DOI: https://doi.org/10.1016/j.physletb.2024.138826
تاريخ النشر: 2024-06-26
المؤلف: David Shlivko وآخرون
الموضوع الرئيسي: علم الكون ونظريات الجاذبية
نظرة عامة
في هذا القسم، يناقش المؤلفون القيود الرصدية على الطاقة المظلمة المتغيرة مع الزمن، مع التركيز بشكل خاص على تهيئة معادلة الحالة في مستوى $w_0 – w_a$، حيث $w(z) = w_0 + \frac{w_a z}{1 + z}$. تشير البيانات الأخيرة إلى منطقة في هذا المستوى تتميز بـ $w_0 > -1$ و $w_0 + w_a < -1$، مما يدل على انتقال من انتهاك شرط الطاقة الصفري (NEC) عند الانزياحات الحمراء العالية ($z$) إلى الالتزام به عند $z$ المنخفضة. ومع ذلك، يجادل المؤلفون بأن هذه التفسير مضلل. يظهرون أن نماذج الكوانتس البسيطة، التي تلبي شرط الطاقة الصفري عبر جميع الانزياحات الحمراء، يمكن أن تعطي أيضًا تفضيلًا لنفس القطاع في مستوى $w_0 - w_a$. علاوة على ذلك، يجدون أن نماذج الكوانتس التي تتماشى بشكل أفضل مع البيانات الرصدية قد تتنبأ بمعادلة حالة الطاقة المظلمة الحالية التي تختلف بشكل كبير عن القيمة الأفضل الملائمة لـ $w_0$ المستمدة من التهيئة المذكورة أعلاه. كما تكشف التحليلات عن تقارب تقريبي في تهيئة $w_0 - w_a$، مما يفسر الأشكال والاتجاهات الغريبة لكونتور الاحتمالية التي لوحظت في الدراسات الأخيرة.
مقدمة
تناقش مقدمة هذه الورقة البحثية القيود المفروضة على نماذج الطاقة المظلمة المتغيرة مع الزمن، وخاصة الكوانتس، من خلال دمج بيانات رصدية متنوعة عبر انزياحات حمراء مختلفة، بما في ذلك الخلفية الكونية الميكروويف (CMB)، والتذبذبات الصوتية الباريونية (BAO)، والسوبرنوفا من النوع IA (SNe Ia). يبرز المؤلفون نهجًا شائعًا لتمثيل هذه القيود في رسم $w_0 – w_a$، حيث يتم نمذجة معادلة حالة الطاقة المظلمة $w(z)$ كدالة ذات معاملين:
\[
w(z) = w_0 + \frac{w_a z}{1 + z}.
\]
تشير الملاحظات الأخيرة إلى تفضيل لمنطقة في هذا الرسم تتميز بـ $w_0 > -1$ و $w_0 + w_a < -1$، مما يدل على انتهاكات محتملة لشرط الطاقة الصفري (NEC) وشرط الطاقة الضعيف (WEC) عند الانزياحات الحمراء العالية، بينما تظل متوافقة عند الانزياحات الحمراء المنخفضة. تؤكد الورقة على أهمية التفسير الدقيق للنتائج الرصدية، حيث تتأثر الملاحظات الكونية بشكل مباشر أكثر بمعامل هابل $H(z)$ من معادلة حالة الطاقة المظلمة $w(z)$. يقترح المؤلفون تقنية رسم لتوافق نماذج الكوانتس المختلفة مع البيانات الرصدية على مستوى $w_0 - w_a$، موضحين أن النماذج المصنفة على أنها "طاقة مظلمة ذائبة" يمكن أن تعطي توقعات متوافقة مع التفضيلات الرصدية الحالية دون الحاجة إلى انتهاكات NEC. ستفصل الأقسام التالية من الورقة بروتوكول الرسم، ونماذج الكوانتس قيد النظر، وآثار نتائجهم لفهم الطاقة المظلمة ودورها في التوسع الكوني.
