المجلة: Scientific Reports، المجلد: 14، العدد: 1
DOI: https://doi.org/10.1038/s41598-024-68316-8
PMID: https://pubmed.ncbi.nlm.nih.gov/39075155
تاريخ النشر: 2024-07-29
DOI: https://doi.org/10.1038/s41598-024-68316-8
PMID: https://pubmed.ncbi.nlm.nih.gov/39075155
تاريخ النشر: 2024-07-29
تقارير علمية
Fe3O4@SiO2@NTMPThio-Cu: نهج مستدام وصديق للبيئة لتخليق مشتقات الهتروسكل باستخدام محفز نانوي جديد من قالب دندريمر
الكلمات الرئيسية: الكيمياء الخضراء، الجسيمات النانوية المغناطيسية، الدندريمر، سبيروكسيندول-بيران، زانثين
لقد زاد التركيز على الكيمياء المتقدمة والصديقة للبيئة في التخليق العضوي العصري بشكل كبير في السنوات القليلة الماضية، مثل عدم استخدام المواد الكيميائية والمذيبات الخطرة أو الضارة، واستخدام المحفزات القابلة لإعادة التدوير والرخيصة، وتجنب ظروف التفاعل غير المناسبة. على مر السنين، كان هناك اهتمام متزايد باستخدام المواد الكيميائية أو المذيبات الصديقة للبيئة، واقتصاد الذرات المقبول، وتحسين ظروف التخليق العضوي لتقليل استهلاك الطاقة. .
لقد زاد التركيز على الكيمياء المتقدمة والصديقة للبيئة في التخليق العضوي العصري بشكل كبير في السنوات القليلة الماضية، مثل عدم استخدام المواد الكيميائية والمذيبات الخطرة أو الضارة، واستخدام المحفزات القابلة لإعادة التدوير والرخيصة، وتجنب ظروف التفاعل غير المناسبة. على مر السنين، كان هناك اهتمام متزايد باستخدام المواد الكيميائية أو المذيبات الصديقة للبيئة، واقتصاد الذرات المقبول، وتحسين ظروف التخليق العضوي لتقليل استهلاك الطاقة.
اليوم، واحدة من أكبر التحديات في صناعة التطورات العضوية هي إيجاد طرق لاستخدام تقنيات كيميائية نظيفة ومستدامة لإنتاج مواد كيميائية مفيدة. من بين الأساليب لتحقيق هذا الهدف المهم هو استخدام المحفزات المستقرة التي تعمل في الكيمياء الخضراء. تشير تحقيقات الباحثين إلى أن استخدام المحفزات غير المتجانسة في العمليات الصناعية الكيميائية قد اكتسب مكانة خاصة. هذه المحفزات صديقة للبيئة وتساعد في إنتاج وقود مستدام والعديد من المواد الكيميائية الأساسية.
.
تعتبر تقنية النانو واحدة من أهم أجزاء المجالات العلمية الحديثة. تتيح علوم النانو للعلماء في مجالات مختلفة مثل الطب والهندسة والكيمياء تحقيق تقدم كبير يتماشى مع أهدافهم على المستويات الجزيئية والخلوية. في السنوات الأخيرة، وبفضل حجمها الفريد ومساحتها السطحية العالية، وجدت الجسيمات النانوية المغناطيسية تطبيقات خاصة في الصناعة والعلوم البيولوجية، مثل العلاج الجيني، وتوصيل الأدوية، وتخزين المعلومات، وأجهزة الاستشعار، وغيرها.
.
تم اعتبار الجسيمات النانوية المغناطيسية بسبب ميزاتها الخاصة مثل السمية المنخفضة، التوافق مع البيئة، رخص تكلفة السطح الذي يمكن تغييره مع مجموعات مختلفة، وسهولة الإزالة المغناطيسية.
يمكن ذكر التصوير بالرنين المغناطيسي، والعلاج الجيني، وأجهزة الاستشعار الحيوية، وعلاج السرطان من بين تطبيقات الجسيمات النانوية المغناطيسية. ومع ذلك، فإن التواجد في بيئة حمضية والهواء (الأكسدة) يسبب تغييرًا في الخصائص المغناطيسية، مما يؤدي إلى تقليل قدرة الامتصاص ونطاق تطبيقها.
تثبيت الجسيمات النانوية المغناطيسية بمساعدة الأصداف المغناطيسية، التي تتمتع بمزايا النواة ومجموعة واسعة من الأصداف، هو حل مناسب للتغلب على هذه القيود، وقد جذب الكثير من
الاهتمام في الدراسات
السيليكا هي واحدة من أفضل المواد الكيميائية لأنها تحتوي على مجموعات هيدروكسيل وظيفية على سطحها، والتي يمكن أن تتصل بروابط مختلفة. بالإضافة إلى ذلك، فإن هذا التركيب يتمتع بتوافق عالٍ واستقرار جيد.
.
لقد اكتسبت الدندريمر، وهي نوع من البوليمرات المتفرعة المكونة من وحدات متكررة تمتد للخارج من نواة مركزية، شعبية كبيرة. وقد حظيت باهتمام كبير بسبب تناظرها الهندسي العالي القابل للتحكم، ووزنها الجزيئي، وبنيتها الجزيئية المحددة جيدًا. بالإضافة إلى قابليتها للذوبان في الماء، وتعدد القيم، واحتجاز جزيئات الأدوية المحبة للماء، تم الإشارة إلى الدندريمر كنظم توصيل الأدوية البوليمرية.
.
ثيوسيماكاربازيد هو مكون هيكلي مفيد له القدرة على أداء وظائف كيميائية في الجزيئات النشطة بيولوجيًا، ويمكن أن تؤدي المزيد من الدراسات حول هذه البنية إلى اكتشاف أساس لنوع جديد من العوامل العلاجية. تظهر الأبحاث أن مشتقاتها لها أنشطة مضادة للبكتيريا، ومضادة للأورام، ومضادة للفطريات، ومضادة للتشنجات. من ناحية أخرى، تعتبر أيضًا مضادات أكسدة جيدة (الشكل 1). إنها مجموعة خاصة من المركبات العضوية المعروفة ليس فقط بتنوع أنشطتها البيولوجية ولكن أيضًا كعامل خالب للمعادن ومضاد للتآكل.
.
الزانثينات هي مركبات حلقية غير متجانسة. تحتوي هذه المجموعة من المركبات العضوية على مجموعة واسعة من الخصائص البيولوجية والطبية، بما في ذلك مضادات السرطان، والعلاج الضوئي الديناميكي، والمضادات البكتيرية، والمضادات الفيروسية، ومضادات الالتهاب.
. نوع آخر من المركبات الحلقية غير المتجانسة التي تتمتع بخصائص بيولوجية وطبية متفوقة هو سبيروكسيندول-بيران. من بين هذه الخصائص: مضاد للبكتيريا، مضاد للميكروبات، مضاد للسرطان، مضاد للأورام، مضاد للحساسية، مضاد للميكروبات، ومضاد لفيروس نقص المناعة البشرية.
(الشكل 2).
استنادًا إلى أبحاثنا السابقة حول تخليق المحفزات وتطبيقاتها
في هذا السياق، قمنا بتطوير استراتيجية جديدة لتخليق محفز مُشكل على شكل دندريمير قابل لإعادة التدوير يحتوي على ثيوسيماكاربازيد منسق مع معدن النحاس الرخيص. ثم، لإظهار قدرته، استخدمنا المحفز المذكور أعلاه في تخليق مشتقات الزانثين وسبيروكسيندول-بيران.
تجريبي
تم شراء جميع المواد الكيميائية من ميرك وسيغما ألدريش واستخدمت دون تنقية. تم الحصول على أنماط حيود الأشعة السينية (XRD) باستخدام جهاز فيليبس PW-1830. تم استخدام جهاز Electro thermal 9100 لتحديد نقاط الانصهار. تم تسجيل منحنيات التحليل المغناطيسي باستخدام نموذج VSM MDKB من شركة دانش پاجوهان كافير، كاشان، إيران. تم الكشف عن طيف FT-IR باستخدام مطياف الأشعة تحت الحمراء شيمادزو IR-470.
و
تم تسجيل أطياف المنتجات باستخدام مطياف Bruker DRX 400 -Avance. تم الحصول على صور TEM بواسطة جهاز TEM Philips EM-208S. تم تسجيل صور SEM عبر جهاز SEM VEGA3. تم إجراء تحليل EDS باستخدام MAP وLINE SCAN. تم تسجيل التحليل الحراري الوزني (TGA) باستخدام TGA STA6000.
تحضير
الخطوات الاصطناعية لـ
تم اتباعها وفقًا للأدبيات المبلغ عنها سابقًا
من APTES تم إضافته إلى 1 جرام من
الذي تعرض لموجات فوق صوتية في 30 مل من التولوين الجاف. تم قضاء 24 ساعة في تحريك الخليط تحت ظروف إعادة التدفق. أخيرًا، تم جمعه باستخدام مجال مغناطيسي خارجي، وغسله بالتولوين وتجفيفه.

الشكل 1. بعض هياكل الثيوسيماكاربازيد لها خصائص بيولوجية.

الشكل 2. المركبات النشطة بيولوجيًا ذات هياكل الزانثين والسبيروكسيندول.
تحضير
تم تعريض 1 جرام من الجسيمات النانوية من الخطوة السابقة لموجات فوق صوتية في THF جاف (40 مل). في الخطوة التالية، تم إضافة كلوريد السيانوريك (TCT) (0.5 جرام) و
تمت إضافتها إليه وتحريكها لمدة 6 ساعات عند درجة حرارة
تحت غاز النيتروجين. أخيرًا، تم فصل الجسيمات النانوية بمساعدة المجال المغناطيسي وغُسلت عدة مرات باستخدام THF.
تحضير
@
@
-TCT-ميل
1 جرام من
تم توزيع جزيئات النانو-TCT في 40 مل من THF الجاف. ثم، 8 مليمول من الميلاتونين و1 مل من
تم إذابتهما بشكل منفصل في THF جاف وأضيفا ببطء إلى وعاء التفاعل الذي يحتوي على الجسيمات النانوية. تم تحريك المحلول ميكانيكياً عند
لمدة 5 ساعات و 8 ساعات في درجة حرارة الغرفة تحت جو من النيتروجين.
-تم فصل TCT-Mel باستخدام المغناطيس، وغسله بـ THF، ثم تجفيفه.
تحضير
1 جرام من
تم dispersing جزيئات -TCT-Mel في 30 مل من التولوين الجاف. ثم تم إضافة 6 مل من 1,3-dibromopropane و0.1 جرام من يوديد الصوديوم في جو من النيتروجين وتمت عملية الغليان لمدة 30 ساعة. بعد انتهاء التفاعل، تم فصلها باستخدام مغناطيس، وغسلها بأسيتات الإيثيل، ثم تجفيفها.
تحضير
ثيوسيماكاربازيد-نحاس
NTMPThio-Cu)
الإجراء العام لتخليق الزانثينات
خليط من الديميدون (2 مليمول) و/أو
-نافثول (2 مليمول)، ألدهيد عطري (1 مليمول)، و
@
في ظروف خالية من المذيبات وتم تحريكه لمدة 10 دقائق عند
. بعد اكتمال التفاعل (تابع بمساعدة من TLC)،
تم إضافة إلى وسط التفاعل، وتم جمع المحفز بواسطة المجال المغناطيسي. تم إعادة تبلور المنتج الصلب من الإيثانول (المخطط 2).
الإجراء العام لتخليق مشتقات سبيروكسيندول-بيران (10a-t)
1 مليمول من الإيزاتين، 1 مليمول من المالونونيتريل، 1 مليمول من مركبات الديكربونيل 1,3، و
@SiO
تم تحريك NTMPThio- Cu عند
تحت ظروف خالية من المذيبات. بعد الانتهاء من التفاعل (الذي تم مراقبته بواسطة TLC)، تم إضافة الإيثانول إلى المزيج. بعد فصل المحفز، تم تنقية المنتجات في الإيثانول (المخطط 3).

المخطط 1. تحضير
محفز
بيانات طيفية للمنتجات المختارة
مركب
و
،
162.5، 196.3.
مركب
و
(س، 1 هـ )
130.1، 147.4، 151.5، 163.0، 196.2.
المركب (5أ)
، 129.1، 129.5، 131.1، 131.3، 132.1، 143.5، 148.7.
المركب (5ج)
:
،
: 20.8، 37.6، 117.4، 118.0، 122.7، 124.2، 126.7، 128.1، 128.7، 129.1، 131.0، 131.4، 135.8، 142.1، 148.6.
المركب (5f)
،
الرنين المغناطيسي النووي
:
146.9، 148.1، 148.7.

المخطط 2. تحضير الزانثينات في وجود
NTMPThio-Cu.

