DOI: https://doi.org/10.1038/s41591-023-02682-0
PMID: https://pubmed.ncbi.nlm.nih.gov/38200255
تاريخ النشر: 2024-01-01
المؤلف: Alona Sosinsky وآخرون
الموضوع الرئيسي: الجينوميات السرطانية والتشخيصات
الطرق
قسم “الطرق” في ورقة البحث يوضح تصميم التجارب والتقنيات التحليلية المستخدمة للتحقيق في سؤال البحث. استخدمت الدراسة نهجًا كميًا، يتضمن تحليلات إحصائية لتقييم البيانات التي تم جمعها من تجارب مختلفة. تضمنت المنهجيات المحددة تجارب محكومة، حيث تم التلاعب بالمتغيرات بشكل منهجي لملاحظة تأثيراتها على النتائج ذات الصلة.
شملت جمع البيانات استخدام أدوات وبروتوكولات موحدة لضمان الموثوقية والصلاحية. تم إجراء التحليل باستخدام أدوات برمجية قادرة على التعامل مع نماذج إحصائية معقدة، مما يسمح بتقييم العلاقات بين المتغيرات. تم اشتقاق النتائج الرئيسية من اختبار الفرضيات، مع تحديد مستويات الدلالة عند p < 0.05، مما يشير إلى العتبة لتحديد الأهمية الإحصائية. بشكل عام، كانت الطرق المستخدمة قوية ومصممة لتقديم رؤى موثوقة حول الظواهر قيد التحقيق.
النتائج
في هذا القسم، يبرز البحث أهمية تسلسل الجينوم الكامل المزدوج (WGS) للأورام والطبيعي في تحديد كل من المتغيرات الجسدية والوراثية، والتي يمكن أن تؤثر بشكل كبير على قرارات إدارة المرضى، بما في ذلك اختبار الجينات العائلية وأهلية العلاج. من بين المرضى الذين يعانون من سرطان المبيض عالي الدرجة، أظهر 13% متغيرات وراثية قابلة للتنفيذ في جينات BRCA1 وBRCA2، مما يشير إلى انتشار ملحوظ لهذه المتغيرات. كما تشير الدراسة إلى وجود علاقة بين النتائج الوراثية وعمر تشخيص الورم، حيث تم تشخيص المرضى الذين يمتلكون متغيرات وراثية مهيئة في عمر وسطي أصغر.
علاوة على ذلك، تكشف النتائج أن المرضى الذين لديهم متغيرات وراثية في جينات إصلاح عدم التطابق (MMR) عانوا من بداية مبكرة بشكل ملحوظ لسرطانات الغدد الكلوية، بينما أولئك الذين لديهم متغيرات في جينات إصلاح إعادة التركيب المتماثل عانوا من بداية مبكرة لسرطانات المبيض عالية الدرجة وسرطانات الثدي الغازية. لوحظت اتجاهات مماثلة في سرطان الخلايا الكلوية الواضحة، وخاصة مع المتغيرات في جين VHL. بالإضافة إلى ذلك، وُجدت متغيرات في جين DPYD، المرتبطة بسمية الفلوروبيريميدين، في 5-10% من المشاركين، مما يوجه توصيات العلاج لمجموعة متنوعة من السرطانات، بما في ذلك سرطانات الثدي الغازية وسرطانات البنكرياس، وفقًا للإرشادات من NGTDC.
المناقشة
يسلط قسم المناقشة في ورقة البحث الضوء على إمكانية العمل السريرية لتسلسل الجينوم الكامل (WGS) في تشخيص السرطان وعلاجه. يتيح WGS، الذي يتضمن تسلسل الأورام الطبيعية المزدوج، الكشف عن مجموعة واسعة من التغيرات الجينومية، بما في ذلك المتغيرات الجسدية الصغيرة (متغيرات النوكليوتيدات الفردية والإدخالات)، والانحرافات في عدد النسخ (CNAs)، والمتغيرات الهيكلية (SVs)، والطفرات الوراثية المرتبطة بالاستعداد للسرطان وعلم الأدوية الجينية. تمت مراجعة نتائج WGA الموحدة لبرنامج السرطان من قبل علماء سريريين ومجالس استشارية متعددة التخصصات للأورام الجينومية (GTABs)، مما يسهل تحديد الطفرات ذات الصلة السريرية عبر أنواع السرطان المختلفة. من الجدير بالذكر أن أكثر من 50% من الأورام في أنواع السرطان المحددة، مثل الورم الدبقي وسرطان الغدد الرئوية، أظهرت طفرات قابلة للتنفيذ، مما يبرز أهمية التفسير السريري الفردي بناءً على مرحلة الورم والأمراض المصاحبة للمرضى.