الطرق
في هذا القسم، يصف المؤلفون منهجيتهم لتحديد التركيبة المثلى من المعاملات \((w_0, w_a)\) التي تناسب أفضل نموذج كوانتس للطاقة المظلمة من خلال التركيز على تطور معامل هابل \(H_Q(z)\) بدلاً من معادلة الحالة \(w_Q(z)\). تهدف عملية التناسب إلى إعادة إنتاج الملاحظات الكونية الرئيسية بدقة، بما في ذلك مسافة هابل \(D_H(z)\)، ومسافة القطر الزاوي \(D_M(z)\)، ومسافة اللمعان \(D_L(z)\). يتم تعريف “أفضل ملاءمة” كميًا من خلال تقليل الخطأ \(E\) المعطى بأقصى انحراف بين معامل هابل الملائم \(H_{\text{fit}}(z)\) ونموذج الكوانتس \(H_Q(z)\) عبر نطاق الانزياح الأحمر \(z < 4\). لحساب \(H_Q(z)\)، يحل المؤلفون عدديًا معادلات الحركة لحقل قياسي \(\phi\) مع جهد \(V(\phi)\)، منتقلين من الانزياح الأحمر \(z\) إلى المتغير \(N \equiv -\ln(1+z)\). تأخذ المعادلات في الاعتبار ديناميات الحقل القياسي ومساهمته في الكثافة الطاقية الكلية. يتم تعيين الشروط الأولية في عصر الهيمنة المادية، وتنتهي المحاكاة عندما يتم الوصول إلى قيمة محددة مسبقًا لـ \(\Omega_Q(0)\). ثم يقوم المؤلفون بإنشاء ملاءمة مرشحة \(H_{\text{fit}}(N)\) من خلال حل نظام من المعادلات التي تشمل معادلة الحالة \(w_{\text{fit}}(N)\) المحددة بواسطة المعاملات \((w_0, w_a)\). تتضمن الخطوة النهائية مسح المعاملات الأربعة الحرة لتحديد التركيبة التي تقلل الخطأ، مما يسمح برسم شامل لنماذج الكوانتس على مستوى \((w_0, w_a)\).
النتائج
يقدم قسم النتائج المنحنيات والمناطق الأفضل ملاءمة لثلاث فئات من نماذج الكوانتس، كما هو موضح في الشكل 3. تفترض التحليل قيمة معيارية لـ $\Omega_Q(0) = 0.7$. تمثل المنحنى البرتقالي النموذج الأسي، الذي يحقق أعلى دقة مع أخطاء $E \lesssim 0.1\%$. تعرض نماذج الهضبة، المحددة بالمنحنى الأسي وحدود سفلية تمثل منحدرات كبيرة، أخطاء تصل إلى $E \lesssim 0.5\%$. تظهر نماذج قمة التل، المشار إليها بالمنحنيات الخضراء والزرقاء لـ $k^2 M_{pl}^2 = 1$ و $k^2 M_{pl}^2 = 100$، على التوالي، أخطاء قدرها $E \lesssim 0.2\%$ و $E \lesssim 0.7\%$. من الجدير بالذكر أن كونتور الاحتمالية يفضل النماذج ذات الانتقالات الحادة، مثل نماذج الهضبة الحادة أو قمة التل، على الرغم من أن المؤلفين يحذرون من استخلاص استنتاجات قوية من البيانات الحالية.
تفي جميع نماذج الكوانتس المختبرة بشرط الطاقة الصفري (NEC) مع $w(z) > -1$ لجميع الانزياحات الحمراء $z$، ومع ذلك، فإنها تتناسب بشكل أفضل مع المناطق في مستوى $w_0 – w_a$ التي تشير إلى $w_0 + w_a < -1$. وهذا يشير إلى التوافق مع النماذج التي تلبي NEC، حيث أن التغيرات الكبيرة في $w(z)$ عند الانزياحات الحمراء العالية تؤثر بشكل ضئيل على الملاحظات الكونية مثل $H(z)$. يؤكد المؤلفون أن القيم الأفضل ملاءمة لـ $w_0$ قد لا تتوافق بشكل وثيق مع القيمة الفعلية لـ $w_Q(0)$، خاصة بالنسبة لنماذج قمة التل والهضبة حيث يزيد $w_Q(z)$ بسرعة مع اقتراب $z$ من 0. كما يشيرون إلى قيود تحليلهم، بما في ذلك عدم اليقين في تعريفات الخطأ وإمكانية حدوث أخطاء كبيرة عند التمدد إلى ما وراء المناطق المرسومة. أخيرًا، يبرز القسم الحاجة إلى تحليلات منفصلة للنماذج التي لا تتناسب جيدًا ضمن مساحة معلمات $w_0 - w_a$، فضلاً عن أهمية النظر في ضبط الشروط الأولية في تقييمات النماذج.
