DOI: https://doi.org/10.1038/s41558-023-01903-1
تاريخ النشر: 2024-01-22
نحو وجهة نظر متحيزة بشكل متزايد حول التغيرات في القطب الشمالي
تاريخ القبول: 27 نوفمبر 2023
تاريخ النشر على الإنترنت: 22 يناير 2024
(أ) تحقق من التحديثات
الملخص
تعيق الغزو الروسي لأوكرانيا القدرة على وصف الظروف عبر القطب الشمالي بشكل كافٍ، مما يسبب تحيزًا في الرؤية حول التغير في القطب الشمالي. هنا نقوم بتقييم تمثيل القطب الشمالي الشامل لأكبر شبكة محطات بحثية في المناطق العالية، INTERACT، مع أو بدون المحطات الروسية. إن استبعاد المحطات الروسية يقلل من التمثيل بشكل ملحوظ، حيث إن بعض التحيزات تكون بنفس حجم التحولات المتوقعة الناتجة عن تغير المناخ بحلول نهاية القرن.
المراقبة في مناطق شاسعة ونائية

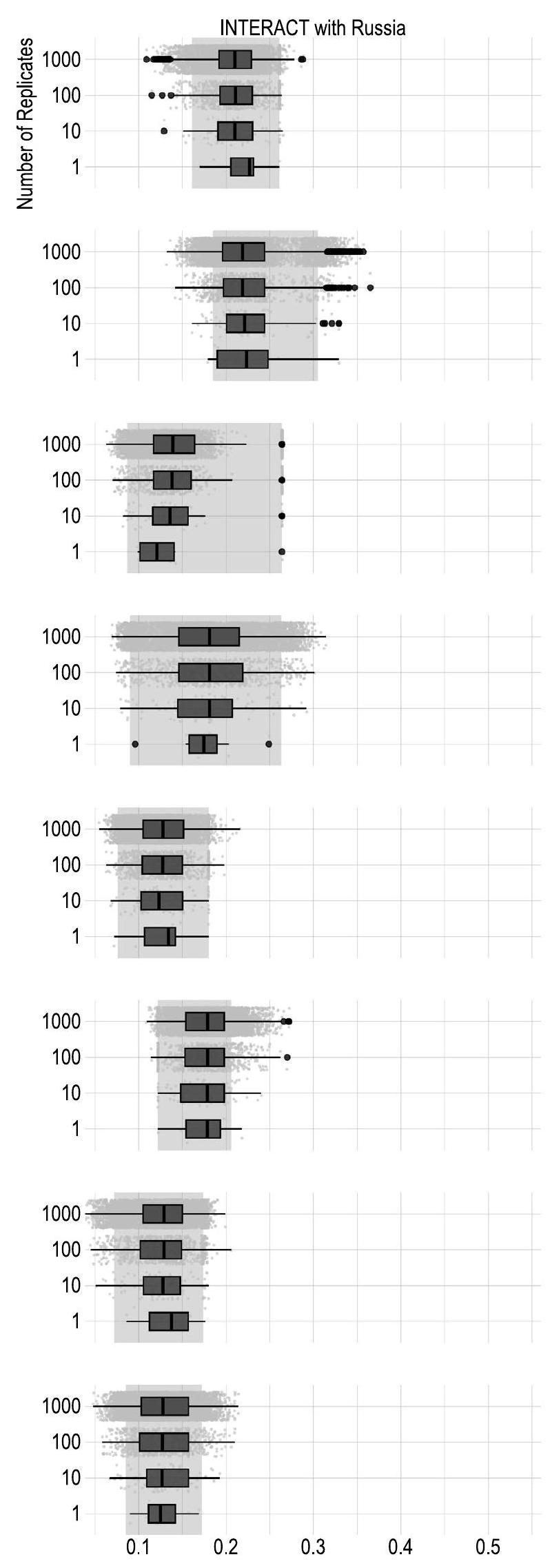
الأشرطة الرمادية الأفقية، مع الألوان الفاتحة والداكنة تمثل الوسيط و


تتميز بتغير المناخ السريع
المحتوى عبر الإنترنت
References
- AMAP Arctic Climate Change Update 2021: Key Trends and Impacts (Arctic Monitoring and Assessment Programme, 2022).
- Box, J. E. et al. Key indicators of Arctic climate change: 1971-2017. Environ. Res. Lett. 14, 045010 (2019).
- Previdi, M., Smith, K. L. & Polvani, L. M. Arctic amplification of climate change: a review of underlying mechanisms. Environ. Res. Lett. 16, 093003 (2021).
