DOI: https://doi.org/10.1016/s1474-4422(24)00038-3
PMID: https://pubmed.ncbi.nlm.nih.gov/38493795
تاريخ النشر: 2024-03-14
عبء الاضطرابات التي تؤثر على الجهاز العصبي على المستويات العالمية والإقليمية والوطنية، 1990-2021: تحليل منهجي لدراسة العبء العالمي للأمراض 2021
– للاستشهاد بهذه النسخة:
معرف HAL: hal-04543789
https://unilim.hal.science/hal-04543789v1
العبء العالمي والإقليمي والوطني للاضطرابات التي تؤثر على الجهاز العصبي، 1990-2021: تحليل منهجي لدراسة العبء العالمي للأمراض 2021
نُشر على الإنترنت
14 مارس 2024
https://doi.org/10.1016/
S1474-4422(24)00038-3
تم تصحيح هذه النشرة الإلكترونية. النسخة المصححة
ظهرت لأول مرة في
thelancet.com/neurologyعلى
18 مارس 2024
انظر التعليقات الصفحات 326 و 327
*المتعاونون المذكورون في نهاية الورقة
الدكتور جيمي شتاينميتز، المعهد لـ
مؤشرات الصحة والتقييم
جامعة واشنطن
سياتل، واشنطن 98105، الولايات المتحدة الأمريكية
jsteinme@uw.edu
ملخص
مقدمة
الأمراض الوعائية الدماغية والأمراض التنكسية العصبية، العدوى العصبية، الاضطرابات العصبية المناعية، الاضطرابات العضلية العصبية أو اضطرابات الجهاز العصبي المحيطي، الإصابات الناتجة عن الصدمات، والسرطانات المتعلقة بالجهاز العصبي، والتي يتم تلخيصها باختصار على أنها اضطرابات عصبية أو حالات تتعلق بالجهاز العصبي. تختلف هذه الاضطرابات في السبب والأعراض والمسار. بعض اضطرابات الجهاز العصبي ناتجة مباشرة عن تلف في الجهاز العصبي المركزي أو الجهاز العصبي المحيطي. كما قمنا بعزل فقدان الصحة العصبية عن الحالات التي تكون فيها الأمراض المتعلقة بالجهاز العصبي نتيجة، ولكنها ليست السمة الأساسية، بما في ذلك مجموعة فرعية من الحالات الخلقية (أي، الشذوذات الكروموسومية وعيوب الولادة الخلقية)، والحالات حديثة الولادة (أي، اليرقان، الولادة المبكرة، والإنتان)، والأمراض المعدية (أي، COVID-19، داء الكيسات المائية، الملاريا، الزهري، ومرض فيروس زيكا)، واعتلال الأعصاب السكري. من خلال إجراء تحليل على مستوى العواقب الصحية لهذه الحالات، تم تضمين الحالات التي حدث فيها تلف في الجهاز العصبي فقط، وتم إعادة حساب سنوات العيش مع الإعاقة لعزل العبء غير القاتل المنسوب مباشرة إلى فقدان صحة الجهاز العصبي. تم استخدام تصحيح الاضطرابات المصاحبة لحساب الانتشار الكلي لجميع الحالات التي تؤثر على الجهاز العصبي مجتمعة.
حقوق الطبع والنشر © 2024 منظمة الصحة العالمية. نُشر بواسطة إلسفير المحدودة. جميع الحقوق محفوظة. هذه مقالة مفتوحة الوصول نُشرت بموجب ترخيص CC BY 3.0 IGO الذي يسمح بالاستخدام غير المقيد، والتوزيع، وإعادة الإنتاج في أي وسيلة، بشرط أن يتم الاقتباس بشكل صحيح من العمل الأصلي. في أي استخدام لهذه المقالة، يجب ألا يكون هناك أي إشارة إلى أن منظمة الصحة العالمية تؤيد أي منظمة أو منتجات أو خدمات معينة. لا يُسمح باستخدام شعار منظمة الصحة العالمية. يجب الحفاظ على هذا الإشعار مع عنوان URL الأصلي للمقالة.
البحث في السياق
الأدلة قبل هذه الدراسة
القيمة المضافة لهذه الدراسة
لم يتم النظر فيه سابقًا ومن خلال إضافة عواقب الحالات غير العصبية التي تؤثر على الجهاز العصبي، ليصل العدد الإجمالي للحالات المشمولة إلى 37. وقد قدرت هذه الدراسة نسبة عبء الجهاز العصبي التي يمكن تجنبها من خلال القضاء على عوامل الخطر المعروفة للسكتة الدماغية، ومرض الزهايمر، وأشكال الخرف الأخرى، والتصلب المتعدد، ومرض باركنسون، والتهاب الدماغ، والتهاب السحايا، والإعاقة الفكرية مجهولة السبب، لكنها تؤكد أيضًا على ندرة المعرفة حول عوامل الخطر المرتبطة بحالات الجهاز العصبي.
تداعيات جميع الأدلة المتاحة
تسبب الحالات إعاقات مدى الحياة، بينما يرتبط البعض الآخر بمعدلات وفاة مرتفعة؛ بعض الحالات قابلة للعلاج أو الوقاية، بينما لا يوجد علاج للبعض الآخر.
الحالات عبر العديد من مجموعات الأمراض. تشمل مجموعة GBD الأساسية للاضطرابات العصبية مرض الزهايمر وأشكال الخرف الأخرى، والصداع، والصرع مجهول السبب، ومرض العصب الحركي، والتصلب المتعدد، ومرض باركنسون، ومجموعة متبقية من الاضطرابات العصبية الأخرى التي تشمل، على سبيل المثال، ضمور العضلات ومرض هنتنغتون. باستخدام تقديرات GBD لعام 2015 و2016، قدم فيجين وزملاؤه تقديرات أكثر شمولاً لفقدان الصحة العصبية مقارنة بمجموعة GBD الأساسية من خلال تضمين السكتة الدماغية، والتهاب السحايا، والتهاب الدماغ، والكزاز، وإصابات الدماغ الرضحية، وإصابات الحبل الشوكي، وسرطانات الدماغ والجهاز العصبي المركزي.
المقالات
الفيروسات المنقولة بواسطة الناقلات مثل فيروس زيكا،
الطرق
نظرة عامة
أمراض الحبل الشوكي، واضطرابات جذور الأعصاب والضفائر، واضطرابات الأعصاب المحيطية، وبعض الاضطرابات العضلية، وأمراض العضلات، مثل اعتلالات العضلات (الملحق ص 5-6، 63-64). تستثني تقديرات الصرع حالات الصرع التي يتم التقاطها تحت ظروف أخرى لتجنب التكرار. تم تضمين قائمة مراجعة لإعداد تقديرات صحية دقيقة وشفافة في الملحق (ص 2-5).
تقديرات الانتشار
تجميع الحالات وتصحيحات الأمراض المصاحبة
تم استخدام تصحيح الأمراض المصاحبة لحساب الانتشار الكلي لجميع حالات واضطرابات الجهاز العصبي مجتمعة، مع افتراض وجود أمراض مصاحبة مستقلة. بدون تصحيح الأمراض المصاحبة، سيكون الانتشار مبالغًا فيه لأن الحالات أو الاضطرابات الفردية ستفترض أنها غير متداخلة (أي، حالة أو اضطراب واحد لكل فرد). ثم تم حساب العدد الإجمالي للأشخاص الذين يعانون من أي فقدان صحي في الجهاز العصبي من خلال الضرب في عدد الأشخاص في السكان: الانتشار
سنوات العيش مع الإعاقة بسبب فقدان صحة الجهاز العصبي
| مدرج في تحليل GBD 2016 بواسطة فيجين وزملائه
|
تشمل الوفيات في هذا التحليل | |
| مرض الزهايمر وأشكال الخرف الأخرى | نعم | نعم |
| اضطراب نقص الانتباه مع فرط النشاط | لا | لا |
| اضطراب طيف التوحد | لا | لا |
| ملاريا دماغية | لا | لا |
| ضعف الإدراك أو متلازمة غيلان باريه بسبب COVID-19 | لا | لا |
| الزهري العصبي الخلقي والبالغ | لا | لا |
| اعتلال الأعصاب السكري | لا | لا |
| التهاب الدماغ | نعم | نعم |
| الصرع | نعم (بدون سبب معروف) | نعم |
| الصرع بسبب الكيسات المائية | لا | لا |
| متلازمة الكحول الجنينية | لا | لا |
| متلازمة غيلان باريه | لا | نعم* |
| الإعاقة الفكرية بدون سبب معروف | لا | لا |
| التهاب السحايا | نعم | نعم |
| الصداع النصفي | نعم | لا |
| مرض العصب الحركي | نعم | نعم |
| التصلب المتعدد | نعم | نعم |
| الاعتلال الدماغي الوليدي | لا | نعم |
| سرطان الجهاز العصبي (أي، سرطانات الجهاز العصبي المركزي، الورم العصبي، وأورام خلايا الأعصاب الطرفية الأخرى؛ تشمل الحالات الأولية للأطفال والبالغين، وتستثني النقائل) | نعم (CNS) | نعم |
| عيوب الأنبوب العصبي | لا | نعم |
| النكاف العصبي | لا | نعم |
| المضاعفات العصبية بسبب العيوب الخلقية | لا | لا |
| المضاعفات العصبية بسبب متلازمة زيكا الخلقية | لا | لا |
| المضاعفات العصبية بسبب متلازمة داون | لا | لا |
| المضاعفات العصبية بسبب متلازمة كلاينفلتر | لا | لا |
| المضاعفات العصبية بسبب اليرقان الوليدي | لا | لا |
| المضاعفات العصبية بسبب الإنتان الوليدي | لا | لا |
| المضاعفات العصبية بسبب غيرها من الشذوذات الكروموسومية (باستثناء متلازمة داون، ومتلازمة كلاينفلتر، ومتلازمة تيرنر) | لا | لا |
| المضاعفات العصبية بسبب الولادة المبكرة | لا | لا |
| اضطرابات عصبية أخرى (بما في ذلك الأمراض التنكسية، واضطرابات الجهاز العصبي الذاتي، وبعض اضطرابات الحركة، وأمراض النخاع الشوكي، واضطرابات جذور الأعصاب والضفائر، واضطرابات الأعصاب الطرفية، واضطرابات الأعصاب العضلية، وبعض أمراض العضلات مثل اعتلال العضلات؛ الملحق ص 5-6) | نعم | نعم |
| مرض باركنسون | نعم | نعم |
| السعار | لا | نعم |
| إصابة الحبل الشوكي | نعم | لا |
| السكتة الدماغية (أي، السكتة الدماغية الإقفارية، والنزيف تحت العنكبوتية، والنزيف داخل الدماغ) | نعم | نعم |
| الصداع التوتري | نعم | لا |
| الكزاز | نعم | نعم |
| إصابة الدماغ الرضحية | نعم | لا |
| *تُسجل وفيات متلازمة غيلان باريه التي لم تُنسب إلى سبب أساسي في فئة الاضطرابات العصبية الأخرى. |
وصف بسيط لحالات الصحة المدرجة في GBD. يتم وصف أوزان الإعاقة والأوصاف البسيطة لجميع حالات الصحة المدرجة في هذا التحليل في الملحق (ص 49-61). لأخذ في الاعتبار حقيقة أن الأفراد يمكن أن يكون لديهم أكثر من حالة واحدة، قمنا بإجراء محاكاة لإنتاج أوزان إعاقة معدلة بناءً على التركيبات الملاحظة للأمراض المصاحبة الناتجة عن المحاكاة.
بالنسبة للعواقب التي تشمل كل من فقدان الصحة العصبية وغير العصبية، تم إعادة حساب سنوات الحياة المعدلة للإعاقة (YLDs) لعزل العبء غير القاتل الناتج عن فقدان صحة الجهاز العصبي. على سبيل المثال، تشمل عواقب متلازمة داون إعاقة عقلية شديدة مع مرض قلبي خلقي بسبب متلازمة داون (العاقبة 1) وإعاقة عقلية شديدة بسبب متلازمة داون (العاقبة 2). لعزل المكون العصبي للعاقبة 1، تم استخدام وزن الإعاقة المعدل الناتج عن محاكاة الترافق للعاقبة 2 لإعادة حساب YLDs من خلال ضرب انتشار العاقبة 1 في وزن الإعاقة المعدل للعاقبة 2. تم استخدام هذه الطريقة لحساب YLDs لجميع العواقب التي تجمع بين فقدان الصحة العصبية وغير العصبية لعزل العبء الناتج عن فقدان صحة الجهاز العصبي.
حساب الوفيات وسنوات الحياة المفقودة
أسباب الوفاة في GBD متبادلة الحصرية وشاملة بشكل جماعي، مما يعني أن الفرد المعين يُخصص له سبب واحد فقط للوفاة، ومجموع جميع الوفيات المحددة بالأمراض يساوي إجمالي الوفيات لسنة معينة. تم حساب سنوات الحياة المفقودة (YLLs) لكل حالة من خلال ضرب الوفيات ومتوسط العمر المتوقع المتبقي.
عوامل الخطر
تقدير المتوسط، عدم اليقين، وحساب النسبة المئوية للتغيير
دور مصدر التمويل
النتائج
نظرة عامة
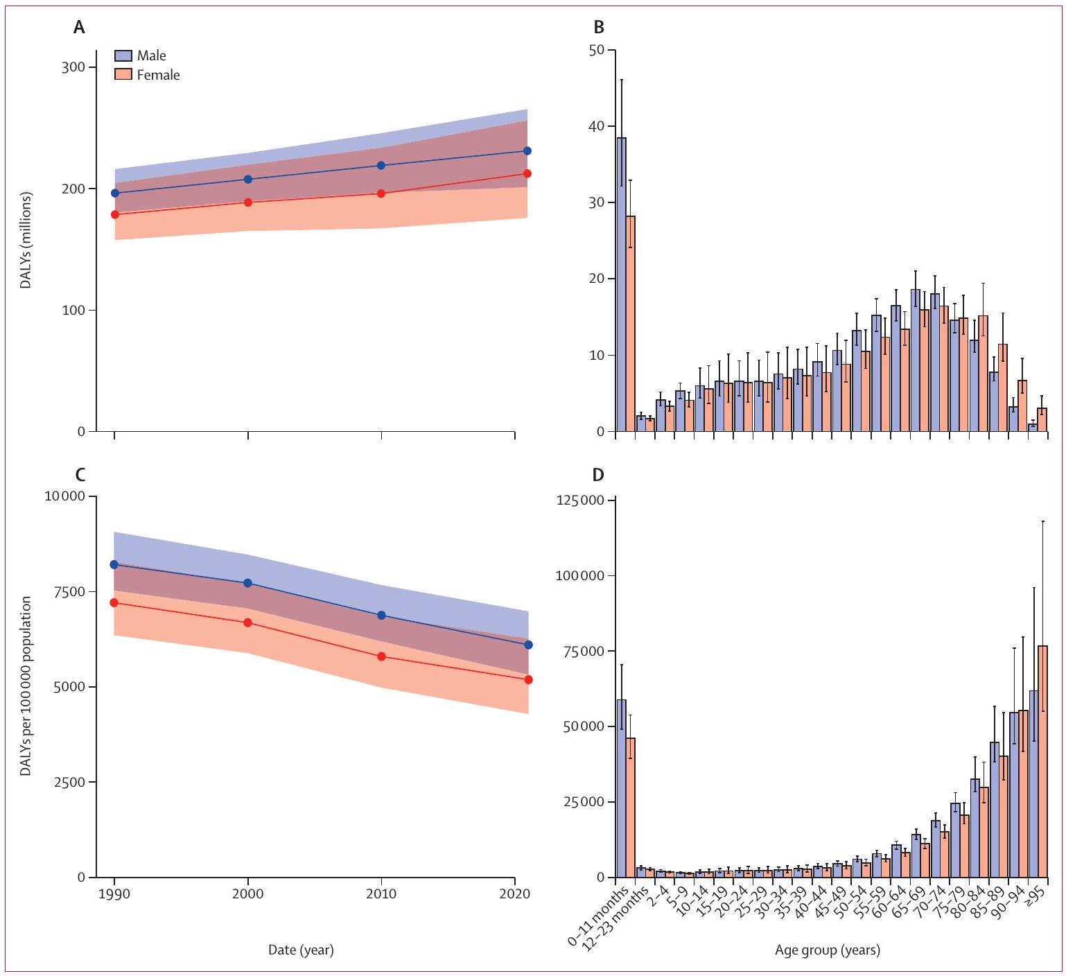
لخسارة الصحة العامة للجهاز العصبي، زادت أعداد DALY العالمية بـ
إقليمياً، كانت معدلات سنوات الحياة المعدلة حسب العمر (DALY) الأعلى في غرب أفريقيا جنوب الصحراء.
كانت الحالات العشر التي تسببت في أكبر عدد من سنوات الحياة المعدلة حسب الإعاقة (DALYs) في نظام الأعصاب في عام 2021 هي السكتة الدماغية، والاعتلال الدماغي الوليدي، والصداع النصفي، ومرض الزهايمر وأشكال الخرف الأخرى، والاعتلال العصبي السكري، والتهاب السحايا، والصرع، والمضاعفات العصبية الناتجة عن الولادة المبكرة، واضطراب طيف التوحد، وسرطان الجهاز العصبي، حيث كانت السكتة الدماغية هي أكبر مساهم على مستوى العالم وفي 19 من 21 منطقة من مناطق العبء العالمي للأمراض (GBD) (الجدول 2؛ الشكل 1). ومن الجدير بالذكر أن أربعة من بين الحالات العشر العليا لم تُدرج في تحليلاتنا السابقة للعبء العصبي: الاعتلال الدماغي الوليدي، والاعتلال العصبي السكري، والمضاعفات العصبية الناتجة عن الولادة المبكرة، واضطراب طيف التوحد، مما يبرز تأثيرات ظروف الحياة المبكرة وطفولة على إجمالي فقدان صحة الجهاز العصبي والتأثيرات غير المعترف بها على الجهاز العصبي المحيطي.
كانت التصنيفات الإقليمية عبر الحالات متسقة إلى حد كبير (الشكل 1). كانت هناك استثناءات تشمل التباين الإقليمي لالتهاب السحايا (نطاق التصنيف الإقليمي: من الثالث إلى الثاني والعشرين)، الكزاز (النطاق: من الحادي عشر إلى الخامس والثلاثين)، التصلب المتعدد (النطاق: من الخامس عشر إلى الحادي والثلاثين)، ومرض العصبون الحركي (النطاق: من الخامس عشر إلى الرابع والثلاثين). عكست بعض تصنيفات الأمراض المعدية انتشار العوامل الممرضة الإقليمية (مثل الملاريا الدماغية، الكيسات العصبية، والمضاعفات العصبية الناتجة عن متلازمة زيكا الخلقية).
بالنسبة للأطفال الذين تقل أعمارهم عن 5 سنوات، كانت الأسباب الثلاثة الرئيسية لفقدان سنوات الحياة المعدلة حسب الإعاقة (DALYs) على مستوى العالم هي اعتلال الدماغ الوليدي
مقالات
| العدادات (آلاف) | معدل موحد حسب العمر (لكل 100000 شخص) | ||||||
| ٢٠٢١ | نسبة التغير، 1990-2021 | ٢٠٢١ | نسبة التغير، 1990-2021 | إناث | ذكور | نسبة الإناث إلى الذكور* | |
| جميع الحالات العصبية | |||||||
| سنوات الحياة المعدلة بالإعاقة | 443000 (378000 إلى 521000) | 18.2% ( 8.7 إلى 26.7 ) |
|
-27.0% (
|
5185.8 (4281.2 إلى 6262.9) | 6101.0 (
|
0.85 (0.78 إلى 0.93) |
| عائدات السندات | 168000 (114000 إلى 243000) |
|
|
11.2% (
|
2078.2 (1301•3 إلى
|
|
1.01 (0.88 إلى 1.14) |
| YLLs | 275000 (247000 إلى 316000) | -3.1% (-11.8 إلى
|
|
-39.0% (
|
3107.4 (
|
|
0.77 (0.71 إلى 0.84) |
| انتشار | ٣٤٠٠٠٠٠ (٣٢٠٠٠٠٠ إلى ٣٦٢٠٠٠٠) | 58.8% ( 56.3 إلى 61.5 ) |
|
1.5% (0.7 إلى 2.4) |
|
38949.0 (
|
1.12 ( 1.10 إلى 1.14 ) |
| الوفيات | 11100 (9750 إلى 13800) | 41.2% ( 28.1 إلى 58.8 ) | ١٣٩.٠ (
|
-33.6% (
|
125.0 (
|
|
0.81 (0.73 إلى 0.90) |
| مرض الزهايمر وأنواع الخرف الأخرى | |||||||
| سنوات الحياة المعدلة بالإعاقة | ٣٦٣٠٠ (١٧٢٠٠ إلى ٧٧٤٠٠) | 168.7% ( 156.3 إلى 179.9 ) |
|
1.7% (-2.8 إلى 5.1) | 504.8 (
|
|
|
| عائدات السندات | 11600 (7960 إلى 15300) | 162.7% ( 157.0 إلى 168.0 ) | 141.9 (
|
2.6% ( 1.1 إلى 3.6 ) | 161.9 (110.7 إلى
|
114.4 (
|
1.42 (1.33 إلى 1.49) |
| YLLs | 24700 (6370 إلى 65700) | 173.4% (
|
٣٠٨.٩ (٧٨.٩ إلى ٧٨٩.٠) | 1.4% (
|
٣٤٢.٩ ( ٨٩.٢ إلى ٨٧٢.٠ ) | 258.0 (
|
1.36 ( 1.22 إلى 1.47 ) |
| انتشار | 56900 (49400 إلى 65000) | 160.8% ( 156.1 إلى 165.9 ) | 694.0 (
|
3.2% (1.7 إلى 4.2) | 769.9 (670.7 إلى 877.6) | ٥٨٩.٥ (٥٠٧.٥ إلى ٦٧٨.٨) | 1.31 (1.28 إلى 1.35) |
| الوفيات | 1950 (503 إلى 5080) | 198.3% (175.2 إلى
|
25.2 (6.7 إلى 64.4) | 1.5% ( -4.0 إلى 7.1 ) | 27.9 (
|
20.7 (
|
1.38 ( 1.24 إلى 1.49 ) |
| اضطراب فرط الحركة وتشتت الانتباه | |||||||
| عائدات السندات | ١٠٣٠ (٥٧٢ إلى ١٦٧٠) | 18.7% ( 14.8 إلى 22.8 ) | 13.5 ( 7.4 إلى 21.9 ) | -9•6% (-11.9 إلى -7.3) | ٧.٧ (
|
19.0 ( 10.4 إلى 30.7 ) | 0.40 (0.38 إلى 0.43) |
| انتشار | 84800 (63400 إلى 117000) | 18.8% (14.9 إلى
|
1108.9 ( 828.7 إلى 1536.2 ) | -9.7% (-11.8 إلى -7.4) | 636.0 (467.9 إلى 879.0) | 1561.7 (
|
0.41 (0.39 إلى 0.43) |
| اضطراب طيف التوحد | |||||||
| عائدات السندات | 11500 (7840 إلى 16300) | 46.7% (
|
147.6 (100.2 إلى 208.1) | 2.1% (0.6 إلى 3.4) |
|
199.8 (
|
0.47 (0.46 إلى 0.49) |
| انتشار | 61800 (52100 إلى 72700) | 47.5% (
|
788.3 (663.8 إلى
|
2.0% (0.4 إلى 3.1) | 508.1 (424.6 إلى 604.3) | 1064.7 ( 898.5 إلى 1245.7 ) | 0.48 (0.46 إلى 0.50) |
| الملاريا الدماغية | |||||||
| عائدات السندات | 407 (296 إلى 514) | 109•1% (
|
|
53.6% (
|
5.6 (4.1 إلى
|
5.0 ( 3.6 إلى 6.3 ) |
|
| انتشار | 996 (923 إلى 1070) | 122•2% (
|
12.9 ( 12.0 إلى 13.9 ) | 63.0% (58.7 إلى 67.4) | 13.8 ( 12.7 إلى 14.9 ) |
|
1.14 ( 1.13 إلى 1.15 ) |
| عيوب خلقية
|
|||||||
| عائدات السندات | 1450 (676 إلى 2750) | 53.4% ( 48.3 إلى 58.4 ) | 18.7 ( 8.8 إلى 35.4 ) | 8.9% (
|
15.9 (7.4 إلى 30.4) | 21.4 (10.2 إلى 39.9) | 0.74 (0.69 إلى 0.80) |
| انتشار | 13900 (7980 إلى 21600) | 56.0% (51.6 إلى 60.4) | 180.2 (104•5 إلى
|
11.4% ( 8.6 إلى 14.5 ) | 157.0 (90.4 إلى
|
203.0 (118.0 إلى 315.0) | 0.77 (0.73 إلى 0.81) |
| متلازمة زيكا الخلقية
|
|||||||
| عائدات السندات | 0.100 ( 0.100 إلى 0.100 ) | 100.0% (
|
0.0 ( 0.0 إلى 0.0 ) | 100.0% (
|
0.0 ( 0.0 إلى 0.0 ) | 0.0 ( 0.0 إلى 0.0 ) | 0.97 (0.93 إلى 1.02) |
| انتشار | 0.100 ( 0.100 إلى 0.200 ) | 100.0% ( 100.0 إلى 100.0 ) | 0.0 ( 0.0 إلى 0.0 ) | 100.0% (
|
0.0 ( 0.0 إلى 0.0 ) | 0.0 ( 0.0 إلى 0.0 ) | 0.97 (0.97 إلى 0.97) |
| كوفيد-19
|
|||||||
| عائدات السندات | 2480 (87.2 إلى 7990) | 100% (100 إلى 100) | 29.4 ( 1.1 إلى 101.1 ) | 100.0% (
|
٣٦.٩ (١.٠ إلى ١٢٢.٨) |
|
1.84 (0.97 إلى 3.35) |
| انتشار | 23400 (4140 إلى 72800) | 100% (100 إلى 100) | 288.5 (
|
100.0% (
|
370.9 (64.3 إلى 1175.0) | 205.7 ( 35.8 إلى 608.9 ) | 1.87 ( 1.32 إلى 2.61 ) |
| داء الكيسات المائية
|
|||||||
| عائدات السندات | 4.60 (2.90 إلى 7.00) | 21.1% (-0.3 إلى 48.3) | 0.1 ( 0.0 إلى 0.1 ) | -24.7% (
|
0.1 (0.0 إلى 0.1) | 0.1 (0.0 إلى 0.1) | 1.21 ( 1.14 إلى 1.27 ) |
| (الجدول 2 يستمر في الصفحة التالية) | |||||||
| العدادات (آلاف) | معدل موحد حسب العمر (لكل 100000 شخص) | ||||||
| ٢٠٢١ | نسبة التغير، 1990-2021 | ٢٠٢١ | نسبة التغير، 1990-2021 | إناث | ذكور | نسبة الإناث إلى الذكور | |
| (متابعة من الصفحة السابقة) | |||||||
| انتشار |
|
45•2% ( 27.9 إلى 60.2 ) | 0.2 ( 0.1 إلى 0.2 ) | -10.7% (-19 إلى -2.0) | 0.2 ( 0.2 إلى 0.3 ) | 0.2 (0.1 إلى 0.2) | 1.21 (1.14 إلى 1.27) |
| اعتلال الأعصاب السكري | |||||||
| عائدات السندات | 26300 (18000 إلى 37400) | 309•1% (
|
694.0 (
|
91.9% ( 86.3 إلى 97.3 ) | 769.9 (670.7 إلى 877.6) |
|
0.92 (0.89 إلى 0.94) |
| انتشار | 206000 (171000 إلى 249000) | 310•5% (297.4 إلى 322.3) | ٣٠١.٩ (٢٠٧.٠ إلى ٤٢٩.٤) | 92.2% ( 86.4 إلى 97.7 ) | 289.7 (198.4 إلى 410.9) | 315.9 (
|
0.95 (0.92 إلى 0.97) |
| متلازمة داون
|
|||||||
| عائدات السندات | 135 ( 89.8 إلى 194 ) | -4.5% ( -11.8 إلى 3.0 ) | 1.8 ( 1.2 إلى 2.6 ) | -24•2% (-29.7 إلى -18.3) | 1.7 ( 1.2 إلى 2.5 ) | 1.9 ( 1.2 إلى 2.7 ) | 0.93 (0.92 إلى 0.95) |
| انتشار | 1490 (1240 إلى 1780) | -5.4% (
|
20.0 (
|
-24.6% (
|
19.3 ( 16.1 إلى 22.9 ) | 20.7 (17.2 إلى
|
0.93 (0.91 إلى 0.94) |
| التهاب الدماغ | |||||||
| سنوات الحياة المعدلة بالإعاقة | 4950 (4150 إلى 5700) | -17.8% (
|
67.4 (55.7 إلى 78.3) | -35.7% (
|
67.2 ( 58.4 إلى 78.2 ) | 67.7 (50.6 إلى 83.5) | 1.01 (0.76 إلى 1.26) |
| عائدات السندات | 497 (354 إلى 658) | 5.0% ( 0.0 إلى 10.5 ) | 6.2 (
|
-29.9% (
|
6.1 (
|
6.3 (
|
0.96 (0.93 إلى 1.00) |
| YLLs | 4460 (3690 إلى 5280) | -19.7% (
|
61.2 ( 49.9 إلى 72.9 ) | -36.2% (
|
61.2 ( 51.9 إلى 71.1 ) | 61.4 (
|
1.01 (0.74 إلى 1.31) |
| انتشار | 4640 (3250 إلى 6000) | 0.7% ( -3.0 إلى 5.3 ) | 57.3 ( 40.2 إلى 73.9 ) | -35.6% ( -38.2 إلى -3.02 ) |
|
٥٩.٩ (
|
0.91 (0.90 إلى 0.93) |
| الوفيات | 92.0 (79.0 إلى 108) | 9.9% (-8.9 إلى
|
1.2 ( 1.0 إلى 1.4 ) | -26.1% (-38.0 إلى -8.3) | 1.2 ( 1.0 إلى 1.4 ) | 1.2 ( 0.9 إلى 1.5 ) | 0.98 (0.69 إلى 1.27) |
| الصرع | |||||||
| سنوات الحياة المعدلة بالإعاقة | 14400 (11000 إلى 18500) | 22.5% (7.7 إلى 38.7) | 183.9 (
|
|
160.4 (118.3 إلى
|
207.2 (161.9 إلى
|
0.77 (0.67 إلى 0.86) |
| عائدات السندات | 7760 (4660 إلى 11800) | 35.6% (
|
98.9 (59.8 إلى 149.8) | -7.1% (-25.8 إلى 13.7) | 94.4 (57.0 إلى 142.9) | ١٠٣.٦ (
|
0.91 (0.89 إلى 0.94) |
| YLLs | 6610 (5450 إلى 7340) | 10.7% ( -0.6 إلى 24.4 ) | 85.0 (70.7 إلى 95.0) | -21.6% (
|
66.0 ( 47.6 إلى 76.6 ) | ١٠٣.٦ (
|
0.64 (0.45 إلى 0.78) |
| انتشار | 24400 (18600 إلى 30800) | 57.4% (
|
٣٠٨.٩ (
|
6.2% (
|
294.6 (
|
٣٢٣.٨ (٢٤٩.٠ إلى ٤٠٦.٤) | 0.91 (0.89 إلى 0.93) |
| الوفيات | 140 (116 إلى 153) | 34.2% (
|
1.7 ( 1.5 إلى 1.9 ) | -15.7% (-22.5 إلى -8.8) | 1.4 ( 1.0 إلى 1.5 ) |
|
0.64 (0.46 إلى 0.76) |
| متلازمة الكحول الجنينية | |||||||
| عائدات السندات | 23.6 ( 13.8 إلى 37.0 ) | 24.0% ( 14.8 إلى 32.1 ) | 0.3 ( 0.2 إلى 0.5 ) | -11•1% (
|
0.3 ( 0.2 إلى 0.5 ) | 0.3 ( 0.2 إلى 0.5 ) | 0.91 (0.84 إلى 0.99) |
| انتشار | 517 (374 إلى 677) | 33.7% ( 28.4 إلى 37.9 ) | 6.7 (4.9 إلى 8.8) | -4.7% (-8.2 إلى -1.8) | 6.2 (
|
7.1 (
|
0.88 (0.83 إلى 0.99) |
| متلازمة غيلان باريه | |||||||
| عائدات السندات |
|
71.3% ( 61.4 إلى 81.9 ) | 0.6 ( 0.4 إلى 0.9 ) | 5.7% (
|
0.6 ( 0.4 إلى 0.8 ) | 0.7 ( 0.4 إلى 1.0 ) | 0.86 (0.84 إلى 0.89) |
| انتشار | 166 (134 إلى 201) | 71.3% ( 61.4 إلى 81.9 ) | 2.0 ( 1.7 إلى 2.5 ) |
|
1.9 ( 1.5 إلى 2.3 ) | 2.2 ( 1.8 إلى 2.7 ) | 0.86 (0.84 إلى 0.89) |
| الإعاقة الذهنية مجهولة السبب | |||||||
| عائدات السندات | 3810 (1760 إلى 6520) | 16.3% ( 10.5 إلى 22.3 ) |
|
-13.6% (-18.0 إلى -8.4) |
|
48.3 ( 20.8 إلى 84.7 ) | 1.08 (1.00 إلى 1.20) |
| انتشار | 88300 (47100 إلى 129000) | 10.2% (5.7 إلى 13.7) | 1157.2 (620.9 إلى
|
-18.0% (
|
1204.4 (688.7 إلى 1708.4) | 1110.5 (
|
1.10 (1.02 إلى 1.24) |
| متلازمة كلاينفلتر
|
|||||||
| عائدات السندات | 3.00 ( 1.50 إلى 5.80 ) | 30.5% (
|
0.0 ( 0.0 إلى 0.0 ) |
|
غير متوفر | 0.0 (0.0 إلى 0.1) | غير متوفر |
| انتشار | 230 (158 إلى 320) | 30.2% (
|
3.1 (
|
2.7% ( 1.3 إلى 4.2 ) | غير متوفر | 6.1 (
|
غير متوفر |
مقالات
| العدادات (آلاف) | معدل موحد حسب العمر (لكل 100000 شخص) | ||||||
| ٢٠٢١ | نسبة التغير، 1990-2021 | ٢٠٢١ | نسبة التغير، 1990-2021 | إناث | ذكور | نسبة الإناث إلى الذكور | |
| (مستمر من الصفحة السابقة) | |||||||
| التهاب السحايا | |||||||
| سنوات الحياة المعدلة بالإعاقة | 14500 (11500 إلى 18700) | -56.0% (
|
|
-62.1% (-68.9 إلى -52.8) | 193.3 (
|
|
0.87 (0.69 إلى 1.03) |
| عائدات السندات | 603 (425 إلى 791) | -31.3% (-34.3 إلى -28.0) | ٧.٨ (
|
-51.7% (-53.8 إلى -49.4) | ٧.٦ (
|
7.9 (5.6 إلى 10.4) | 0.97 (0.95 إلى 1.00) |
| YLLs | 13900 (11000 إلى 18000) | -56.7% (
|
200.7 (
|
-62.5% (-69.3 إلى -52.9) | 185.7 (146.9 إلى
|
|
0.87 (0.68 إلى 1.03) |
| انتشار | 7270 (5930 إلى 9070) | -35.5% (
|
92.3 (
|
-56.8% ( -58.6 إلى -55.1 ) | 88.5 (
|
96.1 (
|
0.92 (0.91 إلى 0.93) |
| الوفيات | 214 (177 إلى 266) | -49.0% (-56.6 إلى -38.2) | 2.9 (2.4 إلى 3.7) | -60.2% (
|
2.7 (2.2 إلى 3.4) | 3.2 (
|
0.87 (0.70 إلى 0.99) |
| صداع نصفي | |||||||
| عائدات السندات | 43400 (6740 إلى 95100) | 58.9% ( 53.7 إلى 66.0 ) | 532.7 (80.7 إلى 1167.8) | 0.6% ( -4.0 إلى 2.6 ) | 662.8 ( 93.8 إلى 1450.9 ) | 403.9 ( 67.5 إلى 872.6 ) | 1.62 (1.39 إلى 1.79) |
| انتشار | ١١٦٠٠٠٠ (٩٩٦٠٠٠ إلى ١٣٣٠٠٠٠) | 58.2% (
|
|
1.6% (0.3 إلى 2.6) |
|
10624.2 (
|
1.69 (1.65 إلى 1.73) |
| مرض العصبون الحركي | |||||||
| سنوات الحياة المعدلة بالإعاقة | 1040 (962 إلى 1120) | 105•8% ( 87.1 إلى 125.9 ) | ١٢.٢ (١١.٢ إلى ١٣.٢) | 8.5% ( -0.6 إلى 18.6 ) | 10.1 (
|
14.4 ( 13.0 إلى 15.7 ) | 0.70 (0.62 إلى 0.77) |
| عائدات السندات | 57.9 (40.7 إلى
|
68.4% (61.6 إلى 75.9) | 0.7 ( 0.5 إلى 1.0 ) | -1.4% ( -3.4 إلى 0.7 ) | 0.6 ( 0.4 إلى 0.9 ) | 0.8 ( 0.5 إلى 1.0 ) | 0.83 (0.81 إلى 0.86) |
| YLLs | 983 (903 إلى 1070) | 108.6% ( 88.7 إلى 130.2 ) | 11.5 (
|
9.2% ( -0.5 إلى 20.0 ) | 9.4 ( 8.7 إلى 10.5 ) | 13.7 (
|
0.69 (0.61 إلى 0.77) |
| انتشار | 273 (236 إلى 314) |
|
3.3 (2.9 إلى 3.8) | -1.3% (-3.3 إلى 0.9) | 3.0 ( 2.6 إلى 3.5 ) | 3.6 (
|
0.83 (0.81 إلى 0.85) |
| الوفيات |
|
156.2% (
|
0.5 ( 0.4 إلى 0.5 ) | 19.9% ( 10.9 إلى 30.1 ) | 0.4 ( 0.3 إلى 0.4 ) | 0.5 ( 0.5 إلى 0.6 ) | 0.69 (0.62 إلى 0.77) |
| التصلب المتعدد | |||||||
| سنوات الحياة المعدلة بالإعاقة | 973 (836 إلى 1130) | 69.5% (63.5 إلى
|
11.4 ( 9.7 إلى 13.2 ) | -11.0% (-14 إلى -8.0) |
|
8.1 ( 7.0 إلى 9.5 ) | 1.80 (1.72 إلى 1.87) |
| عائدات السندات | ٤٨٤ (٣٤٤ إلى ٦٣١) | 86.5% ( 78.9 إلى 94.5 ) | 5.7 (4.0 إلى
|
-0.4% (-
|
7.5 (5.3 إلى 9.7) | 3.9 (2.7 إلى 5.1) | 1.93 (1.86 إلى 2.00) |
| YLLs | 490 (465 إلى 513) | 55.7% (47.3 إلى 63.9) | 5.7 (
|
-19.5% (
|
7.1 (6.7 إلى 7.6) |
|
1.68 ( 1.54 إلى 1.80 ) |
| انتشار | 1890 (1690 إلى 2110) | 88.1% ( 80.8 إلى 95.5 ) | 22.2 (
|
-0.3% (-
|
|
14.7 ( 13.0 إلى 16.6 ) | 1.99 (1.94 إلى 2.05) |
| الوفيات | 16.3 (
|
79•1% (
|
0.2 ( 0.2 إلى 0.2 ) | -12.7% (
|
0.2 (0.2 إلى 0.2) | 0.1 (0.1 إلى 0.2) | 1.59 ( 1.46 إلى 1.70 ) |
| اعتلال الدماغ حديثي الولادة | |||||||
| سنوات الحياة المعدلة بالإعاقة | 58600 (50100 إلى 69000) | -27.5% (
