DOI: https://doi.org/10.1093/mnras/stae034
تاريخ النشر: 2024-01-05
المؤلف: Xiaowei Ou وآخرون
الموضوع الرئيسي: المجرات: التكوين، التطور، الظواهر
نظرة عامة
في هذه الدراسة، يقدم المؤلفون منحنى السرعة الدائرية المحدث لمجرة درب التبانة، ممتدًا إلى حوالي 30 كيلوبارسيك، ويستخرجون نموذجًا جديدًا لملف كثافة المادة المظلمة (DM). باستخدام قياسات بارالاكس دقيقة لـ 120,309 نجمًا من نموذج مدفوع بالبيانات يدمج طيف APOGEE DR17 مع بيانات Gaia DR3 و2MASS وWISE، يلاحظون انخفاضًا أسرع بشكل ملحوظ في منحنى السرعة الدائرية عند أنصاف أقطار مجرية أكبر مقارنة بالمناطق الداخلية. يتم وصف هذا الانخفاض بشكل أفضل بواسطة ملف إيناستو ذو النواة، مع معامل ميل $\alpha = 0.91^{+0.04}_{-0.05}$، بدلاً من ملف نافارو-فرينك-وايت (NFW) العام. يتم تقدير الكتلة الفيرالية لهالة المادة المظلمة لمجرة درب التبانة لتكون $1.81^{+0.06}_{-0.05} \times 10^{11} M_\odot$، وهو أقل بكثير من التقديرات السابقة المستندة إلى ملفات NFW.
تشير النتائج إلى أن الطبيعة ذات النواة لهالة المادة المظلمة قد تكون مرتبطة بالشكل الملحوظ لمنحنى السرعة الدائرية، مما يقترح تاريخ تشكيل معقد تأثر بانفجارات النجوم وتغيرات في تراكم المادة المظلمة. كما تسلط الدراسة الضوء على التباينات بين تقديرات الكتلة الفيرالية الخاصة بهم وتلك المستمدة من العناقيد الكروية والأقمار الصناعية القزمة، لا سيما خارج 30 كيلوبارسيك، حيث تفتقر القياسات المباشرة. بالإضافة إلى ذلك، يحسب المؤلفون كثافة المادة المظلمة المحلية لتكون $0.447^{+0.004}_{-0.004} \text{ GeV cm}^{-3}$ وعامل $J$ ليكون $15.8^{+1.08}_{-0.93} \times 10^{22} \text{ GeV}^2 \text{ cm}^{-5}$، وكلاهما لهما آثار على تجارب الكشف عن المادة المظلمة. بشكل عام، تؤكد هذه الأبحاث على أهمية تحسين منحنى السرعة الدائرية لتعزيز فهمنا لهالة المادة المظلمة لمجرة درب التبانة وآثارها على تشكيل المجرات في سياق كوني.
مقدمة
تناقش مقدمة الورقة أهمية منحنى السرعة الدورانية أو السرعة الدائرية لمجرات القرص، وخاصة مجرة درب التبانة، في فهم توزيع الكتلة ووجود هالات المادة المظلمة (DM) المحيطة بالمجرات. يوفر منحنى السرعة الدائرية رؤى حول الكتلة كدالة للمسافة الشعاعية، كاشفًا أن ديناميات المكونات اللامعة تتأثر بشكل أساسي بإمكانات المادة المظلمة. هذه العلاقة حاسمة لكل من الكشف المباشر وغير المباشر عن المادة المظلمة، حيث إنها تُعلم كثافة المادة المظلمة المحلية وكثافة المادة المظلمة المتكاملة في مركز المجرة.
تسلط الورقة الضوء على التقدم في قياس منحنى السرعة الدائرية باستخدام متتبعين مختلفين، بما في ذلك السحب الجزيئية والشمعات القياسية النجمية، وتلاحظ قيود هذه الطرق، لا سيما عند المسافات الكبيرة من مركز المجرة. لقد حسنت ظهور المسوحات الفلكية الكبيرة مثل Gaia من دقة قياسات المسافة، مما يمكّن من رسم منحنى السرعة الدائرية لمسافات أكبر. يشير المؤلفون إلى دراسات سابقة حسنت قياسات البارالاكس وقيّدت منحنى السرعة الدائرية، مما أدى إلى الدراسة الحالية، التي تهدف إلى تحديث المنحنى حتى حوالي 30 كيلوبارسيك باستخدام بيانات جديدة من Gaia DR3 وAPOGEE DR17. ستفصل الأقسام اللاحقة مجموعة البيانات، والمنهجية لاشتقاق قياسات بارالاكس دقيقة، وآثار منحنى السرعة الدائرية المحدث على ملف كثافة المادة المظلمة لمجرة درب التبانة.