- Bintanja, R. et al. Strong future increases in Arctic precipitation variability linked to poleward moisture transport. Sci. Adv. 6, eaax6869 (2020).
- Rantanen, M. et al. The Arctic has warmed nearly four times faster than the globe since 1979. Commun. Earth Environ. 3, 168 (2022).
- Myers-Smith, I. H. et al. Complexity revealed in the greening of the Arctic. Nat. Clim. Change 10, 106-117 (2020).
- Turetsky, M. R. et al. Carbon release through abrupt permafrost thaw. Nat. Geosci. 13, 138-143 (2020).
- Metcalfe, D. B. et al. Patchy field sampling biases understanding of climate change impacts across the Arctic. Nat. Ecol. Evol. 2, 1443-1448 (2018).
- Virkkala, A. M. et al. Identifying multidisciplinary research gaps across Arctic terrestrial gradients. Environ. Res. Lett. 14, 124061 (2019).
- Schmidt, N. M., Christensen, T. R. & Roslin, T. A high arctic experience of uniting research and monitoring. Earths Future 5, 650-654 (2017).
- Loescher, H. W. et al. Building a global ecosystem research infrastructure to address global grand challenges for macrosystem ecology. Earths Future 10, e2020EF001696 (2022).
- Callaghan, T. V., Cazzolla Gatti, R. & Phoenix, G. The need to understand the stability of arctic vegetation during rapid climate change: an assessment of imbalance in the literature. Ambio 51, 1034-1044 (2022).
- O’Neill, B. C. et al. The Scenario Model Intercomparison Project (ScenarioMIP) for CMIP6. Geosci. Model Dev. 9, 3461-3482 (2016).
- IPCC Climate Change 2021: The Physical Science Basis (eds Masson-Delmotte, V. et al.) (Cambridge Univ. Press, 2021).
- Callaghan, T. V. et al. in Scientific Cooperation Throughout the Arctic: The INTERACT Experience, in the New Arctic (eds Evengård, B. et al.) 269-289 (Springer, 2015).
- Pedersen, S. H. et al. Quantifying snow controls on vegetation greenness. Ecosphere 9, e02309 (2018).
- Hantemirov, R. M. et al. Current Siberian heating is unprecedented during the past seven millennia. Nat. Commun. 13, 4968 (2022).
- Biskaborn, B. K. et al. Permafrost is warming at a global scale. Nat. Commun. 10, 264 (2019).
- Frost, G. V. & Epstein, H. E. Tall shrub and tree expansion in Siberian tundra ecotones since the 1960s. Glob. Change Biol. 20, 1264-1277 (2014).
- Lin, X. et al. Siberian and temperate ecosystems shape Northern Hemisphere atmospheric
seasonal amplification. Proc. Natl Acad. Sci. USA 117, 21079-21087 (2020).
© The Author(s) 2024
طرق
محطات البحث في القطب الشمالي
التباين المكاني في متغيرات النظام البيئي
تحليل البيانات
تحذيرات تحليل البيانات
توفر البيانات
توفر الشيفرة
بين مجموعات العينات المختلفة (النطاق القطبي الشامل ومحطات INTERACT، مع أو بدون المحطات الروسية)، واستخراج قيم الربعيات (Q1-Q3) لدوال التوزيع لنفس المجموعات، متاحة في مستودع GitHub علىhttps://github. com/EfrenLB/KST.
References
- Gregory, J. M. et al. A new method for diagnosing radiative forcing and climate sensitivity. Geophys. Res. Lett. 31, LO32O5 (2004).
- WCRP Coupled Model Intercomparison Project (Phase 6) (World Climate Research Programme, 2021); https://esgf-node.llnl.gov/ projects/cmip6/
- WCRP Coupled Model Intercomparison Project (Phase 6) ESGF-DATA.DKRZ. DE node (World Climate Research Programme, 2021); https://esgf-data.dkrz.de/search/cmip6-dkrz/
- Zona, D. et al. Pan-Arctic soil moisture control on tundra carbon sequestration and plant productivity. Glob. Change Biol. 29, 1267-1281 (2022).
- López-Blanco, E. et al. The future of tundra carbon storage in Greenland-sensitivity to climate and plant trait changes. Sci. Total Environ. 846, 157385 (2022).
- Oehri, J. et al. Vegetation type is an important predictor of the Arctic summer land surface energy budget. Nat. Commun. 13, 6379 (2022).