|
932.1 (797.5 إلى 1101.7) | -26.5% (
|
795.2 (
|
|
0.75 (0.67 إلى 0.87) |
| عائدات السندات | 4280 (3100 إلى 5590) | 189•1% (
|
55.2 ( 39.9 إلى 72.1 ) | 107.0% (
|
|
64.7 (46.7 إلى 84.3) | 0.70 (0.68 إلى 0.72) |
| YLLs | 54300 (46000 إلى 64900) | -31•5% (-43.9 إلى -17.9) | 876.9 (
|
-29•2% (-42.0 إلى -15.3) | 749.9 (627.7 إلى 895.0) | 995.6 (
|
0.76 (0.67 إلى 0.88) |
| انتشار | 18600 (16100 إلى 21100) | 175•2% (94•9 إلى
|
238.1 (
|
91.2% (
|
188.4 (
|
286.6 (248.7 إلى 325.4) | 0.66 (0.65 إلى 0.67) |
| الوفيات | 604 (511 إلى 722) | -31.5% (-44.0 إلى -17.9) | 9.7 ( 8.3 إلى 11.7 ) | -29.2% (-42.0 إلى -15.3) | 8.3 (7.0 إلى 10.0) | 11.1 (
|
0.76 (0.67 إلى 0.88) |
| اليرقان الوليدي
|
|||||||
| عائدات السندات | 718 (517 إلى 917) | 80.0% (69.8 إلى 90.3) | 9.3 ( 6.7 إلى 11.9 ) | 31.5% (
|
|
|
1.03 (1.01 إلى 1.05) |
| انتشار | 1960 (1800 إلى 2160) | 102.7% (95.8 إلى 109.0) | 25.5 (
|
48.8% (43.8 إلى 53.5) | 25.6 (
|
25.4 (
|
1.01 ( 1.00 إلى 1.02 ) |
| العدادات (آلاف) | معدل موحد حسب العمر (لكل 100000 شخص) | ||||||
| 2021 | نسبة التغير، 1990-2021 | ٢٠٢١ | نسبة التغير، 1990-2021 | إناث | ذكور | نسبة الإناث إلى الذكور | |
| (متابعة من الصفحة السابقة) | |||||||
| تعفن الدم عند حديثي الولادة
|
|||||||
| عائدات السندات | ٢٤٩٠ (١٥٧٠ إلى ٣٥٩٠) | 136•5% (
|
|
70.4% (-4.5 إلى 203.1) |
|
37.3 (
|
0.72 (0.71 إلى 0.74) |
| انتشار | 7100 (5140 إلى 9260) | 153.8% (
|
|
83.3% (
|
75.2 (54.7 إلى 97.7) | ١٠٨.٣ ( ٧٨.٣ إلى ١٤١.٤ ) | 0.69 (0.69 إلى 0.70) |
| سرطان الجهاز العصبي | |||||||
| سنوات الحياة المعدلة بالإعاقة | 9200 (7890 إلى 10600) | 50.2% (
|
111.8 (
|
-8.9% ( -20.8 إلى 1.5 ) | 96.8 ( 86.4 إلى 107.3 ) |
|
0.77 (0.60 إلى 1.00) |
| عائدات السندات | 132 (93.8 إلى 174) | 111.8% ( 89.2 إلى 133.2 ) | 1.6 (
|
22.5% ( 9.0 إلى 34.4 ) | 1.5 ( 1.0 إلى 2.0 ) | 1.7 ( 1.2 إلى 2.3 ) | 0.86 (0.70 إلى 1.08) |
| YLLs | 9070 (7750 إلى 10500) | 49.6% (28.4 إلى 67.8) | 110.3 (
|
-9•2% (
|
95.3 (
|
125.8 (96.3 إلى
|
0.77 (0.60 إلى 1.00) |
| انتشار | ١٠٣٠ (٩٠٧ إلى ١١٤٠) | 117.1% (
|
12.8 (
|
37.7% (
|
12.5 (
|
13.2 ( 10.4 إلى 15.9 ) | 0.95 (0.78 إلى 1.21) |
| الوفيات | 264 (226 إلى 302) | 90.3% (67.8 إلى 110.7) |
|
1.3% ( -9.8 إلى 11.9 ) | 2.7 (2.4 إلى
|
3.6 ( 2.8 إلى 4.4 ) | 0.75 (0.59 إلى 0.96) |
| عيوب الأنبوب العصبي | |||||||
| سنوات الحياة المعدلة بالإعاقة | 5300 (4310 إلى 6510) | -47.3% (
|
83.2 ( 67.8 إلى 102.5 ) | -47.7% (-59.5 إلى -25.1) | 88.2 (64.3 إلى
|
78.5 (
|
|
| عائدات السندات | ٣٣٣ (٢٢٩ إلى ٤٥٦) | 11.8% (
|
٤.٥ (
|
-11.0% (
|
٤.٦ (
|
4.4 (
|
1.03 (1.00 إلى 1.06) |
| YLLs | 4970 (3980 إلى 6430) | -49•1% (
|
78.7 (62.8 إلى 98.6) | -49.0% (-61.1 إلى -26.2) | ٨٣.٧ (٦٠.٧ إلى ١١٤.٣) | 74.1 ( 56.9 إلى 100.2 ) | 1.15 (0.71 إلى 1.65) |
| انتشار | 1130 (965 إلى 1310) | 11.2% ( 4.4 إلى 17.7 ) | 15.2 ( 13.0 إلى 17.6 ) | -12•2% (
|
15.4 (
|
15.0 (
|
1.03 (1.00 إلى 1.06) |
| الوفيات | 56.4 (45.3 إلى
|
-48.6% (-60.9 إلى -25.7) | 0.9 (0.7 إلى 1.1) | -48.8% (-61.0 إلى -26.0) | 0.9 (0.7 إلى 1.3) | 0.8 ( 0.6 إلى 1.1 ) | 1.15 (0.71 إلى 1.66) |
| النيوروسيستيسركوز | |||||||
| سنوات الحياة المعدلة بالإعاقة | 1240 (788 إلى 1810) | 14•2%
|
14.6 (
|
-38.4% (-46.7 إلى -28.5) | 15.6 ( 9.9 إلى 22.5 ) | 13.6 ( 8.8 إلى 20.0 ) | 1.15 (1.06 إلى 1.22) |
| عائدات السندات | 1150 (714 إلى 1730) | 18.5% ( 0.6 إلى 41.3 ) | 13.6 ( 8.4 إلى 20.2 ) | -37.3% (-46.2 إلى -27.0) | 14.6 (
|
|
1.17 ( 1.09 إلى 1.24 ) |
| YLLs | 81.3 (54.1 إلى 119) | -22.0% (
|
1.0 (0.7 إلى 1.5) | -48.4% (
|
1.0 ( 0.5 إلى 1.5 ) | 1.1 (0.6 إلى 1.7) | 0.94 (0.44 إلى 1.61) |
| انتشار | 4360 (3150 إلى 5720) | 43.7% ( 31.2 إلى 59.2 ) |
|
-25•1% (
|
55.5 ( 40.3 إلى 71.9 ) | ٤٦.٩ ( ٣٣.٧ إلى ٦٣.١ ) | 1.19 ( 1.11 إلى 1.25 ) |
| الوفيات | 1.60 ( 1.10 إلى 2.30 ) | -16.7% (-43.8 إلى 17.7) | 0.0 ( 0.0 إلى 0.0 ) | -50.0% (
|
0.0 ( 0.0 إلى 0.0 ) | 0.0 ( 0.0 إلى 0.0 ) | 0.93 (0.48 إلى 1.53) |
| الزهري العصبي | |||||||
| عائدات السندات | 64.9 (42.2 إلى 93.4) | 17.3% ( 4.8 إلى 31.0 ) | 0.8 ( 0.5 إلى 1.2 ) | -18.5% (-27.0 إلى –
|
0.8 ( 0.5 إلى 1.1 ) | 0.9 ( 0.6 إلى 1.3 ) | 0.89 (0.83 إلى 0.94) |
| انتشار | 696 (563 إلى 857) | 38.5% (25.0 إلى 53.3) | 8.8 (7.1 إلى 10.8) | -6.1% (
|
8.6 ( 6.9 إلى 10.6 ) | 9.0 ( 7.3 إلى 11.0 ) | 0.95 (0.93 إلى 0.97) |
| تشوهات صبغية أخرى
|
|||||||
| عائدات السندات | 295 (196 إلى 417) | 7.3% ( 2.3 إلى 12.4 ) |
|
-12.8% (-16.8 إلى -8.7) |
|
|
0.71 (0.59 إلى 0.86) |
| انتشار | 3280 (2880 إلى 3760) | 6.2% (0.9 إلى 11.2) |
|
-13.0% (
|
37.0 (
|
52.8 (
|
0.71 (0.59 إلى 0.85) |
| اضطرابات عصبية أخرى | |||||||
| سنوات الحياة المعدلة بالإعاقة | 4360 (3630 إلى 5270) | 131•0% ( 107.3 إلى 155.5 ) |
|
50.7% ( 35.4 إلى 65.5 ) | 51.8 (42.7 إلى 63.2) | 57.8 (48.0 إلى 69.4) | 0.90 (0.84 إلى 0.96) |
| عائدات السندات | 2010 (1330 إلى 2870) | 153.8% (110.9 إلى 197.8) | 25.5 ( 16.8 إلى 36.6 ) | 70.6% (43.8 إلى 98.8) | 25.3 (16.6 إلى 36.2) | 25.6 ( 16.8 إلى 36.9 ) | 0.99 (0.96 إلى 1.02) |
| YLLs | 2330 (2080 إلى 2510) | 116.0% (83.3 إلى
|
٢٩.٠ (
|
37.6% ( 18.3 إلى 52.7 ) |
|
٣٢.٠ ( ٢٩.٠ إلى ٣٤.٨ ) | 0.82 (0.74 إلى 0.93) |
مقالات
| العدادات (آلاف) | معدل موحد حسب العمر (لكل 100000 شخص) | ||||||
| ٢٠٢١ | نسبة التغير، 1990-2021 | ٢٠٢١ | نسبة التغير، 1990-2021 | إناث | ذكور | نسبة الإناث إلى الذكور | |
| (متابعة من الصفحة السابقة) | |||||||
| الوفيات | 71.5 (65.0 إلى 76.4) | 189.8% (
|
0.9 ( 0.8 إلى 0.9 ) | 50•1% (
|
0.8 (0.7 إلى 0.8) | 1.0 ( 0.9 إلى 1.1 ) | 0.78 (0.71 إلى 0.85) |
| مرض باركنسون | |||||||
| سنوات الحياة المعدلة بالإعاقة | 7470 (6730 إلى 8140) | 161•8% (
|
|
10.0% ( 3.7 إلى 16.1 ) | 68.6 (60.7 إلى 75.8) | 117.5 (
|
0.58 (0.53 إلى 0.64) |
| عائدات السندات | 1670 (1170 إلى 2210) | 271.2% (
|
19.6 ( 13.9 إلى 25.9 ) | 60.6% (54.3 إلى 65.9) | 16.1 (
|
٢٣.٩ ( ١٧.٠ إلى ٣١.٥ ) | 0.67 (0.65 إلى 0.69) |
| YLLs | 5800 (5250 إلى 6260) | 141•4% (
|
70.0 (63.0 إلى 75.2) | 1.0% (-5.9 إلى 7.5) |
|
93.5 (
|
0.56 (0.50 إلى 0.63) |
| انتشار | 11800 (10400 إلى 13400) | 273.9% (
|
138.6 (
|
60.7% (
|
114.5 (
|
168.2 ( 148.4 إلى 191.7 ) | 0.68 (0.67 إلى 0.69) |
| الوفيات | ٣٨٨ (٣٤٥ إلى ٤١٩) | 162.2% (
|
4.8 (4.3 إلى
|
4.1% (-2.7 إلى
|
3.6 ( 3.0 إلى 4.0 ) | 6.6 (5.9 إلى
|
0.55 (0.49 إلى 0.61) |
| الولادة المبكرة
|
|||||||
| عائدات السندات | 13800 (9950 إلى 17900) | 74.0% (61.9 إلى 85.0) | 180.7 (
|
29•2% (
|
169.3 (
|
191.4 (
|
0.89 (0.87 إلى 0.90) |
| انتشار | 97500 (83000 إلى 112000) | 64•1% (53.7 إلى 74.3) | 1256.8 (1073.2 إلى 1445.9) | 16.1% ( 8.7 إلى 23.7 ) | 1146.3 (
|
١٣٦٣.٩ (١١٦٢.٤ إلى ١٥٧٢.٤) | 0.84 (0.83 إلى 0.85) |
| داء الكلب | |||||||
| سنوات الحياة المعدلة بالإعاقة | ٥٧١ (٣٢٥ إلى ٨٢٦) | -59.0% (-71.8 إلى -44.1) |
|
-69.9% (-79.3 إلى -58.8) |
|
|
0.62 (0.26 إلى 0.93) |
| عائدات السندات | 0.100 ( 0.00 إلى 0.100 ) | -54.3% (-66.5 إلى -40.4) | 0.0 ( 0.0 إلى 0.0 ) | -69.8% (-77.6 إلى -61.0) | 0.0 ( 0.0 إلى 0.0 ) | 0.0 (0.0 إلى 0.0) | 0.63 (0.28 إلى 0.91) |
| YLLs | 572 (324 إلى 832) | -59.0% (-71.9 إلى -44.0) | 7.5 ( 4.2 إلى 11.0 ) | -69.9% (-79.2 إلى -58.8) | 5.6 ( 3.0 إلى 9.9 ) | 9.4 ( 5.0 إلى 13.6 ) | 0.62 (0.26 إلى 0.93) |
| انتشار | 0.400 (0.200 إلى 0.500) | -54.3% (-66.5 إلى -40.4) | 0.0 ( 0.0 إلى 0.0 ) | -69.8% (-77.6 إلى -61.0) | 0.0 (0.0 إلى 0.0) | 0.0 (0.0 إلى 0.0) | 0.63 (0.28 إلى 0.91) |
| الوفيات | 10.1 (6.00 إلى 14.4) | -54.2% (-66.3 إلى -39.9) | 0.1 (0.1 إلى 0.2) | -69.7% (-77.4 إلى -60.7) | 0.1 (0.1 إلى 0.2) | 0.2 (0.1 إلى 0.2) | 0.62 (0.28 إلى 0.91) |
| إصابة الحبل الشوكي | |||||||
| عائدات السندات | 4570 (3200 إلى 6020) | 28.9% (24.0 إلى 33.9) |
|
-24•2% (-26.9 إلى -20.9) | ٣٧.٩ (٢٦.٧ إلى ٤٩.٧) | 71.6 (50.5 إلى 93.6) | 0.53 (0.50 إلى 0.57) |
| انتشار | 15400 (14000 إلى 17100) | 42.0% ( 37.7 إلى 46.5 ) | 183.9 (167.3 إلى 204.2) | -17.8% (-20.4 إلى -14.9) |
|
236.6 (215.0 إلى
|
0.56 (0.52 إلى 0.59) |
| جلطة | |||||||
| سنوات الحياة المعدلة بالإعاقة | 160000 (148000 إلى 172000) | 32•2% (
|
1886.0 (
|
-38.7% (-43.4 إلى -34.0) | 1578.2 (
|
|
0.71 (0.64 إلى 0.78) |
| عائدات السندات | 15200 (11000 إلى 19400) | 89.9% ( 85.9 إلى 94.0 ) | 178.7 (
|
-7.4% ( -9.0 إلى -5.9 ) |
|
183.4 (
|
0.96 (0.94 إلى 0.98) |
| YLLs | 145000 (134000 إلى 157000) | 28.2% (16.9 إلى 38.9) | 1707.4 (1572.6 إلى 1838.0) | -40.8% (
|
1402.6 (
|
2048.9 (1866.9 إلى 2253.8) | 0.69 (0.61 إلى 0.77) |
| انتشار | 93800 (89000 إلى 99300) | 86.1% (83.0 إلى 89.4) | 1099.3 (
|
-8.5% (-9.7 إلى -7.3) | ١٠٢٧.٧ (
|
1184.4 (
|
0.87 (0.85 إلى 0.88) |
| الوفيات | 7250 (6610 إلى 7820) | 44.1% ( 32.6 إلى 56.2 ) | 87.4 ( 78.6 إلى 94.2 ) | -39.4% (
|
|
١٠٣.١ (
|
0.72 (0.64 إلى 0.81) |
| صداع التوتر | |||||||
| عائدات السندات | 4600 (1350 إلى 15000) | 63.4% ( 49.6 إلى 69.5 ) | 55.7 (
|
-3•1% ( -4.8 إلى 0.9 ) | 62.0 ( 18.8 إلى 189.0 ) |
|
1.34 (0.94 إلى 1.43) |
| انتشار | 2010000 (1780000 إلى 2270000) | 56.4% ( 52.7 إلى 60.2 ) | 24764.8 (
|
-0.6% ( -1.3 إلى 0.2 ) |
|
23880.8 (
|
1.07 (1.06 إلى 1.09) |
| الكزاز | |||||||
| سنوات الحياة المعدلة بالإعاقة | 1340 (633 إلى 2130) | -91.7% (-94.4 إلى -86.8) | 19.6 ( 9.1 إلى 31.9 ) | -92.6% (-94.9 إلى –
|
18.4 ( 8.6 إلى 31.6 ) | 20.8 ( 8.3 إلى 36.8 ) | 0.95 (0.49 إلى 1.69) |
| عائدات السندات | 3.00 (2.20 إلى 4.00) | -56.1% (
|
0.0 (0.0 إلى 0.1) | -67.7% (-72.1 إلى -61.9) | 0.0 (0.0 إلى 0.1) | 0.0 (0.0 إلى 0.1) | 0.91 (0.83 إلى 0.98) |
| (الجدول 2 يستمر في الصفحة التالية) | |||||||
|
|||||||||
| 2021 | نسبة التغير، 1990-2021 | 2021 | نسبة التغير، 1990-2021 | إناث | ذكور | نسبة الإناث إلى الذكور | |||
| (متابعة من الصفحة السابقة) | |||||||||
| YLLs | 1340 (644 إلى 2180) | -91•8% (
|
19.6 ( 9.1 إلى 32.2 ) | -92.6% (-95.0 إلى -88.1) | 18.4 ( 8.5 إلى 31.6 ) |
|
0.95 (0.49 إلى 1.69) | ||
| انتشار | 37.7 ( 28.5 إلى 49.2 ) | -62.2% (
|
0.5 ( 0.4 إلى 0.6 ) | -72.8% (-75.5 إلى -70.1) | 0.4 ( 0.3 إلى 0.6 ) | 0.5 ( 0.4 إلى 0.7 ) | 0.83 (0.79 إلى 0.87) | ||
| الوفيات |
|
-89.7% (-92.8 إلى -83.8) | 0.3 ( 0.1 إلى 0.5 ) | -91.8% (
|
0.3 ( 0.1 إلى 0.4 ) | 0.3 ( 0.1 إلى 0.6 ) | 0.85 (0.44 إلى 1.52) | ||
| إصابة الدماغ الرضحية | |||||||||
| عائدات السندات | 5490 (3880 إلى 7340) | 52.2% (49.5 إلى 55.2) | 64.8 (45.8 إلى 86.8) | -16.4% (-17.7 إلى -15.0) |
|
|
0.45 (0.43 إلى 0.46) | ||
| انتشار | ٣٨٠٠٠ (٣٦٤٠٠ إلى ٣٩٨٠٠) | 52.7% (50.4 إلى 55.4) | 448.6 (429.9 إلى 470.3) | -16.9% (
|
283.7 (270.2 إلى 299.2) | 617.4 (592.2 إلى 646.0) | 0.46 (0.45 إلى 0.47) | ||
| البيانات تعني (
|
|||||||||
| الجدول 2: سنوات العيش المعدلة بالعجز (DALYs)، سنوات العيش مع الإعاقة (YLDs)، سنوات الحياة المفقودة (YLLs)، الانتشار، والوفيات لكل 100000 شخص ومعدلات موحدة حسب العمر حسب فئة الاضطرابات العصبية، 1990-2021 | |||||||||
أنماط زمنية وجنسية
في عام 2021، كانت معدلات سنوات الحياة المعدلة حسب العمر (DALYs) لفئة الأمراض العصبية الكلية أقل لدى الإناث (5185.8 [
فئات العمر، باستثناء الأعمار
مساهمة عوامل الخطر في عبء الحالات العصبية
| – عالمي | أوروبا الوسطى، أوروبا الشرقية، وآسيا الوسطى | ![]() |
أمريكا اللاتينية ومنطقة الكاريبي | شمال أفريقيا والشرق الأوسط | جنوب آسيا | شرق آسيا | eગ.গে
|
|||||||||||||||
| سنترال | – وسط أوروبا | – | – أستراليا | – أمريكا الشمالية ذات الدخل المرتفع | – | – أمريكا اللاتينية الأنديزية | لاتيني مركزي استوائي
|
– جنوب آسيا | – شرق آسيا جنوب شرق آسيا، | – أوقيانوسيا – جنوب شرق آسيا | – وسط أفريقيا جنوب الصحراء | شرق أفريقيا جنوب الصحراء | ![]() |
|||||||||
| جلطة | 1 | 1 | 1 | ٢ | 1 | 1 | 1 | ٢ | 1 | 1 | 1 | 1 | 1 | – | ||||||||
| التهاب الدماغ حديثي الولادة | 2 | ٣ | 10 | ٨ | 10 | ٨ | 9 | ٦ | 9 | ٣ | 2 | ٥ | ٥ | ٥ | 2 | ٤ | ٤ | ٣ | 2 | 2 | 2 | 2 |
| صداع نصفي | ٣ | 2 | 2 | 2 | 1 | ٣ | 2 | 2 | 1 | ٢ | ٤ | ٣ | 2 | 2 | ٣ | ٣ | ٣ | 2 | ٥ | ٦ | ٣ | ٤ |
| الخرف | ٤ | ٤ | ٣ | ٣ | ٣ | 2 | ٣ | ٣ | ٣ | ٥ | ٥ | ٤ | ٣ | ٤ | ٥ | ٢ | ٥ | ٤ | ٣ | ٤ | ٥ | ٥ |
| اعتلال الأعصاب السكري | ٥ | ٥ | ٤ | ٤ | ٥ | ٤ | ٤ | ٤ | ٤ | ٤ | ٣ | 2 | ٤ | ٣ | ٦ | ٥ | 2 | ٥ | ٦ | ٧ | ٤ | ٦ |
| التهاب السحايا | ٦ | 16 | 21 | 18 | 20 | 20 | ٢٢ | 16 | 21 | 19 | ٧ | 17 | 16 | 15 | ٨ | 16 | 9 | ٦ | ٤ | ٣ | ٦ | ٣ |
| الصرع | ٧ | ٦ | ٧ | 11 | ٨ | ٦ | ٨ | ٧ | ٧ | ٦ | ٦ | ٦ | ٦ | ٦ | ٧ | 9 | ٦ | 9 | ٧ | ٥ | ٧ | ٧ |
| الولادة المبكرة* | ٨ | 9 | 9 | 14 | ٧ | ٧ | ٦ | ٨ | ٨ | 9 | ٨ | ٨ | ٨ | ٨ | ٤ | 11 | ٧ | ٨ | 10 | 10 | 9 | 10 |
| اضطراب طيف التوحد | 9 | ٨ | ٦ | ٥ | ٤ | ٥ | ٥ | ٥ | ٥ | ٨ | 9 | ٧ | 9 | 9 | 11 | ٧ | 10 | ٧ | 9 | 9 | ٨ | 9 |
| سرطان الجهاز العصبي | 10 | ٧ | ٥ | ٦ | ٦ | 11 | ٧ | 9 | ٦ | ٧ | 10 | 9 | ٧ | ٧ | ١٣ | ٦ | 18 | 11 | 19 | ١٣ | 12 | 21 |
| مرض باركنسون | 11 | 10 | 11 | ١٣ | 12 | ١٣ | 10 | 11 | 11 | 10 | 11 | 12 | 11 | 10 | 12 | ٨ | 11 | 10 | 11 | 12 | 11 | 12 |
| عيوب الأنبوب العصبي | 12 | 19 | ٢٤ | ٢٢ | 19 | 19 | 19 | 15 | ٢٢ | ١٨ | 12 | 18 | 15 | ١٣ | 15 | 18 | ٨ | ١٣ | ٨ | ٨ | ١٨ | ٨ |
| التهاب الدماغ | ١٣ | 12 | ١٨ | 17 | ٢٢ | ١٨ | ٢٤ | 19 | 23 | ١٣ | 19 | 16 | ٢٢ | 20 | 9 | 15 | 16 | 12 | ٢٢ | 15 | 20 | ١٣ |
| إصابة الدماغ الرضحية | 14 | 11 | ٨ | ٧ | ١٣ | 14 | 14 | 14 | 14 | 11 | 14 | 10 | 10 | 11 | 14 | 10 | 12 | 14 | 15 | 19 | 15 | 17 |
| صداع التوتر | 15 | 13 | ١٣ | 10 | 14 | 12 | ١٣ | ١٣ | ١٣ | 15 | 16 | 15 | 14 | 14 | 16 | 12 | ١٣ | 15 | 14 | 16 | 16 | 14 |
| اضطرابات عصبية أخرى | 16 | 15 | 15 | 9 | 11 | 9 | 11 | 12 | 12 | 12 | 13 | 11 | 12 | 17 | 21 | 14 | 15 | 18 | ١٨ | 20 | 10 | 11 |
| إصابة الحبل الشوكي | 17 | 14 | 12 | 12 | 9 | 10 | 12 | 10 | 10 | 16 | 15 | ١٣ | ١٣ | 12 | 18 | ١٣ | 14 | 16 | 16 | 18 | 19 | 19 |
| الإعاقة الذهنية مجهولة السبب | 18 | 20 | ٢٢ | 21 | 21 | 27 | 20 | 21 | 18 | 23 | 21 | ٢٤ | ٢٣ | 16 | 10 | 20 | 19 | 19 | 23 | 23 | 21 | ٢٥ |
| تعفن الدم عند حديثي الولادة* | 19 | 17 | 14 | 15 | 18 | 17 | 23 | 17 | 17 | 21 | 20 | 20 | 19 | ١٨ | 20 | 19 | 17 | 17 | 21 | 17 | ١٣ | 20 |
| كوفيد-19* | 20 | 18 | 16 | 16 | 27 | ٢٦ | ١٨ | ٢٢ | 20 | 17 | ٢٢ | 19 | 17 | 19 | 17 | ٣٤ | 21 | 21 | ١٣ | 14 | 17 | 16 |
| الكزاز | 21 | ٣٤ | ٣٢ | ٣٥ | 32 | 30 | ٣٤ | 32 | 31 | ٢٩ | 26 | 30 | ٢٩ | 26 | ٢٢ | ٢٩ | 27 | 20 | 20 | 11 | ٢٦ | ١٨ |
| عيوب خلقية* | ٢٢ | ٢٤ | ٢٥ | 26 | ٢٥ | ٢٤ | 26 | 27 | ٢٥ | ٢٦ | 27 | 26 | 26 | ٢٢ | 19 | 23 | ٢٤ | ٢٢ | ٢٤ | ٢٤ | 23 | 23 |
| النيوروسيستيسيركوسيس | 23 | 25 | 20 | 23 | ٣٥ | ٢٥ | 21 | 20 | ٢٧ | 14 | 18 | 14 | 18 | 32 | 23 | 21 | 20 | ٢٥ | 12 | 21 | 14 | ٢٢ |
| اضطراب فرط الحركة وتشتت الانتباه | ٢٤ | ٢٢ | 23 | ٢٤ | 16 | 16 | 17 | 23 | 19 | 20 | 17 | 21 | 20 | 23 | 26 | 17 | ٢٢ | 23 | 26 | 27 | ٢٤ | ٢٨ |
| مرض العصبون الحركي | ٢٥ | 27 | 19 | 19 | 15 | 15 | 16 | 18 | 16 | ٢٤ | ٢٤ | 23 | 21 | ٢٥ | ٢٩ | ٢٢ | ٣٣ | 31 | ٣٤ | ٣٤ | ٣٢ | ٣٤ |
| التصلب المتعدد | 26 | 23 | 17 | 20 | 17 | 23 | 15 | ٢٤ | 15 | 25 | ٢٥ | ٢٥ | ٢٥ | 21 | ٢٨ | ٢٨ | 31 | ٢٩ | ٢٩ | 30 | 25 | 27 |
| اليرقان الوليدي* | 27 | 21 | 26 | ٢٥ | 26 | ٢٩ | ٢٨ | ٢٥ | ٢٨ | ٢٢ | 23 | ٢٢ | ٢٤ | ٢٤ | ٢٥ | ٢٤ | 23 | ٢٤ | 25 | ٢٦ | ٢٢ | 26 |
| داء الكلب | ٢٨ | 30 | ٣٥ | ٣٣ | 31 | ٣٥ | 31 | 35 | ٣٥ | 37 | ٣٤ | ٣٧ | 37 | ٣٤ | ٢٤ | 27 | 30 | 26 | 31 | ٢٢ | 30 | ٢٤ |
| الملاريا الدماغية | ٢٩ | ٣٦ | ٣٦ | ٣٦ | ٣٦ | ٣٦ | 37 | 37 | ٣٦ | ٣٣ | 32 | ٣٣ | 30 | ٢٩ | ٣٣ | ٣٦ | ٢٥ | ٣٣ | 17 | ٢٥ | ٢٨ | 15 |
| تشوهات صبغية أخرى* | 30 | 26 | 27 | 27 | 23 | 21 | ٢٥ | ٢٦ | ٢٤ | 27 | ٢٨ | 27 | 27 | 27 | 27 | 25 | 26 | 27 | ٢٨ | ٢٩ | 27 | ٢٩ |
| متلازمة داون* | 31 | ٢٨ | ٢٨ | ٢٨ | ٢٤ | ٢٢ | 27 | ٢٨ | 26 | ٢٨ | ٢٩ | ٢٨ | ٢٨ | ٢٨ | 31 | ٢٦ | ٢٩ | ٢٨ | 30 | 31 | 31 | 31 |
| الزهري العصبي | 32 | 32 | ٣٣ | 31 | 30 | 31 | ٣٢ | ٣٣ | ٣٢ | 31 | 30 | 31 | 31 | ٣٣ | 30 | ٣٢ | ٢٨ | 30 | 27 | ٢٨ | ٢٩ | 30 |
| متلازمة غيلان باريه | ٣٣ | ٢٩ | ٢٩ | ٢٩ | ٢٨ | ٢٨ | ٢٩ | ٢٩ | ٢٩ | 30 | 31 | ٢٩ | 32 | 30 | ٣٢ | 31 | 32 | ٣٢ | ٣٣ | ٣٣ | ٣٣ | 32 |
| متلازمة الكحول الجنينية | ٣٤ | ٣٣ | 31 | 30 | ٢٩ | 32 | 30 | 31 | 30 | ٣٢ | ٣٣ | 32 | ٣٣ | 31 | ٣٤ | 30 | ٣٤ | ٣٤ | 32 | 32 | ٣٤ | ٣٣ |
| داء الكيسات المائية* | ٣٥ | 31 | 30 | 32 | ٣٤ | ٣٤ | ٣٥ | 30 | ٣٤ | ٣٦ | 37 | ٣٥ | ٣٦ | ٣٥ | ٣٥ | ٣٣ | ٣٦ | ٣٦ | ٣٥ | ٣٥ | ٣٦ | ٣٦ |
| متلازمة كلاينفلتر* | ٣٦ | ٣٥ | ٣٤ | ٣٤ | ٣٣ | ٣٣ | ٣٣ | ٣٤ | ٣٣ | ٣٥ | ٣٥ | ٣٤ | 35 | ٣٦ | ٣٦ | ٣٥ | ٣٥ | ٣٥ | ٣٦ | ٣٦ | ٣٥ | ٣٥ |
| متلازمة زيكا الخلقية* | 37 | 37 | 37 | 37 | ٣٧ | 37 | ٣٦ | ٣٦ | 37 | ٣٤ | ٣٦ | ٣٦ | ٣٤ | 37 | 37 | 37 | ٣٧ | 37 | 37 | 37 | 37 | 37 |
نقاش
تستند هذه الدراسة إلى الجهود السابقة
لـ GBD
| أقل من 5 سنوات | رتبة | من عمر 5 إلى 19 سنة | رتبة | تتراوح أعمارهم بين 20 و59 عامًا | رتبة | من عمر 60 إلى 79 سنة | رتبة | مسن
|
رتبة | |
| جميع الحالات العصبية | 11806.6 (
|
غير متوفر |
|
غير متوفر |
|
غير متوفر |
|
غير متوفر | ٣٨٣٢٩.٣ (٣١٦٨٧.١-٥٠٥١٩.٤) | غير متوفر |
| مرض الزهايمر وأنواع الخرف الأخرى | 0.0 (
|
غير متوفر | 0.0 (
|
غير متوفر |
|
١٣ |
|
2 | 13047.1 (5903.4-27898.8) | ٢ |
| اضطراب فرط الحركة وتشتت الانتباه | 2.4 (1.2-4.2) | ٢٤ | 28.3 (14•5-48) | 14 | 10.7 (5•8-17•1) | 23 | 1.0 (
|
٢٩ | 0.0 (0.0-0.0) | ٣٣ |
| اضطراب طيف التوحد | 169.1 (
|
٧ | 161.4 (109•2-227.2) | ٤ | 146.2 (99.4-206.3) | ٦ | 112.9 (77.4-157.1) | 9 | ٥٩.٥ (
|
14 |
| الملاريا الدماغية | 2.8 (
|
23 | 8.8 (6.4-11.2) | ٢٢ | 5.0 (
|
27 | 0.8 (0.6-1.0) | 30 | 0.0 (
|
٣٢ |
| عيوب خلقية* | 27.2 (
|
14 |
|
15 |
|
19 | 13.1 (5.8-25.5) | 23 | 10.0 (4•3-19•5) | 20 |
| متلازمة زيكا الخلقية* | 0.0 (
|
30 | 0.0 (0.0-0.0) | غير متوفر | 0.0 (0.0-0.0) | غير متوفر | 0.0 (0.0-0.0) | غير متوفر | 0.0 (0.0-0.0) | غير متوفر |
| كوفيد-19* | 8.6 (0.5-35.7) | 18 | 15.4 (1.0-65.3) | 18 |
|
16 | 32.6 (0.9-97.5) | ١٨ | 30.0 (0.9-79.2) | 17 |
| داء الكيسات المائية* | 0.0 (0.0-0.0) | 31 | 0.0 (0.0-0.1) | ٣٤ | 0.1 (0.0-0.1) | ٣٥ | 0.1 (0.1-0.1) | ٣٥ | 0.0 (0.0-0.1) | 31 |
| اعتلال الأعصاب السكري | 0.0 (
|
٣٢ | 1.5 (0.8-2.4) | 27 |
|
٣ | ١٣٩٧.٣ (٩١١•٨-١٩٣٠•٨) | ٣ |
|
٤ |
| متلازمة داون* | 3.2 (
|
٢٢ | 3.0 (
|
٢٥ |
|
31 | 0.1 (0.1-0.2) | ٣٤ | 0.0 (
|
غير متوفر |
| التهاب الدماغ |
|
٤ | ٤٩.٦ (٤١.٣-٥٩.١) | 11 | ٣٤.٩ (
|
17 | 63.8 (56-73.9) | 14 | 89.6 (74.4-107.0) | 10 |
| الصرع |
|
٦ | 185.1 (137.0-261.7) | ٣ | ١٧٤.٠ (
|
٤ | 176.9 (125•9-247.7) | ٧ | ٢٦٨.٥ (١٨٦.٤-٣٧٩.٧) | ٥ |
| متلازمة الكحول الجنينية | 0.4 (0.2-0.7) | 27 | 0.4 (0.2-0.6) | 32 | 0.3 (0.2-0.4) | ٣٤ | 0.1 (0.1-0.2) | ٣٣ | 0.1 (0.1-0.2) | 30 |
| متلازمة غيلان باريه | 0.4 (0.2-0.7) | ٢٨ | 0.5 (0.2-0.8) | 31 | 0.6 (0.3-0.9) | ٣٣ | 1.2 (0.7-2.0) | ٢٨ | 1.4 (0.8-2.2) | ٢٥ |
| الإعاقة الذهنية مجهولة السبب | 68.3 (
|
11 | 70.4 (
|
٧ | ٤٣.١ (
|
14 | 17.1 (7•2-30•4) | 21 | 9.8 (4.9-16.7) | 21 |
| متلازمة كلاينفلتر* | 0.1 (0.1-0.2) | ٢٩ | 0.0 (0.0-0.1) | ٣٣ | 0.0 (0.0-0.0) | ٣٦ | 0.0 (0.0-0.0) | ٣٦ | 0.0 (0.0-0.0) | ٣٤ |
| التهاب السحايا | 1234.9 (
|
2 |
|
٥ | 72.4 (65.0-83.4) | 11 | 69.8 (
|
١٣ | ٨٤.١ (٧٥•١-٩٢•٤) | 11 |
| صداع نصفي | 0.0 (
|
غير متوفر | ٣٨٠.٠ (
|
1 | 750.8 (117.3-1617.8) | 2 |
|
٤ | 238.3 (65.8-499.5) | ٦ |
| مرض العصبون الحركي | 6.2 (4.9-7.7) | 19 | 1.3 (
|
٢٨ | 8.7 (8.0-9.6) | ٢٤ | 57.3 (
|
15 | ٤٨.٢ (
|
16 |
| التصلب المتعدد | 0.0 (0.0-0.0) | غير متوفر | 0.5 (0.4-0.7) | 30 |
|
٢٢ | 31.8 (28.1-35.8) | 19 | ٢٤.٤ (
|
١٨ |
| التهاب الدماغ حديثي الولادة | 8316.7 (7072.6-9991.8) | 1 | 64.9 (46.3-85.6) | ٨ | 55.4 (40.1-72.0) | 12 | 25.8 (18.8-33.0) | 20 | 2.1 (1•3-3.0) | 23 |
| اليرقان الوليدي* | 13.2 (
|
15 | 11.6 (
|
21 | 8.7 (6.3-11.2) | ٢٥ | 3.9 (2.8-5.0) | 26 | 0.4 (0.3-0.6) | ٢٨ |
| تعفن الدم عند حديثي الولادة* |
|
١٣ |
|
12 |
|
18 | 13.5 (8.3-19.3) | ٢٢ | 0.6 (0.3-0.9) | 27 |
| سرطان الجهاز العصبي | 94.9 (
|
10 | 60.2 (50.3-71.7) | 10 | 106.6 (91.2-125.6) | ٧ | 280.0 (245•7-316•1) | ٦ | 208.8 (174•3-232•0) | ٨ |
| عيوب الأنبوب العصبي | 722.6 (580.8-899.4) | ٣ | 17.0 (
|
17 | ٤.٥ (
|
٢٩ | 1.6 (1.2-2.1) | 27 |
|
٢٦ |
| النيوروسيستيسركوز | 0.8 (0.1-1.9) | ٢٥ | 1.6 (0.8-2.5) | 26 | 16.1 (
|
21 | ٤٥.٧ (
|
17 | 65.4 (
|
١٣ |
| الزهري العصبي | 0.7 (0.4-1.0) | ٢٦ | 1.1 (0.7-1.6) | ٢٩ | 0.8 (0.5-1.1) | ٣٢ | 0.6 (0.4-0.8) | 31 | 0.4 (0.3-0.6) | ٢٩ |
| تشوهات الكروموسومات* |
|
17 | 5.8 (3•9-8•2) | ٢٤ | 2.3 (
|
30 | 0.4 (
|
32 | (الجدول 3 يستمر في الصفحة التالية) | |
مقالات
| أقل من 5 سنوات | رتبة | من عمر 5 إلى 19 سنة | رتبة | تتراوح أعمارهم بين 20 و59 عامًا | رتبة | من عمر 60 إلى 79 سنة | رتبة | مسن
|
رتبة | |
| (مستمر من الصفحة السابقة) | ||||||||||
| اضطرابات عصبية أخرى |
|
12 | 60.2 (
|
9 | 41.8 (
|
15 |
|
11 | 157.8 (
|
9 |
| مرض باركنسون | 0.0 (0.0-0.0) | غير متوفر | 0.0 (0.0-0.0) | غير متوفر | 16.2 (
|
20 |
|
٥ | 1773.2 (1550.8-1925.0) | ٣ |
| الولادة المبكرة* | 264.9 (190•4-344•9) | ٥ |
|
2 | 165.7 (
|
٥ | ٥٦.٠ (
|
16 | 14.1 (9•6-20.9) | 19 |
| داء الكلب | 12.8 (
|
16 | 12.3 (6.6-17.9) | 19 | 4.9 (3.1-6.8) | ٢٨ | 3.9 (
|
٢٥ | 1.6 (
|
٢٤ |
| إصابة الحبل الشوكي | 3.2 (
|
21 | 17.6 (11.9-23.5) | 16 | 74.7 (52.3-99.2) | 10 | ١٠٣.٢ (
|
10 | 83.0 (57.6-113.0) | 12 |
| سكتة دماغية | 147.5 (109.0-196.8) | ٨ | 72.9 (65.0-80.2) | ٦ |
|
1 | 8490.9 (
|
1 | ٢٠٣٣٦.١ (١٧٧٦٢•٦-٢٢ ١٣٧•٤) | 1 |
| صداع التوتر | 0.0 (0.0-0.0) | غير متوفر | ٢٩.٧ (٤.٨-١٤٨.١) | ١٣ |
|
٨ | 75.4 (23•3-224•1) | 12 | 49.4 (
|
15 |
| الكزاز |
|
9 | ٧.٨ (
|
23 | 7.5 (3•3-12•2) | 26 | 8.2 (3•7-12•8) | ٢٤ |
|
٢٢ |
| إصابة الدماغ الرضحية | 3.9 (
|
20 | 11.8 (
|
20 | 77.5 (54.2-103.7) | 9 | 176.5 (
|
٨ | 226.3 (
|
٧ |
فقدان صحة الجهاز العصبي أثر بشكل غير متناسب على الأشخاص في البلدان ذات الدخل المنخفض والمتوسط، جزئياً بسبب ارتفاع انتشار الحالات التي تؤثر على حديثي الولادة والأطفال دون سن الخامسة (خاصة المضاعفات المتعلقة بالولادة والعدوى). للأسف، فإن زيادة بقاء حديثي الولادة مصحوبة بزيادة في الإعاقة طويلة الأمد الناتجة عن المضاعفات العصبية لهذه الحالات.
