المجلة: Scientific Reports، المجلد: 15، العدد: 1
DOI: https://doi.org/10.1038/s41598-025-90313-8
PMID: https://pubmed.ncbi.nlm.nih.gov/40016413
تاريخ النشر: 2025-02-27
DOI: https://doi.org/10.1038/s41598-025-90313-8
PMID: https://pubmed.ncbi.nlm.nih.gov/40016413
تاريخ النشر: 2025-02-27
افتح
تحقيق تأثير المذيبات المتبادلة على أداء الامتزاز لمركبات Ce-MOFs تجاه الأصباغ العضوية
تعتبر MOFs القائمة على السيريم (Ce-MOFs) مواد مسامية جذابة تظهر هياكل متنوعة، وثبات حراري وكيميائي ممتاز، وخصائص مسامية قابلة للتعديل، وطرق تركيب بسيطة مفيدة لتطبيقات معالجة مياه الصرف. لذلك، في العمل الحالي، قمنا بتخليق سلسلة من Ce-MOFs من خلال طريقة تركيب سريعة وصديقة للبيئة في درجة حرارة الغرفة باستخدام الماء كمذيب صديق للبيئة. تم استخدام أربعة مذيبات مختلفة بما في ذلك الإيثانول، والكلوروفورم، والأسيتون، والميثانول في عملية تبادل المذيبات لتعديل خصائص Ce-MOFs المُعدة. تم دراسة تأثير المذيبات المختلفة على الهيكل البلوري، والهيكل المسامي، والثبات الحراري، وشكل السطح لـ Ce-MOFs بشكل منهجي. وُجد أن المذيبات المتبادلة يمكن أن تؤثر بشكل كبير على الخصائص الكيميائية والفيزيائية لـ Ce-MOFs المُعدة. يؤدي استخدام الإيثانول كمذيب تبادلي إلى إنتاج MOF بلوري عالي الجودة يتمتع بأعلى مساحة سطح.
) وحجم المسام (
) مقارنةً بغيرها من Ce-MOFs المحضرة. أظهرت تجارب امتصاص الصبغة أن العينة المنشّطة بواسطة الأسيتون (Ce-MOF-4) أظهرت أعلى قدرات امتصاص تجاه كل من الأنيونات (
لـ Congo Red (CR) و الكاتيونية (
لصبغات المالاكيت الأخضر (MG). يمتص هذا الإطار المعدني العضوي كلا الصبغتين العضويتين عبر آليات مختلفة بما في ذلك الروابط الهيدروجينية، وملء المسام،
التكديس، والتنسيق، والتفاعلات الكهروستاتيكية. علاوة على ذلك، أظهر استقرارًا هيكليًا جيدًا في المحاليل الحمضية، والمحايدة، وأثناء دورات الامتزاز-الامتزاز المتتالية، مما يؤكد إمكانيته في أن يُستخدم كمواد ماصة مستقرة لإزالة الأصباغ العضوية الكاتيونية والأنيونية من الماء في آن واحد.
الكلمات الرئيسية: التخليق الأخضر، تفعيل فعال، امتصاص الصبغة، MOFs المعتمدة على السيريوم، تبادل المذيبات
نظرًا للنمو السكاني العالمي والتصنيع، تم إنتاج كميات كبيرة من المياه العادمة التي تحتوي على ملوثات مختلفة مثل أيونات المعادن الثقيلة، والأصباغ العضوية، والأدوية، والمبيدات الحشرية، وما إلى ذلك، مما يشكل تحديات بيئية كبيرة. من بين الملوثات الأكثر شيوعًا، الأصباغ الاصطناعية مثل الأحمر الكونغولي (CR)، الأخضر المالاخيت (MG)، الأحمر الميثيلي (MR)، الرودامين B (RhB)، البرتقالي الميثيلي (MO)، الأزرق الميثيلي
، إلخ، هي الملوثات الرئيسية للمياه التي تنشأ من صناعات مختلفة بما في ذلك مستحضرات التجميل، والمنسوجات، والغذاء، والورنيش والدهانات، والجلود، والصيدلة، واللب، إلخ.
هذه الأصباغ العضوية هي الأكثر استقرارًا كيميائيًا وفيزيائيًا، ومعظمها مركبات قابلة للتحلل الحيوي تكون سامة للبيئة والبشر.
لذلك، هناك حاجة ماسة لطرق فعالة لإزالة هذه الملوثات من مياه الصرف الصحي قبل تصريفها في البيئة المائية.
.
نظرًا للنمو السكاني العالمي والتصنيع، تم إنتاج كميات كبيرة من المياه العادمة التي تحتوي على ملوثات مختلفة مثل أيونات المعادن الثقيلة، والأصباغ العضوية، والأدوية، والمبيدات الحشرية، وما إلى ذلك، مما يشكل تحديات بيئية كبيرة.
من بين تقنيات المعالجة المتطورة المختلفة، حققت طريقة الامتزاز شهرة بسبب كفاءتها من حيث التكلفة، وفعاليتها، وسهولة تشغيلها، واستخدام مجموعة متنوعة من مواد الامتزاز، وغيرها.
حتى الآن، تم استخدام مواد مختلفة مثل الكربونات النشطة، البوليمرات، البيوكربون، أكاسيد المعادن، الهياكل العضوية المعدنية (MOFs)، الهياكل العضوية التساهمية (COFs)، هياكل الإيميدازول الزيوليتية (ZIFs)، الهياكل النانوية المعتمدة على الكربون، وغيرها، كمواد ماصة لإزالة صبغات عضوية مختلفة من الماء.
من بين هذه المواد، تظهر MOFs خصائص امتصاص ملحوظة ويمكن استخدامها كمواد فعالة لامتصاص أصباغ عضوية مختلفة.
.
تعتبر المواد القائمة على الزركونيوم (Zr-MOFs) اليوم مواد واعدة لمعالجة مياه الصرف الصحي.
. من بينها، يعتبر Zr-UiO-66 (Zr-UiO-66) إطارًا معدنيًا عضويًا ميكرو مسامي عالي الاستقرار، يتكون من تنسيق
العناقيد مع حمض 1,4-حمض البنزويك الثنائي الكربوكسيلي (BDC). بسبب استقرارها الكيميائي الفائق، Zr -UiO-66
وقد تم دراسة ومشتقاته بشكل متكرر لإزالة الملوثات المختلفة من الماء
مؤخراً، حققت المتغيرات الهيكلية لمركبات زركونيوم-UiO-66 مع عقد معدنية متنوعة جذباً هائلاً بسبب خصائصها المتميزة.
على سبيل المثال، تم تصنيع MOFs القائمة على السيريم UiO-66 (Ce-UiO-66) التي تحتوي على أيونات السيريم بدلاً من أيونات الزركونيوم في تجمعاتها، بواسطة ستوك وزملائه.
في عام 2015 ودرسوا نشاطها التحفيزي للمرة الأولى.
بعد ذلك، درست مجموعات بحثية مختلفة النشاط التحفيزي لمركبات Ce-UiO-66 MOFs في مجالات مختلفة.
نظرًا لانخفاض تكلفة أيون Ce ووفرةه، بالإضافة إلى قدرته القوية على الأكسدة الناتجة عن الميل الداخلي للتبديل بين Ce (IV) وCe (III)، فقد حظيت MOFs Ce-UiO-66 بجذب واسع في كل من الأوساط الأكاديمية والصناعية.
تظهر الأدبيات الحالية أن معظم الأوراق المنشورة قد ركزت على الأداء التحفيزي لمركبات MOFs Ce -UiO-66، بينما لم يتم استكشاف أدائها في الامتزاز لتطبيقات معالجة مياه الصرف بشكل كامل.
. في عملنا السابق، درسنا أداء إزالة Ce-UiO-66 في امتصاص صبغة CR السالبة، حيث تم قياس سعة الامتصاص القصوى له تجاه CR لتكون حوالي
. علاوة على ذلك، أظهرت أداءً جيدًا في الامتزاز بالإضافة إلى الاستقرار الكيميائي خلال الاختبارات الدورية، حيث أظهرت انخفاضًا منخفضًا (<
) في سعة الامتزاز تجاه صبغة CR بعد ثلاث دورات
.
بالإضافة إلى الاستقرار الهيكلي لمواد الامتصاص المستخدمة في تطبيقات معالجة مياه الصرف، فإن الطرق الاصطناعية المستدامة والصديقة للبيئة التي تكون فعالة من حيث الطاقة والبيئة والاقتصاد تعتبر ضرورية للغاية. حتى الآن، تم تطوير استراتيجيات اصطناعية مختلفة لتخليق MOFs Ce-UiO-66، بعضها سريع وبسيط وصديق للبيئة، ويتم في ظروف محيطية دون استخدام كميات كبيرة من المذيبات العضوية.
تم الإبلاغ عن أول إعداد لظروف البيئة لمركبات MOFs Ce-UiO-66 بواسطة لي وآخرون.
في عام 2019 باستخدام استراتيجية التجميع الذاتي المستحث بواسطة الأنواع المالحة. منذ ذلك الحين، أبلغت مجموعات بحثية مختلفة عن تخليق هذه المادة المسامية في درجة حرارة الغرفة.
.
خلال عملية تخليق MOFs، يتم حبس جزيئات المذيب والمواد الأولية غير المتفاعلة بشكل لا مفر منه داخل مسام MOFs المُعدة.
لذلك، تحتوي المواد العضوية المعدنية المحضرة عادةً على جزيئات ضيف مختلفة بما في ذلك المواد الأولية غير المتفاعلة، والمذيبات، ومواد أخرى تم استخدامها خلال عملية التخليق، وهو أمر ضروري لإزالتها تمامًا للوصول إلى جميع مسام الإطارات وتحسين أدائها في الامتزاز.
. حتى الآن، تم استخدام تقنيات تنشيط مختلفة مثل التنشيط الحراري، التجفيف بالتجميد، تبادل المذيبات، المعالجة الكيميائية، والحالة فوق الحرجة
التبادل، وما إلى ذلك، تم تطويره لإزالة الجزيئات المحبوسة بكفاءة من الهيكل المسامي لـ
من بينها، يعتبر استبدال المذيبات ذات نقطة الغليان العالية بمذيبات ذات توتر سطحي منخفض و/أو مذيبات ذات نقطة غليان منخفضة من خلال طريقة استبدال المذيبات ثم التنشيط الحراري تحت الفراغ الاستراتيجية الأكثر شيوعًا في تنشيط MOF، وذلك بشكل رئيسي بسبب كفاءتها وبساطتها.
.
ومع ذلك، لا توجد تقارير في الأدبيات تركز بشكل منهجي على تأثيرات المذيبات المتبادلة على الخصائص الفيزيائية والكيميائية لمركبات الإطار المعدني العضوي المعتمد على السيريوم (Ce-MOFs). وبالتالي، في العمل الحالي، قمنا بتخليق سلسلة من Ce-MOFs من خلال طريقة تخليق سريعة وصديقة للبيئة في درجة حرارة الغرفة باستخدام الماء كمذيب. تم استخدام أربعة مذيبات ذات نقطة غليان منخفضة مختلفة مثل الإيثانول، والكلوروفورم، والأسيتون، والميثانول في عملية تبادل المذيبات لتعديل خصائص Ce-MOFs المُعدة. تم دراسة تأثير المذيبات المتبادلة المختلفة على الهيكل البلوري، والهيكل المسامي، والثبات الحراري، وشكل السطح لـ Ce-MOFs بشكل منهجي. أخيرًا، تم استخدام Ce-MOFs المُعدة كمواد ماصة لإزالة الأصباغ الكاتيونية والأنيونية بكفاءة من الماء. كشفت النتائج أن المذيب المتبادل له تأثير كبير على الخصائص المسامية وكذلك أداء امتصاص الأصباغ لـ Ce-MOFs.
التجارب
المواد
ماء أحادي الصوديوم بيركلورات
) كعامل تمليح، حمض 1,4-بنزين ثنائي الكربوكسيليك (BDC) كحلقة ربط عضوية، ونترات الأمونيوم السيريوم(IV)
تم شراء سلف المعدن من شركة ميرك (ألمانيا). تم تزويد N، N-dimethylformamide (DMF) والإيثانول والكلوروفورم والأسيتون والميثانول من شركة ميرك (ألمانيا) واستخدمت كمواد مذيبة للتبادل. تم شراء صبغات كونغو الأحمر (CR) والمالاشيت الأخضر (MG) كنماذج من شركة ميرك (ألمانيا). المواد الأخرى من درجة التحليل وتم استخدامها كما هي.
تركيب MOFs من السيريوم
تم تحضير Ce-MOFs بطريقة صديقة للبيئة وفقًا لإجراءاتنا السابقة مع بعض التعديلات.
باختصار،
تم إذابته في الماء
. ثم، BDC
ويمكن
تمت إضافة إلى المحلول أعلاه وتم التحريك بقوة في ظروف محيطية لمدة 6 ساعات. أخيرًا، تم فصل Ce MOFs المحضرة عن المحلول بواسطة الطرد المركزي. خطوات تحضير Ce-MOFs موضحة بشكل تخطيطي في الشكل 1.
تفعيل Ce-MOFs
كما هو موضح في الشكل 1، تم غسل جزيئات Ce-MOFs المحضرة ثلاث مرات بالماء لإزالة
.
والمعدن غير المتفاعل من الهياكل المسامية لمركبات الإطار العضوي المعدنية (MOFs). بعد ذلك، تم استخدام عدة مذيبات ذات نقطة غليان منخفضة مثل الإيثانول، والكلوروفورم، والأسيتون، والميثانول لغسل الجسيمات المحضرة بشكل إضافي. ثم، تمت إزالة الروابط العضوية غير المتفاعلة من الهيكل المسامي للمواد الممتصة المحضرة عن طريق غسل الجسيمات بـ DMF عدة مرات. بعد ذلك، تم استبدال الجزيئات المحاصرة في مسام MOFs بمذيبات ذات نقطة غليان منخفضة عن طريق نقع MOFs في المذيبات المذكورة أعلاه لمدة ثلاثة أيام. أخيرًا، تمت إزالة هذه المذيبات من الهيكل المسامي لمركبات الإطار العضوي المعدنية (MOFs) عن طريق التسخين عند
لمدة 12 ساعة. للمقارنة، تم إعداد عينة دون استخدام أي مذيب تبادل. تم تقديم المذيبات المستخدمة في التبادل بالإضافة إلى خصائص Ce-MOFs المحضرة في الجدول 1.

الشكل 1. توضيح تخطيطي لتحضير وتفعيل Ce-MOFs.
| MOFs | مذيبات التبادل | عائد
|
جهد زيتا (ملي فولت) | مساحة السطح
|
متوسط قطر المسام (نانومتر) | حجم المسام
|
| سي-موف-1 | – |
|
|
٥٩٢ | 2.97 | 0.4401 |
| سي-موف-2 | الإيثانول |
|
|
843 | ٣.٥٧ | 0.7518 |
| سي-موف-3 | ميثانول |
|
|
618 | 3.29 | 0.5095 |
| سي-موف-4 | أسيتون |
|
|
605 | 2.85 | 0.4079 |
| سي-موف-5 | كلوروفورم |
|
|
642 | 2.40 | 0.3857 |
الجدول 1. خصائص مركبات Ce-MOFs المحضرة.
تم قياس عوائد MOFs المحضرة بناءً على كمية BDC.
تجارب الامتزاز
تم إجراء جميع تجارب الامتزاز في ظروف محيطية باستخدام محاليل CR و MG. تم اختيار هذه الأصباغ العضوية المختلفة كأصباغ نموذجية للتحقيق في تأثير معلمات مختلفة (مثل وقت الاتصال، التركيز الابتدائي، الرقم الهيدروجيني، تركيز الملح، ودرجة الحرارة) على أداء الإزالة للمنتج المحضر.
تم تعديل الرقم الهيدروجيني الأولي لمحلول الصبغات من 2 إلى 11 باستخدام محاليل مخففة من NaOH و HCl المائية. تم توزيع كمية محددة من كل Ce-MOF في محلول الصبغات المائي وتم تحريكه في ظروف محيطة. في وقت معين (
تم فصل جزيئات الممتزات بواسطة الطرد المركزي، وتم تحديد تركيزات الصبغة باستخدام مطياف الأشعة فوق البنفسجية والمرئية.
و617 نانومتر لـ CR وMG، على التوالي) باستخدام منحنيات المعايرة التي تم الحصول عليها لكل صبغة. سعة الامتصاص في وقت محدد
وسعة الامتصاص عند التوازن
تم حسابها بواسطة المعادلات التالية، على التوالي
:
في الذي،
، و
هي تركيز الصبغة في البداية، بعد فترات زمنية محددة، وعند التوازن على التوالي.
هو وزن المواد الماصة المستخدمة و
هو حجم محاليل الصبغة
تم تقييم الحركيات، بالإضافة إلى عمليات الامتزاز عند درجة حرارة ثابتة للمواد الماصة المحضرة تجاه صبغات CR وMG، من خلال نماذج حركية ونماذج امتزاز مختلفة، والتي تم الإبلاغ عن تفاصيلها في الملف التكميلي.
توصيف
تمت دراسة العينات التي تم تحضيرها وتفعيلها بشكل كامل باستخدام تحليلات مختلفة، حيث تم تقديم التفاصيل في الملف التكميلي.
النتائج والمناقشة
توصيف الـ Ce-MOFs المُعدة
تحليلات XRD و FTIR
لإزالة المذيبات ذات نقطة الغليان العالية بكفاءة و DMF (
)) بواسطة المذيبات ذات نقطة الغليان المنخفضة، استخدمنا أربعة مذيبات مختلفة مثل الإيثانول (
الميثانول
) ، كلوروفورم (
) والأسيتون (
) كمواد مذيبة للتبادل. توضح الشكل 2A أنماط حيود الأشعة السينية للعينة التي تم تحضيرها (Ce-MOF-1) وتلك التي تم تنشيطها بمذيبات مختلفة. تم ملاحظة قمتين مميزتين لـ
(MOFs المستندة إلى Ce-UiO-66) حوالي
و
، والتي تتعلق بمستويات الشبكة (111) و(002) على التوالي، تشير إلى نجاح التخليق ونقاء الطور لمركبات Ce-MOFs. بغض النظر عن بعض الاختلافات
لإزالة المذيبات ذات نقطة الغليان العالية بكفاءة

