|
| 52Tetenbau [10] | 1.676-1.676 | 1/1/0 |
|
|
|
| 70ScMuLa [32] | 1.676-2.514 | ٢/٢/٠ |
|
|
|
| 71LeHoThMa [33] | 2.504-2.519 | 5/4/1 |
|
|
|
| 51JoTrGo [9] | 3.352-4.190 | ٢/٢/٠ |
|
|
|
| 56BuGo [12] | 3.352-10.055 | 9/9/0 |
|
|
|
| 70PeSuFr [30] | ٤.١٧٢-١٠.٠٨٢ | ٣٥/٣٤/١ |
|
|
|
| 18لاScAgMe [157] | 5.028-5.866 | 2/2/0 |
|
|
|
| 68فرأ [27] | 5.028-5.028 | 1/1/0 |
|
|
|
| 14TiChChCh [146] | 6.676-2272.183 | ٢١٩/٢١٢/٠ |
|
|
|
| 74BuVaGeKa [43] | 10.055-15.918 | 6/6/0 |
|
|
|
| 76أنبوكر [56] | 12.568-18.518 | ٩٧/٩٧/٠ |
|
|
|
| 06DrMa [127] | 20.103-55.230 | 72/71/0 |
|
|
|
| 90يامادا [82] | 20.103-47.637 | ٣٢/٣٢/٠ |
|
|
|
| 03مويا [120] | 20.940-21.776 | ٢/٢/٠ |
|
|
|
| 97موفاتي [102] | 20.940-24.285 | 5/5/0 |
|
|
|
| 99 مويا ما [108] | 20.862-26.081 | 60/60/0 |
|
|
|
| 89 فاجيويما [80] | 50.129-50.241 | ٣/٣/٠ |
|
|
|
|
|
542.456-645.418 | ٣٥٥/٣٥٥/٠ |
|
|
|
| 07هورنمان [132] | 542.920-635.235 | ٥٣٣/٥٠٩/٢٤ |
|
|
|
| 92TaLoLu [85] | 554.029-619.385 | ٢٤١/٢٤١/٠ |
|
|
|
| 96 وي سي ر [101] | ٥٥٧.٢٣١-٦١٥.٩٩٤ | ٩٦/٩٦/٠ |
|
|
|
| 04توث [125] | 577.760-7232.274 | ١١٢١/١١٢١/٠ |
|
|
|
| 89 ماويفا [77] | 896.945-989.668 | 18/18/0 |
|
|
|
| 96TaEvZiMa [100] | 897.010-1074.417 | ١٢٩/١٢٩/٠ |
|
|
|
| 87توث [73] | 900.926-2392.452 | ١٢٠٧/١١٩٦/٠ |
|
|
|
| 72SoJa [38] | 922.423-956.347 | ٢٧/٢٧/٠ |
|
|
|
| 75WhSuRiHa [54] | 925.982-970.092 | ٣٣/٣٣/٠ |
|
|
|
| 87ZiWeMa [74] | ١٠٣٧.١٨٩-١٠٨٤.٥٩١ | 9/9/0 |
|
|
|
| 85WeJeHiMu [70] | ١١٠٤.٨٤٩-١٩١٤.٧١٨ | ٣٢/٣١/٠ |
|
|
|
| 86توث [71] | 1104.791-1348.351 | ١٠٦١/١٠٤٧/٠ |
|
|
|
| 82Guelachv_RC [63] | 1118.129-1342.938 | 649/649/0 |
|
|
|
| 84توث [67] | ١١٣٣.٤٦٨-١٢٣٦.٥٨٦ | ٥٤/٥٤/٠ |
|
|
|
| 85 برتو [68] | ١١٣٢٫٠٢٤-٤٧٤٩٫١٢٥ | 240/240/0 |
|
|
|
| 15GaCaCoFa [148] | 1161.479-1161.479 | 1/1/0 |
|
|
|
| 18أللاقل [156] | ١٢٤٥٫٧٦٥-١٣٠٩٫٨٤٧ | ٧٣/٧٣/٠ |
|
|
|
| 21HjGeKrHu [168] | 1251.600-1318.138 | ١٧٩/١٧٩/٠ |
|
|
|
| 85 ويهيما [69] | 1257.316-1339.843 | 14/14/0 |
|
|
|
| 87HiWeMa [72] | 1257.509-1335.006 | 28/24/4 |
|
|
|
| 80NaKaYaHa [60] | ١٢٩٥.٤٧٦-١٣١١.٢٨٤ | ٤/٤/٠ |
|
|
|
| 89 فاسكويما [81] | 1591.326-1672.707 | 8/8/0 |
|
|
|
| 76AmGu [55] | 1831.706-3191.180 | ٣٩٤٤/٣٨٦١/٧٧ |
|
|
|
| 01BaVe [113] | 2044.525-2266.349 | ٣٢٤٢/٣٠٧١/٧ |
|
|
|
| 03BaPiVe [118] | ٢٠٧٢.٦٧٥-٢٢٠٠.٩٢٥ | 753/444/1 |
|
|
|
| 74FaDu [44] | ٢٠٩٨.٤٨٩-٢٢٣٠.٦٧٨ | 997/994/3 |
|
|
|
| 76VaLeCaBo [57] | ٢١٣٥٫٢٨٩-٢٢٦٨٫٠٩٩ | 201/134/67 |
|
|
|
| 13KnWiGiRa [145] | 2189.273-2213.246 | 24/24/0 |
|
|
|
| 21 JiMc [169] | 2206.659-2208.093 | 3/3/0 |
|
|
|
| 04NeSuVa [124] | 2224.588-2251.574 | ٣٨/٣٨/٠ |
|
|
|
| 74 كريبتون | 2267.096-2618.035 | ١٨٣٨/١٨٢٥/١٣ |
|
|
|
| 60TiPlBe [17] | 2438.220-3502.620 | 884/763/121 |
|
|
|
| 99Toth [110] | 3676.940-7795.203 | ١٣٢٨/١٣٢٨/٠ |
|
|
|
|
|
٣٩٠٠.٨٠٩-٤٠٤١.٣١٢ | ١٠١١/٨٩٣/١١٢ |
|
|
|
| 84PoPeJeWe [66] | 4341.141-4753.311 | ٣٩/٣٩/٠ |
|
|
|
| 16WeBrSeWe [153] | 4418.202-4439.792 | ٤١/٤١/٠ |
|
|
|
| 20ZhBaFlHo [164] | 4415.014-4415.014 | 1/1/0 |
|
|
|
|
|
4607.694-4657.886 | 64/64/0 |
|
|
|
| 06WaPeTaGa [129] | 5313.693-8987.678 | ٢٣٥٦/٢٣٥٦/٠ |
|
|
|
| 19BeMoKaKa [158] | 5696.223-5908.020 | 2166/2166/0 |
|
|
|
| 07 ليكابيتا [134] | 5906.331-6832.402 | ٢٢١٧/٢٢١٣/٤ |
|
|
|
| 07LiKaMaRo [133] | 6001.771-6884.882 | ٥٠٩٤/٥٠٧٢/١ |
|
|
|
| 00WeKaCaBa [111] | 6436.315-12141.237 | 3578/3538/40 |
|
|
|
| 95CaPeBaTe_RC [93] | 6436.313-10832.947 | 3160/3158/2 |
|
|
|
| 19LiWaTaKa [159] | 6519.115-6597.240 | ٨٨/٨٨/٠ |
|
|
|
| 22 إيوكوني [173] | 6549.562-6596.114 | ٤٦/٤٦/٠ |
|
|
|
| 09LiKaPeHu [136] | 6789.852-7065.586 | ١١٥٤/١١٤٨/٦ |
|
|
|
| 12LuMoLiPe [142] | 6949.767-7725.398 | 6226/6191/12 |
|
|
|
| 23 كا مو تا كا [178] | 7250.027-7652.630 | ٣٣٢٩/٣٣٠٧/٠ |
|
|
|
|
|
7601.172-8329.631 | 2968/2963/5 |
|
|
|
| 11 ليكابيتا [140] | 7647.529-7918.173 | 1746/1742/4 |
|
|
|
|
|
7647.527-7988.178 | 2423/2421/2 |
|
|
|
|
|
7783.475-7788.489 | 8/8/0 |
|
|
|
|
|
7970.763-12898.443 | 1148/1060/88 |
|
|
|
| 22 كاتاكاكا [174] | 8272.503-8619.558 | ٣١٣٢/٣٠٩٧/٣ |
|
|
|
| 21 كاكا تاكا [170] | ٨٣٢٥.٧٧٤-٨٦٢٢.٠٧٨ | ٢٧٤٥/٢٧٤٥/٠ |
|
|
|
| 03DiPeTaTe [119] | 8836.109-10092.626 | 719/692/27 |
|
|
|
| 04BeCaPeTa [123] | 9074.119-9621.037 | 659/658/1 |
|
|
|
| 98GaCaKaSt [105] | 9362.110-9419.797 | ٦٨/٦٨/٠ |
|
|
|
| 24SiSeEmMa [180] | 9842.540-11972.969 | ٢٣٥/٢٣١/٤ |
|
|
|
| 02 بي كا كا [116] | 9910.657-9951.791 | ٢٢/٢٢/٠ |
|
|
|
| 01CaWeTaPe [114] | 10084.048-12021.132 | 946/943/3 |
|
|
|
| 70بليفا [31] | 10756.448-10832.966 | ١٣٤/١٣٤/٠ |
|
|
|
| 22 لوغو [176] | 11233.770-11283.200 | ٥٣/٥٣/٠ |
|
|
|
| 96كامبارغو [97] | ١١٢٣٣.٧٧٧-١٢٢٢١.٩٤٥ | ٢٤١/٢٤١/٠ |
|
|
|
| 11 ميبيتاكا [141] | 12764.164-12899.183 | ١٤٠/١٤٠/٠ |
|
|
|
| 17ZhWaLiZh [155] | 12857.786-12898.904 | ٤١/٤١/٠ |
|
|
|

3.3. الأطياف الاهتزازية وأصول الأطياف
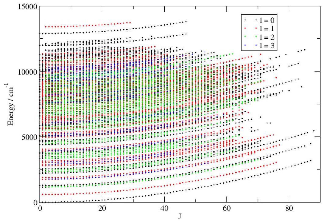
3.4. مستويات الطاقة الروفيبرational التجريبية
4. المقارنة مع قوائم الخطوط السابقة

حسب حسابات هوانغ وآخرين [177]، المشار إليها بأيمس، وأصول نطاق الهاميلتوني الفعال التجريبي (EH) (مع الاقتباسات) موضحة في
|
|
مارفل |
|
|
أيمز | EH |
|
مارفل | أيمز | EH | ||||||||||||
| 0 | 1 | 0.0(0) | 0.00 | 0.000 | [125] | 11 | ١٨ | 6571.590(1) | 6571.60 | 6571.590 | [125] | 15 | 15 | 8425.849(1) | 8425.75 | 8425.847 | [175] | ||||
| 1 | 11 | 589.606223(7) | ٥٨٩.٦٠ | ٥٨٩٫٦٠٦ | [125] | 111 | 9 | 6631.431(2) | ٦٦٣١.٧٧ | ٦٦٣١.٤٢٩ | [١٣٣] | 15 | ١٨ | 8560.0019(8) | ٨٥٦٠.٠٥ | ٨٥٦٠٫٠٠٠ | [150] | ||||
| 2 | 0 | 1168.13237(2) | 1168.13 | ١١٦٨.١٣٢ | [125] | 111 | ١١٠ | 6773.346(7) | ٦٧٧٣.٦١ | ٦٧٧٣.٣٤٨ | [134] | 15 | 19 | 8666.974(2) | ٨٦٦٧.٠٥ | ٨٦٦٦.٩٣٨ | [129] | ||||
| ٢ | 0 | 1284.903342(5) | ١٢٨٤.٩١ | 1284.903 | [125] | 111 | 11 | 6893.051(2) | 6893.21 | 6893.051 | [١٣٣] | 15 | ١١٠ | 8705.236(1) | 8705.82 | 8702.237 | [150] | ||||
| 2 | ٢ | 1180.26532(2) | 1180.26 | 1180.265 | [125] | 111 | 12 | 6996.842(2) | ٦٩٩٦.٩٤ | ٦٩٩٦.٨٤٠ | [133] | 15 | 111 | 8708.369(1) | 8709.61 | 8705.366 | [150] | ||||
| ٣ | 1 | 1749.9042(4) | ١٧٤٩.٩٠ | ١٧٤٩.٩٠٧ | [125] | 12 | 01 | 6580.85352(1) | 6580.82 | 6580.854 | [125] | 15 | ١١٢ | 8844.271(1) | ٨٨٤٤.٥٦ | 8844.278 | [142] | ||||
| ٣ | 1 | 1881.1003(2) | 1881.12 | 1881.101 | [125] | 12 | 02 | 6630.434(2) | ٦٦٣٠.٣٩ | ٦٦٣٠.٤٢٩ | [134] | 15 | 114 | 8960.5835(8) | 8960.75 | 8960.588 | [150] | ||||
| ٣ | ٣ | 1771.9597(3) | ١٧٧١.٩٧ | ١٧٧١.٩٦٠ | [125] | 12 | 04 | 6768.502(1) | 6768.45 | 6768.502 | [125] | 15 | 116 | 9062.1621(8) | 9062.26 | 9062.158 | [142] | ||||
| ٤ | 0 | 2223.7567419(3) | ٢٢٢٣.٧٦ | ٢٢٢٣.٧٥٧ | [125] | 12 | 06 | 6868.5498(2) | 6868.52 | 6868.550 | [125] | 15 | ١١٧ | 9186.5218(8) | 9187.96 | 9186.521 | [178] | ||||
| ٤ | 0 | 2322.57323(6) | ٢٣٢٢.٥٦ | 2322.573 | [125] | 12 | ٠٧ | 6882.691(1) | 6882.61 | 6882.692 | [158] | 15 | 31 | 8225.739(2) | ٨٢٢٥.٧٢ | ٨٢٢٥.٧٣٧ | [133] | ||||
| ٤ | 0 | 2461.9965(2) | 2462.03 | ٢٤٦١.٩٩٦ | [125] | 12 | 08 | 7024.091(1) | 7024.10 | 7024.093 | [142] | 16 | 01 | 8714.1402(4) | 8714.09 | 8714.139 | [١٣٣] | ||||
| ٤ | 0 | 2563.3403(2) | ٢٥٦٣.٣٢ | ٢٥٦٣.٣٣٩ | [125] | 12 | ٠٩ | 7029.844(1) | ٧٠٣٠.٥١ | 7029.843 | [142] | ١٦٠ | 04 | 8877.042(1) | 8877.02 | 8877.040 | [142] | ||||
| ٤ | 2 | 2333.64607(6) | ٢٣٣٣.٦٥ | ٢٣٣٣.٦٤٦ | [125] | 12 | 010 | 7137.127(1) | 7137.09 | 7137.127 | [125] | 16 | 07 | 8976.489(1) | 8976.47 | 8976.488 | [142] | ||||
| ٤ | 2 | ٢٤٧٧.٣٠٨٩(٢) | ٢٤٧٧.٣٣ | ٢٤٧٧.٣١٠ | [125] | 12 | 011 | 7194.365(1) | 7194.95 | 7194.365 | [134] | 16 | 010 | 9108.322(3) | 9108.34 | 9108.323 | [150] | ||||
| ٥ | 1 | 2799.1245(2) | ٢٧٩٩.١٣ | ٢٧٩٩.١٢٤ | [125] | 12 | 012 | 7214.680(1) | 7214.68 | 7214.680 | [125] | 16 | 011 | 9219.056(1) | 9218.99 | 9219.056 | [150] | ||||
