DOI: https://doi.org/10.3847/1538-4357/ad5f88
تاريخ النشر: 2024-09-01
المؤلف: M. Castellano وآخرون
الموضوع الرئيسي: المجرات: التكوين، التطور، الظواهر
نظرة عامة
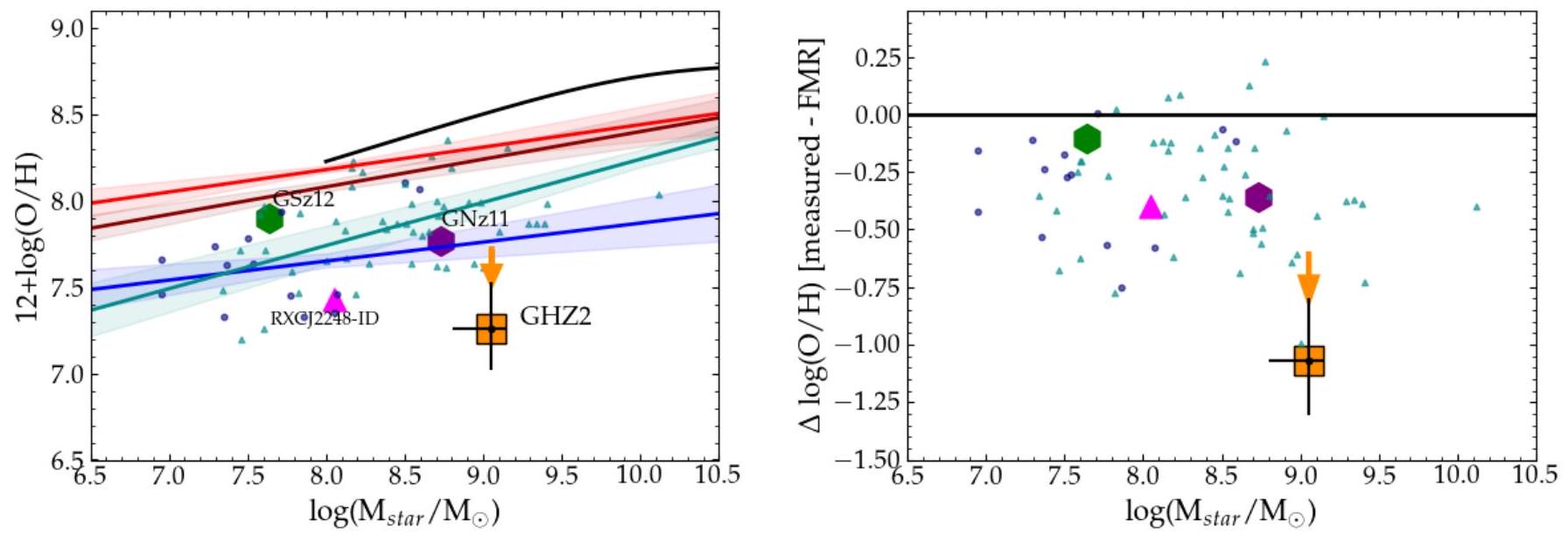
في هذه الدراسة، نقدم التأكيد الطيفي لمجرة GHZ2/GLASS-z12 عند انزياح أحمر قدره $z = 12.34$، تم تحديدها من خلال فوتومترية NIRCam في بيانات GLASS-JWST ERS. يبرز هذا الاكتشاف وفرة غير متوقعة من المجرات الساطعة عند انزياحات حمراء أكبر من أو تساوي 10. يكشف طيف NIRSpec PRISM عن خطوط انبعاث متعددة، بما في ذلك N IV، C IV، He II، O III، C III، O II، وNe III، مع الكشف الملحوظ عن خط الفلورة O III Bowen عند 3133 Å في إطار الراحة. تصنف خط C IV البارز، بعرض مكافئ (EW) يبلغ حوالي 46 Å، GHZ2 كمنبع C IV متطرف، يظهر خصائص خط UV المرتبطة عادةً بالنوى المجرية النشطة (AGNs) أو الأجسام المركبة عند انزياحات حمراء أقل.