المناقشة
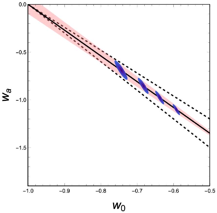
في هذا القسم، يناقش المؤلفون التقارب وعدم اليقين المتأصل في ملاءمة المعاملات \( (w_0, w_a) \) لنماذج الكوانتس مع البيانات الكونية. يحددون تقاربًا كبيرًا بين \( w_0 \) و \( w_a \)، يتميز بانحدار يبلغ تقريبًا \( \Delta w_a / \Delta w_0 \approx -5 \)، مما يؤدي إلى منطقة غريبة للغاية من التركيبات المقبولة للمعاملات. هذا التقارب أساسي لتهيئة \( (w_0, w_a) \) ويتم توضيحه من خلال الملاءمات لنموذج معياري. يشير المؤلفون إلى أن اتجاه كونتور القيود في مستوى \( w_0 – w_a \) يمكن التنبؤ به، حيث تؤكد التحليلات الرصدية على الغرابة والانحدار المتوقع، خاصة في النتائج من مسح DESI.
كما يبرز المؤلفون عدم اليقين المرتبط ببروتوكول الملاءمة الخاص بهم، بما في ذلك حجم مناطق الملاءمة المقبولة، والتي تختلف بناءً على دقة قياسات \( H(z) \). يظهرون أن تعريفات مختلفة للخطأ يمكن أن تؤثر على انحدار الخط الملائم الأفضل بنسبة تصل إلى 10%. تمتد المناقشة إلى ثلاث فئات من نماذج الكوانتس الذائبة—الجهود الأسية، والقمم، والهضاب—كل منها يظهر سلوكيات مميزة مع تطور الحقل القياسي. يخلص المؤلفون إلى أن بروتوكول الرسم الخاص بهم يقارن بفعالية نماذج الكوانتس ضد البيانات الرصدية، كاشفين أن نماذج قمة التل تتماشى بشكل أفضل مع القيود الحالية مقارنة بالنماذج الأسية. يؤكدون على أهمية تضمين التركيبات من \( (w_0, w_a) \) التي تلبي \( w_0 + w_a < -1 \) في التحليلات الرصدية لتجنب استبعاد نماذج الكوانتس الذائبة القابلة للتطبيق.
DOI: https://doi.org/10.1016/j.physletb.2024.138826
Publication Date: 2024-06-26
Author(s): David Shlivko et al.
Primary Topic: Cosmology and Gravitation Theories
Overview
In this section, the authors discuss the observational constraints on time-varying dark energy, particularly focusing on the parameterization of the equation of state in the $w_0 – w_a$ plane, where $w(z) = w_0 + \frac{w_a z}{1 + z}$. Recent data suggest a region in this plane characterized by $w_0 > -1$ and $w_0 + w_a < -1$, indicating a transition from violating the null energy condition (NEC) at high redshift ($z$) to adhering to it at low $z$. However, the authors argue that this interpretation is misleading. They demonstrate that simple quintessence models, which satisfy the NEC across all redshifts, can also yield a preference for the same sector in the $w_0 - w_a$ plane. Furthermore, they find that the quintessence models that align best with observational data may predict a present-day dark energy equation of state that significantly diverges from the best-fit value of $w_0$ derived from the aforementioned parameterization. The analysis also uncovers an approximate degeneracy in the $w_0 - w_a$ parameterization, which accounts for the peculiar shapes and orientations of the likelihood contours observed in recent studies.
Introduction
The introduction of this research paper discusses the constraints on models of time-varying dark energy, particularly quintessence, through the integration of various observational data across different redshifts, including the cosmic microwave background (CMB), baryon acoustic oscillations (BAO), and Type IA supernovae (SNe Ia). The authors highlight a common approach of representing these constraints in a $w_0 – w_a$ plot, where the dark energy equation of state $w(z)$ is modeled as a two-parameter function:
\[
w(z) = w_0 + \frac{w_a z}{1 + z}.
\]
Recent observations suggest a preference for a region in this plot characterized by $w_0 > -1$ and $w_0 + w_a < -1$, indicating potential violations of the null energy condition (NEC) and weak energy condition (WEC) at high redshifts, while remaining compliant at lower redshifts. The paper emphasizes the importance of careful interpretation of observational results, as cosmological observables are more directly influenced by the Hubble parameter $H(z)$ than by the dark energy equation of state $w(z)$. The authors propose a mapping technique to align various quintessence models with observational data on the $w_0 - w_a$ plane, demonstrating that models classified as "thawing dark energy" can yield predictions consistent with current observational preferences without necessitating NEC violations. The subsequent sections of the paper will elaborate on the mapping protocol, the quintessence models under consideration, and the implications of their findings for understanding dark energy and its role in cosmic expansion.