| ٥ | 1 | 2898.65323(6) | ٢٨٩٨.٦٥ | ٢٨٩٨.٦٥٧ | [125] | 12 | 013 | 7340.792(1) | 7341.29 | 7340.792 | [134] | 16 | 014 | 9294.994(1) | ٩٢٩٤.٩٨ | ٩٢٩٤.٩٩٣ | [150] | ||||
| ٥ | 1 | 3047.0490(2) | ٣٠٤٧.٠٧ | ٣٠٤٧.٠٤٨ | [125] | 12 | 014 | 7463.985(1) | 7464.32 | 7463.986 | [١٣٣] | 16 | 015 | 9398.818(1) | 9399.25 | 9398.817 | [150] | ||||
| ٥ | 14 | 3166.68(2) | ٣١٦٦.٦٨ | ٣١٦٦.٦٨٥ | [125] | 12 | 015 | 7556.136(1) | 7556.36 | 7556.135 | [133] | 16 | 017 | 9517.8741(8) | 9518.10 | ٩٥١٧.٨٧٤ | [150] | ||||
| ٥ | ٣ | 2919.0973(3) | 2919.12 | ٢٩١٩٫٠٩٨ | [125] | 12 | 016 | 7640.474(1) | 7640.67 | 7640.476 | [133] | 16 | 018 | 9599.1039(8) | 9601.02 | 9599.103 | [174] | ||||
| ٦ | 0 | ٣٣٦٣.٩٧٨٠(٢) | ٣٣٦٣.٩٨ | ٣٣٦٣.٩٧٨ | [125] | 12 | 21 | 6640.670(1) | 6640.66 | 6640.667 | [134] | 16 | 019 | 9606.336(5) | 9606.34 | 9606.332 | [150] | ||||
| ٦ | 0 | ٣٤٦٦.٦٠٠١٨(٦) | ٣٤٦٦.٦٢ | ٣٤٦٦.٦٠٠ | [125] | 12 | 23 | 6782.826(2) | 6782.81 | 6782.825 | [134] | 16 | 020 | 9690.0821(8) | 9690.13 | 9690.082 | [170] | ||||
| ٦ | 0 | 3480.81930(6) | ٣٤٨٠.٨٢ | 3480.819 | [125] | 12 | ٢٥ | 6894.268(2) | 6894.22 | 6894.268 | [158] | 16 | ٠٢٢ | 9874.2970(8) | 9875.91 | 9874.296 | [170] | ||||
| ٦ | 0 | 3620.9430(2) | ٣٦٢٠.٩٢ | ٣٦٢٠.٩٤٣ | [125] | 12 | 26 | 7039.494(2) | 7039.73 | ٧٠٣٩.٦٦١ | [142] | 16 | ٢٢ | 8749.056(1) | 8749.07 | 8749.056 | [133] | ||||
| ٦ | 0 | 3748.2521(2) | ٣٧٤٨.٢٥ | ٣٧٤٨.٢٥٢ | [125] | 12 | 27 | 7040.686(2) | 7041.19 | 7040.685 | [158] | 16 | ٢٤ | 8890.970(1) | ٨٨٩١.٠٦ | 8890.970 | [142] | ||||
| ٦ | 0 | 3836.37100(3) | ٣٨٣٦.٣٥ | ٣٨٣٦.٣٧١ | [125] | ١٢٢ | ٢٩ | 7207.024(1) | 7207.62 | 7207.022 | [134] | 16 | 26 | 8980.053(1) | 8979.95 | 8980.051 | [175] | ||||
| ٦ | 2 | ٣٣٧٥.٦٤١٣(٢) | ٣٣٧٥.٦٤ | ٣٣٧٥.٦٤٢ | [125] | 12 | ٢١٠ | 7357.528(2) | 7358.04 | 7357.528 | [133] | 16 | 27 | 9123.706(1) | 9082.03 | 9123.706 | [150] | ||||
| ٦ | 2 | ٣٤٧٦.٩٧٧٣١(٦) | ٣٤٧٧.٠١ | ٣٤٧٦.٩٧٨ | [125] | 12 | 211 | 7491.112(2) | ٧٤٩١.٤٨ | 7491.113 | [١٣٣] | 16 | 27 | 9123.706(1) | 9123.85 | 9123.706 | [150] | ||||
| ٦ | 2 | 3634.1032(2) | ٣٦٣٤٫٠٨ | ٣٦٣٤.١٠٤ | [125] | 12 | 212 | 7613.098(2) | ٧٦١٣.٢٣ | 7613.098 | [133] | 16 | 211 | 9415.442(1) | 9415.97 | 9415.442 | [150] | ||||
| ٦ | 2 | ٣٧٦٨.٥٥٥١(٢) | ٣٧٦٨.٥٥ | ٣٧٦٨.٥٥٥ | [125] | ١٣ | 11 | 7127.796(1) | 7127.77 | 7127.798 | [125] | 16 | 213 | 9545.384(1) | 9545.79 | 9545.384 | [170] | ||||
| ٧ | 1 | 3932.0805(6) | ٣٩٣٢.٠٨ | ٣٩٣٢.٠٨٣ | [125] | ١٣ | 17 | 7443.822(1) | 7443.85 | 7443.746 | [134] | 16 | 216 | 9763.7896(8) | 9765.71 | 9763.790 | [174] | ||||
| ٧ | 1 | ٤٠٦٢.٨٠٩١(٤) | ٤٠٦٢.٨٠ | ٤٠٦٢.٨٠٩ | [125] | 131 | ١٨ | 7590.240(1) | 7590.39 | 7590.244 | [142] | 171 | 9246.894(1) | ٩٢٤٦.٨٧ | ٩٢٤٦.٨٩٣ | [142] | |||||
| ٧ | ٣ | 3953.2921(2) | ٣٩٥٣٫٢٩ | ٣٩٥٣٫٢٩٣ | [125] | 131 | ١١٠ | 7715.885(2) | ٧٧١٥.٩٦ | ٧٧١٥.٨٨٦ | [134] | 171 | 17 | 9538.070(5) | 9538.21 | ٩٥٣٨٫٠٦٥ | [142] | ||||
| ٨ | 1 | 4417.37778(3) | ٤٤١٧.٣٧ | ٤٤١٧.٣٧٨ | [125] | 131 | ١١٢ | 7818.651(2) | ٧٨١٨.٧٢ | 7818.650 | [134] | 171 | 114 | 9885.506(1) | 9885.65 | 9885.509 | [150] | ||||
| ٨ | 04 | 4630.1613(2) | ٤٦٣٠.١٤ | 4630.161 | [125] | 131 | 114 | 8047.173(1) | ٨٠٤٧.٨٥ | ٨٠٤٧.١٧٨ | [134] | 173 | 9445.920(1) | 9446.11 | 9445.919 | [142] | |||||
| ٨ | 0 | 4730.82507(3) | 4730.81 | ٤٧٣٠.٨٢٥ | [125] | 131 | ١١٥ | 8160.484(1) | 8160.97 | 8160.484 | [134] | 173 | 314 | 9988.527(1) | 9989.36 | 9988.522 | [150] | ||||
| ٨ | 08 | 5026.30302(3) | ٥٠٢٦.٢٧ | ٥٠٢٦.٣٠٣ | [125] | 131 | ١١٦ | 8267.106(1) | ٨٢٦٨.١٧ | 8267.108 | [133] | 173 | ٣١٥ | ١٠١١٢.١٣٦٩(٨) | ١٠٠١٦.٩٠ | ١٠١٠٦.٣٦٠ | [170] | ||||
| ٨ | ٠٩ | 5105.67692(3) | ٥١٠٥.٦٨ | 5105.677 | [125] | ١٣ | 37 | 7618.257(2) | 7618.39 | 7618.257 | [158] | 180 | 9770.6360(8) | 9770.61 | 9770.636 | [170] | |||||
| ٨ | 2 | 4502.1990(4) | ٤٥٠٢.٢١ | ٤٥٠٢.١٩٩ | [125] | 14 | 01 | 7665.273(1) | ٧٦٦٥.٢١ | ٧٦٦٥٫٢٧٣ | [133] | 180 | 10079.556(3) | 10079.59 | ١٠٠٧٩.٥٦٥ | [175] | |||||
| 9 | 11 | 4978.526(3) | 4978.51 | 4978.524 | [125] | ١٤٠ | 03 | 7782.662(1) | ٧٧٨٢.٦٥ | 7782.662 | [125] | 180 | ١٠١٦٣.٥٩٣(١) | ١٠١٦٣.٥٦ | ١٠١٦٣.٥٩٨ | [114] | |||||
| 9 | 14 | 5201.61(2) | 5201.59 | 5201.613 | [125] | ١٤٠ | 7874.156(1) | 7874.08 | 7874.156 | [134] | 180 | 012 | ١٠٢٠٤.٨٠(٢) | ١٠٢٠٤.٨١ | ١٠٢٠٤.٨٠٦ | [114] | |||||
| ٩ | 15 | 5319.96(3) | ٥٣١٩.٩٨ | 5320.001 | [125] | ١٤٠ | 08 | 7998.589(2) | 7998.57 | 7998.585 | [134] | 180 | 013 | ١٠٣٣٢.٠٢(٢) | ١٠٣٣٢.٠٦ | ١٠٣٣٢.٠١٣ | [114] | ||||
| 9 | 18 | 5618.60187(3) | 5618.60 | ٥٦١٨.٥٩٧ | [125] | ١٤٠ | ٠٩ | 8083.953(1) | 8083.91 | 8083.955 | [134] | 180 | 016 | 10429.15(2) | ١٠٤٢٨.٩٨ | ١٠٤٢٩.١٤٨ | [114] | ||||
| 9 | 19 | 5723.651(1) | 5723.66 | ٥٧٢٣.٦٥٣ | [125] | 14 | 012 | 8276.326(1) | ٨٢٧٦.٤٤ | 8276.325 | [142] | 180 | 017 | ١٠٥٠٤.٤١(٣) | ١٠٥٠٤.٤٥ | ١٠٥٠٤.٣٩٨ | [114] | ||||
| 9 | 31 | 5074.0908(5) | ٥٠٧٤.١٢ | 5074.091 | [125] | 14 | 014 | 8376.3502(8) | 8376.32 | 8376.350 | [142] | 180 | 020 | 10640.61(2) | ١٠٦٤١.٢٨ | 10640.611 | [114] | ||||
| 9 | ٣٣ | 5227.459(1) | ٥٢٢٧.٤٤ | ٥٢٢٧.٤٦٠ | [125] | 14 | 015 | 8452.6357(8) | 8452.70 | ٨٤٥٢.٦٣٦ | [142] | 182 | 21 | 9781.143(1) | 9781.15 | 9781.143 | [170] | ||||
| 10 | 03 | 5646.74022(3) | ٥٦٤٦.٧٣ | ٥٦٤٦.٧٤٠ | [125] | 14 | 016 | ٨٤٧٥.٧٢٨٢(٨) | ٨٤٧٦.٨٧ | ٨٤٧٥.٧٢٤ | [142] | 191 | ١١٠ | 10733.30(2) | 10733.53 | 10732.908 | [114] | ||||
| 10 | 05 | 5762.372(1) | ٥٧٦٢.٣١ | ٥٧٦٢.٣٧٣ | [125] | 14 | 017 | 8612.948(1) | 8613.96 | 8612.949 | [142] | 191 | ١١٧ | 11000.56(2) | ١١٠٠٠.٦٧ | ١١٠٠٠.١٦٠ | [114] | ||||
| 10 | 07 | 5902.968(2) | 5903.19 | 5902.966 | [134] | 14 | 018 | 8725.101(1) | 8725.85 | 8725.100 | [142] | 193 | 31 | ١٠٣١٦.٨٤٥(١) | ١٠٣١٦.٩٣ | ١٠٣١٦.٨٤٨ | [174] | ||||
| 10 | 08 | 5974.84501(3) | ٥٩٧٤.٨١ | 5974.845 | [125] | 14 | 019 | 8810.765(1) | ٨٨١١.٤٢ | 8810.762 | [142] | ٢٠٠ | 01 | ١٠٨١٥.٢٥١(٥) | ١٠٨١٥.٢٤ | ١٠٨١٥.٢٤٢ | [170] | ||||
| 10 | 0 | 6058.668(2) | 6058.81 | 6058.667 | [125] | 14 | 21 | 7676.0959(6) | 7676.06 | 7676.095 | [١٣٣] | ٢٠٠ | 02 | ١٠٨٢٠.١٢٨(٥) | ١٠٨٢٠.١٤ | ١٠٨٢٠.١٤٢ | [114] | ||||
| 10 | 0 | 6192.270(2) | ٦١٩٢.٣٥ | ٦١٩٢٫٢٧١ | [125] | 14 | ٢٤ | 7886.494(1) | ٧٨٨٦.٤٩ | ٧٨٨٦.٤٩٤ | [134] | ٢٠٠ | 011 | 11271.99(2) | ١١٢٧١.٩٩ | ١١٢٧١.٩٨٨ | [114] | ||||
| 10 | 0 | 6373.308(2) | ٦٣٧٣.٣٨ | 6373.308 | [125] | 14 | 27 | 8017.943(1) | ٨٠١٨.٠٣ | ٨٠١٧.٩٤٥ | [134] | 211 | 11334.685(5) | 11334.79 | 11334.289 | [111] | |||||
| 10 | 21 | 5540.9177(4) | ٥٥٤٠.٨٩ | 5540.917 | [125] | 14 | ٢١٠ | 8296.595(1) | ٨٢٩٦.٨١ | ٨٢٩٦.٥٩٤ | [142] | 220 | 04 | ١١٩٦٤.١٢(٦) | ١١٩٦٤.٣٦ | ١١٩٦٤.٢٥٢ | [114] | ||||
| 10 | ٢٤ | 5775.118(1) | 5775.09 | 5775.118 | [125] | 14 | 212 | 8417.273(2) | 8417.43 | 8417.273 | [142] | 220 | 12009.05(2) | ١٢٠٠٩.٢٠ | ١٢٠٠٩.٠٢٩ | [114] | |||||
| 11 | 11 | 6084.143(2) | 6084.12 | 6084.143 | [134] | 14 | 213 | 8490.353(1) | 8491.53 | 8490.353 | [142] | ٢٤٠ | 02 | 12891.079(5) | 12891.09 | 12891.153 | [114] | ||||
| 11 | ١٣ | 6214.638(2) | 6214.62 | 6214.640 | [125] | 14 | 214 | 8633.615(1) | ٨٦٣٤.٦٨ | ٨٦٣٣.٦١٤ | [142] | ||||||||||
| 11 | 15 | 6327.090(1) | 6327.02 | 6327.312 | [142] | 14 | 215 | 8762.569(1) | ٨٧٦٣.٣٩ | ٨٧٦٢.٥٧٠ | [142] | ||||||||||
| 11 | 16 | 6462.895(2) | 6462.90 | 6462.898 | [125] | 15 | 11 | 8206.086(1) | 8206.07 | 8206.090 | [133] | ||||||||||
| 11 | 17 | 6470.361(1) | ٦٤٧٠.٨٠ | 6467.371 | [158] | 151 | ٣ | 8336.6118(8) | ٨٣٣٦.٦٤ | 8336.611 | [١٣٣] | ||||||||||
4.1. O4Toth [125]
4.2. NOSL-296 [179]


5. ملخص واستنتاجات
سيتم نشرها في مكان آخر [201]. تم تحديد عدم اليقين لمستويات الطاقة الروفيبراتية التجريبية باستخدام نهج البوتستراب الذي تم تنفيذه حديثًا. نعتقد أن هذا النهج يوفر عدم يقين أكثر واقعية، ويعوض على الأقل جزئيًا عن كل من التقديرات المنخفضة والعالية لعدم اليقين المنشور للانتقالات الملاحظة.