تشير تحليلاتنا إلى أن نسب شدة خطوط UV تتوافق مع كل من نشاط AGN وتكوين النجوم في بيئة منخفضة المعدن، مع تقدير لمعدنية أقل من 0.1 $Z/Z_{\odot}$ ومعامل تأين مرتفع (log $U > -2$). وُجد أن وفرة N/O تبلغ 4-5 مرات من الشمس، بينما نسبة C/O أقل من الشمس، مما يشير إلى تفاعل معقد لعمليات النجوم. تشير الحجم المضغوط لـ GHZ2 (نصف قطر فعال يبلغ حوالي 100 فرسخ فلكي) وكثافة معدل تكوين النجوم العالية إلى أنه قد يكون في طور تكوين نجوم مكثف في بيئة كثيفة، مما قد يؤدي إلى تطور نحو تجمعات نجمية غنية بالنيتروجين مشابهة للتجمعات الكروية. تؤكد الدراسة على الحاجة إلى مزيد من الطيفيات عالية الدقة لتوضيح طبيعة المصادر المؤينة واستكشاف تداعيات مثل هذه المجرات في سياق إعادة تأين الكون.
مقدمة
تسلط مقدمة هذه الورقة البحثية الضوء على التقدم الكبير في البحث عن المجرات عند انزياحات حمراء أكبر من $z = 9-10$، مدفوعة بقدرات تلسكوب جيمس ويب الفضائي (JWST). تشير النتائج الأولية من مسوحات مختلفة إلى أن كثافة المجرات، وخاصة الأكثر سطوعًا، عند هذه الانزياحات الحمراء العالية أعلى بكثير من التقديرات السابقة المستندة إلى ملاحظات انزياح أحمر أقل ونماذج نظرية. لقد دفع هذا الزيادة غير المتوقعة إلى فرضيات مختلفة، بما في ذلك كفاءة تكوين النجوم المعززة، وتواريخ تكوين النجوم العشوائية، وتقليل انقراض الغبار، والمساهمات من النوى المجرية النشطة (AGNs) أو النجوم منخفضة المعدن.
تشدد الورقة على أهمية الطيفيات المتابعة لتأكيد هذه النتائج وفهم الآليات الفيزيائية الأساسية لها. كشفت الحملات الطيفية المبكرة باستخدام NIRSpec من JWST عن اتجاهات مثل انخفاض المعدنية وزيادة كفاءة الإثارة والتأين مع الانزياح الأحمر، بينما تظهر بعض المجرات عالية الانزياح ميزات فريدة لا توجد عادةً في نظيراتها ذات الانزياح الأحمر المنخفض. من الجدير بالذكر أن المجرة GNz11 عند $z = 10.6$ تظهر وفرة غير متوقعة من النيتروجين، مما يشير إلى رؤى محتملة حول تكوين النجوم المبكر وعمليات تجميع المجرات. تهدف الدراسة إلى تقديم توصيف شامل لمجرة GHZ2/GLASS-z12، التي تم تحديدها في البداية كمرشح عند $z \approx 12.0-12.5$، من خلال ملاحظات طيفية واسعة النطاق، وبالتالي المساهمة في فهم الظروف الفيزيائية في الكون المبكر.
نقاش
في قسم النقاش من الورقة البحثية، يوضح المؤلفون الملاحظات وعمليات تقليل البيانات لبرنامج GO-3073، الذي يركز على مجال GLASS-JWST NIRCam. تضمنت الملاحظات، التي أجريت باستخدام NIRSpec PRISM، نقطتين متداخلتين جزئيًا مع إجمالي وقت تعرض يبلغ 15,323 ثانية. من الجدير بالذكر أن موضعين من مواضع التوجيه قد تأثرا بسبب قصر كهربائي، مما أدى إلى استبعاد بيانات معينة. اتبعت عملية تقليل البيانات بروتوكولات معتمدة، بما في ذلك تصحيحات للضوضاء والخلفية، واستخراج الأطياف أحادية الأبعاد من قصاصات ثنائية الأبعاد. كشفت التحليلات عن وجود جسم ثانوي منخفض الانزياح الأحمر يؤثر على طيف GHZ2، والذي تم التعامل معه من خلال وضع أقنعة بعناية وطرح خلفية مخصص.
أنتج التحليل الطيفي لـ GHZ2 انزياحًا أحمر قدره \( z = 12.33 \pm 0.02 \) وحدد عدة خطوط انبعاث بارزة، بما في ذلك ثنائية C IV قوية بعرض مكافئ (EW) يبلغ 46 Å، وهو أعلى بكثير من القيم النموذجية للأنظمة عالية الانزياح الأحمر المماثلة. كما اكتشف المؤلفون خطوط انبعاث أخرى، مثل N IV وO III، ولاحظوا غياب خطوط التأين العالي مثل [Ne V]، مما قد يشير إلى طبيعة المصدر المؤين. تشير النتائج إلى أن GHZ2 قد تتأثر بكل من تكوين النجوم ونشاط AGN المحتمل، كما تشير إليه نسب الخطوط وعروض المكافئ. يخلص المؤلفون إلى أنه بينما تدعم البيانات وجود مصدر مؤين قوي، فإن المزيد من الملاحظات ضرورية لتصنيف آليات انبعاث GHZ2 بشكل قاطع.