Methods
In this section, the authors describe their methodology for identifying the optimal combination of parameters \((w_0, w_a)\) that best fits a quintessence model of dark energy by focusing on the evolution of the Hubble parameter \(H_Q(z)\) rather than the equation of state \(w_Q(z)\). The fitting process aims to accurately reproduce key cosmological observables, including the Hubble distance \(D_H(z)\), angular diameter distance \(D_M(z)\), and luminosity distance \(D_L(z)\). The “best fit” is quantitatively defined by minimizing the error \(E\) given by the maximum deviation between the fitted Hubble parameter \(H_{\text{fit}}(z)\) and the quintessence model \(H_Q(z)\) over the redshift range \(z < 4\). To compute \(H_Q(z)\), the authors numerically solve the equations of motion for a canonical scalar field \(\phi\) with a potential \(V(\phi)\), transitioning from redshift \(z\) to the variable \(N \equiv -\ln(1+z)\). The equations account for the dynamics of the scalar field and its contribution to the total energy density. Initial conditions are set in the matter-dominated era, and the simulation concludes when a predetermined value of \(\Omega_Q(0)\) is reached. The authors then generate a candidate fit \(H_{\text{fit}}(N)\) by solving a system of equations that includes the equation of state \(w_{\text{fit}}(N)\) defined by the parameters \((w_0, w_a)\). The final step involves scanning over the four free parameters to identify the combination that minimizes the error, allowing for a comprehensive mapping of quintessence models onto the \((w_0, w_a)\) plane.
Results
The results section presents the best-fit curves and regions for three classes of quintessence models, as illustrated in Figure 3. The analysis assumes a fiducial value of $\Omega_Q(0) = 0.7$. The orange curve represents the exponential model, achieving the highest accuracy with errors $E \lesssim 0.1\%$. The plateau models, bounded by the exponential curve and a lower boundary representing significant cliffs, exhibit errors up to $E \lesssim 0.5\%$. The hilltop models, indicated by green and blue curves for $k^2 M_{pl}^2 = 1$ and $k^2 M_{pl}^2 = 100$, respectively, show errors of $E \lesssim 0.2\%$ and $E \lesssim 0.7\%$. Notably, the likelihood contours favor models with sharp transitions, such as steep plateau or hilltop models, although the authors caution against drawing strong conclusions from current data.
All tested quintessence models satisfy the Null Energy Condition (NEC) with $w(z) > -1$ for all redshifts $z$, yet they are best fit by regions in the $w_0 – w_a$ plane that imply $w_0 + w_a < -1$. This suggests compatibility with NEC-satisfying models, as significant variations in $w(z)$ at high redshifts minimally affect cosmological observables like $H(z)$. The authors emphasize that the best-fit values of $w_0$ may not correspond closely to the actual value of $w_Q(0)$, particularly for hilltop and plateau models where $w_Q(z)$ increases rapidly as $z \to 0$. They also note the limitations of their analysis, including uncertainties in error definitions and the potential for large errors when extending beyond the plotted regions. Finally, the section highlights the need for separate analyses for models that do not fit well within the $w_0 - w_a$ parameter space, as well as the importance of considering fine-tuning of initial conditions in model evaluations.
Discussion
In this section, the authors discuss the degeneracy and uncertainties inherent in fitting the parameters \( (w_0, w_a) \) of quintessence models to cosmological data. They identify a significant degeneracy between \( w_0 \) and \( w_a \), characterized by a slope of approximately \( \Delta w_a / \Delta w_0 \approx -5 \), which leads to a highly eccentric region of acceptable parameter combinations. This degeneracy is fundamental to the \( (w_0, w_a) \) parameterization and is illustrated through fits to a fiducial model. The authors note that the orientation of constraint contours in the \( w_0 – w_a \) plane is predictable, with observational analyses confirming the expected eccentricity and slope, particularly in results from the DESI survey.
The authors also highlight the uncertainties associated with their fitting protocol, including the size of the acceptable-fit regions, which varies based on the precision of measurements of \( H(z) \). They demonstrate that different definitions of error can influence the best-fit line’s slope by up to 10%. The discussion extends to three classes of thawing quintessence models—exponential potentials, hilltops, and plateaus—each exhibiting distinct behaviors as the scalar field evolves. The authors conclude that their mapping protocol effectively compares quintessence models against observational data, revealing that hilltop models align better with current constraints than exponential models. They emphasize the importance of including combinations of \( (w_0, w_a) \) that satisfy \( w_0 + w_a < -1 \) in observational analyses to avoid excluding viable models of thawing quintessence.
