DOI: https://doi.org/10.1051/0004-6361/202347433
تاريخ النشر: 2024-01-25
المؤلف: John Antoniadis وآخرون
الموضوع الرئيسي: ملاحظات وتكنولوجيا علم الفلك الراديوي
نظرة عامة
لقد اكتشفت تعاونيات مجموعة توقيت النبضات الأوروبية (EPTA) ومجموعة توقيت النبضات الهندية (InPTA) إشارة مشتركة ذات تردد منخفض تشير إلى وجود خلفية موجات جاذبية (GWB) في إصدارات بياناتها المجمعة. قد تنشأ هذه الإشارة من عمليات فلكية متنوعة، بما في ذلك مجموعة كونية من ثنائيات الثقوب السوداء العملاقة المتصاعدة (SMBHBs)، وظواهر في الكون المبكر مثل التضخم والانتقالات الطورية، أو تذبذبات الجاذبية التي تؤثر عليها المادة المظلمة خفيفة الوزن (ULDM). نظرًا للعجز الحالي عن التمييز بين هذه الأصول، تدرس الدراسة كل فرضية بشكل فردي.
تشير النتائج إلى أن الإشارة تتماشى جيدًا مع وجود ثنائيات SMBHBs المتصاعدة، حيث توفر سعتها الملحوظة قيودًا على أوقات اندماج الثنائيات والعلاقات التناسبية بين الثقوب السوداء العملاقة ومجراتها المضيفة. إن تأكيد هذا الأصل سيمثل الدليل المباشر الأول على اندماجات SMBHB، مما يساهم بشكل كبير في فهمنا لتشكيل الهياكل وتطور المجرات. بالإضافة إلى ذلك، تفرض النتائج حدودًا صارمة على توتر الخيوط الكونية والاضطراب الناتج عن الانتقالات الطورية من الدرجة الأولى في الكون المبكر، بينما تستبعد أيضًا أصل ULDM، مما يحد من وفرة ULDM داخل مجرتنا.
مقدمة
تناقش مقدمة الورقة الاكتشاف الأخير لإشارة مشتركة ذات طاقة زائدة في نطاق تردد النانوهيرتز من مجموعات بيانات توقيت النبضات (PTA)، مما يشير إلى أصول محتملة لموجات الجاذبية (GW). وقد أبلغت تعاونيات مثل مجموعة توقيت النبضات الأوروبية (EPTA) وPTA الهندية (InPTA) وغيرها عن أدلة لهذه الإشارة، مع مستويات دلالة تتراوح بين 2σ و4σ، على الرغم من عدم الوصول بعد إلى عتبة 5σ المطلوبة عادةً للاكتشاف الحاسم. تم اكتشاف هذه الإشارة عند ترددات تتراوح بين 1 إلى 30 نانوهيرتز، وتمثل نافذة رصد جديدة في الكون، مما يسمح باستكشاف الظواهر الفلكية وإمكانية وجود فيزياء جديدة.
تحدد الورقة الخصائص المتوقعة للخلفية العشوائية لموجات الجاذبية (GWB) الناتجة عن ثنائيات الثقوب السوداء العملاقة (SMBHBs)، والتي من المتوقع أن تظهر كعملية غاوسية عشوائية مع ارتباطات محددة بين النبضات. يؤكد المؤلفون أن الإشارة المرصودة قد تنشأ أيضًا من عمليات مختلفة في الكون المبكر، مثل الديناميات التضخمية أو تشكيل الخيوط الكونية، حيث يساهم كل منها بخصائص إحصائية مميزة في GWB. تهدف الورقة إلى استكشاف تداعيات الإشارة المكتشفة تحت فرضيات مختلفة تتعلق بأصلها، مع الاعتراف بالقيود الحالية في البيانات والحاجة إلى مزيد من التحليل لتحسين الفهم واختيار النماذج في الدراسات المستقبلية.