المخطط 3. تحضير مشتقات سبيروكسيندول-بيران في وجود
.
المركب (6ب)
و
7.15-7.19 (م، 2هـ)، 7.30-7.33 (م، 2هـ)، 7.35 (د، 1هـ)، 7.40-7.44 (م، 1هـ)، 7.45-7.49 (م، 1هـ)، 7.80-7.83 (م، 2هـ)،
،
.
المركب (6د)
:
و
،
الرنين المغناطيسي النووي
،
): 27.1، 31.1، 34.3، 36.1، 42.4، 52.0، 114.0، 116.2، 118.2، 123.3، 125.8، 126.6، 128.5، 129.9، 129.9، 131.2، 131.4، 146.8، 152.0، 164.3، 197.0.
المركب (10أ)
،
،
.
مركب (10 ف)
،
،
128.82، 136.16، 141.50، 150.13، 152.70، 158.64، 159.98، 177.85.
مركب (10م)
(س، 1 هـ )
، 111.70، 123.92، 126.08، 128.50، 137.03، 141.38، 159.18، 167.053، 178.40، 195.71.
مركب (10o)
،
: 20.15، 27.22، 36.73، 47.61، 57.25، 111.01، 111.70، 123.92، 126.08، 128.50، 137.03، 141.38، 159.18، 167.053، 178.40، 195.71.
مركب (10ل)
(
) ،
: 47.47، 57.19، 91.42، 111.12، 117.20، 124.84، 126.36، 128.91، 135.51، 141.50، 153.59، 158.72، 159.75، 174.53 و 177.56.
الموافقة الأخلاقية
لا يحتوي هذا العمل على أي دراسات مع مشاركين بشريين أو حيوانات أجراها أي من المؤلفين.
النتائج والمناقشات
تم تقديم تصميم عقلاني يهدف إلى إعداد محفز نانوي جديد عالي الأداء وقابل لإعادة التدوير يعتمد على الدندريمر ويحتوي على ثيوسيماكاربازيد (المخطط 1). أولاً، تم تصنيع جزيئات مغناطيسية باستخدام طريقة الترسيب المشترك، ثم تم تغليفها بطبقة من السيليكا لحمايتها وتحقيق سطح قابل للتعديل مع شكل كروي. في الخطوة التالية، تم تعديل السطح باستخدام APTES، وبعد ذلك، تم وضع 1، 3-ديبروموبروبان، كلوريد السيانوريك، الميلاتونين، وثيوسيماكاربازيد في الخطوة الأخيرة. ثم تم وضع معدن النحاس في ظروف مناسبة لإجراء تفاعلات تحضير مشتقات الزانثين وسبيروكسيندول-بيران.
تم فحص المجموعات الوظيفية في فترات تخليق المحفز باستخدام مطيافية FT-IR (الشكل 3). القمة في منطقة
يحدث بسبب اهتزاز الشد لـ
رابطة. تشكيل
شبكة ذات ذروتين في منطقتي 955 و
تم تحديده، مما يشير إلى تشكيل مجموعة السيلانول السطحية (
). القمة في
يُنسب إلى
رابطة الانحناء. منظر القمم المميزة عند 2890 و
تتعلق بالاهتزازات المتماثلة وغير المتماثلة لمجموعات C-H لسلاسل الكربون البروبلية، على التوالي، التي تظهر بعد تثبيت APTES على
وضع الاهتزاز الممتد لـ
و
في حلقات التريازين في كلوريد السيانوريك والميلامين يُلاحظ في النطاق من
، و
-TCT-طيف ميل). 3418 و
تعود الأطياف إلى اهتزازات الشد غير المتماثلة والمتماثلة لروابط N-H في الميلاتونين
-طيف TCT-Mel). الـ
انحناء الروابط يظهر في منطقة
، مما يثبت الرابطة بين الميلامين و 1،3-ديبروموبروبان. اختفاء هذه القمة في
يشير TCT-Mel-Pr-Thiosemicarbazide إلى الترابط الناجح بين الثيوsemicarbazide و
@SiO
@
-TCT-Mel-PrBr. من ناحية أخرى، الأداء الفعال لـ
-TCT-Mel-PrBr نتيجة لـ

الشكل 3. خطوات تخليق FT-IR
NTMPThio-Cu.
رابطة تساهمية للثيوسيماكربازيد مع الكاربازيد مع أطياف امتصاص الأشعة تحت الحمراء عند 3177 و 3264
بسبب وجود الحرية
مجموعة، أيضًا، وجود
و
تمديد السندات عند 1283 و
تم عرضها على التوالي (ثيوسيماكاربازيد و
-TCT-Mel-Pr-Thiosemicarbazide-Cu(II) الطيف). انتقال القمم من 1395، 1620، 1656، 1777، 3177، و
إلى
1737، 3118، و
على التوالي، يشير إلى استقرار معدن النحاس (
-طيف -TCT-Mel-Pr-Thiosemicarbazide-Cu(II).
البلورية لـ
@SiO
تمت دراسة تخليق @NTMPThio-Cu باستخدام تحليل XRD (الشكل 4). كانت القمم المتشابهة في المحفز المُصنَّع مقارنةً بـ
أظهر أن الجسيمات النانوية متبلورة بشكل جيد وأن طورها البلوري لم يتغير خلال خطوة التخليق.
، و62.5 كانت تعزى إلى الانعكاسات (220)، (311)، (400)، (422)، (511)، و(440).
الاستقرار الحراري لـ
و
تمت دراستها من خلال تحليل TGA. تظهر العينات فقدانًا طفيفًا في الوزن (أقل من
)، والذي يُعزى إلى إزالة جزيئات الماء الممتصة جسديًا من السطح. الانخفاض في نسبة الوزن هو
و
لـ
@
و
على التوالي، وهو ما يرجع إلى فصل مجموعات مختلفة من
-TCT و
-TCT-Mel-Pr-Thiosemicarbazide-Cu(II) المثبت على السطح، مما يدل على التعديل الناجح لـ
(الشكل 5).

الشكل 4. أنماط حيود الأشعة السينية (XRD) لـ
و
NTMPThio-Cu.

الشكل 5. منحنيات TGA لـ (A)
و (ب)
NTMPThio-Cu.

الشكل 6. صور FE-SEM لـ
NTMPThio-Cu.

الشكل 7. صور TEM لـ
NTMPThio-Cu.
تظهر الفحوصات المورفولوجية باستخدام TEM و FE-SEM أن الجسيمات النانوية المغناطيسية. من خلال وضع طبقة السيليكا وتثبيت الروابط على الركيزة، فإن لها هيكلًا كرويًا بمتوسط حجم جسيم يبلغ 25.5 نانومتر. صور TEM لـ
@
@NTMPThio-Cu تظهر أن الجسيمات النانوية الكروية السوداء من
مغطاة بطبقة من
و
-TCT-Mel-Pr-تيواسيميكاربازيد-كوبالت(II) (الأشكال 6 و 7).
السلوك المغناطيسي لـ
تم قياسه في درجة حرارة الغرفة باستخدام تحليل VSM. الخصائص المغناطيسية للمركب المُصنّع
الجزيئات النانوية هي
، بينما تكون مغنطة التشبع لـ
، مما يدل على أن المحفز قد حافظ على سلوكه المغناطيسي (الشكل 8).
في هذه المخطوطة، سعينا لاستغلال الخاصية الأساسية لمعدن النحاس على دندريمر. بالنظر إلى مزايا استخدام أنظمة التحفيز غير المتجانسة، فإن تخليق هذه الأنظمة له أهمية كبيرة. لتحقيق هذا الهدف، كان من الضروري اختيار دعم مناسب ومواد ربط لتحقيق النتيجة المرجوة. تقدم السيليكا النانوية نفسها كخيار مناسب بسبب وجود مجموعات وظيفية مناسبة على سطحها. بعد ذلك، تم استخدام كلوريد السيانوريك، تلاه الميلاتونين وثيوسيماكاربازيد لإنتاج قوالب دندريمر متعددة الفروع. أخيرًا، تم تشكيل معقد معدن النحاس بمساعدة الذرات في ثيوسيماكاربازيد. علاوة على ذلك، لتسهيل فصل وإعادة استخدام المحفز، تم مغنطة النانوكاتاليست. سمح ذلك بفصل سهل من بيئة التفاعل من خلال استخدام مجال مغناطيسي خارجي، مما مكن من إعادة الاستخدام في الخطوات اللاحقة.
تفاعل التخليق للزانثينات، والسبيروكسيندول-بيرانات في وجود
تم اختيار NTMPThioCu لإظهار النشاط التحفيزي (المخططات 2 و 3).
لكشف الظروف المثلى لتخليق الزانثينات، تفاعل
تمت دراسة تفاعل -نفتول (2 مليمول) مع بنزالدهيد (1 مليمول) كنموذج للتفاعل في وجود المحفز. في البداية، تم إجراء التفاعل في مذيبات متنوعة، بما في ذلك
، وظروف خالية من المذيبات. وقد أظهر أن التفاعل تم بمعدل إنتاج أعلى تحت ظروف خالية من المذيبات (الجدول 1، الإدخالات 1-5). في الخطوة التالية، قمنا بقياس ظروف درجة الحرارة. رفع درجة الحرارة إلى
لم يكن له أي نتيجة في زيادة عوائد المنتج. لذلك، فإن درجة حرارة
تم اختيارها كدرجة الحرارة المثلى (الجدول 1، الإدخالات 5-7). في الخطوة التالية، تم تقييم كميات مختلفة من المحفز للحصول على الكمية المثلى؛ لم يؤثر الزيادة إلى 30 ملغ على كفاءة المحفز (الجدول 1، الإدخال 5 والإدخالات 8-11). كانت التفاعل في ظروف خالية من المحفز مرتبطًا بعائد ضئيل (الجدول 1، الإدخال 12).
بعد تحديد الظروف المثلى، تم تقييم أداء المحفز. باستخدام تفاعل الألدهيدات الأريلية،
-نافثول، ودايميدون لتخليق مشتقات الزانثين في محيط
@
NTMPThio- Cu (الجدول 2). تشير النتائج المستخلصة في الجدول 2 إلى أن الألدهيدات التي تحتوي على مجموعات سحب الإلكترون تنتج منتجات بعوائد أعلى في وقت أقصر. من ناحية أخرى، في الألدهيدات التي تحتوي على مجموعات مانحة للإلكترون، أظهرت الملاحظات أن عائد التفاعل كان أقل قليلاً بعد أوقات أطول نسبياً.
بعد ذلك، لتحديد الظروف المثلى في تخليق مشتقات سبيروكسيندول-بيران، تم اختيار مالونيتريل (1 مليمول)، ديميدون (1 مليمول)، وإيزاتين (1 مليمول) كردود فعل نموذجية. أولاً، كانت التفاعل في جوار
تمت تجربته في مذيبات مختلفة، بما في ذلك
، وظروف خالية من المذيبات. وفقًا للبيانات التي تم الحصول عليها، كانت أعلى كفاءة تم الحصول عليها في 4 دقائق (
تم تحقيق العائد) في ظروف خالية من المذيبات (الجدول 3، المدخلات 1-5). علاوة على ذلك، لم يُلاحظ أي تغيير كبير في عائد المنتج عند زيادة درجة الحرارة إلى
(الجدول 3، الإدخالات 5-7). بالإضافة إلى ذلك، زاد رفع كمية المحفز من 10 إلى 15 ملغ من العائد من 92 إلى
، لكن عائد التفاعل لم يتغير مع زيادة أخرى في كمية المحفز (الجدول 3، الإدخال 5، و