الشكل 2. (أ) أنماط حيود الأشعة السينية و (ب) طيف الأشعة تحت الحمراء لتحضير Ce-MOFs.
في شدة النسب، فإن أنماط XRD لجميع مركبات Ce-MOFs المحضرة هي نفسها وتتوافق جيدًا مع الأدبيات.
قد تكون الاختلافات الطفيفة في شدة القمم المميزة بسبب الاتجاه المفضل لمركبات الإطار المعدني العضوي المسحوقة.
علاوة على ذلك، لا توجد تغييرات هيكلية بلورية كبيرة بعد نقع MOFs في مذيبات مختلفة لمدة ثلاثة أيام، مما يشير إلى استقرار Ce-MOFs ضد هذه المذيبات.
علاوة على ذلك، فإن طيف FTIR (الشكل 2B) لمركبات Ce-MOFs المحضرة متشابه نسبيًا ومماثل للأدبيات.
ظهور قمتين اهتزازيتين مميزتين عند حوالي 514 و
في طيف FTIR لجميع العينات المُركبة، والتي تُنسب إلى أوضاع التنسيق المختلفة لـ
الروابط، تُظهر التخليق الناجح لـ
. تم أيضًا وضع علامات على قمم مميزة أخرى لمركبات Ce -MOFs المُصنّعة وأصلها في الشكل 2B. واحدة من أكثر الفروق وضوحًا في طيف FTIR للعينات المُعدة هي القمة المميزة لمجموعات -COOH من BDC التي ظهرت عند
من الواضح أن شدة هذه القمة قد انخفضت بشكل كبير بعد عملية تبادل المذيبات، مما يشير إلى أن معظم جزيئات BDC غير المتفاعلة قد أزيلت من مسام MOFs وأن عملية التبادل كانت ناجحة. أقل شدة قمة في هذه المنطقة تتعلق بـ Ce -MOF-2 و Ce -MOF-3 اللتين تم تنشيطهما بواسطة الإيثانول والميثانول، على التوالي، مما يشير إلى القدرة القوية لهذه المذيبات على إزالة جزيئات BDC من مسام MOFs. وبناءً عليه، يمكن توقع أن هذه المذيبات ستؤدي إلى تشكيل MOFs بخصائص مسامية أعلى.
تحليلات امتصاص النيتروجين وإزالة النيتروجين
لتحديد تأثير عملية تبادل المذيبات على المسامية في Ce-MOFs، تم تحليل الخصائص المسامية لـ Ce-MOFs التي تم تصنيعها من خلال امتصاص وإزالة النيتروجين عند 77 كلفن، حيث تم عرض النتائج المستخلصة في الشكل 3. أظهرت المنحنيات الخاصة بالعينة التي تم تصنيعها (Ce-MOF-1) والعينات التي تم تنشيطها بواسطة الإيثانول، الميثانول، الكلوروفورم، والأسيتون منحنيات من النوع الرابع وفقًا لتصنيف IUPAC، مما يدل على وجود مسام متوسطة نموذجية في هيكل هذه المواد.
تم تقديم مساحات السطح وفقًا لطريقة بروناور-إيميت-تيلر (BET) وأقطار المسام المتوسطة وحجوم المسام لمركبات Ce-MOFs المحضرة في الجدول 1، الذي أوضح أن عملية تبادل المذيبات زادت بشكل ملحوظ من مسامية المركبات الناتجة.
تبلغ المساحات السطحية وفقًا لطريقة BET لمركبات Ce-MOFs المحضرة ترتيب Ce-MOF-1
سي-موف-4
سي-موف-3
سي-موف-5
سي-موف-2
بينما زاد الحجم الكلي للمسام فيها بالترتيب Ce-MOF-5
سي-موف-4
سي-موف-1
سي-موف-3
سي-موف-2
تم قياس المساحة السطحية وحجم المسام لـ Ce-MOF-1 (دون عملية تبادل المذيبات) لتكون حوالي
و
على التوالي، والتي تعتبر مرتفعة نسبيًا مقارنة بالقيم المبلغ عنها سابقًا لهذا النوع من MOF (الجدول S1)
على الرغم من أن منحنيات امتصاص النيتروجين وإطلاقه لـ Ce-MOF-1 وCe-MOF-3 وCe-MOF-4 وCe-MOF-5 متشابهة تقريبًا، إلا أن أحجام المسام، ومتوسط أقطار المسام، ومساحات السطح كانت مختلفة، ويرجع ذلك أساسًا إلى وجود كميات مختلفة من المسام المتوسطة والصغيرة في هياكلها (الشكل 3B). إن تشكيل حلقة تذبذب في منحنيات امتصاص النيتروجين وإطلاقه لـ Ce-MOF-2 يشير إلى أن مسام هذا MOF شبه أنبوبية. علاوة على ذلك، فإن متوسط أقطار المسام المحسوبة لـ Ce-MOFs المعدة باستخدام نموذج بارّيت-جويتر-هاليندا (BJH) هي بترتيب Ce-MOF-2.
-موف-3
موف-1
سي-موف-4
سي-موف-5
. تشير هذه الملاحظة إلى أن Ce-MOF-2

الشكل 3. (أ) إيزوثرم امتصاص النيتروجين وإزالة النيتروجين و (ب) توزيع حجم المسام لـ CeMOFs المحضرة. (تظهر الخطوط الخضراء الإزالة).
لم يظهر فقط أكبر مساحة سطحية و حجم مسام إجمالي، بل أظهر أيضًا أكبر قطر متوسط للمسام، وهو ما يفيد في امتصاص ملوثات المياه.
ترتيب الزيادة في مساحة السطح للعينات المنشطة هو عكس ما هو متوقع لنقاط غليان المذيبات المستخدمة، وزادت مساحة السطح تقريبًا مع زيادة نقاط غليان المذيبات المتبادلة. بينما كان من المتوقع أن تزيد المساحة السطحية المحددة لـ MOFs المحضرة مع انخفاض نقطة غليان المذيبات المتبادلة. وبناءً عليه، فإن الإيثانول الذي له أعلى نقطة غليان (79
يؤدي إلى تكوين Ce-MOF-2 بأعلى مساحة سطحية (
)، بينما يؤدي الأسيتون الذي له أدنى نقطة غليان (
) إلى تكوين Ce-MOF-4 بأدنى مساحة سطحية (
) بين العينات المنشطة. تشير هذه الملاحظة إلى أن معلمات أخرى مثل قطبية المذيبات المتبادلة قد تؤثر على مسامية MOFs الناتجة.
عامل آخر مهم يمكن أن يتحكم في كفاءة عملية تبادل المذيبات هو القدرة على تبادل جزيئات المذيب للتنسيق مع مراكز المعادن المفتوحة المحتملة لـ
. على الرغم من أن MOFs UiO-66 المثالية والخالية من العيوب خالية من مواقع المعادن المفتوحة، إلا أنه عندما تكون مواقع المعادن المفتوحة موجودة في هيكل Ce-MOFs، أثناء التخليق في الماء كمذيب وغسل بالماء و DMF، يمكن لجزيئات الماء و DMF التنسيق مع هذه المواقع. لذلك، لزيادة كفاءة عملية تبادل المذيبات وزيادة مساحة السطح BET لـ MOFs المحضرة، من الضروري جدًا إزالة جميع المذيبات المنسقة تمامًا مع مراكز المعادن المفتوحة لـ MOFs. نظرًا لقطبية جزيئات الماء و DMF العالية، فإن لديها تفاعل تنسيق قوي نسبيًا مع مواقع المعادن المفتوحة المحتملة
. وبالتالي، يمكن للمذيبات القطبية فقط إزالة هذه الجزيئات المنسقة بكفاءة من هيكل
. كما هو موضح في الجدول S2، فإن جزيئات الميثانول والإيثانول لديها قطبية أعلى بين المذيبات الأخرى ولديها قدرة قوية نسبيًا على التبرع بالبروتون. لذلك، يمكنهم تشكيل رابطة تنسيق مع مركز المعادن لـ MOFs واستبدالها بجزيئات الماء و DMF المنسقة. بينما، لا يمكن للأسيتون كمذيب قطبي غير بروتوني والكلوروفورم كمذيب غير قطبي التفاعل بقوة مع مراكز المعادن لـ MOFs لإزالة الجزيئات المنسقة من هيكل MOFs، وبالتالي ستكون أقل كفاءة كمذيبات تبادل
.
كما لوحظ من الجدول 1، فإن الإيثانول هو أفضل مذيب لعملية تبادل المذيبات مما يؤدي إلى تكوين Ce-MOF-2 بأعلى مساحة سطحية. علاوة على ذلك، تم ملاحظة نتيجة مماثلة أيضًا من قبل داي وآخرون.
عند استخدام الإيثانول كمذيب تبادل، حيث تم الحصول على مساحة سطحية قدرها
لـ MOFs Ce-UiO-66 (الجدول S1). قد تكون هذه الملاحظة بسبب التفاعل القوي بين جزيئات الإيثانول و DMF بالإضافة إلى قابلية امتزاجها العالية. نظريًا، عندما يكون معامل الذوبان لمذيبين قريبين من بعضهما، فإن تفاعلهما وكذلك قابلية امتزاجهما ستزداد، مما يسمح لمذيب التبادل بالتغلغل بكفاءة داخل مسام MOFs ونقل الجزيئات المحبوسة داخل مسام MOFs إلى المحلول. من بين المذيبات المستخدمة في التبادل، فإن الإيثانول لديه تقريبًا نفس معامل الذوبان لـ DMF، وبالتالي لديه قابلية امتزاج عالية مع DMF وأعلى قدرة على تبادل DMF. بالإضافة إلى ذلك، فإن ذوبانية BDC في هذا المذيب مرتفعة نسبيًا، مما يجعله مرشحًا جيدًا للتخلص من جزيئات BDC غير المتفاعلة من مسام MOFs. نتيجة لهذه الخصائص، فإن الإيثانول هو أفضل مذيب لعملية التبادل التي تؤدي إلى تكوين MOFs بأعلى مساحة سطحية وكذلك حجم مسام.
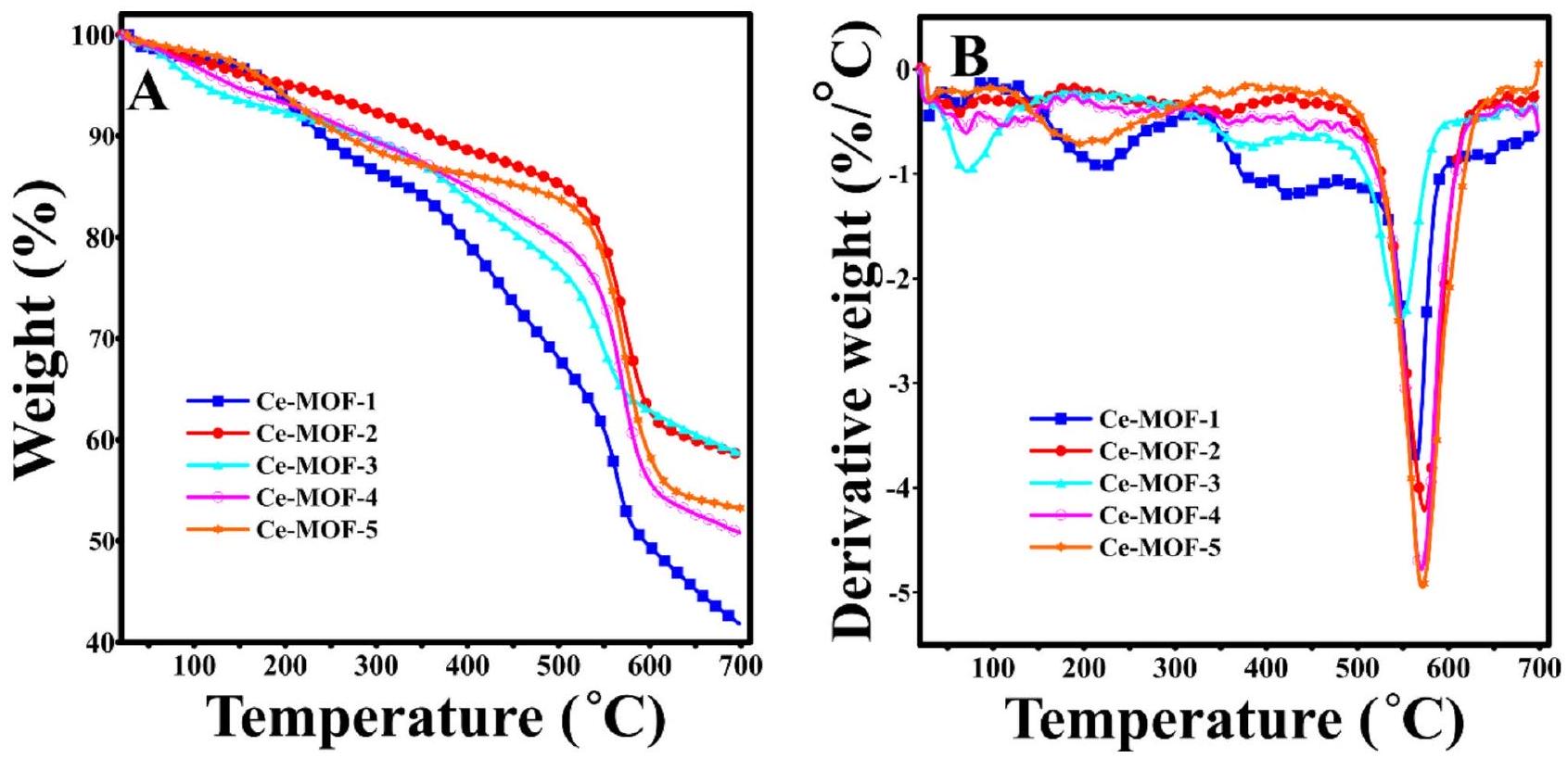
تحليل الوزن الحراري
نظرًا لأن الاستقرار الحراري هو عامل مهم للمواد الممتصة القائمة على MOF المسامي، تم إجراء تحليل الوزن الحراري للتحقيق في تأثير المذيبات المتبادلة على الاستقرار الحراري لـ Ce-MOFs المحضرة.

الشكل 4. (أ) ملفات TGA و (ب) ملفات DTG لـ Ce-MOFs المحضرة.
كما لوحظ من الشكل 4، أظهرت جميع Ce-MOFs المحضرة عدة خسائر في الوزن من درجة حرارة الغرفة إلى 500
، والتي تتعلق بتبخر جميع الجزيئات الضيفية مثل الماء و DMF و BDC المحبوسة والمذيبات المتبادلة. والأهم من ذلك، تكشف ملفات TGA أنه لا يحدث تحلل كيميائي أو انهيار هيكلي تحت
، مما يدل على الاستقرار الحراري العالي لـ Ce-MOFs المحضرة، وهو ما يتماشى مع الاستقرار الهيكلي العالي لـ UiO-
.
تتعلق خسارة الوزن الملحوظة عند أكثر من
بتبخر DMF المحبوس داخل مسام MOFs. أظهر العينة المحضرة (Ce-MOF-1) أعلى خسارة في الوزن عند هذه الدرجة الحرارة، ويرجع ذلك أساسًا إلى وجود المزيد من جزيئات DMF داخل مسامها. ومع ذلك، عندما تم نقع MOFs المحضرة في المذيبات المتبادلة، انخفضت شدة خسارة الوزن عند هذه الدرجة الحرارة، مما يدل على أن عملية التبادل كانت ناجحة. علاوة على ذلك، قد تت correspond خسارة الوزن الأخرى الملحوظة فوق
إلى تحلل جزيئات BDC الحرة التي كانت محبوسة داخل مسام MOFs ولم تتم إزالتها خلال عمليات الغسل والتبادل. كما هو متوقع، كانت خسارة الوزن لـ Ce-MOF-1 عند هذه الدرجة الحرارة أعلى أيضًا من غيرها من MOFs المنشطة.
حدثت أعلى خسارة في الوزن عند درجة حرارة أعلى من
بسبب تحلل هيكل MOF وإنتاج أكسيد السيريم كمحتوى رماد متبقي
. محتويات الرماد المتبقية لـ Ce-MOF-4 و Ce-MOF-5 أعلى قليلاً من تلك الخاصة بـ Ce-MOF-1، بينما محتويات الرماد المتبقية لـ Ce-MOF-2 و Ce-MOF-3 متشابهة نسبيًا وأعلى بكثير من تلك الخاصة بـ Ce-MOF-1. قد تكون هذه الملاحظة بسبب وجود المزيد من المواد القابلة للاحتراق (BDC و DMF) في الهيكل المسامي لـ Ce-MOF-1 و Ce-MOF-4 و Ce-MOF-5 التي لم يتم تبادلها بواسطة المذيبات المتبادلة.
كانت النتائج المستخلصة من ملفات TGA (الشكل 4A) و DTG (الشكل 4B) لـ Ce-MOFs المحضرة متوافقة تمامًا مع النتائج المستخلصة من إيزوثرم امتصاص النيتروجين وإزالة النيتروجين. وبناءً عليه، عندما كانت عملية التبادل ناجحة وتم تبادل جزيئات ذات نقاط غليان أعلى مع مذيبات ذات نقاط غليان منخفضة، ستتكون MOFs ذات محتويات رماد متبقية عالية ومساحة سطحية عالية. نتيجة لنجاح تبادل الجزيئات الضيفية مع الإيثانول، أظهر Ce-MOF-2 أعلى محتويات رماد متبقية وكذلك أعلى مسامية. بينما، من بين العينات المنشطة، أظهر Ce-MOF-4 أقل محتويات رماد متبقية وكذلك أقل مساحة سطحية، بسبب القدرة المنخفضة للأسيتون كمذيب تبادل لإزالة الجزيئات الضيفية داخل مسام MOFs.
تحليل FESEM
تظهر الشكل 5 صور FESEM لـ Ce-MOFs المحضرة التي تم تنشيطها بمذيبات تبادل مختلفة. شكل جميع Ce-MOFs المحضرة متشابه نسبيًا وأحجام جزيئاتها أصغر من 500 نانومتر، مما يشير إلى أن مذيب التبادل ليس له تأثير كبير على شكل الجزيئات النهائية. من الواضح أن معظم العينات المحضرة تحتوي على جزيئات كروية ذات شكل غير منتظم تتجمع معًا.
تجارب الامتصاص
تأثير المذيبات المتبادلة على أداء الامتصاص لـ Ce-MOFs
لتقييم أداء الامتصاص لـ Ce-MOFs المحضرة، تم تحليل سعات الامتصاص لجميع Ce-MOFs تجاه الأصباغ العضوية (CR كصبغة أنيونية، و MG كصبغة كاتيونية) وأيونات المعادن الثقيلة ( ) وتم عرض النتائج في الشكل 6. من الواضح أن جميع Ce-MOFs أظهرت سعة امتصاص صغيرة لأيونات
، ويرجع ذلك أساسًا إلى الشحنة السطحية الإيجابية لـ MOFs (الجدول 1) التي لا يمكن أن تعزز الجذب الكهروستاتيكي
لتقييم أداء الامتصاص لـ Ce-MOFs المحضرة، تم تحليل سعات الامتصاص لجميع Ce-MOFs تجاه الأصباغ العضوية (CR كصبغة أنيونية، و MG كصبغة كاتيونية) وأيونات المعادن الثقيلة (