النتائج
تكشف نتائج الاستنتاج عن رؤى مهمة حول كثافة معدل الاندماج لثنائيات الثقوب السوداء العملاقة (SMBHBs) والمعلمات المرتبطة بها من نماذج غير متحيزة ونماذج مستندة إلى الفيزياء الفلكية. تشير التوزيعات الخلفية الهامشية لتطبيع كثافة معدل الاندماج، الممثلة بـ $\dot{n}_0$، إلى أن النموذج غير المتحيز يعطي قيمة متوسطة قدرها $\log_{10} \dot{n}_0 / [\text{Mpc}^3 \, \text{Gyr}] = -1.95^{+2.91}_{-5.87}$، بينما يوفر النموذج المستند إلى الفيزياء الفلكية قيدًا أكثر صرامة قدره $\log_{10} \dot{n}_0 / [\text{Mpc}^3 \, \text{Gyr}] = -3.51^{+0.59}_{-0.62}$. من الجدير بالذكر أن النموذج المستند إلى الفيزياء الفلكية يشير إلى أن كثافة معدل الاندماج من المحتمل أن تكون عند الحد الأعلى من الأولويات الفلكية، مما يدل على تاريخ كبير من اندماجات SMBHB.
تكشف التحليلات الإضافية لوظيفة الكتلة المتذبذبة لثنائيات SMBHBs أن إشارة PTA تفرض حدودًا دنيا على معدل الاندماج، مع وجود ما لا يقل عن $10^4$ اندماجات لكل Gpc³ متحرك منذ الظهر الكوني، وحوالي $10^6$ اندماجات لكل Gpc³ متحرك مع كتل حوالي $10^9 M_\odot$ منذ $z = 1.5$. كما تبرز النتائج أن زمن الاندماج $\tau_0$ يجب أن يكون أقصر من حوالي 1 مليار سنة، خاصة بالنسبة للمجرات الضخمة عند الانزياحات الحمراء المنخفضة، وأن علاقة كتلة SMBH-النتوء محكومة بشكل جيد، مما يفضل تطبيعًا عاليًا لـ $\log_{10} M_* \approx 8.4$. تشير هذه النتائج مجتمعة إلى تآكل مداري فعال لثنائيات SMBHB بعد اندماجات المجرات، مما يوفر دليلًا على أن “مشكلة البارسك النهائي” قد تم حلها، مع كون ثنائيات SMBHB المدمجة شائعة في مراكز المجرات الضخمة.
نقاش
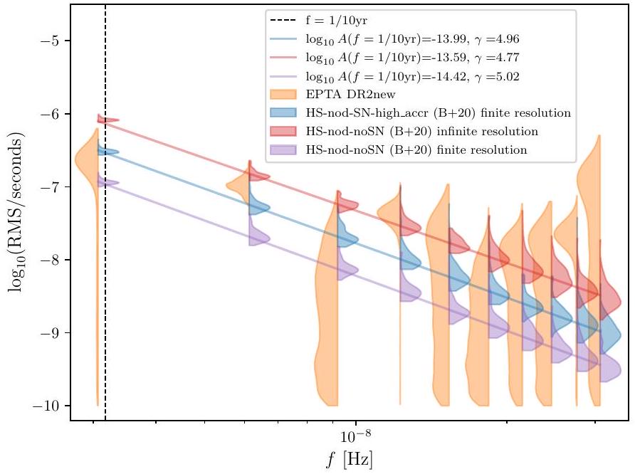
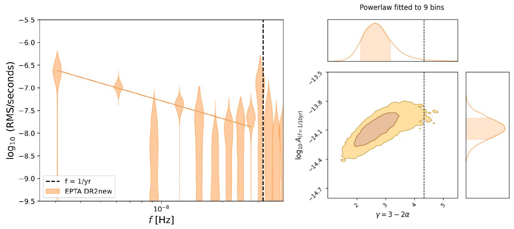
في هذا القسم، يناقش المؤلفون تحليل مجموعة بيانات EPTA DR2، التي تشمل بيانات من 25 نبضة مللي ثانية (MSPs) تم جمعها على مدى 24.7 عامًا باستخدام تلسكوبات راديوية أوروبية رئيسية. يتم تعزيز حساسية مجموعة البيانات من خلال دمج الملاحظات من InPTA، مما يؤدي إلى أربعة إصدارات متميزة من مجموعة البيانات. يركز المؤلفون على مجموعة بيانات DR2new، التي تظهر أدلة أقوى على الارتباطات الرباعية التي تشير إلى موجات الجاذبية (GWs) مقارنةً بمجموعات البيانات السابقة. يستخدم التحليل إجهادًا بلا أبعاد $h_c(f)$، تم نمذجته كقانون قوة، لوصف الاضطرابات العشوائية التي تؤثر على أوقات وصول إشارات النبضات (TOAs). يبرز المؤلفون التداخل بين السعة $A$ ومؤشر الطيف $\gamma$، خاصة عند التردد المرجعي $f_0 = 1 \text{yr}^{-1}$، ويقترحون الانتقال إلى $f_0 = 10 \text{yr}^{-1}$ للحصول على قيود أكثر إفادة.
