DOI: https://doi.org/10.3847/1538-4357/ad18c2
تاريخ النشر: 2024-02-29
المؤلف: Sagnick Mukherjee وآخرون
الموضوع الرئيسي: الأوزون الجوي والمناخ
نظرة عامة
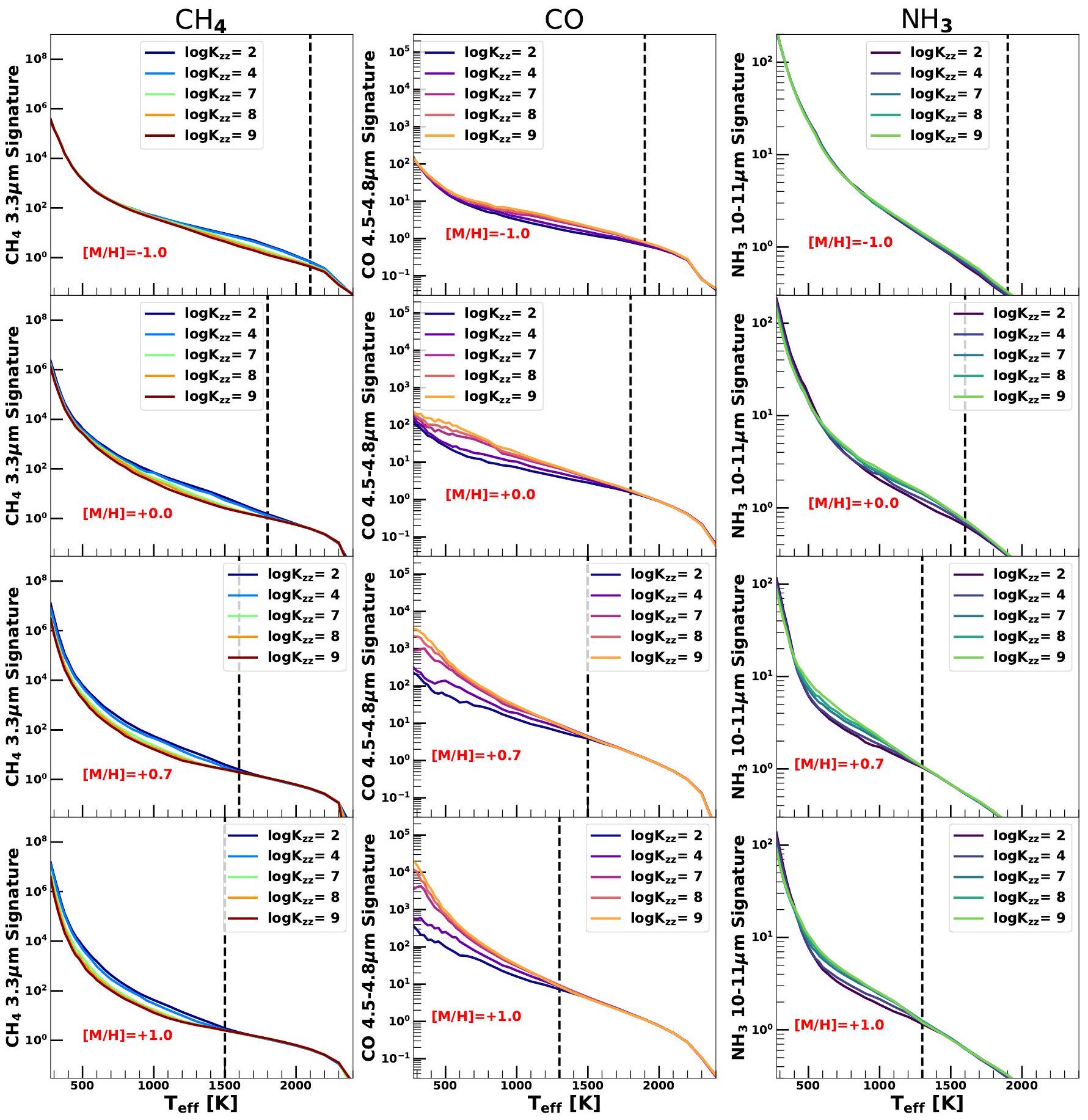
تقدم البحث شبكة بومة سونورا، وهي مجموعة شاملة من النماذج الجوية الذاتية المتسقة والخالية من السحب، مصممة لتحليل كيمياء عدم التوازن في الأقزام البنية والكواكب الخارجية العملاقة. تأخذ هذه الشبكة في الاعتبار مجموعة واسعة من المعلمات، بما في ذلك معامل الخلط العمودي ($K_{zz}$)، والمواد المعدنية، ونسب الكربون إلى الأكسجين (C/O)، عبر درجات حرارة فعالة ($T_{eff}$) تتراوح من 275 إلى 2400 كلفن وجاذبية سطحية ($\log(g)$) تتراوح من 3.25 إلى 5.5. يبرز الدراسة أن تأثير $K_{zz}$ على ملفات درجة الحرارة والضغط والطيف يتأثر بشكل كبير بكل من $T_{eff}$ والمواد المعدنية، حيث تظهر الأجواء الفقيرة بالمعادن حساسية أكبر للتغيرات في $K_{zz}$ عند درجات حرارة فعالة أعلى مقارنة بالأجواء الغنية بالمعادن.
