DOI: https://doi.org/10.1007/jhep12(2024)216
تاريخ النشر: 2024-12-30
المؤلف: Ivan Esteban وآخرون
الموضوع الرئيسي: أبحاث فيزياء النيوترينو
نظرة عامة
تقدم هذه القسم تحليلًا عالميًا محدثًا لبيانات تذبذب النيوترينو حتى سبتمبر 2024، مع التركيز على المعلمات الرئيسية مثل زوايا الخلط $\theta_{12}$، $\theta_{13}$، و$\theta_{23}$، بالإضافة إلى الفروق المربعة للكتلة $\Delta m^2_{21}$ و$|\Delta m^2_{3\ell}|$ (حيث $\ell = 1، 2$). يشير التحليل إلى دقة نسبية عند مستويات 3σ تبلغ حوالي 13%، 8%، 15%، و6%، على التوالي. ومن الجدير بالذكر أن زاوية الخلط $\theta_{23}$ تظل غامضة فيما يتعلق بربعها، حيث تفتقر إلى دليل قاطع حول ما إذا كانت أكبر أو أقل من 45°.
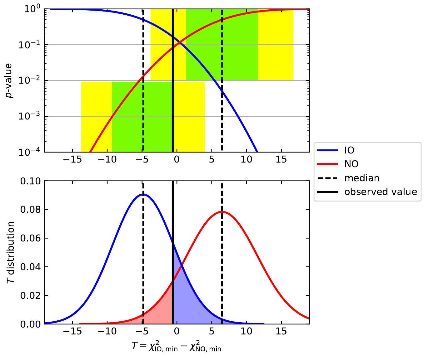
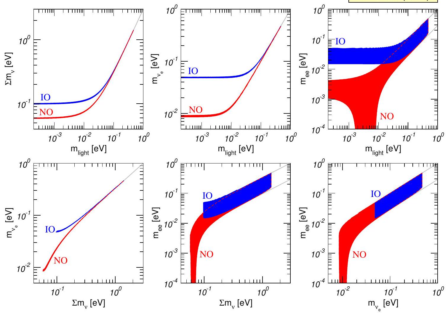
تتوقف تحديد مرحلة CP اللبتونية $\delta_{CP}$ على ترتيب كتلة النيوترينو. بالنسبة للترتيب الطبيعي، يتماشى الملاءمة العالمية مع الحفاظ على CP ضمن 1σ، بينما بالنسبة للترتيب المعكوس، تُفضل القيم التي تنتهك CP لـ $\delta_{CP}$ حول 270°، مما يظهر دلالة تزيد عن 3.6σ ضد الحفاظ على CP. يشير التحليل إلى أنه بينما تظهر البيانات حساسية تتراوح بين 2.5-3σ لترتيب كتلة النيوترينو، فإن الاتجاهات المتضاربة في مجموعة البيانات العالمية تقلل من قدرة التمييز. على وجه التحديد، تفضل بيانات ظهور T2K وNOvA الترتيب الطبيعي ولكن تظهر اتساقًا أكبر للترتيب المعكوس، بينما تميل بيانات الاختفاء العالمية نحو الترتيب الطبيعي. إن تضمين بيانات النيوترينو الجوية من Super-Kamiokande يفضل في النهاية الترتيب الطبيعي، مما يؤدي إلى ∆χ² قدره 6.1. بالإضافة إلى ذلك، يوفر البحث نطاقات محدثة وترابطات للمعلمات الفعالة الحساسة لكتلة النيوترينو المطلقة، المستمدة من تحلل β، وتحلل بيتا المزدوج بدون نيوترينو، والملاحظات الكونية.