الشكل 5. صور FESEM لـ
Ce-MOF-1،
Ce-MOF-2،
Ce-MOF-3،
Ce-MOF-4، و
Ce-MOF-5 بتكبيرات مختلفة.
بين
الأيونات و جزيئات MOF. كما لوحظ في الشكل 6، تزداد سعة الامتصاص لأيونات
بترتيب Ce-MOF-2
سي-موف-3
سي-موف-1
سي-موف-4
سي-موف-5
، وهو ما يتماشى نسبيًا مع ترتيب مساحات سطحها وحجوم مسامها. ومن الجدير بالذكر أن أعلى
تعود سعة الامتزاز إلى Ce-MOF-2 الذي يتمتع بأعلى مساحة سطح وحجم مسام.
ومع ذلك، لم تكن قدرتها على الامتزاز تجاه كلا الصبغتين العضويتين متسقة تمامًا مع مساحاتها السطحية. قدرة الامتزاز لهذه المواد العضوية المعدنية (MOFs) تجاه صبغة CR السالبة هي بترتيب Ce-MOF-2.
سي-موف-3
سي-موف-4
سي-موف-5
سي-موف-1
وهو ما يتماشى نسبيًا مع اتجاه مساحات سطحها. والأهم من ذلك، من الواضح أن ترتيب قدرة امتصاص CR لهذه المواد الممتصة يتماشى مع شحناتها السطحية، حيث أظهرت Ce-MOF-3 وCe-MOF-2، اللتان تتمتعان بأعلى إمكانيات زيتا (18.8 و15.6 مللي فولت، على التوالي)، أعلى قدرات امتصاص.
ومع ذلك، فإن ترتيب سعة امتصاص MG هو Ce-MOF-4
سي-موف-1
موف-5
سي-موف-2
سي-موف-3
. إن ترتيب قدرة امتصاص MG لهذه المواد الممتصة يتماشى مع جهدها الزتاوي، وليس بشكل جيد مع مساحاتها السطحية. وبناءً عليه، فإن Ce-MOF-3 الذي يمتلك أعلى جهد زتاوي إيجابي أظهر أقل قدرة امتصاص تجاه صبغة MG الكاتيونية. تشير هذه الملاحظات إلى أنه بالإضافة إلى مسامية الممتص، يمكن أن تتحكم معايير أخرى مثل الشحنة السطحية في أداء الامتصاص للمواد الممتصة تجاه الأصباغ العضوية. على الرغم من أن Ce-MOF-2 أظهر أعلى مساحة سطح بين MOFs المنشطة، إلا أن Ce-MOF-4 أظهر قدرات امتصاص متشابهة نسبيًا تجاه كل من الأصباغ العضوية السالبة والموجبة. من ناحية أخرى، تم استخدام الأسيتون بشكل متكرر كحل مبدل لتنشيط
. لذلك، في ما يلي من هذه الدراسة،
تم اختيار MOF-4 كأفضل مادة ماصة لإزالة الصبغات العضوية بشكل متزامن، وتم إجراء التجارب الإضافية فقط عليه.
دراسة الحركيات والإيزوثرمات لعملية الامتزاز
ديناميكا وخصائص الامتزاز للصبغات هما من المعايير المهمة لتقييم أداء الامتزاز للمواد الماصة. لذلك، لتقييم كفاءة إزالة Ce-MOF-4 تجاه كل من صبغتي CR وMG بشكل أفضل وفهم آليات الامتزاز، تم دراسة ديناميات الامتزاز وخصائص الامتزاز لجزيئات CR وMG على Ce-MOF-4. تعرض الشكل 7A تأثير زمن التلامس على سعة الامتزاز لصبغتي CR وMG على Ce-MOF-4. أدى الشحنة السطحية الإيجابية لـ Ce-MOF-4 (الجدول 1) إلى امتصاص جزيئات CR السالبة. بسبب التشتت الجيد لجزيئات المادة الماصة داخل محلول CR، لا توجد قيود كبيرة على نقل الكتلة لجزيئات CR من محلول الصبغة إلى سطح جزيئات MOF. نتيجة لمثل هذه الظواهر، تغير لون محلول CR بسرعة من البرتقالي الداكن إلى الأصفر الفاتح وانخفضت تركيزه بسرعة بناءً على شدة الامتصاص لطيف UV-Vis (الشكل S1).
ومع ذلك، أظهرت حركية الامتزاز لصبغة MG الكاتيونية على Ce-MOF-4 أن إزالة صبغة MG ليست فعالة جداً، ويرجع ذلك أساساً إلى الشحنة السطحية الإيجابية للامتصاص التي تزيد من التنافر الكهروستاتيكي لجزيئات MG الكاتيونية مع المواقع النشطة المشحونة إيجابياً في Ce-MOF-4. تم تحليل حركية الامتزاز لكل من الصبغات العضوية على Ce-MOF-4 باستخدام ثلاثة نماذج حركية مثل النموذج من الدرجة الأولى الزائفة، والنموذج من الدرجة الثانية الزائفة، وانتشار الجزيئات الداخلية، حيث كشفت النتائج المستخلصة أن البيانات كانت متوافقة بشكل معقول مع نموذج الحركية من الدرجة الثانية الزائفة.
(الشكل S2). علاوة على ذلك، فإن السعات الامتصاصية المحسوبة من هذا النموذج تتوافق بشكل جيد مع القيم التجريبية (الجدول 2)، مما يشير إلى أن العمليات الكيميائية هي الخطوة المحددة الرئيسية في امتصاص صبغات CR و MG على Ce-MOF-4.
. الـ
المعلمات (ثابت الحركة الزائفة من الدرجة الثانية) التي تحدد معدل الامتزاز، تم حسابها لتكون

الشكل 6. أداء الامتزاز لمركبات Ce-MOFs المحضرة تجاه CR و MG و
.
حوالي 0.0047 و
لـ CR و MG، على التوالي، والتي هي أصغر نسبيًا من تلك الخاصة بالـ MOFs الأخرى المبلغ عنها المستخدمة في امتصاص هذه الأصباغ العضوية
.
تمت دراسة كفاءات الإزالة لـ Ce-MOF-4 تجاه هذه الأصباغ بشكل إضافي من خلال إجراء إيزوثيرم الامتصاص (الشكل 7B). أشارت منحنيات الإيزوثيرم لكلا الصبغين إلى أن سعة الامتصاص زادت مع زيادة التركيز الابتدائي للأصباغ، وكانت السعات القصوى للامتصاص 265.48 و
تم تحقيقها لصبغة CR وMG، عندما كانت تركيزات الصبغة الأولية 200 و
، على التوالي. علاوة على ذلك، تم تحليل أيزوتروبيات الامتصاص لكل من الأصباغ العضوية على Ce-MOF-4 باستخدام أربعة نماذج أيزوتروبية مثل لانغموير، وفرويدليش، وتمبكين، ودوبينين-رادوشكيفيتش، حيث تم الإبلاغ عن التفاصيل في الملف التكميلي. استنادًا إلى منحنيات التوافق (الشكل S3) والمعلمات المحسوبة (الجدول 3)، يمكن ملاحظة أن بيانات أيزوتروبية الامتصاص كانت متوافقة بشكل معقول مع نموذج أيزوتروبي لانغموير (
وبناءً عليه، يمكن الاستنتاج أن عملية الامتزاز هي طبقة أحادية، وأن سطح الممتز متجانس، وأن جميع المواقع النشطة لها نفس طاقة الربط.
تشير هذه الملاحظة أيضًا إلى أن الممتص المحضر لديه أداء امتصاص عالي ليس فقط تجاه صبغة CR السالبة، ولكن أيضًا تجاه صبغة MG الموجبة، حيث إن سعات امتصاصه تجاه كلا الصبغتين قابلة للمقارنة مع القيم المبلغ عنها سابقًا لهذه الصبغات العضوية (الجدول S3). إلى أفضل معرفتنا، هذه الدراسة هي أول تقرير يظهر قابلية استخدام Ce-MOFs لإزالة صبغة MG الموجبة من مياه الصرف الصحي.
دراسة تأثير المعلمات الأخرى المؤثرة على أداء الامتزاز
لتوضيح سلوك امتصاص الصبغة لـ Ce-MOF-4، تم إجراء تجارب امتصاص إضافية عند درجات حرارة مختلفة، وتركيزات ملح مختلفة، ودرجات حموضة مختلفة. يتم توضيح أداء الامتصاص لـ Ce-MOF-4 تحت ظروف متنوعة في الشكل 8. من الواضح من الشكل 8A أن درجة حرارة الامتصاص لم يكن لها تأثير كبير على سعة امتصاص CR على Ce-MOF-4. سعة امتصاص CR

الشكل 7. (أ) حركيات الامتزاز و (ب) منحنيات الامتزاز لامتزاز CR و MG على Ce-MOF-4.
| النماذج الحركية | المعلمات المحسوبة | صبغات | |
| إم جي | سي آر | ||
| زائف من الدرجة الأولى |
|
0.9545 | 0.7902 |
|
|
0.017 | 0.022 | |
|
|
8.74 | 9.95 | |
| الترتيب الزائف من الدرجة الثانية |
|
0.9910 | 0.9981 |
|
|
0.0037 | 0.0047 | |
|
|
٢٢.٦٢ | ٤٧.٦٢ | |
|
|
21.52 | ٤٦.٦١ | |
| انتشار داخل الجسيمات |
|
0.9680 | 0.9497 |
|
|
0.8795 | 0.792 | |
| ج (
|
11.42 | ٣٧.٥١ | |
الجدول 2. المعلمات الثابتة لنماذج حركية مختلفة لامتصاص صبغات CR و MG على Ce-MOF-4.
انخفض قليلاً من 79.07 إلى
من خلال رفع درجة الحرارة من 298 إلى 318 كلفن، مما يشير إلى أن عملية امتصاص CR ذات طبيعة طاردة للحرارة وأن الامتصاص يتسارع عند درجات الحرارة المنخفضة. ومع ذلك، لوحظ أن سعة امتصاص MG زادت بشكل كبير من خلال زيادة درجة حرارة الامتصاص، مما يشير إلى الطبيعة ماصة للحرارة لعملية امتصاص MG التي تتسارع عند درجات الحرارة المرتفعة.
.
تمت ملاحظة نتائج مماثلة أيضًا من خلال حساب معلمات الامتزاز الديناميكية الحرارية (الجدول 4)، باستخدام مخطط فان’t هوف (الشكل S4). تم حساب تغير الطاقة الحرة غيبس السلبية (
تشير قيم ( ) لكل من الأصباغ العضوية إلى الطبيعة التلقائية لهذه العمليات الامتصاصية.
. بالإضافة إلى ذلك، القيم السلبية والإيجابية لتغير الإنثالبي (
) لتأكيد عمليات الامتصاص الطاردة للحرارة والماصة للحرارة لصبغات CR و MG، على التوالي. علاوة على ذلك، فإن القيمة السلبية المحسوبة لتغير الإنتروبيا (
يمثل ( ) لامتصاص صبغة CR أن درجة حرية النظام قد انخفضت بعد أن تم امتصاص جزيئات الصبغة على سطح جزيئات الممتز.
بينما زادت درجة حرية النظام بعد امتصاص صبغة MG على سطح الممتزات. قد يكون هذا الملاحظة بسبب انطلاق المزيد من جزيئات الماء من سطح الممتز بعد امتصاص جزيء واحد من MG.
.
يمكن أن يكون لوجود أيونات مختلفة في مياه الصرف الصحي تأثيرات ملحوظة على أداء الامتصاص للمواد الماصة. وبالتالي، تم تقييم تأثير تركيز NaCl على سعة الامتصاص لـ CR و MG. نظريًا، عندما يكون تفاعل الممتص والممتص عليه جذابًا، قد يقلل وجود أيونات مختلفة من أداء الامتصاص، بينما إذا كان التفاعل طاردًا، فإن أداء الامتصاص يتحسن مع إضافة أملاح مختلفة.
كما هو موضح في الشكل 8B، لم يتأثر سعة الامتصاص لصبغة CR بشكل كبير بوجود NaCl، حيث انخفضت سعتها من 79.07 إلى
عندما كانت تركيز NaCl حوالي
. قد يكون هذا الملاحظة بسبب المنافسة من
الأيونات مع جزيئات CR لتمتص على سطح جزيئات الممتز. بينما، تزيد سعة امتصاص MG
| نماذج الإيزوثرم | المعلمات المحسوبة | صبغات | |
| إم جي | سي آر | ||
| لانغموير |
|
0.9944 | 0.9963 |
|
|
0.032 | 0.125 | |
|
|
227.27 | ٢٧٠.٢٧ | |
|
|
٢٠٣.١٥ | ٢٦٥.٤٨ | |
| ودود |
|
0.8465 | 0.8136 |
|
|
٢٥.٦٩ | ٦٤.٦٥ | |
|
|
٢.٤٩ | 3.22 | |
| تمبكين |
|
0.9345 | 0.9048 |
|
|
50.97 | 53.17 | |
|
|
0.33 | ٢.٥٠ | |
| دوبيين-رادوشكيفيتش |
|
0.9132 | 0.9428 |
|
|
178.52 | 229.66 | |
| ب (
|
|
|
|
الجدول 3. المعلمات المحسوبة للآيزوثرم لامتصاص CR و MG على Ce-MOF-4.

الشكل 8. تأثير (أ) درجة الحرارة، (ب) تركيز NaCl، و(ج) الرقم الهيدروجيني على قدرة الامتزاز لـ Ce-MOF-4 تجاه صبغات CR وMG.
| درجة الحرارة (ك) |
|
|
|
| سي آر | |||
| 298 | -74.79 | -198.51 | -15.64 |
| ٣٠٣ | -13.66 | ||
| 318 | -11.67 | ||
| إم جي | |||
| 298 | 70.96 | 243.72 | -1.67 |
| ٣٠٣ | -4.11 | ||
| 318 | -6.54 | ||
الجدول 4. المعلمات الديناميكية الحرارية المقاسة لامتصاص CR و MG على Ce-MOF-4.
في وجود NaCl، ويظهر القيمة القصوى لـ
عندما تكون تركيز NaCl حوالي
. ومع ذلك، فإن سعة الامتزاز تنخفض عند تركيزات الملح العالية، ويرجع ذلك أساسًا إلى تأثير الملح الذي يسبب زيادة ذوبانية جزيئات MG
.
تمت دراسة تأثير الرقم الهيدروجيني على أداء الامتزاز لـ Ce-MOF-4 من خلال تغيير الرقم الهيدروجيني لمحلول الصبغة من 2 إلى 11 باستخدام محاليل مخففة من HCl و NaOH (الشكل 8C). لم يظهر سعة الامتزاز لـ Ce-MOF-4 تغييرًا كبيرًا عند الأرقام الهيدروجينية الأقل من 8، حيث يكون للامتزاز شحنة سطحية إيجابية ويمكنه التفاعل مع جزيئات CR المشحونة سلبًا. ومع ذلك، عند الأرقام الهيدروجينية الأعلى، انخفضت كفاءة الإزالة بسبب وجود تنافر كهربائي قوي بين جزيئات CR والمواقع المشحونة سلبًا لجزيئات Ce-MOF-4.
السبب الآخر لهذه الملاحظة قد يكون بسبب التحلل الجزئي لهيكل MOF لأن عائلة UiO-66 أظهرت استقرارًا هيكليًا منخفضًا نسبيًا في المحاليل القلوية.
.
ومع ذلك، لوحظ أن Ce-MOF-4 يمكنه امتصاص جزيئات CR حتى في الظروف القلوية القوية.
مما يشير إلى أن معايير أخرى يمكن أن تؤثر على سعة الامتزاز للكروم، والتي سيتم مناقشتها في الأقسام التالية.
على عكس صبغة CR، تتأثر سعة الامتصاص لـ MG بشكل كبير بـ pH المحلول، حيث انخفضت نسبة امتصاصه مع زيادة pH، ثم أظهرت زيادة كبيرة في المحلول القلوي. عند pH المنخفض، عندما يكون MG في شكله المحايد ولدى Ce-MOF-4 مواقع مشحونة إيجابيًا، لا توجد تفاعلات كهربائية بين المادتين. لذلك، في هذه الحالة يمكن لجزيئات MG التفاعل مع الممتز.
تتسبب التفاعلات المتراكمة في امتصاص جزيئات MG على سطح المواد الماصة. ومع ذلك، عند درجة حموضة أعلى، عندما يكون MG في شكله المؤين، ستحدث قوة تنافر كهربائية بين جزيئات MG الموجبة الشحنة والمواقع الموجبة الشحنة في MOFs، مما يؤدي إلى تقليل قدرتها على الامتصاص. ولكن في المحلول القلوي، ستحدث قوة جذب كهربائية بين جزيئات MG الكاتيونية والمواقع السالبة الشحنة في MOFs، مما يؤدي إلى تعزيز قدرتها على الامتصاص. وبالتالي، يمكن الاستنتاج أن Ce-MOF-4 لديه أداء امتصاص جيد تجاه صبغة CR في المحاليل المحايدة والحمضية، بينما المحاليل المحايدة والقلوية ملائمة لامتصاص MG.
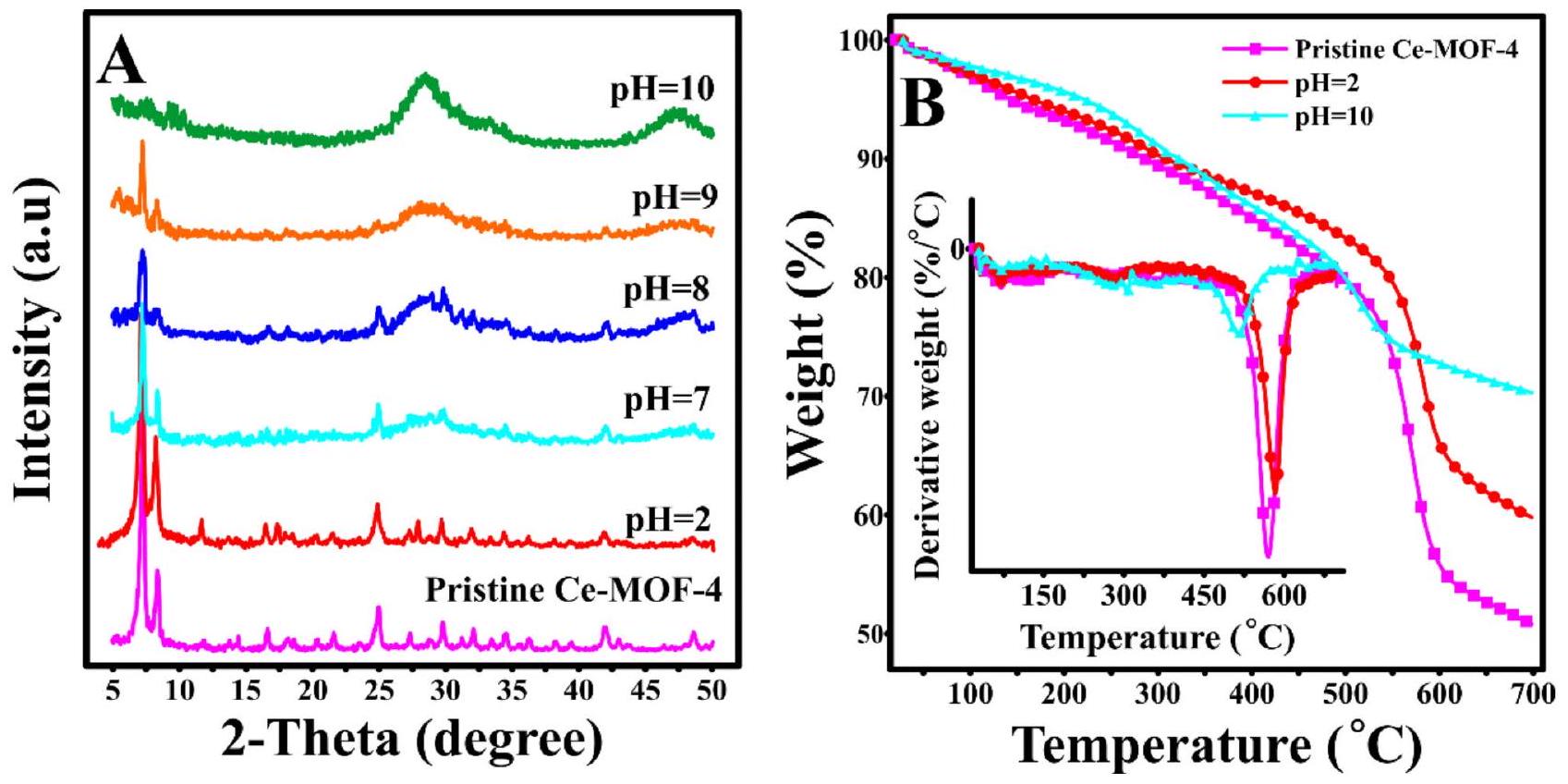
دراسة الاستقرار الهيكلي لـ Ce-MOF-4
استقرار الماء لمواد الامتصاص القائمة على MOF هو أحد المعايير الحاسمة التي يمكن أن تحدد أداء الامتصاص للمواد الماصة في تطبيقات معالجة المياه العادمة على المدى الطويل. لأن جزيئات الماء يمكن أن تعزز تفاعل التحلل المائي لـ MOFs وتؤدي إلى تدهور هياكل MOF.
الأهم من ذلك، تم الإبلاغ عن أن المحاليل الحمضية والقاعدية يمكن أن تسرع بشكل أكبر من تحلل MOFs.
حتى الآن، تم دراسة الاستقرار الهيكلي لمركبات Zr -UiO-66 MOFs في ظروف مختلفة بشكل متكرر.
ومع ذلك، لم يتم دراسة استقرار MOFs المعتمدة على السيريوم في الظروف الحمضية والقاعدية بشكل منهجي من قبل. لذلك، في هذا العمل، ندرس الاستقرار الهيكلي لـ Ce-MOF-4 في محلول مائي مع مستويات pH مختلفة.
تم تقييم الاستقرار الهيدروليتي لـ Ce-MOF-4 من خلال غمر جزيئات MOF في محلول مائي بقيم pH مختلفة (من 2 إلى 10) لمدة 3 ساعات. تم ضبط قيم pH الأولية للمحاليل المائية عن طريق إضافة محاليل HCl أو NaOH. تم فصل جزيئات Ce-MOF-4 المنقوعة عن طريق الطرد المركزي، وغسلها عدة مرات بالماء لتحييد pH الخاص بها، وأخيرًا تم تجفيفها عند
بين عشية وضحاها. لدراسة الاستقرار الهيكلي لـ Ce-MOF-4، تم تسجيل أنماط XRD للعينات المعالجة والنتائج التي تم الحصول عليها موضحة في الشكل 9A. كانت القمم المميزة لـ Ce-MOF-4 المعالج (باستثناء العينة المغمورة في pH 10) متطابقة بشكل جيد مع أنماط XRD لـ MOF النقي، مما يشير إلى أن سلامة وهيكل البلورات العامة لـ MOFs محفوظة بعد الغمر في المحاليل الحمضية والمحايدة. والأهم من ذلك، لم يكن هناك أي تحول ملحوظ في موضع القمة للعينات المعالجة. ومع ذلك، فإن شدة القمم لـ Ce-MOF-4 المعالج قد انخفضت بشكل كبير، مما يشير إلى التحلل الجزئي لهيكل MOF مع زيادة pH المحلول.
كما هو متوقع، تم تدمير الهيكل البلوري لـ Ce-MOF-4 بالكامل في المحاليل القلوية.
)، بينما تم الحفاظ على هيكله البلوري في المحلول الحمضي (
)، التي تتشابه سلوكياتها تجاه المحاليل الحمضية والقاعدية نسبيًا مع غيرها من نظائر UiO-66
من الواضح من الشكل 9A أنه مع زيادة درجة حموضة محلول الصبغة، تزداد شدة القمة العريضة عند
تم زيادة ذلك بشكل ملحوظ، مما يؤكد تشكيل هيكل غير متبلور في المحاليل القاعدية. هذه الملاحظة تتماشى مع ملف TGA لهذه العينة (الشكل 9B)، حيث تم تقليل استقرارها الحراري نتيجة لتشكيل هيكل غير متبلور.