بيان مساهمة تأليف CRediT
إعلان عن تضارب المصالح
توفر البيانات
شكر وتقدير
الملحق أ. ملاحظات حول مصادر البيانات
76AmGu [55]: هذه المنشورة هي مثال مبكر لطيف طيف الأشعة تحت الحمراء عالي الدقة (مع عدم يقين قدره
98GaCaKaSt [105]: يعلن المؤلفون عن عدم يقين قدره 0.005
06HePiGuSo [128]: تم إزالة فروع Q (كلا من e-f و f-e) في نطاق (919) (311) لأنها غير متوافقة مع انتقالات أخرى مذكورة في هذا المصدر وأماكن أخرى، مثل 19ВеМоКаКа [158]. تم إزالة أحد عشر خطًا لأنها تتضمن
المعلمات وإعادة النظر في تحليل نظام تفاعل كوريوليس بين الألياف كما هو موضح في 03DiPeTaTe [119].
الملحق ب. المواد التكميلية
References
[2] Vasquez M, Schreier F, Garcia SG, Kitzmann D, Patzer B, Rauer H, et al. Infrared radiative transfer in atmospheres of earth-like planets around
[3] Grenfell JL. A review of exoplanetary biosignatures. Phys Rep 2017;713:1-17. http://dx.doi.org/10.1016/j.physrep.2017.08.003.
[4] Tinetti G, Beaulieu J, Henning T, Meyer M, Micela G, Ribas I, et al. EChO. Exp Astron 2012;34:311-53.
[5] Tinetti G, Drossart P, Eccleston P, Hartogh P, Heske A, Leconte J, et al. A chemical survey of exoplanets with ARIEL. Exp Astron 2018;46:135-209. http://dx.doi.org/10.1007/s10686-018-9598-x.
[6] Coles DK, Elyash ES, Gorman JG. Microwave absorption spectra of
[7] Herzberg G, Herzberg L. Rotation-vibration spectra of diatomic and simple polyatomic molecules with long absorbing paths. 6. The spectrum of nitrous oxide (
[8] Callomon HJ, McKean DC, Thompson HW. Intensities of vibration bands. 3. Nitrous oxide. Proc R Soc London Ser A 1951;208:332-41. http://dx.doi.org/ 10.1098/rspa.1951.0164.
[9] Johnson CM, Trambarulo R, Gordy W. Microwave spectroscopy in the region from two to three millimeters, Part II. Phys Rev 1951;84:1178-80. http://dx. doi.org/10.1103/PhysRev.84.1178.
[10] Tetenbaum SJ. 6-millimeter spectra of OCS and
[11] Douglas AE, Moller CK. The near infrared spectrum and the internuclear distances of nitrous oxide. J Chem Phys 1954;22:275-9. http://dx.doi.org/10. 1063/1.1740051.
[12] Burrus CA, Gordy W. Millimeter and submillimeter wave spectroscopy. Phys Rev 1956;101:599-602. http://dx.doi.org/10.1103/PhysRev.101.599.
[13] Lakshmi K, Rao KN, Nielsen HH. Molecular constants of nitrous oxide from measurements of
[14] Plyler EK, Tidwell ED, Allen HC. Near infrared spectrum of nitrous oxide. J Chem Phys 1956;24:95-7. http://dx.doi.org/10.1063/1.1700878.
[15] Shearer JN, Wiggins TA, Guenther AH, Rank DH. L-type doubling in
[16] Clough SA, McCarthy DE, Howard JN.
[17] Tidwell ED, Plyler EK, Benedict WS. Vibration-rotation bands of
[18] Rank DH, Wiggins TA, Rao BS, Eastman DP. Highly precise wavelengths in infrared. 2. HCN,
[19] Burch DE, Williams D. Total absorptance by nitrous oxide bands in the infrared. Appl Opt 1962;1:473-82. http://dx.doi.org/10.1364/AO.1.000473.
[20] Rao KN, de Vore RV, Plyler EK. Wavelength calibrations in the far infrared (30 to 1000 microns). J Res Natl Inst Stand Technol 1963;67A:351-8. http: //dx.doi.org/10.6028/jres.067A.038.
[21] Gordon HR, McCubbin TK. 0220-0110 band of
[22] Lafferty WJ, Lide DR and. Rotational constants of excited vibrational states of
[23] Pliva J. Infrared spectra of isotopic nitrous oxides. J Mol Spectrosc 1964;12:360. http://dx.doi.org/10.1016/0022-2852(64)90020-7.
[24] Plyler EK, Tidwell ED, Maki AG. Infrared absorption spectrum of nitrous oxide (
[25] Harmony MD, Sancho M.
[26] Berendts BT, Dymanus A. Evaluation of molecular quadrupole moments from broadening of microwave spectral lines. I. Measurements. J Chem Phys 1968;48:1361-7. http://dx.doi.org/10.1063/1.1668803.
[27] French IP, Arnold TE. Foreign-gas broadening of
[28] Pliva J. Some near infrared bands of nitrous oxide. J Mol Spectrosc 1968;25:62-76. http://dx.doi.org/10.1016/S0022-2852(68)80031-1.
[29] Pliva J. Molecular constants of nitrous oxide
[30] Pearson R, Sullivan T, Frenkel L. Microwave spectrum and molecular parameters for
[31] Pliva J. Photographic infrared bands
[32] Scharpen LH, Muenter JS, Laurie VW. Electric polarizability anisotropies of nitrous oxide, propyne, and carbonyl sulfide by microwave spectroscopy. J Chem Phys 1970;53:2513-9. http://dx.doi.org/10.1063/1.1674355.
[33] Lemaire J, Houriez J, Thibault J, Maillard B. Infrared microwave double resonance in methyl bromide and nitrous oxide. J Phys 1971;32:35. http: //dx.doi.org/10.1051/jphys:0197100320103500, – &.
[34] Toth RA. Line strengths of
[35] Toth RA. Self-broadened and
[36] Lowder JE. Band intensity and line half-width measurements in
[37] Margolis JS. Intensity and half-width measurements of
[38] Sokoloff DR, Javan A. Precision spectroscopy of
[39] Tien CL, McCreigh CR, Modest MF. Infrared radiation properties of nitrousoxide. J Quant Spectrosc Radiat Transfer 1972;12:267-77. http://dx.doi.org/ 10.1016/0022-4073(72)90037-4.
[40] Lacome N, Boulet C, Arie E. Spectroscopy using laser source. 3. Intensities and lengths of transition lines of nitrogen protoxide – deviation of Lorentz line shape. Can J Phys 1973;51:302-10. http://dx.doi.org/10.1139/p73-038.
[41] Tubbs LD, Williams D. Broadening of infrared-absorption lines at reduced temperatures. 3. Nitrous-oxide. J Opt Soc Am 1973;63:859-63. http://dx.doi. org/10.1364/JOSA.63.000859.
[42] Amiot C, Guelachvili G. Vibration-rotation bands of
[43] Burenin AV, Valbov AN, Gershtein LI, Karyakin EN, Krupnov AF, Maslovskii AV, et al. Submillimeter spectrum and intermolecular parameters. Opt Spectrosc 1974;37:676.
[44] Farrenq R, Dupre-Maquaire J. Vibrational luminescence of
[45] Farrenq R, Gaultier D, Rossetti C. Vibrational luminescence of
[46] Krell JM, Sams RL. Vibration-rotation bands of nitrous-oxide –
[47] Varanasi P, Bangaru BRP. Measurement of line-intensities of linear molecules under low resolution. J Quant Spectrosc Radiat Transf 1974;14:1253-7. http: //dx.doi.org/10.1016/0022-4073(74)90093-4.
[48] Blanquet G, Walrand J, Courtoy CP. Vibration-rotation bands of isotopic-species of
[49] Bogey M. Microwave-absorption spectroscopy in
[50] Boissy JP, Valentin A, Cardinet P, Claude ML, Henry A. Line intensities of the
[51] Casleton KH, Kukolich SG. Beam maser measurements of hyperfine-structure in
[52] Dupre-Maquaire I, Pinson P. Emission spectrum of
[53] Toth RA, Farmer CB. Line strengths of
[54] Whitford BG, Siemsen KJ, Riccius HD, Hanes GR. Absolute frequency measurements of
[55] Amiot C, Guelachvili G. Extension of 106 samples Fourier spectrometry to indium-antimonide region – Vibration-rotation bands of
[56] Andreev BA, Burenin AV, Karyakin EN, Krupnov AF, Shapin SM. Submillimeter wave spectrum and molecular-constants of
[57] Valentin A, Lemoal MF, Cardinet P, Boissy JP. High precision spectrum of
[58] Reinartz JMLJ, Meerts WL, Dymanus A. Hyperfine-structure, electric and magnetic-properties of
[59] Braund DB, Cole ARH, Cugley JA, Honey FR, Pulfrey RE, Reece GD. Precise measurements with a compact vacuum infrared spectrometer. Appl Opt 1980;19:2146-52. http://dx.doi.org/10.1364/AO.19.002146.
[60] Nagai K, Kawaguchi K, Yamada C, Hayakawa K, Takagi Y, Hirota E. A highprecision wavelength meter for tunable diode laser: Measurements of
[61] Lacome N, Levy A. Line strengths and self-broadened linewidths of
[62] Olson WB, Maki AG, Lafferty WJ. Tables of
[63] Guelachvili G. Absolute
[64] Jolma K, Kauppinen J, Horneman VM. Vibration-rotation spectrum of
[65] Lacome N, Levy A, Guelachvili G. Fourier-transform measurement of selfbroadening,
[66] Pollock CR, Petersen FR, Jennings DA, Wells JS, Maki AG. Absolute frequency measurements of the
[67] Toth RA. Line strengths of
[68] Brown LR, Toth RA. Comparison of the frequencies of
[69] Wells JS, Hinz A, Maki AG. Heterodyne frequency measurements on
[70] Wells JS, Jennings DA, Hinz A, Murray JS, Maki AG. Heterodyne frequency measurements on
[71] Toth RA. Frequencies of
[72] Hinz A, Wells JS, Maki AG. Heterodyne measurements of hot bands and isotopic transitions of
[73] Toth RA.
[74] Zink LR, Wells JS, Maki AG. Heterodyne frequency measurements on
[75] Esplin MP, Barowy WM, Huppi RJ, Vanasse GA. High resolution Fourier spectroscopy of nitrous oxide at elevated temperatures. Mikrochim Acta 1988;2:403-7.
[76] Amrein A, Hollenstein H, Quack M, Schmitt U. High resolution interferometric Fourier transform infrared spectroscopy in supersonic free jet expansions:
[77] Maki AG, Wells JS, Vanek MD. Heterodyne frequency measurements on
[78] Tang L-W, Nadler S, Daunt SJ. Tunable diode laser measurements of absolute line strengths in the
[79] Varanasi P, Chudamani S. Line strength measurements in the
[80] Vanek MD, Jennings DA, Wells JS, Maki AG. Frequency measurements of high
[81] Vanek MD, Schneider M, Wells JS, Maki AG. Heterodyne measurements on
[82] Yamada KMT. Pure rotation spectrum of NNO in the far infrared region. Z Naturforsch Sect A 1990;45:837-8.
[83] Toth RA. Line-frequency measurements and analysis of
[84] Maki AG, Wells JS. New wavenumber calibration tables from heterodyne frequency measurements. J Res Natl Inst Stand Technol 1992;97:409-70.
[85] Tan TL, Looi EC, Lua KT. Hot-band spectrum of
[86] Toth RA. Line strengths (
[87] Sirota JM, Reuter DC. Absolute intensities for the Q-branch of the
[88] Sirota JM, Reuter DC, Mumma MJ. Blocked impurity band detectors applied to tunable diode laser spectroscopy in the 8- to
[89] Rachet F, Margottinmaclou M, Elazizi M, Henry A, Valentin A. Linestrength measurements for
[90] Rachet F, MM, Elazizi M, Henry A, Valentin A. Linestrength measurements for the
[91] Elazizi M, Rachet F, Henry A, Margottinmaclou M, Valentin A. Linestrength measurements for
[92] Campargue A, Permogorov D. Intensity measurements of the near-infrared and visible overtone bands of nitrous oxide. Chem Phys Lett 1995;241:339-44. http://dx.doi.org/10.1016/0009-2614(95)00636-I.
[93] Campargue A, Permogorov D, Bach M, Temsamani MA, Vander Auwera J, Herman M, et al. Overtone spectroscopy in nitrous-oxide. J Chem Phys 1995;103:5931-8. http://dx.doi.org/10.1063/1.470473.
[94] Regalia L, Barbe A, Plateaux JJ, Dana V, Mandin JY, Allout MY. Nitrogenbroadening and nitrogen-shifting coefficients in the
[95] Reuter DC, Sirota JM. Temperature-dependent foreign gas broadening coefficients of the
[96] Willey DR, Ross KA, Mullin AS, Schowen S, Zheng LD, Flynn G. Gas-phase infrared spectroscopy of
[97] Campargue A. The near-infrared absorption spectrum of nitrous oxide: Analysis of the
[98] Johns JWC, Lu Z, Weber M, Sirota JM, Reuter DC. Absolute intensities in the
[99] Margottin-Maclou M, Rachet F, Henry A, Valentin A. Pressure-induced line shifts in the
[100] Tachikawa M, Evenson KM, Zink LR, Maki AG. Frequency measurements of 9- and
[101] Weber M, Sirota JM, Reuter DC. l-Resonance intensity effects and pressure broadening of
[102] Morino I, Fabian M, Takeo H, Yamada KMT. High-
[103] Regalia L, Thomas X, Hamdouni A, Barbe A. Intensities of
[104] Bouanich JP, Hartmann JM, Blanquet G, Walrand J, Bermejo D, Domenech JL. Line-mixing effects in He – and
[105] Garnache A, Campargue A, Kachanov AA, Stoeckel F. Intracavity laser absorption spectroscopy near
[106] He Y, Hippler M, Quack M. High-resolution cavity ring-down absorption spectroscopy of nitrous oxide and chloroform using a near-infrared CW diode laser. Chem Phys Lett 1998;289:527-34. http://dx.doi.org/10.1016/S0009-2614(98) 00424-2.
