DOI: https://doi.org/10.1038/s41586-025-08700-0
PMID: https://pubmed.ncbi.nlm.nih.gov/40240591
تاريخ النشر: 2025-04-16
المؤلف: Nobukatsu Sawamoto وآخرون
الموضوع الرئيسي: الاضطرابات العصبية والعلاجات
نظرة عامة
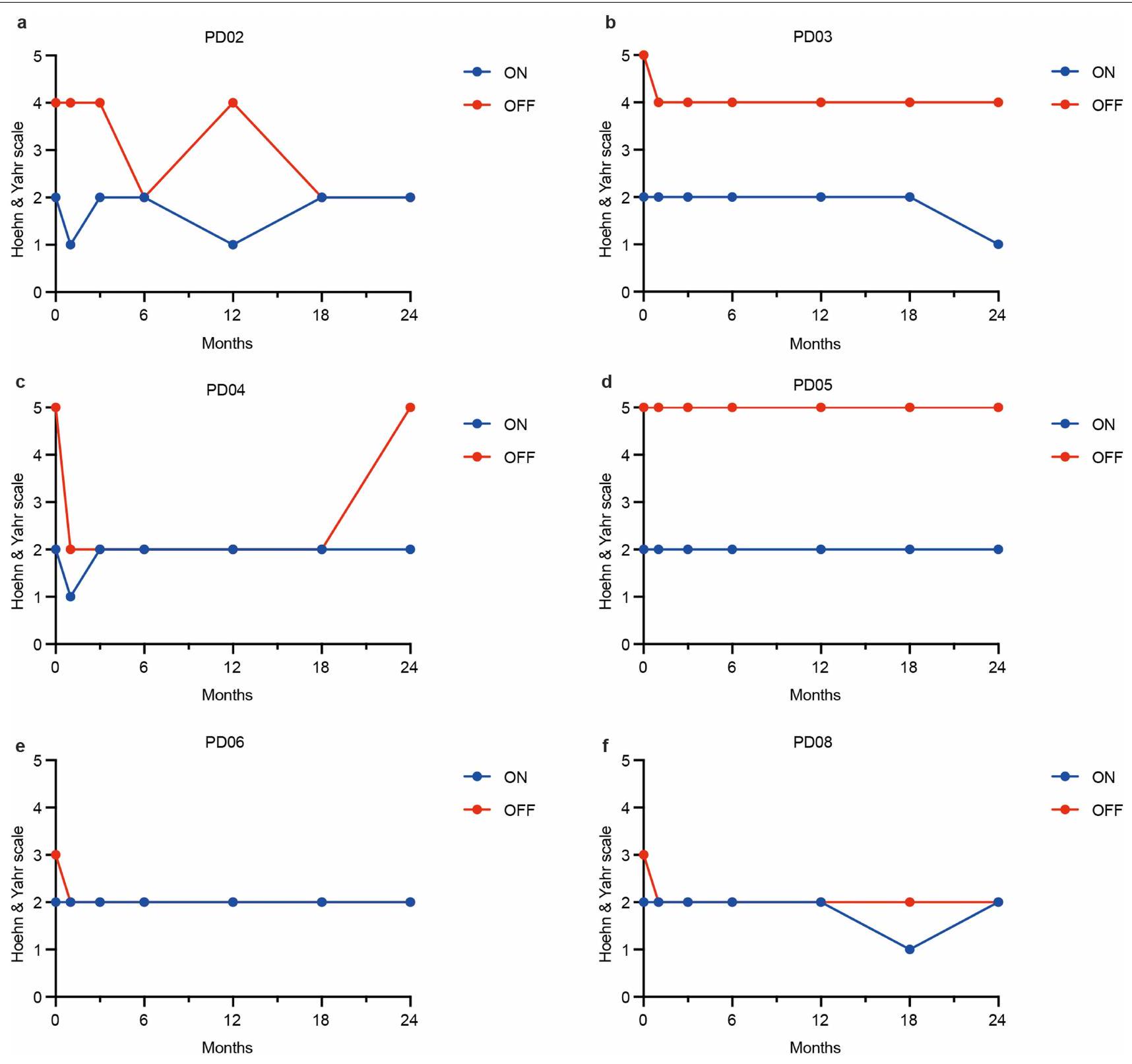
تناقش هذه القسم تجربة سريرية تبحث في سلامة وفعالية الخلايا الجذعية الدوبامينية المشتقة من خلايا جذعية متعددة القدرات المستحثة (iPS) لعلاج مرض باركنسون (PD). أجريت التجربة في مستشفى جامعة كيوتو، وشملت سبعة مرضى تتراوح أعمارهم بين 50-69 عامًا الذين تلقوا زراعة ثنائية الجانب لهذه الخلايا. كان التركيز الأساسي على السلامة والأحداث السلبية، بينما قيّمت النتائج الثانوية التغيرات في الأعراض الحركية وإنتاج الدوبامين على مدى 24 شهرًا. ومن الجدير بالذكر أنه لم يتم الإبلاغ عن أي أحداث سلبية خطيرة، على الرغم من حدوث 73 حدثًا خفيفًا إلى معتدل. تم تعديل جرعات أدوية المرضى المضادة لباركنسون حسب الحاجة، مما أدى إلى زيادة في خلل الحركة.