الشكل 9. (أ) أنماط حيود الأشعة السينية و (ب) ملفات تحليل الوزن الحراري لـ Ce-MOF-4 في درجات حموضة مختلفة.
تمت ملاحظة اتجاهات مماثلة أيضًا في إيزوثرمات امتصاص وإطلاق النيتروجين لكل من العينات المعالجة في المحاليل الحمضية والقاعدية (الشكل S5). تم تقليل مساحة السطح وفقًا لطريقة BET للعينة المنقوعة في pH 10 بشكل كبير من 605 إلى
(الجدول 5)، ويرجع ذلك أساسًا إلى التحلل الجزئي لإطار Ce-MOF-4 وخلق سطح أكبر مقارنةً بـ MOF الأصلي. نتيجةً لمثل هذه الظواهر، تم تدمير المسام الدقيقة في MOFs وتشكيل مسام أكبر، مما أدى إلى انخفاض كبير في المسامية.
توزيع حجم المسام في العينات المعالجة (الشكل S5B) أكد أيضًا تدمير المسام الدقيقة وتوليد مسام متوسطة جديدة في هيكل العينات المعالجة. على الرغم من أن أنماط حيود الأشعة السينية للعينة المنقوعة في pH 2 لم تظهر تغييرات ملحوظة، إلا أن مساحتها السطحية وحجم المسام قد انخفضا بشكل كبير من
و
إلى
و
على التوالي، مما يشير إلى أن الهيكل المسامي لـ Ce-MOF-4 قد تغير في المحلول الحمضي.
ومع ذلك، فإن العينات المعالجة مع المحاليل الحمضية والقاعدية لا تزال تظهر أداءً جيدًا في الامتزاز تجاه كلا الصبغتين العضويتين. وبناءً عليه، تم تقليل سعة امتصاص CR لـ Ce-MOF-4 من 79.1 إلى
بعد أن تم نقعها في محلول حمضي
) لمدة 3 ساعات. بينما، في هذه الحالة، زادت سعة امتصاص المغنيسيوم من 64.2 إلى
. تشير هذه الملاحظة إلى أنه على الرغم من تقليل مساحة السطح للعينة المعالجة بالحمض، إلا أن أدائها في الامتزاز تجاه كل من الأصباغ السالبة والموجبة لم يظهر تغييرات كبيرة، بل إن ميلها نحو صبغة MG الموجبة زاد حتى. ولكن وُجد أن أداء الامتزاز لـ Ce-MOF-4 قد انخفض لكلا الصبغتين (من 79.1 إلى
لـ CR ومن 64.2 إلى
لـ MG) بعد أن تم نقعه في محلول قاعدي (
) لمدة 3 ساعات، ويرجع ذلك أساسًا إلى التحلل الجزئي لهيكله. أكدت هذه الملاحظات مرة أخرى على الاستقرار الهيكلي الجيد لمركبات Ce-MOFs في محلول حمضي، والذي يشبه إلى حد كبير المركبات المماثلة لـ UiO-66.
.
تمت دراسة تأثير pH المحلول على الاستقرار الحراري لـ Ce-MOF-4 بواسطة TGA. تُظهر الشكل 9B أن ملفات TGA للعينات المعالجة مشابهة نسبيًا لمركبات MOF الأصلية. قد يكون ظهور بعض خطوات تقليل الوزن الضعيفة الجديدة بسبب التغيرات الهيكلية. من الواضح أن الاستقرار الحراري للعينة المنقوعة في محلول قاعدي
كان أقل قليلاً من العينة النقية. قد يكون هذا الملاحظة بسبب تكوين مرحلة غير متبلورة في هيكل العينة المعالجة بالقاعدة، والتي تتمتع باستقرار حراري أقل مقارنةً بالمرحلة البلورية. علاوة على ذلك، لوحظ أن محتويات الرماد المتبقية في العينات المعالجة (خاصة العينات المنقوعة في pH 10) أعلى من تلك الخاصة بـ MOF النقي. قد يكون ذلك بسبب تكوين عيوب في الروابط المفقودة في هيكل MOFs نتيجة لتفاعل التحلل المائي، مما يؤدي إلى تكوين تجمعات معدنية غير منسقة تمامًا مع جزيئات BDC.
.
آليات الامتزاز
تم تحليل آليات الامتزاز لصبغات CR و MG على Ce-MOF-4 باستخدام تحليل الجهد الكهربائي، FTIR، و FESEM. وفقًا للنتائج التي تم الحصول عليها من الأقسام السابقة، يمكن توقع أن وجود تفاعل كهربائي بين المواقع النشطة لمركبات MOFs وجزيئات الصبغة هو أحد الآليات الحرجة للامتزاز. كما هو موضح في الشكل 10، فإن الأنيونات
يمكن أن تتفاعل مجموعات جزيئات CR مع المواقع المشحونة إيجابيًا في Ce-MOF-4 من خلال قوى الجذب الكهروستاتيكية. قد يكون تشكيل روابط تنسيق بين هذه المجموعات من جزيئات CR والعقد المعدنية غير المشبعة في Ce-MOF-4 آلية أخرى لامتصاص جزيئات CR، كما أبلغ عنها باحثون آخرون سابقًا.
قد تكون آلية ملء المسام آلية أخرى لامتصاص صبغات CR و MG بسبب متوسط قطر المسام لـ Ce-MOF-4.
أكبر قليلاً من حجم CR
و MG
الأصباغ. الانخفاض الأكبر في المساحة السطحية لـ Ce-MOF-4 بعد أربع دورات امتصاص لـ MG (من 605 إلى
) مقارنة بتقليله بعد امتصاص CR (من 605 إلى
(الجدول 5) يؤكد أن آلية ملء المسام هي الأكثر هيمنة في امتصاص MG. تشير هذه الملاحظة إلى أن معظم جزيئات CR تم امتصاصها على سطح Ce-MOF-4، مما يضمن التجديد الفعال للعينة المحملة بـ CR (الشكل 11A).
تظهر طيف FTIR لـ Ce-MOF-4 بعد امتصاص صبغات CR و MG (الشكل S6) عدة قمم امتصاص جديدة تتعلق بالمجموعات الوظيفية لجزيئات الصبغة، مما يؤكد أن جزيئات الصبغة تم امتصاصها على سطح Ce-MOF-4. وتم تأكيد وجود هذه الصبغات على سطح Ce-MOF-4 من خلال صور التحليل الطيفي بالأشعة السينية المشتتة للطاقة (EDS) (الشكل S7). وتكوين روابط هيدروجينية بين
و
يمكن أن تساهم مجموعات جزيئات CR والمجموعات الوظيفية القطبية لـ MOFs أيضًا في امتصاص جزيئات CR على جزيئات Ce-MOF-4. كما أن تفاعل الروابط الهيدروجينية ممكن أيضًا لجزيئات MG من خلال التفاعل بين مجموعات -OH من الكتل المعدنية لـ MOFs والدايميثيل أمين.
مجموعات من جزيئات MG (الشكل S6B)
. علاوة على ذلك، يمكن لصبغات CR وMG التعلق على سطح Ce-MOF-4 عبر
تكديس التفاعلات لأن كلا المادتين لديهما
-الهياكل المترافقة. وبناءً عليه، يمكن الاستنتاج أن CR تم امتصاصه على Ce-MOF-4 من خلال الروابط الهيدروجينية، وملء المسام،
التكديس، والتنسيق، والتفاعلات الكهروستاتيكية، في حين تم امتصاص MG من خلال الروابط الهيدروجينية، وملء المسام،
التكديس، والتفاعلات الكهروستاتيكية.
| MOFs | مساحة السطح
|
متوسط قطر المسام (نانومتر) | حجم المسام
|
| سي-موف-4 النقي | 605 | 2.85 | 0.4079 |
| Ce-MOF-4 في pH 2 | 86 | 15.63 | 0.3375 |
| Ce-MOF-4 في pH 10 | 187 | ٥.٩٩ | 0.2802 |
| CR المعاد تدويره Ce-MOF-4 | 511 | 3.56 | 0.4548 |
| MG المعاد تدويره Ce-MOF-4 | 410 | ٤.١٩ | 0.4301 |
الجدول 5. الخصائص المسامية لـ Ce-MOF-4، المعالج بالأحماض/القلويات، و Ce-MOF-4 المعاد تدويره.

الشكل 10. توضيح تخطيطي لآليات الامتزاز المحتملة
وأصباغ MG على Ce-MOF-4.
إمكانية إعادة الاستخدام والاستقرار الهيكلي
تمت دراسة قدرة التجديد وإعادة التدوير لـ Ce-MOF-4 أيضًا لأنها ضرورية جدًا لتطبيقات معالجة مياه الصرف الصحي العملية. وبناءً عليه، تم dispersing Ce-MOF-4 المحمّل بالصبغة في محلول إيثانول قلوي (يحتوي على NaOH) وتم تحريكه لمدة ساعتين لإطلاق الصبغات الممتصة. بعد ذلك، تم تنشيط العينة المستعادة وتطبيقها لدورة امتصاص-إزالة أخرى. يمكن ملاحظة أن Ce-MOF-4 يمكن استعادته لمدة أربع دورات متتالية من الامتصاص والإزالة دون انخفاض ملحوظ في أدائه في الامتصاص تجاه كل من الصبغات العضوية (الشكل 11A). بالإضافة إلى ذلك، كما هو موضح في الشكل 11B، ظل الهيكل البلوري لـ Ce-MOF-4 مستقرًا بعد أربع دورات. والأهم من ذلك، تؤكد منحنيات امتصاص النيتروجين وإزالة النيتروجين (الشكل 11C) وملفات TGA (الشكل 11D) للعينات المعاد تدويرها على الاستقرار الهيكلي لهذا MOF خلال عمليات الامتصاص والإزالة الدورية. تشير جميع هذه النتائج إلى أن Ce-MOF-4 يمكن أن يكون مرشحًا واعدًا لتطبيقات معالجة مياه الصرف الصحي العملية.
الخاتمة
تم إعداد سلسلة من Ce-MOFs وتفعيلها بواسطة مذيبات تبادل مختلفة مثل الإيثانول، الكلوروفورم، الأسيتون، والميثانول. تتراوح مساحات السطح لـ Ce-MOFs المعدة في ترتيب Ce-MOF-1.
موف-4
سي-موف-3
سي-موف-5
سي-موف-2
بينما زاد الحجم الكلي للمسام فيها بترتيب Ce-MOF-5
سي-موف-4