مقدمة
تناقش مقدمة الورقة التحليل العالمي لبيانات تذبذب النيوترينو، الذي يقدم فهمًا شاملاً لبنية النكهة للببتونات. على الرغم من الجهود التعاونية الأخيرة لدمج النتائج التجريبية، فإن المسؤولية الأساسية عن هذا التحليل تقع على عاتق المجموعات الظاهرة. على مدار العقد الماضي، أسفرت هذه التحليلات عن نتائج متسقة، تشير إلى أن التذبذبات المدفوعة بالكتلة بين ثلاث حالات من النيوترينو، التي تتميز بكتلة وزوايا خلط مميزة، تفسر الغالبية العظمى من الظواهر المرصودة. ومع ذلك، تظل العديد من التأثيرات الثانوية، مثل ترتيب كتلة حالات النيوترينو، والحد الأقصى لزاوية الخلط $\theta_{23}$، وانتهاك CP اللبتوني، غير محلولة وهي مركزية للجهود التجريبية المستقبلية.
تقدم الورقة أحدث تحليل من برنامج NuFIT، Nu-FIT 6.0، الذي يتضمن تحديثات كبيرة منذ التحليل السابق في 2020. يستخدم نماذج شمسية قياسية جديدة ويشمل بيانات شاملة من تجارب مختلفة، مثل Super-Kamiokande وBorexino، بالإضافة إلى تدفقات مضادة للنيوترينو المحدثة من Daya-Bay. كما يدمج التحليل نتائج حديثة من T2K وNOvA وIceCube/DeepCore، مما يعزز فهم النيوترينوات الجوية. ستفصل الأقسام التالية من الورقة نتائج التحليل العالمي، وتناقش توافق مجموعات البيانات المختلفة، وتستكشف الآثار المترتبة على ترتيب كتلة النيوترينو وديناميات القطاع الشمسي.
نقاش
