-
تحليل موسع للطاقة المظلمة باستخدام قياسات BAO من DESI DR2 Extended dark energy analysis using DESI DR2 BAO measurements

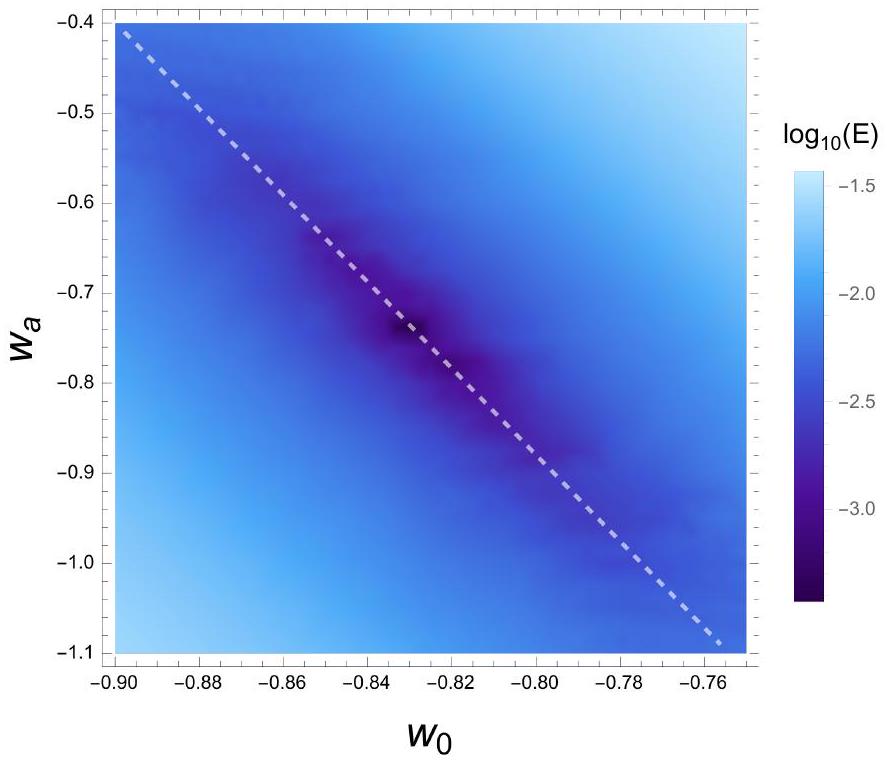
نجري تحليلًا موسعًا لقيود الطاقة المظلمة، دعمًا للنتائج الواردة في الورقة الرئيسية لعلم الكونيات من DESI DR2، بما في ذلك بيانات DESI، وملاحظات CMB من بلانك، وثلاث تجميعات مختلفة للسوبرنوفا. باستخدام مجموعة واسعة من الطرق البارامترية وغير البارامترية، نستكشف ظواهر الطاقة المظلمة ونجد اتجاهات متسقة عبر جميع الأساليب، بما يتماشى مع نتائج الورقة الرئيسية لـ…
-
DPM-Solver++: حل سريع لأخذ عينات موجهة من نماذج الانتشار الاحتمالية DPM-Solver++: Fast Solver for Guided Sampling of Diffusion Probabilistic Models

حققت نماذج الانتشار الاحتمالية (DPMs) نجاحًا ملحوظًا في توليد الصور عالية الدقة، خاصة في التطبيقات الحديثة لتوليد النص إلى صورة على نطاق واسع. تقنية أساسية لتحسين جودة العينة من DPMs هي أخذ العينات الموجهة، والتي تحتاج عادةً إلى نطاق توجيه كبير للحصول على أفضل جودة عينة. العينة السريعة المستخدمة عادةً لأخذ العينات الموجهة هي نماذج…
-
المغناطيسية الفيريمغناطيسية المعوضة بالكامل ثنائية الأبعاد Two-Dimensional Fully Compensated Ferrimagnetism