الشكل 8. طيف VSM لـ
و
NTMPThio-Cu.
| دخول | المحفز (ملغ) | مذيب | درجة الحرارة (
|
الوقت (دقيقة) | العائد (%) |
| 1 |
|
إيثانول | 25 | 12 | 85 |
| 2 |
|
|
25 | 12 | 60 |
| ٣ |
|
|
٢٥ | 12 | 75 |
| ٤ |
|
|
٢٥ | 12 | ٨٠ |
| ٥ |
|
خالي من المذيبات | ٢٥ | 12 | 97 |
| ٦ |
|
خالي من المذيبات | 40 | 12 | 97 |
| ٧ |
|
خالي من المذيبات | 60 | 12 | 97 |
| ٨ |
|
خالي من المذيبات | ٢٥ | 12 | 90 |
| 9 |
|
خالي من المذيبات | ٢٥ | 12 | 97 |
| 10 |
|
خالي من المذيبات | ٢٥ | 12 | 97 |
| 11 |
|
خالي من المذيبات | ٢٥ | 12 | 97 |
| 12 | – | خالي من المذيبات | 25 | 12 | أثر |
الجدول 1. تخليق الزانثينات باستخدام
مللي مول من بنزالدهيد، في وجود
NTMPThio-Cu. القيم الهامة بالخط العريض.
المدخلات 8-10). كانت التفاعل النموذجي غير فعال في غياب المحفز، وفي وجود
@
و
-TCT-Mel، كان مرتبطًا بكفاءة أقل من المحفز
@ ميل-ر-ك (الجدول 3، الإدخال 5، والإدخالات 11-13).
لتوسيع نطاق التفاعل، قمنا بتشغيل
تفاعل المالونونيتريل ومشتقات الإيزاتين ومركبات 1،3-ثنائي الكربونيل. أظهرت النتائج أن المنتجات تم الحصول عليها بكفاءة ممتازة بعد فترة زمنية قصيرة من التفاعل (الجدول 4).
في الأدبيات السابقة، تم استخدام العديد من المحفزات في تخليق مشتقات الزانثين وسبيروكسيندولبيران. في المتابعة، تم تقييم أداء المحفز المُصنَّع من خلال مقارنته بمحفزات أخرى في تفاعلات نموذجية (الجدول 5). كما هو موضح،
أعطى أفضل عائد في أقصر وقت تفاعل تحت ظروف خالية من المذيبات في
.
آلية التخليق للزانثينات ومشتقات سبيروكسيندول-بيران موضحة في المخططات 4 و 5.
آلية تركيب مشتقات الزانثين: في البداية، من خلال تنشيط مجموعة الكربونيل، يجعل المحفز الألدهيدات أكثر حساسية للهجوم النووي بواسطة الديميدون لتكوين الوسط (A)، في الخطوة التالية، يتم إضافة جزيء آخر من الديميدون بواسطة تفاعل مايكل لتكوين الوسط (B). من خلال القضاء على والتدوير الجزيئي، يؤدي إلى إنتاج المنتج المطلوب (المخطط 4).
آلية تركيب مشتقات الزانثين: في البداية، من خلال تنشيط مجموعة الكربونيل، يجعل المحفز الألدهيدات أكثر حساسية للهجوم النووي بواسطة الديميدون لتكوين الوسط (A)، في الخطوة التالية، يتم إضافة جزيء آخر من الديميدون بواسطة تفاعل مايكل لتكوين الوسط (B). من خلال القضاء على
المسار المحتمل لتخليق سبيروكسيندول-بيران في وجود
موضح في المخطط 5. أولاً، يتم تنشيط مجموعات الكربونيل الوظيفية بواسطة أيونات النحاس (II) في المحفز، وتُسهّل تفاعلات التكثيف. يمكن تنشيط مجموعة الكربونيل في الإيزاتين بواسطة
، وهجوم نوكليوفيلي بواسطة مجموعة حمض المالونونيتريل مع تكثيف كنويناجل ويتم الحصول على الوسط (A). ثم، من خلال إضافة مايكل بواسطة ديميدون وتفاعل الإينول، يتم تشكيل الوسط (B). أخيرًا، يتم الحصول على المنتج المطلوب من خلال هجوم نوكليوفيلي عبر الأكسجين على مجموعة النيتريل وتاوتوميريزاسيون.
إعادة تدوير المحفز
أحد التحديات الرئيسية التي يواجهها الكيميائيون المشاركون في تخليق المحفزات هو ضمان إمكانية إعادة استخدام المحفزات. لذلك، فإن البحث في هذه القضية الكبيرة أمر لا مفر منه. في هذه التجربة، بعد فصل المحفز، قمنا بغسله بالإيثانول وتجفيفه لإعادة استخدامه. أظهرت الدراسات أنه يمكن إجراء ما لا يقل عن ثمانية خطوات باستخدام هذا المحفز دون تغيير كبير في الأداء (الشكل 9). أيضًا، للدراسة الإضافية، تم فحص صورة FE-SEM، وطيف FT-IR، وأنماط XRD بعد 8 دورات إعادة تدوير، والتي لا تظهر أي اختلاف كبير. (الشكل 10).
تم أيضًا تحليل فحص تسرب جزيئات النحاس النانوية من المحفز النانوي في التفاعلات النموذجية. وأشارت نتائج تحليل ICP-OES إلى أن كمية تسرب النحاس في المحفز بعد 7 خطوات إعادة تدوير هي
بالوزن، وهو أمر غير مهم للغاية بالنظر إلى تحميل النحاس في المحفز الجديد، والذي هو
حسب الوزن. هذه الأدلة تُظهر الطبيعة غير المتجانسة والثبات المناسب للعامل الحفاز.
الخاتمة
من أجل إنشاء نانو محفزات خضراء ذات أداء عالٍ وصديقة للبيئة وقابلة لإعادة الاستخدام وإعادة التدوير لمدة لا تقل عن 8 دورات متتالية دون فقدان كبير في النشاط، قمنا بنجاح بتخليق محفز جديد ومستقر ذو نواة مغناطيسية على شكل قشرة. تم تحديد المحفز باستخدام طرق تحليلية مختلفة. أداء
من مشتقات الزانثين وسبيروكسيندول-بيران. تتمتع الطريقة المطورة أعلاه بعدة مزايا، مثل سهولة الفصل المغناطيسي، وإمكانية إعادة الاستخدام، وقصر وقت التفاعل، وعائد ممتاز للمنتج، وظروف تفاعل معتدلة، وطريقة عمل سهلة، واستخدام معدن النحاس الرخيص.
| مدخل | منتج | الوقت (دقيقة) | العائد (%) | نائب برلماني
|
||
| 1 |
|
12 | 97 |
|
||
| ٢ |
|
10 | 98 | 232-233
|
||
| ٣ |
|
15 | 98 |
|
||
| ٤ |
|
20 | 92 | 229-230
|
||
| ٥ |
|
20 | 94 |
|
||
| مستمر | ||||||
| دخول | منتج | الوقت (دقيقة) | العائد (%) | نائب برلماني
|
||
| ٦ |
|
٢٥ | 96 |
|
||
| ٧ |
|
20 | 96 | 286-287
|
||
| ٨ |
|
60 | 92 |
|
||
| 9 |
|
50 | 92 | 151-152
|
||
| 10 |
|
12 | 96 |
|
||
| مستمر | ||||||
| مدخل | منتج | الوقت (دقيقة) | العائد (%) | نائب برلماني
|
||
| 11 |
|
10 | 98 |
|
||
| 12 |
|
10 | 96 |
|
||
| ١٣ |
|
10 | 96 |
|
||
| 14 |
|
10 | 96 | 316-318
|
||
| مستمر |
| دخول | منتج | الوقت (دقيقة) | العائد (%) | نائب برلماني
|
||
| 15 |
|
15 | 92 | ٢٢٠-٢٢١
|
||
| 16 |
|
15 | 90 | ٢٠٢-٢٠٤
|
||
| 17 |
|
20 | 90 |
|
||
| ١٨ |
|
20 | 98 | ١٧٦-١٧٧
|
||
| مستمر | ||||||
| مدخل | منتج | الوقت (دقيقة) | العائد (%) | نائب برلماني
|
||
| 19 |
|
20 | 96 | 199-201
|
||
| 20 |
|
20 | 96 |
|
||
| 21 |
|
٢٢ | ٨٨ |
|
||
| ٢٢ |
|
90 | ٨٠ |
|
الجدول 2. تخليق المشتقات 4a-f و 5a-f و 6a-d بواسطة
NTMPThio-Cu. شروط التفاعل: ظروف خالية من المذيب، الألدهيدات: ديميدون أو
-نافثول (
أو 2 مليمول)
NTMPThio-Cu.
| مدخل | المحفز (ملغ) | مذيب | درجة الحرارة (
|
الوقت (دقيقة) | العائد (%) |
| 1 |
|
إيثانول | ٢٥ | ٤ | 98 |
| ٢ |
|
THF | ٢٥ | ٤ | 75 |
| ٣ |
|
|
٢٥ | ٤ | 65 |
| ٤ |
|
|
25 | ٤ | 95 |
| ٥ |
|
خالي من المذيبات | ٢٥ | ٤ | ٩٨ |
| ٦ |
|
خالي من المذيبات | 40 | ٤ | 98 |
| ٧ |
|
خالي من المذيبات | 60 | ٤ | 98 |
| ٨ |
|
خالي من المذيبات | ٢٥ | ٤ | 92 |
| 9 |
|
خالي من المذيبات | 25 | ٤ | 98 |
| 10 |
|
خالي من المذيبات | ٢٥ | ٤ | 98 |
| 11 |
|
خالي من المذيبات | 25 | ٤ | 30 |
| 12 |
|
خالي من المذيبات | ٢٥ | ٤ | ٨٨ |
| ١٣ | – | خالي من المذيبات | 25 | ٤ | – |
الجدول 3. تخليق سبيروكسيندول-بيران باستخدام
بنزالدهيد (1 ملليمول)، مالونونيتريل (1 ملليمول) وإيزاتين (1 ملليمول). القيم المهمة بالخط العريض.
| دخول | منتج | الوقت (دقيقة) | العائد (%) |
|
| 1 | 10 أ | 12 | 97 |
|
| ٢ | 10 ب | 10 | 98 |
|
| ٣ | 10 ج | 15 | 98 |
|
| ٤ | 10 د | 20 | 92 |
|
| مستمر |
| مدخل | منتج | الوقت (دقيقة) | العائد (%) | نائب برلماني
|
||
| ٥ | 10 يورو | 20 | 94 | 229-230
|
||
| ٦ | 10 ف | ٢٥ | 96 |
|
||
| ٧ | 10 جرام | 20 | 96 |
|
||
| ٨ | 10 ساعات | 12 | 96 |
|
||
| 9 |
|
10 | 98 |
|
||
| مستمر |
| مدخل | منتج | الوقت (دقيقة) | العائد (%) |
|
| 10 | 10 ج | 10 | 96 |
|
| 11 | 10 ك | 10 | 96 |
|
| 12 | ١٠١ | 10 | 96 |
|
| ١٣ | 10 م | 15 | 92 |
|
| 14 | 10 ن | 15 | 90 |
|
| مستمر |
| مدخل | منتج | الوقت (دقيقة) | العائد (%) | نائب برلماني
|
| 15 | 100 | 20 | 90 |
|
| 16 | 10 ب | 20 | 98 |
|
| 17 | 10 ق | 20 | 96 |
|
| 18 | 10 ر | 20 | 96 |
|
الجدول 4. تخليق سبيروكسيندول-بيران بواسطة
NTMPThio-
.
| عينة | الشروط | الوقت | العائد (%) |
![]() |
هذا البحث/خالي من المذيبات/
|
12 دقيقة | ٩٨ |
| أمبرليست-15/
|
٢ | 93 | |
| مدعوم بالسيليكا
|
ح | 98 | |
| SBA-15/
|
30 دقيقة | 95 | |
| كبريتات السليلوز/ بدون مذيبات/
|
24 ساعة | 97 | |
|
|
1 ساعة | 93 | |
| كبريتات الألمنيوم والبوتاسيوم
|
3 ساعات | 90 | |
|
|
3 ساعات | 98 | |
| هذا البحث / خالي من المذيبات
|
4 دقائق | 98 | |
| L-برولين /
|
20 دقيقة | 94 | |
|
|
120 دقيقة | 95 | |
|
|
20 دقيقة | 95 | |
| مغنيسيا
|
120 دقيقة | 95 | |
| PSGO-
|
120 دقيقة | 96 | |
| حمض السيليكا الكبريتي NPs/إيثانول/80
|
30 دقيقة | 96 |
الجدول 5. مقارنة المحفزات
NTMPThio- النحاس ومحفزات أخرى.

المخطط 4. الآلية الاصطناعية لمشتقات الزانثين.

المخطط 5. الآلية التركيبية لمشتقات سبيروكسيندول-بيران.

الشكل 9. قابلية إعادة تدوير المحفز في تفاعل نموذج تخليق الزانثين والسبيروكسيندول-بيران.