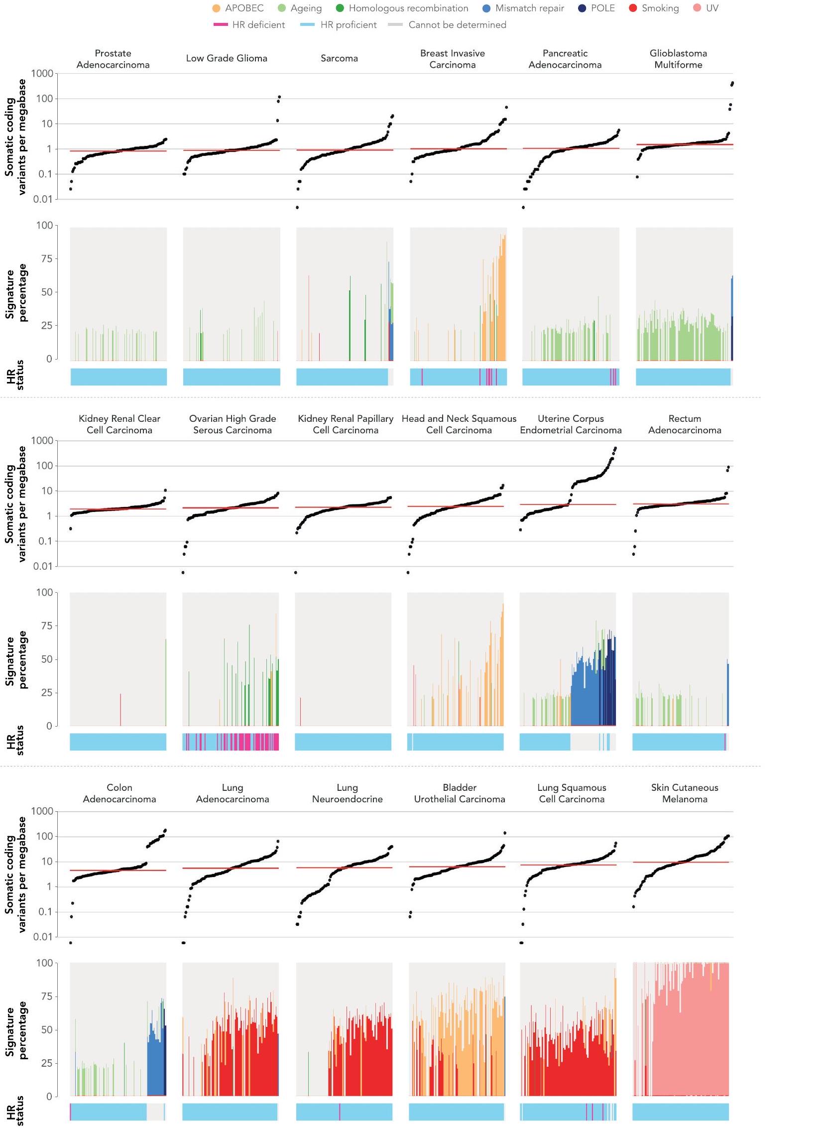
شمل التحليل 13,880 جينومًا كاملًا، كاشفًا عن انتشار مرتفع للطفرات في جينات رئيسية مثل TP53 وPIK3CA، حيث كانت الأولى الأكثر تكرارًا عبر أنواع السرطان المتعددة. كما حددت الدراسة انحرافات عدد النسخ الكبيرة واندماجات الجينات، وخاصة في الورم الدبقي والساركوما، والتي تعتبر حاسمة لتصنيف الأمراض والعلاج المستهدف. علاوة على ذلك، يسمح دمج بيانات WGS مع مجموعات البيانات السريرية الطولية بتقييم نتائج العلاج بناءً على علامات بانجينية، مثل عبء الطفرات الورمية (TMB) ونقص إعادة التركيب المتماثل (HRD). تشير هذه النتائج إلى أن WGS يمكن أن يميز بفعالية المشهد الجينومي للأورام، مما يوفر رؤى قيمة لرعاية السرطان الشخصية وإمكانية تحسين نتائج المرضى من خلال العلاجات المستهدفة والتجارب السريرية.