(الملحق ص 79). ومع ذلك، قد تكون هذه الشبه جزئيًا بسبب ندرة المصادر التي تبلغ مباشرة عن شدة المرض للنتائج المعوقة بشدة، وبالتالي لم نتمكن من أخذ التأثيرات المحتملة للعلاج على الشدة في الاعتبار.
تساهم حالات الجهاز العصبي في زيادة سنوات الحياة المعدلة حسب الإعاقة (DALYs) لدى الذكور، ولكنها تظهر انتشارًا أعلى لدى الإناث (يرجع ذلك في الغالب إلى الصداع النصفي والصداع التوتري)، ويزداد عبء المرض عمومًا مع التقدم في العمر. ظهرت أنماط عمرية مختلفة لحالات مختلفة، بما في ذلك الاختلافات في المساهمة النسبية لسنوات الحياة المفقودة (YLLs) وسنوات الحياة المعدلة حسب الإعاقة (YLDs) في العبء الكلي، مما يبرز الحاجة إلى تدخلات واستراتيجيات وقائية مصممة خصيصًا عبر مراحل الحياة.
تماشياً مع النتائج السابقة لدراسة العبء العالمي للأمراض،

(أ) التغير النسبي من 1990 إلى 2021 بشكل عام وللظروف الفردية. تتراوح الألوان من الأزرق الداكن (أكبر انخفاض في سنوات الحياة المعدلة حسب الإعاقة) إلى الأحمر الفاتح (أكبر زيادات). لم يتم تضمين ضعف الإدراك بسبب COVID-19 ومرض زيكا الخلقي لأنه لم يتم توثيقهما حتى بعد عام 1990. (ب) نسبة الإناث إلى الذكور في عام 2021، حيث تشير القيم الأعلى من 1 إلى مستويات أعلى لدى الإناث (مقياس لوغاريتمي). تتراوح الألوان من الأزرق (نسب إناث إلى ذكور أصغر) إلى الأحمر (نسب إناث إلى ذكور أكبر). على مدار الشكل، تمثل الخرف مرض الزهايمر وأنواع الخرف الأخرى. DALYs=سنوات الحياة المعدلة حسب الإعاقة. *تم عزل التغير النسبي ونسب الإناث إلى الذكور لسنوات الحياة المعدلة حسب الإعاقة بسبب المضاعفات العصبية بدلاً من السنوات المنسوبة إلى الحالة بالكامل.
تم تقدير متلازمة غيلان باريه الناتجة عن COVID-19 من خلال تحليل بيانات أمريكية من عينة كبيرة تضم حوالي 2 مليون فرد، وهو ما تدعمه بعض الدراسات الأخرى.
تقدير متلازمة غيلان باريه بعد COVID-19، بما في ذلك نقاط القوة والقيود، موجود في الملحق (ص 2). تم تحديد مرض باركنسون سابقًا كأسرع حالة عصبية نموًا،

تظهر معدلات DALY على مر الزمن (A) وحسب الفئة العمرية في عام 2021 (B). يتم عرض DALYs المعدلة حسب العمر لكل 100000 نسمة على مر الزمن (C) ومعدلات محددة حسب العمر في عام 2021 (D). تشير الظلال في اللوحات A و C والشرائط السوداء في اللوحات B و D إلى فترات عدم اليقين بنسبة 95%. DALYs = سنوات الحياة المعدلة حسب الإعاقة.
إعاقة بواسطة
تحتوي هذه الدراسة على قيود. على الرغم من أننا حاولنا التقاط جميع فقدان صحة الجهاز العصبي الذي تم نمذجته في GBD بشكل صريح أو في الفئة الواسعة من الاضطرابات العصبية الأخرى، إلا أن بعض الحالات التي تسبب مشاكل في الجهاز العصبي
تم استبعاد الأضرار لأننا لم نتمكن من عزل المكون العصبي (مثل الحالات الوراثية مثل أدرينوكودستروفيا أو العدوى مثل فيروس نقص المناعة البشرية، التي لها تأثيرات كبيرة في العديد من أجزاء العالم ويجب تقديرها بشكل صريح في المستقبل؛ الملحق ص 49) أو لأنها غير مقدرة في GBD (مثل شلل الأطفال). تم الآن تضمين اعتلال الأعصاب السكري ضمن فئة الحالات العصبية، وتصنيفه العالي يشير إلى عبء كبير ضمن الفئة لم يتم نقله أو التأكيد عليه سابقًا. إن تضمين اعتلال الأعصاب السكري يسلط الضوء على ندرة البيانات المتعلقة بأنواع أخرى من اعتلال الأعصاب المحيطية، مثل تلك المرتبطة بالكحول، وفيروس نقص المناعة البشرية، ونقص الفيتامينات. وبالتالي، فإن تمثيلنا الوحيد لاعتلال الأعصاب السكري في هذه الدراسة هو على الأرجح تقدير منخفض بشكل كبير لعبء اعتلال الأعصاب المحيطية الكلي.
تم إضافة الاضطرابات النمائية العصبية التي تم توثيقها في GBD تحت الصحة النفسية، مثل اضطراب نقص الانتباه مع فرط النشاط، واضطراب طيف التوحد، والإعاقة الذهنية غير المعروفة، بسبب الروابط القوية بينها وبين تأثيراتها على الجهاز العصبي، وبسبب تصنيفها في ICD-11 كاضطرابات نمائية عصبية. تم استبعاد حالات الصحة النفسية الأخرى التي لم تصنف كاضطرابات نمائية أو عصبية معرفية. تم إضافة المضاعفات العصبية للأمراض غير العصبية قدر الإمكان. كما افترضنا استقلالية العواقب المعطلة عند إجراء تصحيحات الترافق، مما قد يؤدي إلى بعض المبالغة في تقدير العبء غير القاتل. يجب أن تتضمن التحليلات المستقبلية تقييمًا محسنًا للترافق لا يفترض استقلالية التزامن. علاوة على ذلك، لا نقوم بتقييم الترافق مع حالات مزمنة أخرى، مثل أمراض القلب، التي يمكن أن تزيد من تأثيراتها على جودة الحياة.
فئة المتبقي من الاضطرابات العصبية الأخرى احتلت المرتبة السادسة عشرة من حيث سنوات الحياة المعدلة حسب الإعاقة (DALYs) المعيارية للعمر، مما يبرز الحاجة إلى تقدير DALYs بشكل صريح للحالات ضمن هذه الفئة، بما في ذلك اضطرابات الحركة المحددة، والاعتلالات العضلية، وأمراض الحبل الشوكي غير الناتجة عن إصابات. بالنسبة للتقديرات غير القاتلة لفئة المتبقي، قمنا بتقريب سنوات الحياة مع الإعاقة (YLDs) من خلال افتراض نفس نسبة YLDs وYLLs التي قدرناها للاضطرابات العصبية القاتلة الرئيسية. هذه الطريقة، على الرغم من كونها تقديرًا معقولًا للحالات العصبية المتبقية التي تؤدي إلى الوفاة، إلا أنها لا تعكس عبء أي حالات عصبية متبقية ليست سببًا للوفاة، مثل الاعتلالات العصبية الطرفية والألم العصبي.
للوفيات المرتبطة بإصابات الدماغ الرضحية وإصابات الحبل الشوكي. ضمن دراسة العبء العالمي للأمراض والتصنيف الدولي للأمراض، يتم تعيين السبب الأساسي للوفاة إلى سبب الإصابة (مثل العنف أو حادث المرور) بدلاً من طبيعة الإصابة.
عند قياس العبء العصبي لحالة ما بعد COVID-19، أخذنا في الاعتبار فقط ضعف الإدراك، باستخدام نفس أوزان الإعاقة كما هو الحال في الخرف الخفيف أو المعتدل، وهو ما قد لا يكون دقيقًا نظرًا لأن ضعف الإدراك بعد COVID-19 يبدو أنه يتحسن مع مرور الوقت. نظرًا لعدم توفر الموارد لإجراء استطلاعات أوزان الإعاقة، كانت هذه التقريب ضرورية. كما لم نتمكن من تحليل النتائج العصبية طويلة الأمد غير الإدراكية لـ COVID-19 (باستثناء متلازمة غيلان باريه) بسبب نقص مثل هذه البيانات في معظم البلدان. أظهرت بعض الدراسات أن انتشار مضاعفات عصبية أخرى (مثل الصداع المستمر، والألم العصبي، والنعاس أثناء النهار، والسكتة الدماغية) المرتبطة بـ COVID-19 يختلف بشكل كبير.
تحتوي دراستنا أيضًا على قيود عامة تشترك فيها جميع دراسات GBD، مثل ندرة البيانات الوبائية الموثوقة في العديد من البلدان، خاصة في البلدان ذات الدخل المنخفض والمتوسط، مما يعني أن تقديرات البلدان تعتمد على المتغيرات التنبؤية والبيانات من البلدان المحيطة، كما أن نتائجنا تتأثر أيضًا بالتحيزات التشخيصية وغيرها في البحث الأصلي. تم بذل جهود لتصحيح تعريفات الحالات غير المرجعية أو طرق القياس المستخدمة في بيانات مصدر GBD. يعد تعديل التحيز في القياس من نقاط القوة في GBD لأنه يسمح لنا بالاستفادة من أكبر عدد ممكن من مصادر البيانات عبر الزمن والجغرافيا. يتم تحسين هذه العملية باستمرار لتعزيز الجودة والشفافية والتوحيد القياسي. ومع ذلك، تختلف بعض تعريفات GBD المرجعية القياسية عن تعريفات الأمراض الأخرى، مثل تلك المستخدمة في التصنيف الدولي للأمراض ICD-11 الجديد. أخيرًا، نظرًا لأن هذه تحليل عالمي، لم نتمكن من التقاط الفروق الدقيقة في كيفية تأثير هذه الحالات على جغرافيا معينة.
باختصار، فإن الحالات الحادة والمزمنة التي تؤثر على الجهاز العصبي متنوعة. تشمل هذه الحالات الأمراض المعدية أو الأمراض المنقولة بواسطة الناقلات، والأمراض غير المعدية، والإصابات، مما يتطلب استراتيجيات صحية عامة مختلفة للوقاية والعلاج عبر مسار الحياة. تؤكد هذه التمييزات على التعقيد الذي تواجهه أنظمة الرعاية الصحية والحاجة إلى تحقيق التوازن بين إدارة الأمراض الحادة وطويلة الأمد. بالنسبة لبعض الحالات والاضطرابات، تتوفر علاجات فعالة، بينما لا يوجد علاج لآخرين، مما يبرز أهمية الوقاية والبحث في التدخلات الجديدة.
لذا يجب أن تمتد الموارد لحالات الجهاز العصبي عبر كامل سلسلة الرعاية، بما في ذلك الوقاية، والتشخيص، والعلاج، وإعادة التأهيل، والرعاية طويلة الأمد،
والرعاية، والتخفيف. يمكن أن تؤثر استراتيجيات الوقاية المحسنة على مستوى السكان للأمراض العصبية والتبعات العصبية المتعلقة بالولادة على العديد من الأرواح؛ تشمل هذه الاستراتيجيات الصرف الصحي المناسب، والتطعيم، وتدعيم حمض الفوليك، وتحسين الوصول إلى الرعاية والتعليم قبل الولادة وبعدها، والكشف المبكر والعلاج للعيوب الخلقية. بالإضافة إلى ذلك، فإن الأمراض الحيوانية المنشأ، مثل COVID-19 أو مرض فيروس زيكا، قد شكلت تحديات متزايدة لصحة الدماغ،
تحدث معظم أعباء الجهاز العصبي في البلدان ذات الدخل المنخفض والمتوسط، حيث تكون موارد الرعاية الصحية نادرة، ويقتصر الوصول إلى الخدمات على التوافر وقيود القوى العاملة، والعديد من البلدان غير مستعدة بشكل كافٍ للتعامل مع العدد المتزايد من الحالات أو سنوات الحياة المعدلة حسب الإعاقة (DALYs).
تتمتع النتائج في هذه الدراسة بتداعيات هامة على خدمات الصحة والسياسات وتعمل كدليل على أن فقدان الصحة العصبية العالمية لم يتم التعرف عليه بشكل كافٍ وهو في تزايد وتوزيع غير متساوٍ جغرافيًا واجتماعيًا واقتصاديًا. سيوفر توضيح المساهمات الفردية للحالات التي تؤثر على صحة الجهاز العصبي معلومات للتدخلات المستهدفة وخيارات السياسة التي يمكن أن تزيد من صحة الجهاز العصبي على المستويين الفردي والسكاني.
ملخص
سجاد أحمد، أمير محمود أحمد زاده، علي أحمد، أيمن أحمد، هارون أحمد، جيوان قاسم أحمد، لؤي أ أحمد، مختار بشير أحمد، سيد أنيس أحمد، مرجان عجمي، بودي أجي، أولوفيمي أجموبى، سيد إسماعيل أكادي، مرتضى أكبرى، حسين أكبر علي آباد، شيفا أخلاقي، كارولينا أكينوسوغلو، روفوس أولوسولا أكينييمي، ماكسويل أكوندي، سيد محفوظ الحسن، فارس العهدب، طارق محمد علي العهدل، رسمية مصطفى العامر، محمد البشتاوي، محمد ت البطيّنة، خليفة أ الدوسري، هدية عالمي، شريف الله عالمي، عبد العظيم المجمّل، عادل علي سعيد الغيثي، فدوى الحليقة ناجي الحليقة، روبرت كابا الحسن، عبيد علي، إندال أليمايهو علي، ليقات علي، محمد عثمان علي، موسى محمد علي، رفعت علي، شهيد علي، سيد شجاعت شجاعت علي، زاهد علي، شيخ محمد ألف، يوسف علي محمدي، أحمد نور أدم عليي، محمد الجوفان، سيد محمد الجنيّد، سوفرنا ألالدي، جوزيف أوي ألمزان، سامي المستنير، باسم العُمري، جابر س القحطاني، إبراهيم القاسمي، أحمد ياسين القطيبي، رستم الشاهي سلمان، زيد الطاني، جعفر أ التوفيق، خالد أ التركاوي، نيلسون ألفيس-غوزمان، ياسر محمد الورافي، هاني علي، صفوت علي، كرم ح الزعبي، رضا أماني، علي رضا أميندارولزربي، سهراب أميري، محمد حسين أمير زاده-إيرانق، هوبرت أمو، ديكسون أ أموغسي، غانييو أدينيي أموسا، جيموه أمزات، روبرت أنكوتشانو، ديانا أندرليني، ديفيد ب أندرسون، كاتالينا ليليانا أندري، صوفيا أندرويدي، دهنالكشمي أنغابان، تيكلت و أنغسوم، أبهيسيك أنيل، علي رضا أنصاري-مغداد، رزيق أنور، مصعب عرافات، ألكسندر ي أرافكين، ديملاش أريدا، هاني عارفين، هداية عارفين، ميساي أركيو، يوهان أيرنلوف، محوش أروج، أنطون أ أرتامونوف، كيرنيا دوي أرتانتي، رافائيل تايو أروليبا، علي أ أسدي-بويا، تيلاهون فريد أسيانا، محمد أسغري-جعفر آبادي، محمد أشرف، طاهرة أشرف، كنداليم أسماري أتاليل، سيد شمس الدين أثاري، بانطاليم تيلاي تيلاي أتينافو، برنس أتوركي، مها محمد وهبي عطوت، ألوك أترية، أفيناش أوجايب، أبولفازل أبان، بياتريس باولينا أيا لا كوينتانيللا، هاله آيات اللهي، أولاتوندي أ أييندي، سيد محمد أيوب زاده، سينا آزاد نجف آباد، زهراء عزيزي، خليل عزيزيان، أحمد ي عزام، مهسا بابائي، محمد بدر، أشيش د باديا، سروش بغدادي، سارة باقرية، روحاي باي، عاطف أمين بايج، سينثيل كومار بالاكريشنان، شيفانثي بالالا، أوفيديو قسطنطين بالتاتو، ماتشيي باناش، سوهام بانديوبادياي، إندراجيت بانيرجي، محمد فيرات باران، ميغيل أ باربوزا، مارتينا بارشيتا، مايناك باردهان، سوزان لين باركر-كولو، تيل وينفريد بارنيغهاوزن، أمدو بارو، دافود بشاش، حميدة بشيري، حميد أكاندي باشيرو، أفيسو باسيرو، جوان ديغو باسو، سانجاي باسو، عبد المنعم محمد باتيحة، كافيتا باترا، برنارد ت باوني، نيراج بيدي، أحمد بيغدي، طاهما بيغوم، بابك بهنام، أمير حسين بهنوش، مريم بيراند، يانيك بيجوت، أليهغن بيكيلي، ملاكو أشغري بيليت، أوزما إقبال بلغاومي، مريم بيمانالي زاده، روز ج بندر، برايت بنفور، ديريك أ بينيت، إيزابيلا م بنسنور، بيتينا بيريك، باولو ج ج بيتينكورت، كيبيدي أ بييني، أبهيسيك بهادرا، ديفيداس س بهاغات، كايلينغ بانغديا، نيكها بهاردواج، بانكاج بهاردواج، أشيش بهارجافا، سونو بهسخار، أجاى ناجيش بهات، فيفيك بهات، غورجيت كاور بهاتي، جاسويندر سينغ بهاتي، راجبير بهاتي، علي بيجاني، بوريس بيكوف، ماريا مالك بيلالا، أتان بيسواس، سعيد بيطارف، فيرا ر بيتر، تون بيورغ، فيرجينيا بودوليكا، آدام أولاليكان بودونرين، أرتشيث بولور، ديجانا برايثويت، كارول براين، هيرمان برينر، أندريه بريكو، ماريا ل برينغاس فيغا، جولي براون، كريستين م بودكي، دانييلو بوانسنسو، كاترين بوركارت، ريتشارد أ بيرنز، ياسر بستانجي، محمد حماد بت، نديم شفيق بت، زاهد أ بت، لوكاس سكوتا كابral
“حسين نامدار أريشتاناب، شميلا نارجس، برونو راموس ناسيمنتو، عبد الله ي ناصر، عبد القادر ج ج ناشوان، حديث نصوري، أحمد نصر الدين، زهير س ناتو، جاويد نعمان، بيسوا براكاش نايك، أثاري نازري-بانجاكي، محمد نغاريش، هادوش نغاش، إيونوت نغوي، روكساندرا إيرينا نغوي، سيربان ميرسيا نغرو، سيد آريا نجادغادري، محمد هادي نيمات اللهي، أوليفيا د نيسبيت، تشارلز ريتشارد جيمس نيوتن، دانغ إتش نغوين، هاو ثي هين نغوين، هين كوانغ نغوين، نغوك-ترين ثي نغوين، فهات توان نغوين، فان ثانه نغوين، روبينا خان نيازي، تاكسيارخيس قسطنطينوس نيكولوذاكيس، فيكرام نيرانجان، لورانس أخيلس نيانزي، إيفاق علي نعمان، نافيسة نوروزي، بو نورفينغ، جان جاك نوبياپ، تشيسوم أداوبي نري-إزيدي، جورج نتايوس، فيرجينيا نونيز-ساموديو، دييتا نورريكا، بوغدان أونشيا، إسماعيل أ أوديتوكُن، مارتن جيمس أودونيل، ربو إيبينزر أوجونسكين، جيمس أودهيامبو أوجوتا، إن-هوان أوه، حسن أوكاتي-علي آباد، سيلفستر ريبن أوكيكي، أكينكونمي بول أوكيكونلي، أوساريتين كريستابل أوكونجي، باتريك غودوين أوكوت، أندرو ت أوغونجو، ميدين تونبوسون أولايا، ماتفان ديريج أولانا، ماثيو إيدو أولو توبى، غلاوسيا ماريا مورايس أوليفيرا، إسحاق إيينولووا أولوفاديو، بولا جوكو أولوبوكُنولا أولوسانيا، أحمد عمر بالي، سوكينغ أونغ، أوبينا إ إونووجيكوي، ميشال أوردك، أيسلين يو أورجي، دوريس ف أورتيغا-ألتاميرانو، أوشيتشوكو ليفي أوسواجو، نيكيتا أوتستافنوف، ستانيسلاف س أوتستافنوف، أمل أويحيا، مايوة أ أوولابي، ماهيش بادوكودرو ب أ، كيفن باتشيكو-باريوس، جاجاديش راو بادوبيدري، برامود كومار بال، بادمافالي ناناجي بالانجي، كلوديا بالادينو، رافاييل بالادينو، راؤول فيليبي بالما-ألفاريز، فنغ بان، ديموستينيس باناجيوتاكوس، سونغوميترا باندا-جوناس، أناميكا باندي، أشوك باندي، جيراج دوراي بانديان، هيلينا أوليارثا بانغاريبوان، يوانيس بانتا زوبولوس، شاهينا باردهان، براغيان باراميتا بارجا، روميل ر بارخ، سيويون بارك، أشواغوشا بارثاساراثي، آفا باشايي، جاي باتيل، شانكارغودا باتيل، ديميتريوس باتوليا، شريكانت باوار، باولو بيدرسيني، أمبرتو بنساتو، ديفيد م بيرييرا، جيفان بيرييرا، ماريا أوديت بيرييرا، ماريو ف ب بيريس، نوربيرتو بيريكو، سيمون بيرنا، إيونلا-روكسانا بيتكو، فاني إميلي بيترمان-روتشا، هوانغ تران فام، مايكل ر فيليبس، غابرييل د بينيلا-مونسالف، مايكل أ بيراتوف، يفغيني بلوتنيكوف، ديمتري بوديغه، بورجو بولات، راميش بولورو، كونستانس ديمتي بوند، غوفيندا راج بوديل، علي رضا بوراميني، علي محمد بورباغر-شهري، محمد بورفريدوني، نع
*المؤلفون الأوائل المشتركين
الانتماءات
تحسين الجودة (ي. ح. أباتي ماجستير)، مستشفى أليتا ووندو، أليتا ووندو، إثيوبيا؛ كلية أنتاي للاقتصاد (ج. عباس دكتوراه) ومركز الصحة النفسية بشنغهاي (بروفيسور م. ر. فيليبس دكتور في الطب)، جامعة شنغهاي جياو تونغ، شنغهاي، الصين؛ مركز الأبحاث للأمراض المعدية والاستوائية (م. أ. عباسي دكتوراه)، قسم الأشعة (م. داشتي دكتور في الطب)، كلية التمريض والقبالة (هـ. حسنخاني دكتوراه)، قسم المناعة (ف. جدي-نيا راغ دكتوراه)، قسم الطب المجتمعي (س. موسوي دكتور في الطب)، قسم الصحة النفسية والتمريض النفسي (هـ. نامدار أريشتاناب دكتوراه)، ومركز الأبحاث التطبيقية للأدوية (هـ. سامادي كافيل دكتوراه)، جامعة تبريز للعلوم الطبية، تبريز، إيران؛ قسم جراحة العظام (م. عباسيان دكتور في الطب)، قسم طب الأطفال (س. علي دكتور في الطب)، مدرسة الصحة العامة TH تشان (بروفيسور ت. و. بارنيغهاوزن دكتور في الطب)، مركز الرعاية الأولية (س. باسو دكتوراه)، كلية هارفارد للأعمال.
(ف كايتانو دوس سانتوس دكتوراه)، قسم الطب القلبي الوعائي (ج تشي دكتور)، قسم القلب (إي ي الجندي دكتور)، قسم سياسة الصحة وعلم الأوبئة الفموية (ز س ناتو دكتوراه)، وقسم الطب الفيزيائي وإعادة التأهيل (ك باشكو-باريوس دكتور)، جامعة هارفارد، بوسطن، ماساتشوستس، الولايات المتحدة الأمريكية؛ قسم جراحة العظام (م عباسيان دكتور)، قسم التكنولوجيا الحيوية (س أغميري دكتوراه)، المعهد الوطني لبحوث التغذية وتكنولوجيا الغذاء (م عجمي دكتوراه)، قسم أمراض الدم وبنوك الدم (د بشاش دكتوراه)، قسم الأعصاب (م فتحي دكتور)، قسم التمريض النفسي والإدارة (ف غديريان دكتوراه)، قسم الوراثة الطبية (م غسامي دكتوراه)، مركز الخدمات الجينية الشاملة (م غسامي دكتوراه)، قسم التوليد وأمراض النساء (إي غوتبي دكتور)، مركز أبحاث السمنة (أ حاج-ميرزائيان دكتور)، مركز أبحاث المسالك البولية وأمراض الكلى (هـ حسامي دكتور، هـ صالحی عمران دكتور)، مركز أبحاث العيون (هـ حسامي دكتور)، قسم المناعة (ك جاهانخاني ماجستير)، المدرسة الافتراضية للتعليم الطبي والإدارة (ن جهانمهر دكتوراه)، مركز أبحاث الوقاية من الأمراض القلبية الوعائية (ن جهانمهر دكتوراه)، قسم جراحة الأعصاب (هـ خياط كاشاني دكتور)، مركز أبحاث المحددات الاجتماعية للصحة (أ كولاهي دكتور، م رشيدي دكتور)، قسم الوراثة (ر ميرفاخرائي دكتوراه)، كلية الطب (ف منتظري دكتور، س نجاتغادري دكتور، س رحماني دكتور، م زنگیابادیان دكتور)، مركز أبحاث الأمراض التنفسية المزمنة، المعهد الوطني لبحوث السل وأمراض الرئة (م متغينجاد دكتوراه)، قسم البيولوجيا والعلوم التشريحية (ب رائي دكتوراه)، قسم المناعة (أ رسولی-سارواني دكتوراه)، قسم التخدير (س سليمي دكتور، أ تاجبخش دكتور، أ تاجبخش دكتور)، مركز أبحاث العيون (م شايان دكتور)، قسم الطوارئ (س شول دكتور)، قسم التعليم الطبي (س تاباطبائي دكتوراه)، مركز أبحاث الأخلاقيات الطبية والقانون (م طاهري دكتوراه)، مركز أبحاث الجلد (أ تحفيلداري دكتور)، كلية الطب (أ تافاسول دكتور)، ومركز أبحاث جراحة الأعصاب الوظيفية (بروف أ زالي دكتور)، جامعة شهيد بهشتي للعلوم الطبية، طهران، إيران؛ مركز أبحاث الأشعة التشخيصية المتقدمة والتداخلية (هـ أباستابار دكتوراه)، معهد العلوم الصيدلانية (بروف م عبد اللهي دكتوراه)، كلية الصيدلة (بروف م عبد اللهي دكتوراه)، مركز أبحاث نقص المناعة (هـ أبو الحسن دكتوراه، بروف ن رضايي دكتوراه)، مركز أبحاث أمراض الدم والأورام وزراعة خلايا الجذع (هـ علمي دكتور)، الشبكة العلمية العالمية للتعليم والبحث (م أمير زاده-إيرانق دكتوراه)، قسم إدارة معلومات الصحة (س أيوب زاده دكتوراه)، مركز أبحاث الأمراض غير المعدية (س آزادنجاف آباد دكتور، بروف ف فرزادفر دكتوراه، م كيكهاي دكتور، س مروفي ماجستير، ف منتظري دكتور، س رحماني دكتور، م رشيدي دكتور، ن رضايي دكتور، ن رضايي دكتوراه)، معهد علوم الأعصاب (م بابائي دكتور)، كلية الطب (أ بهنوش بكالوريوس، هـ كريمي دكتور، أ خالجي بكالوريوس، س خانم محمدي دكتور، م ميلي دكتور، م مراتي دكتور، س محمدي دكتور)، قسم أعصاب الأطفال (م بمانالي زاده دكتور)، قسم البحث العلمي (ف تشيچاغي دكتور)، قسم جراحة الأعصاب (م دباخ أُهدي دكتور)، مركز أبحاث التصلب المتعدد (س إسكندريه دكتوراه، بروف م سهرائيان دكتور)، قسم الأعصاب بمستشفى شريعتي (ب غادري يزدي دكتور)، قسم الصحة في حالات الطوارئ والكوارث (م حدي دكتوراه)، مركز أبحاث المسالك البولية (ف كافي دكتور، أ بورأميني دكتور)، قسم المناعة (ج كرامي دكتوراه)، مركز أبحاث الطلاب العلمية (م كيكهاي دكتور، م خادم بشيري دكتور)، مركز البحث والتدريب في الجلد
(الأستاذ م. ت. البطيخ، دكتوراه) وقسم علم الأوبئة وصحة السكان (ب. العُمري، دكتوراه)، جامعة خليفة، أبوظبي، الإمارات العربية المتحدة؛ قسم طب الأطفال (ك. أ. الدوسري، دكتور في الطب)
(T C Russ دكتوراه)؛ قسم العلوم الأساسية (Z Altaany دكتوراه)، جامعة اليرموك، إربد، الأردن؛ قسم الطب الباطني التخصصي (الأستاذ ج أ التوفيق دكتوراه)، خدمات الصحة في جونز هوبكنز أرامكو، الظهران، المملكة العربية السعودية؛ قسم الطب (الأستاذ ج أ التوفيق دكتوراه)، كلية الطب بجامعة إنديانا، إنديانابوليس، إنديانا، الولايات المتحدة الأمريكية؛ مجموعة البحث في إدارة المستشفيات والسياسات الصحية (الأستاذ ن ألويس-غوزمان دكتوراه)، جامعة كوستا، بارانكويلا، كولومبيا؛ مجموعة البحث في اقتصاديات الصحة (الأستاذ ن ألويس-غوزمان دكتوراه)، جامعة كارتاخينا، كارتاخينا، كولومبيا؛ قسم العلوم الطبية (الأستاذ ي م الورافي دكتوراه)، جامعة أزال للتنمية البشرية، صنعاء، اليمن؛ قسم العلوم السريرية (الأستاذ ي م الورافي دكتوراه)، جامعة العلوم والتكنولوجيا في الفجيرة، الفجيرة، الإمارات العربية المتحدة؛ قسم طب الأطفال (الأستاذ ح علي دكتوراه) وقسم طب القلب والأوعية الدموية (س شيخار دكتوراه)، عيادة كليفلاند، كليفلاند، أوهايو، الولايات المتحدة الأمريكية؛ قسم طب القلب للأطفال (س علي دكتوراه)، مستشفى الأطفال في بوسطن، بوسطن، ماساتشوستس، الولايات المتحدة الأمريكية؛ قسم الصيدلة السريرية، كلية الصيدلة (الأستاذ ك ح الزعبي دكتوراه) وقسم الصحة العامة (الأستاذ ي س خضر دكتوراه)، جامعة العلوم والتكنولوجيا الأردنية، إربد، الأردن؛ قسم علم الأمراض البيطرية (ر أماني دكتور بيطري)، جامعة آزاد الإسلامية، بابل، إيران؛ قسم الأشعة (أ أميندارولزربي دكتوراه)، قسم الإحصاء الحيوي (أ كولومبوس ماجستير)، قسم جراحة الأعصاب (ف كازمي دكتوراه)، قسم سياسة الصحة والإدارة (د فيرفورت دكتوراه)، قسم القلب (م فسكادور دكتوراه)، وقسم الصحة الدولية (هـ زانغ ماجستير)، جامعة جونز هوبكنز، بالتيمور، ماريلاند، الولايات المتحدة الأمريكية؛ مركز أبحاث الطب والقرآن والحديث (س أمير دكتوراه)، جامعة باقية الله للعلوم الطبية، طهران، إيران؛ قسم صحة الأم والطفل (د أ أموغسي دكتوراه)، مركز أبحاث السكان والصحة الأفريقية، نيروبي، كينيا؛ قسم الطب (ج أ أموسا دكتوراه)، جامعة جوس، جوس، نيجيريا؛ قسم الطب الباطني (ج أ أموسا دكتوراه)، مستشفى جامعة جوس التعليمي، جوس، نيجيريا؛ قسم علم الاجتماع (الأستاذ ج أمتز دكتوراه) وقسم التناسل وإنتاج الحيوانات (أ شيتو ماجستير)، جامعة عثمانو دانفوديو، سوكوتو، سوكوتو، نيجيريا؛ قسم علم الاجتماع (الأستاذ ج أمتز دكتوراه)، جامعة جوهانسبرغ، جوهانسبرغ، جنوب أفريقيا؛ كلية الصيدلة (الأستاذ ر أنكوتشيو دكتوراه)، قسم القلب (ج أندريه دكتوراه)، قسم طب العيون (أ داسكال دكتوراه)، قسم الطب الشرعي والأخلاقيات الحيوية (س هوستيوك دكتوراه)، قسم الجراحة العامة (إ نيجوي دكتوراه، د سيربان دكتوراه)، قسم التشريح وعلم الأجنة (ر إ نيجوي دكتوراه)، وقسم الأمراض الجلدية (م تامبا دكتوراه)، جامعة كارول دافيل الطبية والصيدلة، بوخارست، رومانيا؛ مركز الأداء الحسي الحركي (د أندرليني دكتوراه)، مركز التميز في أبحاث الولادة الميتة (ت بيغوم ماجستير)، قسم المسالك البولية (الأستاذ إ تشونغ دكتوراه)، كلية الصحة العامة (أ ج فيراري دكتوراه، د ف سانتومورو دكتوراه)، معهد كوينزلاند للدماغ (الأستاذ ج ج مكغريث دكتوراه)، وكلية الطب (م منيروزمان دكتوراه)، جامعة كوينزلاند، بريسبان، كوينزلاند، أستراليا؛ قسم الأعصاب (د أندرليني دكتوراه)، مستشفى رويال بريسبان ونساء، بريسبان، كوينزلاند، أستراليا؛ كلية الطب (د ب أندرسون دكتوراه)، كلية الطب والصحة (ج كوماتشيو دكتوراه)، كلية الطب في سيدني (س إسلام دكتوراه)، معهد إنقاذ البصر (هـ كاندل دكتوراه، ي يو دكتوراه)، ومدرسة العلوم البيطرية (ب ب سينغ دكتوراه)، جامعة سيدني، سيدني، نيو ساوث ويلز، أستراليا؛ قسم الطب (س أندرويدي دكتوراه)، جامعة ثيسالي، فولوس، اليونان؛ قسم أعصاب الأطفال (د أنغابان دكتوراه)، جامعة أوريغون للصحة والعلوم، بورتلاند، أوريغون، الولايات المتحدة الأمريكية؛ قسم علم الأدوية (أ أنيل دكتوراه، ج تشاران دكتوراه، م شميم ماجستير، س سينغ دكتوراه، س ب فارتيا دكتوراه)، قسم التشريح (الأستاذ ن بهاردواج دكتوراه)، قسم الطب المجتمعي وطب الأسرة (ب بهاردواج دكتوراه، الأستاذ ب ر راغاف دكتوراه)، كلية الصحة العامة (ب بهاردواج دكتوراه)، قسم الطب الشرعي وعلم السموم (ت كانشان دكتوراه)، قسم الأورام الجراحية (الأستاذ س ميسرا ماجستير)، قسم علم الأدوية والبحث (أ سارافانان دكتوراه)، وقسم الطب المجتمعي (ج سينغ دكتوراه)، المعهد الهندي للعلوم الطبية، جودبور، الهند؛ المعهد الهندي للعلوم الطبية، بوبانسوار، الهند (أ أنيل دكتوراه)؛ قسم الوبائيات والإحصاء الحيوي (الأستاذ أ أنصاري-مغداد دكتوراه)، مركز أبحاث تعزيز الصحة (م خميرنيا دكتوراه، هـ أوكاتي-علي آباد دكتوراه، ف شهراكي-سانافي دكتوراه)
“وقسم تعزيز الصحة (أ. نذري-بنجكي ماجستير)، جامعة زاهدان للعلوم الطبية، زاهدان، إيران؛ قسم علم الأمراض (ر. أنور دكتوراه)، جامعة الإمام محمد بن سعود الإسلامية، الرياض، المملكة العربية السعودية؛ كلية الصيدلة (م. عرافات دكتوراه)، جامعة العين، أبوظبي، الإمارات العربية المتحدة؛ كلية الفنون والعلوم (د. أريدا دكتوراه)، جامعة أوتاوا، سرفايس، أريزونا، الولايات المتحدة الأمريكية؛ كلية الفنون الحرة والعلوم (د. أريدا دكتوراه)، جامعة ولاية أريزونا، تمبي، أريزونا، الولايات المتحدة الأمريكية؛ قسم طب الأطفال (بروف. ح. عارفين دكتوراه) ومركز جامعة مالايا الطبي (بروف. ح. عارفين دكتوراه)، جامعة مالايا، كوالالمبور، ماليزيا؛ قسم رعاية التمريض المتقدمة (ح. عارفين ماجستير)، جامعة تايبيه الطبية، سورابايا، إندونيسيا؛ قسم علوم المختبرات الطبية (م. أركيو ماجستير) وقسم الطب النفسي (م. ت. والد ماجستير)، جامعة هارامايا، هرر، إثيوبيا؛ قسم علم الأعصاب، علوم الرعاية والمجتمع (بروف. ج. أيرنلوف دكتوراه، س. فرشتنج نجاد دكتوراه) وقسم الطب الجزيئي والجراحة (بروف. ج. ه. كاوبلا دكتوراه)، معهد كارولينسكا، ستوكهولم، السويد؛ مدرسة الصحة والدراسات الاجتماعية (بروف. ج. أيرنلوف دكتوراه)، جامعة دالارنا، فالون، السويد؛ كلية الطب وطب الأسنان (بروف. م. عروج دكتوراه)، معهد جامعة العلوم الإشعاعية وتكنولوجيا التصوير الطبي (ت. أشرف ماجستير)، معهد جامعة الصحة العامة (أ. أ. بايج دكتوراه، س. حميد ماجستير صحة عامة، أ. أ. مالك دكتوراه، س. نارجس دكتوراه، س. نارجس دكتوراه)، قسم علم الأحياء الفموية (أ. فهيم دكتوراه)، معهد علم الأحياء الجزيئي والتكنولوجيا الحيوية (س. شاهيد دكتوراه)، ومركز الأبحاث لعلوم الصحة (س. شاهيد دكتوراه)، جامعة لاهور، لاهور، باكستان (بروف. م. أشرف دكتوراه)؛ قسم الفيزياء الحيوية (أ. أ. أرتامونوف دكتوراه)، الأكاديمية الروسية للعلوم، موسكو، روسيا؛ قسم علم الأوبئة (ك. د. أرتانتي ماجستير، أ. هارجونو دكتوراه) وكلية الصحة العامة (س. مارتيني دكتوراه)، جامعة أيرلانغا، سورابايا، إندونيسيا؛ قسم الأعصاب (بروف. أ. أ. أسدي-بويا دكتوراه)، جامعة توماس جيفرسون، فيلادلفيا، بنسلفانيا، الولايات المتحدة الأمريكية؛ تقييم الجودة الخارجية (ت. ف. أسيينا دكتوراه)، معهد الأبحاث الصحية والتغذية الإثيوبي، أديس أبابا، إثيوبيا؛ قسم الإحصاء (ت. ف. أسيينا دكتوراه)، قسم التشريح الطبي (أ. بيكيلي ماجستير)، قسم التشريح (س. ديميسي ماجستير)، وقسم التمريض (أ. م. مرشا ماجستير، ب. ب. شاشامو ماجستير)، جامعة أربا منش، أربا منش، إثيوبيا؛ أبحاث كابريني (بروف. م. أستغاري-جافرابادي دكتوراه)، كابريني هيلث، مالفرن، فيكتوريا، أستراليا؛ قسم طب الأطفال وتمريض صحة الطفل (ك. أ. أتاليل ماجستير)، قسم الصيدلة السريرية (ج. س. تشاني ماجستير، أ. ك. سنديكي ماجستير)، قسم الفسيولوجيا البشرية (م. ديريس ماجستير)، قسم الصحة البيئية والمهنية (ج. ج. كابيتو ماجستير صحة عامة)، وقسم الصحة والسلامة البيئية والمهنية (أ. ح. تسفاي ماجستير صحة عامة)، جامعة غوندار، غوندار، إثيوبيا؛ قسم المناعة (س. أثاري دكتوراه) وتمريض الرعاية الحرجة والطوارئ (ن. حنيفي دكتوراه)، جامعة زنجان للعلوم الطبية، زنجان، إيران؛ مدرسة التمريض والقبالة (ب. ت. أتينافو ماجستير)، قسم الصحة العامة (ل. غيتاشر ماجستير صحة عامة)، قسم العلوم الطبية الحيوية (ي. سليمان ماجستير)، وقسم طب الأطفال وتمريض صحة الطفل (س. س. يهوالاشيت ماجستير)، جامعة ديبري برهان، ديبري برهان، إثيوبيا؛ صحة السكان في هانتر نيو إنجلاند، وولسند، نيو ساوث ويلز، أستراليا (ب. أتوكي ماجستير فلسفة)؛ كلية التمريض (م. م. و. أتو ماجستير، بروف. أ. م. باتيها دكتوراه)، جامعة فيلادلفيا، عمان، الأردن؛ قسم الطب الشرعي (أ. أترية دكتوراه)، كلية لومبيني الطبية، بالبا، نيبال؛ مؤسسة نورثومبريا للرعاية الصحية، نيوكاسل أبون تاين، المملكة المتحدة (أ. أوجايب ماجستير في الطب)؛ مركز جوديث لاملي (ب. أيا لا كوينتانيللا دكتوراه)، قسم الصحة العامة (ه. جيانغ دكتوراه، بروف. ج. ليو دكتوراه)، ومدرسة التمريض والقبالة (م. رحمن دكتوراه)، جامعة لا تروب، ملبورن، فيكتوريا، أستراليا؛ جامعة سان مارتن دي بوريس، ليما، بيرو (ب. أيا لا كوينتانيللا دكتوراه)؛ قسم الطب (ز. عزيزي دكتوراه، م. بابائي دكتوراه) وبرنامج زراعة الدم ونخاع العظام والعلاج الخلوي (أ. غويال دكتوراه)، جامعة ستانفورد، بالو ألتو، كاليفورنيا، الولايات المتحدة الأمريكية؛ قسم الميكروبيولوجيا (ك. عزيزيان دكتوراه)، كلية الطب (س. خاتري دكتوراه)، مركز أبحاث الصحة البيئية (س. محمدي دكتوراه)، وقسم علم الأوبئة والإحصاء