تشير النتائج الرئيسية إلى أن $K_{zz}$ يؤدي إلى تبريد ملفات درجة الحرارة مقارنة بنماذج التوازن الحراري الكيميائي، مع كون هذا التبريد أكثر وضوحًا في الأجواء ذات المواد المعدنية المتغيرة ونسب C/O. تحدد البحث التداخلات الطيفية، خصوصًا في نطاق 3-5 ميكرومتر، مما يعقد تفسير البيانات الرصدية. يكشف تحليل عينة من الأجسام من النوع T عن قيم منخفضة مستنتجة لـ $K_{zz}$ (تتراوح من $10^1$ إلى $10^4 \, \text{cm}^2 \, \text{s}^{-1}$)، والتي تعزى إلى الخلط العمودي غير الفعال في المناطق الإشعاعية العميقة لهذه الأجواء. تؤكد النتائج على التفاعل المعقد بين $K_{zz}$ والمواد المعدنية ونسب C/O في تشكيل كيمياء الغلاف الجوي، مع تداعيات على نماذج التطور المستقبلية للأقزام البنية والكواكب الخارجية، خاصة مع توفر بيانات عالية الدقة من JWST. تهدف الأعمال المستقبلية إلى توسيع هذه النماذج لتشمل تشكيل السحب واستكشاف المزيد من آثار كيمياء عدم التوازن عبر ظروف جوية مختلفة.
نقاش
في هذا القسم، يناقش المؤلفون التقدم الذي تم إحرازه في نموذج الغلاف الجوي PICASO 3.0، خصوصًا في سياق شبكة نموذج بومة سونورا، المصممة لتحليل أجواء الكواكب الخارجية والأقزام البنية. يتضمن النموذج شبكة خماسية الأبعاد تتغير فيها المعلمات مثل درجة الحرارة الفعالة ($T_{eff}$)، والجاذبية السطحية ($\log(g)$)، ومعامل الخلط العمودي ($K_{zz}$)، والمواد المعدنية ([M/H])، ونسب الكربون إلى الأكسجين (C/O). يتم حساب هيكل الغلاف الجوي عبر 90 طبقة ضغط، مع مراعاة دقيقة للضغط الأقصى لضمان الشفافية عند جميع الأطوال الموجية. يستخدم المؤلفون تقريب زمن التبريد لنمذجة تأثير $K_{zz}$ على كيمياء الغلاف الجوي، مما يسمح بتحليل الغازات المختلفة بما في ذلك CH$_4$، CO، وH$_2$O، وحركيات تفاعلاتها.