يحدد المؤلفون ثنائيات الثقوب السوداء العملاقة (SMBHBs) كمصدر الفلكي الرئيسي للإشارة GWB المرصودة في نطاق النانوهيرتز. يحددون الإطار الرياضي لتقدير GWB الناتج عن مجموعة كونية من SMBHBs، مؤكدين أهمية المعلمات مثل الكتلة، ونسبة الكتلة، والانحراف في تشكيل الإشارة. كما يتناقش النقاش في نماذج نظرية متسقة ذاتيًا مع نماذج تجريبية تعتمد على البيانات الملاحظة، مشيرين إلى أن النماذج الأولى مصممة لتكرار مجموعة واسعة من ملاحظات المجرات وSMBH، بينما تعتمد الأخيرة على البيانات الموجودة ولكن قد تفتقر إلى التحقق المستقل. يتقدم المؤلفون لمقارنة الإشارة المرصودة مع التوقعات من هذه النماذج، كاشفين عن توافق جيد عند الترددات المنخفضة، على الرغم من ظهور بعض التباينات، خاصة في صناديق الترددات الأعلى. ويختتمون بالإشارة إلى أن الإشارة GWB المرصودة قد تتأثر ببعض المصادر الساطعة، مع إمكانية توضيح التحليلات المستقبلية لمساهمات الثنائيات الدائرية والانحرافات في الإشارة العامة.
DOI: https://doi.org/10.1051/0004-6361/202347433
Publication Date: 2024-01-25
Author(s): John Antoniadis et al.
Primary Topic: Radio Astronomy Observations and Technology
Overview
The European Pulsar Timing Array (EPTA) and Indian Pulsar Timing Array (InPTA) collaborations have detected a low-frequency common signal indicative of a gravitational wave background (GWB) in their combined data releases. This signal may arise from various astrophysical processes, including a cosmic population of inspiralling supermassive black hole binaries (SMBHBs), early Universe phenomena such as inflation and phase transitions, or oscillations of the Galactic potential influenced by ultra-light dark matter (ULDM). Due to the current inability to distinguish among these origins, the study examines each hypothesis individually.
The findings suggest that the signal aligns well with the presence of inspiralling SMBHBs, with its notable amplitude providing constraints on binary merger timescales and the scaling relations between supermassive black holes and their host galaxies. Confirming this origin would represent the first direct evidence of SMBHB mergers, significantly contributing to our understanding of structure formation and galaxy evolution. Additionally, the results impose stringent limits on cosmic string tension and turbulence from first-order phase transitions in the early Universe, while also ruling out a ULDM origin, thereby constraining the abundance of ULDM within our Galaxy.
Introduction
The introduction of the paper discusses the recent detection of a common signal with excess power in the nanohertz frequency range from pulsar timing array (PTA) datasets, indicating potential gravitational wave (GW) origins. Collaborations such as the European Pulsar Timing Array (EPTA), Indian PTA (InPTA), and others have reported evidence for this signal, with significance levels between 2σ and 4σ, although not yet reaching the 5σ threshold typically required for definitive detection. This signal, detected at frequencies 1-to-30 nHz, represents a new observational window into the universe, allowing for the exploration of astrophysical phenomena and the potential for new physics.