“(س خانمحمّدي دكتوراه، س نيجادغادري دكتوراه، ح سليماني دكتوراه) ومركز أبحاث الأمراض غير المعدية، طهران، إيران (أ بهنوش بكاليوس، أ خلاجى بكاليوس)؛ قسم الرئة والرعاية الحرجة والنوم (م بيراندفاند دكتوراه)، جامعة فلوريدا، جاكسونفيل، فلوريدا، الولايات المتحدة الأمريكية؛ قسم الأعصاب (بروفيسور ي بيجوت دكتوراه)، مستشفى جامعة ديجون، ديجون، فرنسا؛ سجل السكتة الدماغية في ديجون (بروفيسور ي بيجوت دكتوراه)، جامعة بورغوندي، ديجون، فرنسا؛ قسم علوم المختبرات الطبية (م أ بيليت بكاليوس)، قسم الصحة البيئية (م جبرهيوط دكتوراه)، وقسم التغذية الصحية العامة (ب واكاي بكاليوس)، جامعة وولو، ديسي، إثيوبيا؛ قسم علم الأمراض الفموية والميكروبيولوجيا (ي بيلغومي دكتوراه)، جامعة كريشنا فيشوا فيديابيث المعتبرة جامعة، كاراد، الهند؛ مركز ديباكي للقلب والأوعية الدموية (ب بنفور دكتوراه)، معهد هيوستن ميثوديست الأكاديمي، هيوستن، فلوريدا، الولايات المتحدة الأمريكية؛ قسم جراحة القلب والأوعية الدموية (ب بنفور دكتوراه)، مستشفى هيوستن ميثوديست، هيوستن، تكساس، الولايات المتحدة الأمريكية؛ قسم نوفيلد للصحة السكانية (د أ بينيت دكتوراه)، قسم نوفيلد للطب (بروفيسور ر ج مود دكتوراه)، قسم الطب النفسي (بروفيسور س ر ج نيوتن دكتوراه)، ومركز أبحاث اقتصاديات الصحة (بروفيسور ج أ ب رودريغيز دكتوراه)، جامعة أكسفورد، أكسفورد، المملكة المتحدة؛ قسم الطب الباطني (إ م بنسنور دكتوراه، أ ج جولارت دكتوراه)، مركز الأبحاث السريرية والوبائية (أ ج جولارت دكتوراه)، وقسم الطب النفسي (بروفيسور م ف ب بيريس دكتوراه، ي وانغ دكتوراه)، جامعة ساو باولو، ساو باولو، البرازيل؛ كلية الطب (ب ج بيتينكورت دكتوراه)، الجامعة الكاثوليكية في البرتغال، ريو دي مورو، البرتغال؛ كلية الصيدلة (ك أ بيين دكتوراه)، جامعة أوكلاند، أوكلاند، نيوزيلندا؛ قسم العلوم الصيدلانية والإدارية (ك أ بيين دكتوراه)، جامعة العلوم الصحية والصيدلة في سانت لويس، سانت لويس، ميزوري، الولايات المتحدة الأمريكية؛ قسم علم الأدوية (أ بهادرا بكاليوس)، كلية الطب الشعبية، دكا، بنغلاديش؛ قسم الكيمياء الجنائية (د س بهاغات دكتوراه)، المعهد الحكومي للعلوم الجنائية، أورانجاباد، أورانجاباد، الهند؛ قسم الطب الباطني (أ بهارجافا دكتوراه)، جامعة واين ستيت، ديترويت، ميشيغان، الولايات المتحدة الأمريكية؛ مختبر الأعصاب العالمي للصحة (س بهسكار دكتوراه)، بنك جلطات الدماغ في نيو ساوث ويلز، سيدني، نيو ساوث ويلز، أستراليا؛ قسم الأعصاب وعلم الأعصاب الفيزيائي (س بهسكار دكتوراه)، منطقة الصحة المحلية في جنوب غرب سيدني ومستشفى ليفربول، سيدني، نيو ساوث ويلز، أستراليا؛ قسم الطب العام (أ ن بهات دكتوراه)، قسم الطب الباطني (أ بولور دكتوراه)، قسم الطب الشرعي وعلم السموم (ح ل ديسوزا دكتوراه)، قسم الطب المجتمعي (ن جوزيف دكتوراه، ن كومار دكتوراه، ب ميثرا دكتوراه، ر ثابار دكتوراه)، قسم الطب (س راج مولا مباللي دكتوراه)، قسم الطب الشرعي (ب ح شتي دكتوراه)، وكلية كاستوربا الطبية (بروفيسور ب أونيكريشن دكتوراه)، أكاديمية مانيبال للتعليم العالي، مانجالور، الهند؛ قسم الطب الباطني (ف بهات بكاليوس)، أكاديمية سانت جون الوطنية لعلوم الصحة، بنغالور، الهند؛ تكنولوجيا مختبرات طبية (ج ك بهاتي دكتوراه)، جامعة تشانديغار، موهالي، الهند؛ علم الوراثة البشرية والطب الجزيئي (بروفيسور ج س بهاتي دكتوراه) وقسم علم الحيوان (ب فيلينجيري دكتوراه)، الجامعة المركزية في البنجاب، باتيندا، الهند؛ قسم العلوم الصيدلانية (ر بهاتي دكتوراه)، جامعة جورو ناناك ديف، أمريتسار، الهند؛ مركز أبحاث المحددات الاجتماعية للصحة (أ بيجاني دكتوراه)، مركز أبحاث البيولوجيا الخلوية والجزيئية (بروفيسور س محجوب دكتوراه)، قسم الكيمياء السريرية (بروفيسور س محجوب دكتوراه)، وقسم الكيمياء الحيوية (أ موسابور دكتوراه)، جامعة بابل للعلوم الطبية، بابل، إيران؛ أدوات علمية، بيرغامو، إيطاليا (ب بيكبو دكتوراه)؛ قسم الأعصاب (بروفيسور أ بيسواس دكتوراه)، معهد التعليم الطبي والدراسات العليا ومستشفى سيث سوخلال كارنياني التذكاري، كولكاتا، الهند؛ كلية العلوم الصحية (ف ر بيترا دكتوراه)، جامعة بوتسوانا، غابورون، بوتسوانا؛ قسم الصحة العامة العالمية والرعاية الأولية (بروفيسور ت بيورغ دكتوراه، أ دادراس دكتوراه)، مركز الصحة الدولية (س حسن ماجستير)، مركز بيرغن للأخلاقيات وتحديد الأولويات (س حسن ماجستير)، وقسم العلوم النفسية الاجتماعية (د ساغوي دكتوراه)، جامعة بيرغن، بيرغن، النرويج؛ سجل السرطان في النرويج، أوسلو، النرويج (بروفيسور ت بيورغ دكتوراه)؛ كلية إدارة الأعمال (بروفيسور ف بودوليكا دكتوراه)، الجامعة الأمريكية في الشارقة، الشارقة، الإمارات العربية المتحدة؛ قسم الوبائيات (د برايثوايت دكتوراه)، مركز سرطان UF الصحي (س د كارانت دكتوراه)، وعلوم الحاسوب والهندسة (ب نغافي بكاليوس)، جامعة فلوريدا، غينسفيل،
(ي جلالي ريس إم)، جامعة صلاح الدين – أربيل، أربيل، العراق؛ قسم التغذية وعلم الحميات (ي جلالي ريس إم)، جامعة جيهان – أربيل، أربيل، العراق؛ كلية العلوم الطبية المساعدة (ن جالهدار دكتوراه)، جامعة لورستان للعلوم الطبية، خرم آباد، إيران؛ فرع التغذية والتمثيل الغذائي (ق جان ماجستير صحة عامة)، الوكالة الدولية لأبحاث السرطان، ليون، فرنسا؛ قسم الطب المجتمعي (أ ب غاندي دكتوراه)، كلية ومستشفى ESIC الطبية، حيدر آباد، الهند؛ معهد الصحة والرفاه (ب غانيسان دكتوراه)، جامعة فيدرation، تشيرشيل، فيكتوريا، أستراليا؛ مدرسة إدارة الأعمال وريادة الأعمال (ن غارغ دكتوراه، ر شارما دكتوراه)، جامعة دلهي التكنولوجية، دلهي، الهند؛ كلية الطب (س-ي غاو دكتوراه)، جامعة تشونغ شان الطبية، تايشونغ، تايوان؛ قسم علم الأدوية (بروفيسور ر ك غوتام دكتوراه)، معهد إندور للصيدلة، إندور، الهند؛ المبادرة الدولية لمكافحة التراخوما (ت جبري دكتوراه)، مجموعة العمل للصحة العالمية، ديكاتور، جورجيا، الولايات المتحدة الأمريكية؛ قسم التمريض (ج ج جبري مسك)، جامعة ميكلي، ميكلي، إثيوبيا؛ مدرسة الصحة العامة (هـ ج جبريسلّاسي ماجستير صحة عامة) وقسم علوم المختبرات الطبية (هـ نغاش مسك)، جامعة أديغرات، أديغرات، إثيوبيا؛ قسم هندسة الصحة البيئية (ر غنباري دكتوراه)، جامعة قزوين للعلوم الطبية، قزوين، إيران؛ قسم علم الأوبئة وعلم الإحصاء الحيوي (أ غولامي دكتوراه، ف خورشاد زاده دكتوراه) ومركز أبحاث الأمراض غير المعدية (أ غولامي دكتوراه)، جامعة نيشابور للعلوم الطبية، نيشابور، إيران؛ قسم علم الأوبئة والوقاية (أ جيللوسي دكتوراه)، IRCCS نيوروميد، بوزيلي، إيطاليا؛ مدرسة وارويك الطبية (بروفيسور ب س جيل دكتوراه)، جامعة وارويك، كوفنتري، المملكة المتحدة؛ المعهد الوطني لبحوث الجينوم البشري (ل م غلاستتر بكالوريوس)، المعهد الوطني للصمم واضطرابات التواصل الأخرى (هـ ج هوفمان ماجستير)، والمعهد الوطني للاضطرابات العصبية والسكتة الدماغية (و ج كوروشيتز دكتوراه)، المعهد الوطني للصحة، بيثيسدا، ماريلاند، الولايات المتحدة الأمريكية؛ القسم الثالث لعلم الأعصاب (إ ف غنيدوفسكايا دكتوراه)، مركز أبحاث علم الأعصاب، موسكو، روسيا (م أ كرافشينكو دكتوراه، بروفيسور م أ بيرادوف دكتوراه، بروفيسور ف ل فيغين دكتوراه)؛ الكيمياء السريرية وعلوم الخلايا التطبيقية (أ غولتشين دكتوراه) ومعهد الطب الخلوي والجزيئي (أ غولتشين دكتوراه)، جامعة أورميا للعلوم الطبية، أورميا، إيران (ر فاليزاده دكتوراه)؛ قسم أنظمة الصحة والبحوث السياسية (م غوليشا دكتوراه)، المعهد الهندي للصحة العامة، غاندهيناغار، الهند؛ قسم الوراثة (ب غوليج ماجستير)، معهد سنا للتعليم العالي، ساري، إيران؛ الشبكة العلمية العالمية للتعليم والبحث (ب غوليج ماجستير)، مركز أبحاث اضطرابات النوم (هـ محمدي دكتوراه)، وقسم الأمراض المعدية (بروفيسور س فازيري دكتوراه)، جامعة كرمانشاه للعلوم الطبية، كرمانشاه، إيران؛ قسم العلوم الطبية الحيوية والعصبية الحركية (د غولينيللي دكتوراه، س غويكارد دكتوراه، ل موكولي دكتوراه، ف سانماركي دكتوراه)، جامعة بولونيا، بولونيا، إيطاليا؛ قسم العلاج الطبيعي (بروفيسور م غوميس-نيتو دكتوراه)، الجامعة الفيدرالية في باهيا، سلفادور، البرازيل؛ مدرسة التمريض والقبالة (بروفيسور ر ج غراي دكتوراه)، جامعة لا تروب، بوندورا، فيكتوريا، أستراليا؛ قسم الصحة العامة والطب الوقائي (بروفيسور م غريفنا دكتوراه)، جامعة تشارلز، براغ، جمهورية التشيك؛ قسم معلومات الصحة (هـ أ غوادى ماجستير)، قسم الطب النفسي (م تاركي ماجستير)، وقسم التمريض (و أ تيمسجن دكتوراه)، جامعة بحير دار، بحير دار، إثيوبيا؛ كلية تشيللو للطب (ب غوان ماجستير) وقسم جراحة العظام (هـ زو دكتوراه)، جامعة شاندونغ، جينان، الصين؛ مدرسة الدراسات العليا للصحة العامة (ج غواردوكي دكتوراه)، جامعة سيينا، سيينا، إيطاليا؛ إدارة الصحة (س غويكارد دكتوراه)، السلطة الصحية المحلية في بولونيا، بولونيا، إيطاليا؛ قسم الطب المجتمعي (د أ غوناروادان دكتوراه)، جامعة بيرادينيا، كاندي، سريلانكا؛ قسم الصحة العامة (ب غوبتا دكتوراه)، جامعة تورينس أستراليا، ملبورن، فيكتوريا، أستراليا؛ قسم طب القلب الوقائي (بروفيسور ر غوبتا دكتوراه)، مركز رعاية القلب الأبدي ومعهد الأبحاث، جايبور، الهند؛ قسم الطب (بروفيسور ر غوبتا دكتوراه)، جامعة مهاتما غاندي للعلوم الطبية، جايبور، الهند؛ قسم السموم (س غوبتا ماجستير)، معهد شيرام للبحوث الصناعية، دلهي، الهند؛ كلية الطب والصحة والعلوم الإنسانية (بروفيسور ف ك غوبتا دكتوراه) ومدرسة ماكواري الطبية (م ميرزائي دكتوراه، ي يو دكتوراه)، جامعة ماكواري، سيدني، نيو ساوث ويلز، أستراليا؛ قسم علم الأوبئة والبحوث النفسية الاجتماعية (ر أ غوتيريز دكتوراه)، المعهد الوطني للطب النفسي رامون دي لا فوانتي مونيز، مكسيكو سيتي، المكسيك؛ الشبكة العالمية للفيروسات، منطقة الشرق الأوسط (ف حبيب زاده دكتوراه)، شيراز، إيران؛ العلوم العصبية السريرية
(V Hachinski DSc)، جامعة أونتاريو الغربية، لندن، أونتاريو، كندا؛ معهد لوسون للبحوث الصحية، لندن، أونتاريو، كندا (V Hachinski DSc)؛ قسم علم الأدوية والسموم (R Haddadi PhD)، جامعة همدان للعلوم الطبية، همدان، إيران؛ قسم علم الأدوية السريرية والطب (الأستاذ N R Hadi PhD)، جامعة الكوفة، النجف، العراق؛ برنامج عالم طبيب (N Haep MD)، معهد برلين للصحة، برلين، ألمانيا؛ جامعة نيويورك في شنغهاي، شنغهاي، الصين (B J Hall PhD)؛ كلية الصحة (M Hamiduzzaman PhD)، جامعة ساوثن كروس، بيلينغا، كوينزلاند، أستراليا؛ مركز الاضطرابات العصبية والعضلية (الأستاذ G J Hankey MD) ومركز دوبني لارتفاع ضغط الدم (الأستاذ M P Schlaich MD)، جامعة أستراليا الغربية، بيرث، أستراليا؛ معهد بيرون للعلوم العصبية والترجمة، بيرث، أستراليا (الأستاذ G J Hankey MD)؛ قسم الكيمياء الحيوية وعلم الأحياء الجزيئي (الأستاذ M Hannan PhD)، جامعة بنغلاديش الزراعية، ميمنسينغ، بنغلاديش؛ قسم التشريح (الأستاذ M Hannan PhD)، جامعة دونغوك، غيونغجو، كوريا الجنوبية؛ قسم الأعصاب، مستشفى شوانوو (الأستاذ J Hao PhD، C Zhang MD)، المركز الوطني للاضطرابات العصبية (الأستاذ J Hao PhD)، والمركز الوطني للأمراض العصبية، مستشفى شوانوو (C Zhang MD)، جامعة الطب الرأسمالي، بكين، الصين؛ وحدة البحث الطبي (H Harapan PhD)، جامعة سياه كوالا، باند آتشيه، إندونيسيا؛ كلية الصحة العامة (H Hareru MSc، T L Lerango MPH)، جامعة ديلا، ديلا، إثيوبيا؛ كلية الطب (N I Harlianto BSc)، مركز يوليوس لعلوم الصحة والرعاية الأولية (G A Kayode PhD)، ومعهد علوم تقييم المخاطر (E Traini MSc)، جامعة أوترخت، أوترخت، هولندا؛ قسم الأشعة (N I Harlianto BSc)، مركز جامعة أوترخت الطبي، أوترخت، هولندا؛ وحدة البحث (J M Haro MD)، جامعة برشلونة، برشلونة، إسبانيا؛ مركز الشبكات البحثية للعلوم العصبية، برشلونة، إسبانيا (J M Haro MD)؛ كلية الحقوق بجامعة تولسا (N N Hartman BS)، جامعة تولسا، تولسا، أوكلاهوما، الولايات المتحدة الأمريكية؛ قسم الاقتصاد والإحصاء (N N Hartman BS)، قسم التخدير (V Krishnamoorthy MD)، مركز دراسة الشيخوخة وتطور الإنسان (Y Yao MD)، ومعهد الصحة العالمية في ديوك (S Zadey MS)، جامعة ديوك، دورهام، نورث كارولينا، الولايات المتحدة الأمريكية؛ قسم علم الحيوان وعلم الحشرات (A I Hasaballah PhD)، جامعة الأزهر، القاهرة، مصر؛ قسم التمريض (F Hasan MSc)، مدرسة التمريض (M Kurniasari PhD)، قسم الصحة العالمية وأمن الصحة (K Latief MSCE)، برنامج الدكتوراه الدولي في الطب (L Minh MD)، مركز البحث في الذكاء الاصطناعي في الطب (L Minh MD)، وكلية الصحة العامة (Y L Samodra MPH، Y L Samodra MPH)، جامعة تايبيه الطبية، تايبيه، تايوان؛ قسم طب العيون (H Hasani MD)، جامعة إيران للعلوم الطبية، كرج، إيران؛ قسم الأشعة (M Hasanian MD)، جامعة أراك للعلوم الطبية، أراك، إيران؛ تبريز، إيران (H Hassankhani PhD)؛ المركز الوطني لإدارة البيانات الصحية (M Hassen BSc)، المركز الوطني لإدارة البيانات الصحية (A Misganaw PhD)، ووحدة المياه والصرف الصحي والنظافة (B Wagaye MPH)، المعهد الإثيوبي للصحة العامة، أديس أبابا، إثيوبيا؛ قسم الأشعة التشخيصية والتداخلية والأشعة العصبية (J Haubold MD) ومعهد الذكاء الاصطناعي في الطب (J Haubold MD)، مستشفى جامعة إيسن، إيسن، ألمانيا؛ معهد العلوم الصيدلانية (K Hayat MS)، جامعة العلوم البيطرية والحيوانية، لاهور، باكستان؛ قسم إدارة الصيدلة والصيدلة السريرية (K Hayat MS)، جامعة شيان جياوتونغ، شيان، الصين؛ سانتا كلارا، كاليفورنيا، الولايات المتحدة الأمريكية (G Heidari MD)؛ قسم الميكروبيولوجيا (K Hezam PhD)، جامعة تعز، تعز، اليمن؛ كلية الطب (K Hezam PhD)، جامعة نانكاي، تيانجين، الصين؛ قسم تعزيز خدمات الصحة (Y Hiraike PhD)، جامعة طوكيو، طوكيو، اليابان؛ قسم البرامج العلمية (H J Hoffman MA) ومعهد الأبحاث الوطنية للجينوم البشري (N Horita PhD)، المعاهد الوطنية للصحة، بيثيسدا، ماريلاند، الولايات المتحدة الأمريكية؛ كلية كاستوربا الطبية، مانجالور (R Holla MD، A Kamath MD)، معهد مانيبال للإدارة (S Kamath MHA)، قسم إدارة الصيدلة (V S Ligade PhD)، قسم الميكروبيولوجيا (P Y Prakash PhD)، كلية مانيبال الطبية (M Rahman PhD)، وقسم أمراض الكلى (I Rao DM)، أكاديمية مانيبال للتعليم العالي، مانيبال، الهند؛ فيرجينيا بيتش، فيرجينيا، الولايات المتحدة الأمريكية (K P Hopf MPH)؛ قسم أمراض الرئة (N Horita PhD)
(F R مارتينز-ميلو دكتوراه)، المعهد الفيدرالي للتعليم والعلوم والتكنولوجيا في سيارا، كاوكاي، البرازيل؛ قسم التغذية وعلوم الحميات (م مارتوريل دكتوراه)، جامعة كونسيبسيون، كونسيبسيون، تشيلي؛ مركز الحياة الصحية (م مارتوريل دكتوراه)، جامعة كونسيبسيون، كونسيبسيون، تشيلي؛ المعهد السريري للتشخيصات الطبية والكيميائية (بروفيسور و مارس دكتوراه)، الجامعة الطبية في غراتس، غراتس، النمسا؛ قسم الصحة العامة
“(الأستاذ ر. ر. مارزو، دكتور في الطب)، جامعة الإدارة والعلوم، شاه علم، ماليزيا؛ مدرسة جيفري تشيا للطب وعلوم الصحة (الأستاذ ر. ر. مارزو، دكتور في الطب)، جامعة موناش، سوبانغ جايا، ماليزيا؛ قسم الأعصاب (ج. ماسانو، دكتور في الطب)، مركز مستشفى جامعة ساو جواو، بورتو، البرتغال؛ قسم التشريح والوراثة والمعلوماتية الطبية الحيوية (ي. ماثانغاسينغ، دكتور في الطب) وقسم الجراحة (د. ب. ويكراماسينغ، دكتور في الطب)، جامعة كولومبو، كولومبو، سريلانكا؛ معهد الطب التجديدي الأسترالي (ي. ماثانغاسينغ، دكتور في الطب) وقسم الطب (م. ت. أولايا، دكتور في الفلسفة)، جامعة موناش، كلايتون، فيكتوريا، أستراليا؛ قسم الصحة العامة والطب المجتمعي (إ. ماثيوز، دكتور في الفلسفة)، الجامعة المركزية في كيرالا، كاساراجود، الهند؛ قسم الوبائيات (الأستاذ ر. ج. مود، دكتور في الفلسفة)، وحدة أبحاث الطب الاستوائي في ماهيدول أكسفورد، بانكوك، تايلاند؛ قسم الأبحاث (ب. ك. موليك، دكتور في الفلسفة)، معهد جورج للصحة العالمية، نيودلهي، الهند؛ قسم الطب الاجتماعي والعائلة (م. مزاهري، دكتور في الفلسفة)، جامعة دزفول للعلوم الطبية، دزفول، إيران؛ قسم طب العيون (ج. مكاليندن، دكتور في الفلسفة)، مستشفى سينغلتون، سوانسي، المملكة المتحدة؛ المركز الوطني للأبحاث المعتمدة على السجلات (الأستاذ ج. ج. مكغرا، دكتور في الطب)، جامعة آرهوس، آرهوس، الدنمارك؛ قسم الأعصاب (الأستاذ م. مهندراتا، دكتور في الطب)، جمعية مستشفى جاناكبوري التخصصي، نيودلهي، الهند؛ قسم الأعصاب (الأستاذ م. مهندراتا، دكتور في الطب)، معهد غوفيند باللاب للتعليم والبحث الطبي، نيودلهي، الهند؛ قسم الأورام الطبية وعلم الدم (م. أ. م. مينديز-لوبيز، دكتور في الفلسفة)، مستشفى كانتونسبتال سانت غالن، سانت غالن، سويسرا؛ مكتب بيرو (و. ميندوزا، دكتور في الطب)، صندوق الأمم المتحدة للسكان، ليما، بيرو؛ كلية الهندسة المدنية (الأستاذ أ. ميندوزا-كانو، دكتور في الفلسفة)، جامعة كوليم، كوليم، المكسيك؛ قسم الطب الشرعي (الأستاذ ر. ج. مينيزيس، دكتور في الطب)، جامعة الإمام عبدالرحمن بن فيصل، الدمام، المملكة العربية السعودية؛ وحدة الأعصاب (أ. ميريتوجا، دكتور في الطب)، مستشفى جامعة هلسنكي، هلسنكي، فنلندا؛ مركز جامعة فارازدين (ت. ميستروفيتش، دكتور في الفلسفة)، جامعة الشمال، فارازدين، كرواتيا؛ قسم الوبائيات (إ. ميشاليك، دكتور في الفلسفة) والسجل الوطني للسرطان (إ. ميشاليك، دكتور في الفلسفة)، المعهد الوطني للأبحاث في علم الأورام ماري سكلودوفسكا-كوري، وارسو
(الأستاذ الدكتور إ. م. ميراخييموف) أكاديمية قيرغيزستان الطبية الحكومية، بيشكيك، قيرغيزستان؛ قسم تصلب الشرايين وأمراض القلب التاجية (الأستاذ الدكتور إ. م. ميراخييموف)، المركز الوطني لأمراض القلب والطب الباطني، بيشكيك، قيرغيزستان؛ وحدة البيولوجيا الجزيئية (ن. س. محمد ماجستير) وقسم البيولوجيا الإحصائية والبيولوجيا الجزيئية (ن. س. محمد ماجستير)، مركز سيريوس للتدريب والبحث، الخرطوم، السودان؛ معهد البحث من أجل تطوير الصحة (س. محمدي دكتوراه)، جامعة كردستان للعلوم الطبية، مدينة سنندج، إيران؛ قسم الصيدلة السريرية وممارسة الصيدلة (م. محمد ماجستير) ووحدة أبحاث نظم الصحة والسياسات (س. محمد دكتوراه)، جامعة أحمدو بيلو، زاريا، نيجيريا؛ كلية العلوم الصيدلانية (م. محمد ماجستير)، جامعة العلوم الماليزية، بينانغ، ماليزيا؛ قسم العلوم الصيدلانية (س. محمد دكتوراه)، جامعة نوتردام بولاية ماريلاند، بالتيمور، ماريلاند، الولايات المتحدة الأمريكية؛ قسم الصيدلة (س. محمد دكتوراه)، جامعة ميزان-تيبي، ميزان، إثيوبيا؛ قسم إدارة الرعاية الصحية (س. محمد دكتوراه)، الجامعة التقنية في برلين، برلين، ألمانيا؛ مركز البحث المتعدد التخصصات (س. موهان دكتوراه)، معهد سافيثا للعلوم الطبية والتقنية، تشيناي، الهند؛ قسم علم الأدوية (ح. مجيري-فوروشاني دكتوراه)، مدرسة آبادان للعلوم الطبية، آبادان، إيران؛ قسم الأورام (ن. موكا دكتوراه)، الرعاية الصحية الإقليمية لأبالاتشي، هازارد، كنتاكي، الولايات المتحدة الأمريكية؛ قسم الطب الباطني (ن. موكا دكتوراه)، جامعة كنتاكي، ليكسينغتون، كنتاكي، الولايات المتحدة الأمريكية؛ معهد الفيزيولوجيا السريرية (س. مولينارو دكتوراه)، الوطني
“(ز. ساداتيان دكتوراه)، جامعة غناباد للعلوم الطبية، غناباد، إيران؛ قسم الأعصاب (بروفيسور س. ساكو دكتوراه)، جامعة لاكويلا، لاكويلا، إيطاليا؛ قسم أعصاب الأطفال (س. صادقيان دكتوراه)، جامعة أهوار جنديشابور للعلوم الطبية، أهوار، إيران؛ مؤسسة مختبرات متعددة التخصصات، جامعة مؤسسة العلوم الصحية (بروفيسور ي. سعيد دكتوراه)، جامعة مؤسسة، إسلام آباد، باكستان؛ المركز الدولي لأبحاث العلوم الطبية، إسلام آباد، باكستان (بروفيسور ي. سعيد دكتوراه)؛ برنامج أبحاث علوم الدماغ هورفيتس (ي. سعيد ماجستير)، معهد أبحاث سانيبروك، تورونتو، أونتاريو، كندا؛ قسم الأعصاب (م. صفداريان دكتوراه)، مستشفى كريستيان-دوبلر الجامعي، سالزبورغ، النمسا؛ مركز إصابات الحبل الشوكي وتجديد الأنسجة سالزبورغ (م. صفداريان دكتوراه)، جامعة باراسيلسوس الطبية، سالزبورغ، النمسا؛ كلية الطب، علوم الحياة والتمريض (س. ز. صافي دكتوراه)، جامعة ماهسا، سيلانغور، ماليزيا؛ مركز الأبحاث متعددة التخصصات في المواد الحيوية (س. ز. صافي دكتوراه)، معهد كومساتس للتكنولوجيا، لاهور، باكستان؛ قسم الطب المجتمعي والعائلة (س. س. ساهو دكتوراه) وقسم الأشعة التشخيصية (ب. سينغ دكتوراه)، المعهد الهندي للعلوم الطبية، باتيندا، الهند؛ قسم الأعصاب (س. ساجد دكتوراه)، جامعة غولستان للعلوم الطبية، جرجان، إيران؛ جامعة لودفيغ ماكسيميليان في ميونيخ، ميونيخ، ألمانيا (ج. و. ساكشاوغ دكتوراه)؛ معهد أبحاث التوظيف، نورمبرغ، ألمانيا (ج. و. ساكشاوغ دكتوراه)؛ قسم الصحة العامة والطب المجتمعي (م. ر. سالم دكتوراه)، جامعة القاهرة، الجيزة، مصر؛ قسم الأعصاب (س. س. سامادزاده دكتوراه)، جامعة جنوب الدنمارك، أودنسه، الدنمارك؛ قسم التشريح (بروفيسور ف. ب. صموئيل دكتوراه)، جامعة رأس الخيمة للعلوم الطبية والصحية، رأس الخيمة، الإمارات العربية المتحدة؛ معهد التشريح العصبي (ن. سانادغول دكتوراه)، جامعة راين-وستفاليا التقنية في آخن، آخن، ألمانيا؛ قسم طب الأطفال (ر. ك. سانجيف دكتوراه)، معهد برافار للعلوم الطبية، لوني (بي. كيه)، الهند؛ مجموعة السياسات وعلم الأوبئة (د. ف. سانتومورو دكتوراه)، مركز كوينزلاند لأبحاث الصحة النفسية، واكول، كوينزلاند، أستراليا؛ كلية الصحة العامة (إ. ن. سانتري دكتوراه)، جامعة أحمد دحلان، يوجياكارتا، إندونيسيا؛ كلية إنديرا غاندي الطبية ومعهد الأبحاث، بودوتشيري، الهند (أ. سارافانان دكتوراه)؛ مركز الدراسات المتقدمة في علم النفس (م. ساتباتي دكتوراه) وقسم الاقتصاد التحليلي والتطبيقي (ج. ك. سوينغ ماجستير)، جامعة أودكال، بوبانسوار، الهند؛ جمعية أوديام-العالمية للتنمية المستدامة، بوبانسوار، الهند (م. ساتباتي دكتوراه)؛ الوصول إلى السوق (م. سايلان دكتوراه)، باير، إسطنبول، تركيا؛ قسم الأعصاب (بروفيسور ن. سكارميوس دكتوراه)، الجامعة الوطنية وكابودستريان في أثينا، أثينا، اليونان؛ مختبر ارتفاع ضغط الدم وأمراض الكلى (بروفيسور م. ب. شلايخ دكتوراه)، معهد بيكر للقلب والسكري، ملبورن، فيكتوريا، أستراليا؛ مركز أبحاث القلب والأوعية الدموية (أ. شوميرمان بكالوريوس)، مستشفى ماساتشوستس العام، كامبريدج، ماساتشوستس، الولايات المتحدة الأمريكية؛ قسم علوم القلب والأوعية الدموية (أ. شوميرمان بكالوريوس، ج. فان دن إيندي بكالوريوس)، جامعة كاثوليك لوفين، لوفين، بلجيكا؛ قسم المنهجية والابتكار في الوقاية (م. شوارزينجر دكتوراه)، مستشفى جامعة بوردو، فرنسا، بوردو، فرنسا؛ جامعة بوردو (م. شوارزينجر دكتوراه)، إنسرم، بوردو، فرنسا؛ قسم علم النفس (د. س. شويبيل دكتوراه) وقسم الأشعة (ه. سوتوده دكتوراه)، جامعة ألاباما في برمنغهام، برمنغهام، ألاباما، الولايات المتحدة الأمريكية؛ كلية طب الأسنان (س. سيلفاراج دكتوراه)، جامعة AIMST، بدونغ، ماليزيا؛ قسم العلوم الطبية (ب. سنغوبتا دكتوراه)، معهد بهارات للتعليم العالي والتعلم، تشيناي، الهند؛ قسم الطوارئ (س. سينثيلكوماران دكتوراه)، مركز مانيان الطبي، إيرود، الهند؛ قسم الطب والجراحة (ي. سيثي بكالوريوس)، كلية الحكومة الطبية في دون، دهرادون، الهند؛ المعهد الوطني للقلب والرئة والدم (أ. سيلاني بكالوريوس)، المعهد الوطني للصحة، روكفيل، ماريلاند، الولايات المتحدة الأمريكية؛ قسم الصحة المجتمعية (م. شاباني دكتوراه)، جامعة أجا للعلوم الطبية، طهران، إيران؛ قسم الكيمياء (ه. شاهسفاري دكتوراه)، معهد الدراسات المتقدمة في العلوم الأساسية، زنجان، إيران؛ قسم العلوم السريرية (بروفيسور م. ج. شاهوان دكتوراه)، جامعة القدس، عجمان، الإمارات العربية المتحدة؛ كراتشي، باكستان (م. أ. شيخ دكتوراه)؛ كلية الطب (بروفيسور ك. شاجي دكتوراه)، جامعة كيرالا للعلوم الصحية، تريشور، الهند؛ قسم علم الأمراض وطب المختبرات (س. شام دكتوراه)، نورثويل هيلث، مدينة نيويورك، نيويورك، الولايات المتحدة الأمريكية؛ قسم الصحة العامة
(م. ج. م. زياريا دكتوراه)، جامعة حائل، حائل، المملكة العربية السعودية؛ قسم علم الحيوان وعلم الحشرات (م. ج. م. زياريا دكتوراه)، جامعة الأزهر، القاهرة، مصر؛ مركز التكنولوجيا الحيوية (ف. زيوكنغ دكتوراه)، جامعة ياوندي الأولى، ياوندي، الكاميرون؛ قسم الكيمياء الحيوية والبيولوجيا الجزيئية (ف. زيوكنغ دكتوراه)، جامعة بوا، بوا، الكاميرون؛ قسم الوبائيات والإحصاء الحيوي (ج. زهاي دكتوراه)، وزارة الصحة العامة، هيفي، الصين؛ قسم الأورام (ج. زهاي دكتوراه)، المستشفى الأول المرتبط بجامعة أنهوى الطبية، هيفي، الصين؛ مدرسة الصحة العامة (ي. زانغ دكتوراه)، مختبر هوباي الرئيسي لتحديد المخاطر المهنية والسيطرة عليها (ي. زانغ دكتوراه)، جامعة ووهان للعلوم والتكنولوجيا، ووهان، الصين؛ كلية الطب التقليدي الصيني (ه. زهاو دكتوراه)، جامعة خبي، باودينغ، الصين؛ قسم الطب الأساسي (ي. زهاو بكاليوس)، جامعة الطب العسكرية، تشونغتشينغ، الصين؛ مدرسة الصحة العامة وإدارة الطوارئ (ب. زهو دكتوراه)، الجامعة الجنوبية للعلوم والتكنولوجيا، شنتشن، الصين؛ قسم الصحة العامة (أ. زهوماجاليولي دكتوراه)، الجامعة الوطنية الطبية الكازاخستانية، ألماتي، كازاخستان
المساهمون
إعلان المصالح
الفعاليات التعليمية من Pfizer وRoche Pharmaceuticals ودعم لحضور الاجتماعات والسفر من Boehringer Ingelheim، خارج العمل المقدم. يبلغ T W Bärnighausen عن منح من الاتحاد الأوروبي (Horizon 2020 ومعهد الابتكار والتكنولوجيا الصحية الأوروبي)، ومؤسسة الأبحاث الألمانية، والمعاهد الوطنية للصحة الأمريكية، ووزارة التعليم والبحث الألمانية، ومؤسسة ألكسندر فون هومبولت، ومؤسسة إلس-كرونر-فريزينيوس، ومؤسسة ويلكوم، ومؤسسة غيتس، وبنك التنمية KfW، وUNAIDS، ومنظمة الصحة العالمية؛ رسوم استشارية لـ KfW بشأن مبادرة OSCAR في فيتنام؛ المشاركة في مجلس مراقبة سلامة البيانات أو المجلس الاستشاري مع دراسة Healthy Options الممولة من NIH كرئيس لمجلس مراقبة السلامة والبيانات، والمشاركة في مجلس مراقبة سلامة البيانات مع اللجنة الوطنية الألمانية بشأن مستقبل أبحاث الصحة العامة والتعليم، والمشاركة كرئيس للمجلس الاستشاري العلمي لشراكة تقييم التجارب السريرية للدول الأوروبية والنامية، والمشاركة كعضو في اللجنة الاستشارية للخبراء لتقييم UNAIDS، وعضو قسم دراسة المعاهد الوطنية للصحة حول الأساليب السكانية والصحة العامة لفيروس HIV/AIDS، ولجنة الأكاديميات الوطنية الأمريكية للعلوم والهندسة والطب لتقييم الموارد البشرية للصحة في جمهورية رواندا بموجب خطة الطوارئ الرئاسية للإغاثة من الإيدز، ومركز أبحاث شيخوخة السكان بجامعة بنسلفانيا (UPenn)؛ والأدوار القيادية أو الائتمانية في مجلس أو جمعية أو لجنة أو مجموعات مناصرة، مدفوعة أو غير مدفوعة مع مركز الصحة العالمية في ألمانيا كرئيس مشارك (الذي بدأته وزارة الصحة الألمانية)، خارج العمل المقدم. يبلغ S Bhaskar عن منح أو عقود من جمعية اليابان لتعزيز العلوم؛ الأدوار القيادية أو الائتمانية في مجلس أو جمعية أو لجنة أو مجموعات مناصرة، مدفوعة أو غير مدفوعة مع منطقة روتاري 9675 للتنوع والإنصاف والشمول كرئيس ومع الصحة العالمية والهجرة، ومركز الصحة العالمية في ألمانيا كعضو مؤسس ومدير ورئيس. يبلغ H Carabin عن منح أو عقود من منظمة الصحة العالمية. يبلغ M Endres عن منح من Bayer (منحة غير مقيدة إلى Charité لدراسة MonDAFIS وسجل AFib في برلين، دون أي رسوم شخصية)؛ رسوم استشارية مدفوعة للمؤسسة من Bayer؛ المدفوعات (مدفوعة للمؤسسة) للمكافآت للمحاضرات والعروض التقديمية ومكاتب المتحدثين وكتابة المخطوطات أو الفعاليات التعليمية من Bayer وPfizer وAmgen وGSK وNovartis؛ المشاركة في مجلس مراقبة سلامة البيانات أو المجلس الاستشاري (دون رسوم شخصية) مع BMS (المحقق الرئيسي في البلد لدراسة Axiomatic-SSP) وBayer (المحقق الرئيسي في البلد لدراسة NAVIGATE-ESUS) وDaiichi Sankyo؛ الأدوار القيادية أو الائتمانية في مجلس أو جمعية أو لجنة أو مجموعات مناصرة، مدفوعة أو غير مدفوعة مع الأكاديمية الأوروبية لعلم الأعصاب كعضو عام في مجلس الإدارة وكزميل غير مدفوع، والمركز الألماني للأمراض العصبية التنكسية كعضو غير مدفوع، والجمعية الدولية لتدفق الدم الدماغي والتمثيل الغذائي كعضو غير مدفوع، وجمعية الصحة الأمريكية وجمعية السكتة الدماغية الأمريكية كعضو غير مدفوع، ومنظمة السكتة الدماغية الأوروبية كزميل غير مدفوع، ومنظمة السكتة الدماغية العالمية كعضو غير مدفوع، والمركز الألماني للبحوث القلبية الوعائية كمحقق رئيسي غير مدفوع، والمركز الألماني للأمراض العصبية التنكسية كمحقق رئيسي مدفوع بموجب عقد شخصي؛ واستلام المعدات والمواد والأدوية والكتابة الطبية والهدايا أو الخدمات الأخرى من Amgen، خارج العمل المقدم. يبلغ L M Force عن دعم للمخطوطة الحالية من مؤسسة غيتس؛ منح أو عقود من مؤسسة Conquer Cancer، ومستشفى أبحاث الأطفال St Jude، ومؤسسة St Baldrick، وبرنامج سداد قروض المعاهد الوطنية للصحة؛ والأدوار القيادية أو الائتمانية في مجلس أو جمعية أو لجنة أو مجموعات مناصرة، غير مدفوعة مع المجلس الاستشاري الدولي لمجلة The Lancet Oncology. يبلغ Q Gan عن مصالح مالية أو غير مالية أخرى من الوكالة الدولية لأبحاث السرطان كالمستفيد من برنامج أبحاث وتدريب الوكالة الدولية لأبحاث السرطان. يبلغ J F Mosser عن دعم تمويلي للمخطوطة الحالية لتقدير العبء العالمي للمرض من مؤسسة غيتس؛ منح من Gavi، تحالف اللقاحات؛ ودعم لحضور الاجتماعات والسفر من مؤسسة غيتس. يدعم S Muthu حضور الاجتماعات والسفر من مؤسسة ON (جمعية تجديد الغضاريف الدولية وحفظ المفاصل 2023) والأدوار القيادية أو الائتمانية في مجلس أو جمعية أو لجنة أو مجموعات مناصرة، مدفوعة أو غير مدفوعة مع الجمعية الدولية لجراحة العظام والصدمات.