في هذا القسم، يقدم المؤلفون نتائج الملاءمة العالمية NuFIT 6.0، مع التركيز على مصفوفة الخلط اللبتونية والآثار المترتبة على ترتيب كتلة النيوترينو وانتهاك CP. يستخدم التحليل تمثيلًا قياسيًا لمصفوفة الخلط اللبتونية الوحدوية 3 × 3، والتي تشمل معلمات مثل زوايا الخلط $\theta_{ij}$ ومرحلة انتهاك CP $\delta_{CP}$. يميز الدراسة بين الترتيب الطبيعي (NO) والترتيب المعكوس (IO) لكتل النيوترينو، مع تعريفات محددة للفروق المربعة للكتلة $\Delta m^2_{31}$ و$\Delta m^2_{32}$. يتضمن التحليل بيانات متاحة حتى سبتمبر 2024، بما في ذلك مساهمات من تجارب مختلفة، ويقدم النتائج من حيث قيم الملاءمة الأفضل وفترات الثقة لمعايير التذبذب.
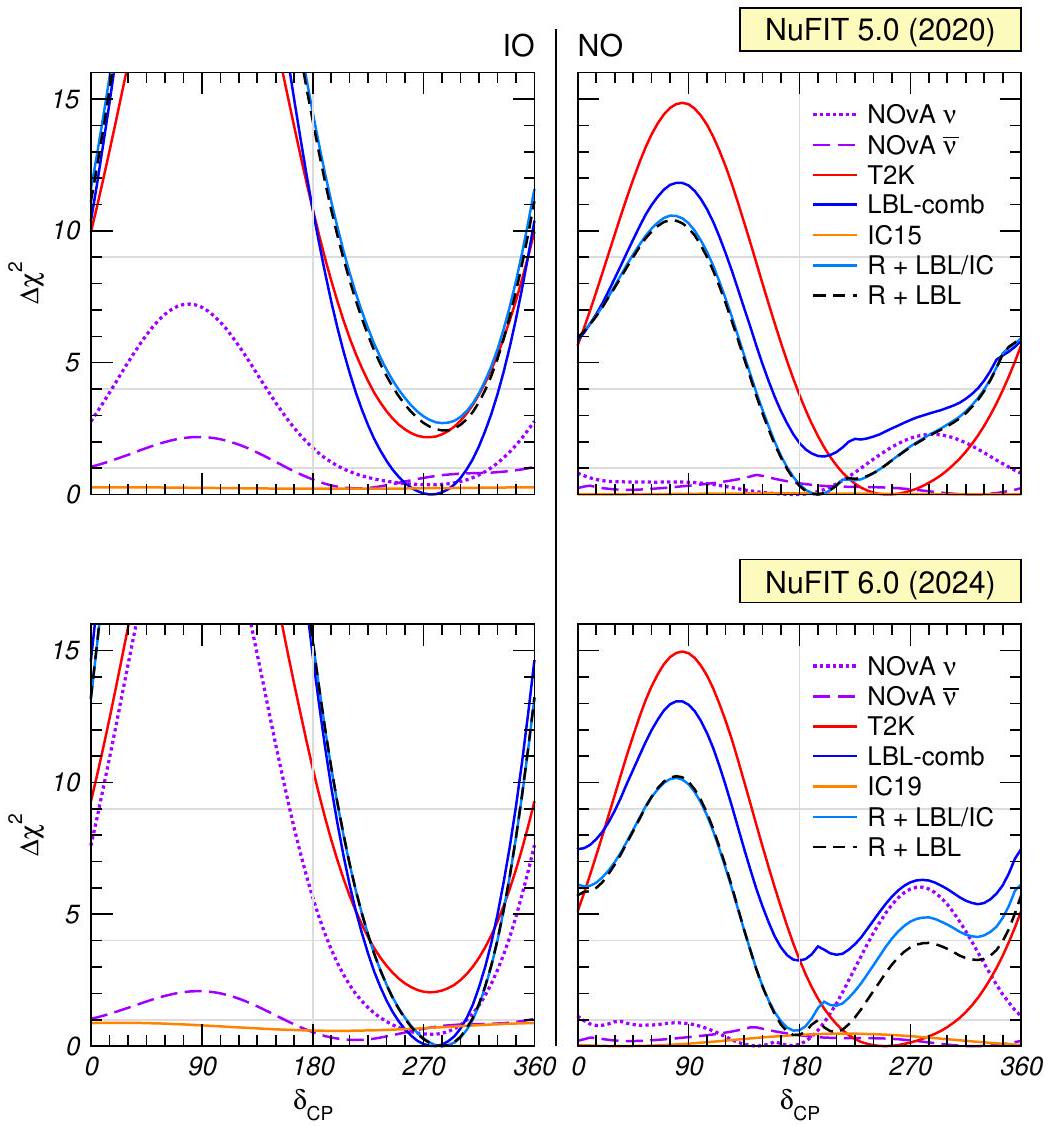
تشير النتائج إلى دقة نسبية تبلغ 3σ لمعايير مثل $\theta_{12}$ (13%)، $\theta_{13}$ (8.1% للترتيب الطبيعي و7.8% للترتيب المعكوس)، و$\delta_{CP}$ (100% للترتيب الطبيعي و54% للترتيب المعكوس). ومن الجدير بالذكر أن التحليل يكشف عن تفضيل كبير للترتيب المعكوس عند دمج النتائج من تجارب T2K وNOvA، خاصة لمرحلة انتهاك CP $\delta_{CP} \approx 3\pi/2$. يتم تحديد التوتر بين نتائج T2K وNOvA، مما يظهر توافقًا عند مستوى 0.5σ للترتيب المعكوس، بينما بالنسبة للترتيب الطبيعي، يكون التوافق عند 1.7σ. بشكل عام، يؤكد الدراسة على أهمية دمج مجموعات البيانات المختلفة لتعزيز فهم خصائص النيوترينو والتحقيق المستمر في طبيعة انتهاك CP في قطاع اللبتونات.
DOI: https://doi.org/10.1007/jhep12(2024)216
Publication Date: 2024-12-30
Author(s): Ivan Esteban et al.