الشكل 10. FE-SEM، أطياف FTIR، وأنماط XRD بعد إعادة التدوير.
توفر البيانات
تتوفر مجموعات البيانات المستخدمة و/أو التي تم تحليلها خلال الدراسة الحالية من المؤلف المراسل عند الطلب المعقول.
تاريخ الاستلام: 17 مايو 2024؛ تاريخ القبول: 22 يوليو 2024
نُشر على الإنترنت: 29 يوليو 2024
نُشر على الإنترنت: 29 يوليو 2024
References
- Venkatesan, K., Sundarababu, J. & Anandan, S. S. The recent developments of green and sustainable chemistry in multidimensional way: Current trends and challenges. Green Chem. Lett. Rev. 17, 2312848 (2024).
- Hoffman, K. C. & Dicks, A. P. Incorporating the United Nations sustainable development goals and green chemistry principles into high school curricula. Green Chem. Lett. Rev. 16, 2185108 (2023).
- Peiman, S., Maleki, B. & Ghani, M.
Mel-Rh-Cu: A high-performance, green catalyst for efficient xanthene synthesis and its application for magnetic solid phase extraction of diazinon followed by its determination through HPLC-UV. Chem. Methodol. 8, 257-278. https://doi.org/10.48309/chemm.2024.442693.1767 (2024). - Azizi, M., Maleki, A. & Hakimpoor, F. Solvent, metal and halogen-free synthesis of sulfoxides by using a recoverable heterogeneous urea-hydrogen peroxide silica-based oxidative catalytic system. Catal. Commun. 100, 62-65 (2017).
- Maleki, A. An efficient magnetic heterogeneous nanocatalyst for the synthesis of pyrazinoporphyrazine macrocycles. Polycycl. Aromat. Compd. 38, 402-409 (2018).
- Maleki, A. & Kari, T. Novel leaking-free, green, double core/shell, palladium-loaded magnetic heterogeneous nanocatalyst for selective aerobic oxidation. Catal. Lett. 148, 2929-2934 (2018).
- Dourandish, Z. et al. Recent advances in electrochemical sensing of anticancer drug doxorubicin: A mini-review. Chem. Methodol. 8, 293-315. https://doi.org/10.48309/chemm.2024.441220.1761 (2024).
- Mittelheisser, V. et al. Evidence and therapeutic implications of biomechanically regulated immunosurveillance in cancer and other diseases. Nat. Nanotechnol. 19, 1-17 (2024).
- Jabar, S. M. & Al-Shammaree, S. A. W. Cytotoxicity and anticancer effect of chitosan-Ag NPs-doxorubicin-folic acid conjugate on lungs cell line. Chem. Methodol. 7, 1-14. https://doi.org/10.22034/chemm.2023.359769.1604 (2023).
- Peiman, S., Baharfar, R. & Maleki, B. Immobilization of trypsin onto polyamidoamine dendrimer functionalized iron oxide nanoparticles and its catalytic behavior towards spirooxindole-pyran derivatives in aqueous media. Mater. Today Commun. 26, 101759 (2021).
- Farajpour, M., Vahdat, S. M., Baghbanian, S. M. & Hatami, M. Ag-SiO
nanoparticles: Benign, expedient, and facile nano catalyst in synthesis of decahydroacridines. Chem. Methodol. 7, 540-551. https://doi.org/10.22034/chemm.2023.386678.1653 (2023). - Eldeeb, B. A., El-Raheem, W. M. A. & Elbeltagi, S. Green synthesis of biocompatible
magnetic nanoparticles using Citrus sinensis peels extract for their biological activities and magnetic-hyperthermia applications. Sci. Rep. 13, 19000 (2023). - Gao, G., Di, J.-Q., Zhang, H.-Y., Mo, L.-P. & Zhang, Z.-H. A magnetic metal organic framework material as a highly efficient and recyclable catalyst for synthesis of cyclohexenone derivatives. J. Catal. 387, 39-46 (2020).
- Zhang, M., Liu, Y.-H., Shang, Z.-R., Hu, H.-C. & Zhang, Z.-H. Supported molybdenum on graphene oxide/
: An efficient, magnetically separable catalyst for one-pot construction of spiro-oxindole dihydropyridines in deep eutectic solvent under microwave irradiation. Catal. Commun. 88, 39-44 (2017). - Chen, M.-N., Mo, L.-P., Cui, Z.-S. & Zhang, Z.-H. Magnetic nanocatalysts: Synthesis and application in multicomponent reactions. Curr. Opin. Green Sustain. Chem. 15, 27-37 (2019).
- Maleki, A. Synthesis of imidazo [1,2-a] pyridines using
@ as an efficient nanomagnetic catalyst via a one-pot multicomponent reaction. Helv. Chim. Acta 97, 587-593 (2014). - Baharfar, R., Peiman, S. & Maleki, B.
@ @ D-NHCS-Tr as an efficient and reusable catalyst for the synthesis of indol-3-yl-4 H-chromene via a multi-component reaction under solvent-free conditions. J. Heterocycl. Chem. 58, 1302-1310 (2021). - Peiman, S., Baharfar, R. & Hosseinzadeh, R. CuI NPs immobilized on a ternary hybrid system of magnetic nanosilica, PAMAM dendrimer and trypsin, as an efficient catalyst for
-coupling reaction. Res. Chem. Intermed. 48, 1365-1382 (2022). - Maleki, A., Rahimi, R. & Maleki, S. Efficient oxidation and epoxidation using a chromium (VI)-based magnetic nanocomposite. Environ. Chem. Lett. 14, 195-199 (2016).
- Suetsuna, T., Suenaga, S., Takahashi, T. & Harada, K. Synthesis of self-forming core/shell nanoparticles of magnetic metal/nonmagnetic oxide. Acta Mater. 78, 320-327 (2014).
- Zhao, F. et al. Synthesis of
-zeolite materials and application to the adsorption of gallium and indium. J. Chem. Eng. Data 60, 1338-1344 (2015). - Wang, Y.-M. et al. Molybdenum disulfide-catalyzed direct
-hydroxymethylation of amides employing methanol as a sustainable C1 source under photoirradiation. J. Catal. 427, 115100 (2023). - Naghizadeh, M., Taher, M. A., Tamaddon, A.-M., Borandeh, S. & Abolmaali, S. S. Microextraction of gadolinium MRI contrast agent using core-shell
@ SiO nanoparticles: Optimization of adsorption conditions and in-vitro study. Environ. Nanotechnol. Monit. Manag. 12, 100250 (2019). - Hasani, M. & Ghods, M. M-polynomials and topological indices of porphyrin-cored dendrimers. Chem. Methodol. 7, 288-306. https://doi.org/10.22034/chemm.2023.370497.1626 (2023).
- Bodaghifard, M. A., Allahbakhshi, H. & Ahangarani-Farahani, R. Efficient synthesis of benzoacridines and indenoquinolines catalyzed by acidic magnetic dendrimer. Sci. Rep. 14, 8736 (2024).
- Shailey Singhal, S. S., Shefali Arora, S. A., Shilpi Agarwal, S. A., Rajan Sharma, R. S. & Naveen Singhal, N. S. A review on potential biological activities of thiosemicarbazides. World J. Pharm. Pharm. Sci. 6, 4661 (2013).
- Arora, S., Agarwal, S. & Singhal, S. Anticancer activities of thiosemicarbazides/thiosemicarbazones: A review. Int. J. Pharm. Pharm. Sci. 6, 34 (2014).
- El-Atawy, M. A., Omar, A. Z., Hagar, M. & Shashira, E. M. Transalkylidation reaction: Green, catalyst-free synthesis of thiosemicarbazones and solving the NMR conflict between their acyclic structure and intramolecular cycloaddition products. Green Chem. Lett. Rev. 12, 364-376 (2019).
- Azizi, M., Maleki, A., Hakimpoor, F., Ghalavand, R. & Garavand, A. A mild, efficient and highly selective oxidation of sulfides to sulfoxides catalyzed by lewis acid-urea-hydrogen peroxide complex at room temperature. Catal. Lett. 147, 2173-2177 (2017).
- Alipour, A. & Naeimi, H. Design, fabrication and characterization of magnetic nickel copper ferrite nanocomposites and their application as a reusable nanocatalyst for sonochemical synthesis of 14-aryl-14-H-dibenzo [a, j] xanthene derivatives. Res. Chem. Intermed. 49, 2705-2723 (2023).
- Zare, A. & Mostaghar, F. Construction of a novel magnetic nanomaterial, and its utility as an effectual catalyst for the fabrication of 1, 8-dioxo-octahydroxanthenes. Chem. Methodol. 8, 23-36. https://doi.org/10.48309/chemm.2024.422175.1733 (2023).
- Azizi, N., Farzaneh, F. & Farhadi, E. Streamlining efficient and selective synthesis of benzoxanthenones and xanthenes with dual catalysts on a single support. Sci. Rep. 13, 16469 (2023).
- Ardeshirfard, H. & Elhamifar, D. Magnetic cobalt oxide supported organosilica-sulfonic acid as a powerful nanocatalyst for the synthesis of tetrahydrobenzo [a] xanthen-11-ones. Sci. Rep. 13, 14134 (2023).
- Mohammadi Ziarani, G. et al. Convenient one-pot synthesis of spirooxindole-4H-pyrans in the presence of SBA-Pr-NH2 and evaluation of their urease inhibitory activities. J. Nanostruct. 2, 489-500 (2012).
- Maghsoodlou, M. T., Heydari, R., Mohamadpour, F. & Lashkari, M.
as an environmentally benign natural catalyst for onepot and solvent-free synthesis of spiro-4H-pyran derivatives. Iran. J. Chem. Chem. Eng. IJCCE 36, 31-38 (2017). - Tufail, F. et al. A practical green approach to diversified spirochromene/spiropyran scaffolds via a glucose-water synergy driven organocatalytic system. New J. Chem. 42, 17279-17290 (2018).
- Nasri, S., Bayat, M. & Miankooshki, F. R. Synthesis of diverse spiro-imidazo pyridine-indene derivatives via acid-promoted annulation reaction of bindone and heterocyclic ketene aminals. Sci. Rep. 12, 12550 (2022).
- Naderi, S., Sandaroos, R., Peiman, S. & Maleki, B. Novel crowned cobalt (II) complex containing an ionic liquid: A green and efficient catalyst for the one-pot synthesis of chromene and xanthene derivatives starting from benzylic alcohols. J. Phys. Chem. Solids 180, 111459 (2023).
- Darvishy, S., Alinezhad, H., Vafaeezadeh, M., Peiman, S. & Maleki, B. S-(+) Camphorsulfonic acid glycine (CSAG) as surfactantlikes brønsted acidic ionic liquid for one-pot synthesis of
-amino carbonyl. Polycycl. Aromat. Compd. https://doi.org/10.1080/ 10406638.2022.2094419 (2022). - Sandaroos, R., Maleki, B., Naderi, S. & Peiman, S. Efficient synthesis of sulfones and sulfoxides from sulfides by cobalt-based Schiff complex supported on nanocellulose as catalyst and Oxone as the terminal oxidant. Inorg. Chem. Commun. 148, 110294 (2023).
- Boroumand, H., Alinezhad, H., Maleki, B. & Peiman, S. Triethylenetetramine-grafted magnetic graphene oxide (
) as a reusable heterogeneous catalyst for the one-pot synthesis of 2-amino-4 H-benzopyran derivatives. Polycycl. Aromat. Compd. 43, 7853-7869 (2023). - Maleki, B., Sandaroos, R., Naderi, S. & Peiman, S. A crowned manganese-based Schiff complex supported on nanocellulose as an efficient and sustainable heterogeneous catalyst for the oxidation of benzyl alcohols. J. Organometall. Chem. 990, 122666 (2023).
- Naderi, S., Sandaroos, R., Peiman, S. & Maleki, B. Synthesis and characterization of a novel crowned schiff base ligand linked to ionic liquid and application of its
complex in the epoxidation of olefins. Chem. Methodol. 7, 392-404 (2023). - Maleki, B., Sandaroos, R. & Peiman, S. Mn(III) Schiff base complexes containing crown ether rings immobilized onto MCM-41 matrix as heterogeneous catalysts for oxidation of alkenes. Heliyon 9, e15041 (2023).
- Maleki, B., Jamshidi, A., Peiman, S. & Housaindokht, M. R. Tri-vanadium substituted dawson-type heteropolytungstate nanocomposite (
) as a novel, green, and recyclable nanomagnetic catalyst in the synthesis of tetrahydrobenzo [b] pyrans. Polycycl. Aromat. Compd. 44, 994-1010 (2024). - Bhale, P. S., Dongare, S. B. & Mule, Y. B. An efficient synthesis of 1, 8-dioxooctahydroxanthenes catalysed by thiourea dioxide (TUD) in aqueous media. Chem. Sci. Trans. 4, 246-250 (2015).
- Gong, K., Fang, D., Wang, H.-L., Zhou, X.-L. & Liu, Z.-L. The one-pot synthesis of 14-alkyl-or aryl-14H-dibenzo [a, j] xanthenes catalyzed by task-specific ionic liquid. Dyes pigments 80, 30-33 (2009).
- Mir, E., Hazeri, N., Faroughi Niya, H. & Fatahpour, M. Synthesis, identification and application of
@ THAM-mercaptopyrimidine nanoparticles as a novel and highly recyclable nanocatalyst in one-pot multicomponent synthesis of 1, 8-dioxooctahydroxanthenes and polyhydroquinolines. Res. Chem. Intermed. 49, 1439-1462 (2023). - Kundu, K. & Nayak, S. K. Camphor-10-sulfonic acid catalyzed condensation of 2-naphthol with aromatic/aliphatic aldehydes to 14-aryl/alkyl-14H-dibenzo [a, j] xanthenes. J. Serb. Chem. Soc. 79, 1051-1058 (2014).
- Rekunge, D. S., Khatri, C. K. & Chaturbhuj, G. U. Rapid and efficient protocol for Willgerodt-Kindler’s thioacetamides catalyzed by sulfated polyborate. Mon. Chem. Chem. Mon. 148, 2091-2095 (2017).
- Mohammadi, R., Eidi, E., Ghavami, M. & Kassaee, M. Z. Chitosan synergistically enhanced by successive
and silver nanoparticles as a novel green catalyst in one-pot, three-component synthesis of tetrahydrobenzo xanthene-11-ones. J. Mol. Catal. A Chem. 393, 309-316 (2014). - Mane, P. et al. Sodium acetate/MWI: A green protocol for the synthesis of tetrahydrobenzo
xanthen-11-ones with biological screening. Res. Chem. Intermed. 46, 231-241 (2020). - Zhang, M. et al. Catalyst-free, visible-light promoted one-pot synthesis of spirooxindole-pyran derivatives in aqueous ethyl lactate. ACS Sustain. Chem. Eng. 5, 6175-6182 (2017).
- Langroudi, J. M., Mazloumi, M., Nahzomi, H. T., Shirini, F. & Tajik, H. Tropine-based dicationic molten salt: An active catalyst in the acceleration of one-pot synthesis of spiro- 2 -amino- 4 H -pyran-oxindoles and bis- 2 -amino- 4 H -pyrans. J. Mol. Struct. 1274, 134410 (2023).
- Guo, R.-Y. et al. Meglumine: A novel and efficient catalyst for one-pot, three-component combinatorial synthesis of functionalized 2-amino-4 H-pyrans. ACS Comb. Sci. 15, 557-563 (2013).
- Umar Basha, K. N. & Gnanamani, S. An efficient and easy method for the one-pot synthesis of spirooxindoles in the presence of
. J. Heterocycl. Chem. 56, 2008-2016 (2019). - Li, Y., Chen, H., Shi, C., Shi, D. & Ji, S. Efficient one-pot synthesis of spirooxindole derivatives catalyzed by l-proline in aqueous medium. J. Comb. Chem. 12, 231-237 (2010).
- Goli-Jolodar, O., Shirini, F. & Seddighi, M. Introduction of a novel basic ionic liquid containing dual basic functional groups for the efficient synthesis of spiro-4H-pyrans. J. Mol. Liq. 224, 1092-1101 (2016).
- Raheja, B. K. & Dalal, D. S. Ammonium acetate mediated simple, rapid, and one-pot multicomponent synthesis of spirooxindole derivatives. Synth. Commun. 53, 808-822 (2023).
- Chandam, D. R., Mulik, A. G., Patil, D. R. & Deshmukh, M. B. Oxalic acid dihydrate: Proline as a new recyclable designer solvent: A sustainable, green avenue for the synthesis of spirooxindole. Res. Chem. Intermed. 42, 1411-1423 (2016).
- Thongni, A. et al. Ultrasound assisted synthesis of spirooxindole analogs catalyzed by
@ PPCA NPs: Experimental, theoretical and in vitro biological studies. J. Mol. Struct. 1284, 135363 (2023). - Pan, F.-F., Yu, W., Qi, Z.-H., Qiao, C. & Wang, X.-W. Efficient construction of chiral spiro [benzo [g] chromene-oxindole] derivatives via organocatalytic asymmetric cascade cyclization. Synthesis 46, 1143-1156 (2014).
- Zhao, H. W. et al. Highly enantioselective synthesis of chiral pyranonaphthoquinone-fused spirooxindoles through organocatalytic three-component cascade reactions. Eur. J. Org. Chem. 2015, 3320-3326 (2015).
- Kumar, C. N. S. S. P., Srinivas, C., Sadhu, P. S., Rao, V. J. & Palaniappan, S. Efficient synthesis of 14-substituted-14-H-dibenzo [a, j] xanthenes using silica supported sodium hydrogen sulfate or amberlyst-15 catalyst. J. Heterocycl. Chem. 46, 997-999 (2009).
- Liu, Y.-H., Tao, X.-Y., Lei, L.-Q. & Zhang, Z.-H. Fluoroboric acid adsorbed on silica-gel-catalyzed synthesis of 14-aryl-14 H-dibenzo [
] xanthene derivatives. Synth. Commun. 39, 580-589 (2009). - Alireza, G. M. Z. N. L. Sulfonic acid-functionalized mesoporous silica. Gen 466, 116 (2013).
- Yue, X. et al. High acidity cellulose sulfuric acid from sulfur trioxide: A highly efficient catalyst for the one step synthesis of xanthene and dihydroquinazolinone derivatives. RSC Adv. 9, 28718-28723 (2019).
- Wu, L., Yang, C., Yang, L. & Yang, L. Synthesis of 14 -substituted-14 H-dibenzo [a, j] xanthenes and 1, 8-dioxo-octahydroxanthenes using silica chloride (
) under solvent-free conditions. Phosphorus Sulfur Silicon 185, 903-909 (2010). - Mohamadpour,
as an efficient and environmentally benign natural catalyst for facile and solvent-free synthesis of xanthene derivatives. J. Appl. Chem. Res. 13, 66-80 (2019). - Tayebee, R. & Tizabi, S. Highly efficient and environmentally friendly preparation of 14 -aryl-14H dibenzo [ a , j ] xanthenes catalyzed by tungsto-divanado-phosphoric acid. Chin. J. Catal. 33, 962-969 (2012).
- Nemati, R., Elhamifar, D., Zarnegaryan, A. & Shaker, M. Magnetic silica nanocomposite supported
amine: A powerful catalyst for the synthesis of biologically active spirooxindole-pyrans. Inorg. Chem. Commun. 145, 109934 (2022). - Amini Moqadam, Z., Allahresani, A. & Hassani, H. An efficiently and quickly synthesized NiO@g-C3
nanocomposite-catalyzed green synthesis of spirooxindole derivatives. Res. Chem. Intermed. 46, 299-311 (2020). - Karmakar, B., Nayak, A. & Banerji, J. A clean and expedient synthesis of spirooxindoles in aqueous media catalyzed over nanocrystalline MgO. Tetrahedron Lett. 53, 5004-5007 (2012).
- Hojati, S. F., Amiri, A. & Mahamed, M. Polystyrene@graphene oxide-
as a novel and magnetically recyclable nanocatalyst for the efficient multi-component synthesis of spiro indene derivatives. Res. Chem. Intermed. 46, 1091-1107 (2020). - Sadeghi, B., Ghasemi Pirbaluti, M., Farokhi Nezhad, P. & Abbasi Nezhad, R. A clean and expedient synthesis of spirooxindoles catalyzed by silica-sulfuric acid nanoparticles as an efficient and reusable reagent. Res. Chem. Intermed. 41, 4047-4055 (2015).
شكر وتقدير
تم دعم هذه الدراسة من خلال منحة بحثية (رقم 33/38554) من جامعة مازندران.
مساهمات المؤلفين
الكتابة: س.ب.; ب.م. التصور: س.ب.; ب.م. تنظيم البيانات: س.ب.; ب.م. التحليل الرسمي: س.ب.; ب.م. إدارة المشروع: س.ب.; ب.م. المنهجية: س.ب.; ب.م. التحقق: س.ب.; ب.م. المراجعة والتحرير: س.ب.; ب.م. جميع المؤلفين راجعوا المخطوطة.
المصالح المتنافسة
يعلن المؤلفون عدم وجود مصالح متنافسة.
معلومات إضافية
يجب توجيه المراسلات والطلبات للحصول على المواد إلى ب.م.
معلومات إعادة الطباعة والتصاريح متاحة علىwww.nature.com/reprints.
ملاحظة الناشر: تظل شركة سبرينجر ناتشر محايدة فيما يتعلق بالمطالبات القضائية في الخرائط المنشورة والانتماءات المؤسسية.
معلومات إعادة الطباعة والتصاريح متاحة علىwww.nature.com/reprints.
ملاحظة الناشر: تظل شركة سبرينجر ناتشر محايدة فيما يتعلق بالمطالبات القضائية في الخرائط المنشورة والانتماءات المؤسسية.
الوصول المفتوح هذه المقالة مرخصة بموجب رخصة المشاع الإبداعي النسبية – غير التجارية – بدون مشتقات 4.0 الدولية، التي تسمح بأي استخدام غير تجاري، ومشاركة، وتوزيع، واستنساخ في أي وسيلة أو صيغة، طالما أنك تعطي الائتمان المناسب للمؤلفين الأصليين والمصدر، وتوفر رابطًا لرخصة المشاع الإبداعي، وتوضح إذا قمت بتعديل المادة المرخصة. ليس لديك إذن بموجب هذه الرخصة لمشاركة المواد المعدلة المشتقة من هذه المقالة أو أجزاء منها. الصور أو المواد الأخرى من طرف ثالث في هذه المقالة مشمولة في رخصة المشاع الإبداعي الخاصة بالمقالة، ما لم يُشار إلى خلاف ذلك في سطر الائتمان للمادة. إذا لم تكن المادة مشمولة في رخصة المشاع الإبداعي الخاصة بالمقالة وكان استخدامك المقصود غير مسموح به بموجب اللوائح القانونية أو يتجاوز الاستخدام المسموح به، فستحتاج إلى الحصول على إذن مباشرة من صاحب حقوق الطبع والنشر. لعرض نسخة من هذه الرخصة، قم بزيارةhttp://creativecommons.org/licenses/by-nc-nd/4.0/.
© المؤلف(ون) 2024
© المؤلف(ون) 2024
- قسم الكيمياء العضوية، كلية الكيمياء، جامعة مازندران، صندوق بريد 47416-95447، بابلسر، إيران.
البريد الإلكتروني:b.maleki@umz.ac.ir
Journal: Scientific Reports, Volume: 14, Issue: 1
DOI: https://doi.org/10.1038/s41598-024-68316-8
PMID: https://pubmed.ncbi.nlm.nih.gov/39075155
Publication Date: 2024-07-29
DOI: https://doi.org/10.1038/s41598-024-68316-8
PMID: https://pubmed.ncbi.nlm.nih.gov/39075155
Publication Date: 2024-07-29
scientific reports
a sustainable and eco-friendly approach for the synthesis of heterocycle derivatives using a novel dendrimer template nanocatalyst
Keywords Green chemistry, Magnetic nanoparticles, Dendrimer, Spirooxindole-pyran, Xanthene
The emphasis on advanced and green chemistry in trendy organic synthesis has increased significantly in the past few years, such as not utilizing hazardous or harmful reagents and solvents, using recyclable and inexpensive catalysts, and avoiding inappropriate reaction conditions. Through the years, there has been a growing interest in the use of environmentally friendly reagents or solvents, acceptable atom economy, and optimizing organic synthesis conditions to minimize energy consumption .
The emphasis on advanced and green chemistry in trendy organic synthesis has increased significantly in the past few years, such as not utilizing hazardous or harmful reagents and solvents, using recyclable and inexpensive catalysts, and avoiding inappropriate reaction conditions. Through the years, there has been a growing interest in the use of environmentally friendly reagents or solvents, acceptable atom economy, and optimizing organic synthesis conditions to minimize energy consumption
Today, one of the greatest challenges in the industry or organic developments is finding ways to utilize clean and sustainable chemical technologies to produce beneficial chemicals. Including methods to achieve this important goal is to use stable catalysts that work in the green chemistry. Researchers’ investigation indicates that the use of heterogeneous catalysts in chemical industrial processes has gained a special place. These catalysts are environmentally friendly and help produce sustainable fuels and many essential chemicals
.
Nanotechnology is one of the most important parts of modern scientific fields. Nanoscience allows scientists in various fields like medicine, engineering, and chemistry to achieve significant progress in line with their goals at the molecular and cellular levels. In recent years, due to their unique size and high surface area, magnetic nanoparticles have found special applications in industry and the biological sciences, such as gene therapy, drug delivery, information storage, sensors, etc
.
Magnetic nanoparticles have been considered due to special features such as low toxicity, compatibility with the environment, cheapness of the surface that can be changed with different groups, and easy magnetic removal
. Magnetic resonance imaging, gene therapy, biosensors, and cancer treatment can be mentioned among the applications of magnetic nanoparticles. However, being in an acidic environment and air (oxidizing) causes a change in magnetic properties, followed by a reduction in the absorption capacity and its application range
. Stabilization of magnetic nanoparticles with the help of magnetic core-shells, which have the advantages of a core and a wide range of shells, is a suitable solution to overcome this limitation, and has attracted much
attention in studies
. Silica is one of the best reagents because its surface contains hydroxyl functional groups, which can connect with various linkers. In addition, this composition has high compatibility and good stability
.
Dendrimers, which are a type of branched polymer composed of repeating units that extend outward from a central core, have gained popularity. Significant attention because of their high geometric symmetry controllable, molecular weight, and well-defined molecular structure. In addition to their water solubility, multivalency, and entrapment of hydrophilic drug molecules, dendrimers have been referred to as polymeric drug delivery systems
.
Thiosemicarbazide is a beneficial structural component that has the potential to perform chemical functions in biologically active molecules, and further investigation of this structure can lead to the discovery of a basis for a novel type of therapeutic agent. Research shows that their derivatives have antibacterial, anti-tumor, antifungal, and anti-seizure activities. On the other hand, they are also considered good antioxidants (Fig. 1). They are a special group of organic compounds that is known not only for its diverse biological activities but also as a metal chelating and anti-corrosion agent
.
Xanthenes are heterocyclic compounds. This group of organic compounds has a vast array of biological and medicinal properties, including anti-cancer, photodynamic therapy, antibacterial, antiviral, and anti-inflammatory
. Another type of heterocyclic compound that has superior biological and medicinal properties is spirooxindole-pyran. Among these properties are anti-bacterial, anti-microbial, anti-cancer, anti-tumor, antiallergy, antimicrobial, and anti-HIV
(Fig. 2).
Based on our previous research on the synthesis of catalysts and their application
, herein we have developed a novel strategy for the synthesis of a recyclable dendrimer-templated catalyst containing thiosemicarbazide coordinated with inexpensive copper metal. Then, to show its capability, we used the above catalyst in the synthesis of xanthene and spirooxindole-pyran derivatives.
Experimental
All chemicals were purchased from Merck and Sigma Aldrich and used without purification. X-ray diffraction (XRD) patterns were obtained using the Philips PW-1830. The Electro thermal 9100 apparatus was used to determine of melting points. Magnetic analysis curves were recorded using the VSM model MDKB from Danesh Pajohan Kavir Co. Kashan, Iran. The FT-IR Spectra were detected using the Shimadzu IR-470 spectrophotometer. The
and
spectra of the products were recorded with a Bruker DRX 400 -Avance spectrometer. TEM images were obtained by TEM Philips EM-208S. The SEM images were recorded via a SEM VEGA3. The EDS analysis was done using MAP, LINE SCAN. Termogravimetric analysis (TGA) was recorded with TGA STA6000.
Preparation of
The synthetic steps of
were followed according to previously reported literature
of APTES were added to 1 g of
which was subjected to ultrasonic waves in 30 ml of dry toluene. 24 h were spent stirring the mixture under reflux conditions. Finally, it was collected using an external magnetic field, washed with toluene and dried.