في لجنة منح البحث وجمعية تجديد الغضاريف الدولية والحفاظ على المفاصل في لجنة NextGEN، خارج العمل المقدم. يذكر ل. رونفاني الدعم للنسخة الحالية من وزارة الصحة الإيطالية (Ricerca Corrente 34/2017)، والمدفوعات التي تمت إلى معهد صحة الأم والطفل Istituto di Ricovero e Cura a Carattere Scientifico Burlo Garofolo. يذكر س. زادي أتعابًا للمحاضرات والعروض التقديمية ومكاتب المتحدثين وكتابة المخطوطات أو الفعاليات التعليمية من Think Global Health وHarvard Public Health Magazine وThe Wire Science وأدوار القيادة أو الأمانة في مجلس أو جمعية أو لجنة أو مجموعات مناصرة، مدفوعة أو غير مدفوعة مع الجمعية للبحث القابل للتطبيق اجتماعيًا كمدير مؤسس مشارك، وتحالف G4 كعضو دائم في المجلس، ومجموعة العمل للرعاية الجراحية والولادة والصدمات والتخدير في جنوب آسيا كرئيس، وعضو في لجنة صياغة سياسة الصحة النفسية في ولاية ماهاراشترا، خارج العمل المقدم. المؤلفون وحدهم مسؤولون عن الآراء المعبر عنها في هذه المقالة، ولا تمثل بالضرورة الآراء أو القرارات أو السياسات للمؤسسات أو الممولين الذين يرتبطون بهم.
مشاركة البيانات
الشكر والتقدير
References
2 WHO. Optimizing brain health across the life course: WHO position paper. Aug 9, 2022. https://www.who.int/publications/i/ item/9789240054561 (accessed Nov 16, 2022).
3 WHO. Intersectoral global action plan on epilepsy and other neurological disorders 2022-2031. 2023. https://apps.who.int/iris/ handle/10665/371495 (accessed Feb 9, 2024).
4 Feigin VL, Abajobir AA, Abate KH, et al. Global, regional, and national burden of neurological disorders during 1990-2015: a systematic analysis for the Global Burden of Disease Study 2015. Lancet Neurol 2017; 16: 877-97.
5 Kang S, Eum S, Chang Y, et al. Burden of neurological diseases in Asia from 1990 to 2019: a systematic analysis using the Global Burden of Disease Study data. BMJ Open 2022; 12: e059548.
6 Ding C, Wu Y, Chen X, et al. Global, regional, and national burden and attributable risk factors of neurological disorders: the Global Burden of Disease study 1990-2019. Front Public Health 2022; published online Nov 29. https://doi.org/10.3389/fpubh.2022.952161.
7 Newton CR. Global burden of pediatric neurological disorders. Semin Pediatr Neurol 2018; 27: 10-15.
8 WHO. Neurology and COVID-19: scientific brief, 29 September 2021. Sept 29, 2021. https://apps.who.int/iris/ handle/10665/345574 (accessed March 14, 2023).
9 Wulf Hanson S, Abbafati C, Aerts JG, et al. Estimated global proportions of individuals with persistent fatigue, cognitive, and respiratory symptom clusters following symptomatic COVID-19 in 2020 and 2021. JAMA 2022; 328: 1604-15.
10 Guerrero Saldivia SE, Unnikrishnan S, Chavarria YY, et al. Zika virus: a systematic review of teratogenesis, congenital anomalies, and child mortality. Cureus 2023; 15: e34735.
12 Patel H, Sander B, Nelder MP. Long-term sequelae of West Nile virusrelated illness: a systematic review. Lancet Infect Dis 2015; 15: 951-59.
13 Muñoz LS, Garcia MA, Gordon-Lipkin E, Parra B, Pardo CA. Emerging viral infections and their impact on the global burden of neurological disease. Semin Neurol 2018; 38: 163-75.
14 Olusanya BO, Davis AC, Wertlieb D, et al. Developmental disabilities among children younger than 5 years in 195 countries and territories, 1990-2016: a systematic analysis for the Global Burden of Disease Study 2016. Lancet Glob Health 2018; 6: e1100-21.
15 Vos T, Lim SS, Abbafati C, et al. Global burden of 369 diseases and injuries in 204 countries and territories, 1990-2019: a systematic analysis for the Global Burden of Disease Study 2019. Lancet 2020; 396: 1204-22.
16 Dorsey ER, Elbaz A, Nichols E, et al. Global, regional, and national burden of Parkinson’s disease, 1990-2016: a systematic analysis for the Global Burden of Disease Study 2016. Lancet Neurol 2018; 17: 939-53.
17 Murray CJL, Aravkin AY, Zheng P, et al. Global burden of 87 risk factors in 204 countries and territories, 1990-2019: a systematic analysis for the Global Burden of Disease Study 2019. Lancet 2020; 396: 1223-49.
18 Feigin VL, Vos T, Nichols E, et al. The global burden of neurological disorders: translating evidence into policy. Lancet Neurol 2020; 19: 255-65.
19 Mohammadi D. Neurology in resource-poor countries: fighting for funding. Lancet Neurol 2011; 10: 953-54.
20 Patel V, Chisholm D, Dua T, Laxminarayan R, Medina-Mora ME. Mental, neurological, and substance use disorders: disease control priorities, third edition (volume 4) Washington, DC: The International Bank for Reconstruction and Development and The World Bank, 2016.
21 Winkler AS. The growing burden of neurological disorders in lowincome and middle-income countries: priorities for policy making. Lancet Neurol 2020; 19: 200-02.
22 Feigin VL, Stark BA, Johnson CO, et al. Global, regional, and national burden of stroke and its risk factors, 1990-2019: a systematic analysis for the Global Burden of Disease Study 2019. Lancet Neurol 2021; 20: 795-820.
23 Nichols E, Steinmetz JD, Vollset SE, et al. Estimation of the global prevalence of dementia in 2019 and forecasted prevalence in 2050: an analysis for the Global Burden of Disease Study 2019. Lancet Public Health 2022; 7: e105-25.
24 Amarenco P, Labreuche J. Lipid management in the prevention of stroke: review and updated meta-analysis of statins for stroke prevention. Lancet Neurol 2009; 8: 453-63.
25 Wright JT Jr, Williamson JD, Whelton PK, et al. A randomized trial of intensive versus standard blood-pressure control. N Engl J Med 2015; 373: 2103-16.
26 Langhorne P, Ramachandra S. Organised inpatient (stroke unit) care for stroke: network meta-analysis. Cochrane Database Syst Rev 2020; 4: CD000197.
27 National Institute of Neurological Disorders and Stroke rt-PA Stroke Study Group. Tissue plasminogen activator for acute ischemic stroke.
28 Goyal M, Demchuk AM, Menon BK, et al. Randomized assessment of rapid endovascular treatment of ischemic stroke. N Engl J Med 2015; 372: 1019-30.
29 de Figueiredo A, Johnston IG, Smith DMD, Agarwal S, Larson HJ, Jones NS. Forecasted trends in vaccination coverage and correlations with socioeconomic factors: a global time-series analysis over 30 years. Lancet Glob Health 2016; 4: e726-35.
31 Shlobin NA, LoPresti MA, Du RY, Lam S. Folate fortification and supplementation in prevention of folate-sensitive neural tube defects: a systematic review of policy. J Neurosurg Pediatr 2020; 27: 294-310.
32 Ssentongo P, Heilbrunn ES, Ssentongo AE, Ssenyonga LVN, Lekoubou A. Birth prevalence of neural tube defects in eastern Africa: a systematic review and meta-analysis. BMC Neurol 2022; 22: 202.
33 Bitew ZW, Worku T, Alebel A, Alemu A. Magnitude and associated factors of neural tube defects in Ethiopia: a systematic review and meta-analysis. Glob Pediatr Health 2020; 7: X20939423.
34 Abdullahi A, Candan SA, Soysal Tomruk M, et al. Is Guillain-Barré syndrome associated with COVID-19 infection? A systemic review of the evidence. Front Neurol 2021; published online Jan 13. https://doi.org/10.3389/fneur.2020.566308.
35 Luijten LWG, Leonhard SE, van der Eijk AA, et al. Guillain-Barré syndrome after SARS-CoV-2 infection in an international prospective cohort study. Brain 2021; 144: 3392-404.
36 Keddie S, Pakpoor J, Mousele C, et al. Epidemiological and cohort study finds no association between COVID-19 and Guillain-Barré syndrome. Brain 2021; 144: 682-93.
37 WHO. Parkinson disease: a public health approach: technical brief. June 14, 2022. https://www.who.int/publications-detailredirect/9789240050983 (accessed March 14, 2023).
38 Ong KL, Stafford LK, McLaughlin SA, et al. Global, regional, and national burden of diabetes from 1990 to 2021, with projections of prevalence to 2050: a systematic analysis for the Global Burden of Disease Study 2021. Lancet 2023; 402: 203-34.
39 WHO. Atlas: country resources for neurological disorders, 2nd ed. Jan 1, 2017. https://www.who.int/publications-detailredirect/9789241565509 (accessed March 14, 2023).
40 O’Donnell MJ, Chin SL, Rangarajan S, et al. Global and regional effects of potentially modifiable risk factors associated with acute stroke in 32 countries (INTERSTROKE): a case-control study. Lancet 2016; 388: 761-75.
41 Livingston G, Huntley J, Sommerlad A, et al. Dementia prevention, intervention, and care: 2020 report of the Lancet Commission. Lancet 2020; 396: 413-46.
42 van Hecke O, Austin SK, Khan RA, Smith BH, Torrance N. Neuropathic pain in the general population: a systematic review of epidemiological studies. Pain 2014; 155: 654-62.
43 Knezevic NN, Candido KD, Vlaeyen JWS, Van Zundert J, Cohen SP. Low back pain. Lancet 2021; 398: 78-92.
44 Mahdizade Ari M, Mohamadi MH, Shadab Mehr N, et al. Neurological manifestations in patients with COVID-19: a systematic review and meta-analysis. J Clin Lab Anal 2022; 36: e24403.
45 Kiani L. Preventing COVID-19 neurological complications. Nat Rev Neurol 2022; 18: 699.
46 Beghi E, Moro E, Davidescu EI, et al. Comparative features and outcomes of major neurological complications of COVID-19. Eur J Neurol 2023; 30: 413-33.
47 Wiebers DO, Feigin VL, Winkler AS. Brain health, One Health, and COVID-19. Neuroepidemiology 2021; 55: 425-26.
48 Beghi E, Feigin V, Caso V, Santalucia P, Logroscino G. COVID-19 infection and neurological complications: present findings and future predictions. Neuroepidemiology 2020; 54: 364-69.
49 Kolappa K, Seeher K, Dua T. Brain health as a global priority. J Neurol Sci 2022; 439: 120326.
- GBD 2021 Nervous System Disorders Collaborators
Jaimie D Steinmetz*, Katrin Maria Seeher*, Nicoline Schiess, Emma Nichols, Bochen Cao, Chiara Servili, Vanessa Cavallera, Ewerton Cousin, Hailey Hagins, Madeline E Moberg, Max L Mehlman, Yohannes Habtegiorgis Abate, Jaffar Abbas, Madineh Akram Abbasi, Mohammadreza Abbasian, Hedayat Abbastabar, Michael Abdelmasseh, Mohammad Abdollahi, Mozhan Abdollahi, Mohammad-Amin Abdollahifar, Rami Abd-Rabu, Deldar Morad Abdulah, Auwal Abdullahi, Aidin Abedi, Vida Abedi, Roberto Ariel Abeldaño Zuñiga, Hassan Abidi, Olumide Abiodun, Richard Gyan Aboagye, Hassan Abolhassani, Victor Aboyans, Woldu Aberhe Abrha, Ahmed Abualhasan, Eman Abu-Gharbieh, Salahdein Aburuz, Lawan Hassan Adamu, Isaac Yeboah Addo, Oladimeji M Adebayo, Victor Adekanmbi, Tayo Alex Adekiya, Wirawan Adikusuma, Qorinah Estiningtyas Sakilah Adnani, Saryia Adra, Tsion Afework, Aanuoluwapo Adeyimika Afolabi, Ali Afraz, Saira Afzal, Shahin Aghamiri, Antonella Agodi, Williams Agyemang-Duah, Bright Opoku Ahinkorah, Aqeel Ahmad, Danish Ahmad,
DOI: https://doi.org/10.1016/s1474-4422(24)00038-3
PMID: https://pubmed.ncbi.nlm.nih.gov/38493795
Publication Date: 2024-03-14
Global, regional, and national burden of disorders affecting the nervous system, 1990-2021: a systematic analysis for the Global Burden of Disease Study 2021
– To cite this version:
HAL Id: hal-04543789
https://unilim.hal.science/hal-04543789v1
Global, regional, and national burden of disorders affecting the nervous system, 1990-2021: a systematic analysis for the Global Burden of Disease Study 2021
Published Online
March 14, 2024
https://doi.org/10.1016/
S1474-4422(24)00038-3
This online publication has been corrected. The corrected version
first appeared at
thelancet.com/neurology on
March 18, 2024
See Comment pages 326 and 327
*Collaborators listed at the end of the paper
Dr Jaimie Steinmetz, Institute for
Health Metrics and Evaluation,
University of Washington,
Seattle, WA 98105, USA
jsteinme@uw.edu
Summary
Introduction
cerebrovascular and neurodegenerative diseases, neurological infections, neurological-immunological disorders, neuromuscular or peripheral nervous system disorders, traumatic injuries, and cancers of the nervous system, for brevity summarised as neurological disorders or nervous system conditions. These disorders vary in cause, symptoms, and course. Some nervous system is directly due to damage to the CNS or peripheral nervous system. We also isolated neurological health loss from conditions for which nervous system morbidity is a consequence, but not the primary feature, including a subset of congenital conditions (ie, chromosomal anomalies and congenital birth defects), neonatal conditions (ie, jaundice, preterm birth, and sepsis), infectious diseases (ie, COVID-19, cystic echinococcosis, malaria, syphilis, and Zika virus disease), and diabetic neuropathy. By conducting a sequela-level analysis of the health outcomes for these conditions, only cases where nervous system damage occurred were included, and YLDs were recalculated to isolate the non-fatal burden directly attributable to nervous system health loss. A comorbidity correction was used to calculate total prevalence of all conditions that affect the nervous system combined.
Copyright © 2024 World Health Organization. Published by Elsevier Ltd. All rights reserved. This is an Open Access article published under the CC BY 3.0 IGO license which permits unrestricted use, distribution, and reproduction in any medium, provided the original work is properly cited. In any use of this article, there should be no suggestion that WHO endorses any specific organisation, products or services. The use of the WHO logo is not permitted. This notice should be preserved along with the article’s original URL.
Research in context
Evidence before this study
Added value of this study
previously not considered and by adding consequences of non-neurological conditions that affect the nervous system, bringing the total number of included conditions to 37 . This study estimated the proportion of nervous system burden that was potentially avertible by eliminating known risk factors for stroke, Alzheimer’s disease and other dementias, multiple sclerosis, Parkinson’s disease, encephalitis, meningitis, and idiopathic intellectual disability but also emphasises the scarcity of knowledge about risk factors for nervous system conditions.
Implications of all the available evidence
conditions cause lifelong disability, whereas others are associated with high fatality rates; some are treatable or preventable, whereas for others there is no cure.
conditions are spread across many disease groupings. The basic GBD grouping of neurological disorders includes Alzheimer’s disease and other dementias, headaches, idiopathic epilepsy, motor neuron disease, multiple sclerosis, Parkinson’s disease, and a residual group of other neurological disorders that includes, for instance, muscular dystrophy and Huntington’s disease. Using GBD 2015 and 2016 estimates, Feigin and colleagues previously provided more comprehensive estimates of neurological health loss than the basic GBD grouping by also including stroke, meningitis, encephalitis, tetanus, traumatic brain injury, spinal cord injury, and brain and CNS cancers.
Articles
vector-borne viruses such as Zika virus,
Methods
Overview
spinocerebellar diseases, nerve root and plexus disorders, peripheral nerve disorders, some neuromuscular disorders, and muscle diseases, such as myopathies (appendix pp 5-6, 63-64). Epilepsy estimates exclude epilepsy cases that are captured under other conditions to avoid double counting. A Guidelines for Accurate and Transparent Health Estimates Reporting checklist is included in the appendix (pp 2-5).
Prevalence estimates
Case aggregation and comorbidity corrections
A comorbidity correction was used to calculate total prevalence of all nervous system conditions and disorders combined, assuming independent comorbidity. Without a comorbidity correction, prevalence would be overestimated because individual conditions or disorders would be assumed to be non-overlapping (ie, one condition or disorder per individual). The total number of people with any nervous system health loss was then calculated by multiplying by the number of people in the population: prevalence
YLDs due to nervous system health loss
| Included in GBD 2016 analysis by Feigin and colleagues
|
Mortality included in this analysis | |
| Alzheimer’s disease and other dementias | Yes | Yes |
| Attention deficit hyperactivity disorder | No | No |
| Autism spectrum disorder | No | No |
| Cerebral malaria | No | No |
| Cognitive impairment or Guillain-Barré syndrome due to COVID-19 | No | No |
| Congenital and adult neurosyphilis | No | No |
| Diabetic neuropathy | No | No |
| Encephalitis | Yes | Yes |
| Epilepsy | Yes (idiopathic) | Yes |
| Epilepsy due to cystic echinococcosis | No | No |
| Fetal alcohol syndrome | No | No |
| Guillain-Barré syndrome | No | Yes* |
| Idiopathic intellectual disability | No | No |
| Meningitis | Yes | Yes |
| Migraine | Yes | No |
| Motor neuron disease | Yes | Yes |
| Multiple sclerosis | Yes | Yes |
| Neonatal encephalopathy | No | Yes |
| Nervous system cancer (ie, CNS cancers, neuroblastoma, and other peripheral nervous cell tumours; includes paediatric and adult primary cases, and excludes metastases) | Yes (CNS) | Yes |
| Neural tube defects | No | Yes |
| Neurocysticercosis | No | Yes |
| Neurological complications due to congenital birth defects | No | No |
| Neurological complications due to congenital Zika syndrome | No | No |
| Neurological complications due to Down syndrome | No | No |
| Neurological complications due to Klinefelter syndrome | No | No |
| Neurological complications due to neonatal jaundice | No | No |
| Neurological complications due to neonatal sepsis | No | No |
| Neurological complications due to other chromosomal anomalies (excluding Down syndrome, Klinefelter syndrome, and Turner syndrome) | No | No |
| Neurological complications due to preterm birth | No | No |
| Other neurological disorders (including degenerative diseases, disorders of the autonomic nervous system, some movement disorders, spinocerebellar diseases, nerve root and plexus disorders, peripheral nerve disorders, neuromuscular disorders, and some muscle diseases such as myopathies; appendix pp 5-6) | Yes | Yes |
| Parkinson’s disease | Yes | Yes |
| Rabies | No | Yes |
| Spinal cord injury | Yes | No |
| Stroke (ie, ischaemic stroke, subarachnoid haemorrhage, and intracerebral haemorrhage) | Yes | Yes |
| Tension-type headache | Yes | No |
| Tetanus | Yes | Yes |
| Traumatic brain injury | Yes | No |
| *Guillain-Barré syndrome deaths not ascribed to an underlying cause are captured in the category of other neurological disorders. |
lay description of health states included in GBD. Disability weights and lay descriptions for all health states included in this analysis are described in the appendix (pp 49-61). To account for the fact that individuals can have more than one condition, we did a simulation to produce adjusted disability weights on the basis of the observed combinations of comorbidities generated by the simulation.
For sequelae that include both neurological and nonneurological health loss, YLDs were recalculated to isolate the non-fatal burden attributable to nervous system health loss. For example, sequelae of Down syndrome include severe intellectual disability with congenital heart disease due to Down syndrome (sequela 1) and severe intellectual disability due to Down syndrome (sequela 2). To isolate the neurological component of sequela 1 , the adjusted disability weight generated from the comorbidity simulation for sequela 2 was used to recalculate YLDs by multiplying the prevalence of sequela 1 by the adjusted disability weight for sequela 2. This method was used to calculate YLDs for all sequelae with combined neurological and non-neurological health loss to isolate the burden due to nervous system health loss.
Calculating deaths and years of life lost
Causes of death in GBD are mutually exclusive and collectively exhaustive, meaning a given individual is assigned only one underlying cause of death and the sum of all disease-specific deaths adds up to total deaths for a given year. Years of life lost (YLLs) were calculated for each condition by multiplying deaths and remaining standard life expectancy.
Risk factors
Mean estimate, uncertainty, and percentage change calculation
Role of the funding source
Results
Overview
For total nervous system health loss, global DALY counts increased by
Regionally, age-standardised DALY rates were highest in western sub-Saharan Africa (
The ten conditions that accounted for the greatest nervous system DALYs in 2021 were stroke, neonatal encephalopathy, migraine, Alzheimer’s disease and other dementias, diabetic neuropathy, meningitis, epilepsy, neurological complications due to preterm birth, autism spectrum disorder, and nervous system cancer, with stroke being the greatest contributor globally and in 19 of 21 GBD regions (table 2; figure 1). Notably, four of the top ten conditions were not included in our previous analyses of neurological burden: neonatal encephalopathy, diabetic neuropathy, neurological complications due to preterm birth, and autism spectrum disorder, which emphasises the effects of early life and childhood conditions on total nervous system health loss and the under-recognised effects on the peripheral nervous system.
Regional rankings across conditions were mostly consistent (figure 1). Exceptions included regional variation for meningitis (regional ranking range: third to 22 nd ), tetanus (range: 11th to 35th), multiple sclerosis (range: 15th to 31st), and motor neuron disease (range: 15th to 34th). Some infectious disease rankings reflected their regional pathogen endemicity (eg, cerebral malaria, neurocysticercosis, and neurological complications due to congenital Zika syndrome).