- Hugelius, G. et al. Estimated stocks of circumpolar permafrost carbon with quantified uncertainty ranges and identified data gaps. Biogeosciences 11, 6573-6593 (2014).
- Schuur, E. A. G. et al. Climate change and the permafrost carbon feedback. Nature 520, 171-179 (2015).
- Citterio, M. & Ahlstrøm, A. P. Ice Extent (GEUS Dataverse, 2022).
- Walker, D. A. et al. The Circumpolar Arctic vegetation map. J. Veget. Sci. 16, 267-282 (2005).
- Circumpolar Arctic Vegetation Mapping Project (Alaska Geobotany Center, 2023); https://www.geobotany.uaf.edu/cavm/
- Dinerstein, E. et al. An ecoregion-based approach to protecting half the terrestrial realm. BioScience 67, 534-545 (2017).
- Porter, C. et al. ArcticDEM—Mosaics, Version 4.1 (Polar Geospatial Center, 2023).
- ArcticDEM (Univ. Minnesota, 2023); https://www.pgc.umn.edu/ data/arcticdem/
- Hersbach, H. et al. The ERA5 global reanalysis. Q. J. R. Meteorol. Soc. 146, 1999-2049 (2020).
- Santoro, M. & Cartus, O. ESA Biomass Climate Change Initiative (Biomass_cci): global datasets of forest above-ground biomass for the years 2010, 2017 and 2018, v3. NERC EDS Centre for Environmental Data Analysis https://doi.org/10.5285/5f331c418e9f 4935b8eb1b836f8a91b8 (2021).
- Jung, M. et al. Scaling carbon fluxes from eddy covariance sites to globe: synthesis and evaluation of the FLUXCOM approach. Biogeosciences 17, 1343-1365 (2020).
- López-Blanco, E. et al. Evaluation of terrestrial pan-Arctic carbon cycling using a data-assimilation system. Earth Syst. Dyn. 10, 233-255 (2019).
- van den Hurk, B. et al. LS3MIP (v1.0) contribution to CMIP6: the Land Surface, Snow and Soil moisture Model Intercomparison Project-aims, setup and expected outcome. Geosci. Model Dev. 9, 2809-2832 (2016).
- Jones, C. D. et al. C4MIP-The Coupled Climate-Carbon Cycle Model Intercomparison Project: experimental protocol for CMIP6. Geosci. Model Dev. 9, 2853-2880 (2016).
- Fisher, J. B. et al. Missing pieces to modeling the Arctic-Boreal puzzle. Environ. Res. Lett. 13, 020202 (2018).
- Hou, E. et al. Across-model spread and shrinking in predicting peatland carbon dynamics under global change. Glob. Change Biol. 29, 2759-2775 (2023).
- Fyfe, J. C. et al. Significant impact of forcing uncertainty in a large ensemble of climate model simulations. Proc. Natl Acad. Sci. USA 118, e2016549118 (2021).
- Nishina, K. et al. Decomposing uncertainties in the future terrestrial carbon budget associated with emission scenarios, climate projections, and ecosystem simulations using the ISI-MIP results. Earth Syst. Dyn. 6, 435-445 (2015).
- Im, U. et al. Present and future aerosol impacts on Arctic climate change in the GISS-E2.1 Earth system model. Atmos. Chem. Phys. 21, 10413-10438 (2021).
- McCrystall, M. R. et al. New climate models reveal faster and larger increases in Arctic precipitation than previously projected. Nat. Commun. 12, 6765 (2021).
- Carvalhais, N. et al. Global covariation of carbon turnover times with climate in terrestrial ecosystems. Nature 514, 213-217 (2014).
- Luo, Y., Keenan, T. F. & Smith, M. Predictability of the terrestrial carbon cycle. Glob. Change Biol. 21, 1737-1751 (2015).
- Virkkala, A.-M. et al. Statistical upscaling of ecosystem
fluxes across the terrestrial tundra and boreal domain: regional patterns and uncertainties. Glob. Change Biol. 27, 4040-4059 (2021). - Friedlingstein, P. et al. Global carbon budget 2022. Earth Syst. Sci. Data 14, 4811-4900 (2022).
- ACIA Arctic Climate Impact Assessment (Cambridge Univ. Press, 2005).
- Van Bogaert, R. et al. A century of tree line changes in sub-Arctic Sweden shows local and regional variability and only a minor influence of 20th century climate warming. J. Biogeogr. 38, 907-921 (2011).