[107] Hippler M, Quack M. CW cavity ring-down infrared absorption spectroscopy in pulsed supersonic jets: Nitrous oxide and methane. Chem Phys Lett 1999;314:273-81. http://dx.doi.org/10.1016/S0009-2614(99)01071-4.
[108] Morino I, Yamada KMT, Maki AG. Terahertz measurements of rotational transitions in vibrationally excited states of
[109] Oshika H, Toba A, Fujitake M, Ohashi N. Newly observed vibrotational bands of
[110] Toth RA. Line positions and strengths of
[111] Weirauch G, Kachanov AA, Campargue A, Bach M, Herman M, Vander Auwera J. Refined investigation of the overtone spectrum of nitrous oxide. J Mol Spectrosc 2000;202:98-106. http://dx.doi.org/10.1006/jmsp.2000.8114.
[112] Toth RA.
[113] Bailly D, Vervloet M.
[114] Campargue A, Weirauch G, Tashkun SA, Perevalov VI, Teffo JL. Overtone spectroscopy of
[115] Daumont L, Vander Auwera J, Teffo JL, Perevalov VI, Tashkun SA. Line intensity measurements in
[116] Bertseva E, Kachanov AA, Campargue A. Intracavity laser absorption spectroscopy of
[117] Daumont L, Claveau C, Debacker-Barilly MR, Hamdouni A, Regalia-Jarlot L, Teffo JL, et al. Line intensities of
[118] Bailly D, Pirali O, Vervloet M.
[119] Ding Y, Perevalov VI, Tashkun SA, Teffo JL, Hu S, Bertseva E, et al. Weak overtone transitions of
[120] Morino I, Yamada KMT. Absorption line profiles of
[121] Parkes AM, Linsley AR, Orr-Ewing AJ. Absorption cross-sections and pressure broadening of rotational lines in the
[122] Rohart F, Colmont JM, Wlodarczak G, Bouanich JP.
[123] Bertseva E, Campargue A, Perevalov VI, Tashkun SA. New observations of weak overtone transitions of
[124] Nemtchinov V, Sun CB, Varanasi P. Measurements of line intensities and line widths in the
[125] Toth RA. Linelist of
[126] Vitcu A, Ciurylo R, Wehr R, Drummond JR, May AD. Broadening, shifting, and line mixing in the
[127] Drouin BJ, Maiwald FW. Extended THz measurements of nitrous oxide,
[128] Herbin H, Picque N, Guelachvili G, Sorokin E, Sorokina IT.
[129] Wang L, Perevalov VI, Tashkun SA, Gao B, Hao LY, Hu SM. Fourier transform spectroscopy of
[130] Daumont L, Vander Auwera J, Teffo J-L, Perevalov VI, Tashkun SA. Line intensity measurements in
[131] Didriche K, Macko P, Herman M, Thievin J, Benidar A, Georges R. Investigation of the shape of the
[132] Horneman V-M. High accurate peak positions for calibration purposes with the lowest fundamental bands
[133] Liu AW, Kassi S, Malara P, Romanini D, Perevalov VI, Tashkun SA, et al. High sensitivity CW-cavity ring down spectroscopy of
[134] Liu AW, Kassi S, Perevalov VI, Tashkun SA, Campargue A. High sensitivity CW-cavity ring down spectroscopy of
[135] Nakayama T, Fukuda H, Sugita A, Hashimoto S, Kawasaki M, Aloisio S, et al. Buffer-gas pressure broadening for the
[136] Liu AW, Kassi S, Perevalov VI, Hu SM, Campargue A. High sensitivity CWcavity ring down spectroscopy of
[137] Sun H, Ding YJ, Zotova IB. Differentiation of three isotopic variants of nitrous oxide based on spectra of rotational transitions. In: 2009 Conference on Lasers and Electro-Optics and Quantum Electronics and Laser Science Conference, VOLS 1-5. CLEO/QELS 2009, OSA; 2009, p. 2913. http://dx.doi.org/10.1364/ CLEO.2009.JTuD80, +.
[138] Wang CY, Liu AW, Perevalov VI, Tashkun SA, Song KF, Hu SM. Highresolution infrared spectroscopy of
[139] Aenchbacher W, Naftaly M, Dudley R. Line strengths and self-broadening of pure rotational lines of nitrous oxide measured by terahertz time-domain spectroscopy. J Opt Soc Amer B 2010;27:1717-21. http://dx.doi.org/10.1364/ JOSAB.27.001717.
[140] Liu AW, Kassi S, Perevalov VI, Tashkun SA, Campargue A. High sensitivity cw-cavity ring down spectroscopy of
[141] Milloud R, Perevalov VI, Tashkun SA, Campargue A. Rotational analysis of
[142] Lu Y, Mondelain D, Liu AW, Perevalov VI, Kassi S, Campargue A. High sensitivity CW-cavity ring down spectroscopy of
[143] Perevalov VI, Tashkun SA, Kochanov RV, Liu AW, Campargue A. Global modeling of the
[144] Karlovets EV, Lu Y, Mondelain D, Kassi S, Campargue A, Tashkun SA, et al. High sensitivity CW-cavity ring down spectroscopy of
[145] Knabe K, Williams PA, Giorgetta FR, Radunsky MB, Armacost CM, Crivello S , et al. Absolute spectroscopy of
[146] Ting W-J, Chang C-H, Chen S-E, Chen H-C, Shy J-T, Drouin BJ, et al. Precision frequency measurement of
[147] Wu Z-W, Dong Y-T, Zhou W-D. Near infrared cavity enhanced absorption spectroscopy study of
[148] Gambetta A, Cassinerio M, Coluccelli N, Fasci E, Castrillo A, Gianfrani L, et al. Direct phase-locking of a
[149] Loos J, Birk M, Wagner G. Pressure broadening, -shift, speed dependence and line mixing in the
[150] Karlovets EV, Campargue A, Kassi S, Perevalov VI, Tashkun SA. High sensitivity cavity ring down spectroscopy of
[151] Tashkun SA, Perevalov VI, Lavrentieva NN. NOSD-1000, the high-temperature nitrous oxide spectroscopic databank. J Quant Spectrosc Radiat Transff 2016;177:43-8. http://dx.doi.org/10.1016/j.jqsrt.2015.11.014.
[152] Tonokura K, Takahashi R. Pressure broadening of the
[153] Werwein V, Brunzendorf J, Serdyukov A, Werhahn O, Ebert V. First measurements of nitrous oxide self-broadening and self-shift coefficients in the 0002-0000 band at
[154] Werwein V, Brunzendorf J, Li G, Serdyukov A, Werhahn O, Ebert V. Highresolution Fourier transform measurements of line strengths in the
[155] Zhao X-Q, Wang J, Liu A-W, Zhou Z-Y, Hu S-M. High precision cavity ring down spectroscopy of
[156] AlSaif B, Lamperti M, Gatti D, Laporta P, Fermann M, Farooq A, et al. High accuracy line positions of the
[157] Lauzin C, Schmutz H, Agner JA, Merkt F. Chirped-pulse millimetre-wave spectrometer for the
[158] Bertin T, Mondelain D, Karlovets E, Kassi S, Perevalov V, Campargue A. High sensitivity cavity ring down spectroscopy of
[159] Liu GL, Wang J, Tan Y, Kang P, Bi Z, Liu AW, et al. Line positions and
[160] Tashkun SA. Global modeling of the
[161] Kim G-R, Lee H-B, Jeon T-I. Terahertz time-domain spectroscopy of lowconcentration
[162] Odintsova TA, Fasci E, Gravina S, Gianfrani L, Castrillo A. Optical feedback laser absorption spectroscopy of
[163] Bailey DM, Zhao G, Fleisher AJ. Precision spectroscopy of
[164] Zhao G, Bailey DM, Fleisher AJ, Hodges JT, Lehmann KK. Doppler-free twophoton cavity ring-down spectroscopy of a nitrous oxide (
[165] Ogden HM, Michael TJ, Murray MJ, Mullin AS. Transient IR (0001-0000) absorption spectroscopy of optically centrifuged
[166] Adkins EM, Long DA, Fleisher AJ, Hodges JT. Near-infrared cavity ringdown spectroscopy measurements of nitrous oxide in the
[167] Hashemi R, Gordon IE, Adkins EM, Hodges JT, Long DA, Birk M, et al. Improvement of the spectroscopic parameters of the air- and self-broadened
[168] Hjalten A, Germann M, Krzempek K, Hudzikowski A, Gluszek A, Tomaszewska D, et al. Optical frequency comb Fourier transform spectroscopy of
[169] Jiang J, McCartt AD. Two-color, intracavity pump-probe, cavity ringdown spectroscopy. J Chem Phys 2021;155:104201. http://dx.doi.org/10.1063/5. 0054792.
[170] Karlovets EV, Kassi S, Tashkun SA, Campargue A. The absorption spectrum of nitrous oxide between 8325 and
[171] Lepère M, Browet O, Clément J, Vispoel B, Allmendinger P, Hayden J, et al. A mid-infrared dual-comb spectrometer in step-sweep mode for high-resolution molecular spectroscopy. J Quant Spectrosc Radiat Transfer 2022;287:108239. http://dx.doi.org/10.1016/j.jqsrt.2022.108239.
[172] Zhao G, Tian J, Hodges JT, Fleisher AJ. Frequency stabilization of a quantum cascade laser by weak resonant feedback from a fabry-perot cavity. Opt Lett 2021;46:3057-60. http://dx.doi.org/10.1364/OL.427083.
[173] Iwakuni K. Absolute frequency measurement of the
[174] Karlovets EV, Tashkun SA, Kassi S, Campargue A. An improved analysis of the
[175] Karlovets EV, Kassi S, Tashkun SA, Campargue A. The absorption spectrum of nitrous oxide between 7647 and
[176] Lucchesini A, Gonzalez-Rivera J. Nitrous oxide spectroscopy at
[177] Huang X, Schwenke DW, Lee TJ. Highly accurate potential energy surface and dipole moment surface for nitrous oxide and 296 K infrared line list for
[178] Karlovets EV, Mondelain D, Tashkun SA, Campargue A. The absorption spectrum of nitrous oxide between 7250 and
[179] Tashkun SA, Campargue A. The NOSL-296 high resolution
[180] Sinitsa LN, Serdyukov VI, Emelyanov NM, Marinina AA, Perevalov VI. LEDbased Fourier transform spectroscopy of
[181] Hargreaves RJ, Gordon IE, Rothman LS, Tashkun SA, Perevalov VI, Lukashevskaya AA, et al. Spectroscopic line parameters of
[182] Gordon IE, Rothman LS, Hargreaves RJ, Hashemi R, Karlovets EV, Skinner FM, et al. The HITRAN2020 molecular spectroscopic database. J Quant Spectrosc Radiat Transf 2022;277:107949. http://dx.doi.org/10.1016/j.jqsrt.2021. 107949.
[183] Suzuki I. General anharmonic force constants of nitrous oxide. J Mol Spectrosc 1969;32:54-73. http://dx.doi.org/10.1016/0022-2852(69)90142-8.
[184] Chedin A, Amiot C, Cihla Z. The potential energy function of the nitrous oxide molecule using pure vibrational data. J Mol Spectrosc 1976;63:348-69. http://dx.doi.org/10.1016/0022-2852(76)90302-7.
[185] Lacy M, Whiffen D. The anharmonic force field of nitrous oxide. Mol Phys 1982;45:241-52. http://dx.doi.org/10.1080/00268978200100191.
[186] Kobayashi M, Suzuki I. Sextic force field of nitrous oxide. J Mol Spectrosc 1987;125:24-42. http://dx.doi.org/10.1016/0022-2852(87)90190-1.
[187] Teffo J-L, Chédin A. Internuclear potential and equilibrium structure of the nitrous oxide molecule from rovibrational data. J Mol Spectrosc 1989;135:389-409. http://dx.doi.org/10.1016/0022-2852(89)90164-1.
[188] Allen WD, Yamaguchi Y, Császár AG, Clabo Jr DA, Remington RB, Schaefer III HF. A systematic study of molecular vibrational anharmonicity and vibration-rotation interaction by self-consistent-field higher derivative methods. Linear polyatomic molecules. Chem Phys 1990;145:427-66. http://dx.doi.org/ 10.1016/0301-0104(90)87051-C.
[189] Császár AG. Anharmonic force field of
[190] Zúñiga J, Bastida A, Requena A. Theoretical calculations of vibrational frequencies and rotational constants of the
[191] Czakó G, Furtenbacher T, Császár AG, Szalay V. Variational vibrational calculations using high-order anharmonic force fields. Mol Phys 2004;102:2411-23. http://dx.doi.org/10.1080/0026897042000274991.
[192] Acharjee M, Choudhury J, Sen R, Mohanta B. The vibrational spectra of carbon dioxide and nitrous oxide: A Lie algebraic study. Can J Phys 2018;96:560-5. http://dx.doi.org/10.1139/cjp-2017-0387.
[193] Császár AG, Furtenbacher T. Spectroscopic networks. J Mol Spectrosc 2011;266:99-103. http://dx.doi.org/10.1016/j.jms.2011.03.031.
[194] Furtenbacher T, Árendás P, Mellau G, Császár AG. Simple molecules as complex systems. Sci Rep 2014;4:4654. http://dx.doi.org/10.1038/srep04654.
[195] Császár AG, Furtenbacher T, Arendas P. Small molecules – Big data. J Phys Chem A 2016;120:8949-69. http://dx.doi.org/10.1021/acs.jpca.6b02293.
[196] Császár AG, Czakó G, Furtenbacher T, Mátyus E. An active database approach to complete rotational-vibrational spectra of small molecules. Annu Rep Comput Chem 2007;3:155-76. http://dx.doi.org/10.1016/S1574-1400(07)03009-5.
[197] Furtenbacher T, Császár AG. MARVEL: measured active rotational-vibrational energy levels. II. Algorithmic improvements. J Quant Spectrosc Radiat Transf 2012;113:929-35. http://dx.doi.org/10.1016/j.jqsrt.2012.01.005.
[198] E.B. Wilson Jr, Decius JC, Cross PC. Molecular vibrations: The theory of infrared and Raman vibrational spectra. New York: McGraw Hill; 1955.
[199] Teffo JL, Perevalov VI, Lyulin OM. Reduced effective Hamiltonian for a global treatment of rovibrational energy levels of nitrous oxide. J Mol Spectrosc 1994;168:390-403. http://dx.doi.org/10.1006/jmsp.1994.1288.