Figure 1. Some thiosemicarbazide structures have biological properties.

Figure 2. Biologically active compounds with xanthene and spirooxindole skeletons.
Preparation of
1 g of the nanoparticle from the previous step was subjected to ultrasonic waves in dry THF ( 40 ml ). In the next step, cyanuric chloride (TCT) ( 0.5 g ) and
were added to it and stirred for 6 h at a temperature of
under nitrogen gas. Finally, the nanoparticles were separated with the help of the magnetic field and washed several times with THF.
Preparation of
@
@
-TCT-Mel
1 g of
-TCT nanoparticles were dispersed in 40 ml of dry THF. Then, 8 mmol of melamine and 1 ml of
were separately dissolved in dry THF and slowly added to the reaction container containing nanoparticles. The solution was mechanically stirred at
for 5 h and 8 h at room temperature under a nitrogen atmosphere.
-TCT-Mel as separated using the magnet, washed with THF, and then dried.
Preparation of
1 g of
-TCT-Mel nanoparticles were dispersed in 30 ml of dry toluene. Then 6 ml of 1,3-dibromopropane and 0.1 g sodium iodide were added in a nitrogen atmosphere and refluxed for 30 h . After finishing the reaction, it was separated with a magnet, washed with ethyl acetate, and then dried.
Preparation of
thiosemicarbazide-Cu
NTMPThio-Cu)
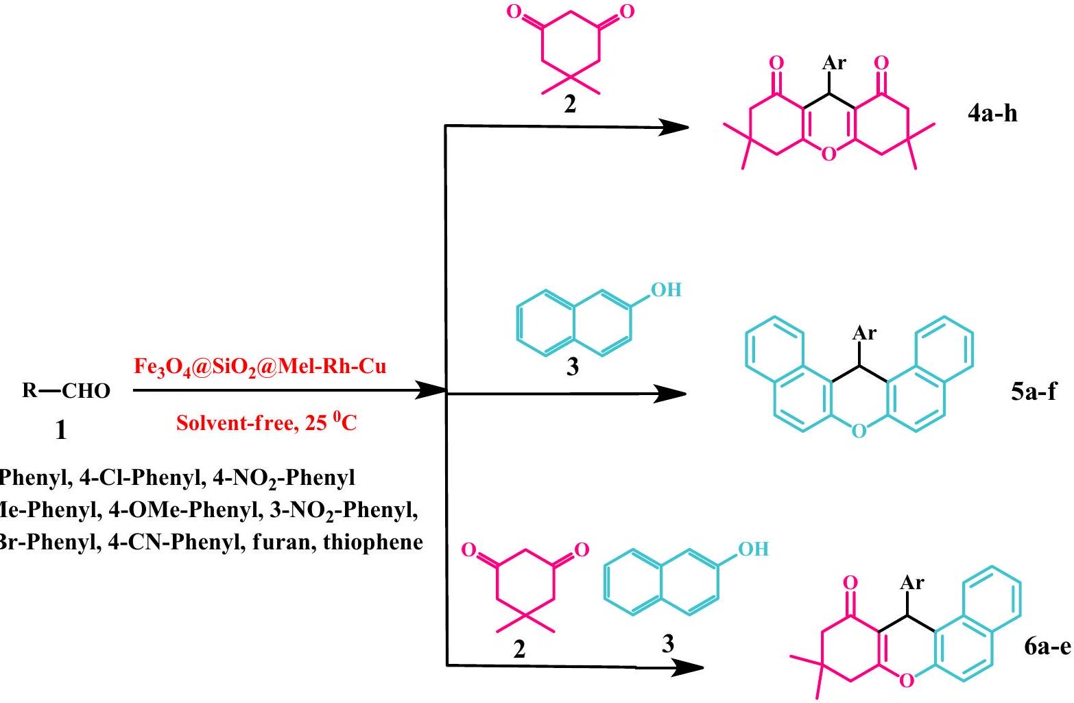
General procedure for the synthesis of xanthenes
A mixture of dimedone ( 2 mmol ), and/or
-naphthol ( 2 mmol ), aromatic aldehyde ( 1 mmol ), and
@
in the solvent-free conditions and was stirred for 10 min at
. Following the reaction’s completion (follow up with help from TLC),
was added to the reaction medium, and the catalyst was collected by the magnetic field. The solid product recrystallized from EtOH (Scheme 2).
General procedure for the synthesis of spirooxindole-pyran derivatives (10a-t)
1 mmol of isatins, 1 mmol of malononitrile, 1 mmol of 1,3 -dicarbonyl compounds, and
@SiO
NTMPThio- Cu were stirred at
under solvent-free conditions. After completing the reaction (which was monitored by TLC), EtOH was added to the mixture. After separating the catalyst, the products were purified in EtOH (Scheme 3).