- Schmidt, N. M. et al. An ecosystem-wide reproductive failure with more snow in the Arctic. PLoS Biol. 17, e3000392 (2019).
- Rees, W. G. et al. Is subarctic forest advance able to keep pace with climate change? Glob. Change Biol. 26, 3965-3977 (2020).
- Smith, L. C. et al. Disappearing Arctic lakes. Science 308, 1429-1429 (2005).
شكر وتقدير
مساهمات المؤلفين
المصالح المتنافسة
معلومات إضافية
https://doi.org/10.1038/s41558-023-01903-1.
معلومات إضافية النسخة الإلكترونية
يتضمن مواد إضافية متاحة في
https://doi.org/10.1038/s41558-023-01903-1.
يجب توجيه المراسلات والطلبات للحصول على المواد إلى إيفرين لوبيز-بلانكو.
| معرف النموذج | أصل | معرّف المؤسسة | نموذج الغلاف الجوي | نموذج الهباء الجوي | نموذج سطح الأرض والنباتات | الدقة المكانية |
| EC-Earth3-CC | أوروبا | اتحاد EC-Earth | IFS cy36r4 (TL255؛
|
– | HTESSEL (نموذج سطح الأرض المبني في IFS) و LPJ-GUESS v4 |
|
| نورESM2-MM | النرويج | المركز النرويجي للمناخ | كام-أوسلو (1 درجة؛
|
أوسلو أيرو | CLM5 |
|
| ACCESS-ESM1-5 | أستراليا | منظمة الكومنولث للبحوث العلمية والصناعية | HadGAM2 (r1.1; N96; 192х145; 38 250 كم مستويات) | كلاسيك (الإصدار 1.0) | كابل 2.4 |
|
| بي سي سي – سي إس إم 2 – إم آر | الصين | مركز بكين للمناخ | بي سي سي _ أي جي سي إم 3 _ إم آر (تي 106؛
|
– | بي سي سي _ أفي إم 2 |
|
| CanESM5 | كندا | المركز الكندي لنمذجة المناخ والتحليل | CanAM5 (T63L49؛
|
تفاعلي | فئة 3.6/CTEM 1.2 |
|
| CMCC-ESM2 | إيطاليا | المركز الأوروبي المتوسطي لتغير المناخ | CAM5.3 (1 درجة؛
|
– | CLM4.5 (وضع BGC) |
|
| IPSL-CM6A-LR | فرنسا | معهد بيير سيمون لابلاس | LMDZ (N96؛
|
– | أوركيد (الإصدار 2.0، وضع الماء/الكربون/الطاقة) |
|
| MPI-ESM1-2-LR | ألمانيا | معهد ماكس بلانك | إيشام v6.3 (T63؛
|
لا شيء، تم وصف MACv2-SP | JSBACH3.20 |
|
| متغير | تفاعل | تفاعل
|
القطب الشمالي 2020 | |
| الربع الثاني (الوسيطات) | تاس
|
-5.32 | -4.57 | -7.7 |
| علاقات عامة (
|
٥٨٨ | 625 | ٤٩٠ | |
| SD (م) | 0.302 | 0.33 | 0.277 | |
| نسبة SM (%) | 31.6 | 30 | ٣٢.٨ | |
| VB (
|
0.349 | 0.163 | 0.559 | |
|
|
5.76 | ٤.٩٢ | 9.52 | |
| NPP (
|
-48.6 | -20.2 | -46.1 | |
|
|
٤٧.٣ | ٢٠.٦ | ٤٣.٩ | |
| متغير | تفاعل | تفاعل
|
القطب الشمالي 2020 | |
| الربع الأول | تاس (
|
-9.62 | -9.99 | -10.4 |
| علاقات عامة (
|
٤٠٢ | ٤٠٨ | ٣٦٦ | |
| SD (م) | 0.229 | 0.253 | 0.225 | |
| نسبة SM (%) | ٢٤.٣ | ٢٤ | ٢٦.٣ | |
| VB (
|
0.0192 | 0.00005 | 0.0624 | |
|
|
2.04 | 0.22 | 2.87 | |
| NPP (
|
-93.5 | -91 | -87.7 | |
|
|
3.85 | 0.0205 | ٧.٧٧ | |
| متغير | تفاعل | تفاعل
|
القطب الشمالي 2020 | |
| الربع الثالث | تاس
|
-0.532 | -0.0927 | -3.05 |
| علاقات عامة (
|
٧٧٣ | ٨٠٣ | ٦٣٣ | |
| SD (م) | 0.44 | 0.58 | 0.369 | |
| نسبة SM (%) | ٣٤.٤ | ٣٣.١ | ٣٤.٧ | |
| VB (
|
٢.٣٤ | 1.89 | 2.52 | |
|
|
12.5 | 8.54 | 18.4 | |
| NPP (
|
-3.71 | -0.00365 | -4.39 | |
|
|
91.8 | 81.8 | 91.2 | |
| متغير | تفاعل | تفاعل
|
القطب الشمالي 2100 | |
| قيم D | تاس | 0.206 | 0.271 | 0.621 |
| علاقات عامة | 0.214 | 0.294 | 0.31 | |
| SD | 0.13 | 0.23 | 0.363 | |
| سم | 0.177 | 0.236 | 0.121 | |
| VB | 0.123 | 0.21 | 0.206 | |
| SC | 0.183 | 0.294 | 0.0726 | |
| NPP | 0.125 | 0.215 | 0.296 | |
| RH | 0.122 | 0.227 | 0.3 |




الحد الأقصى) عندما تم إعادة أخذ العينات باستخدام دقة ESM الأصلية.