[200] Waalkens H, Jung C, Taylor HS. Semiclassical assignment of the vibrational spectrum of
[201] Mizus II, Zobov NF, Makhnev VY, Ovsyannikov RI, Rogov MA, Tennyson J, Polyansky OL. Approaching experimental accuracy for triatomic spectra using variational calculations: Potential energy and dipole moment surfaces of
[202] Efron B. Bootstrap methods: Another look at the jackknife. Ann Statist 1979;7. http://dx.doi.org/10.1214/aos/1176344552.
[203] Hastie T, Tibshirani R, Friedman J. The elements of statistical learning. 2nd ed.. Springer New York; 2009, http://dx.doi.org/10.1007/978-0-387-84858-7.
[204] Tóbiás R, Furtenbacher T, Tennyson J, Császár AG. Accurate empirical rovibrational energies and transitions of
[205] Watson JKG. Robust weighting in least-square fits. J Mol Spectrosc 2003;219:326-8. http://dx.doi.org/10.1016/S0022-2852(03)00100-0.
[206] Tóbiás R, Furtenbacher T, Simkó I, Császár AG, Diouf ML, Cozijn FMJ, et al. Spectroscopic-network-assisted precision spectroscopy and its application to water. Nature Commun 2020;11:1708. http://dx.doi.org/10.1038/s41467-020-15430-6.
[207] Diouf ML, Tóbiás R, Simkó I, Cozijn FMJ, Salumbides EJ, Ubachs W, et al. Network-based design of near-infrared Lamb-dip experiments and the determination of pure rotational energies of
[208] Castrillo A, Fasci E, Furtenbacher T, D’Agostino V, Khan MA, Gravina S, et al. On the
[209] Brown JM, Hougen JT, Huber KP, Johns JWC, Kopp I, Lefebvre-Brion H, et al. Labeling of parity doublet levels in linear molecules. J Mol Spectrosc 1975;55:500-3. http://dx.doi.org/10.1016/0022-2852(75)90291-X.
[210] Lovas FJ. Microwave spectral tables II. Triatomic molecules. J Phys Chem Ref Data 1978;7:1445-750. http://dx.doi.org/10.1063/1.555588.
- Corresponding author at: Department of Physics and Astronomy, University College London, Gower Street, London WC1E 6BT, UK.
E-mail address: j.tennyson@ucl.ac.uk (J. Tennyson).
DOI: https://doi.org/10.1016/j.jqsrt.2024.108902
Publication Date: 2024-01-20
Empirical rovibrational energy levels for nitrous oxide
A R T I C L E I N F O
Keywords:
MARVEL
Abstract
A survey of the huge number of measured rovibrational transitions of the
1. Introduction
could be used during the present study. There are a similarly large number of papers
2. Theoretical details
2.1. Marvel
2.2. Labeling
meaning that they are best represented using a polyad notation (
and
2.3. Uncertainty quantification of energy levels: a bootstrap approach
Two examples illustrating how the bootstrap method applied works in determining uncertainties, with
| Energy level (
|
MARVEL energy
|
Original unc.
|
Bootstrap unc.
|
Tag of line | Initial unc.
|
Predicted energy
|
| (17114 e 36) | 10425.772 | 0.001 | 0.028 | 16KaCaKaPe. 1421 | 0.001 | 10425.772 |
| 04BeCaPeTa. 409 | 0.005 | 10425.814 | ||||
| (16 210 e 25) | 9374.588 | 0.001 | 0.022 |
|
0.001 | 9374.588 |
| 04BeCaPeTa. 84 | 0.005 | 9374.635 | ||||
| 04BeCaPeTa. 85 | 0.005 | 9374.634 |
“Bootstrap” approaches [202,203] are suitable to obtain reasonable uncertainties in the case of conflicting measurements, where without this approach too small uncertainties would be given for energy levels if some of the measurement results were rejected. The variant of the bootstrap procedure we use is as follows: bootstrap samples are generated by multiplying the uncertainty of each transition by a random number between 1 and 10, and then we rerun Marvel for each sample. After a hundred or more such runs, we check whether the average of the bootstrapped energies is different from the original Marvel energy. If the energies calculated by the two methods differ by a prescribed amount, the uncertainty of the Marvel energy is increased. If the energies calculated by the two methods are close but the standard deviation of the bootstrap energies is larger than the uncertainty of the original Marvel energy, the uncertainty of the Marvel energy will also be increased.
uncertainty of the supposedly more accurately measured transition is five times smaller than that of the other one, Marvel increased the uncertainty of the second transition. However, without actually seeing the original spectra, it is impossible to decide whether the initial uncertainty of
3. Results and discussion
3.1. Data sources

of transitions measured just one time is 27444 , while there are 4 and 142 transitions which were measured 7 and 6 times, respectively (the number of empirical rovibrational energy levels determined, 17561, is significantly closer to 43000 than to 68000 ).
3.2. Level uncertainties

uncertainty,
| Segment tag | Range |
|
|
AMR | MR |
| 78ReMeDy [58] | 0.002-0.009 | 3/3/0 |
|
|
|
| 64 LaLi [22] | 0.835-2.521 | 4/4/0 |
|
|
|
| 47CoElGo [6] | 0.838-0.838 | 1/1/0 |
|
|
|
| 75CaKu [51] | 0.838-0.838 | 1/1/0 |
|
|
|
| 75Bogey [49] | 1.662-4.156 | 4/4/0 |
|
|
|
| 52Tetenbau [10] | 1.676-1.676 | 1/1/0 |
|
|
|
| 70ScMuLa [32] | 1.676-2.514 | 2/2/0 |
|
|
|
| 71LeHoThMa [33] | 2.504-2.519 | 5/4/1 |
|
|
|
| 51JoTrGo [9] | 3.352-4.190 | 2/2/0 |
|
|
|
| 56BuGo [12] | 3.352-10.055 | 9/9/0 |
|
|
|
| 70PeSuFr [30] | 4.172-10.082 | 35/34/1 |
|
|
|
| 18LaScAgMe [157] | 5.028-5.866 | 2/2/0 |
|
|
|
| 68FrAr [27] | 5.028-5.028 | 1/1/0 |
|
|
|
| 14TiChChCh [146] | 6.676-2272.183 | 219/212/0 |
|
|
|
| 74BuVaGeKa [43] | 10.055-15.918 | 6/6/0 |
|
|
|
| 76AnBuKaKr [56] | 12.568-18.518 | 97/97/0 |
|
|
|
| 06DrMa [127] | 20.103-55.230 | 72/71/0 |
|
|
|
| 90Yamada [82] | 20.103-47.637 | 32/32/0 |
|
|
|
| 03MoYa [120] | 20.940-21.776 | 2/2/0 |
|
|
|
| 97MoFaTaYa [102] | 20.940-24.285 | 5/5/0 |
|
|
|
| 99 MoYaMa [108] | 20.862-26.081 | 60/60/0 |
|
|
|
| 89 VaJeWeMa [80] | 50.129-50.241 | 3/3/0 |
|
|
|
|
|
542.456-645.418 | 355/355/0 |
|
|
|
| 07Horneman [132] | 542.920-635.235 | 533/509/24 |
|
|
|
| 92TaLoLu [85] | 554.029-619.385 | 241/241/0 |
|
|
|
| 96 WeSiRe [101] | 557.231-615.994 | 96/96/0 |
|
|
|
| 04Toth [125] | 577.760-7232.274 | 1121/1121/0 |
|
|
|
| 89 MaWeVa [77] | 896.945-989.668 | 18/18/0 |
|
|
|
| 96TaEvZiMa [100] | 897.010-1074.417 | 129/129/0 |
|
|
|
| 87Toth [73] | 900.926-2392.452 | 1207/1196/0 |
|
|
|
| 72SoJa [38] | 922.423-956.347 | 27/27/0 |
|
|
|
| 75WhSuRiHa [54] | 925.982-970.092 | 33/33/0 |
|
|
|
| 87ZiWeMa [74] | 1037.189-1084.591 | 9/9/0 |
|
|
|
| 85WeJeHiMu [70] | 1104.849-1914.718 | 32/31/0 |
|
|
|
| 86Toth [71] | 1104.791-1348.351 | 1061/1047/0 |
|
|
|
| 82Guelachv_RC [63] | 1118.129-1342.938 | 649/649/0 |
|
|
|
| 84Toth [67] | 1133.468-1236.586 | 54/54/0 |
|
|
|
| 85 BrTo [68] | 1132.024-4749.125 | 240/240/0 |
|
|
|
| 15GaCaCoFa [148] | 1161.479-1161.479 | 1/1/0 |
|
|
|
| 18AlLaGaLa [156] | 1245.765-1309.847 | 73/73/0 |
|
|
|
| 21HjGeKrHu [168] | 1251.600-1318.138 | 179/179/0 |
|
|
|
| 85 WeHiMa [69] | 1257.316-1339.843 | 14/14/0 |
|
|
|
| 87HiWeMa [72] | 1257.509-1335.006 | 28/24/4 |
|
|
|
| 80NaKaYaHa [60] | 1295.476-1311.284 | 4/4/0 |
|
|
|
| 89 VaScWeMa [81] | 1591.326-1672.707 | 8/8/0 |
|
|
|
| 76AmGu [55] | 1831.706-3191.180 | 3944/3861/77 |
|
|
|
| 01BaVe [113] | 2044.525-2266.349 | 3242/3071/7 |
|
|
|
| 03BaPiVe [118] | 2072.675-2200.925 | 753/444/1 |
|
|
|
| 74FaDu [44] | 2098.489-2230.678 | 997/994/3 |
|
|
|
| 76VaLeCaBo [57] | 2135.289-2268.099 | 201/134/67 |
|
|
|
| 13KnWiGiRa [145] | 2189.273-2213.246 | 24/24/0 |
|
|
|
| 21 JiMc [169] | 2206.659-2208.093 | 3/3/0 |
|
|
|
| 04NeSuVa [124] | 2224.588-2251.574 | 38/38/0 |
|
|
|
| 74 KrSa [46] | 2267.096-2618.035 | 1838/1825/13 |
|
|
|
| 60TiPlBe [17] | 2438.220-3502.620 | 884/763/121 |
|
|
|
| 99Toth [110] | 3676.940-7795.203 | 1328/1328/0 |
|
|
|
|
|
3900.809-4041.312 | 1011/893/112 |
|
|
|
| 84PoPeJeWe [66] | 4341.141-4753.311 | 39/39/0 |
|
|
|
| 16WeBrSeWe [153] | 4418.202-4439.792 | 41/41/0 |
|
|
|
| 20ZhBaFlHo [164] | 4415.014-4415.014 | 1/1/0 |
|
|
|
|
|
4607.694-4657.886 | 64/64/0 |
|
|
|
| 06WaPeTaGa [129] | 5313.693-8987.678 | 2356/2356/0 |
|
|
|
| 19BeMoKaKa [158] | 5696.223-5908.020 | 2166/2166/0 |
|
|
|
| 07 LiKaPeTa [134] | 5906.331-6832.402 | 2217/2213/4 |
|
|
|
| 07LiKaMaRo [133] | 6001.771-6884.882 | 5094/5072/1 |
|
|
|
| 00WeKaCaBa [111] | 6436.315-12141.237 | 3578/3538/40 |
|
|
|
| 95CaPeBaTe_RC [93] | 6436.313-10832.947 | 3160/3158/2 |
|
|
|
| 19LiWaTaKa [159] | 6519.115-6597.240 | 88/88/0 |
|
|
|
| 22Iwakuni [173] | 6549.562-6596.114 | 46/46/0 |
|
|
|
| 09LiKaPeHu [136] | 6789.852-7065.586 | 1154/1148/6 |
|
|
|
| 12LuMoLiPe [142] | 6949.767-7725.398 | 6226/6191/12 |
|
|
|
| 23 KaMoTaCa [178] | 7250.027-7652.630 | 3329/3307/0 |
|
|
|
|
|
7601.172-8329.631 | 2968/2963/5 |
|
|
|
| 11 LiKaPeTa [140] | 7647.529-7918.173 | 1746/1742/4 |
|
|
|
|
|
7647.527-7988.178 | 2423/2421/2 |
|
|
|
|
|
7783.475-7788.489 | 8/8/0 |
|
|
|
|
|
7970.763-12898.443 | 1148/1060/88 |
|
|
|
| 22 KaTaKaCaa [174] | 8272.503-8619.558 | 3132/3097/3 |
|
|
|
| 21 KaKaTaCa [170] | 8325.774-8622.078 | 2745/2745/0 |
|
|
|
| 03DiPeTaTe [119] | 8836.109-10092.626 | 719/692/27 |
|
|
|
| 04BeCaPeTa [123] | 9074.119-9621.037 | 659/658/1 |
|
|
|
| 98GaCaKaSt [105] | 9362.110-9419.797 | 68/68/0 |
|
|
|
| 24SiSeEmMa [180] | 9842.540-11972.969 | 235/231/4 |
|
|
|
| 02 BeKaCa [116] | 9910.657-9951.791 | 22/22/0 |
|
|
|
| 01CaWeTaPe [114] | 10084.048-12021.132 | 946/943/3 |
|
|
|
| 70Pliva [31] | 10756.448-10832.966 | 134/134/0 |
|
|
|
| 22 LuGo [176] | 11233.770-11283.200 | 53/53/0 |
|
|
|
| 96Campargu [97] | 11233.777-12221.945 | 241/241/0 |
|
|
|
| 11 MiPeTaCa [141] | 12764.164-12899.183 | 140/140/0 |
|
|
|
| 17ZhWaLiZh [155] | 12857.786-12898.904 | 41/41/0 |
|
|
|

3.3. Vibrational bands and band origins
3.4. Empirical rovibrational energy levels
4. Comparison with previous line lists

by the calculations of Huang et al. [177], denoted Ames, and the empirical, effective Hamiltonian (EH) band origins (with citations), are given in
|
|
MARVEL |
|
|
AMES | EH |
|
MARVEL | AMES | EH | ||||||||||||
| 0 | 1 | 0.0(0) | 0.00 | 0.000 | [125] | 11 | 18 | 6571.590(1) | 6571.60 | 6571.590 | [125] | 15 | 15 | 8425.849(1) | 8425.75 | 8425.847 | [175] | ||||
| 1 | 11 | 589.606223(7) | 589.60 | 589.606 | [125] | 111 | 9 | 6631.431(2) | 6631.77 | 6631.429 | [133] | 15 | 18 | 8560.0019(8) | 8560.05 | 8560.000 | [150] | ||||
| 2 | 0 | 1168.13237(2) | 1168.13 | 1168.132 | [125] | 111 | 110 | 6773.346(7) | 6773.61 | 6773.348 | [134] | 15 | 19 | 8666.974(2) | 8667.05 | 8666.938 | [129] | ||||