For children younger than 5 years, the three leading causes of DALYs globally were neonatal encephalopathy (
Articles
| Counts (thousands) | Age-standardised rate (per 100000 people) | ||||||
| 2021 | Percentage change, 1990-2021 | 2021 | Percentage change, 1990-2021 | Females | Males | Female-to-male ratio* | |
| All neurological conditions | |||||||
| DALYs | 443000 (378000 to 521000) | 18.2% ( 8.7 to 26.7 ) |
|
-27.0% (
|
5185.8 (4281.2 to 6262.9) | 6101.0 (
|
0.85 (0.78 to 0.93) |
| YLDs | 168000 (114000 to 243000 ) |
|
|
11.2% (
|
2078.2 (1301•3 to
|
|
1.01 (0.88 to 1.14) |
| YLLs | 275000 (247000 to 316000) | -3.1% (-11.8 to
|
|
-39.0% (
|
3107.4 (
|
|
0.77 (0.71 to 0.84) |
| Prevalence | 3400000 (3200000 to 3620000 ) | 58.8% ( 56.3 to 61.5 ) |
|
1.5% (0.7 to 2.4) |
|
38949.0 (
|
1.12 ( 1.10 to 1.14 ) |
| Deaths | 11100 (9750 to 13800 ) | 41•2% ( 28.1 to 58.8 ) | 139.0 (
|
-33.6% (
|
125.0 (
|
|
0.81 (0.73 to 0.90) |
| Alzheimer’s disease and other dementias | |||||||
| DALYs | 36300 (17200 to 77400) | 168.7% ( 156.3 to 179.9 ) |
|
1.7% (-2.8 to 5.1) | 504.8 (
|
|
|
| YLDs | 11600 (7960 to 15300) | 162.7% ( 157.0 to 168.0 ) | 141.9 (
|
2.6% ( 1.1 to 3.6 ) | 161.9 (110.7 to
|
114.4 (
|
1.42 (1.33 to 1.49) |
| YLLs | 24700 (6370 to 65700) | 173.4% (
|
308.9 (78.9 to 789.0 ) | 1.4% (
|
342.9 ( 89.2 to 872.0 ) | 258.0 (
|
1.36 ( 1.22 to 1.47 ) |
| Prevalence | 56900 (49400 to 65000) | 160.8% ( 156.1 to 165.9 ) | 694.0 (
|
3.2% (1.7 to 4.2) | 769.9 (670.7 to 877.6) | 589.5 (507.5 to 678.8) | 1.31 (1.28 to 1.35) |
| Deaths | 1950 (503 to 5080) | 198.3% (175.2 to
|
25.2 (6.7 to 64.4) | 1.5% ( -4.0 to 7.1 ) | 27.9 (
|
20.7 (
|
1.38 ( 1.24 to 1.49 ) |
| Attention deficit hyperactivity disorder | |||||||
| YLDs | 1030 (572 to 1670) | 18.7% ( 14.8 to 22.8 ) | 13.5 ( 7.4 to 21.9 ) | -9•6% (-11.9 to -7.3) | 7.7 (
|
19.0 ( 10.4 to 30.7 ) | 0.40 (0.38 to 0.43) |
| Prevalence | 84800 (63400 to 117000 ) | 18.8% (14.9 to
|
1108.9 ( 828.7 to 1536.2 ) | -9.7% (-11.8 to -7.4) | 636.0 (467.9 to 879.0) | 1561.7 (
|
0.41 (0.39 to 0.43) |
| Autism spectrum disorder | |||||||
| YLDs | 11500 (7840 to 16300) | 46.7% (
|
147.6 (100.2 to 208.1) | 2.1% ( 0.6 to 3.4 ) |
|
199.8 (
|
0.47 (0.46 to 0.49) |
| Prevalence | 61800 (52100 to 72700) | 47.5% (
|
788.3 (663.8 to
|
2.0% (0.4 to 3.1 ) | 508.1 (424.6 to 604.3) | 1064.7 ( 898.5 to 1245.7 ) | 0.48 (0.46 to 0.50) |
| Cerebral malaria | |||||||
| YLDs | 407 (296 to 514) | 109•1% (
|
|
53.6% (
|
5.6 (4.1 to
|
5.0 ( 3.6 to 6.3 ) |
|
| Prevalence | 996 (923 to 1070) | 122•2% (
|
12.9 ( 12.0 to 13.9 ) | 63.0% (58.7 to 67.4) | 13.8 ( 12.7 to 14.9 ) |
|
1.14 ( 1.13 to 1.15 ) |
| Congenital birth defects
|
|||||||
| YLDs | 1450 (676 to 2750) | 53.4% ( 48.3 to 58.4 ) | 18.7 ( 8.8 to 35.4 ) | 8.9% (
|
15.9 (7.4 to 30.4) | 21.4 (10.2 to 39.9 ) | 0.74 (0.69 to 0.80) |
| Prevalence | 13900 (7980 to 21600 ) | 56.0% (51.6 to 60.4) | 180.2 (104•5 to
|
11.4% ( 8.6 to 14.5 ) | 157.0 (90.4 to
|
203.0 (118.0 to 315.0) | 0.77 (0.73 to 0.81) |
| Congenital Zika syndrome
|
|||||||
| YLDs | 0.100 ( 0.100 to 0.100 ) | 100.0% (
|
0.0 ( 0.0 to 0.0 ) | 100.0% (
|
0.0 ( 0.0 to 0.0 ) | 0.0 ( 0.0 to 0.0 ) | 0.97 (0.93 to 1.02) |
| Prevalence | 0.100 ( 0.100 to 0.200 ) | 100.0% ( 100.0 to 100.0 ) | 0.0 ( 0.0 to 0.0 ) | 100.0% (
|
0.0 ( 0.0 to 0.0 ) | 0.0 ( 0.0 to 0.0 ) | 0.97 (0.97 to 0.97) |
| COVID-19
|
|||||||
| YLDs | 2480 (87.2 to 7990) | 100% (100 to 100) | 29.4 ( 1.1 to 101.1 ) | 100.0% (
|
36.9 (1.0 to 122.8) |
|
1.84 (0.97 to 3.35) |
| Prevalence | 23400 (4140 to 72800 ) | 100% (100 to 100) | 288.5 (
|
100.0% (
|
370.9 (64.3 to 1175.0) | 205.7 ( 35.8 to 608.9 ) | 1.87 ( 1.32 to 2.61 ) |
| Cystic echinococcosis
|
|||||||
| YLDs | 4.60 (2.90 to 7.00) | 21•1% (-0.3 to 48.3) | 0.1 ( 0.0 to 0.1 ) | -24.7% (
|
0.1 (0.0 to 0.1) | 0.1 (0.0 to 0.1) | 1.21 ( 1.14 to 1.27 ) |
| (Table 2 continues on next page) | |||||||
| Counts (thousands) | Age-standardised rate (per 100000 people) | ||||||
| 2021 | Percentage change, 1990-2021 | 2021 | Percentage change, 1990-2021 | Females | Males | Female-to-male ratio | |
| (Continued from previous page) | |||||||
| Prevalence |
|
45•2% ( 27.9 to 60.2 ) | 0.2 ( 0.1 to 0.2 ) | -10.7% (-19 to -2.0) | 0.2 ( 0.2 to 0.3 ) | 0.2 (0.1 to 0.2) | 1.21 (1.14 to 1.27) |
| Diabetic neuropathy | |||||||
| YLDs | 26300 (18 000 to 37400) | 309•1% (
|
694.0 (
|
91.9% ( 86.3 to 97.3 ) | 769.9 (670.7 to 877.6) |
|
0.92 (0.89 to 0.94) |
| Prevalence | 206000 (171000 to 249000 ) | 310•5% (297.4 to 322.3) | 301.9 (207.0 to 429.4) | 92.2% ( 86.4 to 97.7 ) | 289.7 (198.4 to 410.9) | 315.9 (
|
0.95 (0.92 to 0.97) |
| Down syndrome
|
|||||||
| YLDs | 135 ( 89.8 to 194 ) | -4.5% ( -11.8 to 3.0 ) | 1.8 ( 1.2 to 2.6 ) | -24•2% (-29.7 to -18.3) | 1.7 ( 1.2 to 2.5 ) | 1.9 ( 1.2 to 2.7 ) | 0.93 (0.92 to 0.95) |
| Prevalence | 1490 (1240 to 1780) | -5.4% (
|
20.0 (
|
-24.6% (
|
19.3 ( 16.1 to 22.9 ) | 20.7 (17.2 to
|
0.93 (0.91 to 0.94) |
| Encephalitis | |||||||
| DALYs | 4950 (4150 to 5700) | -17.8% (
|
67.4 (55.7 to 78.3) | -35.7% (
|
67.2 ( 58.4 to 78.2 ) | 67.7 (50.6 to 83.5) | 1.01 (0.76 to 1.26) |
| YLDs | 497 (354 to 658) | 5.0% ( 0.0 to 10.5 ) | 6.2 (
|
-29.9% (
|
6.1 (
|
6.3 (
|
0.96 (0.93 to 1.00) |
| YLLs | 4460 (3690 to 5280) | -19.7% (
|
61.2 ( 49.9 to 72.9 ) | -36.2% (
|
61.2 ( 51.9 to 71.1 ) | 61.4 (
|
1.01 (0.74 to 1.31) |
| Prevalence | 4640 (3250 to 6000) | 0.7% ( -3.0 to 5.3 ) | 57.3 ( 40.2 to 73.9 ) | -35.6% ( -38.2 to -3.02 ) |
|
59.9 (
|
0.91 (0.90 to 0.93) |
| Deaths | 92.0 (79.0 to 108) | 9.9% (-8.9 to
|
1.2 ( 1.0 to 1.4 ) | -26.1% (-38.0 to – 8.3 ) | 1.2 ( 1.0 to 1.4 ) | 1.2 ( 0.9 to 1.5 ) | 0.98 (0.69 to 1.27) |
| Epilepsy | |||||||
| DALYs | 14400 (11000 to 18500) | 22.5% (7.7 to 38.7) | 183.9 (
|
|
160.4 (118.3 to
|
207.2 (161.9 to
|
0.77 (0.67 to 0.86) |
| YLDs | 7760 (4660 to 11800) | 35.6% (
|
98.9 (59.8 to 149.8) | -7.1% (-25.8 to 13.7) | 94.4 (57.0 to 142.9) | 103.6 (
|
0.91 (0.89 to 0.94) |
| YLLs | 6610 (5450 to 7340) | 10.7% ( -0.6 to 24.4 ) | 85.0 (70.7 to 95.0) | -21.6% (
|
66.0 ( 47.6 to 76.6 ) | 103.6 (
|
0.64 (0.45 to 0.78) |
| Prevalence | 24400 (18 600 to 30800 ) | 57.4% (
|
308.9 (
|
6.2% (
|
294.6 (
|
323.8 (249.0 to 406.4) | 0.91 (0.89 to 0.93) |
| Deaths | 140 (116 to 153) | 34.2% (
|
1.7 ( 1.5 to 1.9 ) | -15.7% (-22.5 to -8.8) | 1.4 ( 1.0 to 1.5 ) |
|
0.64 (0.46 to 0.76) |
| Fetal alcohol syndrome | |||||||
| YLDs | 23.6 ( 13.8 to 37.0 ) | 24.0% ( 14.8 to 32.1 ) | 0.3 ( 0.2 to 0.5 ) | -11•1% (
|
0.3 ( 0.2 to 0.5 ) | 0.3 ( 0.2 to 0.5 ) | 0.91 (0.84 to 0.99) |
| Prevalence | 517 (374 to 677) | 33.7% ( 28.4 to 37.9 ) | 6.7 (4.9 to 8.8) | -4.7% (-8.2 to -1.8) | 6.2 (
|
7.1 (
|
0.88 (0.83 to 0.99) |
| Guillain-Barré syndrome | |||||||
| YLDs |
|
71.3% ( 61.4 to 81.9 ) | 0.6 ( 0.4 to 0.9 ) | 5.7% (
|
0.6 ( 0.4 to 0.8 ) | 0.7 ( 0.4 to 1.0 ) | 0.86 (0.84 to 0.89) |
| Prevalence | 166 (134 to 201) | 71.3% ( 61.4 to 81.9 ) | 2.0 ( 1.7 to 2.5 ) |
|
1.9 ( 1.5 to 2.3 ) | 2.2 ( 1.8 to 2.7 ) | 0.86 (0.84 to 0.89) |
| Idiopathic intellectual disability | |||||||
| YLDs | 3810 (1760 to 6520) | 16.3% ( 10.5 to 22.3 ) |
|
-13.6% (-18.0 to -8.4) |
|
48.3 ( 20.8 to 84.7 ) | 1.08 (1.00 to 1.20) |
| Prevalence | 88300 (47100 to 129000 ) | 10.2% (5.7 to 13.7) | 1157.2 (620.9 to
|
-18.0% (
|
1204.4 (688.7 to 1708.4) | 1110.5 (
|
1.10 (1.02 to 1.24) |
| Klinefelter syndrome
|
|||||||
| YLDs | 3.00 ( 1.50 to 5.80 ) | 30.5% (
|
0.0 ( 0.0 to 0.0 ) |
|
NA | 0.0 (0.0 to 0.1) | NA |
| Prevalence | 230 (158 to 320) | 30.2% (
|
3.1 (
|
2.7% ( 1.3 to 4.2 ) | NA | 6.1 (
|
NA |
Articles
| Counts (thousands) | Age-standardised rate (per 100000 people) | ||||||
| 2021 | Percentage change, 1990-2021 | 2021 | Percentage change, 1990-2021 | Females | Males | Female-to-male ratio | |
| (Continued from previous page) | |||||||
| Meningitis | |||||||
| DALYs | 14500 (11500 to 18700) | -56.0% (
|
|
-62.1% (-68.9 to -52.8) | 193.3 (
|
|
0.87 (0.69 to 1.03) |
| YLDs | 603 (425 to 791) | -31.3% (-34.3 to -28.0) | 7.8 (
|
-51.7% (-53.8 to -49.4) | 7.6 (
|
7.9 (5.6 to 10.4) | 0.97 (0.95 to 1.00) |
| YLLs | 13900 (11000 to 18000 ) | -56.7% (
|
200.7 (
|
-62.5% (-69.3 to -52.9) | 185.7 (146.9 to
|
|
0.87 (0.68 to 1.03) |
| Prevalence | 7270 (5930 to 9070) | -35.5% (
|
92.3 (
|
-56.8% ( -58.6 to -55.1 ) | 88.5 (
|
96.1 (
|
0.92 (0.91 to 0.93) |
| Deaths | 214 (177 to 266) | -49.0% (-56.6 to -38.2) | 2.9 (2.4 to 3.7 ) | -60.2% (
|
2.7 (2.2 to 3.4 ) | 3.2 (
|
0.87 (0.70 to 0.99) |
| Migraine | |||||||
| YLDs | 43400 (6740 to 95100) | 58.9% ( 53.7 to 66.0 ) | 532.7 (80.7 to 1167.8) | 0.6% ( -4.0 to 2.6 ) | 662.8 ( 93.8 to 1450.9 ) | 403.9 ( 67.5 to 872.6 ) | 1.62 (1.39 to 1.79) |
| Prevalence | 1160000 (996000 to 1330000 ) | 58.2% (
|
|
1.6% (0.3 to 2.6) |
|
10624.2 (
|
1.69 (1.65 to 1.73) |
| Motor neuron disease | |||||||
| DALYs | 1040 (962 to 1120) | 105•8% ( 87.1 to 125.9 ) | 12.2 (11.2 to 13.2) | 8.5% ( -0.6 to 18.6 ) | 10.1 (
|
14.4 ( 13.0 to 15.7 ) | 0.70 (0.62 to 0.77) |
| YLDs | 57.9 (40.7 to
|
68.4% (61.6 to 75.9) | 0.7 ( 0.5 to 1.0 ) | -1.4% ( -3.4 to 0.7 ) | 0.6 ( 0.4 to 0.9 ) | 0.8 ( 0.5 to 1.0 ) | 0.83 (0.81 to 0.86) |
| YLLs | 983 (903 to 1070) | 108.6% ( 88.7 to 130.2 ) | 11.5 (
|
9.2% ( -0.5 to 20.0 ) | 9.4 ( 8.7 to 10.5 ) | 13.7 (
|
0.69 (0.61 to 0.77) |
| Prevalence | 273 (236 to 314) |
|
3.3 (2.9 to 3.8 ) | -1.3% (-3.3 to 0.9) | 3.0 ( 2.6 to 3.5 ) | 3.6 (
|
0.83 (0.81 to 0.85) |
| Deaths |
|
156.2% (
|
0.5 ( 0.4 to 0.5 ) | 19.9% ( 10.9 to 30.1 ) | 0.4 ( 0.3 to 0.4 ) | 0.5 ( 0.5 to 0.6 ) | 0.69 (0.62 to 0.77) |
| Multiple sclerosis | |||||||
| DALYs | 973 (836 to 1130) | 69.5% (63.5 to
|
11.4 ( 9.7 to 13.2 ) | -11.0% (-14 to -8.0) |
|
8.1 ( 7.0 to 9.5 ) | 1.80 (1.72 to 1.87) |
| YLDs | 484 (344 to 631) | 86.5% ( 78.9 to 94.5 ) | 5.7 (4.0 to
|
-0.4% (-
|
7.5 (5.3 to 9.7) | 3.9 (2.7 to 5.1) | 1.93 (1.86 to 2.00) |
| YLLs | 490 (465 to 513) | 55.7% (47.3 to 63.9) | 5.7 (
|
-19.5% (
|
7.1 (6.7 to 7.6 ) |
|
1.68 ( 1.54 to 1.80 ) |
| Prevalence | 1890 (1690 to 2110) | 88.1% ( 80.8 to 95.5 ) | 22.2 (
|
-0.3% (-
|
|
14.7 ( 13.0 to 16.6 ) | 1.99 (1.94 to 2.05) |
| Deaths | 16.3 (
|
79•1% (
|
0.2 ( 0.2 to 0.2 ) | -12.7% (
|
0.2 (0.2 to 0.2) | 0.1 (0.1 to 0.2) | 1.59 ( 1.46 to 1.70 ) |
| Neonatal encephalopathy | |||||||
| DALYs | 58600 (50100 to 69000) | -27.5% (
|
932.1 (797.5 to 1101.7) | -26.5% (
|
795.2 (
|
|
0.75 (0.67 to 0.87) |
| YLDs | 4280 (3100 to 5590) | 189•1% (
|
55.2 ( 39.9 to 72.1 ) | 107.0% (
|
|
64.7 (46.7 to 84.3) | 0.70 (0.68 to 0.72) |
| YLLs | 54300 (46000 to 64900) | -31•5% (-43.9 to -17.9) | 876.9 (
|
-29•2% (-42.0 to -15.3) | 749.9 (627.7 to 895.0) | 995.6 (
|
0.76 (0.67 to 0.88) |
| Prevalence | 18600 (16100 to 21100) | 175•2% (94•9 to
|
238.1 (
|
91.2% (
|
188.4 (
|
286.6 (248.7 to 325.4) | 0.66 (0.65 to 0.67) |
| Deaths | 604 (511 to 722) | -31.5% (-44.0 to -17.9) | 9.7 ( 8.3 to 11.7 ) | -29.2% (-42.0 to -15.3) | 8.3 (7.0 to 10.0) | 11.1 (
|
0.76 (0.67 to 0.88) |
| Neonatal jaundice
|
|||||||
| YLDs | 718 (517 to 917) | 80.0% (69.8 to 90.3) | 9.3 ( 6.7 to 11.9 ) | 31•5% (
|
|
|
1.03 (1.01 to 1.05) |
| Prevalence | 1960 (1800 to 2160) | 102.7% (95.8 to 109.0) | 25.5 (
|
48.8% (43.8 to 53.5) | 25.6 (
|
25.4 (
|
1.01 ( 1.00 to 1.02 ) |
| Counts (thousands) | Age-standardised rate (per 100000 people) | ||||||
| 2021 | Percentage change, 1990-2021 | 2021 | Percentage change, 1990-2021 | Females | Males | Female-to-male ratio | |
| (Continued from previous page) | |||||||
| Neonatal sepsis
|
|||||||
| YLDs | 2490 (1570 to 3590) | 136•5% (
|
|
70.4% (-4.5 to 203.1) |
|
37.3 (
|
0.72 (0.71 to 0.74) |
| Prevalence | 7100 (5140 to 9260) | 153.8% (
|
|
83.3% (
|
75.2 (54.7 to 97.7) | 108.3 ( 78.3 to 141.4 ) | 0.69 (0.69 to 0.70) |
| Nervous system cancer | |||||||
| DALYs | 9200 (7890 to 10600 ) | 50.2% (
|
111.8 (
|
-8.9% ( -20.8 to 1.5 ) | 96.8 ( 86.4 to 107.3 ) |
|
0.77 (0.60 to 1.00) |
| YLDs | 132 (93.8 to 174) | 111.8% ( 89.2 to 133.2 ) | 1.6 (
|
22.5% ( 9.0 to 34.4 ) | 1.5 ( 1.0 to 2.0 ) | 1.7 ( 1.2 to 2.3 ) | 0.86 (0.70 to 1.08) |
| YLLs | 9070 (7750 to 10500) | 49.6% (28.4 to 67.8) | 110.3 (
|
-9•2% (
|
95.3 (
|
125.8 (96.3 to
|
0.77 (0.60 to 1.00) |
| Prevalence | 1030 (907 to 1140) | 117.1% (
|
12.8 (
|
37.7% (
|
12.5 (
|
13.2 ( 10.4 to 15.9 ) | 0.95 (0.78 to 1.21) |
| Deaths | 264 (226 to 302) | 90.3% (67.8 to 110.7) |
|
1.3% ( -9.8 to 11.9 ) | 2.7 (2.4 to
|
3.6 ( 2.8 to 4.4 ) | 0.75 (0.59 to 0.96) |
| Neural tube defects | |||||||
| DALYs | 5300 (4310 to 6510) | -47.3% (
|
83.2 ( 67.8 to 102.5 ) | -47.7% (-59•5 to -25•1) | 88.2 (64.3 to
|
78.5 (
|
|
| YLDs | 333 (229 to 456) | 11.8% (
|
4.5 (
|
-11.0% (
|
4.6 (
|
4.4 (
|
1.03 (1.00 to 1.06) |
| YLLs | 4970 (3980 to 6430) | -49•1% (
|
78.7 (62.8 to 98.6) | -49.0% (-61.1 to -26.2) | 83.7 (60.7 to 114.3) | 74.1 ( 56.9 to 100.2 ) | 1.15 (0.71 to 1.65) |
| Prevalence | 1130 (965 to 1310) | 11.2% ( 4.4 to 17.7 ) | 15.2 ( 13.0 to 17.6 ) | -12•2% (
|
15.4 (
|
15.0 (
|
1.03 (1.00 to 1.06) |
| Deaths | 56.4 (45.3 to
|
-48.6% (-60.9 to -25.7) | 0.9 (0.7 to 1.1) | -48.8% (-61.0 to -26.0) | 0.9 (0.7 to 1.3) | 0.8 ( 0.6 to 1.1 ) | 1.15 (0.71 to 1.66) |
| Neurocysticercosis | |||||||
| DALYs | 1240 (788 to 1810) | 14•2% (
|
14.6 (
|
-38.4% (-46.7 to -28.5) | 15.6 ( 9.9 to 22.5 ) | 13.6 ( 8.8 to 20.0 ) | 1.15 (1.06 to 1.22) |
| YLDs | 1150 (714 to 1730) | 18.5% ( 0.6 to 41.3 ) | 13.6 ( 8.4 to 20.2 ) | -37.3% (-46.2 to -27.0) | 14.6 (
|
|
1.17 ( 1.09 to 1.24 ) |
| YLLs | 81.3 (54.1 to 119) | -22.0% (
|
1.0 (0.7 to 1.5) | -48.4% (
|
1.0 ( 0.5 to 1.5 ) | 1.1 (0.6 to 1.7) | 0.94 (0.44 to 1.61) |
| Prevalence | 4360 (3150 to 5720) | 43.7% ( 31.2 to 59.2 ) |
|
-25•1% (
|
55.5 ( 40.3 to 71.9 ) | 46.9 ( 33.7 to 63.1 ) | 1.19 ( 1.11 to 1.25 ) |
| Deaths | 1.60 ( 1.10 to 2.30 ) | -16.7% (-43.8 to 17.7) | 0.0 ( 0.0 to 0.0 ) | -50.0% (
|
0.0 ( 0.0 to 0.0 ) | 0.0 ( 0.0 to 0.0 ) | 0.93 (0.48 to 1.53) |
| Neurosyphilis | |||||||
| YLDs | 64.9 (42.2 to 93.4) | 17.3% ( 4.8 to 31.0 ) | 0.8 ( 0.5 to 1.2 ) | -18.5% (-27.0 to –
|
0.8 ( 0.5 to 1.1 ) | 0.9 ( 0.6 to 1.3 ) | 0.89 (0.83 to 0.94) |
| Prevalence | 696 (563 to 857) | 38.5% (25.0 to 53.3) | 8.8 (7.1 to 10.8 ) | -6.1% (
|
8.6 ( 6.9 to 10.6 ) | 9.0 ( 7.3 to 11.0 ) | 0.95 (0.93 to 0.97) |
| Other chromosomal anomalies
|
|||||||
| YLDs | 295 (196 to 417) | 7.3% ( 2.3 to 12.4 ) |
|
-12.8% (-16.8 to -8.7) |
|
|
0.71 (0.59 to 0.86) |
| Prevalence | 3280 (2880 to 3760) | 6.2% ( 0.9 to 11.2 ) |
|
-13.0% (
|
37.0 (
|
52.8 (
|
0.71 (0.59 to 0.85) |
| Other neurological disorders | |||||||
| DALYs | 4360 (3630 to 5270) | 131•0% ( 107.3 to 155.5 ) |
|
50.7% ( 35.4 to 65.5 ) | 51.8 (42.7 to 63.2) | 57.8 (48.0 to 69.4) | 0.90 (0.84 to 0.96) |
| YLDs | 2010 (1330 to 2870) | 153.8% (110.9 to 197.8) | 25.5 ( 16.8 to 36.6 ) | 70.6% (43.8 to 98.8) | 25.3 (16.6 to 36.2) | 25.6 ( 16.8 to 36.9 ) | 0.99 (0.96 to 1.02) |
| YLLs | 2330 (2080 to 2510) | 116.0% (83.3 to
|
29.0 (
|
37.6% ( 18.3 to 52.7 ) |
|
32.0 ( 29.0 to 34.8 ) | 0.82 (0.74 to 0.93) |
Articles
| Counts (thousands) | Age-standardised rate (per 100000 people) | ||||||
| 2021 | Percentage change, 1990-2021 | 2021 | Percentage change, 1990-2021 | Females | Males | Female-to-male ratio | |
| (Continued from previous page) | |||||||
| Deaths | 71.5 (65.0 to 76.4 ) | 189.8% (
|
0.9 ( 0.8 to 0.9 ) | 50•1% (
|
0.8 (0.7 to 0.8) | 1.0 ( 0.9 to 1.1 ) | 0.78 (0.71 to 0.85) |
| Parkinson’s disease | |||||||
| DALYs | 7470 (6730 to 8140) | 161•8% (
|
|
10.0% ( 3.7 to 16.1 ) | 68.6 (60.7 to 75.8) | 117.5 (
|
0.58 (0.53 to 0.64) |
| YLDs | 1670 (1170 to 2210) | 271.2% (
|
19.6 ( 13.9 to 25.9 ) | 60.6% (54.3 to 65.9) | 16.1 (
|
23.9 ( 17.0 to 31.5 ) | 0.67 (0.65 to 0.69) |
| YLLs | 5800 (5250 to 6260) | 141•4% (
|
70.0 (63.0 to 75.2) | 1.0% (-5.9 to 7.5 ) |
|
93.5 (
|
0.56 (0.50 to 0.63) |
| Prevalence | 11800 (10400 to 13400) | 273.9% (
|
138.6 (
|
60.7% (
|
114.5 (
|
168.2 ( 148.4 to 191.7 ) | 0.68 (0.67 to 0.69) |
| Deaths | 388 (345 to 419) | 162.2% (
|
4.8 (4.3 to
|
4.1% (-2.7 to
|
3.6 ( 3.0 to 4.0 ) | 6.6 (5.9 to
|
0.55 (0.49 to 0.61) |
| Preterm birth
|
|||||||
| YLDs | 13800 (9950 to 17900) | 74.0% (61.9 to 85.0) | 180.7 (
|
29•2% (
|
169.3 (
|
191.4 (
|
0.89 (0.87 to 0.90) |
| Prevalence | 97500 (83000 to 112000 ) | 64•1% (53.7 to 74.3) | 1256.8 (1073.2 to 1445.9) | 16.1% ( 8.7 to 23.7 ) | 1146.3 (
|
1363.9 (1162.4 to 1572.4) | 0.84 (0.83 to 0.85) |
| Rabies | |||||||
| DALYs | 571 (325 to 826) | -59.0% (-71.8 to -44.1) |
|
-69.9% (-79.3 to -58.8) |
|
|
0.62 (0.26 to 0.93) |
| YLDs | 0.100 ( 0.00 to 0.100 ) | -54.3% (-66.5 to -40.4) | 0.0 ( 0.0 to 0.0 ) | -69.8% (-77.6 to -61.0) | 0.0 ( 0.0 to 0.0 ) | 0.0 (0.0 to 0.0) | 0.63 (0.28 to 0.91) |
| YLLs | 572 (324 to 832) | -59.0% (-71.9 to -44.0) | 7.5 ( 4.2 to 11.0 ) | -69.9% (-79.2 to -58.8) | 5.6 ( 3.0 to 9.9 ) | 9.4 ( 5.0 to 13.6 ) | 0.62 (0.26 to 0.93) |
| Prevalence | 0.400 (0.200 to 0.500) | -54.3% (-66.5 to -40.4) | 0.0 ( 0.0 to 0.0 ) | -69.8% (-77.6 to -61.0) | 0.0 (0.0 to 0.0) | 0.0 (0.0 to 0.0) | 0.63 (0.28 to 0.91) |
| Deaths | 10.1 (6.00 to 14.4 ) | -54.2% (-66.3 to -39.9) | 0.1 (0.1 to 0.2) | -69.7% (-77.4 to -60.7) | 0.1 (0.1 to 0.2) | 0.2 (0.1 to 0.2) | 0.62 (0.28 to 0.91) |
| Spinal cord injury | |||||||
| YLDs | 4570 (3200 to 6020) | 28.9% (24.0 to 33.9) |
|
-24•2% (-26.9 to -20.9) | 37.9 (26.7 to 49.7) | 71.6 (50.5 to 93.6) | 0.53 (0.50 to 0.57) |
| Prevalence | 15400 (14000 to 17100) | 42.0% ( 37.7 to 46.5 ) | 183.9 (167.3 to 204.2) | -17.8% (-20.4 to -14.9) |
|
236.6 (215.0 to
|
0.56 (0.52 to 0.59) |
| Stroke | |||||||
| DALYs | 160000 (148 000 to 172 000) | 32•2% (
|
1886.0 (
|
-38.7% (-43.4 to -34.0) | 1578.2 (
|
|
0.71 (0.64 to 0.78) |
| YLDs | 15200 (11000 to 19400) | 89.9% ( 85.9 to 94.0 ) | 178.7 (
|
-7.4% ( -9.0 to -5.9 ) |
|
183.4 (
|
0.96 (0.94 to 0.98) |
| YLLs | 145000 (134000 to 157000) | 28.2% (16.9 to 38.9 ) | 1707.4 (1572.6 to 1838.0) | -40.8% (
|
1402.6 (
|
2048.9 (1866.9 to 2253.8 ) | 0.69 (0.61 to 0.77) |
| Prevalence | 93800 (89000 to 99300) | 86.1% (83.0 to 89.4) | 1099.3 (
|
-8.5% (-9.7 to -7.3) | 1027.7 (
|
1184.4 (
|
0.87 (0.85 to 0.88) |
| Deaths | 7250 (6610 to 7820) | 44.1% ( 32.6 to 56.2 ) | 87.4 ( 78.6 to 94.2 ) | -39.4% (
|
|
103.1 (
|
0.72 (0.64 to 0.81) |
| Tension-type headache | |||||||
| YLDs | 4600 (1350 to 15000) | 63.4% ( 49.6 to 69.5 ) | 55.7 (
|
-3•1% ( -4.8 to 0.9 ) | 62.0 ( 18.8 to 189.0 ) |
|
1.34 (0.94 to 1.43) |
| Prevalence | 2010000 (1780000 to 2270000 ) | 56.4% ( 52.7 to 60.2 ) | 24764.8 (
|
-0.6% ( -1.3 to 0.2 ) |
|
23880.8 (
|
1.07 (1.06 to 1.09) |
| Tetanus | |||||||
| DALYs | 1340 (633 to 2130) | -91•7% (-94•4 to -86.8) | 19.6 ( 9.1 to 31.9 ) | -92•6% (-94.9 to –
|
18.4 ( 8.6 to 31.6 ) | 20.8 ( 8.3 to 36.8 ) | 0.95 (0.49 to 1.69) |
| YLDs | 3.00 (2.20 to 4.00) | -56.1% (
|
0.0 (0.0 to 0.1) | -67.7% (-72.1 to -61.9) | 0.0 (0.0 to 0.1) | 0.0 (0.0 to 0.1) | 0.91 (0.83 to 0.98) |
| (Table 2 continues on next page) | |||||||
|
|||||||||
| 2021 | Percentage change, 1990-2021 | 2021 | Percentage change, 1990-2021 | Females | Males | Female-to-male ratio | |||
| (Continued from previous page) | |||||||||
| YLLs | 1340 (644 to 2180) | -91•8% (
|
19.6 ( 9.1 to 32.2 ) | -92•6% (-95.0 to -88.1) | 18.4 ( 8.5 to 31.6 ) |
|
0.95 (0.49 to 1.69) | ||
| Prevalence | 37.7 ( 28.5 to 49.2 ) | -62.2% (
|
0.5 ( 0.4 to 0.6 ) | -72.8% (-75.5 to -70.1) | 0.4 ( 0.3 to 0.6 ) | 0.5 ( 0.4 to 0.7 ) | 0.83 (0.79 to 0.87) | ||
| Deaths |
|
-89.7% (-92.8 to -83.8) | 0.3 ( 0.1 to 0.5 ) | -91.8% (
|
0.3 ( 0.1 to 0.4 ) | 0.3 ( 0.1 to 0.6 ) | 0.85 (0.44 to 1.52) | ||
| Traumatic brain injury | |||||||||
| YLDs | 5490 (3880 to 7340) | 52•2% (49.5 to 55.2) | 64.8 (45.8 to 86.8) | -16.4% (-17.7 to -15.0) |
|
|
0.45 (0.43 to 0.46) | ||
| Prevalence | 38000 (36400 to 39800) | 52.7% (50.4 to 55.4) | 448.6 (429.9 to 470.3) | -16.9% (
|
283.7 (270.2 to 299.2) | 617.4 (592.2 to 646.0) | 0.46 (0.45 to 0.47) | ||
| Data are mean (
|
|||||||||
| Table 2: Global DALYs, YLDs, YLLs, prevalence, and deaths per 100000 people and age-standardised rates by neurological disorder category, 1990-2021 | |||||||||
Temporal and sex patterns
In 2021, rates of age-standardised DALYs for the total neurological category were lower in females ( 5185.8 [
age groups, except for ages
Risk factor contribution to neurological condition burden
| – Global | Central Europe, eastern Europe, and central Asia | ![]() |
Latin America and Caribbean | North Africa and Middle East | South Asia | east Asia, | eગ.গে
|
|||||||||||||||
| Cental | – Central Europe | – | – Austraia | – High-income North America | – | – Andean Latin Am | Central Latin Tropical Lat
|
– South As | – East Asia Southeast Asia, | – Oceania – Southeast Asia | – Central sub-Saharan Africa | Eastern sub-Saharan Africa | ![]() |
|||||||||
| Stroke | 1 | 1 | 1 | 2 | 1 | 1 | 1 | 2 | 1 | 1 | 1 | 1 | 1 | – | ||||||||
| Neonatal encephalopathy | 2 | 3 | 10 | 8 | 10 | 8 | 9 | 6 | 9 | 3 | 2 | 5 | 5 | 5 | 2 | 4 | 4 | 3 | 2 | 2 | 2 | 2 |
| Migraine | 3 | 2 | 2 | 2 | 1 | 3 | 2 | 2 | 1 | 2 | 4 | 3 | 2 | 2 | 3 | 3 | 3 | 2 | 5 | 6 | 3 | 4 |
| Dementia | 4 | 4 | 3 | 3 | 3 | 2 | 3 | 3 | 3 | 5 | 5 | 4 | 3 | 4 | 5 | 2 | 5 | 4 | 3 | 4 | 5 | 5 |
| Diabetic neuropathy | 5 | 5 | 4 | 4 | 5 | 4 | 4 | 4 | 4 | 4 | 3 | 2 | 4 | 3 | 6 | 5 | 2 | 5 | 6 | 7 | 4 | 6 |
| Meningitis | 6 | 16 | 21 | 18 | 20 | 20 | 22 | 16 | 21 | 19 | 7 | 17 | 16 | 15 | 8 | 16 | 9 | 6 | 4 | 3 | 6 | 3 |
| Epilepsy | 7 | 6 | 7 | 11 | 8 | 6 | 8 | 7 | 7 | 6 | 6 | 6 | 6 | 6 | 7 | 9 | 6 | 9 | 7 | 5 | 7 | 7 |
| Preterm birth* | 8 | 9 | 9 | 14 | 7 | 7 | 6 | 8 | 8 | 9 | 8 | 8 | 8 | 8 | 4 | 11 | 7 | 8 | 10 | 10 | 9 | 10 |
| Autism spectrum disorder | 9 | 8 | 6 | 5 | 4 | 5 | 5 | 5 | 5 | 8 | 9 | 7 | 9 | 9 | 11 | 7 | 10 | 7 | 9 | 9 | 8 | 9 |
| Nervous system cancer | 10 | 7 | 5 | 6 | 6 | 11 | 7 | 9 | 6 | 7 | 10 | 9 | 7 | 7 | 13 | 6 | 18 | 11 | 19 | 13 | 12 | 21 |
| Parkinson’s disease | 11 | 10 | 11 | 13 | 12 | 13 | 10 | 11 | 11 | 10 | 11 | 12 | 11 | 10 | 12 | 8 | 11 | 10 | 11 | 12 | 11 | 12 |
| Neural tube defects | 12 | 19 | 24 | 22 | 19 | 19 | 19 | 15 | 22 | 18 | 12 | 18 | 15 | 13 | 15 | 18 | 8 | 13 | 8 | 8 | 18 | 8 |
| Encephalitis | 13 | 12 | 18 | 17 | 22 | 18 | 24 | 19 | 23 | 13 | 19 | 16 | 22 | 20 | 9 | 15 | 16 | 12 | 22 | 15 | 20 | 13 |
| Traumatic brain injury | 14 | 11 | 8 | 7 | 13 | 14 | 14 | 14 | 14 | 11 | 14 | 10 | 10 | 11 | 14 | 10 | 12 | 14 | 15 | 19 | 15 | 17 |
| Tension-type headache | 15 | 13 | 13 | 10 | 14 | 12 | 13 | 13 | 13 | 15 | 16 | 15 | 14 | 14 | 16 | 12 | 13 | 15 | 14 | 16 | 16 | 14 |
| Other neurological disorders | 16 | 15 | 15 | 9 | 11 | 9 | 11 | 12 | 12 | 12 | 13 | 11 | 12 | 17 | 21 | 14 | 15 | 18 | 18 | 20 | 10 | 11 |
| Spinal cord injury | 17 | 14 | 12 | 12 | 9 | 10 | 12 | 10 | 10 | 16 | 15 | 13 | 13 | 12 | 18 | 13 | 14 | 16 | 16 | 18 | 19 | 19 |
| Idiopathic intellectual disability | 18 | 20 | 22 | 21 | 21 | 27 | 20 | 21 | 18 | 23 | 21 | 24 | 23 | 16 | 10 | 20 | 19 | 19 | 23 | 23 | 21 | 25 |
| Neonatal sepsis* | 19 | 17 | 14 | 15 | 18 | 17 | 23 | 17 | 17 | 21 | 20 | 20 | 19 | 18 | 20 | 19 | 17 | 17 | 21 | 17 | 13 | 20 |
| COVID-19* | 20 | 18 | 16 | 16 | 27 | 26 | 18 | 22 | 20 | 17 | 22 | 19 | 17 | 19 | 17 | 34 | 21 | 21 | 13 | 14 | 17 | 16 |
| Tetanus | 21 | 34 | 32 | 35 | 32 | 30 | 34 | 32 | 31 | 29 | 26 | 30 | 29 | 26 | 22 | 29 | 27 | 20 | 20 | 11 | 26 | 18 |
| Congenital birth defects* | 22 | 24 | 25 | 26 | 25 | 24 | 26 | 27 | 25 | 26 | 27 | 26 | 26 | 22 | 19 | 23 | 24 | 22 | 24 | 24 | 23 | 23 |
| Neurocysticercosis | 23 | 25 | 20 | 23 | 35 | 25 | 21 | 20 | 27 | 14 | 18 | 14 | 18 | 32 | 23 | 21 | 20 | 25 | 12 | 21 | 14 | 22 |
| Attention deficit hyperactivity disorder | 24 | 22 | 23 | 24 | 16 | 16 | 17 | 23 | 19 | 20 | 17 | 21 | 20 | 23 | 26 | 17 | 22 | 23 | 26 | 27 | 24 | 28 |
| Motor neuron disease | 25 | 27 | 19 | 19 | 15 | 15 | 16 | 18 | 16 | 24 | 24 | 23 | 21 | 25 | 29 | 22 | 33 | 31 | 34 | 34 | 32 | 34 |
| Multiple sclerosis | 26 | 23 | 17 | 20 | 17 | 23 | 15 | 24 | 15 | 25 | 25 | 25 | 25 | 21 | 28 | 28 | 31 | 29 | 29 | 30 | 25 | 27 |
| Neonatal jaundice* | 27 | 21 | 26 | 25 | 26 | 29 | 28 | 25 | 28 | 22 | 23 | 22 | 24 | 24 | 25 | 24 | 23 | 24 | 25 | 26 | 22 | 26 |
| Rabies | 28 | 30 | 35 | 33 | 31 | 35 | 31 | 35 | 35 | 37 | 34 | 37 | 37 | 34 | 24 | 27 | 30 | 26 | 31 | 22 | 30 | 24 |
| Cerebral malaria | 29 | 36 | 36 | 36 | 36 | 36 | 37 | 37 | 36 | 33 | 32 | 33 | 30 | 29 | 33 | 36 | 25 | 33 | 17 | 25 | 28 | 15 |
| Other chromosomal anomalies* | 30 | 26 | 27 | 27 | 23 | 21 | 25 | 26 | 24 | 27 | 28 | 27 | 27 | 27 | 27 | 25 | 26 | 27 | 28 | 29 | 27 | 29 |
| Down syndrome* | 31 | 28 | 28 | 28 | 24 | 22 | 27 | 28 | 26 | 28 | 29 | 28 | 28 | 28 | 31 | 26 | 29 | 28 | 30 | 31 | 31 | 31 |
| Neurosyphilis | 32 | 32 | 33 | 31 | 30 | 31 | 32 | 33 | 32 | 31 | 30 | 31 | 31 | 33 | 30 | 32 | 28 | 30 | 27 | 28 | 29 | 30 |
| Guillain-Barré syndrome | 33 | 29 | 29 | 29 | 28 | 28 | 29 | 29 | 29 | 30 | 31 | 29 | 32 | 30 | 32 | 31 | 32 | 32 | 33 | 33 | 33 | 32 |
| Fetal alcohol syndrome | 34 | 33 | 31 | 30 | 29 | 32 | 30 | 31 | 30 | 32 | 33 | 32 | 33 | 31 | 34 | 30 | 34 | 34 | 32 | 32 | 34 | 33 |
| Cystic echinococcosis* | 35 | 31 | 30 | 32 | 34 | 34 | 35 | 30 | 34 | 36 | 37 | 35 | 36 | 35 | 35 | 33 | 36 | 36 | 35 | 35 | 36 | 36 |
| Klinefelter syndrome* | 36 | 35 | 34 | 34 | 33 | 33 | 33 | 34 | 33 | 35 | 35 | 34 | 35 | 36 | 36 | 35 | 35 | 35 | 36 | 36 | 35 | 35 |
| Congenital Zika syndrome* | 37 | 37 | 37 | 37 | 37 | 37 | 36 | 36 | 37 | 34 | 36 | 36 | 34 | 37 | 37 | 37 | 37 | 37 | 37 | 37 | 37 | 37 |
Discussion
This study builds on previous efforts
for GBD
| Aged <5years | Rank | Aged 5-19 years | Rank | Aged 20-59 years | Rank | Aged 60-79 years | Rank | Aged
|
Rank | |
| All neurological conditions | 11806.6 (
|
NA |
|
NA |
|
NA |
|
NA | 38329.3 (31687.1-50519.4) | NA |
| Alzheimer’s disease and other dementias | 0.0 (
|
NA | 0.0 (
|
NA |
|
13 |
|
2 | 13047.1 (5903.4-27898.8) | 2 |
| Attention deficit hyperactivity disorder | 2.4 (1.2-4.2) | 24 | 28.3 (14•5-48) | 14 | 10.7 (5•8-17•1) | 23 | 1.0 (
|
29 | 0.0 (0.0-0.0) | 33 |
| Autism spectrum disorder | 169.1 (
|
7 | 161.4 (109•2-227.2) | 4 | 146.2 (99•4-206.3) | 6 | 112.9 (77.4-157.1) | 9 | 59.5 (
|
14 |
| Cerebral malaria | 2.8 (
|
23 | 8.8 (6.4-11.2) | 22 | 5.0 (
|
27 | 0.8 (0.6-1.0) | 30 | 0.0 (
|
32 |
| Congenital birth defects* | 27.2 (
|
14 |
|
15 |
|
19 | 13.1 (5.8-25.5) | 23 | 10.0 (4•3-19•5) | 20 |
| Congenital Zika syndrome* | 0.0 (
|
30 | 0.0 (0.0-0.0) | NA | 0.0 (0.0-0.0) | NA | 0.0 (0.0-0.0) | NA | 0.0 (0.0-0.0) | NA |
| COVID-19* | 8.6 (0.5-35.7) | 18 | 15.4 (1.0-65.3) | 18 |
|
16 | 32.6 (0.9-97.5) | 18 | 30.0 (0.9-79.2) | 17 |
| Cystic echinococcosis* | 0.0 (0.0-0.0) | 31 | 0.0 (0.0-0.1) | 34 | 0.1 (0.0-0.1) | 35 | 0.1 (0.1-0.1) | 35 | 0.0 (0.0-0.1) | 31 |
| Diabetic neuropathy | 0.0 (
|
32 | 1.5 (0.8-2.4) | 27 |
|
3 | 1397.3 (911•8-1930•8) | 3 |
|
4 |
| Down syndrome* | 3.2 (
|
22 | 3.0 (
|
25 |
|
31 | 0.1 (0.1-0.2) | 34 | 0.0 (
|
NA |
| Encephalitis |
|
4 | 49.6 (41.3-59.1) | 11 | 34.9 (
|
17 | 63.8 (56-73.9) | 14 | 89.6 (74•4-107.0) | 10 |
| Epilepsy |
|
6 | 185.1 (137.0-261.7) | 3 | 174.0 (
|
4 | 176.9 (125•9-247.7) | 7 | 268.5 (186.4-379.7) | 5 |
| Fetal alcohol syndrome | 0.4 (0.2-0.7) | 27 | 0.4 (0.2-0.6) | 32 | 0.3 (0.2-0.4) | 34 | 0.1 (0.1-0.2) | 33 | 0.1 (0.1-0.2) | 30 |
| Guillain-Barré syndrome | 0.4 (0.2-0.7) | 28 | 0.5 (0.2-0.8) | 31 | 0.6 (0.3-0.9) | 33 | 1.2 (0.7-2.0) | 28 | 1.4 (0.8-2.2) | 25 |
| Idiopathic intellectual disability | 68.3 (
|
11 | 70.4 (
|
7 | 43.1 (
|
14 | 17.1 (7•2-30•4) | 21 | 9.8 (4.9-16.7) | 21 |
| Klinefelter syndrome* | 0.1 (0.1-0.2) | 29 | 0.0 (0.0-0.1) | 33 | 0.0 (0.0-0.0) | 36 | 0.0 (0.0-0.0) | 36 | 0.0 (0.0-0.0) | 34 |
| Meningitis | 1234.9 (
|
2 |
|
5 | 72.4 (65.0-83.4) | 11 | 69.8 (
|
13 | 84.1 (75•1-92•4) | 11 |
| Migraine | 0.0 (
|
NA | 380.0 (
|
1 | 750.8 (117.3-1617.8) | 2 |
|
4 | 238.3 (65.8-499.5) | 6 |
| Motor neuron disease | 6.2 (4.9-7.7) | 19 | 1.3 (
|
28 | 8.7 (8.0-9.6) | 24 | 57.3 (
|
15 | 48.2 (
|
16 |
| Multiple sclerosis | 0.0 (0.0-0.0) | NA | 0.5 (0.4-0.7) | 30 |
|
22 | 31.8 (28.1-35.8) | 19 | 24.4 (
|
18 |
| Neonatal encephalopathy | 8316.7 (7072.6-9991.8) | 1 | 64.9 (46.3-85.6) | 8 | 55.4 (40.1-72.0) | 12 | 25.8 (18.8-33.0) | 20 | 2.1 (1•3-3.0) | 23 |
| Neonatal jaundice* | 13.2 (
|
15 | 11.6 (
|
21 | 8.7 (6.3-11.2) | 25 | 3.9 (2.8-5.0) | 26 | 0.4 (0.3-0.6) | 28 |
| Neonatal sepsis* |
|
13 |
|
12 |
|
18 | 13.5 (8.3-19.3) | 22 | 0.6 (0.3-0.9) | 27 |
| Nervous system cancer | 94.9 (
|
10 | 60.2 (50.3-71.7) | 10 | 106.6 (91•2-125•6) | 7 | 280.0 (245•7-316•1) | 6 | 208.8 (174•3-232•0) | 8 |
| Neural tube defects | 722.6 (580.8-899.4) | 3 | 17.0 (
|
17 | 4.5 (
|
29 | 1.6 (1.2-2.1) | 27 |
|
26 |
| Neurocysticercosis | 0.8 (0.1-1.9) | 25 | 1.6 (0.8-2.5) | 26 | 16.1 (
|
21 | 45.7 (
|
17 | 65.4 (
|
13 |
| Neurosyphilis | 0.7 (0.4-1.0) | 26 | 1.1 (0.7-1.6) | 29 | 0.8 (0.5-1.1) | 32 | 0.6 (0.4-0.8) | 31 | 0.4 (0.3-0.6) | 29 |
| Chromosomal anomalies* |
|
17 | 5.8 (3•9-8•2) | 24 | 2.3 (
|
30 | 0.4 (
|
32 | (Table 3 continues on next page) | |
Articles
| Aged <5 years | Rank | Aged 5-19 years | Rank | Aged 20-59 years | Rank | Aged 60-79 years | Rank | Aged
|
Rank | |
| (Continued from previous page) | ||||||||||
| Other neurological disorders |
|
12 | 60.2 (
|
9 | 41.8 (
|
15 |
|
11 | 157.8 (
|
9 |
| Parkinson’s disease | 0.0 (0.0-0.0) | NA | 0.0 (0.0-0.0) | NA | 16.2 (
|
20 |
|
5 | 1773.2 (1550.8-1925.0) | 3 |
| Preterm birth* | 264.9 (190•4-344•9) | 5 |
|
2 | 165.7 (
|
5 | 56.0 (
|
16 | 14.1 (9•6-20.9) | 19 |
| Rabies | 12.8 (
|
16 | 12.3 (6.6-17.9) | 19 | 4.9 (3.1-6.8) | 28 | 3.9 (
|
25 | 1.6 (
|
24 |
| Spinal cord injury | 3.2 (
|
21 | 17.6 (11.9-23.5) | 16 | 74.7 (52.3-99.2) | 10 | 103.2 (
|
10 | 83.0 (57.6-113.0) | 12 |
| Stroke | 147.5 (109.0-196.8) | 8 | 72.9 (65.0-80.2) | 6 |
|
1 | 8490.9 (
|
1 | 20336.1 (17762•6-22 137•4) | 1 |
| Tension-type headache | 0.0 (0.0-0.0) | NA | 29.7 (4.8-148.1) | 13 |
|
8 | 75.4 (23•3-224•1) | 12 | 49.4 (
|
15 |
| Tetanus |
|
9 | 7.8 (
|
23 | 7.5 (3•3-12•2) | 26 | 8.2 (3•7-12•8) | 24 |
|
22 |
| Traumatic brain injury | 3.9 (
|
20 | 11.8 (
|
20 | 77.5 (54•2-103•7) | 9 | 176.5 (
|
8 | 226.3 (
|
7 |
Nervous system health loss disproportionately affected people in LMICs, partly due to higher prevalence of conditions affecting neonates and children younger than 5 years (especially birth-related complications and infections). Increased survival in neonates is unfortunately accompanied by an increase in the long-term disability from neurological complications of these conditions.