تظهر الرسوم البيانية الصندوقية الوسيط والمدى الربعي (IQR)، مع امتداد الشعيرات العليا والسفلى إلى أكبر قيمة
قسم علوم البيئة، مركز الأبحاث القطبية، جامعة آرهوس، روسكيلد، الدنمارك. قسم البيئة والمعادن، معهد غرينلاند للموارد الطبيعية، نوك، غرينلاند. وحدة أبحاث المياه والطاقة والهندسة البيئية، كلية التكنولوجيا، جامعة أولو، أولو، فنلندا. قسم علوم الأرض وإدارة الموارد الطبيعية، جامعة كوبنهاغن، كوبنهاغن، الدنمارك. قسم علوم البيئة، iClimate، مركز الأبحاث القطبية، جامعة آرهوس، روسكيلد، الدنمارك. معهد البيولوجيا القطبية، جامعة ألاسكا فيربانكس، فيربانكس، ألاسكا، الولايات المتحدة الأمريكية. مدرسة علوم الحياة، جامعة شيفيلد، شيفيلد، المملكة المتحدة. مختبر النظم البيئية وتغير المناخ، جامعة تومسك الحكومية (معلقة)، تومسك، روسيا. البريد الإلكتروني: elb@ecos.au.dk
DOI: https://doi.org/10.1038/s41558-023-01903-1
Publication Date: 2024-01-22
Towards an increasingly biased view on Arctic change
Accepted: 27 November 2023
Published online: 22 January 2024
(A) Check for updates
Abstract
The Russian invasion of Ukraine hampers the ability to adequately describe conditions across the Arctic, thus biasing the view on Arctic change. Here we benchmark the pan-Arctic representativeness of the largest high-latitude research station network, INTERACT, with or without Russian stations. Excluding Russian stations lowers representativeness markedly, with some biases being of the same magnitude as the expected shifts caused by climate change by the end of the century.
monitoring in vast and remote areas

horizontal grey bars, with the lighter and darker colours representing the median and the


characterized by rapid climate change
Online content
References
- AMAP Arctic Climate Change Update 2021: Key Trends and Impacts (Arctic Monitoring and Assessment Programme, 2022).
- Box, J. E. et al. Key indicators of Arctic climate change: 1971-2017. Environ. Res. Lett. 14, 045010 (2019).
- Previdi, M., Smith, K. L. & Polvani, L. M. Arctic amplification of climate change: a review of underlying mechanisms. Environ. Res. Lett. 16, 093003 (2021).
- Bintanja, R. et al. Strong future increases in Arctic precipitation variability linked to poleward moisture transport. Sci. Adv. 6, eaax6869 (2020).
- Rantanen, M. et al. The Arctic has warmed nearly four times faster than the globe since 1979. Commun. Earth Environ. 3, 168 (2022).
- Myers-Smith, I. H. et al. Complexity revealed in the greening of the Arctic. Nat. Clim. Change 10, 106-117 (2020).
- Turetsky, M. R. et al. Carbon release through abrupt permafrost thaw. Nat. Geosci. 13, 138-143 (2020).
- Metcalfe, D. B. et al. Patchy field sampling biases understanding of climate change impacts across the Arctic. Nat. Ecol. Evol. 2, 1443-1448 (2018).
- Virkkala, A. M. et al. Identifying multidisciplinary research gaps across Arctic terrestrial gradients. Environ. Res. Lett. 14, 124061 (2019).