| 2 | 0 | 1284.903342(5) | 1284.91 | 1284.903 | [125] | 111 | 11 | 6893.051(2) | 6893.21 | 6893.051 | [133] | 15 | 110 | 8705.236(1) | 8705.82 | 8702.237 | [150] | ||||
| 2 | 2 | 1180.26532(2) | 1180.26 | 1180.265 | [125] | 111 | 12 | 6996.842(2) | 6996.94 | 6996.840 | [133] | 15 | 111 | 8708.369(1) | 8709.61 | 8705.366 | [150] | ||||
| 3 | 1 | 1749.9042(4) | 1749.90 | 1749.907 | [125] | 12 | 01 | 6580.85352(1) | 6580.82 | 6580.854 | [125] | 15 | 112 | 8844.271(1) | 8844.56 | 8844.278 | [142] | ||||
| 3 | 1 | 1881.1003(2) | 1881.12 | 1881.101 | [125] | 12 | 02 | 6630.434(2) | 6630.39 | 6630.429 | [134] | 15 | 114 | 8960.5835(8) | 8960.75 | 8960.588 | [150] | ||||
| 3 | 3 | 1771.9597(3) | 1771.97 | 1771.960 | [125] | 12 | 04 | 6768.502(1) | 6768.45 | 6768.502 | [125] | 15 | 116 | 9062.1621(8) | 9062.26 | 9062.158 | [142] | ||||
| 4 | 0 | 2223.7567419(3) | 2223.76 | 2223.757 | [125] | 12 | 06 | 6868.5498(2) | 6868.52 | 6868.550 | [125] | 15 | 117 | 9186.5218(8) | 9187.96 | 9186.521 | [178] | ||||
| 4 | 0 | 2322.57323(6) | 2322.56 | 2322.573 | [125] | 12 | 07 | 6882.691(1) | 6882.61 | 6882.692 | [158] | 15 | 31 | 8225.739(2) | 8225.72 | 8225.737 | [133] | ||||
| 4 | 0 | 2461.9965(2) | 2462.03 | 2461.996 | [125] | 12 | 08 | 7024.091(1) | 7024.10 | 7024.093 | [142] | 16 | 01 | 8714.1402(4) | 8714.09 | 8714.139 | [133] | ||||
| 4 | 0 | 2563.3403(2) | 2563.32 | 2563.339 | [125] | 12 | 09 | 7029.844(1) | 7030.51 | 7029.843 | [142] | 160 | 04 | 8877.042(1) | 8877.02 | 8877.040 | [142] | ||||
| 4 | 2 | 2333.64607(6) | 2333.65 | 2333.646 | [125] | 12 | 010 | 7137.127(1) | 7137.09 | 7137.127 | [125] | 16 | 07 | 8976.489(1) | 8976.47 | 8976.488 | [142] | ||||
| 4 | 2 | 2477.3089(2) | 2477.33 | 2477.310 | [125] | 12 | 011 | 7194.365(1) | 7194.95 | 7194.365 | [134] | 16 | 010 | 9108.322(3) | 9108.34 | 9108.323 | [150] | ||||
| 5 | 1 | 2799.1245(2) | 2799.13 | 2799.124 | [125] | 12 | 012 | 7214.680(1) | 7214.68 | 7214.680 | [125] | 16 | 011 | 9219.056(1) | 9218.99 | 9219.056 | [150] | ||||
| 5 | 1 | 2898.65323(6) | 2898.65 | 2898.657 | [125] | 12 | 013 | 7340.792(1) | 7341.29 | 7340.792 | [134] | 16 | 014 | 9294.994(1) | 9294.98 | 9294.993 | [150] | ||||
| 5 | 1 | 3047.0490(2) | 3047.07 | 3047.048 | [125] | 12 | 014 | 7463.985(1) | 7464.32 | 7463.986 | [133] | 16 | 015 | 9398.818(1) | 9399.25 | 9398.817 | [150] | ||||
| 5 | 14 | 3166.68(2) | 3166.68 | 3166.685 | [125] | 12 | 015 | 7556.136(1) | 7556.36 | 7556.135 | [133] | 16 | 017 | 9517.8741(8) | 9518.10 | 9517.874 | [150] | ||||
| 5 | 3 | 2919.0973(3) | 2919.12 | 2919.098 | [125] | 12 | 016 | 7640.474(1) | 7640.67 | 7640.476 | [133] | 16 | 018 | 9599.1039(8) | 9601.02 | 9599.103 | [174] | ||||
| 6 | 0 | 3363.9780(2) | 3363.98 | 3363.978 | [125] | 12 | 21 | 6640.670(1) | 6640.66 | 6640.667 | [134] | 16 | 019 | 9606.336(5) | 9606.34 | 9606.332 | [150] | ||||
| 6 | 0 | 3466.60018(6) | 3466.62 | 3466.600 | [125] | 12 | 23 | 6782.826(2) | 6782.81 | 6782.825 | [134] | 16 | 020 | 9690.0821(8) | 9690.13 | 9690.082 | [170] | ||||
| 6 | 0 | 3480.81930(6) | 3480.82 | 3480.819 | [125] | 12 | 25 | 6894.268(2) | 6894.22 | 6894.268 | [158] | 16 | 022 | 9874.2970(8) | 9875.91 | 9874.296 | [170] | ||||
| 6 | 0 | 3620.9430(2) | 3620.92 | 3620.943 | [125] | 12 | 26 | 7039.494(2) | 7039.73 | 7039.661 | [142] | 16 | 22 | 8749.056(1) | 8749.07 | 8749.056 | [133] | ||||
| 6 | 0 | 3748.2521(2) | 3748.25 | 3748.252 | [125] | 12 | 27 | 7040.686(2) | 7041.19 | 7040.685 | [158] | 16 | 24 | 8890.970(1) | 8891.06 | 8890.970 | [142] | ||||
| 6 | 0 | 3836.37100(3) | 3836.35 | 3836.371 | [125] | 122 | 29 | 7207.024(1) | 7207.62 | 7207.022 | [134] | 16 | 26 | 8980.053(1) | 8979.95 | 8980.051 | [175] | ||||
| 6 | 2 | 3375.6413(2) | 3375.64 | 3375.642 | [125] | 12 | 210 | 7357.528(2) | 7358.04 | 7357.528 | [133] | 16 | 27 | 9123.706(1) | 9082.03 | 9123.706 | [150] | ||||
| 6 | 2 | 3476.97731(6) | 3477.01 | 3476.978 | [125] | 12 | 211 | 7491.112(2) | 7491.48 | 7491.113 | [133] | 16 | 27 | 9123.706(1) | 9123.85 | 9123.706 | [150] | ||||
| 6 | 2 | 3634.1032(2) | 3634.08 | 3634.104 | [125] | 12 | 212 | 7613.098(2) | 7613.23 | 7613.098 | [133] | 16 | 211 | 9415.442(1) | 9415.97 | 9415.442 | [150] | ||||
| 6 | 2 | 3768.5551(2) | 3768.55 | 3768.555 | [125] | 13 | 11 | 7127.796(1) | 7127.77 | 7127.798 | [125] | 16 | 213 | 9545.384(1) | 9545.79 | 9545.384 | [170] | ||||
| 7 | 1 | 3932.0805(6) | 3932.08 | 3932.083 | [125] | 13 | 17 | 7443.822(1) | 7443.85 | 7443.746 | [134] | 16 | 216 | 9763.7896(8) | 9765.71 | 9763.790 | [174] | ||||
| 7 | 1 | 4062.8091(4) | 4062.80 | 4062.809 | [125] | 131 | 18 | 7590.240(1) | 7590.39 | 7590.244 | [142] | 171 | 9246.894(1) | 9246.87 | 9246.893 | [142] | |||||
| 7 | 3 | 3953.2921(2) | 3953.29 | 3953.293 | [125] | 131 | 110 | 7715.885(2) | 7715.96 | 7715.886 | [134] | 171 | 17 | 9538.070(5) | 9538.21 | 9538.065 | [142] | ||||
| 8 | 1 | 4417.37778(3) | 4417.37 | 4417.378 | [125] | 131 | 112 | 7818.651(2) | 7818.72 | 7818.650 | [134] | 171 | 114 | 9885.506(1) | 9885.65 | 9885.509 | [150] | ||||
| 8 | 04 | 4630.1613(2) | 4630.14 | 4630.161 | [125] | 131 | 114 | 8047.173(1) | 8047.85 | 8047.178 | [134] | 173 | 9445.920(1) | 9446.11 | 9445.919 | [142] | |||||
| 8 | 0 | 4730.82507(3) | 4730.81 | 4730.825 | [125] | 131 | 115 | 8160.484(1) | 8160.97 | 8160.484 | [134] | 173 | 314 | 9988.527(1) | 9989.36 | 9988.522 | [150] | ||||
| 8 | 08 | 5026.30302(3) | 5026.27 | 5026.303 | [125] | 131 | 116 | 8267.106(1) | 8268.17 | 8267.108 | [133] | 173 | 315 | 10112.1369(8) | 10016.90 | 10106.360 | [170] | ||||
| 8 | 09 | 5105.67692(3) | 5105.68 | 5105.677 | [125] | 13 | 37 | 7618.257(2) | 7618.39 | 7618.257 | [158] | 180 | 9770.6360(8) | 9770.61 | 9770.636 | [170] | |||||
| 8 | 2 | 4502.1990(4) | 4502.21 | 4502.199 | [125] | 14 | 01 | 7665.273(1) | 7665.21 | 7665.273 | [133] | 180 | 10079.556(3) | 10079.59 | 10079.565 | [175] | |||||
| 9 | 11 | 4978.526(3) | 4978.51 | 4978.524 | [125] | 140 | 03 | 7782.662(1) | 7782.65 | 7782.662 | [125] | 180 | 10163.593(1) | 10163.56 | 10163.598 | [114] | |||||
| 9 | 14 | 5201.61(2) | 5201.59 | 5201.613 | [125] | 140 | 7874.156(1) | 7874.08 | 7874.156 | [134] | 180 | 012 | 10204.80(2) | 10204.81 | 10204.806 | [114] | |||||
| 9 | 15 | 5319.96(3) | 5319.98 | 5320.001 | [125] | 140 | 08 | 7998.589(2) | 7998.57 | 7998.585 | [134] | 180 | 013 | 10332.02(2) | 10332.06 | 10332.013 | [114] | ||||
| 9 | 18 | 5618.60187(3) | 5618.60 | 5618.597 | [125] | 140 | 09 | 8083.953(1) | 8083.91 | 8083.955 | [134] | 180 | 016 | 10429.15(2) | 10428.98 | 10429.148 | [114] | ||||
| 9 | 19 | 5723.651(1) | 5723.66 | 5723.653 | [125] | 14 | 012 | 8276.326(1) | 8276.44 | 8276.325 | [142] | 180 | 017 | 10504.41(3) | 10504.45 | 10504.398 | [114] | ||||
| 9 | 31 | 5074.0908(5) | 5074.12 | 5074.091 | [125] | 14 | 014 | 8376.3502(8) | 8376.32 | 8376.350 | [142] | 180 | 020 | 10640.61(2) | 10641.28 | 10640.611 | [114] | ||||
| 9 | 33 | 5227.459(1) | 5227.44 | 5227.460 | [125] | 14 | 015 | 8452.6357(8) | 8452.70 | 8452.636 | [142] | 182 | 21 | 9781.143(1) | 9781.15 | 9781.143 | [170] | ||||
| 10 | 03 | 5646.74022(3) | 5646.73 | 5646.740 | [125] | 14 | 016 | 8475.7282(8) | 8476.87 | 8475.724 | [142] | 191 | 110 | 10733.30(2) | 10733.53 | 10732.908 | [114] | ||||
| 10 | 05 | 5762.372(1) | 5762.31 | 5762.373 | [125] | 14 | 017 | 8612.948(1) | 8613.96 | 8612.949 | [142] | 191 | 117 | 11000.56(2) | 11000.67 | 11000.160 | [114] | ||||
| 10 | 07 | 5902.968(2) | 5903.19 | 5902.966 | [134] | 14 | 018 | 8725.101(1) | 8725.85 | 8725.100 | [142] | 193 | 31 | 10316.845(1) | 10316.93 | 10316.848 | [174] | ||||
| 10 | 08 | 5974.84501(3) | 5974.81 | 5974.845 | [125] | 14 | 019 | 8810.765(1) | 8811.42 | 8810.762 | [142] | 200 | 01 | 10815.251(5) | 10815.24 | 10815.242 | [170] | ||||
| 10 | 0 | 6058.668(2) | 6058.81 | 6058.667 | [125] | 14 | 21 | 7676.0959(6) | 7676.06 | 7676.095 | [133] | 200 | 02 | 10820.128(5) | 10820.14 | 10820.142 | [114] | ||||
| 10 | 0 | 6192.270(2) | 6192.35 | 6192.271 | [125] | 14 | 24 | 7886.494(1) | 7886.49 | 7886.494 | [134] | 200 | 011 | 11271.99(2) | 11271.99 | 11271.988 | [114] | ||||
| 10 | 0 | 6373.308(2) | 6373.38 | 6373.308 | [125] | 14 | 27 | 8017.943(1) | 8018.03 | 8017.945 | [134] | 211 | 11334.685(5) | 11334.79 | 11334.289 | [111] | |||||
| 10 | 21 | 5540.9177(4) | 5540.89 | 5540.917 | [125] | 14 | 210 | 8296.595(1) | 8296.81 | 8296.594 | [142] | 220 | 04 | 11964.12(6) | 11964.36 | 11964.252 | [114] | ||||
| 10 | 24 | 5775.118(1) | 5775.09 | 5775.118 | [125] | 14 | 212 | 8417.273(2) | 8417.43 | 8417.273 | [142] | 220 | 12009.05(2) | 12009.20 | 12009.029 | [114] | |||||
| 11 | 11 | 6084.143(2) | 6084.12 | 6084.143 | [134] | 14 | 213 | 8490.353(1) | 8491.53 | 8490.353 | [142] | 240 | 02 | 12891.079(5) | 12891.09 | 12891.153 | [114] | ||||
| 11 | 13 | 6214.638(2) | 6214.62 | 6214.640 | [125] | 14 | 214 | 8633.615(1) | 8634.68 | 8633.614 | [142] | ||||||||||
| 11 | 15 | 6327.090(1) | 6327.02 | 6327.312 | [142] | 14 | 215 | 8762.569(1) | 8763.39 | 8762.570 | [142] | ||||||||||
| 11 | 16 | 6462.895(2) | 6462.90 | 6462.898 | [125] | 15 | 11 | 8206.086(1) | 8206.07 | 8206.090 | [133] | ||||||||||
| 11 | 17 | 6470.361(1) | 6470.80 | 6467.371 | [158] | 151 | 3 | 8336.6118(8) | 8336.64 | 8336.611 | [133] | ||||||||||
4.1. O4Toth [125]
4.2. NOSL-296 [179]


5. Summary and conclusions
of which will be published elsewhere [201]. Uncertainties for the empirical rovibrational energy levels were determined using a newly implemented bootstrap approach. We believe this approach yields more realistic uncertainties and, at least in part, compensates for both underand overestimates of the published uncertainties of the transitions observed.
CRediT authorship contribution statement
Declaration of competing interest
Data availability
Acknowledgments
Appendix A. Notes on data sources
76AmGu [55]: This publication is an early example of a highaccuracy infrared spectrum (with an uncertainty of
98GaCaKaSt [105]: The authors declare an uncertainty of 0.005
06HePiGuSo [128]: Q branches (both e-f and f -e) in the (919) (311) band were removed as they are inconsistent with other transitions given in this source and elsewhere, such as 19ВеМоКаКа [158]. Eleven lines were removed as they involve
parameters and the reconsideration of the analysis of an interpolyad Coriolis interaction system given in 03DiPeTaTe [119].