The paper outlines the expected characteristics of the stochastic gravitational wave background (GWB) produced by supermassive black hole binaries (SMBHBs), which is anticipated to manifest as a stochastic Gaussian process with specific inter-pulsar correlations. The authors emphasize that the observed signal could also arise from various early universe processes, such as inflationary dynamics or cosmic string formation, each contributing distinct statistical properties to the GWB. The paper aims to explore the implications of the detected signal under different hypotheses regarding its origin, while acknowledging the current limitations in data and the need for further analysis to refine understanding and model selection in future studies.
Results
The results of the inference reveal significant insights into the merger rate density of supermassive black hole binaries (SMBHBs) and the associated parameters from both agnostic and astrophysically-informed models. The marginalised posterior distribution for the normalization of the merger rate density, denoted as $\dot{n}_0$, indicates that the agnostic model yields a median value of $\log_{10} \dot{n}_0 / [\text{Mpc}^3 \, \text{Gyr}] = -1.95^{+2.91}_{-5.87}$, while the astrophysically-informed model provides a tighter constraint of $\log_{10} \dot{n}_0 / [\text{Mpc}^3 \, \text{Gyr}] = -3.51^{+0.59}_{-0.62}$. Notably, the astrophysically-informed model suggests that the merger rate density is likely at the upper edge of the astrophysical prior, indicating a substantial history of SMBHB mergers.
Further analysis of the chirp mass function for SMBHBs reveals that the PTA signal imposes lower limits on the merger rate, with at least $10^4$ mergers per comoving Gpc³ since cosmic noon, and approximately $10^6$ mergers for each comoving Gpc³ with masses around $10^9 M_\odot$ since $z = 1.5$. The results also highlight that the merger timescale $\tau_0$ must be shorter than approximately 1 Gyr, particularly for massive galaxies at low redshifts, and that the SMBH-bulge mass relation is well constrained, favoring a high normalization of $\log_{10} M_* \approx 8.4$. These findings collectively suggest efficient orbital decay of SMBHBs post-galaxy mergers, providing evidence that the ‘final parsec problem’ is resolved, with compact SMBHBs being prevalent in massive galaxy centers.
Discussion
In this section, the authors discuss the analysis of the EPTA DR2 dataset, which encompasses data from 25 millisecond pulsars (MSPs) collected over 24.7 years using major European radio telescopes. The dataset’s sensitivity is enhanced by incorporating observations from the InPTA, resulting in four distinct versions of the dataset. The authors focus on the DR2new dataset, which exhibits stronger evidence for quadrupolar correlations indicative of gravitational waves (GWs) compared to the earlier datasets. The analysis employs a dimensionless strain $h_c(f)$, modeled as a power law, to characterize the stochastic perturbations affecting the time of arrivals (TOAs) of pulsar signals. The authors highlight the degeneracy between the amplitude $A$ and spectral index $\gamma$, particularly at the reference frequency $f_0 = 1 \text{yr}^{-1}$, and propose a shift to $f_0 = 10 \text{yr}^{-1}$ for more informative constraints.
The authors identify supermassive black hole binaries (SMBHBs) as the primary astrophysical source of the observed GWB signal in the nanohertz band. They outline the mathematical framework for estimating the GWB generated by a cosmic population of SMBHBs, emphasizing the importance of parameters such as mass, mass ratio, and eccentricity in shaping the signal. The discussion also contrasts self-consistent theoretical models with empirical models based on observational data, noting that the former are designed to reproduce a wide array of galaxy and SMBH observations, while the latter rely on existing data but may lack independent validation. The authors proceed to compare the observed signal with predictions from these models, revealing a good agreement at lower frequencies, although some discrepancies arise, particularly in higher frequency bins. They conclude by suggesting that the observed GWB signal may be influenced by a few bright sources, with future analyses potentially clarifying the contributions of circular and eccentric binaries to the overall signal.