- Schmidt, N. M., Christensen, T. R. & Roslin, T. A high arctic experience of uniting research and monitoring. Earths Future 5, 650-654 (2017).
- Loescher, H. W. et al. Building a global ecosystem research infrastructure to address global grand challenges for macrosystem ecology. Earths Future 10, e2020EF001696 (2022).
- Callaghan, T. V., Cazzolla Gatti, R. & Phoenix, G. The need to understand the stability of arctic vegetation during rapid climate change: an assessment of imbalance in the literature. Ambio 51, 1034-1044 (2022).
- O’Neill, B. C. et al. The Scenario Model Intercomparison Project (ScenarioMIP) for CMIP6. Geosci. Model Dev. 9, 3461-3482 (2016).
- IPCC Climate Change 2021: The Physical Science Basis (eds Masson-Delmotte, V. et al.) (Cambridge Univ. Press, 2021).
- Callaghan, T. V. et al. in Scientific Cooperation Throughout the Arctic: The INTERACT Experience, in the New Arctic (eds Evengård, B. et al.) 269-289 (Springer, 2015).
- Pedersen, S. H. et al. Quantifying snow controls on vegetation greenness. Ecosphere 9, e02309 (2018).
- Hantemirov, R. M. et al. Current Siberian heating is unprecedented during the past seven millennia. Nat. Commun. 13, 4968 (2022).
- Biskaborn, B. K. et al. Permafrost is warming at a global scale. Nat. Commun. 10, 264 (2019).
- Frost, G. V. & Epstein, H. E. Tall shrub and tree expansion in Siberian tundra ecotones since the 1960s. Glob. Change Biol. 20, 1264-1277 (2014).
- Lin, X. et al. Siberian and temperate ecosystems shape Northern Hemisphere atmospheric
seasonal amplification. Proc. Natl Acad. Sci. USA 117, 21079-21087 (2020).
© The Author(s) 2024
Methods
Research stations in the Arctic
Spatial variability in ecosystem variables
Data analysis
Data and analysis caveats
Data availability
Code availability
between various sample populations (the pan-Arctic domain and INTERACT stations, with or without Russian stations), and extract the quartiles (Q1-Q3) values of the distribution flunctions of the same populations, is available in the GitHub repository at https://github. com/EfrenLB/KST.
References
- Gregory, J. M. et al. A new method for diagnosing radiative forcing and climate sensitivity. Geophys. Res. Lett. 31, LO32O5 (2004).
- WCRP Coupled Model Intercomparison Project (Phase 6) (World Climate Research Programme, 2021); https://esgf-node.llnl.gov/ projects/cmip6/
- WCRP Coupled Model Intercomparison Project (Phase 6) ESGF-DATA.DKRZ. DE node (World Climate Research Programme, 2021); https://esgf-data.dkrz.de/search/cmip6-dkrz/
- Zona, D. et al. Pan-Arctic soil moisture control on tundra carbon sequestration and plant productivity. Glob. Change Biol. 29, 1267-1281 (2022).
- López-Blanco, E. et al. The future of tundra carbon storage in Greenland-sensitivity to climate and plant trait changes. Sci. Total Environ. 846, 157385 (2022).
- Oehri, J. et al. Vegetation type is an important predictor of the Arctic summer land surface energy budget. Nat. Commun. 13, 6379 (2022).
- Hugelius, G. et al. Estimated stocks of circumpolar permafrost carbon with quantified uncertainty ranges and identified data gaps. Biogeosciences 11, 6573-6593 (2014).
- Schuur, E. A. G. et al. Climate change and the permafrost carbon feedback. Nature 520, 171-179 (2015).
- Citterio, M. & Ahlstrøm, A. P. Ice Extent (GEUS Dataverse, 2022).
- Walker, D. A. et al. The Circumpolar Arctic vegetation map. J. Veget. Sci. 16, 267-282 (2005).
- Circumpolar Arctic Vegetation Mapping Project (Alaska Geobotany Center, 2023); https://www.geobotany.uaf.edu/cavm/
- Dinerstein, E. et al. An ecoregion-based approach to protecting half the terrestrial realm. BioScience 67, 534-545 (2017).
- Porter, C. et al. ArcticDEM—Mosaics, Version 4.1 (Polar Geospatial Center, 2023).
- ArcticDEM (Univ. Minnesota, 2023); https://www.pgc.umn.edu/ data/arcticdem/
- Hersbach, H. et al. The ERA5 global reanalysis. Q. J. R. Meteorol. Soc. 146, 1999-2049 (2020).