يسلط النقاش الضوء على أهمية نماذج بومة سونورا في توسيع النسخ السابقة من خلال تضمين مجموعة أوسع من المواد المعدنية ونسب C/O، مما يعزز قابليتها للتطبيق على الأجسام السماوية المتنوعة. تشير النتائج إلى أن التغيرات في $K_{zz}$ يمكن أن تؤدي إلى تغييرات كبيرة في وفرة الغازات الرئيسية في الغلاف الضوئي، مما يؤثر بدوره على ملفات درجة الحرارة والضغط ($T(P)$) للأجواء. يوضح المؤلفون أن قيم $K_{zz}$ الأعلى يمكن أن تؤدي إلى ملفات جوية أكثر برودة، خصوصًا في البيئات الغنية بالمعادن، حيث يؤثر تبريد الغازات مثل CH$_4$ وCO على الخصائص الإشعاعية للغلاف الجوي. بشكل عام، تؤكد الدراسة على التفاعل المعقد بين كيمياء الغلاف الجوي، وعمليات الخلط، والبنية الحرارية، مما يوفر إطارًا شاملاً للتحقيقات المستقبلية في أجواء الكواكب الخارجية.
DOI: https://doi.org/10.3847/1538-4357/ad18c2
Publication Date: 2024-02-29
Author(s): Sagnick Mukherjee et al.
Primary Topic: Atmospheric Ozone and Climate
Overview
The research presents the Sonora Elf Owl grid, a comprehensive set of self-consistent, cloud-free atmospheric models designed to analyze disequilibrium chemistry in brown dwarfs and giant exoplanets. This grid accounts for a wide range of parameters, including the vertical mixing coefficient ($K_{zz}$), metallicity, and carbon-to-oxygen (C/O) ratios, across effective temperatures ($T_{eff}$) from 275 to 2400 K and surface gravity ($\log(g)$) from 3.25 to 5.5. The study highlights that the impact of $K_{zz}$ on temperature-pressure profiles and spectra is significantly influenced by both $T_{eff}$ and metallicity, with metal-poor atmospheres exhibiting greater sensitivity to changes in $K_{zz}$ at higher $T_{eff}$ compared to metal-rich atmospheres.
Key findings indicate that $K_{zz}$ leads to cooling of the temperature profiles relative to thermochemical equilibrium models, with this cooling being more pronounced in atmospheres with varying metallicity and C/O ratios. The research identifies spectral degeneracies, particularly in the 3-5 µm range, complicating the interpretation of observational data. The analysis of a sample of T-type objects reveals low inferred $K_{zz}$ values (ranging from $10^1$ to $10^4 \, \text{cm}^2 \, \text{s}^{-1}$), attributed to inefficient vertical mixing in the deep radiative zones of these atmospheres. The findings underscore the intricate interplay between $K_{zz}$, metallicity, and C/O ratios in shaping atmospheric chemistry, with implications for future evolutionary models of brown dwarfs and exoplanets, particularly as high-resolution data from JWST becomes available. Future work aims to extend these models to include cloud formation and further explore the effects of disequilibrium chemistry across different atmospheric conditions.
Discussion
In this section, the authors discuss the advancements made in the PICASO 3.0 atmospheric model, particularly in the context of the Sonora Elf Owl model grid, which is designed to analyze the atmospheres of exoplanets and brown dwarfs. The model incorporates a five-dimensional grid that varies parameters such as effective temperature ($T_{eff}$), surface gravity ($\log(g)$), vertical mixing coefficient ($K_{zz}$), metallicity ([M/H]), and carbon-to-oxygen (C/O) ratios. The atmospheric structure is computed across 90 pressure layers, with careful consideration of maximum pressure to ensure opacity at all wavelengths. The authors employ a quench time approximation to model the impact of $K_{zz}$ on atmospheric chemistry, allowing for the analysis of various gases including CH$_4$, CO, and H$_2$O, and their reaction kinetics.
The discussion highlights the significance of the Sonora Elf Owl models in extending previous iterations by including a broader range of metallicities and C/O ratios, thus enhancing their applicability to diverse celestial objects. The findings indicate that variations in $K_{zz}$ can lead to substantial changes in the photospheric abundances of key gases, which in turn affect the temperature-pressure ($T(P)$) profiles of the atmospheres. The authors illustrate that higher $K_{zz}$ values can result in cooler atmospheric profiles, particularly in metal-enriched environments, where the quenching of gases like CH$_4$ and CO alters the radiative properties of the atmosphere. Overall, the study underscores the complex interplay between atmospheric chemistry, mixing processes, and thermal structure, providing a comprehensive framework for future investigations into exoplanetary atmospheres.