لقد كانت الإلكترونيات المغناطيسية المضادة لفترة طويلة موضوعًا لاهتمام بحثي مكثف، وقد أشعلت المقدمة الأخيرة للـ “ألتيرمغناطيسية” الحماس في هذا المجال. ومع ذلك، لم تحظَ الفيريمغناطيسية المعوضة بالكامل، التي تظهر انقسامًا في دوران الشريط ولكنها تتمتع بمغناطيسية صافية صفرية، بالاهتمام الكافي بعد. منذ التحضير التجريبي للمواد المغناطيسية ثنائية الأبعاد (2D) من نوع فان دير واهل…
-
الماغنون غير التقليدي في المغناطيسات المتوازية التي تحددها مجموعات الفضاء الدورانية Unconventional magnons in collinear magnets dictated by spin space groups

توفر الأنظمة المغنونية ملعبًا خصبًا للطوبولوجيا البوزونية على سبيل المثال، ديراك وويل الماغنونات، مما يؤدي إلى مجموعة متنوعة من الظواهر الغريبة مثل أوضاع الحدود المحمية طوبولوجيًا الخالية من الشحن أثر هول الحراري للماغنون وتأثير نيرنست لسبين الماجنون . ومع ذلك، تم عرقلة فهمهم بسبب غياب أوصاف التناظر الأساسية للهندسات المغناطيسية وهاميلتونيونات الدوران التي تحكمها بشكل…
-
تفسير التعقيد لتكوين السوائل ذات التناظر الكروي في سياق نظرية الجاذبية المعدلة Interpretation of complexity for spherically symmetric fluid composition within the context of modified gravity theory
بغض النظر عن الأوصاف الكافية للتعقيد في نظريات الجاذبية البديلة المختلفة، فإن توضيحها في إطار تظل النظرية غير مؤكدة. إن الانقسام العمودي لموتر الانحناء ينتج عامل التعقيد كما اقترح هيريرا [1]. لبدء دراستنا، يُفترض أن تكون الزمكان الداخلي تركيبًا ثابتًا متساوي الكروية يتكون من سائل غير متجانس. في هذا السياق، نستنتج معادلات المجال المعدلة للنظرية…
-
تسلسل تبخيري من محلول ملحي قديم مسجل في عينات بينو An evaporite sequence from ancient brine recorded in Bennu samples

مقدم من المؤلفين ومختبر لوس ألاموس الوطني (1930-01-01).سيتم نشره في: نيتشرمعرف الوثيقة الرقمي للإصدار الناشر: 10.1038/s41586-024-08495-6رابط دائم للسجل: https://permalink.lanl.gov/object/view?what=info:lanl-repo/lareport/LA-UR-24-31500
-
مراقبة تأثير ميبمبا الكمي القوي Observation of quantum strong Mpemba effect

-
تقييم مستقل عن النموذج للطاقة المظلمة بعد بيانات DESI DR1 BAO Model-agnostic assessment of dark energy after DESI DR1 BAO

قياسات تذبذبات الباريونات الصوتية بواسطة أداة الطيف الضوئي للطاقة المظلمة (إصدار البيانات 1) قد كشفت عن نتائج مثيرة تظهر أدلة على الطاقة المظلمة الديناميكية عند عند دمجها مع خلفية الميكروويف الكونية وملاحظات المستعرات الأعظمية من النوع Ia. تستند هذه القياسات إلى نموذج CDM للطاقة المظلمة. الأدلة أقل في نماذج الطاقة المظلمة الأخرى مثل نموذج CDM.…
-
نيوفيت-6.0: تحليل عالمي محدث لتذبذبات النيوترينوات ذات النكهات الثلاثة NuFit-6.0: updated global analysis of three-flavor neutrino oscillations

نقدم تحليلًا عالميًا محدثًا لبيانات تذبذب النيوترينو اعتبارًا من سبتمبر 2024. المعلمات ، و محددة بدقة نسبية عند حوالي ، و زاوية الخلط الثالثة لا يزال يعاني من غموض الثُمن، دون أي إشارة واضحة إلى ما إذا كان أكبر أو أصغر من تحديد طور CP اللبتون يعتمد على ترتيب كتلة النيوترينو: بالنسبة للترتيب الطبيعي، فإن…