Scheme 1. Preparation of
catalyst.
Spectral data for selected products
Compound
and
,
, 162.5, 196.3.
Compound
and
(s, 1 H ),
, 130.1, 147.4, 151.5, 163.0, 196.2.
Compound (5a)
, 129.1, 129.5, 131.1, 131.3, 132.1, 143.5, 148.7.
Compound (5c)
:
,
: 20.8, 37.6, 117.4, 118.0, 122.7, 124.2, 126.7, 128.1, 128.7, 129.1, 131.0, 131.4, 135.8, 142.1, 148.6.
Compound (5f)
,
NMR
:
, 146.9, 148.1, 148.7.

Scheme 2. Preparation of xanthenes in the presence of
NTMPThio-Cu.

Scheme 3. Preparation of spirooxindole-pyran derivatives in the presence of
.
Compound (6b)
and
, 7.15-7.19 (m, 2H,), 7.30-7.33 (m, 2H), 7.35 (d, 1H), 7.40-7.44 (m, 1H), 7.45-7.49 (m, 1H), 7.80-7.83 (m, 2H),
,
.
Compound (6d)
:
and
,
NMR
,
): 27.1, 31.1, 34.3, 36.1, 42.4, 52.0, 114.0, 116.2, 118.2, 123.3, 125.8, 126.6, 128.5, 129.9, 129.9, 131.2, 131.4, 146.8, 152.0, 164.3, 197.0.
Compound (10a)
,
,
.
Compound ( 10 f)
,
,
, 128.82, 136.16, 141.50, 150.13, 152.70, 158.64, 159.98, 177.85.
Compound (10m)
(s, 1 H ),
, 111.70, 123.92, 126.08, 128.50, 137.03, 141.38, 159.18, 167.053, 178.40, 195.71.
Compound (10o)
,
: 20.15, 27.22, 36.73, 47.61, 57.25, 111.01, 111.70, 123.92, 126.08, 128.50, 137.03, 141.38, 159.18, 167.053, 178.40, 195.71.
Compound (10l)
(
),
: 47.47, 57.19, 91.42, 111.12, 117.20, 124.84, 126.36, 128.91, 135.51, 141.50, 153.59, 158.72, 159.75, 174.53 and 177.56.
Ethical approval
This work does not contain any studies with human participants or animals performed by any of the authors.
Results and discussions
A rational design aimed at preparing a novel high-performance and recyclable dendrimer-templated nanocatalyst containing thiosemicarbazide is brought up (Scheme 1). First, magnetic nanoparticles were synthesized using the co-precipitation method, then they were covered with a coating of silica to protect and achieve a modifiable surface with spherical morphology. In the following step, the surface was modified with APTES, and after that, 1, 3-dibromopropane, cyanuric chloride, melamine, and thiosemicarbazide were placed in the last step. Then Cu metal was placed in suitable conditions to perform the preparation of xanthene and spirooxindole-pyran derivative reactions.
Functional groups in the catalyst synthesis periods were checked using FT-IR spectroscopy (Fig. 3). The peak in the region of
is caused by the stretching vibration of the
bond. The formation of a
network with two peaks in the regions of 955 and
was determined, which indicates the formation of the surface silanol group (
). The peak at
is attributed to the
bending bond. The sight of distinguishable peaks at 2890 and
are relevant to the symmetric and asymmetric vibrations of the C-H groups of propyl carbon chains, respectively, which appear after the immobilization of APTES on
spectrum). The stretching vibration mode of
and
in triazine rings in cyanuric chloride and melamine is observed in the range of
, and
-TCT-Mel spectrums). The 3418 and
bands are due to the asymmetric and symmetric stretching vibrations of the N-H bonds of melamine (
-TCT-Mel spectrum). The
bond bending appears in the region of
, which proves the bond between melamine and 1,3-dibromopropane. The disappearance of this peak in
TCT-Mel-Pr-Thiosemicarbazide indicates the successful bonding between thiosemicarbazide and
@SiO
@
-TCT-Mel-PrBr. On the other hand, effective performance of
-TCT-Mel-PrBr as a result of

Figure 3. FT-IR synthesis steps of
NTMPThio-Cu.
thiosemicarbazide covalent binding of carbazide with IR absorption bands of 3177,3264 , and
due to the presence of the free
group, also, the presence of
and
stretching bonds at 1283 and
was shown respectively (Thiosemicarbazide and
-TCT-Mel-Pr-Thiosemicarbazide-Cu(II) spectrums). The shifting of the peaks from 1395, 1620, 1656, 1777, 3177, and
to
, 1737, 3118 , and
respectively, indicates the stabilization of copper metal (
-TCT-Mel-Pr-Thiosemicarbazide-Cu(II) spectrum).
The crystallinity of
@SiO
@NTMPThio-Cu synthesis was investigated using XRD analysis (Fig. 4). The similar peaks in the synthesized catalyst compared to
show that the nanoparticles are nicely crystallized and its crystalline phase did not change during the synthesis step
, and 62.5 were attribute to (220), (311), (400), (422), (511), and (440) reflections).
The thermal stability of
and
was investigated through TGA analysis. The samples exhibit slight weight loss (below
), which is attributed to the removal of physically absorbed water molecules from the surface. The decrease in weight percentage is
and
for
@
and
, respectively, which is due to the separation of different groups of
-TCT and
-TCT-Mel-Pr-Thiosemicarbazide-Cu(II) immobilized on the surface, which indicates the successful modification of
(Fig. 5).

Figure 4. XRD patterns of the
and
NTMPThio-Cu.

Figure 5. TGA thermograms of (A)
and (B)
NTMPThio-Cu.

Figure 6. FE-SEM images of
NTMPThio-Cu.

Figure 7. TEM images of
NTMPThio-Cu.
TEM and FE-SEM morphological examination shows that magnetic nanoparticles. By placing the silica layer and immobilizing the ligands on the substrate, they have a spherical structure with an average particle size of 25.5 nm. TEM images of
@
@NTMPThio-Cu show that the black spherical nanoparticles of
are covered by a layer of
and
-TCT-Mel-Pr-Tiosemicarbazide-Cu(II) (Figs. 6 and 7).
The magnetic behavior of
was measured at ambient temperature using VSM analysis. The magnetic properties of the synthesized
nanoparticles are
, while the saturation magnetization of
, which shows that the catalyst has maintained its magnetic behavior (Fig. 8).
In this manuscript, we have sought to utilize the fundamental property of copper metal on a dendrimer. Considering the advantages of employing heterogeneous catalytic systems, the synthesis of these systems is of great importance. To achieve this goal, it was necessary to select a suitable support and ligands for the desired outcome. Nano silica presents itself as an appropriate option due to the presence of suitable functional groups on its surface. After that, cyanuric chloride, followed by melamine and thiosemicarbazide were used to produce dendrimer template multi-branched grafts. Lastly, the copper metal complex was formed with the aid of the atoms in thiosemicarbazide. Moreover, for the purpose of facilitating the separation and reusability of the catalyst, the nanocatalyst was magnetized. This allowed for easy separation from the reaction environment through the use of an external magnetic field, enabling reusability in subsequent steps.
The synthesis reaction of xanthenes, and spirooxindole-pyrans in the presence of
NTMPThioCu was chosen to show the catalytic activity (Schemes 2 and 3).
To detect the optimal conditions for synthesizing xanthenes, the reaction of
-naphthol ( 2 mmol ) with benzaldehyde ( 1 mmol ) was investigated as a model reaction in the presence of the catalyst. Initially, the reaction was carried out various solvents, including
, and solvent-free conditions. It was shown that showed that the reaction proceeded with a higher yield under solvent-free conditions (Table 1, entries 1-5). In the next step, we measured the temperature conditions. Raising the temperature up to
had no result in increasing the product yields. Therefore, the temperature of
was selected as the optimal temperature (Table 1, entries 5-7). In the next step, different amounts of the catalyst were evaluated to obtain the optimal amount; increasing to 30 mg did not affect the efficiency of the catalyst (Table 1, entry 5 and entries 8-11). The reaction in catalyst-free conditions was associated with a negligible yield (Table 1, entry 12).
After determining the optimal conditions, the catalyst’s performance was assessed. Employing the reaction of aryl aldehydes,
-naphthol, and dimedone for the synthesis of xanthene derivatives in the vicinity of
@
NTMPThio- Cu (Table 2). The obtained outcomes in Table 2 indicate that aldehydes that contain electronwithdrawing groups produce products with higher yields in a shorter time. On the other hand, in the aldehydes with electron-donating groups, the observations made showed the reaction yield was somewhat lower after relatively longer times.
Following that, to determine the optimal conditions in the synthesis of spirooxindole-pyran derivatives, malonitrile ( 1 mmol ), dimedone ( 1 mmol ), and isatin ( 1 mmol ) were selected as model reactions. First, the reaction in the adjacency of
was experimented with in different solvents, including
, and solvent-free conditions. According to the obtained data, the highest efficiency obtained in 4 min (
yield) was achieved in solvent-free conditions (Table 3, entries 1-5). Furthermore, no significant change in the product yield was observed when the temperature was increased to
(Table 3, entries 5-7). In addition, raising the amount of the catalyst from 10 to 15 mg increased the yield from 92 to
, but the reaction yield did not change with a further increase in the amount of the catalyst (Table 3, entry 5, and