الشكل 11. (أ) تجربة إعادة استخدام Ce-MOF-4 لصبغات CR وMG. (ب) أنماط XRD، (ج) منحنيات امتصاص وإزالة النيتروجين، و(د) ملفات TGA للعينات المعاد تدويرها.
موف-1
سي-موف-3
سي-موف-2
. تشير هذه الملاحظات إلى أن الإيثانول هو مذيب تبادل مثالي لتنشيط Ce-MOFs. ومع ذلك، فإن Ce-MOF-4 ذو مساحة سطحية
أظهرت أقصى سعات الامتزاز 270.27 و
نحو صبغات CR وMG، على التوالي، مما يدل على قابلية هذا الممتز لعملية الإزالة المتزامنة لكل من الصبغات السالبة والموجبة. يمكن التنبؤ بدقة بحركيات الامتزاز وبيانات التوازن لصبغات Ce-MOF-4 لكل من الصبغتين من خلال نموذج الحركية من الدرجة الثانية الزائفة ونموذج توازن لانغموير، مما يشير إلى أن هذه الصبغات يمكن أن تُمتص على Ce-MOF-4 من خلال عملية امتزاز كيميائية وطبقة أحادية. علاوة على ذلك، كشفت دراسات آلية الامتزاز أن CR تم امتصاصها على Ce-MOF-4 من خلال الروابط الهيدروجينية، وملء المسام،
التكديس، التنسيق، والتفاعلات الكهروستاتيكية، بينما تم امتصاص MG من خلال الروابط الهيدروجينية، وملء المسام،
التكديس، والتفاعلات الكهروستاتيكية. علاوة على ذلك، أظهر Ce-MOF-4 استقرارًا هيكليًا جيدًا في المحلول الحمضي، والمحلول المحايد، وأثناء دورات الامتصاص-الامتزاز المتتالية، بينما تضرر هيكله البلوري في المحلول القلوي.
استنادًا إلى النتائج التي تم الحصول عليها، فإن Ce -MOF-4 لديه القدرة على أن يُستخدم كمواد ماصة خضراء ومستقرة لإزالة الأصباغ الكاتيونية والأنيونية من الماء في آن واحد.
توفر البيانات
جميع البيانات المتعلقة بهذه الدراسة مدرجة في المخطوطة وملف المعلومات الداعمة أو متاحة عند الطلب من المؤلف المراسل.
تاريخ الاستلام: 17 ديسمبر 2024؛ تاريخ القبول: 12 فبراير 2025
نُشر على الإنترنت: 27 فبراير 2025
نُشر على الإنترنت: 27 فبراير 2025
References
- Bashir, N. et al. Green-synthesized silver nanoparticle-enhanced nanofiltration mixed matrix membranes for high-performance water purification. Sci. Rep. 15, 1001. https://doi.org/10.1038/s41598-024-83801-w (2025).
- Mirzaei, R. et al. Innovative cross-linked Electrospun PVA/MOF nanocomposites for removal of cefixime antibiotic. Sci. Rep. 15, 83. https://doi.org/10.1038/s41598-024-84818-x (2025).
- Kayani, K. F. Bimetallic metal-organic frameworks (BMOFs) for dye removal: a review. RSC Adv. 14, 31777-31796. https://doi.or g/10.1039/D4RA06626J (2024).
- Nazir, M. A. et al. Synthesis of bimetallic Mn@ZIF-8 nanostructure for the adsorption removal of methyl orange dye from water. Inorg. Chem. Commun. 165, 112294. https://doi.org/10.1016/j.inoche.2024.112294 (2024).
- Eleryan, A. et al. Isothermal and kinetic screening of methyl red and methyl orange dyes adsorption from water by Delonix regia biochar-sulfur oxide (DRB-SO). Sci. Rep. 14, 13585. https://doi.org/10.1038/s41598-024-63510-0 (2024).
- Molavi, H. et al. 3D-Printed MOF monoliths: fabrication strategies and environmental applications. Nano-Micro Lett. 16, 272. https://doi.org/10.1007/s40820-024-01487-1 (2024).
- Shiri, M., Hosseinzadeh, M., Shiri, S. & Javanshir, S. Adsorbent based on MOF-5/cellulose aerogel composite for adsorption of organic dyes from wastewater. Sci. Rep. 14, 15623. https://doi.org/10.1038/s41598-024-65774-y (2024).
- Mohammadi, A. et al. Novel ZIF-8/CNC nanohybrid with an interconnected structure: toward a sustainable adsorbent for efficient removal of cd(II) ions. ACS Appl. Mater. Interfaces. 16, 3862-3875. https://doi.org/10.1021/acsami.3c15524 (2024).
- Noor, T., Raffi, U., Iqbal, N., Yaqoob, L. & Zaman, N. Kinetic evaluation and comparative study of cationic and anionic dyes adsorption on zeolitic imidazolate frameworks based metal organic frameworks. Mater. Res. Express. 6, 125088. https://doi.org/10 .1088/2053-1591/ab5bdf (2019).
- Ahmad, U. et al. ZIF-8 composites for the removal of Wastewater pollutants. ChemistrySelect 9, e202401719. https://doi.org/10.10 02/slct. 202401719 (2024).
- Sudarsan, S., Murugesan, G., Varadavenkatesan, T., Vinayagam, R. & Selvaraj, R. Efficient adsorptive removal of Congo Red dye using activated carbon derived from Spathodea campanulata flowers. Sci. Rep. 15, 1831. https://doi.org/10.1038/s41598-025-8603 2-9 (2025).
- Ahmadijokani, F. et al. COF and MOF hybrids: Advanced materials for Wastewater Treatment. Adv. Funct. Mater. 34, 2305527. https://doi.org/10.1002/adfm. 202305527 (2024).
- Molavi, H. et al. Wastewater treatment using nanodiamond and related materials. J. Environ. Manage. 349, 119349. https://doi.org /10.1016/j.jenvman.2023.119349 (2024).
- Singh, S. et al. Metal organic frameworks for wastewater treatment, renewable energy and circular economy contributions. npj Clean. Water. 7, 124. https://doi.org/10.1038/s41545-024-00408-4 (2024).
- Ahmadijokani, F. et al. UiO-66 metal-organic frameworks in water treatment: a critical review. Prog. Mater. Sci. 125, 100904 (2022).
- Mirzaei, K., Jafarpour, E., Shojaei, A., Khasraghi, S. S. & Jafarpour, P. An investigation on the influence of highly acidic media on the microstructural stability and dye adsorption performance of UiO-66. Appl. Surf. Sci. 618, 156531 (2023).
- He, H. H. et al. Yolk-Shell and Hollow Zr/Ce-UiO-66 for manipulating selectivity in Tandem reactions and photoreactions. J. Am. Chem. Soc. 145, 17164-17175 (2023).
- Zaremba, O., Andreo, J. & Wuttke, S. The chemistry behind room temperature synthesis of hafnium and cerium UiO-66 derivatives. Inorg. Chem. Front. 9, 5210-5216 (2022).
- Lammert, M. et al. Cerium-based metal organic frameworks with UiO-66 architecture: synthesis, properties and redox catalytic activity. Chem. Commun. 51, 12578-12581(2015).
- Wu, X. P., Gagliardi, L. & Truhlar, D. G. Cerium metal-organic framework for photocatalysis. J. Am. Chem. Soc. 140, 7904-7912 (2018).
- Farrag, M. In situ preparation of palladium nanoclusters in cerium metal-organic frameworks Ce-MOF-808, Ce-UiO-66 and CeBTC as nanoreactors for room temperature Suzuki cross-coupling reaction. Microporous Mesoporous Mater. 312, 110783 (2021).
- Zhang, Y., Zeng, X., Jiang, X., Chen, H. & Long, Z. Ce-based UiO-66 metal-organic frameworks as a new redox catalyst for atomic spectrometric determination of Se (VI) and colorimetric sensing of hg (II). Microchem. J. 149, 103967 (2019).
- Rego, R. M. et al. Cerium based UiO-66 MOF as a multipollutant adsorbent for universal water purification. J. Hazard. Mater. 416, 125941 (2021).
- Molavi, H. Cerium-based metal-organic frameworks: synthesis, properties, and applications. Coord. Chem. Rev. 527, 216405. https://doi.org/10.1016/j.ccr.2024.216405 (2025).
- Molavi, H. & Salimi, M. S. Green synthesis of Cerium-based metal-Organic Framework (Ce-UiO-66 MOF) for Wastewater Treatment. Langmuir 39, 17798-17807. https://doi.org/10.1021/acs.langmuir.3c02384 (2023).
- Li, K., Yang, J. & Gu, J. Salting-in species induced self-assembly of stable MOFs. Chem. Sci. 10, 5743-5748 (2019).
- Yassin, J. M., Taddesse, A. M. & Sanchez-Sanchez, M. Room temperature synthesis of high-quality ce (IV)-based MOFs in water. Microporous Mesoporous Mater. 324, 111303 (2021).
- Jin, H. G. et al. Room temperature aqueous synthesis of ce (IV)-MOFs with UiO-66 architecture and their photocatalytic decarboxylative oxygenation of arylacetic acids. Microporous Mesoporous Mater. 346, 112257 (2022).
- Campanelli, M. et al. Solvent-free synthetic route for Cerium (IV) metal-organic frameworks with UiO-66 architecture and their photocatalytic applications. ACS Appl. Mater. Interfaces. 11, 45031-45037 (2019).
- Otun, K. O. Temperature-controlled activation and characterization of iron-based metal-organic frameworks. Inorg. Chim. Acta. 507, 119563 (2020).
- Andrés, M. A. et al. Solvent-exchange process in MOF ultrathin films and its effect on CO2 and methanol adsorption. J. Colloid Interface Sci. 590, 72-81 (2021).
- Zhang, X., Zhan, Z., Li, Z. & Di, L. Thermal activation of CuBTC MOF for CO oxidation: the effect of activation atmosphere. Catalysts 7, 106 (2017).
- Yang, Y. et al. Significant improvement of surface area and CO 2 adsorption of Cu-BTC via solvent exchange activation. RSC Adv. 3, 17065-17072 (2013).
- Zeleňák, V. et al. Large and tunable magnetocaloric effect in gadolinium-organic framework: tuning by solvent exchange. Sci. Rep. 9, 15572 (2019).
- Tati, A., Ahmadipouya, S., Molavi, H., Mousavi, S. A. & Rezakazemi, M. Efficient removal of organic dyes using electrospun nanofibers with Ce-based UiO-66 MOFs. Ecotoxicol. Environ. Saf. 266, 115584 (2023).
- Mohammadnejad, M. & Alizadeh, S. MnFe2O4-NH2-HKUST-1, MOF magnetic composite, as a novel sorbent for efficient dye removal: fabrication, characterization and isotherm studies. Sci. Rep. 14, 9048. https://doi.org/10.1038/s41598-024-59727-8 (2024).
- Huang, F. P. et al. Solvent effects on the structures and magnetic properties of two doubly interpenetrated metal-organic frameworks. Dalton Trans. 44, 6593-6599 (2015).
- Ghadim, E. E., Walker, M. & Walton, R. I. Rapid synthesis of cerium-UiO-66 MOF nanoparticles for photocatalytic dye degradation. Dalton Trans. 52, 11143-11157. https://doi.org/10.1039/D3DT00890H (2023).
- Rad, F. A. & Rezvani, Z. Preparation of cubane-1, 4-dicarboxylate-Zn-Al layered double hydroxide nanohybrid: comparison of structural and optical properties between experimental and calculated results. RSC Adv. 5, 67384-67393 (2015).
- Li, Y. et al. Boosting the rhodamine B adsorption of bimetallic
: effect of valence states of cerium precursor. Microporous Mesoporous Mater. 357, 112628 (2023). - Ramezanzadeh, M., Ramezanzadeh, B., Bahlakeh, G., Tati, A. & Mahdavian, M. Development of an active/barrier bi-functional anti-corrosion system based on the epoxy nanocomposite loaded with highly-coordinated functionalized zirconium-based nanoporous metal-organic framework (Zr-MOF). Chem. Eng. J. 408, 127361 (2021).
- Yazaydın, A. O. et al. Enhanced CO2 adsorption in metal-organic frameworks via occupation of open-metal sites by coordinated water molecules. Chem. Mater. 21, 1425-1430 (2009).
- Li, J. R., Kuppler, R. J. & Zhou, H. C. Selective gas adsorption and separation in metal-organic frameworks. Chem. Soc. Rev. 38, 1477-1504 (2009).
- Dai, S. et al. Room temperature design of ce(iv)-MOFs: from photocatalytic HER and OER to overall water splitting under simulated sunlight irradiation. Chem. Sci. 14, 3451-3461. https://doi.org/10.1039/D2SC05161C (2023).
- He, J. et al. Ce (III) nanocomposites by partial thermal decomposition of
for effective phosphate adsorption in a wide pH range. Chem. Eng. J. 379, 122431 (2020). - Amesimeku, J., Zhao, Y., Li, K. & Gu, J. Rapid synthesis of hierarchical cerium-based metal organic frameworks for carbon dioxide adsorption and selectivity. Microporous Mesoporous Mater., 112658 (2023).
- Karimi, M. et al. Additive-free aerobic C-H oxidation through a defect-engineered Ce-MOF catalytic system. Microporous Mesoporous Mater. 322, 111054. https://doi.org/10.1016/j.micromeso.2021.111054 (2021).
- Deng, S. Q. et al. An anionic nanotubular metal-Organic Framework for high-capacity dye adsorption and dye degradation in darkness. Inorg. Chem. 58, 13979-13987 (2019).
- Far, H. S. et al. PPI-dendrimer-functionalized magnetic metal-organic framework (Fe3O4@ MOF@ PPI) with high adsorption capacity for sustainable wastewater treatment. ACS Appl. Mater. Interfaces. 12, 25294-25303 (2020).
- Louaer, S., Wang, Y. & Guo, L. Fast synthesis and size control of gibbsite nanoplatelets, their pseudomorphic dehydroxylation, and efficient dye adsorption. ACS Appl. Mater. Interfaces. 5, 9648-9655 (2013).
- Abbasi, S., Nezafat, Z., Javanshir, S., Aghabarari, B. & Bionanocomposite MIL-100(Fe)/Cellulose as a high-performance adsorbent for the adsorption of methylene blue. Sci. Rep. 14, 14497. https://doi.org/10.1038/s41598-024-65531-1 (2024).
- El Jery, A. et al. Isotherms, kinetics and thermodynamic mechanism of methylene blue dye adsorption on synthesized activated carbon. Sci. Rep. 14, 970. https://doi.org/10.1038/s41598-023-50937-0 (2024).
- Mirzaei, K., Jafarpour, E., Shojaei, A. & Molavi, H. Facile synthesis of Polyaniline@UiO-66 nanohybrids for efficient and Rapid Adsorption of Methyl Orange from Aqueous Media. Ind. Eng. Chem. Res. 61, 11735-11746. https://doi.org/10.1021/acs.iecr.2c009 19 (2022).
- Samiey, B. & Toosi, A. R. Adsorption of malachite green on silica gel: effects of NaCl, pH and 2-propanol. J. Hazard. Mater. 184, 739-745 (2010).
- Lammert, M., Glißmann, C. & Stock, N. Tuning the stability of bimetallic ce (IV)/Zr (IV)-based MOFs with UiO-66 and MOF-808 structures. Dalton Trans. 46, 2425-2429 (2017).
- Bǔžek, D., Demel, J. & Lang, K. Zirconium metal-organic framework UiO-66: stability in an aqueous environment and its relevance for organophosphate degradation. Inorg. Chem. 57, 14290-14297 (2018).
شكر وتقدير
يود المؤلفون أن يشكروا نائب البحث في معهد الدراسات المتقدمة في العلوم الأساسية (IASBS) على تقديم الدعم المالي لهذا البحث. كما تم دعم هذا العمل مالياً من قبل مؤسسة العلوم الوطنية الإيرانية (INSF) برقم المنحة: 4038000. يقدر المؤلفون دعمهم بامتنان.
مساهمات المؤلفين
نعترف بأن جميع المؤلفين ساهموا في هذه المراجعة، بما في ذلك التحقيق، جمع الموارد، جمع البيانات، معالجة النتائج، التركيب، التوصيف، تنسيق البيانات، تحليل النتائج، التحقيق، الكتابة، المراجعة وتحرير المخطوطة. قام المؤلف المراسل حسين ملافي بتوجيه اتجاه بحثنا وكتابتنا، والإشراف، ومراجعة الكتابة، وتحرير المسودة الأصلية.
إعلانات
المصالح المتنافسة
يعلن المؤلفون عدم وجود مصالح متنافسة.
معلومات إضافية
المعلومات التكميلية النسخة الإلكترونية تحتوي على مواد تكميلية متاحة على https://doi.org/1
.
يجب توجيه المراسلات وطلبات المواد إلى H.M.
معلومات إعادة الطبع والتصاريح متاحة على www.nature.com/reprints.
ملاحظة الناشر تظل Springer Nature محايدة فيما يتعلق بالمطالبات القضائية في الخرائط المنشورة والانتماءات المؤسسية.
معلومات إعادة الطبع والتصاريح متاحة على www.nature.com/reprints.
ملاحظة الناشر تظل Springer Nature محايدة فيما يتعلق بالمطالبات القضائية في الخرائط المنشورة والانتماءات المؤسسية.
الوصول المفتوح هذه المقالة مرخصة بموجب رخصة المشاع الإبداعي للاستخدام غير التجاري، والتي تسمح بأي استخدام غير تجاري، ومشاركة، وتوزيع، وإعادة إنتاج في أي وسيلة أو صيغة، طالما أنك تعطي الائتمان المناسب للمؤلفين الأصليين والمصدر، وتوفر رابطًا لرخصة المشاع الإبداعي، وتوضح إذا قمت بتعديل المادة المرخصة. ليس لديك إذن بموجب هذه الرخصة لمشاركة المواد المعدلة المشتقة من هذه المقالة أو أجزاء منها. الصور أو المواد الأخرى من طرف ثالث في هذه المقالة مشمولة في رخصة المشاع الإبداعي للمقالة، ما لم يُشار إلى خلاف ذلك في سطر الائتمان للمادة. إذا لم تكن المادة مشمولة في رخصة المشاع الإبداعي للمقالة واستخدامك المقصود غير مسموح به بموجب اللوائح القانونية أو يتجاوز الاستخدام المسموح به، ستحتاج إلى الحصول على إذن مباشرة من صاحب حقوق الطبع والنشر. لعرض نسخة من هذه الرخصة، قم بزيارة http://creativecommo ns.org/licenses/by-nc-nd/4.0/.
© المؤلفون 2025
© المؤلفون 2025
- قسم الكيمياء، معهد الدراسات المتقدمة في العلوم الأساسية (IASBS)، زنجان 45137-66731، إيران. ® البريد الإلكتروني: h.molavi@iasbs.ac.ir
Journal: Scientific Reports, Volume: 15, Issue: 1
DOI: https://doi.org/10.1038/s41598-025-90313-8
PMID: https://pubmed.ncbi.nlm.nih.gov/40016413
Publication Date: 2025-02-27
DOI: https://doi.org/10.1038/s41598-025-90313-8
PMID: https://pubmed.ncbi.nlm.nih.gov/40016413
Publication Date: 2025-02-27
OPEN
Investigation the effect of exchange solvents on the adsorption performances of CeMOFs towards organic dyes
Cerium-based MOFs (Ce-MOFs) are regarded as attractive porous materials showing various structures, excellent thermal and chemical stability, tunable porous properties, and simple synthetic methods that are useful for wastewater treatment applications. Hence, in the present work, we synthesized a series of Ce-MOFs through a fast and green synthetic method at room temperature using water as a green solvent. Four different solvents including ethanol, chloroform, acetone, and methanol were used in the solvent-exchange process to engineer the properties of prepared Ce-MOFs. The influence of different exchange solvents on the crystalline structure, porous structure, thermal stability, and surface morphology of Ce-MOFs was studied systematically. It was found that exchange solvents can significantly affect the chemical and physical properties of prepared Ce-MOFs. Using ethanol as an exchange solvent results in the production of highly crystalline MOF that has the highest surface area (
) and pore volume (
) compared to other prepared Ce-MOFs. The dye adsorption experiments revealed that the activated sample by acetone (Ce-MOF-4) exhibited the highest adsorption capacities toward both anionic (
for Congo Red (CR)) and cationic (
for Malachite Green (MG)) dyes. This MOF adsorbs both organic dyes via different mechanisms including hydrogen bonding, pore-filling,
stacking, coordination, and electrostatic interactions. Moreover, it exhibited good structural stability in acidic solution, neutral solution, and during consecutive adsorption-desorption cycles, confirming its potential to be applied as a stable adsorbent for simultaneous removal of cationic and anionic organic dyes from water.
Keywords Green synthesis, Efficient activation, Dye adsorption, Ce-based MOFs, Solvent-exchange
Owing to the global population and industrialization, a large amount of wastewater containing different pollutants such as heavy metal ions, organic dyes, drugs, pesticides, etc., has been produced, which poses significant environmental challenges . Among the most frequently observed pollutants, synthetic dyes such as Congo Red (CR), Malachite Green (MG), Methyl Red (MR), Rhodamine B (RhB), Methyl Orange (MO), Methylene Blue
, etc., are the main water pollutants originating from different industries including cosmetic, textiles, food, varnish and paint, leather, pharmaceutical, pulp, etc
. These organic dyes are chemically and physically most stable and most of them are biodegradable compounds that are toxic to the environment and humans
. Therefore, there is a critical need for efficient methods to remove these pollutants from wastewater before discharging them into the aquatic environment
.
Owing to the global population and industrialization, a large amount of wastewater containing different pollutants such as heavy metal ions, organic dyes, drugs, pesticides, etc., has been produced, which poses significant environmental challenges
Among, different developed treatment technologies, the adsorption method has achieved prominence because of its cost-efficiency, effectiveness, simple operation, applying a variety of adsorbent materials, etc
. To date, different materials such as activated carbons, polymers, biochars, metal oxides, metal-organic frameworks (MOFs), covalent organic frameworks (COFs), zeolite imidazole frameworks (ZIFs), carbon-based nanostructures, etc., have been applied as adsorbent for the removal of different organic dyes from water
. Among these, MOFs exhibit significant adsorption properties and can be applied as efficient materials for the adsorption of different organic dyes
.
Zirconium-based MOFs (Zr-MOFs) are today regarded as promising materials for wastewater treatment
. Among them Zr-based UiO-66 (Zr-UiO-66) is a highly stable microporous MOF that is built from coordination of
clusters with 1,4-benzene dicarboxylic acid (BDC). Because of their superior chemical stability, Zr -UiO-66
and its derivatives have been frequently studied for the removal of various contaminants from water
. Recently, structural variants of Zr-UiO-66 MOFs with various metal nodes have achieved tremendous attraction due to their outstanding properties
. For instance, cerium-based UiO-66 (Ce-UiO-66) MOFs containing Ce ions instead of Zr ions in their clusters, have been synthesized by Stock and coworkers
in 2015 and studied their catalytic activity for the first time.
After that, different research groups studied the catalytic activity of Ce-UiO-66 MOFs in different fields
. Owing to the low cost and abundance of Ce ion as well as its strong oxidative capability originating from the intrinsic switching tendency between Ce (IV) and Ce (III), Ce -UiO- 66 MOFs have gained widespread attraction in both academia and industry
. The present literature exhibits that most of the published papers have focused on the catalytic performance of Ce -UiO-66 MOFs, while their adsorption performances for wastewater treatment applications have not been fully explored
. In our previous work, we studied the removal performance of Ce-UiO-66 in the adsorption of anionic CR dye, in which its maximum adsorption capacity towards CR was measured to be about
. Moreover, it showed good adsorption performance as well as chemical stability during cyclic tests, where it showed a low reduction (<
) in adsorption capacity towards CR dye after three cycles
.
Besides the structural stability of adsorbent materials for wastewater treatment applications, sustainable and green synthetic methods that are energetical, environmental, and economic are very essential. Hitherto, different synthetic strategies have been developed for the synthesis of Ce-UiO-66 MOFs, some of which are quick, simple, green, and at ambient conditions without using a large volume of organic solvents
. The first ambient condition preparation of Ce-UiO-66 MOFs was reported by Li et al.
in 2019 using salting-in species induced self-assembly strategy. Since that, different research groups have reported the room-temperature synthesis of this porous material
.
During the synthesis process of MOFs, solvent molecules and unreacted precursors are unavoidably trapped within the pores of prepared MOFs
. Therefore, the as-prepared MOFs generally contain different guest molecules including unreacted precursors, solvents, and other materials utilized during the synthesis process, which is essential to completely remove them to access the whole pores of frameworks and improve their adsorption performance
. To date, different activation techniques such as thermal activation, freeze-drying, solvent exchange, chemical treatment, supercritical
exchange, etc., have been developed to efficiently remove trapped molecules from the porous structure of
. Among them, exchanging high boiling point solvents with low surface tension and/or low boiling point solvents via solvent-exchange method and then thermal activation under vacuum is the most commonly applied strategy in MOF activation mainly due to its efficiency and simplicity
.
However, there is no report in the literature that systematically focuses on the effects of exchange solvents on the physicochemical properties of Ce-MOFs. Thus, in the present work, we synthesized a series of Ce-MOFs through a fast and green synthetic method at room temperature using water as a solvent. Four different low boiling point solvents such as ethanol, chloroform, acetone, and methanol were used in the solvent-exchange process to engineer the properties of prepared Ce-MOFs. The influence of different exchange solvents on the crystalline structure, porous structure, thermal stability, and surface morphology of Ce-MOFs was studied systematically. Finally, the prepared Ce-MOFs were utilized as adsorbent to efficiently remove both cationic and anionic dyes from water. The results revealed that the exchange solvent has a significant effect on the porous properties as well as the dye adsorption performances of Ce-MOFs.
Experiments
Materials
Sodium perchlorate monohydrate (
) as a salting-in agent, 1,4-benzene dicarboxylic acid (BDC) as an organic linker, and cerium(IV) ammonium nitrate
as metal precursor were purchased from Merck Co. (Germany). N, N-dimethylformamide (DMF), ethanol, chloroform, acetone, and methanol were supplied by Merck Co. (Germany) and applied as exchange solvents. Congo Red (CR) and Malachite Green (MG) as model dyes were purchased from Merck Co. (Germany). Other materials are of analytical grade and were used as received.
Synthesis of Ce-MOFs
The Ce-MOFs were prepared via a green method according to our previous procedure with some modifications
. Briefly,
was dissolved in water
. Then, BDC
and CAN
were added to the above solution and stirred vigorously at ambient conditions for 6 h . Finally, the prepared Ce MOFs were separated from the solution by centrifugation. The preparation steps of Ce-MOFs are schematically illustrated in Fig. 1.
Activation of Ce-MOFs
As shown in Fig. 1, the as-prepared Ce-MOFs particles were washed with water three times to remove
.
and unreacted metal precursor from the porous structures of MOFs. After that, several low boiling point solvents such as ethanol, chloroform, acetone, and methanol were used to further wash the prepared particles. Then, the unreacted organic linkers were removed from the porous structure of prepared adsorbents by washing the particles with DMF several times. Subsequently, the molecules trapped in the pores of MOFs were exchanged with low boiling point solvents by soaking MOFs in the above-mentioned solvents for three days. Finally, these solvents were removed from the porous structure of MOFs by heating at
for 12 h . For comparison, a sample was prepared without using any exchange solvent. The used exchange solvents as well as the properties of prepared Ce-MOFs were given in Table 1.

