DOI: https://doi.org/10.3847/2041-8213/ad2df1
تاريخ النشر: 2024-03-27
المؤلف: The Event Horizon Telescope Collaboration وآخرون
الموضوع الرئيسي: الفيزياء الفلكية والظواهر الكونية
نظرة عامة
في هذا القسم، يقدم المؤلفون تفسيرًا مفصلًا للصورة الأولى المستقطبة ذات الدقة المكانية لـ Sagittarius A* التي تم الحصول عليها من تلسكوب أفق الحدث عند طول موجي يبلغ 1.3 مم. يستخدم التحليل نماذج تحليلية بسيطة ومحاكاة عددية للديناميكا المغناطيسية النسبية العامة (GRMHD). تعتبر نسبة الاستقطاب الخطي الملحوظة، التي تتراوح من 24% إلى 28% وتصل ذروتها عند حوالي 40%، قيدًا صارمًا على النماذج النظرية، مما يفضل بشكل خاص تلك التي لا تظهر استقطاب فاراداي المفرط. تشير النتائج إلى تفضيل نماذج GRMHD التي تتضمن مجالات مغناطيسية ذات أهمية ديناميكية.
يوفر نمط الاستقطاب ذو الشكل الحلزوني رؤى حول دوران الثقب الأسود وزاوية الميل؛ ومع ذلك، فإن قياس الدوران المتغير مع الزمن (RM) لـ Sagittarius A*—حوالي 46° ± 12° عند 228 غيغاهرتز—يعقد من استخدامه كقيد. إذا تم نسب RM إلى دوران فاراداي الداخلي، فإنه يعني حركة عكسية للمواد المتراكمة، مما يتعارض مع الملاحظات التاريخية للومضات المستقطبة. على العكس، فإن نسب RM المتوسط إلى شاشة فاراداي خارجية يشير إلى حركة في اتجاه عقارب الساعة، مما يتماشى مع نموذج يلبي جميع القيود القطبية والإجمالية، والذي يتميز بمجالات مغناطيسية قوية، ومعامل دوران يبلغ 0.94، وزاوية ميل تبلغ 150°. يبرز المؤلفون أن الملاحظات المستقبلية عند 345 غيغاهرتز والتقدم في التصوير الديناميكي سيساعدان في حل الشكوك الحالية وتعزيز القيود على الثقب الأسود وديناميات تراكمه.
مقدمة
تناقش المقدمة أهمية انبعاث السنكروترون من البلازما بالقرب من الثقوب السوداء الضخمة (BHs)، مع التركيز بشكل خاص على خصائص استقطابها، التي توفر رؤى حول العمليات الفيزيائية للتراكم والتدفق في مراكز المجرات. اتجاه الاستقطاب الخطي يكون عموديًا على المجالات المغناطيسية المحلية، مما يسمح بإعادة بناء هياكل الحقول المغناطيسية، بينما يقدم دوران فاراداي والتحويل تأثيرات قطبية إضافية. لقد قام تلسكوب أفق الحدث (EHT) مؤخرًا بالتقاط صور لـ Sagittarius A* (Sgr A*)، كاشفًا عن حلقة انبعاث ساطعة حول ظل مركزي، متوافقة مع ثقب أسود من نوع كير بكتلة تبلغ حوالي $4 \times 10^6 M_\odot$ يعاني من معدلات تراكم منخفضة.
تشير نتائج EHT إلى معدل تراكم الكتلة يبلغ $\dot{M}_B \sim 10^{-8} M_\odot \, \text{yr}^{-1}$ وسطوع يبلغ $L \lesssim 10^{36} \, \text{erg} \, \text{s}^{-1}$، وهو أقل بكثير من سطوع إيدينغتون. تبرز المقدمة الصور المستقطبة الأولى لـ Sgr A* التي تم الحصول عليها بواسطة EHT، والتي تكشف عن نمط استقطاب حلزوني مستقر مع درجة عالية من الاستقطاب الخطي (حوالي 25%). هذا الاستقطاب أقوى بشكل ملحوظ من ذلك الذي لوحظ في M87*، مما يشير إلى اختلافات في ديناميات الحقل المغناطيسي بين الثقوب السوداء. تهدف الورقة إلى تقديم نمذجة نظرية وتفسير لهذه الملاحظات، مقارنتها بموديلات مختلفة لفهم الآثار على خصائص البلازما وبنية الحقل المغناطيسي حول Sgr A*.
نقاش
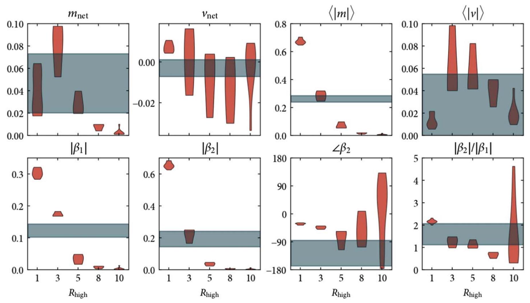
في هذا القسم، يناقش المؤلفون الملاحظات القطبية لـ Sgr A* بناءً على بيانات من تلسكوب أفق الحدث (EHT) التي تم جمعها في 6 و7 أبريل 2017. يستخدمون طريقتين رئيسيتين لإعادة بناء الصورة: طريقة الحلقة m، التي تناسب نموذج حلقة للصور ذات التباين المكاني المحدود، وطريقة THEMIS، التي تسعى للحصول على صورة ثابتة واحدة تمثل البيانات بشكل أفضل على مر الزمن. تنتج كلا الطريقتين كميات صورة رئيسية مماثلة على الرغم من اختلاف افتراضاتهما، لكن قياس الدوران الكبير والمتغير (RM) لـ Sgr A* يقدم عدم يقين كبير. يُعرف RM بأنه RM ≡ Δχ/Δλ²، وقد ينشأ من مصادر متنوعة، بما في ذلك دوران فاراداي الداخلي أو الشاشات الخارجية، مما يعقد تفسير الاستقطاب الملحوظ.
