-
تقييم قابلية الديدان الخيطية للمناعة والمقاومة للأدوية المضادة للديدان باستخدام اختبار حركة WMicrotracker Evaluation of nematode susceptibility and resistance to anthelmintic drugs with a WMicrotracker motility assay

تعاني المجترات الرعوية من العديد من الإصابات الطفيلية، وخاصة تلك التي تسببها الديدان الخيطية المعوية (GIN)، والتي لها تأثير كبير على رفاهيتها وإنتاجيتها. لعلاج هذه الإصابات، أدى الاستخدام المكثف لمضادات الديدان من فئة اللاتونيات الحلقية (ML) إلى ظهور تجمعات من الطفيليات المقاومة للأدوية في جميع أنحاء العالم. الطريقة القياسية للكشف عن المقاومة، اختبار تقليل عدد…
-
انتشار الأجسام المضادة والتحقيق الجزيئي في داء البروسيلات في الإبل في مصر مع التركيز على عوامل الخطر المحتملة Seroprevalence and molecular investigation of camel brucellosis in Egypt with emphasis on potential risk factors
حمى الجمال هي مرض بكتيري حيواني مهم يؤثر على كل من البشر والحيوانات، مما يؤدي إلى خسائر اقتصادية كبيرة. تهدف الدراسة الحالية إلى الإبلاغ عن انتشار الأجسام المضادة لحمى الجمال في الجمال الدرويشية في مصر وتحديد عوامل الخطر المحتملة المرتبطة بالمرض. تم جمع ما مجموعه 618 عينة مصل من حيوانات تبدو صحية في محافظتي البحر…
-
مزايا وعيوب والعوامل المؤثرة على الأداء التناسلي للإناث الصغيرة والإناث الكبيرة التي تربى في أنظمة الإسكان الجماعي أثناء الحمل وأنظمة الولادة الحرة Advantages, disadvantages, and factors influencing the reproductive performance of gilts and sows raised in gestational group housing and free-farrowing systems

في صناعة الخنازير العالمية الحديثة، هناك اهتمام متزايد بالزراعة الصديقة للحيوانات، مما يشجع المزارعين على إعطاء الأولوية للممارسات الإنسانية وتلبية احتياجات رفاهية حيواناتهم. في الدول المتقدمة، يزداد قلق المستهلكين بشأن رفاهية الحيوانات، خاصة فيما يتعلق بالخنازير كحيوانات اجتماعية، مما يدعو إلى إسكانها في مجموعات تعكس سلوكها الطبيعي في البرية. هناك ضغط اجتماعي كبير للتخلص من…
-
ظهور الديدان القوية المقاومة لدوائين في الماعز: أول دليل ظاهري وجيني من محافظة راتشابوري، وسط تايلاند Emergence of dual drug-resistant strongylids in goats: first phenotypic and genotypic evidence from Ratchaburi Province, central Thailand

خلفية توفر هذه الدراسة رؤى حاسمة حول انتشار وأنماط مقاومة الأدوية للديدان المعوية القوية (GINs) في الماعز في تايلاند، مع تسليط الضوء على المقاومة للألبندازول والليفاميزول. تشكل الديدان القوية، وخاصة Haemonchus sp. وTrichostrongylus sp.، تهديدًا كبيرًا لصحة الماعز. مع الزيادة العالمية لمقاومة الأدوية المضادة للديدان، فإن اكتشاف مقاومة متعددة الأدوية في سكان الماعز في تايلاند…
-
أصول مستقلة وتوقيعات اختيار غير متوازية لمقاومة التريكلا بندازول في فاسيولا هيباتيكا Independent origins and non-parallel selection signatures of triclabendazole resistance in Fasciola hepatica