Fig. 1. Schematic illustration of the preparation and activation of Ce-MOFs.
| MOFs | Exchange solvents | Yield
|
Zeta potential (mV) | Surface area (
|
Average pore diameter (nm) | Pore volume (
|
| Ce-MOF-1 | – |
|
|
592 | 2.97 | 0.4401 |
| Ce-MOF-2 | Ethanol |
|
|
843 | 3.57 | 0.7518 |
| Ce-MOF-3 | Methanol |
|
|
618 | 3.29 | 0.5095 |
| Ce-MOF-4 | Acetone |
|
|
605 | 2.85 | 0.4079 |
| Ce-MOF-5 | Chloroform |
|
|
642 | 2.40 | 0.3857 |
Table 1. The properties of the prepared Ce-MOFs.
The yields of prepared MOFs were measured based on the amount of BDC.
Adsorption experiments
All the adsorption experiments were performed at ambient conditions using CR and MG solutions. These different organic dyes were selected as model dyes to investigate the effect of different parameters (e.g., contact time, initial concentration, pH , salt concentration, and temperature) on the removal performance of the prepared
. The initial pH of dye solutions was adjusted from 2 to 11 using diluted aqueous NaOH and HCl solutions. A specific amount of each Ce-MOF was dispersed into the aqueous solution of dyes and stirred at ambient conditions. At a certain time (
) the adsorbent particles were separated by centrifugation, and the dye concentrations were determined with UV-Vis spectrophotometer (
and 617 nm for CR and MG, respectively) using the obtained calibration curves for each dye. The adsorption capacity at a specific time
and the equilibrium adsorption capacity
were calculated by the following equations, respectively
:
in which,
, and
are the dye concentration at initial, after specific time intervals, and at equilibrium respectively.
is the weight of used adsorbents and
is the volume of dye solutions
. The kinetics, as well as the isotherm adsorption processes of the prepared adsorbents toward CR and MG dyes, were evaluated by different kinetics and isotherm models, which the details were reported in the Supplementary file.
Characterization
The as-synthesized and activated samples were completely characterized using different analyses, in which the details were presented in the Supplementary file.
Results and discussion
Characterization of the prepared Ce-MOFs
XRD and FTIR analyses
To efficiently remove the high boiling point solvents ( and DMF (
)) by the low boiling point solvents, we used four different solvents such as ethanol (
), methanol (
), chloroform (
), and acetone (
) as exchange solvents. Figure 2A shows the XRD patterns of the as-synthesized sample (Ce-MOF-1) and those were activated with various solvents. The observation of two characteristic peaks of
(Ce-UiO-66-based MOFs) at around
and
, which are related to the (111) and (002) lattice planes, respectively, indicates the successful synthesis and phase purity of Ce-MOFs. Regardless of some differences
To efficiently remove the high boiling point solvents (

Fig. 2. (A) XRD patterns and (B) FTIR spectra of the prepared Ce-MOFs.
in the relative intensities, the XRD patterns of all prepared Ce-MOFs are the same and agree well with the literature
. The slight differences in the intensities of characteristic peaks might be because of the preferred orientation of the powder MOFs
. Moreover, there are no significant crystalline structural changes after soaking MOFs in different solvents for three days, indicating the stability of Ce-MOFs against these solvents.
Furthermore, the FTIR spectra (Fig. 2B) of the prepared Ce-MOFs are relatively the same and similar to the literature
. The appearance of two characteristic stretching vibrational peaks at around 514 and
in the FTIR spectra of all synthesized samples, which are attributed to the various coordination modes of
bonds, demonstrates the successful synthesis of
. Other characteristic peaks of synthesized Ce -MOFs and their origin were also labeled in Fig. 2B. One of the most recognizable differences in the FTIR spectra of prepared samples is the characteristic peak of -COOH groups of BDC that appeared at
. It is clear that the intensity of this peak significantly reduced after the solvent-exchange process, indicating that most of the unreacted BDC molecules were removed from the pores of MOFs and the exchange process was successful. The lowest peak intensity at this region is related to the Ce -MOF-2 and Ce -MOF-3 that were activated by ethanol and methanol, respectively, indicating the strong ability of these solvents to remove BDC molecules from the pores of MOFs. Accordingly, it can be expected that these solvents would have resulted in the formation of MOFs with higher porosity.
Nitrogen adsorption and desorption analyses
To determine the effect of the solvent-exchange process on the porosity of Ce-MOFs, the porous properties of the synthesized Ce-MOFs were analyzed by nitrogen adsorption and desorption at 77 K , in which the obtained results are shown in Fig. 3. The isotherms of as-synthesized sample (Ce-MOF-1) and samples activated by ethanol, methanol, chloroform, and acetone exhibited type IV curves based on the IUPAC classification, indicating the presence of typical mesopores in the structure of these
. The Brunauer-EmmettTeller (BET) surface areas, mean pore diameters, and the pore volumes of the prepared Ce-MOFs were presented in Table 1, which illustrated that the solvent-exchange process remarkably increased the porosity of resulting MOFs.
The BET surface areas of the prepared Ce-MOFs are in the order of Ce-MOF-1
Ce-MOF-4
Ce-MOF-3
Ce-MOF-5
Ce-MOF-2
, whereas the total pore volume of them increased in the order of Ce-MOF-5
Ce-MOF-4
Ce-MOF-1
Ce-MOF-3
Ce-MOF-2
. The surface area as well as pore volume of Ce-MOF-1 (without solvent-exchange process), were measured to be about
and
, respectively, which are relatively at high levels compared to the previously reported values for this type of MOF (Table S1)
. Although the nitrogen adsorption and desorption isotherms of Ce-MOF-1, Ce-MOF-3, Ce-MOF-4, and Ce-MOF-5 are nearly the same, their pore volumes, mean pore diameters, and surface areas were different, mainly due to the presence of different amounts of meso- and micropores in their structures (Fig. 3B). The formation of a hysteresis loop in the nitrogen adsorption and desorption isotherms of Ce-MOF-2 indicated that the pores of this MOF are nearly tubular. Moreover, the calculated average pore diameters of the prepared Ce-MOFs using the Barrett-Joyner-Halenda (BJH) model, are in the order of Ce-MOF-2
-MOF-3
MOF-1
Ce-MOF-4
Ce-MOF-5
. This observation indicates that the Ce-MOF-2

Fig. 3. (A) Nitrogen adsorption and desorption isotherms and (B) pore size distribution of the prepared CeMOFs. (The green lines show desorption).
not only exhibited the highest BET surface area and total pore volume, but also showed the highest average pore diameter, which all are beneficial for the adsorption of water pollutants.
The order of increment in the surface area of the activated samples is unexpectedly opposite to the boiling points of used solvents, and the surface area nearly increased with increasing the boiling points of exchange solvents. While, it was expected that the specific surface area of the prepared MOFs would increase with the decrease in the boiling point of the exchange solvents. Accordingly, ethanol with the highest boiling point ( 79
results in the formation of Ce-MOF-2 with the highest surface area (
), while acetone with the lowest boiling point (
) results in the formation of Ce-MOF-4 with the lowest surface area (
) among the activated samples. This observation indicates that other parameters like the polarity of exchange solvents may affect the porosity of resulting MOFs.
Another important factor that can control the efficiency of the solvent-exchange process is the ability to exchange solvent molecules to coordinate with the possible open metal centers of
. Although the perfect and defect-free UiO-66 MOFs are free of open metal sites, however, when open metal sites are present in the structure of Ce-MOFs, during the synthesis in water as solvent and washing by water and DMF, water and DMF molecules can coordinate with these sites. Therefore, to increase the efficiency of the solvent-exchange process and increase the BET surface area of the prepared MOFs, it is very necessary to completely remove all the coordinated solvents with the open metal centers of MOFs. Due to the high polarity of water and DMF molecules, they have relatively strong coordination interaction with the possible open metal sites
. Thus, only polar solvents can efficiently remove these coordinated molecules from the structure of
. As reported in Table S2, methanol and ethanol molecules have higher polarity among other solvents and have relatively strong proton donor ability. So, they can form a coordination bond with the metal center of MOFs and replaced with the coordinated water and DMF molecules. While, acetone as a polar aprotic solvent and chloroform as a nonpolar solvent cannot strongly interact with the metal centers of MOFs to remove the coordinated molecules from the structure of MOFs, thereby would be less efficient exchange solvents
.
As observed from Table 1, ethanol is the best solvent for the solvent-exchange process resulting in the formation of Ce-MOF-2 with the highest surface area. Moreover, a similar result was also observed by Dai et al.
when using ethanol as an exchange solvent, in which a surface area of
was obtained for Ce-UiO-66 MOFs (Table S1). This observation may be due to the strong interaction between ethanol and DMF molecules as well as their high miscibility. In theory, when the solubility parameter of two solvents is close to each other their interaction as well as their miscibility would be increased, which allows the exchange solvent to efficiently penetrate within the pores of MOFs and transport the trapped molecules inside the pores of MOFs into the solution. Among the used exchange solvents, ethanol has nearly the same solubility parameter to DMF, thus it has high miscibility with DMF and the highest capacity to exchange DMF. Additionally, the solubility of BDC in this solvent is relatively high, which makes it a good candidate for the elimination of unreacted BDC molecules from the pores of MOFs. As a result of such properties, ethanol is the best solvent for the exchange process that results in the formation of MOFs with the highest surface area as well as pore volume.
Thermogravimetric analysis
Since, thermal stability is an important factor for porous MOF-based adsorbents, thermogravimetric analysis was carried out to investigate the influence of exchange solvents on the thermal stability of prepared Ce-MOFs.

Fig. 4. (A) TGA and (B) DTG profiles of the prepared Ce-MOFs.
As observed from Fig. 4, all prepared Ce-MOFs exhibited several weight losses from ambient temperature to 500
, which are related to the evaporation of all guest molecules such as water, DMF, trapped BDC, and exchange solvents. More importantly, TGA profiles reveal that no chemical decomposition or structural collapse occurs below
, indicating the high thermal stability of prepared Ce-MOFs, which is consistent with the high structural stability of reported UiO-
.
The weight loss observed at above
is related to the evaporation of trapped DMF within the pores of MOFs. The as-synthesized sample (Ce-MOF-1) exhibited the highest weight loss at this temperature, mainly due to the presence of more DMF molecules within its pores. However, when the prepared MOFs were soaked in exchange solvents, the intensity of weight loss at this temperature reduced, indicating that the exchange process was successful. Moreover, other weight loss observed above
may correspond to the decomposition of free BDC molecules that were trapped within the pores of MOFs and not removed during the washing and exchanging processes. As expected, the weight loss of Ce-MOF-1 at this temperature was also higher than other activated MOFs.
The highest weight loss occurred at a temperature higher than
is due to the decomposition of MOF structure and production of cerium oxide as the residual ash content
. The residual ash contents of Ce-MOF-4 and Ce-MOF-5 are slightly higher that that of Ce-MOF-1, while the residual ash contents of Ce-MOF-2 and Ce-MOF-3 are relatively the same and much higher than that of Ce-MOF-1. This observation may be due to the presence of more combustible materials (BDC and DMF) in the porous structure of Ce-MOF-1, Ce-MOF-4, and Ce-MOF-5 that were not exchanged by exchange solvents.
The results obtained from the TGA (Fig. 4A) and DTG (Fig. 4B) profiles of the prepared Ce-MOFs were well consistent with the results obtained from the nitrogen adsorption-desorption isotherms. Accordingly, when the exchange process was successful and higher boiling point molecules were exchanged with low boiling point solvents, the MOFs with high residual ash contents and high surface area would be formed. As a result of the successful exchange of guest molecules with ethanol, Ce-MOF-2 exhibited the highest residual ash contents as well as the highest porosity. While, among the activated samples, Ce-MOF-4 showed the lowest residual ash contents as well as the lowest surface area, due to the low ability of acetone as an exchange solvent for removing guest molecules within the pores of MOFs.
FESEM analysis
Figure 5 exhibits the FESEM images of the prepared Ce-MOFs that were activated with different exchange solvents. The morphology of all prepared Ce-MOFs is relatively the same and their particle sizes are smaller than 500 nm , suggesting that the exchange solvent doesn’t have a significant effect on the morphology of final particles. It is clear that most of the prepared samples have spherical particles with irregular morphology that are aggregated together.
Adsorption experiments
Effect of exchange solvents on the adsorption performance of Ce-MOFs
To assess the adsorption performance of prepared Ce-MOFs, the adsorption capacities of all Ce-MOFs towards organic dyes (CR as anionic dye, and MG as cationic dye) and heavy metal ions ( ) were analyzed and the results were exhibited in Fig. 6. It is clear that all Ce-MOFs exhibited small adsorption capacity for
ions, mainly due to the positive surface charge of MOFs (Table 1) that cannot promote the electrostatic attraction
To assess the adsorption performance of prepared Ce-MOFs, the adsorption capacities of all Ce-MOFs towards organic dyes (CR as anionic dye, and MG as cationic dye) and heavy metal ions (