(appendix p 79 ). However, this similarity could partly be because sources directly reporting disease severity for highly disabling outcomes are sparse, and therefore we were unable to take into account potential effects of treatment on severity.
Nervous system conditions contribute to more DALYs in males but higher prevalence in females (mostly attributable to migraine and tension-type headache), and disease burden generally increases with age. Different age patterns emerged for different conditions, including differences in the relative contribution of YLLs and YLDs to total burden, emphasising the need for tailored interventions and prevention strategies across the lifespan.
In line with previous GBD findings,

(A) Percentage change from 1990 to 2021 overall and for individual conditions. Colours range from dark blue (largest decrease in age-standardised DALYs) to bright red (largest increases). Cognitive impairment due to COVID-19 and congenital Zika virus disease are not included because they were not documented until after 1990. (B) Female-to-male ratio in 2021, where values higher than 1 indicate higher levels in females (log scale). Colours range from blue (smaller female-to-male ratios) to red (larger female-to-male ratios). Throughout the figure, dementia represents Alzheimer’s disease and other dementias. DALYs=disability-adjusted life-years. *Percentage change and female-to-male ratios are isolated to disease DALYs due to neurological complications as opposed to DALYs attributed to the entire condition.
The estimate of Guillain-Barré syndrome due to COVID-19 was generated through an analysis of US data from a large sample of approximately 2 million individuals, a finding supported by some other studies
estimate Guillain-Barré syndrome following COVID-19, including strengths and limitations, is in the appendix (p 2). Parkinson’s disease was previously identified as the fastest growing neurological condition,

DALY counts are shown over time (A) and by age group in 2021 (B). Age-standardised DALYs per 100000 population are shown over time (C) and age-specific rates are shown in 2021 (D). Shading in panels A and C and black bars in panels B and D depict 95% uncertainty intervals. DALYs=disability-adjusted life-years.
disability by
This study has limitations. Although we attempted to capture all nervous system health loss modelled in GBD explicitly or in the broad category of other neurological disorders, some conditions that cause nervous system
damage were left out because we could not isolate the neurological component (eg, genetic conditions such as adrenoleukodystrophy or infections such as HIV, which have large effects in many parts of the world and should be explicitly estimated in the future; appendix p 49) or because they are not quantified in GBD (eg, poliomyelitis). Diabetic neuropathy has now been included within the neurological conditions category and its high ranking indicates a considerable burden within the category that has not previously been conveyed or emphasised. The inclusion of diabetic neuropathy calls attention to the scarcity of data for other peripheral neuropathies, such as those associated with alcohol, HIV, and vitamin deficiencies. Thus, our singular representation of diabetic neuropathy in this study is probably a gross underestimation of the total peripheral neuropathy burden.
Neurodevelopmental disorders that are captured in GBD under mental health, such as attention deficit hyperactivity disorder, autism spectrum disorder, and idiopathic intellectual disability, have been added because of their strong links to, and effects on, the nervous system, and because of their ICD-11 classification as neurodevelopmental disorders. Other mental health conditions that were not classified as neurodevelopmental or neurocognitive were excluded. Neurological complications of non-neurological diseases have been added as far as possible. We also assumed independence of disabling sequelae when making comorbidity corrections, which would lead to some overestimation of the non-fatal burden. Future analyses should include an improved evaluation of comorbidities that does not assume independency of co-occurrence. Further, we do not assess comorbidity with other chronic conditions, such as heart disease, that can compound effects on quality of life.
The residual category for other neurological disorders ranked 16th for age-standardised DALYs, emphasising the need to explicitly estimate DALYS for the conditions within this category, including specific movement disorders, myopathies, and non-traumatic spinal cord diseases. For non-fatal estimates of the residual category, we approximated YLDs by assuming the same ratio of YLDs and YLLs that we estimated for the main fatal neurological disorders. This approach, although a reasonable approximation for residual neurological conditions that lead to death, does not capture the burden of any residual neurological conditions that are not a cause of death, such as peripheral neuropathies and neuropathic pain.
for deaths associated with traumatic brain injury and spinal cord injury. Within GBD and the ICD, the underlying cause of death is assigned to the cause of injury (eg, violence or road traffic accident) rather than the nature of the injury.
When quantifying the neurological burden of post-COVID-19 condition, we accounted only for cognitive impairment, using the same disability weights as for mild or moderate dementia, which might not be accurate considering that cognitive impairment following COVID-19 appears to improve with time. As we did not have the resources to conduct disability weight surveys, such an approximation was necessary. We were also unable to analyse non-cognitive long-term neurological outcomes of COVID-19 (with the exception of Guillain-Barré syndrome) due to a dearth of such data for most countries. Some studies have shown that the prevalence of other neurological complications (eg, persistent headache, neuralgia, daytime sleepiness, and stroke) associated with COVID-19 varies widely.
Our study also has general limitations shared by all GBD studies, such as the scarcity of reliable epidemiological data in many countries, especially in LMICs, meaning that country estimates are informed by predictive covariates and data from surrounding countries, and our results are also affected by diagnostic and other biases in the original research. Efforts were made to correct for non-reference case definitions or measurement methods used in GBD source data. Adjusting for measurement bias is a strength of GBD because it allows us to leverage as many data sources as possible across time and geographies. This process is constantly being refined to enhance quality, transparency, and standardisation. However, some standard GBD reference definitions differ from other disease definitions, such as those used in the new ICD-11. Finally, because this is a global analysis, we could not capture the nuances of how these conditions affect specific geographies.
In summary, acute and chronic conditions affecting the nervous system are diverse. These conditions include infectious or vector-borne diseases, non-communicable diseases, and injuries, necessitating different public health strategies for prevention and treatment across the life course. These distinctions emphasise the complexity that health-care systems are facing and the need to balance acute and long-term disease management. For some conditions and disorders, effective treatments are available, whereas for others there is no cure, underscoring the importance of prevention and research into novel interventions.
Resources for nervous system conditions should therefore span the entire care continuum, including prevention, diagnosis, treatment, rehabilitation, long-term
care, and palliation. Improved population-level preventive strategies for neurological infections and birth-related neurological sequelae can affect many lives; such strategies include appropriate sanitation, vaccination, folic acid fortification, improved access to prenatal and perinatal care and education, and early detection and treatment of birth defects. Additionally, zoonotic diseases, such as COVID-19 or Zika virus disease, have increasingly posed challenges to brain health,
Most nervous system burden occurs in LMICs, where health-care resources are scarce, access to services is limited by availability and workforce constraints, and many countries are insufficiently prepared to address the increasing number of cases or DALYs.
The findings in this study have important health service and policy implications and serve as evidence that global neurological health loss has been under-recognised and is increasing and unevenly distributed geographically and socioeconomically. Elucidating the individual contributions of conditions that affect nervous system health will inform targeted interventions and policy options that can increase nervous system health at individual and population levels.
Abstract
Sajjad Ahmad, Amir Mahmoud Ahmadzade, Ali Ahmed, Ayman Ahmed, Haroon Ahmed, Jivan Qasim Ahmed, Luai A Ahmed, Muktar Beshir Ahmed, Syed Anees Ahmed, Marjan Ajami, Budi Aji, Olufemi Ajumobi, Seyed Esma’il Akade, Morteza Akbari, Hossein Akbarialiabad, Shiva Akhlaghi, Karolina Akinosoglou, Rufus Olusola Akinyemi, Maxwell Akonde, Syed Mahfuz Al Hasan, Fares Alahdab, Tareq Mohammed Ali AL-Ahdal, Rasmieh Mustafa Al-amer, Mohammed Albashtawy, Mohammad T AlBataineh, Khalifah A Aldawsari, Hediyeh Alemi, Sharifullah Alemi, Abdelazeem M Algammal, Adel Ali Saeed Al-Gheethi, Fadwa Alhalaiqa Naji Alhalaiqa, Robert Kaba Alhassan, Abid Ali, Endale Alemayehu Ali, Liaqat Ali, Mohammed Usman Ali, Musa Mohammed Ali, Rafat Ali, Shahid Ali, Syed Shujait Shujait Ali, Zahid Ali, Sheikh Mohammad Alif, Yousef Alimohamadi, Ahmednur Adem Aliyi, Mohamad Aljofan, Syed Mohamed Aljunid, Suvarna Alladi, Joseph Uy Almazan, Sami Almustanyir, Basem Al-Omari, Jaber S Alqahtani, Ibrahim Alqasmi, Ahmed Yaseen Alqutaibi, Rustam Al-Shahi Salman, Zaid Altaany, Jaffar A Al-Tawfiq, Khalid A Altirkawi, Nelson Alvis-Guzman, Yaser Mohammed Al-Worafi, Hany Aly, Safwat Aly, Karem H Alzoubi, Reza Amani, Alireza Amindarolzarbi, Sohrab Amiri, Mohammad Hosein Amirzade-Iranaq, Hubert Amu, Dickson A Amugsi, Ganiyu Adeniyi Amusa, Jimoh Amzat, Robert Ancuceanu, Deanna Anderlini, David B Anderson, Catalina Liliana Andrei, Sofia Androudi, Dhanalakshmi Angappan, Teklit W Angesom, Abhishek Anil, Alireza Ansari-Moghaddam, Razique Anwer, Mosab Arafat, Aleksandr Y Aravkin, Demelash Areda, Hany Ariffin, Hidayat Arifin, Mesay Arkew, Johan Ärnlöv, Mahwish Arooj, Anton A Artamonov, Kurnia Dwi Artanti, Raphael Taiwo Aruleba, Ali A Asadi-Pooya, Tilahun Ferede Asena, Mohammad Asghari-Jafarabadi, Muhammad Ashraf, Tahira Ashraf, Kendalem Asmare Atalell, Seyyed Shamsadin Athari, Bantalem Tilaye Tilaye Atinafu, Prince Atorkey, Maha Moh’d Wahbi Atout, Alok Atreya, Avinash Aujayeb, Abolfazl Avan, Beatriz Paulina Ayala Quintanilla, Haleh Ayatollahi, Olatunde O Ayinde, Seyed Mohammad Ayyoubzadeh, Sina Azadnajafabad, Zahra Azizi, Khalil Azizian, Ahmed Y Azzam, Mahsa Babaei, Muhammad Badar, Ashish D Badiye, Soroush Baghdadi, Sara Bagherieh, Ruhai Bai, Atif Amin Baig, Senthilkumar Balakrishnan, Shivanthi Balalla, Ovidiu Constantin Baltatu, Maciej Banach, Soham Bandyopadhyay, Indrajit Banerjee, Mehmet Firat Baran, Miguel A Barboza, Martina Barchitta, Mainak Bardhan, Suzanne Lyn Barker-Collo, Till Winfried Bärnighausen, Amadou Barrow, Davood Bashash, Hamideh Bashiri, Hameed Akande Bashiru, Afisu Basiru, João Diogo Basso, Sanjay Basu, Abdul-Monim Mohammad Batiha, Kavita Batra, Bernhard T Baune, Neeraj Bedi, Ahmet Begde, Tahmina Begum, Babak Behnam, Amir Hossein Behnoush, Maryam Beiranvand, Yannick Béjot, Alehegn Bekele, Melaku Ashagrie Belete, Uzma Iqbal Belgaumi, Maryam Bemanalizadeh, Rose G Bender, Bright Benfor, Derrick A Bennett, Isabela M Bensenor, Betyna Berice, Paulo J G Bettencourt, Kebede A Beyene, Abhishek Bhadra, Devidas S Bhagat, Kayleigh Bhangdia, Nikha Bhardwaj, Pankaj Bhardwaj, Ashish Bhargava, Sonu Bhaskar, Ajay Nagesh Bhat, Vivek Bhat, Gurjit Kaur Bhatti, Jasvinder Singh Bhatti, Rajbir Bhatti, Ali Bijani, Boris Bikbov, Mariah Malak Bilalaga, Atanu Biswas, Saeid Bitaraf, Veera R Bitra, Tone Bjørge, Virginia Bodolica, Aadam Olalekan Bodunrin, Archith Boloor, Dejana Braithwaite, Carol Brayne, Hermann Brenner, Andrey Briko, Maria L Bringas Vega, Julie Brown, Christine M Budke, Danilo Buonsenso, Katrin Burkart, Richard A Burns, Yasser Bustanji, Muhammad Hammad Butt, Nadeem Shafique Butt, Zahid A Butt, Lucas Scotta Cabral, Florentino Luciano Caetano dos Santos, Daniela Calina, Ismael R Campos-Nonato, Chao Cao, Hélène Carabin, Rosario Cárdenas, Giulia Carreras, Andre F Carvalho, Carlos A Castañeda-Orjuela, Adriano Casulli, Ferrán Catalá-López, Alberico L Catapano, Arthur Caye, Luca Cegolon, Muthia Cenderadewi, Ester Cerin, Pamela R Uscamaita Chacón-Uscamaita, Jeffrey Shi Kai Chan, Gashaw Sisay Chanie, Jaykaran Charan, Vijay Kumar Chattu, Endeshaw Chekol Abebe, Hui Chen, Jianqi Chen, Gerald Chi, Fatemeh Chichagi, Saravana Babu Chidambaram, Ritesh Chimoriya, Patrick R Ching, Abdulaal Chitheer, Yuen Yu Chong, Hitesh Chopra,
Hossein Namdar Areshtanab, Shumaila Nargus, Bruno Ramos Nascimento, Abdallah Y Naser, Abdulqadir J J Nashwan, Hadis Nasoori, Ahmed Nasreldein, Zuhair S Natto, Javaid Nauman, Biswa Prakash Nayak, Athare Nazri-Panjaki, Mohammad Negaresh, Hadush Negash, Ionut Negoi, Ruxandra Irina Negoi, Serban Mircea Negru, Seyed Aria Nejadghaderi, Mohammad Hadi Nematollahi, Olivia D Nesbit, Charles Richard James Newton, Dang H Nguyen, Hau Thi Hien Nguyen, Hien Quang Nguyen, Ngoc-Trinh Thi Nguyen, Phat Tuan Nguyen, Van Thanh Nguyen, Robina Khan Niazi, Taxiarchis Konstantinos Nikolouzakis, Vikram Niranjan, Lawrence Achilles Nnyanzi, Efaq Ali Noman, Nafise Noroozi, Bo Norrving, Jean Jacques Noubiap, Chisom Adaobi Nri-Ezedi, George Ntaios, Virginia Nuñez-Samudio, Dieta Nurrika, Bogdan Oancea, Ismail A Odetokun, Martin James O’Donnell, Ropo Ebenezer Ogunsakin, James Odhiambo Oguta, In-Hwan Oh, Hassan Okati-Aliabad, Sylvester Reuben Okeke, Akinkunmi Paul Okekunle, Osaretin Christabel Okonji, Patrick Godwin Okwute, Andrew T Olagunju, Muideen Tunbosun Olaiya, Matifan Dereje Olana, Matthew Idowu Olatubi, Gláucia Maria Moraes Oliveira, Isaac Iyinoluwa Olufadewa, Bolajoko Olubukunola Olusanya, Ahmed Omar Bali, Sokking Ong, Obinna E Onwujekwe, Michal Ordak, Aislyn U Orji, Doris V Ortega-Altamirano, Uchechukwu Levi Osuagwu, Nikita Otstavnov, Stanislav S Otstavnov, Amel Ouyahia, Mayowa O Owolabi, Mahesh Padukudru P A, Kevin Pacheco-Barrios, Jagadish Rao Padubidri, Pramod Kumar Pal, Padmavali Nanaji Palange, Claudia Palladino, Raffaele Palladino, Raul Felipe Palma-Alvarez, Feng Pan, Demosthenes Panagiotakos, Songhomitra Panda-Jonas, Anamika Pandey, Ashok Pandey, Jeyaraj Durai Pandian, Helena Ullyartha Pangaribuan, Ioannis Pantazopoulos, Shahina Pardhan, Pragyan Paramita Parija, Romil R Parikh, Seoyeon Park, Ashwaghosha Parthasarathi, Ava Pashaei, Jay Patel, Shankargouda Patil, Dimitrios Patoulias, Shrikant Pawar, Paolo Pedersini, Umberto Pensato, David M Pereira, Jeevan Pereira, Maria Odete Pereira, Mario F P Peres, Norberto Perico, Simone Perna, Ionela-Roxana Petcu, Fanny Emily Petermann-Rocha, Hoang Tran Pham, Michael R Phillips, Gabriel D Pinilla-Monsalve, Michael A Piradov, Evgenii Plotnikov, Dimitri Poddighe, Burcu Polat, Ramesh Poluru, Constance Dimity Pond, Govinda Raj Poudel, Alireza Pouramini, Ali Mohammad Pourbagher-Shahri, Mohammad Pourfridoni, Naeimeh Pourtaheri, Peralam Yegneswaran Prakash, Sanjay Prakash, V Prakash, Elton Junio Sady Prates, Natalie Pritchett, Hery Purnobasuki, Nameer Hashim Qasim, Ibrahim Qattea, Gangzhen Qian, Venkatraman Radhakrishnan, Pourya Raee, Hadi Raeisi Shahraki, Ibrar Rafique, Alberto Raggi, Pankaja Raghav Raghav, Meghdad M Rahati, Fakher Rahim, Zahra Rahimi, Mahban Rahimifard, Md Obaidur Rahman, Mohammad Hifz Ur Rahman, Mosiur Rahman, Muhammad Aziz Rahman, Amir Masoud Rahmani, Shayan Rahmani, Hamed Rahmani Youshanlouei, Masoud Rahmati, Sheetal Raj Moolambally, Ali Rajabpour-Sanati, Hazem Ramadan, Shakthi Kumaran Ramasamy, Premkumar Ramasubramani, Sheena Ramazanu, Nemanja Rancic, Indu Ramachandra Rao, Sowmya J Rao, Deepthi Rapaka, Vahid Rashedi, Ahmed Mustafa Rashid,
*Joint first authors
Affiliations
and Quality Improvement (Y H Abate MSc), Aleta Wondo Hospital, Aleta Wondo, Ethiopia; Antai College of Economics (J Abbas PhD) and Shanghai Mental Health Center (Prof M R Phillips MD), Shanghai Jiao Tong University, Shanghai, China; Infectious and Tropical Research Center (M A Abbasi PhD), Department of Radiology (M Dashti MD), School of Nursing and Midwifery (H Hassankhani PhD), Department of Immunology (F Jadidi-Niaragh PhD), Department of Community Medicine (S Mousavi MD), Department of Mental Health and Psychiatric Nursing (H Namdar Areshtanab PhD), and Drug Applied Research Center (H Samadi Kafil PhD), Tabriz University of Medical Sciences, Tabriz, Iran; Department of Orthopedic Surgery (M Abbasian MD), Department of Pediatrics (S Aly MD), TH Chan School of Public Health (Prof T W Bärnighausen MD), Center for Primary Care (S Basu PhD), Harvard Business School
(F Caetano dos Santos PhD), Division of Cardiovascular Medicine (G Chi MD), Division of Cardiology (I Y Elgendy MD), Department of Health Policy and Oral Epidemiology (Z S Natto DrPH), and Department of Physical Medicine and Rehabilitation (K Pacheco-Barrios MD), Harvard University, Boston, MA, USA; Department of Orthopaedic Surgery (M Abbasian MD), Department of Biotechnology (S Aghamiri PhD), National Nutrition and Food Technology Research Institute (M Ajami PhD), Department of Hematology and Blood Banking (D Bashash PhD), Neurology Department (M Fathi MD), Psychiatric Nursing and Management Department (F Ghadirian PhD), Department of Medical Genetics (M Ghasemi PhD), Center for Comprehensive Genetic Services (M Ghasemi PhD), Obstetrics and Gynecology Department (E Ghotbi MD), Obesity Research Center (A Haj-Mirzaian MD), Urology and Nephrology Research Center (H Hesami MD, H Salehi Omran MD), Ophtalmic Reserch Centre (H Hesami MD), Department of Immunology (K Jahankhani MSc), Virtual School of Medical Education and Management (N Jahanmehr PhD), Prevention of Cardiovascular Disease Research Center (N Jahanmehr PhD), Department of Neurosurgery (H Khayat Kashani MD), Social Determinants of Health Research Center (A Kolahi MD, M Rashidi MD), Department of Genetics (R Mirfakhraie PhD), School of Medicine (F Montazeri MD, S Nejadghaderi MD, S Rahmani MD, M Zangiabadian MD), Chronic Respiratory Disease Research Center, National Research Institute of Tuberculosis and Lung Diseases (M Motaghinejad PhD), Department of Biology and Anatomical Sciences (P Raee PhD), Immunology Department (A Rasouli-Saravani PhD), Department of Anesthesiology (S Salimi MD, A Tajbakhsh MD, A Tajbakhsh MD), Ophthalmic Research Center (M Shayan MD), Emergency Department (S Shool MD), Department of Medical Education (S Tabatabai PhD), Medical Ethics and Law Research Center (M Taheri PhD), Skin Research Center (A Tahvildari MD), Medicine Faculty (A Tavasol MD), and Functional Neurosurgery Research Center (Prof A Zali MD), Shahid Beheshti University of Medical Sciences, Tehran, Iran; Advanced Diagnostic and Interventional Radiology Research Center (H Abbastabar PhD), The Institute of Pharmaceutical Sciences (Prof M Abdollahi PhD), School of Pharmacy (Prof M Abdollahi PhD), Research Center for Immunodeficiencies (H Abolhassani PhD, Prof N Rezaei PhD), Hematology, Oncology and Stem Cell Transplantation Research Center (H Alemi MD), Universal Scientific Education and Research Network (M Amirzade-Iranaq DDS), Department of Health Information Management (S Ayyoubzadeh PhD), Non-communicable Diseases Research Center (S Azadnajafabad MD, Prof F Farzadfar DSc, M Keykhaei MD, S Maroufi MS, F Montazeri MD, S Rahmani MD, M Rashidi MD, N Rezaei MD, N Rezaei PhD), Neurosicence Institute (M Babaei MD), School of Medicine (A Behnoush BS, H Karimi MD, A Khalaji BS, S Khanmohammadi MD, M Mayeli MD, M Merati MD, S Mohammadi MD), Department of Pediatric Neurology (M Bemanalizadeh MD), Department of Scientific Research (F Chichagi MD), Department of Neurosurgery (M Dabbagh Ohadi MD), Multiple Sclerosis Research Center (S Eskandarieh PhD, Prof M Sahraian MD), Neurology Department of Shariati Hospital (B Ghaderi Yazdi MD), Department of Health in Emergencies and Disasters (M Hadei PhD), Urology Research Center (F Kafi MD, A Pouramini MD), Immunology Department (J Karami PhD), Students’ Scientific Research Center (M Keykhaei MD, M Khadembashiri MD), Center for Research and Training in Skin
(Prof M T AlBataineh PhD) and Department of Epidemiology and Population Health (B Al-Omari PhD), Khalifa University, Abu Dhabi, United Arab Emirates; Department of Pediatrics (K A Aldawsari MD),
(T C Russ PhD); Department of Basic Sciences (Z Altaany PhD), Yarmouk Univeristy, Irbid, Jordan; Department of Specialty Internal Medicine (Prof J A Al-Tawfiq MD), Johns Hopkins Aramco Healthcare, Dhahran, Saudi Arabia; Medicine Department (Prof J A Al-Tawfiq MD), Indiana University School of Medicine, Indianapolis, IN, USA; Research Group in Hospital Management and Health Policies (Prof N Alvis-Guzman PhD), Universidad de la Costa, Barranquilla, Colombia; Research Group in Health Economics (Prof N Alvis-Guzman PhD), University of Cartagena, Cartagena, Colombia; Department of Medical Sciences (Prof Y M Al-Worafi PhD), Azal University for Human Development, Sana’a, Yemen; Department of Clinical Sciences (Prof Y M Al-Worafi PhD), University of Science and Technology of Fujairah, Fujairah, United Arab Emirates; Department of Pediatrics (Prof H Aly MD) and Department of Cardiovascular Medicine (S Shekhar MD), Cleveland Clinic, Cleveland, OH, USA; Department of Pediatric Cardiology (S Aly MD), Boston Children’s Hospital, Boston, MA, USA; Department of Clinical Pharmacy, Faculty of Pharmacy (Prof K H Alzoubi PhD) and Department of Public Health (Prof Y S Khader PhD), Jordan University of Science and Technology, Irbid, Jordan; Department of Veterinary Pathology (R Amani DVM), Islamic Azad University, Babol, Iran; Department of Radiology (A Amindarolzarbi MD), Department of Biostatistics (A Columbus MS), Department of Neurosurgery (F Kazemi MD), Department of Health Policy and Management (D Vervoort MD), Division of Cardiology (M Viskadourou MD), and Department of International Health (H Zhang MS), Johns Hopkins University, Baltimore, MD, USA; Medicine, Quran and Hadith Research Center (S Amiri PhD), Baqiyatallah University of Medical Sciences, Tehran, Iran; Department of Maternal and Child Wellbeing (D A Amugsi PhD), African Population and Health Research Center, Nairobi, Kenya; Department of Medicine (G A Amusa MD), University of Jos, Jos, Nigeria; Department of Internal Medicine (G A Amusa MD), Jos University Teaching Hospital, Jos, Nigeria; Department of Sociology (Prof J Amzat PhD) and Department of Theriogenology and Animal Production (A Shittu MSc), Usmanu Danfodiyo University, Sokoto, Sokoto, Nigeria; Department of Sociology (Prof J Amzat PhD), University of Johannesburg, Johannesburg, South Africa; Faculty of Pharmacy (Prof R Ancuceanu PhD), Cardiology Department (C Andrei PhD), Ophthalmology Department (A Dascalu PhD), Department of Legal Medicine and Bioethics (S Hostiuc PhD), Department of General Surgery (I Negoi PhD, D Serban PhD), Department of Anatomy and Embryology (R I Negoi PhD), and Department of Dermatology (M Tampa PhD), Carol Davila University of Medicine and Pharmacy, Bucharest, Romania; Centre for Sensorimotor Performance (D Anderlini MD), Center of Research Excellence in Stillbirth (T Begum MPH), Department of Urology (Prof E Chung MD), School of Public Health (A J Ferrari PhD, D F Santomauro PhD), Queensland Brain Institute (Prof J J McGrath MD), and Faculty of Medicine (M Moniruzzaman PhD), The University of Queensland, Brisbane, QLD, Australia; Neurology Department (D Anderlini MD), Royal Brisbane and Women’s Hospital, Brisbane, QLD, Australia; Faculty of Medicine (D B Anderson PhD), Faculty of Medicine and Health (J Comachio PhD), Sydney Medical School (S Islam PhD), Save Sight Institute (H Kandel PhD, Y You PhD), and School of Veterinary Science (B B Singh PhD), University of Sydney, Sydney, NSW, Australia; Department of Medicine (S Androudi PhD), University of Thessaly, Volos, Greece; Department of Child Neurology (D Angappan MD), Oregon Health and Science University, Portland, OR, USA; Department of Pharmacology (A Anil MD, J Charan MD, M Shamim MBBS, S Singh MD, S B Varthya MD), Department of Anatomy (Prof N Bhardwaj MD), Department of Community Medicine and Family Medicine (P Bhardwaj MD, Prof P R Raghav MD), School of Public Health (P Bhardwaj MD), Department of Forensic Medicine and Toxicology (T Kanchan MD), Department of Surgical Oncology (Prof S Misra MCh), Department of Pharmacology and Research (A Saravanan MD), and Department of Community Medicine (G Singh MD), All India Institute of Medical Sciences, Jodhpur, India; All India Institute of Medical Sciences, Bhubaneswar, India (A Anil MD); Department of Epidemiology and Biostatistics (Prof A Ansari-Moghaddam PhD), Health Promotion Research Center (M Khammarnia PhD, H Okati-Aliabad PhD, F Shahraki-Sanavi PhD),
and Department of Health Promotion (A Nazri-Panjaki MSc), Zahedan University of Medical Sciences, Zahedan, Iran; Department of Pathology (R Anwer PhD), Imam Mohammad Ibn Saud Islamic University, Riyadh, Saudi Arabia; College of Pharmacy (M Arafat PhD), Al Ain University, Abu Dhabi, United Arab Emirates; College of Art and Science (D Areda PhD), Ottawa University, Surprise, AZ, USA; College of Liberal Arts and Sciences (D Areda PhD), Arizona State University, Tempe, AZ, USA; Department of Paediatrics (Prof H Ariffin MD) and University of Malaya Medical Centre (Prof H Ariffin MD), University of Malaya, Kuala Lumpur, Malaysia; Department of Advanced Nursing Care (H Arifin MSc), Taipei Medical University, Surabaya, Indonesia; Department of Medical Laboratory Sciences (M Arkew MSc) and Department of Psychiatry (M T Walde MSc), Haramaya University, Harar, Ethiopia; Department of Neurobiology, Care Sciences and Society (Prof J Ärnlöv PhD, S Fereshtehnejad PhD) and Department of Molecular Medicine and Surgery (Prof J H Kauppila MD), Karolinska Institute, Stockholm, Sweden; School of Health and Social Studies (Prof J Ärnlöv PhD), Dalarna University, Falun, Sweden; University College of Medicine and Dentistry (Prof M Arooj PhD), University Institute of Radiological Sciences and Medical Imaging Technology (T Ashraf MS), University Institute of Public Health (A A Baig PhD, S Hameed MPH, A A Malik PhD, S Nargus PhD, S Nargus PhD), Department of Oral Biology (A Fahim PhD), Institute of Molecular Biology and Biotechnology (S Shahid PhD), and Research Centre for Health Sciences (S Shahid PhD), The University of Lahore, Lahore, Pakistan (Prof M Ashraf PhD); Department of Biophysics (A A Artamonov PhD), Russian Academy of Sciences, Moscow, Russia; Department of Epidemiology (K D Artanti MSc, A Hargono DMD) and Faculty of Public Health (S Martini PhD), Universitas Airlangga, Surabaya, Indonesia; Neurology Department (Prof A A Asadi-Pooya MD), Thomas Jefferson University, Philadelphia, PA, USA; External Quality Acessement (T F Asena PhD), Ethiopian Health and Nutrition Research Institute, Addis Ababa, Ethiopia; Department of Statistics (T F Asena PhD), Department of Medical Anatomy (A Bekele MSc), Department of Anatomy (S Demissie MSc), and Department of Nursing (A M Mersha MSc, B B Shashamo MSc), Arba Minch University, Arba Minch, Ethiopia; Cabrini Research (Prof M Asghari-Jafarabadi PhD), Cabrini Health, Malvern, VIC, Australia; Department of Pediatrics and Child Health Nursing (K A Atalell MSc), Department of Clinical Pharmacy (G S Chanie MSc, A K Sendekie MSc), Department of Human Physiology (M Diress MSc), Department of Environmental and Occupational Health (G G Kabito MPH), and Department of Environmental and Occupational Health and Safety (A H Tesfaye MPH), University of Gondar, Gondar, Ethiopia; Department of Immunology (S Athari PhD) and Critical Care and Emergency Nursing (N Hanifi PhD), Zanjan University of Medical Sciences, Zanjan, Iran; School of Nursing and Midwifery (B T Atinafu MSc), Department of Public Health (L Getacher MPH), Department of Biomedical Sciences (Y Solomon MSc), and Department of Pediatrics and Child Health Nursing (S S Yehualashet MSc), Debre Berhan University, Debre Berhan, Ethiopia; Hunter New England Population Health, Wallsend, NSW, Australia (P Atorkey MPhil); Faculty of Nursing (M M W Atout PhD, Prof A M Batiha PhD), Philadelphia University, Amman, Jordan; Department of Forensic Medicine (A Atreya MD), Lumbini Medical College, Palpa, Nepal; Northumbria HealthCare NHS Foundation Trust, Newcastle upon Tyne, UK (A Aujayeb MBBS); The Judith Lumley Centre (B Ayala Quintanilla PhD), Department of Public Health (H Jiang PhD, Prof C Liu PhD), and School of Nursing and Midwifery (M Rahman PhD), La Trobe University, Melbourne, VIC, Australia; San Martin de Porres University, Lima, Peru (B Ayala Quintanilla PhD); Department of Medicine (Z Azizi MD, M Babaei MD) and Blood and Marrow Transplantation and Cellular Therapy Program (A Goyal MD), Stanford University, Palo Alto, CA, USA; Department of Microbiology (K Azizian PhD), School of Medicine (S Khateri MD), Environmental Health Research Center (S Mohammadi PhD), and Department of Epidemiology and Biostatistics (Y Moradi PhD), Kurdistan University of Medical Sciences, Sanandaj, Iran; Department of Neurovascular Research (A Y Azzam MD), Nested Knowledge, Saint Paul, MN, USA; Faculty of Medicine (A Y Azzam MD), October 6 University, 6th of October City, Egypt; Gomal Center of Biochemistry and Biotechnology (M Badar PhD),
(S Khanmohammadi MD, S Nejadghaderi MD, H Soleimani MD) and Non-Communicable Diseases Research Center, Tehran, Iran (A Behnoush BS, A Khalaji BS); Division of Pulmonary, Critical Care, and Sleep (M Beiranvand PhD), University of Florida, Jacksonville, FL, USA; Department of Neurology (Prof Y Béjot PhD), University Hospital of Dijon, Dijon, France; Dijon Stroke Registry (Prof Y Béjot PhD), University of Burgundy, Dijon, France; Department of Medical Laboratory Science (M A Belete MSc), Department of Environmental Health (M Gebrehiwot DSc), and Department of Public Health Nutrition (B Wagaye MPH), Wollo University, Dessie, Ethiopia; Department of Oral Pathology and Microbiology (U I Belgaumi MD), Krishna Vishwa Vidyapeeth deemed to be University, Karad, India; Debakey Heart and Vascular Center (B Benfor MD), Houston Methodist Academic Institute, Houston, FL, USA; Department of Cardiovascular Surgery (B Benfor MD), Houston Methodist Hospital, Houston, TX, USA; Nuffield Department of Population Health (D A Bennett PhD), Nuffield Department of Medicine (Prof R J Maude PhD), Department of Psychiatry (Prof C R J Newton MD), and Health Economics Research Centre (Prof J A B Rodriguez PhD), University of Oxford, Oxford, UK; Department of Internal Medicine (I M Bensenor PhD, A C Goulart PhD), Center for Clinical and Epidemiological Research (A C Goulart PhD), and Department of Psychiatry (Prof M F P Peres MD, Y Wang PhD), University of São Paulo, São Paulo, Brazil; Faculty of Medicine (P J G Bettencourt PhD), Catholic University of Portugal, Rio de Mouro, Portugal; School of Pharmacy (K A Beyene PhD), University of Auckland, Auckland, New Zealand; Department of Pharmaceutical and Administrative Sciences (K A Beyene PhD), University of Health Sciences and Pharmacy in St Louis, St Louis, MO, USA; Department of Pharmacology (A Bhadra MPH), Popular Medical College, Dhaka, Bangladesh; Department of Forensic Chemistry (D S Bhagat PhD), Government Institute of Forensic Science, Aurangabad, Aurangabad, India; Department of Internal Medicine (A Bhargava MD), Wayne State University, Detroit, MI, USA; Global Health Neurology Lab (S Bhaskar PhD), NSW Brain Clot Bank, Sydney, NSW, Australia; Department of Neurology and Neurophysiology (S Bhaskar PhD), South West Sydney Local Heath District and Liverpool Hospital, Sydney, NSW, Australia; Department of General Medicine (A N Bhat MD), Department of Internal Medicine (A Boloor MD), Forensic Medicine and Toxicology Department (H L Dsouza MD), Department of Community Medicine (N Joseph MD, N Kumar MD, P Mithra MD, R Thapar MD), Department of Medicine (S Raj Moolambally MD), Department of Forensic Medicine (P H Shetty MD), and Kasturba Medical College (Prof B Unnikrishnan MD), Manipal Academy of Higher Education, Mangalore, India; Department of Internal Medicine (V Bhat MBBS), St John’s National Academy of Health Sciences, Bangalore, India; Medical Lab Technology (G K Bhatti PhD), Chandigarh University, Mohali, India; Human Genetics and Molecular Medicine (Prof J S Bhatti PhD) and Department of Zoology (B Vellingiri PhD), Central University of Punjab, Bathinda, India; Department of Pharmaceutical Sciences (R Bhatti PhD), Guru Nanak Dev University, Amritsar, India; Social Determinants of Health Research Center (A Bijani PhD), Cellular and Molecular Biology Research Center (Prof S Mahjoub PhD), Department of Clinical Biochemistry (Prof S Mahjoub PhD), and Department of Biochemistry (A Mosapour PhD), Babol University of Medical Sciences, Babol, Iran; Scientific-Tools, Bergamo, Italy (B Bikbov MD); Department of Neurology (Prof A Biswas DM), Institute of Post-Graduate Medical Education and Research and Seth Sukhlal Karnani Memorial Hospital, Kolkata, India; Faculty of Health Sciences (V R Bitra PhD), University of Botswana, Gaborone, Botswana; Department of Global Public Health and Primary Care (Prof T Bjørge PhD, O Dadras DrPH), Center for International Health (S Hassan MPhil), Bergen Center for Ethics and Priority Setting (S Hassan MPhil), and Department of Psychosocial Science (D Sagoe PhD), University of Bergen, Bergen, Norway; Cancer Registry of Norway, Oslo, Norway (Prof T Bjørge PhD); School of Business Administration (Prof V Bodolica PhD), American University of Sharjah, Sharjah, United Arab Emirates; Department of Epidemiology (D Braithwaite PhD), UF Health Cancer Center (S D Karanth PhD), and Computer and Information Science and Engineering (P Naghavi MSc), University of Florida, Gainesville, FL, USA; Cancer Population Sciences