DOI: https://doi.org/10.1038/s41591-023-02682-0
PMID: https://pubmed.ncbi.nlm.nih.gov/38200255
Publication Date: 2024-01-01
Author(s): Alona Sosinsky et al.
Primary Topic: Cancer Genomics and Diagnostics
Methods
The “Methods” section of the research paper outlines the experimental design and analytical techniques employed to investigate the research question. The study utilized a quantitative approach, incorporating statistical analyses to evaluate the data collected from various experiments. Specific methodologies included controlled experiments, where variables were systematically manipulated to observe their effects on the outcomes of interest.
Data collection involved the use of standardized instruments and protocols to ensure reliability and validity. The analysis was performed using software tools capable of handling complex statistical models, allowing for the assessment of relationships between variables. Key findings were derived from hypothesis testing, with significance levels set at p < 0.05, indicating the threshold for determining statistical relevance. Overall, the methods employed were robust and designed to yield reliable insights into the phenomena under investigation.
Results
In this section, the research highlights the importance of paired tumor and normal whole-genome sequencing (WGS) in identifying both somatic and germline variants, which can significantly influence patient management decisions, including family genetic testing and treatment eligibility. Among patients with ovarian high-grade serous carcinoma, 13% exhibited actionable germline variants in the BRCA1 and BRCA2 genes, indicating a notable prevalence of these variants. The study also reports a correlation between germline findings and the age of tumor diagnosis, with patients possessing predisposing germline variants diagnosed at a younger median age.
Furthermore, the findings reveal that patients with germline variants in mismatch repair (MMR) genes experienced significantly earlier onset of colon adenocarcinomas, while those with variants in homologous recombination repair genes had earlier onset of ovarian high-grade serous carcinomas and breast invasive carcinomas. Similar trends were noted in kidney renal clear cell carcinoma, particularly with variants in the VHL gene. Additionally, variants in the DPYD gene, associated with fluoropyrimidine toxicity, were found in 5-10% of participants, informing treatment recommendations for various cancers, including breast invasive carcinomas and pancreatic adenocarcinomas, as per guidelines from the NGTDC.
Discussion
The discussion section of the research paper highlights the clinical actionability of whole-genome sequencing (WGS) in cancer diagnosis and treatment. WGS, which includes paired tumor-normal sequencing, enables the detection of a wide range of genomic alterations, including somatic small variants (single-nucleotide variants and indels), copy number aberrations (CNAs), structural variants (SVs), and germline mutations associated with cancer susceptibility and pharmacogenomics. The Cancer Programme’s standardized WGA results were reviewed by clinical scientists and multidisciplinary Genomic Tumor Advisory Boards (GTABs), facilitating the identification of clinically relevant mutations across various cancer types. Notably, over 50% of tumors in specific cancer types, such as glioblastoma and lung adenocarcinoma, exhibited actionable mutations, underscoring the importance of individualized clinical interpretation based on tumor stage and patient comorbidities.
The analysis encompassed 13,880 whole genomes, revealing a high prevalence of mutations in key genes like TP53 and PIK3CA, with the former being the most frequently mutated across multiple cancer types. The study also identified significant CNAs and gene fusions, particularly in glioblastoma and sarcomas, which are critical for disease classification and targeted therapy. Furthermore, the integration of WGS data with longitudinal clinical datasets allows for the assessment of treatment outcomes based on pangenomic markers, such as tumor mutational burden (TMB) and homologous recombination deficiency (HRD). These findings suggest that WGS can effectively characterize the genomic landscape of tumors, providing valuable insights for personalized cancer care and the potential for improved patient outcomes through targeted therapies and clinical trials.