Primary Topic: Neutrino Physics Research
Overview
This section presents an updated global analysis of neutrino oscillation data as of September 2024, focusing on key parameters such as the mixing angles $\theta_{12}$, $\theta_{13}$, and $\theta_{23}$, as well as the mass-squared differences $\Delta m^2_{21}$ and $|\Delta m^2_{3\ell}|$ (where $\ell = 1, 2$). The analysis reports relative precision at 3σ levels of approximately 13%, 8%, 15%, and 6%, respectively. Notably, the mixing angle $\theta_{23}$ remains ambiguous regarding its octant, lacking definitive evidence for whether it is greater or less than 45°.
The determination of the leptonic CP phase $\delta_{CP}$ is contingent upon the neutrino mass ordering. For normal ordering, the global fit aligns with CP conservation within 1σ, while for inverted ordering, CP-violating values of $\delta_{CP}$ around 270° are favored, showing a significance of over 3.6σ against CP conservation. The analysis indicates that while the data exhibits 2.5-3σ sensitivity to neutrino mass ordering, conflicting trends in the global dataset diminish the discrimination capability. Specifically, T2K and NOvA appearance data favor normal ordering but show greater consistency for inverted ordering, whereas global disappearance data leans towards normal ordering. The inclusion of atmospheric neutrino data from Super-Kamiokande ultimately favors normal ordering, yielding a ∆χ² of 6.1. Additionally, the paper provides updated ranges and correlations for effective parameters sensitive to absolute neutrino mass, derived from β-decay, neutrinoless double-beta decay, and cosmological observations.
Introduction
The introduction of the paper discusses the global analysis of neutrino oscillation data, which offers a comprehensive understanding of the flavor structure of leptons. Despite recent collaborative efforts to combine experimental results, the primary responsibility for this analysis lies with phenomenological groups. Over the past decade, these analyses have yielded consistent findings, indicating that mass-driven oscillations among three neutrino states, characterized by distinct mass and mixing angles, explain the majority of observed phenomena. However, several subdominant effects, such as the mass ordering of neutrino states, the maximality of the mixing angle $\theta_{23}$, and leptonic CP violation, remain unresolved and are central to future experimental endeavors.
The paper introduces the latest analysis from the NuFIT program, Nu-FIT 6.0, which incorporates significant updates since the previous 2020 analysis. It utilizes new Standard Solar Models and includes comprehensive data from various experiments, such as Super-Kamiokande and Borexino, as well as updated reactor antineutrino fluxes from Daya-Bay. The analysis also integrates recent findings from T2K, NOvA, and IceCube/DeepCore, enhancing the understanding of atmospheric neutrinos. The subsequent sections of the paper will detail the global analysis results, discuss the compatibility of various datasets, and explore the implications for neutrino mass ordering and solar sector dynamics.
Discussion
In this section, the authors present the results of the NuFIT 6.0 global fit, focusing on the leptonic mixing matrix and the implications for neutrino mass ordering and CP violation. The analysis employs a standard parametrization of the 3 × 3 unitary leptonic mixing matrix, which includes parameters such as mixing angles $\theta_{ij}$ and the CP-violating phase $\delta_{CP}$. The study distinguishes between normal ordering (NO) and inverted ordering (IO) of neutrino masses, with specific definitions for the mass-squared differences $\Delta m^2_{31}$ and $\Delta m^2_{32}$. The analysis incorporates data available up to September 2024, including contributions from various experiments, and presents results in terms of best-fit values and confidence intervals for oscillation parameters.
The findings indicate a 3σ relative precision for parameters such as $\theta_{12}$ (13%), $\theta_{13}$ (8.1% for NO and 7.8% for IO), and $\delta_{CP}$ (100% for NO and 54% for IO). Notably, the analysis reveals a significant preference for IO when combining results from the T2K and NOvA experiments, particularly for the CP-violating phase $\delta_{CP} \approx 3\pi/2$. The tension between T2K and NOvA results is quantified, showing compatibility at the 0.5σ level for IO, while for NO, the compatibility is at 1.7σ. Overall, the study emphasizes the importance of combining various data sets to enhance the understanding of neutrino properties and the ongoing investigation into the nature of CP violation in the lepton sector.