يقدم المؤلفون ثمانية قيود ملاحظية مستمدة من هذه الطرق، مع التركيز على الاستقطاب الخطي والدائري الصافي، المشار إليهما بـ \(m_{\text{net}}\) و \(v_{\text{net}}\)، على التوالي. يجدون أن طريقة الحلقة m تنتج قيمًا أقل من \(m_{\text{net}}\) مقارنةً بـ THEMIS، ربما بسبب الإلغاء الزمني في زاوية موضع المتجه الكهربائي (EVPA). يكشف التحليل عن نسبة استقطاب مرتفعة تبلغ 24%-28% لـ Sgr A*، وهي أعلى بكثير من تلك التي لوحظت لـ M87*. يستنتج المؤلفون أن بنية الاستقطاب مرتبة للغاية، مع درجة من التناظر الدوراني، ويقترحون أن الحقل المغناطيسي الأساسي متماسك على مقاييس أصغر من حجم الشعاع. كما يستكشفون آثار دوران RM على شكل الاستقطاب، مشيرين إلى أن تفسير بنية الاستقطاب حساس للافتراضات المتعلقة بأصل RM.
DOI: https://doi.org/10.3847/2041-8213/ad2df1
Publication Date: 2024-03-27
Author(s): The Event Horizon Telescope Collaboration et al.
Primary Topic: Astrophysics and Cosmic Phenomena
Overview
In this section, the authors present a detailed interpretation of the first spatially resolved polarized image of Sagittarius A* obtained from the Event Horizon Telescope at a wavelength of 1.3 mm. The analysis employs both simple analytic models and numerical general relativistic magnetohydrodynamic (GRMHD) simulations. The observed linear polarization fraction, ranging from 24% to 28% and peaking at approximately 40%, serves as a stringent constraint on theoretical models, particularly disfavoring those that exhibit excessive Faraday depolarization. The findings suggest a preference for GRMHD models that incorporate dynamically significant magnetic fields.
The polarization pattern’s spiral morphology provides insights into the black hole’s spin and inclination angle; however, the time-variable rotation measure (RM) of Sagittarius A*—approximately 46° ± 12° at 228 GHz—complicates its utility as a constraint. If the RM is attributed to internal Faraday rotation, it implies a counterclockwise motion of the accreting material, which contradicts historical observations of polarized flares. Conversely, attributing the mean RM to an external Faraday screen suggests a clockwise motion, aligning with a model that meets all polarimetric and total intensity constraints, characterized by strong magnetic fields, a spin parameter of 0.94, and an inclination of 150°. The authors highlight that future observations at 345 GHz and advancements in dynamical imaging will help resolve current uncertainties and enhance constraints on the black hole and its accretion dynamics.
Introduction
The introduction discusses the significance of synchrotron emission from plasma near supermassive black holes (BHs), particularly focusing on its polarization properties, which provide insights into the physical processes of accretion and outflow in galactic centers. The linear polarization direction is orthogonal to local magnetic fields, allowing for the reconstruction of magnetic field structures, while Faraday rotation and conversion introduce additional polarimetric effects. The Event Horizon Telescope (EHT) has recently captured images of Sagittarius A* (Sgr A*), revealing a bright emission ring around a central shadow, consistent with a Kerr BH of mass approximately $4 \times 10^6 M_\odot$ undergoing low accretion rates.
The EHT’s findings indicate a mass accretion rate of $\dot{M}_B \sim 10^{-8} M_\odot \, \text{yr}^{-1}$ and a luminosity of $L \lesssim 10^{36} \, \text{erg} \, \text{s}^{-1}$, which is significantly below the Eddington luminosity. The introduction highlights the first polarized images of Sgr A* obtained by the EHT, which reveal a stable spiral polarization pattern with a high degree of linear polarization (approximately 25%). This polarization is notably stronger than that observed in M87*, suggesting differences in the magnetic field dynamics between the two BHs. The paper aims to provide theoretical modeling and interpretation of these observations, comparing them with various models to understand the implications for the plasma properties and magnetic field structure around Sgr A*.
Discussion
In this section, the authors discuss the polarimetric observations of Sgr A* based on data from the Event Horizon Telescope (EHT) collected on April 6th and 7th, 2017. They utilize two primary methods for image reconstruction: the m-ring method, which fits a ring model to snapshots with limited spatial variability, and the THEMIS method, which seeks a single static image that best represents the data over time. Both methods yield similar key image quantities despite their differing assumptions, but the large and variable rotation measure (RM) of Sgr A* introduces significant uncertainty. The RM, defined as RM ≡ Δχ/Δλ², may arise from various sources, including internal Faraday rotation or external screens, complicating the interpretation of the observed polarization.
The authors present eight observational constraints derived from these methods, focusing on the net linear and circular polarization, denoted as \(m_{\text{net}}\) and \(v_{\text{net}}\), respectively. They find that the m-ring method produces lower values of \(m_{\text{net}}\) compared to THEMIS, potentially due to temporal cancellations in the electric vector position angle (EVPA). The analysis reveals a high resolved polarization fraction of 24%-28% for Sgr A*, significantly higher than that observed for M87*. The authors conclude that the polarization structure is highly ordered, with a degree of rotational symmetry, and suggest that the underlying magnetic field is coherent on scales smaller than the beam size. They also explore the implications of RM derotation on the polarization morphology, indicating that the interpretation of the polarization structure is sensitive to the assumptions made regarding the RM’s origin.