Fig. 5. FESEM images of
Ce-MOF-1,
Ce-MOF-2,
Ce-MOF-3,
Ce-MOF-4, and
Ce-MOF-5 at different magnifications.
between
ions and MOF particles. As observed in Fig. 6, the adsorption capacity of
ions increases in the order of Ce-MOF-2
Ce-MOF-3
Ce-MOF-1
Ce-MOF-4
Ce-MOF-5
, which is relatively consistent with the order of their surface areas and pore volumes. It is worth noting that the highest
adsorption capacity belongs to the Ce-MOF-2 with the highest surface area and pore volume.
However, their adsorption capacity toward both organic dyes was not completely consistent with their surface areas. The adsorption capacity of these MOFs toward anionic CR dye is in the order of Ce-MOF-2
Ce-MOF-3
Ce-MOF-4
Ce-MOF-5
Ce-MOF-1
, which is relatively consistent with trend of their surface areas. More importantly, it is clear that the order of CR adsorption capacity of these adsorbents is consistent with their surface charges, in which the Ce-MOF-3 and Ce-MOF-2 with the highest zeta potentials ( 18.8 and 15.6 mV , respectively) exhibited the highest adsorption capacities.
However, the order of MG adsorption capacity is Ce-MOF-4
Ce-MOF-1
MOF-5
Ce-MOF-2
Ce-MOF-3
. The order of MG adsorption capacity of these adsorbents is consistent with their zeta potential, and not well consistent with their surface areas. Accordingly, Ce-MOF-3 with the highest positive zeta potential exhibited the lowest adsorption capacity towards cationic MG dye. These observations indicate that in addition to adsorbent porosity, other parameters like surface charge can control the adsorption performances of adsorbents toward organic dyes. Although Ce -MOF-2 exhibited the highest surface area among activated MOFs, Ce-MOF-4 exhibited relatively the same adsorption capacities toward both anionic and cationic organic dyes. On the other hand, acetone was frequently applied as an exchange solvent for the activation of
. Therefore, in the following of this study,
MOF-4 was selected as the optimal adsorbent for the simultaneous removal of both organic dyes, and further experiments were only carried out on it.
Study the kinetics and isotherms of adsorption
Kinetics and isotherm of dye adsorption are two of the main important parameters for the evaluation of the adsorption performance of adsorbents. Thus, to better evaluate the removal efficiency of Ce-MOF-4 toward both CR and MG dyes and understand the adsorption mechanisms, adsorption kinetics, and isotherms of CR and MG molecules on Ce-MOF-4 were studied. Figure 7A displays the impact of contact time on the adsorption capacity of CR and MG dyes over Ce-MOF-4. The positive surface charge of Ce-MOF-4 (Table 1) resulted in the adsorption of anionic CR molecules. Because of the good dispersion of adsorbent particles within the CR solution, there is no significant mass transfer limitation for CR molecules from the dye solution onto the surface of MOF particles. As a result of such phenomena, the color of CR solution was rapidly changed from dark orange to light yellow and its concentration reduced rapidly based on the absorption intensity of UV-Vis spectra (Fig. S1).
However, the adsorption kinetics of cationic MG dye on Ce-MOF-4 exhibited that the removal of MG dye is not so efficient, mainly due to the positive surface charge of adsorbent that increases the electrostatic repulsion of cationic MG molecules with the positively charged active sites of Ce-MOF-4. The adsorption kinetics of both organic dyes on Ce-MOF-4 were analyzed using three kinetic models such as pseudo-first-order, pseudo-second-order, and intra-particle diffusion, in which the obtained results revealed that the data were reasonably in accord with the pseudo-second-order kinetic model
(Fig. S2). Moreover, the calculated adsorption capacities from this model are well agreed with the experimental values (Table 2), suggesting that chemical processes are the critical rate-limiting step in the adsorption of CR and MG dyes over Ce-MOF-4
. The
parameters (pseudo-second-order kinetic constant) that determine the adsorption rate, were calculated to be

Fig. 6. Adsorption performance of prepared Ce-MOFs toward CR, MG, and
.
about 0.0047 and
for CR and MG, respectively, which are relatively smaller than those of other reported MOFs used for the adsorption of these organic dyes
.
The removal efficiencies of Ce-MOF-4 toward these dyes were further investigated by performing adsorption isotherms (Fig. 7B). The isotherm curves of both dyes indicated that the adsorption capacity increased with increasing the initial concentration of dyes, and the maximum adsorption capacities of 265.48 and
were achieved for CR and MG dye, when the initial dye concentrations were 200 and
, respectively. Moreover, the adsorption isotherms of both organic dyes on Ce-MOF-4 were analyzed using four isotherm models such as Langmuir, Freundlich, Tempkin, and Dubinin-Radushkevich, in which the details were reported in the Supplementary file. Based on the fitting curves (Fig. S3) and the calculated parameters (Table 3), it can be observed that the adsorption isotherm data were reasonably in accord with the Langmuir isotherm model (
). Accordingly, it can be concluded that the adsorption process is monolayer, the surface of the adsorbent is homogeneous, and all of the active sites have the same binding energy
. This observation further indicated that the prepared adsorbent has high adsorption performance not only toward anionic CR dye, but also toward cationic MG dye, in which its adsorption capacities toward both dyes are comparable to previously reported values for these organic dyes (Table S3). To the best of our knowledge, this study is the first report that exhibited the applicability of Ce-MOFs for the removal of cationic MG dye from wastewater.
Study the effect of other influencing parameters on adsorption performance
To elucidate the dye adsorption behavior of Ce-MOF-4, further adsorption experiments were performed at different temperatures, different salt concentrations, and different pHs . The adsorption performance of Ce -MOF-4 under various conditions is depicted in Fig. 8. It is clear from Fig. 8A that the adsorption temperature didn’t have a significant impact on the adsorption capacity of CR over Ce-MOF-4. The CR adsorption capacity

Fig. 7. (A) Adsorption kinetics and (B) Adsorption isotherms for adsorption of CR and MG over Ce-MOF-4.
| Kinetic models | Calculated parameters | Dyes | |
| MG | CR | ||
| Pseudo-first-order |
|
0.9545 | 0.7902 |
|
|
0.017 | 0.022 | |
|
|
8.74 | 9.95 | |
| Pseudo-second-order |
|
0.9910 | 0.9981 |
|
|
0.0037 | 0.0047 | |
|
|
22.62 | 47.62 | |
|
|
21.52 | 46.61 | |
| Intra-particle diffusion |
|
0.9680 | 0.9497 |
|
|
0.8795 | 0.792 | |
| C (
|
11.42 | 37.51 | |
Table 2. Constant parameters of different kinetic models for the adsorption of CR and MG dyes onto the Ce-MOF-4.
slightly reduced from 79.07 to
by raising the temperature from 298 to 318 K , indicating that the CR adsorption process is exothermic in nature and adsorption accelerates at lower temperatures. However, it was observed that the MG adsorption capacity was dramatically increased by increasing the adsorption temperature, indicating the endothermic nature of the MG adsorption process that accelerates at higher temperatures
.
Similar results were also observed by calculating the thermodynamic adsorption parameters (Table 4), using the van’t Hoff plot (Fig. S4). The calculated negative Gibbs free energy change (
) values for both organic dyes indicate the spontaneous nature of these adsorption processes
. Additionally, the negative and positive values of enthalpy change (
) for CR and MG adsorption confirm the exothermic and endothermic adsorption processes of CR and MG dyes, respectively. Moreover, the calculated negative value of entropy change (
) for CR dye adsorption represents that the degree of freedom of the system reduced after dye molecules were adsorbed onto the surface of adsorbent particles
. Whereas, the degree of freedom of the system increased after the adsorption of MG dye onto the surface of adsorbents. This observation may be due to the desorption of more water molecules from the surface of the adsorbent after the adsorption of one MG molecule
.
The presence of different ions in wastewater can have remarkable impacts on the adsorption performance of adsorbents. Thus, the influence of NaCl concentration on the adsorption capacity of CR and MG was evaluated. In theory, when the adsorbate-adsorbent interaction is attractive, the presence of different ions may reduce the adsorption performance, whereas if the interaction is repulsive the adsorption performance is enhanced with the addition of different salts
. As shown in Fig. 8B, the adsorption capacity of CR dye was not significantly influenced in the presence of NaCl , in which its capacity reduced from 79.07 to
when the concentration of NaCl was about
. This observation may be due to the competition of
ions with CR molecules to adsorb on the surface of adsorbent particles. Whereas, the MG adsorption capacity increases
| Isotherm models | Calculated parameters | Dyes | |
| MG | CR | ||
| Langmuir |
|
0.9944 | 0.9963 |
|
|
0.032 | 0.125 | |
|
|
227.27 | 270.27 | |
|
|
203.15 | 265.48 | |
| Freundlich |
|
0.8465 | 0.8136 |
|
|
25.69 | 64.65 | |
|
|
2.49 | 3.22 | |
| Tempkin |
|
0.9345 | 0.9048 |
|
|
50.97 | 53.17 | |
|
|
0.33 | 2.50 | |
| Dubinin-Radushkevich |
|
0.9132 | 0.9428 |
|
|
178.52 | 229.66 | |
| B (
|
|
|
|
Table 3. Calculated isotherm parameters for adsorption of CR and MG onto the Ce-MOF-4.

Fig. 8. Effect of (A) temperature, (B) NaCl concentration, and (C) pH on the adsorption capacity of Ce-MOF-4 toward CR and MG dyes.
| Temperature (K) |
|
|
|
| CR | |||
| 298 | -74.79 | -198.51 | -15.64 |
| 303 | -13.66 | ||
| 318 | -11.67 | ||
| MG | |||
| 298 | 70.96 | 243.72 | -1.67 |
| 303 | -4.11 | ||
| 318 | -6.54 | ||
Table 4. The measured thermodynamic parameters for adsorption of CR and MG onto the Ce-MOF-4.
in the presence of NaCl , and shows the maximum value of
when the NaCl concentration is about
. However, its adsorption capacity reduces at higher salt concentrations, mainly due to the salting-in effect of NaCl that increases the solubility of MG molecules
.
The impact of pH on the adsorption performance of Ce-MOF-4 was also investigated by changing the pH of the dye solution from 2 to 11 using diluted HCl and NaOH solutions (Fig. 8C). The CR adsorption capacity of Ce-MOF-4 didn’t show a significant change at pHs lower than 8, where the adsorbent has a positive surface charge and can interact with the negatively charged CR molecules. However, at higher pH , its removal efficiency decreased due to the presence of strong electrostatic repulsion between CR molecules and negatively charged sites of Ce-MOF-4 particles
. The other reason for this observation may be due to the partial degradation of MOF structure because the UiO-66 family exhibited relatively low structural stability at basic solutions
.
Nevertheless, it was observed that the Ce-MOF-4 can adsorb CR molecules even at strong basic conditions
, suggesting that other parameters can affect the adsorption capacity of CR, which is discussed in the following sections.
Contrary to CR dye, the adsorption capacity of MG over Ce-MOF-4 is dramatically affected by solution pH , in which its uptake decreased with increasing pH , then showed a high increment at the basic solution. At lower pH , when MG is in its neutral form and Ce-MOF-4 has positively charged sites, there is no electrostatic interaction between both materials. Therefore, at this condition MG molecules can interact with the adsorbent via
stacking interactions, resulting in the adsorption of MG molecules onto the surface of the adsorbents. However, at higher pH , when the MG is in its protonated form, the electrostatic repulsion between positively charged MG molecules and positively charged sites of MOFs will occur, leading to a reduction in its adsorption capacity. But at the basic solution, the electrostatic attraction will occur between cationic MG molecules and negatively charged sites of MOFs, resulting in an enhancement in its adsorption capacity. Thus, it can be concluded that Ce-MOF-4 has good adsorption performance toward CR dye in neutral and acidic solutions, while neutral and basic solutions are favorable for MG adsorption.
Study the structural stability of Ce-MOF-4
The water stability of MOF-based adsorbent materials is one of the critical parameters that can determine the adsorption performance of adsorbents for long-time wastewater treatment applications. Because water molecules can promote the hydrolysis reaction of MOFs and result in the deterioration of MOF structures
. More importantly, it was reported that acidic and basic solutions can further accelerate the degradation of MOFs
. To date, the structural stability of Zr -UiO-66 MOFs at different conditions has been frequently studied
. However, the stability of Ce-based MOFs in acidic and basic conditions has not been systematically studied previously. Therefore, in this work, we study the structural stability of Ce-MOF-4 in aqueous solution with different pHs.
The hydrolytic stability of Ce-MOF-4 was evaluated by immersing the MOF particles into an aqueous solution with different pH values (from 2 to 10 ) for 3 h . The initial pH values of aqueous solutions were adjusted by adding HCl or NaOH solutions. The soaked Ce -MOF-4 particles were separated by centrifugation, washed several times with water to neutralize their pH , and finally dried at
overnight. To study the structural stability of Ce-MOF-4, XRD patterns of treated samples were recorded and the obtained results are shown in Fig. 9A. The characteristic peaks of treated Ce-MOF-4 (except the sample immersed in pH 10 ) were matched well with the XRD patterns of pristine MOF, indicating that the integrity and the overall crystalline structure of MOFs are maintained after immersing in acidic and neutral solutions. More importantly, there was no remarkable shift in the peak position of treated samples. However, the peak intensities of treated Ce-MOF-4 are significantly decreased, suggesting the partial decomposition of MOF structure with increasing the solution pH .
As expected, the crystalline structure of Ce-MOF-4 was completely decomposed in basic solutions (
), while its crystalline structure was maintained in acidic solution (
), which its behaviors against acidic and basic solutions are relatively similar to other UiO-66 analogous
. It is clear from Fig. 9A, that with increasing the pH of the dye solution, the intensity of a broad peak at
, was significantly increased, confirming the formation of amorphous structure at basic solutions. This observation is consistent with the TGA profile of this sample (Fig. 9B), in which its thermal stability was reduced as a result of forming an amorphous structure.

Fig. 9. (A) XRD patterns and (B) TGA profiles of Ce-MOF-4 in different pHs.
Similar trends were also observed in the nitrogen adsorption and desorption isotherms of both treated samples in acidic and basic solutions (Fig. S5). The BET surface area of the sample soaked in pH 10 was significantly reduced from 605 to
(Table 5), mainly due to the partial decomposition of the Ce-MOF-4 framework and creating a bulkier surface in comparison to the pristine MOF. As a result of such phenomena, the micropores of MOFs were destroyed and formed a larger pore, leading to a significant reduction in porosity
. The pore size distribution of treated samples (Fig. S5B) also confirmed the destruction of micropores and the generation of new mesopores in the structure of treated samples. Although the XRD patterns of the sample soaked in pH 2 didn’t show significant changes, its surface area and pore volume were significantly reduced from
and
to
and
, respectively, indicating that the porous structure of Ce-MOF- 4 was changed in acidic solution.
However, the treated samples with acidic and basic solutions still exhibited good adsorption performances toward both organic dyes. Accordingly, the CR adsorption capacity of Ce-MOF-4 was reduced from 79.1 to
after being soaked in an acidic solution (
) for 3 h . While, at this condition, the MG adsorption capacity increased from 64.2 to
. This observation suggests although the surface area of the acidtreated sample was reduced, however, its adsorption performance toward both anionic and cationic dyes didn’t show significant changes, and its tendency toward cationic MG dye even was increased. But it was found that the adsorption performance of Ce-MOF-4 reduced for both dyes (from 79.1 to
for CR and from 64.2 to
for MG) after being soaked in basic solution (
) for 3 h , mainly due to the partial decomposition of its structure. These observations further confirmed the good structural stability of Ce-MOFs in an acidic solution, which is relatively similar to other UiO-66 analogous
.
The impact of solution pH on the thermal stability of Ce-MOF-4 was investigated by TGA. Figure 9B shows that the TGA profiles of treated samples are relatively similar to pristine MOFs. The observation of some new weak weight reduction steps may be due to structural changes. It is obvious that the thermal stability of the sample soaked in a basic solution
was slightly lower than the pristine one. This observation may be due to the formation of an amorphous phase in the structure of the base-treated sample that has lower thermal stability compared to the crystalline phase. Moreover, it was observed that the residual ash contents of treated samples (especially samples soaked in pH 10 ) are higher than that of pristine MOF . It can be due to the formation of missing linker defects in the structure of MOFs as a result of the hydrolysis reaction, which leads to the formation of metal clusters that are not completely coordinated with BDC molecules
.
Adsorption mechanisms
The adsorption mechanisms of CR and MG dyes over Ce-MOF-4 were analyzed using zeta potential, FTIR, and FESEM analyses. According to the obtained results from the above sections, it can be expected that the presence of electrostatic interaction between active sites of MOFs and dye molecules is one of the critical adsorption mechanisms. As shown in Fig. 10, the anionic
groups of CR molecules can interact with the positively charged sites of Ce-MOF-4 through electrostatic attraction forces. The formation of coordination bonds between these groups of CR molecules and the unsaturated metal nodes of Ce-MOF-4 could be other mechanisms for the adsorption of CR molecules, which was previously reported by other researchers
. The pore-filling mechanism may be another mechanism for the adsorption of CR and MG dyes because the average pore diameter of Ce-MOF-4
is slightly larger than the size of CR
and MG
dyes. The higher reduction in surface area of Ce-MOF-4 after four cyclic adsorption of MG (from 605 to
) compared to its reduction after CR adsorption (from 605 to
(Table 5)) confirms that the pore-filling mechanism is more dominant in MG adsorption. This observation indicates that most of the CR molecules were adsorbed onto the Ce-MOF-4 surface, which guarantees the efficient regeneration of the CR-loaded sample (Fig. 11A).
The FTIR spectra of Ce-MOF-4 after adsorption of CR and MG dyes (Fig. S6) show several new absorption peaks that are related to the functional groups of dye molecules, confirming that dye molecules are adsorbed onto the surface of Ce-MOF-4. The presence of these dyes on the surface of Ce-MOF-4 was further evidenced by energy-dispersive X-ray spectroscopy (EDS) images (Fig. S7). The formation of hydrogen bonds between the
and
groups of CR molecules and the polar functional groups of MOFs also can contribute to the adsorption of CR molecules over the Ce-MOF-4 particles. Hydrogen bonding interaction is also plausible for MG molecules via interaction between the -OH groups of metal clusters of MOFs and the dimethylamino
groups of MG molecules (Fig. S6B)
. Moreover, CR and MG dyes can anchor onto the surface of Ce-MOF-4 via
stacking interactions because both materials have
-conjugated structures. Accordingly, it can be concluded that CR was adsorbed onto the Ce-MOF-4 via hydrogen bonding, pore-filling,
stacking, coordination, and electrostatic interactions, whereas, MG was adsorbed via hydrogen bonding, pore-filling,
stacking, and electrostatic interactions.
| MOFs | Surface area (
|
Average pore diameter (nm) | Pore volume (
|
| Pristine Ce-MOF-4 | 605 | 2.85 | 0.4079 |
| Ce-MOF-4 in pH 2 | 86 | 15.63 | 0.3375 |
| Ce-MOF-4 in pH 10 | 187 | 5.99 | 0.2802 |
| CR recycled Ce-MOF-4 | 511 | 3.56 | 0.4548 |
| MG recycled Ce-MOF-4 | 410 | 4.19 | 0.4301 |
Table 5. The porous properties of Ce-MOF-4, acid/base-treated, and recycled Ce-MOF-4.