النتائج
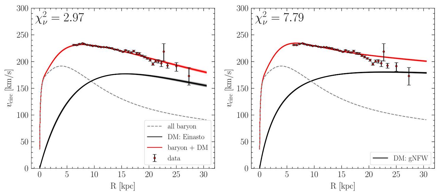
في هذا القسم، يقدم المؤلفون التوزيعات اللاحقة لملفات المادة المظلمة (DM) المناسبة، مع القيم المتوسطة التي تعمل كمعلمات نهائية مناسبة، مفصلة في الجدول 3. يتم تعريف المقياس الإحصائي \( c_{200} = r_{200} r^{-2} \)، حيث \( r_{-2} \) هو نصف القطر الذي يكون فيه ميل ملف الكثافة \( \frac{d \ln \rho}{d \ln r} = -2 \). بالنسبة لملف نافارو-فرينك-وايت العام (gNFW)، \( r_{-2} = (2 – \beta) r_s \)، ولملف إيناستو، \( r_{-2} = \left(\frac{2}{\alpha}\right)^{1/\alpha} r_s \). تشير التحليلات إلى وجود ملف DM ذو نواة عالية في كلا النموذجين، حيث يوفر ملف إيناستو ملاءمة أفضل بشكل ملحوظ (مخفض \( \chi^2 = 2.97 \)) مقارنة بملف gNFW (مخفض \( \chi^2 = 7.79 \))، مما يشير إلى مشاكل في ملاءمة الأخير.
كما يحسب المؤلفون الكميات ذات الصلة لتجارب الكشف عن المادة المظلمة، مثل كثافة المادة المظلمة المحلية وعامل \( J \). يبرزون أن الشكوك النظامية، لا سيما تلك الناجمة عن إهمال تصحيح الانجراف غير المتناظر، قد تؤثر على قياسات السرعة الدائرية الخارجية ولكن لا تغير النتائج نوعيًا. يبقى الانخفاض في منحنى السرعة الدائرية الملحوظ بين \( R = 15 \) و \( 25 \) كيلوبارسيك مهمًا، حتى عند الأخذ في الاعتبار هذه الشكوك. ستتناول الأعمال المستقبلية تأثير الشكوك النظامية على الملاءمات وتستكشف الملاءمات المتزامنة لمكونات الباريون والمادة المظلمة، بينما تتماشى النتائج الحالية مع كل من الدراسات المحاكاة والرصدية لملف المادة المظلمة في مركز المجرة.
نقاش
في هذه الدراسة، يتم استخدام نجوم العملاق الأحمر اللامع (RGB) كمتتبعين لقياس منحنى السرعة الدائرية لمجرة درب التبانة. يستخدم المؤلفون نموذجًا مدفوعًا بالبيانات للتنبؤ ببارالاكس الطيفي لنجوم RGB باستخدام بيانات فوتومترية وطيفية من مصادر مختلفة، بما في ذلك Gaia DR3 وAPOGEE DR17. يفترض النموذج علاقة خطية بين لوغاريتم البارالاكس الحقيقي ومتجه ميزات مشتق من الخصائص الفوتومترية والطيفية للنجوم. تتكون العينة الناتجة من 120,309 نجم RGB، مما يزيد بشكل كبير من مجموعة البيانات مقارنة بالدراسات السابقة. تظهر بارالاكس الطيفية اختلافًا مطلقًا وسطيًا يبلغ حوالي 0.012 مللي ثانية عند مقارنتها ببارالاكس Gaia الفلكية، مما يدل على تحسين ملحوظ في الدقة.
يظهر منحنى السرعة الدائرية المستخرج، المحسوب باستخدام بارالاكس الطيفية المقدرة، انخفاضًا ثابتًا من 234.14 كم/ث عند نصف قطر 7.86 كيلوبارسيك إلى 172.98 كم/ث عند 27.31 كيلوبارسيك. يتماشى هذا المنحنى جيدًا مع الدراسات السابقة، على الرغم من أنه يقدم اختلافات منهجية عند مقارنته بتقديرات الكتلة الفيرالية المستمدة من العناقيد الكروية والمجرات القمرية. يستكشف المؤلفون آثار ملف المادة المظلمة (DM) ذو النواة، مقترحين أن الانخفاض الملحوظ في السرعة الدائرية قد يشير إلى تاريخ تشكيل معقد تأثر بالتغذية الراجعة الباريونية. تسلط الدراسة الضوء على الحاجة إلى مزيد من التحقيق في طبيعة النواة المظلمة في مجرة درب التبانة، لا سيما في سياق المحاكاة الهيدروديناميكية التي تقترح تشكيل النواة بسبب العمليات الباريونية.
DOI: https://doi.org/10.1093/mnras/stae034
Publication Date: 2024-01-05
Author(s): Xiaowei Ou et al.
Primary Topic: Galaxies: Formation, Evolution, Phenomena
Overview
In this study, the authors present an updated circular velocity curve for the Milky Way, extending to approximately 30 kpc, and derive a new model for the dark matter (DM) density profile. Utilizing precise parallaxes for 120,309 stars from a data-driven model that integrates APOGEE DR17 spectra with Gaia DR3, 2MASS, and WISE photometry, they observe a notably faster decline in the circular velocity curve at larger galactic radii compared to the inner regions. This decline is best described by a cored Einasto profile, with a slope parameter $\alpha = 0.91^{+0.04}_{-0.05}$, rather than a generalized Navarro-Frenk-White (NFW) profile. The estimated virial mass of the Milky Way’s DM halo is found to be $1.81^{+0.06}_{-0.05} \times 10^{11} M_\odot$, which is significantly lower than previous estimates based on NFW profiles.