- Santoro, M. & Cartus, O. ESA Biomass Climate Change Initiative (Biomass_cci): global datasets of forest above-ground biomass for the years 2010, 2017 and 2018, v3. NERC EDS Centre for Environmental Data Analysis https://doi.org/10.5285/5f331c418e9f 4935b8eb1b836f8a91b8 (2021).
- Jung, M. et al. Scaling carbon fluxes from eddy covariance sites to globe: synthesis and evaluation of the FLUXCOM approach. Biogeosciences 17, 1343-1365 (2020).
- López-Blanco, E. et al. Evaluation of terrestrial pan-Arctic carbon cycling using a data-assimilation system. Earth Syst. Dyn. 10, 233-255 (2019).
- van den Hurk, B. et al. LS3MIP (v1.0) contribution to CMIP6: the Land Surface, Snow and Soil moisture Model Intercomparison Project-aims, setup and expected outcome. Geosci. Model Dev. 9, 2809-2832 (2016).
- Jones, C. D. et al. C4MIP-The Coupled Climate-Carbon Cycle Model Intercomparison Project: experimental protocol for CMIP6. Geosci. Model Dev. 9, 2853-2880 (2016).
- Fisher, J. B. et al. Missing pieces to modeling the Arctic-Boreal puzzle. Environ. Res. Lett. 13, 020202 (2018).
- Hou, E. et al. Across-model spread and shrinking in predicting peatland carbon dynamics under global change. Glob. Change Biol. 29, 2759-2775 (2023).
- Fyfe, J. C. et al. Significant impact of forcing uncertainty in a large ensemble of climate model simulations. Proc. Natl Acad. Sci. USA 118, e2016549118 (2021).
- Nishina, K. et al. Decomposing uncertainties in the future terrestrial carbon budget associated with emission scenarios, climate projections, and ecosystem simulations using the ISI-MIP results. Earth Syst. Dyn. 6, 435-445 (2015).
- Im, U. et al. Present and future aerosol impacts on Arctic climate change in the GISS-E2.1 Earth system model. Atmos. Chem. Phys. 21, 10413-10438 (2021).
- McCrystall, M. R. et al. New climate models reveal faster and larger increases in Arctic precipitation than previously projected. Nat. Commun. 12, 6765 (2021).
- Carvalhais, N. et al. Global covariation of carbon turnover times with climate in terrestrial ecosystems. Nature 514, 213-217 (2014).
- Luo, Y., Keenan, T. F. & Smith, M. Predictability of the terrestrial carbon cycle. Glob. Change Biol. 21, 1737-1751 (2015).
- Virkkala, A.-M. et al. Statistical upscaling of ecosystem
fluxes across the terrestrial tundra and boreal domain: regional patterns and uncertainties. Glob. Change Biol. 27, 4040-4059 (2021). - Friedlingstein, P. et al. Global carbon budget 2022. Earth Syst. Sci. Data 14, 4811-4900 (2022).
- ACIA Arctic Climate Impact Assessment (Cambridge Univ. Press, 2005).
- Van Bogaert, R. et al. A century of tree line changes in sub-Arctic Sweden shows local and regional variability and only a minor influence of 20th century climate warming. J. Biogeogr. 38, 907-921 (2011).
- Schmidt, N. M. et al. An ecosystem-wide reproductive failure with more snow in the Arctic. PLoS Biol. 17, e3000392 (2019).
- Rees, W. G. et al. Is subarctic forest advance able to keep pace with climate change? Glob. Change Biol. 26, 3965-3977 (2020).
- Smith, L. C. et al. Disappearing Arctic lakes. Science 308, 1429-1429 (2005).
Acknowledgements
Author contributions
Competing interests
Additional information
https://doi.org/10.1038/s41558-023-01903-1.
Supplementary information The online version
contains supplementary material available at
https://doi.org/10.1038/s41558-023-01903-1.