Fig. 10. Schematic illustration of the possible adsorption mechanisms of
and MG dyes over Ce-MOF-4.
Reusability and structural stability
The regeneration and recycling ability of Ce-MOF-4 were also investigated because they are very essential for practical wastewater treatment applications. Accordingly, the dye-loaded Ce-MOF-4 was dispersed into an alkaline ethanol (containing NaOH ) solution and stirred for 2 h to release the adsorbed dyes. Subsequently, the recovered sample was activated and applied for another adsorption-desorption cycle. It can be observed that Ce-MOF-4 could be recovered for at least four consecutive adsorption-desorption cycles without a remarkable reduction in its adsorption performance toward both organic dyes (Fig. 11A). Additionally, as shown in Fig. 11B, the crystalline structure of Ce-MOF-4 remained stable after four cycles. More importantly, the nitrogen adsorption and desorption isotherms (Fig. 11C) and TGA (Fig. 11D) profiles of recycled samples confirm the structural stability of this MOF during cyclic adsorption-desorption processes. All of these results indicate that Ce-MOF-4 can be a promising candidate for practical wastewater treatment applications.
Conclusion
Herein, a series of Ce-MOFs was prepared and activated by different exchange solvents like ethanol, chloroform, acetone, and methanol. The surface areas of the prepared Ce-MOFs are in the order of Ce-MOF-1
MOF-4
Ce-MOF-3
Ce-MOF-5
Ce-MOF-2
, whereas the total pore volume of them increased in the order of Ce-MOF-5
Ce-MOF-4

Fig. 11. (A) Reusability experiment of Ce-MOF-4 for CR and MG dyes. (B) XRD patterns, (C) nitrogen adsorption and desorption isotherms, and (D) TGA profiles of recycled samples.
MOF-1
Ce-MOF-3
Ce-MOF-2
. These observations indicate that ethanol is an ideal exchange solvent for the activation of Ce-MOFs. However, the Ce-MOF-4 with a surface area of
exhibited the maximum adsorption capacities of 270.27 and
toward CR and MG dyes, respectively, demonstrating the applicability of this adsorbent for simultaneous removal of both anionic and cationic dyes. The adsorption kinetics and isotherms of Ce-MOF-4 for both dyes could be well predicted by the pseudo-second-order kinetic model and Langmuir isotherm model, respectively, indicating that these dyes could be adsorbed over Ce-MOF-4 via a chemical and monolayer adsorption process. Moreover, adsorption mechanism studies revealed that CR was adsorbed onto the Ce-MOF-4 via hydrogen bonding, pore-filling,
stacking, coordination, and electrostatic interactions, whereas, MG was adsorbed via hydrogen bonding, porefilling,
stacking, and electrostatic interactions. Furthermore, Ce-MOF-4 exhibited good structural stability in acidic solution, neutral solution, and during consecutive adsorption-desorption cycles, while its crystalline structure was damaged in basic solution (
). Based on the obtained results, Ce -MOF-4 has the potential to be applied as a green and stable adsorbent for the simultaneous removal of cationic and anionic dyes from water.
Data availability
All data relevant to this study are included in the manuscript and supporting information file or are available upon request from the corresponding author.
Received: 17 December 2024; Accepted: 12 February 2025
Published online: 27 February 2025
Published online: 27 February 2025
References
- Bashir, N. et al. Green-synthesized silver nanoparticle-enhanced nanofiltration mixed matrix membranes for high-performance water purification. Sci. Rep. 15, 1001. https://doi.org/10.1038/s41598-024-83801-w (2025).
- Mirzaei, R. et al. Innovative cross-linked Electrospun PVA/MOF nanocomposites for removal of cefixime antibiotic. Sci. Rep. 15, 83. https://doi.org/10.1038/s41598-024-84818-x (2025).
- Kayani, K. F. Bimetallic metal-organic frameworks (BMOFs) for dye removal: a review. RSC Adv. 14, 31777-31796. https://doi.or g/10.1039/D4RA06626J (2024).
- Nazir, M. A. et al. Synthesis of bimetallic Mn@ZIF-8 nanostructure for the adsorption removal of methyl orange dye from water. Inorg. Chem. Commun. 165, 112294. https://doi.org/10.1016/j.inoche.2024.112294 (2024).
- Eleryan, A. et al. Isothermal and kinetic screening of methyl red and methyl orange dyes adsorption from water by Delonix regia biochar-sulfur oxide (DRB-SO). Sci. Rep. 14, 13585. https://doi.org/10.1038/s41598-024-63510-0 (2024).
- Molavi, H. et al. 3D-Printed MOF monoliths: fabrication strategies and environmental applications. Nano-Micro Lett. 16, 272. https://doi.org/10.1007/s40820-024-01487-1 (2024).
- Shiri, M., Hosseinzadeh, M., Shiri, S. & Javanshir, S. Adsorbent based on MOF-5/cellulose aerogel composite for adsorption of organic dyes from wastewater. Sci. Rep. 14, 15623. https://doi.org/10.1038/s41598-024-65774-y (2024).
- Mohammadi, A. et al. Novel ZIF-8/CNC nanohybrid with an interconnected structure: toward a sustainable adsorbent for efficient removal of cd(II) ions. ACS Appl. Mater. Interfaces. 16, 3862-3875. https://doi.org/10.1021/acsami.3c15524 (2024).
- Noor, T., Raffi, U., Iqbal, N., Yaqoob, L. & Zaman, N. Kinetic evaluation and comparative study of cationic and anionic dyes adsorption on zeolitic imidazolate frameworks based metal organic frameworks. Mater. Res. Express. 6, 125088. https://doi.org/10 .1088/2053-1591/ab5bdf (2019).
- Ahmad, U. et al. ZIF-8 composites for the removal of Wastewater pollutants. ChemistrySelect 9, e202401719. https://doi.org/10.10 02/slct. 202401719 (2024).
- Sudarsan, S., Murugesan, G., Varadavenkatesan, T., Vinayagam, R. & Selvaraj, R. Efficient adsorptive removal of Congo Red dye using activated carbon derived from Spathodea campanulata flowers. Sci. Rep. 15, 1831. https://doi.org/10.1038/s41598-025-8603 2-9 (2025).
- Ahmadijokani, F. et al. COF and MOF hybrids: Advanced materials for Wastewater Treatment. Adv. Funct. Mater. 34, 2305527. https://doi.org/10.1002/adfm. 202305527 (2024).
- Molavi, H. et al. Wastewater treatment using nanodiamond and related materials. J. Environ. Manage. 349, 119349. https://doi.org /10.1016/j.jenvman.2023.119349 (2024).
- Singh, S. et al. Metal organic frameworks for wastewater treatment, renewable energy and circular economy contributions. npj Clean. Water. 7, 124. https://doi.org/10.1038/s41545-024-00408-4 (2024).
- Ahmadijokani, F. et al. UiO-66 metal-organic frameworks in water treatment: a critical review. Prog. Mater. Sci. 125, 100904 (2022).
- Mirzaei, K., Jafarpour, E., Shojaei, A., Khasraghi, S. S. & Jafarpour, P. An investigation on the influence of highly acidic media on the microstructural stability and dye adsorption performance of UiO-66. Appl. Surf. Sci. 618, 156531 (2023).
- He, H. H. et al. Yolk-Shell and Hollow Zr/Ce-UiO-66 for manipulating selectivity in Tandem reactions and photoreactions. J. Am. Chem. Soc. 145, 17164-17175 (2023).
- Zaremba, O., Andreo, J. & Wuttke, S. The chemistry behind room temperature synthesis of hafnium and cerium UiO-66 derivatives. Inorg. Chem. Front. 9, 5210-5216 (2022).
- Lammert, M. et al. Cerium-based metal organic frameworks with UiO-66 architecture: synthesis, properties and redox catalytic activity. Chem. Commun. 51, 12578-12581(2015).
- Wu, X. P., Gagliardi, L. & Truhlar, D. G. Cerium metal-organic framework for photocatalysis. J. Am. Chem. Soc. 140, 7904-7912 (2018).
- Farrag, M. In situ preparation of palladium nanoclusters in cerium metal-organic frameworks Ce-MOF-808, Ce-UiO-66 and CeBTC as nanoreactors for room temperature Suzuki cross-coupling reaction. Microporous Mesoporous Mater. 312, 110783 (2021).
- Zhang, Y., Zeng, X., Jiang, X., Chen, H. & Long, Z. Ce-based UiO-66 metal-organic frameworks as a new redox catalyst for atomic spectrometric determination of Se (VI) and colorimetric sensing of hg (II). Microchem. J. 149, 103967 (2019).
- Rego, R. M. et al. Cerium based UiO-66 MOF as a multipollutant adsorbent for universal water purification. J. Hazard. Mater. 416, 125941 (2021).
- Molavi, H. Cerium-based metal-organic frameworks: synthesis, properties, and applications. Coord. Chem. Rev. 527, 216405. https://doi.org/10.1016/j.ccr.2024.216405 (2025).
- Molavi, H. & Salimi, M. S. Green synthesis of Cerium-based metal-Organic Framework (Ce-UiO-66 MOF) for Wastewater Treatment. Langmuir 39, 17798-17807. https://doi.org/10.1021/acs.langmuir.3c02384 (2023).
- Li, K., Yang, J. & Gu, J. Salting-in species induced self-assembly of stable MOFs. Chem. Sci. 10, 5743-5748 (2019).
- Yassin, J. M., Taddesse, A. M. & Sanchez-Sanchez, M. Room temperature synthesis of high-quality ce (IV)-based MOFs in water. Microporous Mesoporous Mater. 324, 111303 (2021).
- Jin, H. G. et al. Room temperature aqueous synthesis of ce (IV)-MOFs with UiO-66 architecture and their photocatalytic decarboxylative oxygenation of arylacetic acids. Microporous Mesoporous Mater. 346, 112257 (2022).
- Campanelli, M. et al. Solvent-free synthetic route for Cerium (IV) metal-organic frameworks with UiO-66 architecture and their photocatalytic applications. ACS Appl. Mater. Interfaces. 11, 45031-45037 (2019).
- Otun, K. O. Temperature-controlled activation and characterization of iron-based metal-organic frameworks. Inorg. Chim. Acta. 507, 119563 (2020).
- Andrés, M. A. et al. Solvent-exchange process in MOF ultrathin films and its effect on CO2 and methanol adsorption. J. Colloid Interface Sci. 590, 72-81 (2021).
- Zhang, X., Zhan, Z., Li, Z. & Di, L. Thermal activation of CuBTC MOF for CO oxidation: the effect of activation atmosphere. Catalysts 7, 106 (2017).
- Yang, Y. et al. Significant improvement of surface area and CO 2 adsorption of Cu-BTC via solvent exchange activation. RSC Adv. 3, 17065-17072 (2013).
- Zeleňák, V. et al. Large and tunable magnetocaloric effect in gadolinium-organic framework: tuning by solvent exchange. Sci. Rep. 9, 15572 (2019).
- Tati, A., Ahmadipouya, S., Molavi, H., Mousavi, S. A. & Rezakazemi, M. Efficient removal of organic dyes using electrospun nanofibers with Ce-based UiO-66 MOFs. Ecotoxicol. Environ. Saf. 266, 115584 (2023).
- Mohammadnejad, M. & Alizadeh, S. MnFe2O4-NH2-HKUST-1, MOF magnetic composite, as a novel sorbent for efficient dye removal: fabrication, characterization and isotherm studies. Sci. Rep. 14, 9048. https://doi.org/10.1038/s41598-024-59727-8 (2024).
- Huang, F. P. et al. Solvent effects on the structures and magnetic properties of two doubly interpenetrated metal-organic frameworks. Dalton Trans. 44, 6593-6599 (2015).
- Ghadim, E. E., Walker, M. & Walton, R. I. Rapid synthesis of cerium-UiO-66 MOF nanoparticles for photocatalytic dye degradation. Dalton Trans. 52, 11143-11157. https://doi.org/10.1039/D3DT00890H (2023).
- Rad, F. A. & Rezvani, Z. Preparation of cubane-1, 4-dicarboxylate-Zn-Al layered double hydroxide nanohybrid: comparison of structural and optical properties between experimental and calculated results. RSC Adv. 5, 67384-67393 (2015).
- Li, Y. et al. Boosting the rhodamine B adsorption of bimetallic
: effect of valence states of cerium precursor. Microporous Mesoporous Mater. 357, 112628 (2023). - Ramezanzadeh, M., Ramezanzadeh, B., Bahlakeh, G., Tati, A. & Mahdavian, M. Development of an active/barrier bi-functional anti-corrosion system based on the epoxy nanocomposite loaded with highly-coordinated functionalized zirconium-based nanoporous metal-organic framework (Zr-MOF). Chem. Eng. J. 408, 127361 (2021).
- Yazaydın, A. O. et al. Enhanced CO2 adsorption in metal-organic frameworks via occupation of open-metal sites by coordinated water molecules. Chem. Mater. 21, 1425-1430 (2009).
- Li, J. R., Kuppler, R. J. & Zhou, H. C. Selective gas adsorption and separation in metal-organic frameworks. Chem. Soc. Rev. 38, 1477-1504 (2009).
- Dai, S. et al. Room temperature design of ce(iv)-MOFs: from photocatalytic HER and OER to overall water splitting under simulated sunlight irradiation. Chem. Sci. 14, 3451-3461. https://doi.org/10.1039/D2SC05161C (2023).
- He, J. et al. Ce (III) nanocomposites by partial thermal decomposition of
for effective phosphate adsorption in a wide pH range. Chem. Eng. J. 379, 122431 (2020). - Amesimeku, J., Zhao, Y., Li, K. & Gu, J. Rapid synthesis of hierarchical cerium-based metal organic frameworks for carbon dioxide adsorption and selectivity. Microporous Mesoporous Mater., 112658 (2023).
- Karimi, M. et al. Additive-free aerobic C-H oxidation through a defect-engineered Ce-MOF catalytic system. Microporous Mesoporous Mater. 322, 111054. https://doi.org/10.1016/j.micromeso.2021.111054 (2021).
- Deng, S. Q. et al. An anionic nanotubular metal-Organic Framework for high-capacity dye adsorption and dye degradation in darkness. Inorg. Chem. 58, 13979-13987 (2019).
- Far, H. S. et al. PPI-dendrimer-functionalized magnetic metal-organic framework (Fe3O4@ MOF@ PPI) with high adsorption capacity for sustainable wastewater treatment. ACS Appl. Mater. Interfaces. 12, 25294-25303 (2020).
- Louaer, S., Wang, Y. & Guo, L. Fast synthesis and size control of gibbsite nanoplatelets, their pseudomorphic dehydroxylation, and efficient dye adsorption. ACS Appl. Mater. Interfaces. 5, 9648-9655 (2013).
- Abbasi, S., Nezafat, Z., Javanshir, S., Aghabarari, B. & Bionanocomposite MIL-100(Fe)/Cellulose as a high-performance adsorbent for the adsorption of methylene blue. Sci. Rep. 14, 14497. https://doi.org/10.1038/s41598-024-65531-1 (2024).
- El Jery, A. et al. Isotherms, kinetics and thermodynamic mechanism of methylene blue dye adsorption on synthesized activated carbon. Sci. Rep. 14, 970. https://doi.org/10.1038/s41598-023-50937-0 (2024).
- Mirzaei, K., Jafarpour, E., Shojaei, A. & Molavi, H. Facile synthesis of Polyaniline@UiO-66 nanohybrids for efficient and Rapid Adsorption of Methyl Orange from Aqueous Media. Ind. Eng. Chem. Res. 61, 11735-11746. https://doi.org/10.1021/acs.iecr.2c009 19 (2022).
- Samiey, B. & Toosi, A. R. Adsorption of malachite green on silica gel: effects of NaCl, pH and 2-propanol. J. Hazard. Mater. 184, 739-745 (2010).
- Lammert, M., Glißmann, C. & Stock, N. Tuning the stability of bimetallic ce (IV)/Zr (IV)-based MOFs with UiO-66 and MOF-808 structures. Dalton Trans. 46, 2425-2429 (2017).
- Bǔžek, D., Demel, J. & Lang, K. Zirconium metal-organic framework UiO-66: stability in an aqueous environment and its relevance for organophosphate degradation. Inorg. Chem. 57, 14290-14297 (2018).
Acknowledgements
The authors would like to thank the Research Deputy of Institute for Advanced Studies in Basic Science (IASBS) for providing financial support for this research. This work was also financially supported by the Iran National Science Foundation (INSF) with grant No: 4038000. The authors gratefully appreciate their support.
Author contributions
We acknowledge that all authors contributed to this review, including investigation, resources collection, data collection, results processing, synthesis, characterization, data curation, results analysis, investigation, writing, review and editing the manuscript. Corresponding author Hossein Molavi guided our research direction and writing, supervision, writing-review, and editing the original draft.
Declarations
Competing interests
The authors declare no competing interests.
Additional information
Supplementary Information The online version contains supplementary material available at https://doi.org/1
.
Correspondence and requests for materials should be addressed to H.M.
Reprints and permissions information is available at www.nature.com/reprints.
Publisher’s note Springer Nature remains neutral with regard to jurisdictional claims in published maps and institutional affiliations.
Reprints and permissions information is available at www.nature.com/reprints.
Publisher’s note Springer Nature remains neutral with regard to jurisdictional claims in published maps and institutional affiliations.
Open Access This article is licensed under a Creative Commons Attribution-NonCommercial-NoDerivatives 4.0 International License, which permits any non-commercial use, sharing, distribution and reproduction in any medium or format, as long as you give appropriate credit to the original author(s) and the source, provide a link to the Creative Commons licence, and indicate if you modified the licensed material. You do not have permission under this licence to share adapted material derived from this article or parts of it. The images or other third party material in this article are included in the article’s Creative Commons licence, unless indicated otherwise in a credit line to the material. If material is not included in the article’s Creative Commons licence and your intended use is not permitted by statutory regulation or exceeds the permitted use, you will need to obtain permission directly from the copyright holder. To view a copy of this licence, visit http://creativecommo ns.org/licenses/by-nc-nd/4.0/.
© The Author(s) 2025
© The Author(s) 2025
- Department of Chemistry, Institute for Advanced Studies in Basic Science (IASBS), Zanjan 45137-66731, Iran. ® email: h.molavi@iasbs.ac.ir