The findings indicate that the cored nature of the DM halo may be linked to the observed shape of the circular velocity curve, suggesting a complex formation history influenced by starbursts and changes in DM accretion. The study also highlights discrepancies between their virial mass estimates and those derived from globular clusters and dwarf satellites, particularly beyond 30 kpc, where direct measurements are lacking. Additionally, the authors compute the local DM density to be $0.447^{+0.004}_{-0.004} \text{ GeV cm}^{-3}$ and the $J$-factor to be $15.8^{+1.08}_{-0.93} \times 10^{22} \text{ GeV}^2 \text{ cm}^{-5}$, both of which have implications for DM detection experiments. Overall, this research underscores the importance of refining the circular velocity curve to enhance our understanding of the Milky Way’s DM halo and its implications for galaxy formation in a cosmological context.
Introduction
The introduction of the paper discusses the significance of the rotation or circular velocity curve of disc galaxies, particularly the Milky Way, in understanding the mass distribution and the presence of dark matter (DM) halos surrounding galaxies. The circular velocity curve provides insights into the mass as a function of radial distance, revealing that the dynamics of luminous components are primarily influenced by the DM potential. This relationship is crucial for both direct and indirect detection of DM, as it informs the local DM density and the integrated DM density at the galactic center.
The paper highlights advancements in measuring the circular velocity curve using various tracers, including molecular clouds and stellar standard candles, and notes the limitations of these methods, particularly at larger galactocentric distances. The advent of large astrometric surveys like Gaia has improved the precision of distance measurements, enabling mapping of the circular velocity curve to greater distances. The authors reference previous studies that enhanced parallax measurements and constrained the circular velocity curve, leading to the current study, which aims to update the curve out to approximately 30 kpc using new data from Gaia DR3 and APOGEE DR17. The subsequent sections will detail the data set, methodology for deriving precise parallaxes, and the implications of the updated circular velocity curve on the Milky Way’s DM density profile.
Results
In this section, the authors present the posterior distributions for dark matter (DM) profile fits, with the median values serving as the final fitted parameters, detailed in Table 3. The statistical measure \( c_{200} = r_{200} r^{-2} \) is defined, where \( r_{-2} \) is the radius at which the density profile slope \( \frac{d \ln \rho}{d \ln r} = -2 \). For the generalized Navarro-Frenk-White (gNFW) profile, \( r_{-2} = (2 – \beta) r_s \), and for the Einasto profile, \( r_{-2} = \left(\frac{2}{\alpha}\right)^{1/\alpha} r_s \). The analysis indicates a highly cored DM profile in both models, with the Einasto profile yielding a significantly better fit (reduced \( \chi^2 = 2.97 \)) compared to the gNFW profile (reduced \( \chi^2 = 7.79 \)), suggesting issues with the latter’s fit.
The authors also compute relevant quantities for DM detection experiments, such as local DM density and the \( J \)-factor. They highlight that systematic uncertainties, particularly those arising from the neglected asymmetric drift correction, could affect the outer circular velocity measurements but do not qualitatively alter the results. The decline in the circular velocity curve observed between \( R = 15 \) and \( 25 \) kpc remains significant, even when accounting for these uncertainties. Future work will address the impact of systematic uncertainties on the fits and explore concurrent fits of baryonic and DM components, while the current findings align with both simulation and observational studies of the galactic center DM profile.
Discussion
In this study, luminous red giant branch (RGB) stars are utilized as tracers to measure the circular velocity curve of the Milky Way. The authors employ a data-driven model to predict spectrophotometric parallaxes of RGB stars using photometric and spectroscopic data from various sources, including Gaia DR3 and APOGEE DR17. The model assumes a linear relationship between the logarithm of the true parallax and a feature vector derived from the stars’ photometric and spectroscopic characteristics. The resulting sample comprises 120,309 RGB stars, significantly increasing the dataset compared to previous studies. The spectrophotometric parallaxes exhibit a median absolute difference of approximately 0.012 mas when compared to Gaia’s astrometric parallaxes, demonstrating a notable improvement in precision.
The derived circular velocity curve, calculated using the estimated spectrophotometric parallaxes, shows a steady decline from 234.14 km/s at a radius of 7.86 kpc to 172.98 km/s at 27.31 kpc. This curve aligns well with previous studies, although it presents systematic differences when compared to virial mass estimates derived from globular clusters and satellite galaxies. The authors explore the implications of a cored dark matter (DM) profile, suggesting that the observed circular velocity decline may indicate a complex formation history influenced by baryonic feedback. The study highlights the need for further investigation into the nature of the DM core in the Milky Way, particularly in the context of hydrodynamic simulations that suggest core formation due to baryonic processes.