تريكلابندازول (TCBZ) هو العلاج الرئيسي للفاسيولاز، وهو مرض حيواني غذائي عالمي تسببه فاسيولا هيباتيكا. المقاومة الواسعة لـ TCBZ (TCBZ-R) في الماشية والزيادة السريعة في الإصابات البشرية المقاومة تمثل مخاوف كبيرة. لفهم الأساس الجيني لـ TCBZ-R، قمنا بتسلسل جينومات 99 دودة فلوكية حساسة لـ TCBZ (TCBZ-S) و210 دودة فلوكية مقاومة لـ TCBZ من 146 كبد بقر…
-
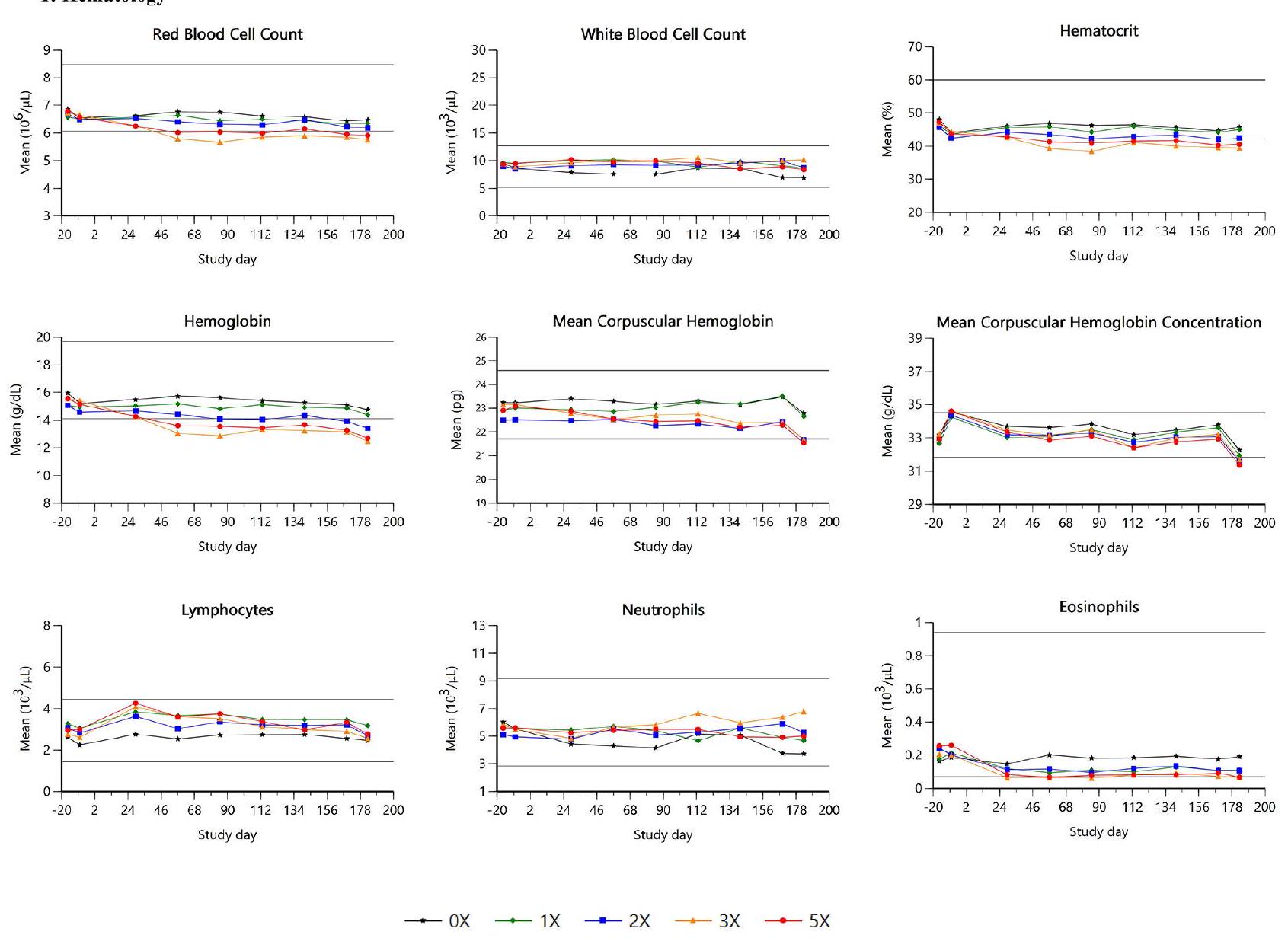
سلامة أقراص إيلونوسيتينيب (زينريليا™) بعد الإعطاء الفموي مرة واحدة يوميًا في الكلاب Safety of ilunocitinib tablets (Zenrelia™) after once daily oral administration in dogs