Appendix B. Supplementary material
References
[2] Vasquez M, Schreier F, Garcia SG, Kitzmann D, Patzer B, Rauer H, et al. Infrared radiative transfer in atmospheres of earth-like planets around
[3] Grenfell JL. A review of exoplanetary biosignatures. Phys Rep 2017;713:1-17. http://dx.doi.org/10.1016/j.physrep.2017.08.003.
[4] Tinetti G, Beaulieu J, Henning T, Meyer M, Micela G, Ribas I, et al. EChO. Exp Astron 2012;34:311-53.
[5] Tinetti G, Drossart P, Eccleston P, Hartogh P, Heske A, Leconte J, et al. A chemical survey of exoplanets with ARIEL. Exp Astron 2018;46:135-209. http://dx.doi.org/10.1007/s10686-018-9598-x.
[6] Coles DK, Elyash ES, Gorman JG. Microwave absorption spectra of
[7] Herzberg G, Herzberg L. Rotation-vibration spectra of diatomic and simple polyatomic molecules with long absorbing paths. 6. The spectrum of nitrous oxide (
[8] Callomon HJ, McKean DC, Thompson HW. Intensities of vibration bands. 3. Nitrous oxide. Proc R Soc London Ser A 1951;208:332-41. http://dx.doi.org/ 10.1098/rspa.1951.0164.
[9] Johnson CM, Trambarulo R, Gordy W. Microwave spectroscopy in the region from two to three millimeters, Part II. Phys Rev 1951;84:1178-80. http://dx. doi.org/10.1103/PhysRev.84.1178.
[10] Tetenbaum SJ. 6-millimeter spectra of OCS and
[11] Douglas AE, Moller CK. The near infrared spectrum and the internuclear distances of nitrous oxide. J Chem Phys 1954;22:275-9. http://dx.doi.org/10. 1063/1.1740051.
[12] Burrus CA, Gordy W. Millimeter and submillimeter wave spectroscopy. Phys Rev 1956;101:599-602. http://dx.doi.org/10.1103/PhysRev.101.599.
[13] Lakshmi K, Rao KN, Nielsen HH. Molecular constants of nitrous oxide from measurements of
[14] Plyler EK, Tidwell ED, Allen HC. Near infrared spectrum of nitrous oxide. J Chem Phys 1956;24:95-7. http://dx.doi.org/10.1063/1.1700878.
[15] Shearer JN, Wiggins TA, Guenther AH, Rank DH. L-type doubling in
[16] Clough SA, McCarthy DE, Howard JN.
[17] Tidwell ED, Plyler EK, Benedict WS. Vibration-rotation bands of
[18] Rank DH, Wiggins TA, Rao BS, Eastman DP. Highly precise wavelengths in infrared. 2. HCN,
[19] Burch DE, Williams D. Total absorptance by nitrous oxide bands in the infrared. Appl Opt 1962;1:473-82. http://dx.doi.org/10.1364/AO.1.000473.
[20] Rao KN, de Vore RV, Plyler EK. Wavelength calibrations in the far infrared (30 to 1000 microns). J Res Natl Inst Stand Technol 1963;67A:351-8. http: //dx.doi.org/10.6028/jres.067A.038.
[21] Gordon HR, McCubbin TK. 0220-0110 band of
[22] Lafferty WJ, Lide DR and. Rotational constants of excited vibrational states of
[23] Pliva J. Infrared spectra of isotopic nitrous oxides. J Mol Spectrosc 1964;12:360. http://dx.doi.org/10.1016/0022-2852(64)90020-7.
[24] Plyler EK, Tidwell ED, Maki AG. Infrared absorption spectrum of nitrous oxide (
[25] Harmony MD, Sancho M.
[26] Berendts BT, Dymanus A. Evaluation of molecular quadrupole moments from broadening of microwave spectral lines. I. Measurements. J Chem Phys 1968;48:1361-7. http://dx.doi.org/10.1063/1.1668803.
[27] French IP, Arnold TE. Foreign-gas broadening of
[28] Pliva J. Some near infrared bands of nitrous oxide. J Mol Spectrosc 1968;25:62-76. http://dx.doi.org/10.1016/S0022-2852(68)80031-1.
[29] Pliva J. Molecular constants of nitrous oxide
[30] Pearson R, Sullivan T, Frenkel L. Microwave spectrum and molecular parameters for
[31] Pliva J. Photographic infrared bands
[32] Scharpen LH, Muenter JS, Laurie VW. Electric polarizability anisotropies of nitrous oxide, propyne, and carbonyl sulfide by microwave spectroscopy. J Chem Phys 1970;53:2513-9. http://dx.doi.org/10.1063/1.1674355.
[33] Lemaire J, Houriez J, Thibault J, Maillard B. Infrared microwave double resonance in methyl bromide and nitrous oxide. J Phys 1971;32:35. http: //dx.doi.org/10.1051/jphys:0197100320103500, – &.
[34] Toth RA. Line strengths of
[35] Toth RA. Self-broadened and
[36] Lowder JE. Band intensity and line half-width measurements in
[37] Margolis JS. Intensity and half-width measurements of
[38] Sokoloff DR, Javan A. Precision spectroscopy of
[39] Tien CL, McCreigh CR, Modest MF. Infrared radiation properties of nitrousoxide. J Quant Spectrosc Radiat Transfer 1972;12:267-77. http://dx.doi.org/ 10.1016/0022-4073(72)90037-4.
[40] Lacome N, Boulet C, Arie E. Spectroscopy using laser source. 3. Intensities and lengths of transition lines of nitrogen protoxide – deviation of Lorentz line shape. Can J Phys 1973;51:302-10. http://dx.doi.org/10.1139/p73-038.
[41] Tubbs LD, Williams D. Broadening of infrared-absorption lines at reduced temperatures. 3. Nitrous-oxide. J Opt Soc Am 1973;63:859-63. http://dx.doi. org/10.1364/JOSA.63.000859.
[42] Amiot C, Guelachvili G. Vibration-rotation bands of
[43] Burenin AV, Valbov AN, Gershtein LI, Karyakin EN, Krupnov AF, Maslovskii AV, et al. Submillimeter spectrum and intermolecular parameters. Opt Spectrosc 1974;37:676.
[44] Farrenq R, Dupre-Maquaire J. Vibrational luminescence of
[45] Farrenq R, Gaultier D, Rossetti C. Vibrational luminescence of
[46] Krell JM, Sams RL. Vibration-rotation bands of nitrous-oxide –
[47] Varanasi P, Bangaru BRP. Measurement of line-intensities of linear molecules under low resolution. J Quant Spectrosc Radiat Transf 1974;14:1253-7. http: //dx.doi.org/10.1016/0022-4073(74)90093-4.
[48] Blanquet G, Walrand J, Courtoy CP. Vibration-rotation bands of isotopic-species of
[49] Bogey M. Microwave-absorption spectroscopy in
[50] Boissy JP, Valentin A, Cardinet P, Claude ML, Henry A. Line intensities of the
[51] Casleton KH, Kukolich SG. Beam maser measurements of hyperfine-structure in
[52] Dupre-Maquaire I, Pinson P. Emission spectrum of
[53] Toth RA, Farmer CB. Line strengths of
[54] Whitford BG, Siemsen KJ, Riccius HD, Hanes GR. Absolute frequency measurements of
[55] Amiot C, Guelachvili G. Extension of 106 samples Fourier spectrometry to indium-antimonide region – Vibration-rotation bands of
[56] Andreev BA, Burenin AV, Karyakin EN, Krupnov AF, Shapin SM. Submillimeter wave spectrum and molecular-constants of
[57] Valentin A, Lemoal MF, Cardinet P, Boissy JP. High precision spectrum of
[58] Reinartz JMLJ, Meerts WL, Dymanus A. Hyperfine-structure, electric and magnetic-properties of
[59] Braund DB, Cole ARH, Cugley JA, Honey FR, Pulfrey RE, Reece GD. Precise measurements with a compact vacuum infrared spectrometer. Appl Opt 1980;19:2146-52. http://dx.doi.org/10.1364/AO.19.002146.
[60] Nagai K, Kawaguchi K, Yamada C, Hayakawa K, Takagi Y, Hirota E. A highprecision wavelength meter for tunable diode laser: Measurements of
[61] Lacome N, Levy A. Line strengths and self-broadened linewidths of
[62] Olson WB, Maki AG, Lafferty WJ. Tables of
[63] Guelachvili G. Absolute
[64] Jolma K, Kauppinen J, Horneman VM. Vibration-rotation spectrum of
[65] Lacome N, Levy A, Guelachvili G. Fourier-transform measurement of selfbroadening,
[66] Pollock CR, Petersen FR, Jennings DA, Wells JS, Maki AG. Absolute frequency measurements of the
[67] Toth RA. Line strengths of
[68] Brown LR, Toth RA. Comparison of the frequencies of
[69] Wells JS, Hinz A, Maki AG. Heterodyne frequency measurements on
[70] Wells JS, Jennings DA, Hinz A, Murray JS, Maki AG. Heterodyne frequency measurements on
[71] Toth RA. Frequencies of
[72] Hinz A, Wells JS, Maki AG. Heterodyne measurements of hot bands and isotopic transitions of
[73] Toth RA.
[74] Zink LR, Wells JS, Maki AG. Heterodyne frequency measurements on
[75] Esplin MP, Barowy WM, Huppi RJ, Vanasse GA. High resolution Fourier spectroscopy of nitrous oxide at elevated temperatures. Mikrochim Acta 1988;2:403-7.
[76] Amrein A, Hollenstein H, Quack M, Schmitt U. High resolution interferometric Fourier transform infrared spectroscopy in supersonic free jet expansions:
[77] Maki AG, Wells JS, Vanek MD. Heterodyne frequency measurements on
[78] Tang L-W, Nadler S, Daunt SJ. Tunable diode laser measurements of absolute line strengths in the
[79] Varanasi P, Chudamani S. Line strength measurements in the
[80] Vanek MD, Jennings DA, Wells JS, Maki AG. Frequency measurements of high
[81] Vanek MD, Schneider M, Wells JS, Maki AG. Heterodyne measurements on
[82] Yamada KMT. Pure rotation spectrum of NNO in the far infrared region. Z Naturforsch Sect A 1990;45:837-8.
[83] Toth RA. Line-frequency measurements and analysis of
[84] Maki AG, Wells JS. New wavenumber calibration tables from heterodyne frequency measurements. J Res Natl Inst Stand Technol 1992;97:409-70.
[85] Tan TL, Looi EC, Lua KT. Hot-band spectrum of
[86] Toth RA. Line strengths (
[87] Sirota JM, Reuter DC. Absolute intensities for the Q-branch of the
[88] Sirota JM, Reuter DC, Mumma MJ. Blocked impurity band detectors applied to tunable diode laser spectroscopy in the 8- to
[89] Rachet F, Margottinmaclou M, Elazizi M, Henry A, Valentin A. Linestrength measurements for
[90] Rachet F, MM, Elazizi M, Henry A, Valentin A. Linestrength measurements for the
[91] Elazizi M, Rachet F, Henry A, Margottinmaclou M, Valentin A. Linestrength measurements for
[92] Campargue A, Permogorov D. Intensity measurements of the near-infrared and visible overtone bands of nitrous oxide. Chem Phys Lett 1995;241:339-44. http://dx.doi.org/10.1016/0009-2614(95)00636-I.
[93] Campargue A, Permogorov D, Bach M, Temsamani MA, Vander Auwera J, Herman M, et al. Overtone spectroscopy in nitrous-oxide. J Chem Phys 1995;103:5931-8. http://dx.doi.org/10.1063/1.470473.
[94] Regalia L, Barbe A, Plateaux JJ, Dana V, Mandin JY, Allout MY. Nitrogenbroadening and nitrogen-shifting coefficients in the
[95] Reuter DC, Sirota JM. Temperature-dependent foreign gas broadening coefficients of the
[96] Willey DR, Ross KA, Mullin AS, Schowen S, Zheng LD, Flynn G. Gas-phase infrared spectroscopy of
[97] Campargue A. The near-infrared absorption spectrum of nitrous oxide: Analysis of the
[98] Johns JWC, Lu Z, Weber M, Sirota JM, Reuter DC. Absolute intensities in the
[99] Margottin-Maclou M, Rachet F, Henry A, Valentin A. Pressure-induced line shifts in the
[100] Tachikawa M, Evenson KM, Zink LR, Maki AG. Frequency measurements of 9- and
[101] Weber M, Sirota JM, Reuter DC. l-Resonance intensity effects and pressure broadening of
[102] Morino I, Fabian M, Takeo H, Yamada KMT. High-
[103] Regalia L, Thomas X, Hamdouni A, Barbe A. Intensities of
[104] Bouanich JP, Hartmann JM, Blanquet G, Walrand J, Bermejo D, Domenech JL. Line-mixing effects in He – and
[105] Garnache A, Campargue A, Kachanov AA, Stoeckel F. Intracavity laser absorption spectroscopy near
[106] He Y, Hippler M, Quack M. High-resolution cavity ring-down absorption spectroscopy of nitrous oxide and chloroform using a near-infrared CW diode laser. Chem Phys Lett 1998;289:527-34. http://dx.doi.org/10.1016/S0009-2614(98) 00424-2.
[107] Hippler M, Quack M. CW cavity ring-down infrared absorption spectroscopy in pulsed supersonic jets: Nitrous oxide and methane. Chem Phys Lett 1999;314:273-81. http://dx.doi.org/10.1016/S0009-2614(99)01071-4.
[108] Morino I, Yamada KMT, Maki AG. Terahertz measurements of rotational transitions in vibrationally excited states of
[109] Oshika H, Toba A, Fujitake M, Ohashi N. Newly observed vibrotational bands of
[110] Toth RA. Line positions and strengths of
[111] Weirauch G, Kachanov AA, Campargue A, Bach M, Herman M, Vander Auwera J. Refined investigation of the overtone spectrum of nitrous oxide. J Mol Spectrosc 2000;202:98-106. http://dx.doi.org/10.1006/jmsp.2000.8114.
[112] Toth RA.
[113] Bailly D, Vervloet M.
[114] Campargue A, Weirauch G, Tashkun SA, Perevalov VI, Teffo JL. Overtone spectroscopy of
[115] Daumont L, Vander Auwera J, Teffo JL, Perevalov VI, Tashkun SA. Line intensity measurements in
[116] Bertseva E, Kachanov AA, Campargue A. Intracavity laser absorption spectroscopy of
[117] Daumont L, Claveau C, Debacker-Barilly MR, Hamdouni A, Regalia-Jarlot L, Teffo JL, et al. Line intensities of
[118] Bailly D, Pirali O, Vervloet M.
[119] Ding Y, Perevalov VI, Tashkun SA, Teffo JL, Hu S, Bertseva E, et al. Weak overtone transitions of
[120] Morino I, Yamada KMT. Absorption line profiles of
[121] Parkes AM, Linsley AR, Orr-Ewing AJ. Absorption cross-sections and pressure broadening of rotational lines in the
[122] Rohart F, Colmont JM, Wlodarczak G, Bouanich JP.