(Y Galali ResM), Salahaddin University-Erbil, Erbil, Iraq; Department of Nutrition and Dietetics (Y Galali ResM), Cihan University-Erbil, Erbil, Iraq; Faculty of Paramedical (N Galehdar PhD), Lorestan University of Medical Sciences, Khorramabad, Iran; Nutrition and Metabolism Branch (Q Gan MPH), International Agency for Research on Cancer, Lyon, France; Department of Community Medicine (A P Gandhi MD), ESIC Medical College and Hospital, Hyderabad, India; Institute of Health and Wellbeing (B Ganesan PhD), Federation University, Churchill, VIC, Australia; University School of Management and Entrepreneurship (N Garg PhD, R Sharma PhD), Delhi Technological University, Delhi, India; School of Medicine (S-Y Gau MD), Chung Shan Medical University, Taichung, Taiwan; Department of Pharmacology (Prof R K Gautam PhD), Indore Institute of Pharmacy, Indore, India; International Trachoma Initiative (T Gebre PhD), Task Force for Global Health, Decatur, GA, USA; Department of Nursing (G G Gebremeskel MSc), Mekelle University, Mekelle, Ethiopia; School of Public Health (H G Gebreslassie MPH) and Department of Medical Laboratory Sciences (H Negash MSc), Adigrat University, Adigrat, Ethiopia; Department of Environmental Health Engineering (R Ghanbari PhD), Qazvin University of Medical Sciences, Qazvin, Iran; Department of Epidemiology and Biostatistics (A Gholami PhD, F Khorashadizadeh PhD) and Non-Communicable Diseases Research Center (A Gholami PhD), Neyshabur University of Medical Sciences, Neyshabur, Iran; Department of Epidemiology and Prevention (A Gialluisi PhD), IRCCS Neuromed, Pozzilli, Italy; Warwick Medical School (Prof P S Gill DM), University of Warwick, Coventry, UK; National Human Genome Research Institute (L M Glasstetter BS), National Institute on Deafness and Other Communication Disorders (H J Hoffman MA), and National Institute of Neurological Disorders and Stroke (W J Koroshetz MD), National Institute of Health, Bethesda, MD, USA; Third Department of Neurology (E V Gnedovskaya PhD), Research Center of Neurology, Moscow, Russia (M A Kravchenko PhD, Prof M A Piradov DSc, Prof V L Feigin PhD); Clinical Biochemistry and Applied Cell Sciences (A Golchin PhD) and Cellular and Molecular Medicine Institute (A Golchin PhD), Urmia University of Medical Sciences, Urmia, Iran (R Valizadeh PhD); Health Systems and Policy Research Department (M Golechha PhD), Indian Institute of Public Health, Gandhinagar, India; Department of Genetics (P Goleij MSc), Sana Institute of Higher Education, Sari, Iran; Universal Scientific Education and Research Network (P Goleij MSc), Sleep Disorders Research Center (H Mohammadi PhD), and Department of Infectious Disease (Prof S Vaziri MD), Kermanshah University of Medical Sciences, Kermanshah, Iran; Department of Biomedical and Neuromotor Sciences (D Golinelli MD, S Guicciardi MD, L Muccioli MD, F Sanmarchi MD), University of Bologna, Bologna, Italy; Department of Physiotherapy (Prof M Gomes-Neto PhD), Federal University of Bahia, Salvador, Brazil; School of Nursing and Midwifery (Prof R J Gray PhD), La Trobe University, Bundoora, VIC, Australia; Department of Public Health and Preventive Medicine (Prof M Grivna PhD), Charles University, Prague, Czech Republic; Department of Health Informatics (H A Guadie MPH), Department of Psychiatry (M Tareke MSc), and Department of Nursing (W A Temesgen PhD), Bahir Dar University, Bahir Dar, Ethiopia; Cheeloo College of Medicine (B Guan MB) and Department of Orthopaedics (H Zhou MD), Shandong University, Jinan, China; Post Graduate School of Public Health (G Guarducci MD), University of Siena, Siena, Italy; Health Directorate (S Guicciardi MD), Local Health Authority of Bologna, Bologna, Italy; Department of Community Medicine (D A Gunawardane MD), University of Peradeniya, Kandy, Sri Lanka; Department of Public Health (B Gupta PhD), Torrens University Australia, Melbourne, VIC, Australia; Department of Preventive Cardiology (Prof R Gupta MD), Eternal Heart Care Centre and Research Institute, Jaipur, India; Department of Medicine (Prof R Gupta MD), Mahatma Gandhi University Medical Sciences, Jaipur, India; Toxicology Department (S Gupta MSc), Shriram Institute for Industrial Research, Delhi, India; Faculty of Medicine Health and Human Sciences (Prof V K Gupta PhD) and Macquarie Medical School (M Mirzaei PhD, Y You PhD), Macquarie University, Sydney, NSW, Australia; Department of Epidemiology and Psychosocial Research (R A Gutiérrez PhD), Ramón de la Fuente Muñiz National Institute of Psychiatry, Mexico City, Mexico; Global Virus Network, Middle East Region (F Habibzadeh MD), Shiraz, Iran; Clinical Neurological Sciences
(V Hachinski DSc), The University of Western Ontario, London, ON, Canada; Lawson Health Research Institute, London, ON, Canada (V Hachinski DSc); Department of Pharmacology and Toxicology (R Haddadi PhD), Hamadan University of Medical Sciences, Hamadan, Iran; Department of Clinical Pharmacology and Medicine (Prof N R Hadi PhD), University of Kufa, Najaf, Iraq; Clinician Scientist Program (N Haep MD), Berlin Institute of Health, Berlin, Germany; NYU Shanghai, Shanghai, China (B J Hall PhD); Faculty of Health (M Hamiduzzaman PhD), Southern Cross University, Bilinga, QLD, Australia; Centre for Neuromuscular and Neurological Disorders (Prof G J Hankey MD) and Dobney Hypertension Centre (Prof M P Schlaich MD), University of Western Australia, Perth, WA, Australia; Perron Institute for Neurological and Translational Science, Perth, WA, Australia (Prof G J Hankey MD); Department of Biochemistry and Molecular Biology (Prof M Hannan PhD), Bangladesh Agricultural University, Mymensingh, Bangladesh; Department of Anatomy (Prof M Hannan PhD), Dongguk University, Gyeongju, South Korea; Department of Neurology, Xuanwu Hospital (Prof J Hao PhD, C Zhang MD), National Center for Neurological Disorders (Prof J Hao PhD), and National Center for Neurological Diseases, Xuanwu Hospital (C Zhang MD), Capital Medical University, Beijing, China; Medical Research Unit (H Harapan PhD), Universitas Syiah Kuala (Syiah Kuala University), Banda Aceh, Indonesia; School of Public Health (H Hareru MSc, T L Lerango MPH), Dilla University, Dilla, Ethiopia; Faculty of Medicine (N I Harlianto BSc), Julius Centre for Health Sciences and Primary Care (G A Kayode PhD), and Institute for Risk Assessment Sciences (E Traini MSc), Utrecht University, Utrecht, Netherlands; Department of Radiology (N I Harlianto BSc), University Medical Center Utrecht, Utrecht, Netherlands; Research Unit (J M Haro MD), University of Barcelona, Barcelona, Spain; Biomedical Research Networking Center for Mental Health Network, Barcelona, Spain (J M Haro MD); University of Tulsa College of Law (N N Hartman BS), University of Tulsa, Tulsa, OK, USA; Department of Economics and Statistics (N N Hartman BS), Department of Anesthesiology (V Krishnamoorthy MD), Center for the Study of Aging and Human Development (Y Yao MD), and Duke Global Health Institute (S Zadey MS), Duke University, Durham, NC, USA; Department of Zoology and Entomology (A I Hasaballah PhD), Al Azhar University, Cairo, Egypt; Department of Nursing (F Hasan MSc), Nursing School (M Kurniasari PhD), Department of Global Health and Health Security (K Latief MSCE), International PhD Program in Medicine (L Minh MD), Research Center for Artificial Intelligence in Medicine (L Minh MD), and School of Public Health (Y L Samodra MPH, Y L Samodra MPH), Taipei Medical University, Taipei, Taiwan; Department of Ophthalmology (H Hasani MD), Iran University of Medical Sciences, Karaj, Iran; Department of Radiology (M Hasanian MD), Arak University of Medical Sciences, Arak, Iran; Tabriz, Iran (H Hassankhani PhD); National Data Management Center for Health (M Hassen BSc), National Data Management Center for Health (A Misganaw PhD), and Water, Sanitation and Hygiene Unit (B Wagaye MPH), Ethiopian Public Health Institute, Addis Ababa, Ethiopia; Department of Diagnostic and Interventional Radiology and Neuroradiology (J Haubold MD) and Institute of Artificial Intelligence in Medicine (J Haubold MD), University Hospital Essen, Essen, Germany; Institute of Pharmaceutical Sciences (K Hayat MS), University of Veterinary and Animal Sciences, Lahore, Pakistan; Department of Pharmacy Administration and Clinical Pharmacy (K Hayat MS), Xian Jiaotong University, Xian, China; Santa Clara, CA, USA (G Heidari MD); Department of Microbiology (K Hezam PhD), Taiz University, Taiz, Yemen; School of Medicine (K Hezam PhD), Nankai University, Tianjin, China; Division for Health Service Promotion (Y Hiraike PhD), University of Tokyo, Tokyo, Japan; Division of Scientific Programs (H J Hoffman MA) and National Human Genome Research Institute (N Horita PhD), National Institutes of Health, Bethesda, MD, USA; Kasturba Medical College, Mangalore (R Holla MD, A Kamath MD), Manipal Institute of Management (S Kamath MHA), Department of Pharmacy Management (V S Ligade PhD), Department of Microbiology (P Y Prakash PhD), Manipal TATA Medical College (M Rahman PhD), and Department of Nephrology (I Rao DM), Manipal Academy of Higher Education, Manipal, India; Virginia Beach, VA, USA (K P Hopf MPH); Department of Pulmonology (N Horita PhD),
(F R Martins-Melo PhD), Federal Institute of Education, Science and Technology of Ceará, Caucaia, Brazil; Department of Nutrition and Dietetics (M Martorell PhD), University of Concepcion, Concepción, Chile; Centre for Healthy Living (M Martorell PhD), University of Concepción, Concepción, Chile; Clinical Institute of Medical and Chemical Laboratory Diagnostics (Prof W März MD), Medical University of Graz, Graz, Austria; Department of Public Health
(Prof R R Marzo MD), Management and Science University, Shah Alam, Malaysia; Jeffrey Cheah School of Medicine and Health Sciences (Prof R R Marzo MD), Monash University, Subang Jaya, Malaysia; Department of Neurology (J Massano MD), University Hospital Center de Sao Joao, Porto, Portugal; Department of Anatomy, Genetics and Biomedical Informatics (Y Mathangasinghe MD) and Department of Surgery (D P Wickramasinghe MD), University of Colombo, Colombo, Sri Lanka; Australian Regenerative Medicine Institute (Y Mathangasinghe MD) and Department of Medicine (M T Olaiya PhD), Monash University, Clayton, VIC, Australia; Department of Public Health and Community Medicine (E Mathews PhD), Central University of Kerala, Kasaragod, India; Epidemiology Department (Prof R J Maude PhD), Mahidol Oxford Tropical Medicine Research Unit, Bangkok, Thailand; Research Division (P K Maulik PhD), The George Institute for Global Health, New Delhi, India; Department of Social Medicine and Family (M Mazaheri PhD), Dezful University of Medical Sciences, Dezful, Iran; Department of Ophthalmology (C McAlinden PhD), Singleton Hospital, Swansea, UK; National Centre for Register-based Research (Prof J J McGrath MD), Aarhus University, Aarhus, Denmark; Neurology Department (Prof M Mehndiratta MD), Janakpuri Super Specialty Hospital Society, New Delhi, India; Department of Neurology (Prof M Mehndiratta MD), Govind Ballabh Institute of Medical Education and Research, New Delhi, India; Department of Medical Oncology and Hematology (M A M Mendez-Lopez PhD), Kantonsspital St Gallen, St Gallen, Switzerland; Peru Country Office (W Mendoza MD), United Nations Population Fund, Lima, Peru; Faculty of Civil Engineering (Prof O Mendoza-Cano PhD), University of Colima, Colima, Mexico; Forensic Medicine Division (Prof R G Menezes MD), Imam Abdulrahman Bin Faisal University, Dammam, Saudi Arabia; Neurology Unit (A Meretoja MD), Helsinki University Hospital, Helsinki, Finland; University Centre Varazdin (T Mestrovic PhD), University North, Varazdin, Croatia; Department of Epidemiology (I Michalek PhD) and National Cancer Registry (I Michalek PhD), Maria Sklodowska-Curie National Research Institute of Oncology, Warsaw, Poland; Department of Medical Physiology (E T Mihretie MSc), Madda Walabu University, Bale-Goba, Ethiopia; Department of Statistics and Econometrics (A Mirica PhD, I Petcu PhD), Bucharest University of Economic Studies, Bucharest, Romania; Internal Medicine Programme
(Prof E M Mirrakhimov PhD), Kyrgyz State Medical Academy, Bishkek, Kyrgyzstan; Department of Atherosclerosis and Coronary Heart Disease (Prof E M Mirrakhimov PhD), National Center of Cardiology and Internal Disease, Bishkek, Kyrgyzstan; Molecular Biology Unit (N S Mohamed MSc) and Bio-Statistical and Molecular Biology Department (N S Mohamed MSc), Sirius Training and Research Centre, Khartoum, Sudan; Research Institute for Health Development (S Mohammadi PhD), Kurdistan University of Medical Sciences, Sanandaj City, Iran; Department of Clinical Pharmacy and Pharmacy Practice (M Mohammed MSc) and Health Systems and Policy Research Unit (S Mohammed PhD), Ahmadu Bello University, Zaria, Nigeria; School of Pharmaceutical Sciences (M Mohammed MSc), Universiti Sains Malaysia (University of Science Malaysia), Penang, Malaysia; Department of Pharmaceutical Sciences (S Mohammed PhD), Notre Dame of Maryland University, Baltimore, MD, USA; Department of Pharmacy (S Mohammed PhD), Mizan-Tepi University, Mizan, Ethiopia; Department of Health Care Management (S Mohammed PhD), Technical University of Berlin, Berlin, Germany; Center for Transdisciplinary Research (S Mohan PhD), Saveetha Institute of Medical and Technical Science, Chennai, India; Department of Pharmacology (H Mojiri-Forushani PhD), Abadan School of Medical Sciences, Abadan, Iran; Oncology Department (N Moka MD), Appalachian Regional Healthcare, Hazard, KY, USA; Department of Internal Medicine (N Moka MD), University of Kentucky, Lexington, KY, USA; Institute of Clinical Physiology (S Molinaro PhD), National
(Z Saadatian PhD), Gonabad University of Medical Sciences, Gonabad, Iran; Department of Neurology (Prof S Sacco MD), University of L’Aquila, L’Aquila, Italy; Department of Pediatric Neurology (S Sadeghian MD), Ahvaz Jundishapur University of Medical Sciences, Ahvaz, Iran; Multidisciplinary Laboratory Foundation University School of Health Sciences (Prof U Saeed PhD), Foundation University, Islamabad, Pakistan; International Center of Medical Sciences Research, Islamabad, Pakistan (Prof U Saeed PhD); Hurvitz Brain Sciences Research Program (U Saeed MSc), Sunnybrook Research Institute, Toronto, ON, Canada; Department of Neurology (M Safdarian MD), Christian-Doppler University Hospital, Salzburg, Austria; Spinal Cord Injury and Tissue Regeneration Center Salzburg (M Safdarian MD), Paracelsus Medical University, Salzburg, Austria; Faculty of Medicine, Bioscience and Nursing (S Z Safi PhD), MAHSA University, Selangor, Malaysia; Interdisciplinary Research Centre in Biomedical Materials (S Z Safi PhD), COMSATS Institute of Information Technology, Lahore, Pakistan; Department of Community and Family Medicine (S S Sahoo MD) and Department of Radiodiagnosis (P Singh MD), All India Institute of Medical Sciences, Bathinda, India; Neurology Department (S Sajedi MD), Golestan University of Medical Sciences, Gorgan, Iran; Ludwig Maximilian University of Munich, Munich, Germany (J W Sakshaug PhD); Institute for Employment Research, Nuremberg, Germany (J W Sakshaug PhD); Public Health and Community Medicine Department (M R Salem MD), Cairo University, Giza, Egypt; Department of Neurology (S Samadzadeh MD), University of Southern Denmark, Odense, Denmark; Department of Anatomy (Prof V P Samuel PhD), Ras Al Khaimah Medical and Health Sciences University, Ras Al Khaimah, United Arab Emirates; Institute of Neuroanatomy (N Sanadgol PhD), Uniklinik Rhine-Westphalia Technical University of Aachen, Aachen, Germany; Department of Pediatrics (R K Sanjeev MD), Pravara Institute of Medical Sciences, Loni (BK), India; Policy and Epidemiology Group (D F Santomauro PhD), Queensland Centre for Mental Health Research, Wacol, QLD, Australia; College of Public Health (I N Santri PhD), University of Ahmad Dahlan, Yogyakarta, Indonesia; Indira Gandhi Medical College and Research Institute, Puducherry, India (A Saravanan MD); UGC Centre of Advanced Study in Psychology (M Satpathy PhD) and Analytical and Applied Economics Department (C K Swain MPhil), Utkal University, Bhubaneswar, India; Udyam-Global Association for Sustainable Development, Bhubaneswar, India (M Satpathy PhD); Market Access (M Saylan MD), Bayer, Istanbul, Türkiye; Department of Neurology (Prof N Scarmeas PhD), National and Kapodistrian University of Athens, Athens, Greece; Hypertension and Kidney Disease Laboratory (Prof M P Schlaich MD), Baker Heart and Diabetes Institute, Melbourne, VIC, Australia; Cardiovascular Research Center (A Schuermans BSc), Massachusetts General Hospital, Cambridge, MA, USA; Department of Cardiovascular Sciences (A Schuermans BSc, J Van den Eynde BSc), Katholieke Universiteit Leuven, Leuven, Belgium; Department of Methodology and Innovation in Prevention (M Schwarzinger MD), University Hospital of Bordeaux, France, Bordeaux, France; University of Bordeaux (M Schwarzinger MD), Inserm, Bordeaux, France; Department of Psychology (D C Schwebel PhD) and Department of Radiology (H Sotoudeh MD), University of Alabama at Birmingham, Birmingham, AL, USA; Faculty of Dentistry (S Selvaraj PhD), AIMST University, Bedong, Malaysia; Department of Medical Sciences (P Sengupta PhD), Bharath Institute of Higher Education and Learning, Chennai, India; Emergency Department (S Senthilkumaran MD), Manian Medical Centre, Erode, India; Department of Medicine and Surgery (Y Sethi MBBS), Government Doon Medical College, Dehradun, India; National Heart, Lung, and Blood Institute (A Seylani BS), National Institute of Health, Rockville, MD, USA; Department of Community Health (M Shabany PhD), Aja University of Medical Sciences, Tehran, Iran; Department of Chemistry (H Shahsavari PhD), Institute for Advanced Studies in Basic Sciences, Zanjan, Iran; Department of Clinical Sciences (Prof M J Shahwan PhD), Al-Quds University, Ajman, United Arab Emirates; Karachi, Pakistan (M A Shaikh MD); Medical College (Prof K Shaji MD), Kerala University of Health Sciences, Thrissur, India; Department of Pathology and Laboratory Medicine (S Sham MD), Northwell Health, New York City, NY, USA; Department of Public Health (A T T Shama MPH), Wollega University, Nekemt, Ethiopia;
(M G M Zeariya PhD), University of Hail, Hail, Saudi Arabia; Department of Zoology and Entomology (M G M Zeariya PhD), Al-Azhar University, Cairo, Egypt; The Biotechnology Centre (F Zeukeng PhD), University of Yaoundé I, Yaounde, Cameroon; Department of Biochemistry and Molecular Biology (F Zeukeng PhD), University of Buea, Buea, Cameroon; Department of Epidemiology and Biostatistics (C Zhai MD), Ministry of Public Health, Hefei, China; Department of Oncology (C Zhai MD), The First Affiliated Hospital of Anhui Medical University, Hefei, China; School of Public Health (Y Zhang PhD), Hubei Province Key Laboratory of Occupational Hazard Identification and Control (Y Zhang PhD), Wuhan University of Science and Technology, Wuhan, China; College of Traditional Chinese Medicine (H Zhao MD), Hebei University, Baoding, China; The Department of Basic Medicine (Y Zhao BS), Army Medical University, Chongqing, China; School of Public Health and Emergency Management (B Zhu PhD), Southern University of Science and Technology, Shenzhen, China; Department of Public Health (A Zhumagaliuly MD), Kazakh National Medical University, Almaty, Kazakhstan
Contributors
Declaration of interests
educational events from Pfizer and Roche Pharmaceuticals and support for attending meetings and travel from Boehringer Ingelheim, outside the submitted work. T W Bärnighausen reports grants from the EU (Horizon 2020 and European Institute of Innovation and Technology Health), German Research Foundation, US National Institutes of Health, German Ministry of Education and Research, Alexander von Humboldt Foundation, Else-Kröner-Fresenius-Foundation, Wellcome Trust, Gates Foundation, KfW Development Bank, UNAIDS, and WHO; consulting fees for KfW on the OSCAR Initiative in Viet Nam; participation on a data safety monitoring board or advisory board with NIH-funded study Healthy Options as chair of the data safety and monitoring board, participation on a data safety monitoring board with the German National Committee on the Future of Public Health Research and Education, participation as chair of the scientific advisory board to the European and Developing Countries Clinical Trials Partnership Evaluation, and participation as a member of the UNAIDS Evaluation Expert Advisory Committee, National Institutes of Health Study Section Member on Population and Public Health Approaches to HIV/AIDS, US National Academies of Sciences, Engineering, and Medicine’s Committee for the Evaluation of Human Resources for Health in the Republic of Rwanda under the President’s Emergency Plan for AIDS Relief, and University of Pennsylvania (UPenn) Population Aging Research Center (PARC) External Advisory Board; and leadership or fiduciary roles in board, society, committee or advocacy groups, paid or unpaid with the Global Health Hub Germany as co-chair (which was initiated by the German Ministry of Health), outside the submitted work. S Bhaskar reports grants or contracts from Japan Society for Promotion Science; leadership or fiduciary roles in board, society, committee, or advocacy groups, paid or unpaid with Rotary District 9675 Diversity, Equity and Inclusion as a chair and with Global Health and Migration, Global Health Hub Germany as a founding member, manager, and chair. H Carabin reports grants or contracts from WHO. M Endres reports grants from Bayer (unrestricted grant to Charité for MonDAFIS study and Berlin AFib registry, with no personal fees); consulting fees paid to the institution from Bayer; payment (paid to institution) for honoraria for lectures, presentations, speakers bureaus, manuscript writing, or educational events from Bayer, Pfizer, Amgen, GSK, and Novartis; participation on a data safety monitoring board or advisory board (no personal fees) with BMS (country principal investigator for Axiomatic-SSP), Bayer (country principal investigator for NAVIGATE-ESUS), and Daiichi Sankyo; leadership or fiduciary roles in board, society, committee, or advocacy groups, paid or unpaid with the European Academy of Neurology as a member at large on the board of directors and as an unpaid fellow, the German Center for Neurodegenerative Diseases as an unpaid member, the International Society for Cerebral Blood Flow and Metabolism as an unpaid member, the American Health Association and American Stroke Association as an unpaid member, the European Stroke Organisation as an unpaid fellow, the World Stroke Organization as an unpaid member, German Centre of Cardiovascular Research as an unpaid principal investigator, and German Center of Neurodegenerative Diseases as a paid principal investigator under a personal contract; and receipt of equipment, materials, drugs, medical writing, gifts, or other services from Amgen, outside the submitted work. L M Force reports support for the present manuscript from the Gates Foundation; grants or contracts from Conquer Cancer Foundation, St Jude Children’s Research Hospital, St Baldrick’s Foundation, and National Institutes of Health Loan Repayment Program; and leadership or fiduciary roles in board, society, committee, or advocacy groups, unpaid with the Lancet Oncology International Advisory Board. Q Gan reports other financial or nonfinancial interests from the International Agency for Research on Cancer as the beneficiary of the International Agency for Research on Cancer Research and Training Programme. J F Mosser reports grant funding support for the present manuscript for Global Burden of Disease estimation from the Gates Foundation; grants from Gavi, the Vaccine Alliance; and support for attending meetings and travel from the Gates Foundation. S Muthu support for attending meetings and travel from ON Foundation (International Cartilage Regeneration and Joint Preservation Society 2023) and leadership or fiduciary roles in board, society, committee, or advocacy groups, paid or unpaid with the International Society of Orthopaedic Surgery and Traumatology
on the Research Grants Committee and the International Cartilage Regeneration and Joint Preservation Society on the NextGEN Committee, outside the submitted work. L Ronfani reports support for the present manuscript from the Italian Ministry of Health (Ricerca Corrente 34/2017), payments made to the Institute for Maternal and Child Health Istituto di Ricovero e Cura a Carattere Scientifico Burlo Garofolo. S Zadey reports honoraria for lectures, presentations, speakers bureaus, manuscript writing, or educational events from Think Global Health, Harvard Public Health Magazine, and The Wire Science and leadership or fiduciary roles in board, society, committee, or advocacy groups, paid or unpaid with the Association for Socially Applicable Research as a co-founding director, The G4 Alliance as a permanent council member, Surgical, Obstetric, Trauma and Anesthesia Care in South Asia Working Group as a chair, and Maharashtra State Mental Health Policy as a drafting committee member, outside the submitted work. The authors alone are responsible for the views expressed in this Article, and they do not necessarily represent the views, decisions, or policies of the institutions or funders with which they are affiliated.
Data sharing
Acknowledgments
References
2 WHO. Optimizing brain health across the life course: WHO position paper. Aug 9, 2022. https://www.who.int/publications/i/ item/9789240054561 (accessed Nov 16, 2022).
3 WHO. Intersectoral global action plan on epilepsy and other neurological disorders 2022-2031. 2023. https://apps.who.int/iris/ handle/10665/371495 (accessed Feb 9, 2024).
4 Feigin VL, Abajobir AA, Abate KH, et al. Global, regional, and national burden of neurological disorders during 1990-2015: a systematic analysis for the Global Burden of Disease Study 2015. Lancet Neurol 2017; 16: 877-97.
5 Kang S, Eum S, Chang Y, et al. Burden of neurological diseases in Asia from 1990 to 2019: a systematic analysis using the Global Burden of Disease Study data. BMJ Open 2022; 12: e059548.
6 Ding C, Wu Y, Chen X, et al. Global, regional, and national burden and attributable risk factors of neurological disorders: the Global Burden of Disease study 1990-2019. Front Public Health 2022; published online Nov 29. https://doi.org/10.3389/fpubh.2022.952161.
7 Newton CR. Global burden of pediatric neurological disorders. Semin Pediatr Neurol 2018; 27: 10-15.
8 WHO. Neurology and COVID-19: scientific brief, 29 September 2021. Sept 29, 2021. https://apps.who.int/iris/ handle/10665/345574 (accessed March 14, 2023).
9 Wulf Hanson S, Abbafati C, Aerts JG, et al. Estimated global proportions of individuals with persistent fatigue, cognitive, and respiratory symptom clusters following symptomatic COVID-19 in 2020 and 2021. JAMA 2022; 328: 1604-15.
10 Guerrero Saldivia SE, Unnikrishnan S, Chavarria YY, et al. Zika virus: a systematic review of teratogenesis, congenital anomalies, and child mortality. Cureus 2023; 15: e34735.
12 Patel H, Sander B, Nelder MP. Long-term sequelae of West Nile virusrelated illness: a systematic review. Lancet Infect Dis 2015; 15: 951-59.
13 Muñoz LS, Garcia MA, Gordon-Lipkin E, Parra B, Pardo CA. Emerging viral infections and their impact on the global burden of neurological disease. Semin Neurol 2018; 38: 163-75.
14 Olusanya BO, Davis AC, Wertlieb D, et al. Developmental disabilities among children younger than 5 years in 195 countries and territories, 1990-2016: a systematic analysis for the Global Burden of Disease Study 2016. Lancet Glob Health 2018; 6: e1100-21.
15 Vos T, Lim SS, Abbafati C, et al. Global burden of 369 diseases and injuries in 204 countries and territories, 1990-2019: a systematic analysis for the Global Burden of Disease Study 2019. Lancet 2020; 396: 1204-22.
16 Dorsey ER, Elbaz A, Nichols E, et al. Global, regional, and national burden of Parkinson’s disease, 1990-2016: a systematic analysis for the Global Burden of Disease Study 2016. Lancet Neurol 2018; 17: 939-53.
17 Murray CJL, Aravkin AY, Zheng P, et al. Global burden of 87 risk factors in 204 countries and territories, 1990-2019: a systematic analysis for the Global Burden of Disease Study 2019. Lancet 2020; 396: 1223-49.
18 Feigin VL, Vos T, Nichols E, et al. The global burden of neurological disorders: translating evidence into policy. Lancet Neurol 2020; 19: 255-65.
19 Mohammadi D. Neurology in resource-poor countries: fighting for funding. Lancet Neurol 2011; 10: 953-54.
20 Patel V, Chisholm D, Dua T, Laxminarayan R, Medina-Mora ME. Mental, neurological, and substance use disorders: disease control priorities, third edition (volume 4) Washington, DC: The International Bank for Reconstruction and Development and The World Bank, 2016.
21 Winkler AS. The growing burden of neurological disorders in lowincome and middle-income countries: priorities for policy making. Lancet Neurol 2020; 19: 200-02.
22 Feigin VL, Stark BA, Johnson CO, et al. Global, regional, and national burden of stroke and its risk factors, 1990-2019: a systematic analysis for the Global Burden of Disease Study 2019. Lancet Neurol 2021; 20: 795-820.
23 Nichols E, Steinmetz JD, Vollset SE, et al. Estimation of the global prevalence of dementia in 2019 and forecasted prevalence in 2050: an analysis for the Global Burden of Disease Study 2019. Lancet Public Health 2022; 7: e105-25.
24 Amarenco P, Labreuche J. Lipid management in the prevention of stroke: review and updated meta-analysis of statins for stroke prevention. Lancet Neurol 2009; 8: 453-63.
25 Wright JT Jr, Williamson JD, Whelton PK, et al. A randomized trial of intensive versus standard blood-pressure control. N Engl J Med 2015; 373: 2103-16.
26 Langhorne P, Ramachandra S. Organised inpatient (stroke unit) care for stroke: network meta-analysis. Cochrane Database Syst Rev 2020; 4: CD000197.
27 National Institute of Neurological Disorders and Stroke rt-PA Stroke Study Group. Tissue plasminogen activator for acute ischemic stroke.
28 Goyal M, Demchuk AM, Menon BK, et al. Randomized assessment of rapid endovascular treatment of ischemic stroke. N Engl J Med 2015; 372: 1019-30.
29 de Figueiredo A, Johnston IG, Smith DMD, Agarwal S, Larson HJ, Jones NS. Forecasted trends in vaccination coverage and correlations with socioeconomic factors: a global time-series analysis over 30 years. Lancet Glob Health 2016; 4: e726-35.
31 Shlobin NA, LoPresti MA, Du RY, Lam S. Folate fortification and supplementation in prevention of folate-sensitive neural tube defects: a systematic review of policy. J Neurosurg Pediatr 2020; 27: 294-310.
32 Ssentongo P, Heilbrunn ES, Ssentongo AE, Ssenyonga LVN, Lekoubou A. Birth prevalence of neural tube defects in eastern Africa: a systematic review and meta-analysis. BMC Neurol 2022; 22: 202.
33 Bitew ZW, Worku T, Alebel A, Alemu A. Magnitude and associated factors of neural tube defects in Ethiopia: a systematic review and meta-analysis. Glob Pediatr Health 2020; 7: X20939423.
34 Abdullahi A, Candan SA, Soysal Tomruk M, et al. Is Guillain-Barré syndrome associated with COVID-19 infection? A systemic review of the evidence. Front Neurol 2021; published online Jan 13. https://doi.org/10.3389/fneur.2020.566308.
35 Luijten LWG, Leonhard SE, van der Eijk AA, et al. Guillain-Barré syndrome after SARS-CoV-2 infection in an international prospective cohort study. Brain 2021; 144: 3392-404.
36 Keddie S, Pakpoor J, Mousele C, et al. Epidemiological and cohort study finds no association between COVID-19 and Guillain-Barré syndrome. Brain 2021; 144: 682-93.
37 WHO. Parkinson disease: a public health approach: technical brief. June 14, 2022. https://www.who.int/publications-detailredirect/9789240050983 (accessed March 14, 2023).
38 Ong KL, Stafford LK, McLaughlin SA, et al. Global, regional, and national burden of diabetes from 1990 to 2021, with projections of prevalence to 2050: a systematic analysis for the Global Burden of Disease Study 2021. Lancet 2023; 402: 203-34.
39 WHO. Atlas: country resources for neurological disorders, 2nd ed. Jan 1, 2017. https://www.who.int/publications-detailredirect/9789241565509 (accessed March 14, 2023).
40 O’Donnell MJ, Chin SL, Rangarajan S, et al. Global and regional effects of potentially modifiable risk factors associated with acute stroke in 32 countries (INTERSTROKE): a case-control study. Lancet 2016; 388: 761-75.
41 Livingston G, Huntley J, Sommerlad A, et al. Dementia prevention, intervention, and care: 2020 report of the Lancet Commission. Lancet 2020; 396: 413-46.
42 van Hecke O, Austin SK, Khan RA, Smith BH, Torrance N. Neuropathic pain in the general population: a systematic review of epidemiological studies. Pain 2014; 155: 654-62.
43 Knezevic NN, Candido KD, Vlaeyen JWS, Van Zundert J, Cohen SP. Low back pain. Lancet 2021; 398: 78-92.
44 Mahdizade Ari M, Mohamadi MH, Shadab Mehr N, et al. Neurological manifestations in patients with COVID-19: a systematic review and meta-analysis. J Clin Lab Anal 2022; 36: e24403.
45 Kiani L. Preventing COVID-19 neurological complications. Nat Rev Neurol 2022; 18: 699.
46 Beghi E, Moro E, Davidescu EI, et al. Comparative features and outcomes of major neurological complications of COVID-19. Eur J Neurol 2023; 30: 413-33.
47 Wiebers DO, Feigin VL, Winkler AS. Brain health, One Health, and COVID-19. Neuroepidemiology 2021; 55: 425-26.
48 Beghi E, Feigin V, Caso V, Santalucia P, Logroscino G. COVID-19 infection and neurological complications: present findings and future predictions. Neuroepidemiology 2020; 54: 364-69.
49 Kolappa K, Seeher K, Dua T. Brain health as a global priority. J Neurol Sci 2022; 439: 120326.
- GBD 2021 Nervous System Disorders Collaborators
Jaimie D Steinmetz*, Katrin Maria Seeher*, Nicoline Schiess, Emma Nichols, Bochen Cao, Chiara Servili, Vanessa Cavallera, Ewerton Cousin, Hailey Hagins, Madeline E Moberg, Max L Mehlman, Yohannes Habtegiorgis Abate, Jaffar Abbas, Madineh Akram Abbasi, Mohammadreza Abbasian, Hedayat Abbastabar, Michael Abdelmasseh, Mohammad Abdollahi, Mozhan Abdollahi, Mohammad-Amin Abdollahifar, Rami Abd-Rabu, Deldar Morad Abdulah, Auwal Abdullahi, Aidin Abedi, Vida Abedi, Roberto Ariel Abeldaño Zuñiga, Hassan Abidi, Olumide Abiodun, Richard Gyan Aboagye, Hassan Abolhassani, Victor Aboyans, Woldu Aberhe Abrha, Ahmed Abualhasan, Eman Abu-Gharbieh, Salahdein Aburuz, Lawan Hassan Adamu, Isaac Yeboah Addo, Oladimeji M Adebayo, Victor Adekanmbi, Tayo Alex Adekiya, Wirawan Adikusuma, Qorinah Estiningtyas Sakilah Adnani, Saryia Adra, Tsion Afework, Aanuoluwapo Adeyimika Afolabi, Ali Afraz, Saira Afzal, Shahin Aghamiri, Antonella Agodi, Williams Agyemang-Duah, Bright Opoku Ahinkorah, Aqeel Ahmad, Danish Ahmad,