Correspondence and requests for materials should be addressed to Efrén López-Blanco.
| Model ID | Origin | Institution ID | Atmosphere model | Aerosol model | Land surface and and vegetation model | Spatial resolution |
| EC-Earth3-CC | Europe | EC-Earth Consortium | IFS cy36r4 (TL255;
|
– | HTESSEL (land surface scheme built in IFS) and LPJ-GUESS v4 |
|
| NorESM2-MM | Norway | Norwegian Climate Center | CAM-OSLO (1 degree;
|
OsloAero | CLM5 |
|
| ACCESS-ESM1-5 | Australia | The Commonwealth Scientific and Industrial Research Organisation | HadGAM2 (r1.1; N96; 192х145; 38 250 km levels) | CLASSIC (v1.0) | CABLE2.4 |
|
| BCC-CSM2-MR | China | Beijing Climate Center | BCC_AGCM3_MR (T106;
|
– | BCC_AVIM2 |
|
| CanESM5 | Canada | Canadian Centre for Climate Modelling and Analysis | CanAM5 (T63L49;
|
interactive | CLASS3.6/CTEM1.2 |
|
| CMCC-ESM2 | Italy | Euro-Mediterranean Centre on Climate Change | CAM5.3 (1degree;
|
– | CLM4.5 (BGC mode) |
|
| IPSL-CM6A-LR | France | Institute Pierre Simon Laplace | LMDZ (N96;
|
– | ORCHIDEE (v2.0, Water/ Carbon/Energy mode) |
|
| MPI-ESM1-2-LR | Germany | Max Planck Institute | ECHAM v6.3 (T63;
|
none, prescribed MACv2-SP | JSBACH3.20 |
|
| Variable | INTERACT | INTERACT
|
Arctic 2020 | |
| Q2 (Medians) | TAS (
|
-5.32 | -4.57 | -7.7 |
| PR (
|
588 | 625 | 490 | |
| SD (m) | 0.302 | 0.33 | 0.277 | |
| SM (%) | 31.6 | 30 | 32.8 | |
| VB (
|
0.349 | 0.163 | 0.559 | |
|
|
5.76 | 4.92 | 9.52 | |
| NPP (
|
-48.6 | -20.2 | -46.1 | |
|
|
47.3 | 20.6 | 43.9 | |
| Variable | INTERACT | INTERACT
|
Arctic 2020 | |
| Q1 | TAS (
|
-9.62 | -9.99 | -10.4 |
| PR (
|
402 | 408 | 366 | |
| SD (m) | 0.229 | 0.253 | 0.225 | |
| SM (%) | 24.3 | 24 | 26.3 | |
| VB (
|
0.0192 | 0.00005 | 0.0624 | |
|
|
2.04 | 0.22 | 2.87 | |
| NPP (
|
-93.5 | -91 | -87.7 | |
|
|
3.85 | 0.0205 | 7.77 | |
| Variable | INTERACT | INTERACT
|
Arctic 2020 | |
| Q3 | TAS (
|
-0.532 | -0.0927 | -3.05 |
| PR (
|
773 | 803 | 633 | |
| SD (m) | 0.44 | 0.58 | 0.369 | |
| SM (%) | 34.4 | 33.1 | 34.7 | |
| VB (
|
2.34 | 1.89 | 2.52 | |
|
|
12.5 | 8.54 | 18.4 | |
| NPP (
|
-3.71 | -0.00365 | -4.39 | |
|
|
91.8 | 81.8 | 91.2 | |
| Variable | INTERACT | INTERACT
|
Arctic 2100 | |
| D-values | TAS | 0.206 | 0.271 | 0.621 |
| PR | 0.214 | 0.294 | 0.31 | |
| SD | 0.13 | 0.23 | 0.363 | |
| SM | 0.177 | 0.236 | 0.121 | |
| VB | 0.123 | 0.21 | 0.206 | |
| SC | 0.183 | 0.294 | 0.0726 | |
| NPP | 0.125 | 0.215 | 0.296 | |
| RH | 0.122 | 0.227 | 0.3 |




maximum) when resampling was performed using the native ESM resolution.
The box plots show the median and interquartile range (IQR), with the upper and lower whiskers extending to the largest value
Department of Ecoscience, Arctic Research Center, Aarhus University, Roskilde, Denmark. Department of Environment and Minerals, Greenland Institute of Natural Resources, Nuuk, Greenland. Water, Energy and Environmental Engineering Research Unit, Faculty of Technology, Oulu University, Oulu, Finland. Department of Geosciences and Natural Resource Management, University of Copenhagen, Copenhagen, Denmark. Department of Environmental Science, iClimate, Arctic Research Center, Aarhus University, Roskilde, Denmark. Institute of Arctic Biology, University of Alaska Fairbanks, Fairbanks, AK, USA. School of Biosciences, University of Sheffield, Sheffield, UK. Laboratory of Ecosystems and Climate Change, Tomsk State University (on hold), Tomsk, Russia. e-mail: elb@ecos.au.dk