كشفت تقييمات الفعالية أن أربعة من أصل ستة مرضى أظهروا تحسنًا في درجات مقياس تقييم مرض باركنسون الموحد من جمعية اضطرابات الحركة الجزء III OFF، مع تغييرات متوسطة قدرها 9.5 نقاط (تحسن بنسبة 20.4%) و4.3 نقاط (تحسن بنسبة 35.7%) في درجات ON. بالإضافة إلى ذلك، تحسنت مراحل هوهن-يار في أربعة مرضى، وزادت قيم ثابت معدل التدفق ($K_i$) في البوتامين بنسبة 44.7%، خاصة في مجموعة الجرعة العالية. أظهرت التجربة أن الخلايا الجذعية الدوبامينية المشتقة من خلايا iPS المزروعة نجت، وأنتجت الدوبامين، ولم تشكل أورامًا، مما يشير إلى سلامة وفوائد سريرية محتملة لعلاج PD.
طرق
في قسم الطرق، يحدد المؤلفون التصميم التجريبي المستخدم لتصوير الرنين المغناطيسي (MRI). تستخدم الدراسة بروتوكولًا محددًا لضمان الحصول على صور عالية الجودة، مع توضيح المعلمات مثل قوة المجال المغناطيسي، تسلسلات النبض، ودقة التصوير. تم تصميم التصميم لتحسين التباين ووضوح الصور مع تقليل العيوب التي قد تؤثر على تفسير النتائج.
بالإضافة إلى ذلك، يصف المؤلفون معايير اختيار المشاركين، بما في ذلك عوامل الإدراج والاستبعاد، لضمان عينة تمثيلية للدراسة. تؤكد المنهجية على إمكانية التكرار والموثوقية، مع التركيز على توحيد عملية التصوير عبر جميع الموضوعات. تهدف هذه الطريقة الصارمة إلى تعزيز صحة النتائج المستمدة من بيانات MRI، مما يساهم في الأهداف العامة للبحث.
مناقشة
كانت التجربة السريرية المرحلة-I/II (jRCT2090220384) التي أجريت في مستشفى جامعة كيوتو تهدف إلى تقييم سلامة وفعالية زراعة الخلايا الجذعية المستحثة متعددة القدرات (iPS-cell) المشتقة من الدوبامين (DA) في المرضى الذين يعانون من مرض باركنسون (PD). خضع سبعة مرضى لزراعة ثنائية الجانب، حيث تلقى ثلاثة منهم جرعة منخفضة وأربعة جرعة عالية من خلايا DA. على مدى متابعة لمدة 24 شهرًا، أفادت التجربة بعدم حدوث أي أحداث سلبية خطيرة، وكانت الغالبية العظمى من الأحداث السلبية خفيفة وعابرة. ومن الجدير بالذكر أن أربعة من أصل ستة مرضى أظهروا تحسنًا كبيرًا في الوظيفة الحركية كما تم تقييمه بواسطة مقياس تقييم مرض باركنسون الموحد من جمعية اضطرابات الحركة (MDS-UPDRS) الجزء III خلال فترات عدم النشاط، مما يشير إلى التكامل الوظيفي للخلايا المزروعة كخلايا DA عصبية.