Figure 8. VSM spectra of
and
NTMPThio-Cu.
| Entry | Catalyst (mg) | Solvent | Temp (
|
Time (min) | Yield (%) |
| 1 |
|
EtOH | 25 | 12 | 85 |
| 2 |
|
|
25 | 12 | 60 |
| 3 |
|
|
25 | 12 | 75 |
| 4 |
|
|
25 | 12 | 80 |
| 5 |
|
Solvent-free | 25 | 12 | 97 |
| 6 |
|
Solvent-free | 40 | 12 | 97 |
| 7 |
|
Solvent-free | 60 | 12 | 97 |
| 8 |
|
Solvent-free | 25 | 12 | 90 |
| 9 |
|
Solvent-free | 25 | 12 | 97 |
| 10 |
|
Solvent-free | 25 | 12 | 97 |
| 11 |
|
Solvent-free | 25 | 12 | 97 |
| 12 | – | Solvent-free | 25 | 12 | Trace |
Table 1. Synthesis xanthenes using
mmol benzaldehyde, in the presence of
NTMPThio-Cu. Significant values are in [bold].
entries 8-10). The model reaction was not efficient in the absence of the catalyst, and in the presence of
@
and
-TCT-Mel, it was associated with a lower efficiency than the catalyst
@ Mel-Rh-Cu (Table 3, entry 5, and entries 11-13).
To expand the reaction scope, we operated
reaction of, malononitrile, isatin derivatives, and 1,3-dicarbonyl compounds. The results showed that the products were achieved with excellent efficiency after a short period of reaction time (Table 4).
In the previous literature, numerous catalysts have been used in the synthesis of xanthene and spirooxindolepyran derivatives. In continuation, the performance of the synthesized catalyst was assessed by comparing it to other catalysts in model reactions (Table 5). As shown,
gave the best yield in the shortest reaction time under solvent-free conditions at
.
The synthetic mechanism of xanthenes and spirooxindole-pyran derivatives is given in Schemes 4 and 5.
Synthetic mechanism of xanthene derivatives: At first, by activating the carbonyl group, the catalyst makes aldehydes more sensitive to nucleophilic attack by dimedone to form intermediate (A), in the next step, another molecule of dimedone is added by Michael to form intermediate (B). By eliminating and intramolecular cyclization, it leads to the production of the desired product (Scheme 4).
Synthetic mechanism of xanthene derivatives: At first, by activating the carbonyl group, the catalyst makes aldehydes more sensitive to nucleophilic attack by dimedone to form intermediate (A), in the next step, another molecule of dimedone is added by Michael to form intermediate (B). By eliminating
The possible route for synthesizing spirooxindole-pyran in the presence of
shown in Scheme 5. First, carbonyl functional groups are activated by copper (II) ions in the catalyst, and condensation reactions are facilitated. The carbonyl group in isatin can be activated by
, and nucleophilic attack by CH malononitrile acid group with knoevenagel condensation and intermediate (A) is obtained. Then, by the addition of Michael by dimedone and enolization, intermediate (B) is formed. Finally, the desired product is obtained by nucleophilic attack through oxygen to the nitrile group and tautomerization.
Recycling of catalyst
One of the major challenges faced by chemists involved in catalyst synthesis is to ensure that the catalysts can be reused. Therefore, researching about this great issue is inevitable. In this experiment, after separating the catalyst, we washed it with EtOH and dried it for reuse. Studies have shown that at least eight steps can be performed using this catalyst without much change in performance (Fig. 9). Also, for further study, FE-SEM image, FT-IR spectrum, and XRD patterns have been checked after 8 recycling cycles, which do not show any significant difference. (Fig. 10).
Examination of the possible leaching of copper nanoparticles from the nanocatalyst on the model reactions was also analyzed. The consequences of ICP-OES analysis indicated that the amount of Cu leaching in the catalyst after 7 recycling steps is
by weight, which is very insignificant considering the loading of Cu in the fresh catalyst, which is
by weight. These evidences demonstrate the heterogeneous nature and suitable stability of the catalyst.
Conclusion
In order to create green nanocatalysts that are high-performing, environmentally friendly, reusable, and recyclable for a minimum of 8 consecutive cycles without a considerable loss of activity, we have successfully synthesized a novel and stable pseudo-dendrimeric magnetic core-shell catalyst. The catalyst was identified using different analytical methods. The performance of
of xanthene and spirooxindole-pyran derivatives. The above-developed method has several advantages, such as ease of magnetic separation, reusability, short reaction time, excellent product yield, mild reaction conditions, an easy working method, and the use of inexpensive copper metal.
| Entry | Product | Time (min) | Yield (%) | MP
|
||
| 1 |
|
12 | 97 |
|
||
| 2 |
|
10 | 98 | 232-233
|
||
| 3 |
|
15 | 98 |
|
||
| 4 |
|
20 | 92 | 229-230
|
||
| 5 |
|
20 | 94 |
|
||
| Continued | ||||||
| Entry | Product | Time (min) | Yield (%) | MP
|
||
| 6 |
|
25 | 96 |
|
||
| 7 |
|
20 | 96 | 286-287
|
||
| 8 |
|
60 | 92 |
|
||
| 9 |
|
50 | 92 | 151-152
|
||
| 10 |
|
12 | 96 |
|
||
| Continued | ||||||
| Entry | Product | Time (min) | Yield (%) | MP
|
||
| 11 |
|
10 | 98 |
|
||
| 12 |
|
10 | 96 |
|
||
| 13 |
|
10 | 96 |
|
||
| 14 |
|
10 | 96 | 316-318
|
||
| Continued |
| Entry | Product | Time (min) | Yield (%) | MP
|
||
| 15 |
|
15 | 92 | 220-221
|
||
| 16 |
|
15 | 90 | 202-204
|
||
| 17 |
|
20 | 90 |
|
||
| 18 |
|
20 | 98 | 176-177
|
||
| Continued | ||||||
| Entry | Product | Time (min) | Yield (%) | MP
|
||
| 19 |
|
20 | 96 | 199-201
|
||
| 20 |
|
20 | 96 |
|
||
| 21 |
|
22 | 88 |
|
||
| 22 |
|
90 | 80 |
|
Table 2. Synthesis of derivatives 4a-f, 5a-f and 6a-d by
NTMPThio-Cu. Reaction conditions: solvent-free conditions, aldehydes: dimedone or
-naphthol (
or 2 mmol ),
NTMPThio-Cu.
| Entry | Catalyst (mg) | Solvent | Temp (
|
Time (min) | Yield (%) |
| 1 |
|
EtOH | 25 | 4 | 98 |
| 2 |
|
THF | 25 | 4 | 75 |
| 3 |
|
|
25 | 4 | 65 |
| 4 |
|
|
25 | 4 | 95 |
| 5 |
|
Solvent-free | 25 | 4 | 98 |
| 6 |
|
Solvent-free | 40 | 4 | 98 |
| 7 |
|
Solvent-free | 60 | 4 | 98 |
| 8 |
|
Solvent-free | 25 | 4 | 92 |
| 9 |
|
Solvent-free | 25 | 4 | 98 |
| 10 |
|
Solvent-free | 25 | 4 | 98 |
| 11 |
|
Solvent-free | 25 | 4 | 30 |
| 12 |
|
Solvent-free | 25 | 4 | 88 |
| 13 | – | Solvent-free | 25 | 4 | – |
Table 3. Synthesis spirooxindole-pyran using
benzaldehyde ( 1 mmol ), malononitrile ( 1 mmol ) and isatin ( 1 mmol ). Significant values are in [bold].
| Entry | Product | Time (min) | Yield (%) |
|
| 1 | 10 a | 12 | 97 |
|
| 2 | 10 b | 10 | 98 |
|
| 3 | 10 c | 15 | 98 |
|
| 4 | 10 d | 20 | 92 |
|
| Continued |
| Entry | Product | Time (min) | Yield (%) | MP
|
||
| 5 | 10 e | 20 | 94 | 229-230
|
||
| 6 | 10 f | 25 | 96 |
|
||
| 7 | 10 g | 20 | 96 |
|
||
| 8 | 10 h | 12 | 96 |
|
||
| 9 |
|
10 | 98 |
|
||
| Continued |
| Entry | Product | Time (min) | Yield (%) |
|
| 10 | 10 j | 10 | 96 |
|
| 11 | 10 k | 10 | 96 |
|
| 12 | 101 | 10 | 96 |
|
| 13 | 10 m | 15 | 92 |
|
| 14 | 10 n | 15 | 90 |
|
| Continued |
| Entry | Product | Time (min) | Yield (%) | MP
|
| 15 | 100 | 20 | 90 |
|
| 16 | 10 p | 20 | 98 |
|
| 17 | 10 q | 20 | 96 |
|
| 18 | 10 r | 20 | 96 |
|
Table 4. Synthesis spirooxindole-pyran by
NTMPThio-
.
| Sample | Conditions | Time | Yield (%) |
![]() |
This research/solvent free/
|
12 min | 98 |
| Amberlyst-15/
|
2 | 93 | |
| Silica-supported
|
h | 98 | |
| SBA-15/
|
30 min | 95 | |
| Cellulose sulphate/no solvent/
|
24 h | 97 | |
|
|
1 h | 93 | |
| Potassium aluminum sulfate
|
3 h | 90 | |
|
|
3 h | 98 | |
| This research /solvent free
|
4 min | 98 | |
| L-proline /
|
20 min | 94 | |
|
|
120 min | 95 | |
|
|
20 min | 95 | |
| Magnesia
|
120 min | 95 | |
| PSGO-
|
120 min | 96 | |
| Silica sulfuric acid NPs/EtOH/80
|
30 min | 96 |
Table 5. Catalyst comparison of
NTMPThio- Cu and other catalysts.

Scheme 4. Synthetic mechanism of xanthene derivatives.

Scheme 5. Synthetic mechanism of spirooxindole-pyran derivatives.

Figure 9. Recyclability of the catalyst in xanthene and spirooxindole-pyran synthesis model reaction.