DOI: https://doi.org/10.3847/1538-4357/ad5f88
Publication Date: 2024-09-01
Author(s): M. Castellano et al.
Primary Topic: Galaxies: Formation, Evolution, Phenomena
Overview
In this study, we present the spectroscopic confirmation of the galaxy GHZ2/GLASS-z12 at a redshift of $z = 12.34$, identified through NIRCam photometry in GLASS-JWST ERS data. This finding highlights an unexpected abundance of bright galaxies at redshifts greater than or equal to 10. The NIRSpec PRISM spectrum reveals multiple emission lines, including N IV, C IV, He II, O III, C III, O II, and Ne III, with the notable detection of the O III Bowen fluorescence line at 3133 Å in the rest-frame. The prominent C IV line, with an equivalent width (EW) of approximately 46 Å, categorizes GHZ2 as an extreme C IV emitter, displaying UV line characteristics typically associated with active galactic nuclei (AGNs) or composite objects at lower redshifts.
Our analysis suggests that the UV line-intensity ratios are consistent with both AGN activity and star formation in a low-metallicity environment, with a metallicity estimate of less than 0.1 $Z/Z_{\odot}$ and a high ionization parameter (log $U > -2$). The N/O abundance is found to be 4-5 times solar, while the C/O ratio is subsolar, indicating a complex interplay of stellar processes. GHZ2’s compact size (effective radius of approximately 100 pc) and high star formation rate density suggest it may be undergoing intense star formation in a dense environment, potentially evolving into nitrogen-enhanced stellar populations akin to globular clusters. The study emphasizes the need for further high-resolution spectroscopy to clarify the nature of the ionizing sources and to explore the implications of such galaxies in the context of cosmic reionization.
Introduction
The introduction of this research paper highlights the significant advancements in the search for galaxies at redshifts greater than $z = 9-10$, driven by the capabilities of the James Webb Space Telescope (JWST). Initial findings from various surveys indicate that the density of galaxies, particularly the brightest ones, at these high redshifts is considerably higher than earlier estimates based on lower redshift observations and theoretical models. This unexpected increase has prompted various hypotheses, including enhanced star formation efficiency, stochastic star formation histories, reduced dust extinction, and contributions from active galactic nuclei (AGNs) or low-metallicity stars.
The paper emphasizes the importance of follow-up spectroscopy to confirm these findings and understand their underlying physical mechanisms. Early spectroscopic campaigns using JWST’s NIRSpec have revealed trends such as decreasing metallicity and increasing excitation and ionization efficiency with redshift, while some high-redshift galaxies exhibit unique features not typically found in their low-redshift counterparts. Notably, the galaxy GNz11 at $z = 10.6$ shows an unexpected nitrogen abundance, suggesting potential insights into early star formation and galaxy assembly processes. The study aims to provide a comprehensive characterization of the galaxy GHZ2/GLASS-z12, initially identified as a candidate at $z \approx 12.0-12.5$, through extensive spectroscopic observations, thereby contributing to the understanding of the physical conditions in the early universe.
Discussion
In the discussion section of the research paper, the authors detail the observations and data reduction processes for program GO-3073, which focuses on the GLASS-JWST NIRCam field. The observations, conducted using the NIRSpec PRISM, involved two partially overlapping pointings with a total exposure time of 15,323 seconds. Notably, two nodding positions were compromised due to an electrical short, leading to the exclusion of certain data. The data reduction followed established protocols, including corrections for noise and background, and the extraction of one-dimensional spectra from two-dimensional cutouts. The analysis revealed the presence of a secondary low-redshift object affecting the GHZ2 spectrum, which was addressed through careful masking and custom background subtraction.
The spectral analysis of GHZ2 yielded a redshift of \( z = 12.33 \pm 0.02 \) and identified several prominent emission lines, including a strong C IV doublet with an equivalent width (EW) of 46 Å, significantly higher than typical values for similar high-redshift systems. The authors also detected other emission lines, such as N IV and O III, and noted the absence of high-ionization lines like [Ne V], which could indicate the nature of the ionizing source. The findings suggest that GHZ2 may be influenced by both star formation and potential AGN activity, as indicated by the line ratios and equivalent widths. The authors conclude that while the data supports the presence of a hard ionizing source, further observations are necessary to definitively classify GHZ2’s emission mechanisms.