الخلفية: إيلونوستينيب هو كيان جزيئي جديد من فئة مثبطات كيناز جانوس (JAKi) لعلاج والسيطرة على أعراض حالات الأمراض الجلدية التحسسية، مثل الحكة وآفات الجلد في الكلاب. هذه الدراسة المخبرية مع أقراص إيلونوستينيب (زينريليا™، إيلانكو) بحثت في السلامة في الكلاب السليمة المعالجة مرة واحدة يوميًا لمدة 6 أشهر. كانت الدراسة تصميمًا عشوائيًا مزدوج التعمية لمجموعة متوازية…
-
التأثيرات المتنوعة للمناطق على تغير المناخ في منطقة واسعة من الفاسيولiasis البشرية والحيوانية المفرطة الانتشار، التي تم تقييمها ضمن إجراء صحة واحدة للوقاية والسيطرة Heterogeneous zonal impacts of climate change on a wide hyperendemic area of human and animal fascioliasis assessed within a One Health action for prevention and control

هضبة بوليفيا الشمالية هي المنطقة الموبوءة بالفاسيولاز حيث تم تسجيل أعلى معدلات وشدة في البشر. في هذه المنطقة الموبوءة بالفاسيولاز البشرية، تسبب المرض فقط فاسيولا هيباتيكا وينتقل بواسطة غالبا ترونكاتولا، النوع الوحيد من اللينمائيات الموجود في المنطقة. عند تحليل الرابط بين الاحتباس الحراري والانتشار الجغرافي المبلغ عنه مؤخرًا لعدد سكان اللينمائيات إلى المناطق الحدودية، وُجد…
-
نظام تمارين منظم يعزز الوظيفة اللاإرادية مقارنة بالأنشطة البدنية غير المنظمة في الخيول المسنّة A structured exercise regimen enhances autonomic function compared to unstructured physical activities in geriatric horses

غالبًا ما تظهر الخيول الأكبر سنًا استجابة تلقائية منخفضة، مما يؤثر على رفاهيتها. بينما يمكن أن يساعد التمرين المنتظم في الحفاظ على الوظيفة التلقائية، فإن تأثير التمرين المنظم على الخيول المسنّة ليس مفهوماً جيدًا. دراسة شملت 27 حصانًا مسنًا فحصت تعديلهم التلقائي على مدى 12 أسبوعًا تحت مستويات نشاط مختلفة. تم تقسيم الخيول إلى ثلاث…
-
حليب الإبل هو مصدر مهمل للحمى المالطية بين المجتمعات العربية الريفية Camel milk is a neglected source of brucellosis among rural Arab communities

تصف منظمة الصحة العالمية داء البروسيلات بأنه واحد من الأمراض الحيوانية المنشأ الرائدة في العالم، حيث تُعتبر منطقة الشرق الأوسط نقطة ساخنة عالمية. بروسيلة ميلتينسيس متوطنة بين قطعان الماشية في المنطقة، حيث يحدث الانتقال الحيواني إلى الإنسان عبر استهلاك الحليب الخام، من بين طرق أخرى. يتم التحكم في المرض بشكل كبير من خلال تطعيم قطعان…