Figure 10. FE-SEM, FTIR spectra, and XRD patterns after recycling.
Data availability
The datasets used and/or analysed during the current study available from the corresponding author on reasonable request.
Received: 17 May 2024; Accepted: 22 July 2024
Published online: 29 July 2024
Published online: 29 July 2024
References
- Venkatesan, K., Sundarababu, J. & Anandan, S. S. The recent developments of green and sustainable chemistry in multidimensional way: Current trends and challenges. Green Chem. Lett. Rev. 17, 2312848 (2024).
- Hoffman, K. C. & Dicks, A. P. Incorporating the United Nations sustainable development goals and green chemistry principles into high school curricula. Green Chem. Lett. Rev. 16, 2185108 (2023).
- Peiman, S., Maleki, B. & Ghani, M.
Mel-Rh-Cu: A high-performance, green catalyst for efficient xanthene synthesis and its application for magnetic solid phase extraction of diazinon followed by its determination through HPLC-UV. Chem. Methodol. 8, 257-278. https://doi.org/10.48309/chemm.2024.442693.1767 (2024). - Azizi, M., Maleki, A. & Hakimpoor, F. Solvent, metal and halogen-free synthesis of sulfoxides by using a recoverable heterogeneous urea-hydrogen peroxide silica-based oxidative catalytic system. Catal. Commun. 100, 62-65 (2017).
- Maleki, A. An efficient magnetic heterogeneous nanocatalyst for the synthesis of pyrazinoporphyrazine macrocycles. Polycycl. Aromat. Compd. 38, 402-409 (2018).
- Maleki, A. & Kari, T. Novel leaking-free, green, double core/shell, palladium-loaded magnetic heterogeneous nanocatalyst for selective aerobic oxidation. Catal. Lett. 148, 2929-2934 (2018).
- Dourandish, Z. et al. Recent advances in electrochemical sensing of anticancer drug doxorubicin: A mini-review. Chem. Methodol. 8, 293-315. https://doi.org/10.48309/chemm.2024.441220.1761 (2024).
- Mittelheisser, V. et al. Evidence and therapeutic implications of biomechanically regulated immunosurveillance in cancer and other diseases. Nat. Nanotechnol. 19, 1-17 (2024).
- Jabar, S. M. & Al-Shammaree, S. A. W. Cytotoxicity and anticancer effect of chitosan-Ag NPs-doxorubicin-folic acid conjugate on lungs cell line. Chem. Methodol. 7, 1-14. https://doi.org/10.22034/chemm.2023.359769.1604 (2023).
- Peiman, S., Baharfar, R. & Maleki, B. Immobilization of trypsin onto polyamidoamine dendrimer functionalized iron oxide nanoparticles and its catalytic behavior towards spirooxindole-pyran derivatives in aqueous media. Mater. Today Commun. 26, 101759 (2021).
- Farajpour, M., Vahdat, S. M., Baghbanian, S. M. & Hatami, M. Ag-SiO
nanoparticles: Benign, expedient, and facile nano catalyst in synthesis of decahydroacridines. Chem. Methodol. 7, 540-551. https://doi.org/10.22034/chemm.2023.386678.1653 (2023). - Eldeeb, B. A., El-Raheem, W. M. A. & Elbeltagi, S. Green synthesis of biocompatible
magnetic nanoparticles using Citrus sinensis peels extract for their biological activities and magnetic-hyperthermia applications. Sci. Rep. 13, 19000 (2023). - Gao, G., Di, J.-Q., Zhang, H.-Y., Mo, L.-P. & Zhang, Z.-H. A magnetic metal organic framework material as a highly efficient and recyclable catalyst for synthesis of cyclohexenone derivatives. J. Catal. 387, 39-46 (2020).
- Zhang, M., Liu, Y.-H., Shang, Z.-R., Hu, H.-C. & Zhang, Z.-H. Supported molybdenum on graphene oxide/
: An efficient, magnetically separable catalyst for one-pot construction of spiro-oxindole dihydropyridines in deep eutectic solvent under microwave irradiation. Catal. Commun. 88, 39-44 (2017). - Chen, M.-N., Mo, L.-P., Cui, Z.-S. & Zhang, Z.-H. Magnetic nanocatalysts: Synthesis and application in multicomponent reactions. Curr. Opin. Green Sustain. Chem. 15, 27-37 (2019).
- Maleki, A. Synthesis of imidazo [1,2-a] pyridines using
@ as an efficient nanomagnetic catalyst via a one-pot multicomponent reaction. Helv. Chim. Acta 97, 587-593 (2014). - Baharfar, R., Peiman, S. & Maleki, B.
@ @ D-NHCS-Tr as an efficient and reusable catalyst for the synthesis of indol-3-yl-4 H-chromene via a multi-component reaction under solvent-free conditions. J. Heterocycl. Chem. 58, 1302-1310 (2021). - Peiman, S., Baharfar, R. & Hosseinzadeh, R. CuI NPs immobilized on a ternary hybrid system of magnetic nanosilica, PAMAM dendrimer and trypsin, as an efficient catalyst for
-coupling reaction. Res. Chem. Intermed. 48, 1365-1382 (2022). - Maleki, A., Rahimi, R. & Maleki, S. Efficient oxidation and epoxidation using a chromium (VI)-based magnetic nanocomposite. Environ. Chem. Lett. 14, 195-199 (2016).
- Suetsuna, T., Suenaga, S., Takahashi, T. & Harada, K. Synthesis of self-forming core/shell nanoparticles of magnetic metal/nonmagnetic oxide. Acta Mater. 78, 320-327 (2014).
- Zhao, F. et al. Synthesis of
-zeolite materials and application to the adsorption of gallium and indium. J. Chem. Eng. Data 60, 1338-1344 (2015). - Wang, Y.-M. et al. Molybdenum disulfide-catalyzed direct
-hydroxymethylation of amides employing methanol as a sustainable C1 source under photoirradiation. J. Catal. 427, 115100 (2023). - Naghizadeh, M., Taher, M. A., Tamaddon, A.-M., Borandeh, S. & Abolmaali, S. S. Microextraction of gadolinium MRI contrast agent using core-shell
@ SiO nanoparticles: Optimization of adsorption conditions and in-vitro study. Environ. Nanotechnol. Monit. Manag. 12, 100250 (2019). - Hasani, M. & Ghods, M. M-polynomials and topological indices of porphyrin-cored dendrimers. Chem. Methodol. 7, 288-306. https://doi.org/10.22034/chemm.2023.370497.1626 (2023).
- Bodaghifard, M. A., Allahbakhshi, H. & Ahangarani-Farahani, R. Efficient synthesis of benzoacridines and indenoquinolines catalyzed by acidic magnetic dendrimer. Sci. Rep. 14, 8736 (2024).
- Shailey Singhal, S. S., Shefali Arora, S. A., Shilpi Agarwal, S. A., Rajan Sharma, R. S. & Naveen Singhal, N. S. A review on potential biological activities of thiosemicarbazides. World J. Pharm. Pharm. Sci. 6, 4661 (2013).
- Arora, S., Agarwal, S. & Singhal, S. Anticancer activities of thiosemicarbazides/thiosemicarbazones: A review. Int. J. Pharm. Pharm. Sci. 6, 34 (2014).
- El-Atawy, M. A., Omar, A. Z., Hagar, M. & Shashira, E. M. Transalkylidation reaction: Green, catalyst-free synthesis of thiosemicarbazones and solving the NMR conflict between their acyclic structure and intramolecular cycloaddition products. Green Chem. Lett. Rev. 12, 364-376 (2019).
- Azizi, M., Maleki, A., Hakimpoor, F., Ghalavand, R. & Garavand, A. A mild, efficient and highly selective oxidation of sulfides to sulfoxides catalyzed by lewis acid-urea-hydrogen peroxide complex at room temperature. Catal. Lett. 147, 2173-2177 (2017).
- Alipour, A. & Naeimi, H. Design, fabrication and characterization of magnetic nickel copper ferrite nanocomposites and their application as a reusable nanocatalyst for sonochemical synthesis of 14-aryl-14-H-dibenzo [a, j] xanthene derivatives. Res. Chem. Intermed. 49, 2705-2723 (2023).
- Zare, A. & Mostaghar, F. Construction of a novel magnetic nanomaterial, and its utility as an effectual catalyst for the fabrication of 1, 8-dioxo-octahydroxanthenes. Chem. Methodol. 8, 23-36. https://doi.org/10.48309/chemm.2024.422175.1733 (2023).
- Azizi, N., Farzaneh, F. & Farhadi, E. Streamlining efficient and selective synthesis of benzoxanthenones and xanthenes with dual catalysts on a single support. Sci. Rep. 13, 16469 (2023).
- Ardeshirfard, H. & Elhamifar, D. Magnetic cobalt oxide supported organosilica-sulfonic acid as a powerful nanocatalyst for the synthesis of tetrahydrobenzo [a] xanthen-11-ones. Sci. Rep. 13, 14134 (2023).
- Mohammadi Ziarani, G. et al. Convenient one-pot synthesis of spirooxindole-4H-pyrans in the presence of SBA-Pr-NH2 and evaluation of their urease inhibitory activities. J. Nanostruct. 2, 489-500 (2012).
- Maghsoodlou, M. T., Heydari, R., Mohamadpour, F. & Lashkari, M.
as an environmentally benign natural catalyst for onepot and solvent-free synthesis of spiro-4H-pyran derivatives. Iran. J. Chem. Chem. Eng. IJCCE 36, 31-38 (2017). - Tufail, F. et al. A practical green approach to diversified spirochromene/spiropyran scaffolds via a glucose-water synergy driven organocatalytic system. New J. Chem. 42, 17279-17290 (2018).
- Nasri, S., Bayat, M. & Miankooshki, F. R. Synthesis of diverse spiro-imidazo pyridine-indene derivatives via acid-promoted annulation reaction of bindone and heterocyclic ketene aminals. Sci. Rep. 12, 12550 (2022).
- Naderi, S., Sandaroos, R., Peiman, S. & Maleki, B. Novel crowned cobalt (II) complex containing an ionic liquid: A green and efficient catalyst for the one-pot synthesis of chromene and xanthene derivatives starting from benzylic alcohols. J. Phys. Chem. Solids 180, 111459 (2023).
- Darvishy, S., Alinezhad, H., Vafaeezadeh, M., Peiman, S. & Maleki, B. S-(+) Camphorsulfonic acid glycine (CSAG) as surfactantlikes brønsted acidic ionic liquid for one-pot synthesis of
-amino carbonyl. Polycycl. Aromat. Compd. https://doi.org/10.1080/ 10406638.2022.2094419 (2022). - Sandaroos, R., Maleki, B., Naderi, S. & Peiman, S. Efficient synthesis of sulfones and sulfoxides from sulfides by cobalt-based Schiff complex supported on nanocellulose as catalyst and Oxone as the terminal oxidant. Inorg. Chem. Commun. 148, 110294 (2023).
- Boroumand, H., Alinezhad, H., Maleki, B. & Peiman, S. Triethylenetetramine-grafted magnetic graphene oxide (
) as a reusable heterogeneous catalyst for the one-pot synthesis of 2-amino-4 H-benzopyran derivatives. Polycycl. Aromat. Compd. 43, 7853-7869 (2023). - Maleki, B., Sandaroos, R., Naderi, S. & Peiman, S. A crowned manganese-based Schiff complex supported on nanocellulose as an efficient and sustainable heterogeneous catalyst for the oxidation of benzyl alcohols. J. Organometall. Chem. 990, 122666 (2023).
- Naderi, S., Sandaroos, R., Peiman, S. & Maleki, B. Synthesis and characterization of a novel crowned schiff base ligand linked to ionic liquid and application of its
complex in the epoxidation of olefins. Chem. Methodol. 7, 392-404 (2023). - Maleki, B., Sandaroos, R. & Peiman, S. Mn(III) Schiff base complexes containing crown ether rings immobilized onto MCM-41 matrix as heterogeneous catalysts for oxidation of alkenes. Heliyon 9, e15041 (2023).
- Maleki, B., Jamshidi, A., Peiman, S. & Housaindokht, M. R. Tri-vanadium substituted dawson-type heteropolytungstate nanocomposite (
) as a novel, green, and recyclable nanomagnetic catalyst in the synthesis of tetrahydrobenzo [b] pyrans. Polycycl. Aromat. Compd. 44, 994-1010 (2024). - Bhale, P. S., Dongare, S. B. & Mule, Y. B. An efficient synthesis of 1, 8-dioxooctahydroxanthenes catalysed by thiourea dioxide (TUD) in aqueous media. Chem. Sci. Trans. 4, 246-250 (2015).
- Gong, K., Fang, D., Wang, H.-L., Zhou, X.-L. & Liu, Z.-L. The one-pot synthesis of 14-alkyl-or aryl-14H-dibenzo [a, j] xanthenes catalyzed by task-specific ionic liquid. Dyes pigments 80, 30-33 (2009).
- Mir, E., Hazeri, N., Faroughi Niya, H. & Fatahpour, M. Synthesis, identification and application of
@ THAM-mercaptopyrimidine nanoparticles as a novel and highly recyclable nanocatalyst in one-pot multicomponent synthesis of 1, 8-dioxooctahydroxanthenes and polyhydroquinolines. Res. Chem. Intermed. 49, 1439-1462 (2023). - Kundu, K. & Nayak, S. K. Camphor-10-sulfonic acid catalyzed condensation of 2-naphthol with aromatic/aliphatic aldehydes to 14-aryl/alkyl-14H-dibenzo [a, j] xanthenes. J. Serb. Chem. Soc. 79, 1051-1058 (2014).
- Rekunge, D. S., Khatri, C. K. & Chaturbhuj, G. U. Rapid and efficient protocol for Willgerodt-Kindler’s thioacetamides catalyzed by sulfated polyborate. Mon. Chem. Chem. Mon. 148, 2091-2095 (2017).
- Mohammadi, R., Eidi, E., Ghavami, M. & Kassaee, M. Z. Chitosan synergistically enhanced by successive
and silver nanoparticles as a novel green catalyst in one-pot, three-component synthesis of tetrahydrobenzo xanthene-11-ones. J. Mol. Catal. A Chem. 393, 309-316 (2014). - Mane, P. et al. Sodium acetate/MWI: A green protocol for the synthesis of tetrahydrobenzo
xanthen-11-ones with biological screening. Res. Chem. Intermed. 46, 231-241 (2020). - Zhang, M. et al. Catalyst-free, visible-light promoted one-pot synthesis of spirooxindole-pyran derivatives in aqueous ethyl lactate. ACS Sustain. Chem. Eng. 5, 6175-6182 (2017).
- Langroudi, J. M., Mazloumi, M., Nahzomi, H. T., Shirini, F. & Tajik, H. Tropine-based dicationic molten salt: An active catalyst in the acceleration of one-pot synthesis of spiro- 2 -amino- 4 H -pyran-oxindoles and bis- 2 -amino- 4 H -pyrans. J. Mol. Struct. 1274, 134410 (2023).
- Guo, R.-Y. et al. Meglumine: A novel and efficient catalyst for one-pot, three-component combinatorial synthesis of functionalized 2-amino-4 H-pyrans. ACS Comb. Sci. 15, 557-563 (2013).
- Umar Basha, K. N. & Gnanamani, S. An efficient and easy method for the one-pot synthesis of spirooxindoles in the presence of
. J. Heterocycl. Chem. 56, 2008-2016 (2019). - Li, Y., Chen, H., Shi, C., Shi, D. & Ji, S. Efficient one-pot synthesis of spirooxindole derivatives catalyzed by l-proline in aqueous medium. J. Comb. Chem. 12, 231-237 (2010).
- Goli-Jolodar, O., Shirini, F. & Seddighi, M. Introduction of a novel basic ionic liquid containing dual basic functional groups for the efficient synthesis of spiro-4H-pyrans. J. Mol. Liq. 224, 1092-1101 (2016).
- Raheja, B. K. & Dalal, D. S. Ammonium acetate mediated simple, rapid, and one-pot multicomponent synthesis of spirooxindole derivatives. Synth. Commun. 53, 808-822 (2023).
- Chandam, D. R., Mulik, A. G., Patil, D. R. & Deshmukh, M. B. Oxalic acid dihydrate: Proline as a new recyclable designer solvent: A sustainable, green avenue for the synthesis of spirooxindole. Res. Chem. Intermed. 42, 1411-1423 (2016).
- Thongni, A. et al. Ultrasound assisted synthesis of spirooxindole analogs catalyzed by
@ PPCA NPs: Experimental, theoretical and in vitro biological studies. J. Mol. Struct. 1284, 135363 (2023). - Pan, F.-F., Yu, W., Qi, Z.-H., Qiao, C. & Wang, X.-W. Efficient construction of chiral spiro [benzo [g] chromene-oxindole] derivatives via organocatalytic asymmetric cascade cyclization. Synthesis 46, 1143-1156 (2014).
- Zhao, H. W. et al. Highly enantioselective synthesis of chiral pyranonaphthoquinone-fused spirooxindoles through organocatalytic three-component cascade reactions. Eur. J. Org. Chem. 2015, 3320-3326 (2015).
- Kumar, C. N. S. S. P., Srinivas, C., Sadhu, P. S., Rao, V. J. & Palaniappan, S. Efficient synthesis of 14-substituted-14-H-dibenzo [a, j] xanthenes using silica supported sodium hydrogen sulfate or amberlyst-15 catalyst. J. Heterocycl. Chem. 46, 997-999 (2009).
- Liu, Y.-H., Tao, X.-Y., Lei, L.-Q. & Zhang, Z.-H. Fluoroboric acid adsorbed on silica-gel-catalyzed synthesis of 14-aryl-14 H-dibenzo [
] xanthene derivatives. Synth. Commun. 39, 580-589 (2009). - Alireza, G. M. Z. N. L. Sulfonic acid-functionalized mesoporous silica. Gen 466, 116 (2013).
- Yue, X. et al. High acidity cellulose sulfuric acid from sulfur trioxide: A highly efficient catalyst for the one step synthesis of xanthene and dihydroquinazolinone derivatives. RSC Adv. 9, 28718-28723 (2019).
- Wu, L., Yang, C., Yang, L. & Yang, L. Synthesis of 14 -substituted-14 H-dibenzo [a, j] xanthenes and 1, 8-dioxo-octahydroxanthenes using silica chloride (
) under solvent-free conditions. Phosphorus Sulfur Silicon 185, 903-909 (2010). - Mohamadpour,
as an efficient and environmentally benign natural catalyst for facile and solvent-free synthesis of xanthene derivatives. J. Appl. Chem. Res. 13, 66-80 (2019). - Tayebee, R. & Tizabi, S. Highly efficient and environmentally friendly preparation of 14 -aryl-14H dibenzo [ a , j ] xanthenes catalyzed by tungsto-divanado-phosphoric acid. Chin. J. Catal. 33, 962-969 (2012).
- Nemati, R., Elhamifar, D., Zarnegaryan, A. & Shaker, M. Magnetic silica nanocomposite supported
amine: A powerful catalyst for the synthesis of biologically active spirooxindole-pyrans. Inorg. Chem. Commun. 145, 109934 (2022). - Amini Moqadam, Z., Allahresani, A. & Hassani, H. An efficiently and quickly synthesized NiO@g-C3
nanocomposite-catalyzed green synthesis of spirooxindole derivatives. Res. Chem. Intermed. 46, 299-311 (2020). - Karmakar, B., Nayak, A. & Banerji, J. A clean and expedient synthesis of spirooxindoles in aqueous media catalyzed over nanocrystalline MgO. Tetrahedron Lett. 53, 5004-5007 (2012).
- Hojati, S. F., Amiri, A. & Mahamed, M. Polystyrene@graphene oxide-
as a novel and magnetically recyclable nanocatalyst for the efficient multi-component synthesis of spiro indene derivatives. Res. Chem. Intermed. 46, 1091-1107 (2020). - Sadeghi, B., Ghasemi Pirbaluti, M., Farokhi Nezhad, P. & Abbasi Nezhad, R. A clean and expedient synthesis of spirooxindoles catalyzed by silica-sulfuric acid nanoparticles as an efficient and reusable reagent. Res. Chem. Intermed. 41, 4047-4055 (2015).
Acknowledgements
This study was supported by a research grant (Number 33/38554) from the University of Mazandaran.
Author contributions
Writing: S.P.; B.M. Conceptualization: S.P.; B.M. Data curation: S.P.; B.M. Formal analysis: S.P.; B.M. Project administration: S.P.; B.M. Methodology: S.P.; B.M. Validation: S.P.; B.M. Review and editing: S.P.; B.M. All authors reviewed the manuscript.
Competing interests
The authors declare no competing interests.
Additional information
Correspondence and requests for materials should be addressed to B.M.
Reprints and permissions information is available at www.nature.com/reprints.
Publisher’s note Springer Nature remains neutral with regard to jurisdictional claims in published maps and institutional affiliations.
Reprints and permissions information is available at www.nature.com/reprints.
Publisher’s note Springer Nature remains neutral with regard to jurisdictional claims in published maps and institutional affiliations.
Open Access This article is licensed under a Creative Commons Attribution-NonCommercialNoDerivatives 4.0 International License, which permits any non-commercial use, sharing, distribution and reproduction in any medium or format, as long as you give appropriate credit to the original author(s) and the source, provide a link to the Creative Commons licence, and indicate if you modified the licensed material. You do not have permission under this licence to share adapted material derived from this article or parts of it. The images or other third party material in this article are included in the article’s Creative Commons licence, unless indicated otherwise in a credit line to the material. If material is not included in the article’s Creative Commons licence and your intended use is not permitted by statutory regulation or exceeds the permitted use, you will need to obtain permission directly from the copyright holder. To view a copy of this licence, visit http://creativecommons.org/licenses/by-nc-nd/4.0/.
© The Author(s) 2024
© The Author(s) 2024
- Department of Organic Chemistry, Faculty of Chemistry, University of Mazandaran, P.O. Box 47416-95447, Babolsar, Iran.
email: b.maleki@umz.ac.ir