[123] Bertseva E, Campargue A, Perevalov VI, Tashkun SA. New observations of weak overtone transitions of
[124] Nemtchinov V, Sun CB, Varanasi P. Measurements of line intensities and line widths in the
[125] Toth RA. Linelist of
[126] Vitcu A, Ciurylo R, Wehr R, Drummond JR, May AD. Broadening, shifting, and line mixing in the
[127] Drouin BJ, Maiwald FW. Extended THz measurements of nitrous oxide,
[128] Herbin H, Picque N, Guelachvili G, Sorokin E, Sorokina IT.
[129] Wang L, Perevalov VI, Tashkun SA, Gao B, Hao LY, Hu SM. Fourier transform spectroscopy of
[130] Daumont L, Vander Auwera J, Teffo J-L, Perevalov VI, Tashkun SA. Line intensity measurements in
[131] Didriche K, Macko P, Herman M, Thievin J, Benidar A, Georges R. Investigation of the shape of the
[132] Horneman V-M. High accurate peak positions for calibration purposes with the lowest fundamental bands
[133] Liu AW, Kassi S, Malara P, Romanini D, Perevalov VI, Tashkun SA, et al. High sensitivity CW-cavity ring down spectroscopy of
[134] Liu AW, Kassi S, Perevalov VI, Tashkun SA, Campargue A. High sensitivity CW-cavity ring down spectroscopy of
[135] Nakayama T, Fukuda H, Sugita A, Hashimoto S, Kawasaki M, Aloisio S, et al. Buffer-gas pressure broadening for the
[136] Liu AW, Kassi S, Perevalov VI, Hu SM, Campargue A. High sensitivity CWcavity ring down spectroscopy of
[137] Sun H, Ding YJ, Zotova IB. Differentiation of three isotopic variants of nitrous oxide based on spectra of rotational transitions. In: 2009 Conference on Lasers and Electro-Optics and Quantum Electronics and Laser Science Conference, VOLS 1-5. CLEO/QELS 2009, OSA; 2009, p. 2913. http://dx.doi.org/10.1364/ CLEO.2009.JTuD80, +.
[138] Wang CY, Liu AW, Perevalov VI, Tashkun SA, Song KF, Hu SM. Highresolution infrared spectroscopy of
[139] Aenchbacher W, Naftaly M, Dudley R. Line strengths and self-broadening of pure rotational lines of nitrous oxide measured by terahertz time-domain spectroscopy. J Opt Soc Amer B 2010;27:1717-21. http://dx.doi.org/10.1364/ JOSAB.27.001717.
[140] Liu AW, Kassi S, Perevalov VI, Tashkun SA, Campargue A. High sensitivity cw-cavity ring down spectroscopy of
[141] Milloud R, Perevalov VI, Tashkun SA, Campargue A. Rotational analysis of
[142] Lu Y, Mondelain D, Liu AW, Perevalov VI, Kassi S, Campargue A. High sensitivity CW-cavity ring down spectroscopy of
[143] Perevalov VI, Tashkun SA, Kochanov RV, Liu AW, Campargue A. Global modeling of the
[144] Karlovets EV, Lu Y, Mondelain D, Kassi S, Campargue A, Tashkun SA, et al. High sensitivity CW-cavity ring down spectroscopy of
[145] Knabe K, Williams PA, Giorgetta FR, Radunsky MB, Armacost CM, Crivello S , et al. Absolute spectroscopy of
[146] Ting W-J, Chang C-H, Chen S-E, Chen H-C, Shy J-T, Drouin BJ, et al. Precision frequency measurement of
[147] Wu Z-W, Dong Y-T, Zhou W-D. Near infrared cavity enhanced absorption spectroscopy study of
[148] Gambetta A, Cassinerio M, Coluccelli N, Fasci E, Castrillo A, Gianfrani L, et al. Direct phase-locking of a
[149] Loos J, Birk M, Wagner G. Pressure broadening, -shift, speed dependence and line mixing in the
[150] Karlovets EV, Campargue A, Kassi S, Perevalov VI, Tashkun SA. High sensitivity cavity ring down spectroscopy of
[151] Tashkun SA, Perevalov VI, Lavrentieva NN. NOSD-1000, the high-temperature nitrous oxide spectroscopic databank. J Quant Spectrosc Radiat Transff 2016;177:43-8. http://dx.doi.org/10.1016/j.jqsrt.2015.11.014.
[152] Tonokura K, Takahashi R. Pressure broadening of the
[153] Werwein V, Brunzendorf J, Serdyukov A, Werhahn O, Ebert V. First measurements of nitrous oxide self-broadening and self-shift coefficients in the 0002-0000 band at
[154] Werwein V, Brunzendorf J, Li G, Serdyukov A, Werhahn O, Ebert V. Highresolution Fourier transform measurements of line strengths in the
[155] Zhao X-Q, Wang J, Liu A-W, Zhou Z-Y, Hu S-M. High precision cavity ring down spectroscopy of
[156] AlSaif B, Lamperti M, Gatti D, Laporta P, Fermann M, Farooq A, et al. High accuracy line positions of the
[157] Lauzin C, Schmutz H, Agner JA, Merkt F. Chirped-pulse millimetre-wave spectrometer for the
[158] Bertin T, Mondelain D, Karlovets E, Kassi S, Perevalov V, Campargue A. High sensitivity cavity ring down spectroscopy of
[159] Liu GL, Wang J, Tan Y, Kang P, Bi Z, Liu AW, et al. Line positions and
[160] Tashkun SA. Global modeling of the
[161] Kim G-R, Lee H-B, Jeon T-I. Terahertz time-domain spectroscopy of lowconcentration
[162] Odintsova TA, Fasci E, Gravina S, Gianfrani L, Castrillo A. Optical feedback laser absorption spectroscopy of
[163] Bailey DM, Zhao G, Fleisher AJ. Precision spectroscopy of
[164] Zhao G, Bailey DM, Fleisher AJ, Hodges JT, Lehmann KK. Doppler-free twophoton cavity ring-down spectroscopy of a nitrous oxide (
[165] Ogden HM, Michael TJ, Murray MJ, Mullin AS. Transient IR (0001-0000) absorption spectroscopy of optically centrifuged
[166] Adkins EM, Long DA, Fleisher AJ, Hodges JT. Near-infrared cavity ringdown spectroscopy measurements of nitrous oxide in the
[167] Hashemi R, Gordon IE, Adkins EM, Hodges JT, Long DA, Birk M, et al. Improvement of the spectroscopic parameters of the air- and self-broadened
[168] Hjalten A, Germann M, Krzempek K, Hudzikowski A, Gluszek A, Tomaszewska D, et al. Optical frequency comb Fourier transform spectroscopy of
[169] Jiang J, McCartt AD. Two-color, intracavity pump-probe, cavity ringdown spectroscopy. J Chem Phys 2021;155:104201. http://dx.doi.org/10.1063/5. 0054792.
[170] Karlovets EV, Kassi S, Tashkun SA, Campargue A. The absorption spectrum of nitrous oxide between 8325 and
[171] Lepère M, Browet O, Clément J, Vispoel B, Allmendinger P, Hayden J, et al. A mid-infrared dual-comb spectrometer in step-sweep mode for high-resolution molecular spectroscopy. J Quant Spectrosc Radiat Transfer 2022;287:108239. http://dx.doi.org/10.1016/j.jqsrt.2022.108239.
[172] Zhao G, Tian J, Hodges JT, Fleisher AJ. Frequency stabilization of a quantum cascade laser by weak resonant feedback from a fabry-perot cavity. Opt Lett 2021;46:3057-60. http://dx.doi.org/10.1364/OL.427083.
[173] Iwakuni K. Absolute frequency measurement of the
[174] Karlovets EV, Tashkun SA, Kassi S, Campargue A. An improved analysis of the
[175] Karlovets EV, Kassi S, Tashkun SA, Campargue A. The absorption spectrum of nitrous oxide between 7647 and
[176] Lucchesini A, Gonzalez-Rivera J. Nitrous oxide spectroscopy at
[177] Huang X, Schwenke DW, Lee TJ. Highly accurate potential energy surface and dipole moment surface for nitrous oxide and 296 K infrared line list for
[178] Karlovets EV, Mondelain D, Tashkun SA, Campargue A. The absorption spectrum of nitrous oxide between 7250 and
[179] Tashkun SA, Campargue A. The NOSL-296 high resolution
[180] Sinitsa LN, Serdyukov VI, Emelyanov NM, Marinina AA, Perevalov VI. LEDbased Fourier transform spectroscopy of
[181] Hargreaves RJ, Gordon IE, Rothman LS, Tashkun SA, Perevalov VI, Lukashevskaya AA, et al. Spectroscopic line parameters of
[182] Gordon IE, Rothman LS, Hargreaves RJ, Hashemi R, Karlovets EV, Skinner FM, et al. The HITRAN2020 molecular spectroscopic database. J Quant Spectrosc Radiat Transf 2022;277:107949. http://dx.doi.org/10.1016/j.jqsrt.2021. 107949.
[183] Suzuki I. General anharmonic force constants of nitrous oxide. J Mol Spectrosc 1969;32:54-73. http://dx.doi.org/10.1016/0022-2852(69)90142-8.
[184] Chedin A, Amiot C, Cihla Z. The potential energy function of the nitrous oxide molecule using pure vibrational data. J Mol Spectrosc 1976;63:348-69. http://dx.doi.org/10.1016/0022-2852(76)90302-7.
[185] Lacy M, Whiffen D. The anharmonic force field of nitrous oxide. Mol Phys 1982;45:241-52. http://dx.doi.org/10.1080/00268978200100191.
[186] Kobayashi M, Suzuki I. Sextic force field of nitrous oxide. J Mol Spectrosc 1987;125:24-42. http://dx.doi.org/10.1016/0022-2852(87)90190-1.
[187] Teffo J-L, Chédin A. Internuclear potential and equilibrium structure of the nitrous oxide molecule from rovibrational data. J Mol Spectrosc 1989;135:389-409. http://dx.doi.org/10.1016/0022-2852(89)90164-1.
[188] Allen WD, Yamaguchi Y, Császár AG, Clabo Jr DA, Remington RB, Schaefer III HF. A systematic study of molecular vibrational anharmonicity and vibration-rotation interaction by self-consistent-field higher derivative methods. Linear polyatomic molecules. Chem Phys 1990;145:427-66. http://dx.doi.org/ 10.1016/0301-0104(90)87051-C.
[189] Császár AG. Anharmonic force field of
[190] Zúñiga J, Bastida A, Requena A. Theoretical calculations of vibrational frequencies and rotational constants of the
[191] Czakó G, Furtenbacher T, Császár AG, Szalay V. Variational vibrational calculations using high-order anharmonic force fields. Mol Phys 2004;102:2411-23. http://dx.doi.org/10.1080/0026897042000274991.
[192] Acharjee M, Choudhury J, Sen R, Mohanta B. The vibrational spectra of carbon dioxide and nitrous oxide: A Lie algebraic study. Can J Phys 2018;96:560-5. http://dx.doi.org/10.1139/cjp-2017-0387.
[193] Császár AG, Furtenbacher T. Spectroscopic networks. J Mol Spectrosc 2011;266:99-103. http://dx.doi.org/10.1016/j.jms.2011.03.031.
[194] Furtenbacher T, Árendás P, Mellau G, Császár AG. Simple molecules as complex systems. Sci Rep 2014;4:4654. http://dx.doi.org/10.1038/srep04654.
[195] Császár AG, Furtenbacher T, Arendas P. Small molecules – Big data. J Phys Chem A 2016;120:8949-69. http://dx.doi.org/10.1021/acs.jpca.6b02293.
[196] Császár AG, Czakó G, Furtenbacher T, Mátyus E. An active database approach to complete rotational-vibrational spectra of small molecules. Annu Rep Comput Chem 2007;3:155-76. http://dx.doi.org/10.1016/S1574-1400(07)03009-5.
[197] Furtenbacher T, Császár AG. MARVEL: measured active rotational-vibrational energy levels. II. Algorithmic improvements. J Quant Spectrosc Radiat Transf 2012;113:929-35. http://dx.doi.org/10.1016/j.jqsrt.2012.01.005.
[198] E.B. Wilson Jr, Decius JC, Cross PC. Molecular vibrations: The theory of infrared and Raman vibrational spectra. New York: McGraw Hill; 1955.
[199] Teffo JL, Perevalov VI, Lyulin OM. Reduced effective Hamiltonian for a global treatment of rovibrational energy levels of nitrous oxide. J Mol Spectrosc 1994;168:390-403. http://dx.doi.org/10.1006/jmsp.1994.1288.
[200] Waalkens H, Jung C, Taylor HS. Semiclassical assignment of the vibrational spectrum of
[201] Mizus II, Zobov NF, Makhnev VY, Ovsyannikov RI, Rogov MA, Tennyson J, Polyansky OL. Approaching experimental accuracy for triatomic spectra using variational calculations: Potential energy and dipole moment surfaces of
[202] Efron B. Bootstrap methods: Another look at the jackknife. Ann Statist 1979;7. http://dx.doi.org/10.1214/aos/1176344552.
[203] Hastie T, Tibshirani R, Friedman J. The elements of statistical learning. 2nd ed.. Springer New York; 2009, http://dx.doi.org/10.1007/978-0-387-84858-7.
[204] Tóbiás R, Furtenbacher T, Tennyson J, Császár AG. Accurate empirical rovibrational energies and transitions of
[205] Watson JKG. Robust weighting in least-square fits. J Mol Spectrosc 2003;219:326-8. http://dx.doi.org/10.1016/S0022-2852(03)00100-0.
[206] Tóbiás R, Furtenbacher T, Simkó I, Császár AG, Diouf ML, Cozijn FMJ, et al. Spectroscopic-network-assisted precision spectroscopy and its application to water. Nature Commun 2020;11:1708. http://dx.doi.org/10.1038/s41467-020-15430-6.
[207] Diouf ML, Tóbiás R, Simkó I, Cozijn FMJ, Salumbides EJ, Ubachs W, et al. Network-based design of near-infrared Lamb-dip experiments and the determination of pure rotational energies of
[208] Castrillo A, Fasci E, Furtenbacher T, D’Agostino V, Khan MA, Gravina S, et al. On the
[209] Brown JM, Hougen JT, Huber KP, Johns JWC, Kopp I, Lefebvre-Brion H, et al. Labeling of parity doublet levels in linear molecules. J Mol Spectrosc 1975;55:500-3. http://dx.doi.org/10.1016/0022-2852(75)90291-X.
[210] Lovas FJ. Microwave spectral tables II. Triatomic molecules. J Phys Chem Ref Data 1978;7:1445-750. http://dx.doi.org/10.1063/1.555588.
- Corresponding author at: Department of Physics and Astronomy, University College London, Gower Street, London WC1E 6BT, UK.
E-mail address: j.tennyson@ucl.ac.uk (J. Tennyson).