كشفت تقييمات MRI عن زيادة تدريجية في حجم الطعوم دون دليل على تشكيل أورام، مدعومة بتحليلات نسيجية تظهر تكاثرًا خلويًا ضئيلًا. تشير نتائج التجربة إلى أن خلايا DA المشتقة من خلايا iPS يمكن أن تنجو وتستبدل وظيفيًا خلايا DA المفقودة في مرضى PD، مع ملف سلامة مواتٍ. ومع ذلك، تشمل قيود الدراسة تصميمها المفتوح وحجم العينة الصغيرة، مما يتطلب مزيدًا من التحقيق من خلال تجارب أكبر ومراقبة. بشكل عام، تشير النتائج إلى أن زراعة خلايا DA المشتقة من خلايا iPS هي علاج تجديدي واعد لمرض PD، مما يستدعي استكشاف استراتيجيات علاجية مشتركة لتعزيز الفعالية.
DOI: https://doi.org/10.1038/s41586-025-08700-0
PMID: https://pubmed.ncbi.nlm.nih.gov/40240591
Publication Date: 2025-04-16
Author(s): Nobukatsu Sawamoto et al.
Primary Topic: Neurological disorders and treatments
Overview
This section discusses a clinical trial investigating the safety and efficacy of dopaminergic progenitors derived from induced pluripotent stem (iPS) cells for treating Parkinson’s disease (PD). The trial, conducted at Kyoto University Hospital, involved seven patients aged 50-69 who received bilateral transplantation of these progenitors. The primary focus was on safety and adverse events, while secondary outcomes assessed changes in motor symptoms and dopamine production over 24 months. Notably, there were no serious adverse events reported, although 73 mild to moderate events occurred. Patients’ anti-parkinsonian medication doses were adjusted as needed, leading to increased dyskinesia.
Efficacy evaluations revealed that four out of six patients showed improvements in the Movement Disorder Society Unified Parkinson’s Disease Rating Scale part III OFF scores, with average changes of 9.5 points (20.4% improvement) and 4.3 points (35.7% improvement) in the ON scores. Additionally, Hoehn-Yahr stages improved in four patients, and the influx rate constant ($K_i$) values in the putamen increased by 44.7%, particularly in the high-dose group. The trial demonstrated that the transplanted iPS-cell-derived dopaminergic progenitors survived, produced dopamine, and did not form tumors, suggesting both safety and potential clinical benefits for PD treatment.
Methods
In the section on methods, the authors outline the experimental design employed for magnetic resonance imaging (MRI). The study utilizes a specific protocol to ensure the acquisition of high-quality images, detailing parameters such as magnetic field strength, pulse sequences, and imaging resolution. The design is structured to optimize the contrast and clarity of the images while minimizing artifacts that could affect the interpretation of results.
Additionally, the authors describe the participant selection criteria, including inclusion and exclusion factors, to ensure a representative sample for the study. The methodology emphasizes reproducibility and reliability, with a focus on standardizing the imaging process across all subjects. This rigorous approach aims to enhance the validity of the findings derived from the MRI data, contributing to the overall objectives of the research.
Discussion
The phase-I/II trial (jRCT2090220384) conducted at Kyoto University Hospital aimed to evaluate the safety and efficacy of striatal transplantation of allogeneic induced pluripotent stem cell (iPS-cell)-derived dopamine (DA) progenitors in patients with Parkinson’s disease (PD). A total of seven patients underwent bilateral transplantation, with three receiving a low-dose and four a high-dose of DA progenitors. Over a 24-month follow-up, the trial reported no serious adverse events, and the majority of adverse events were mild and transient. Notably, four out of six patients demonstrated significant improvements in motor function as assessed by the MDS Unified Parkinson’s Disease Rating Scale (MDS-UPDRS) part III during off-time periods, indicating functional integration of the grafted cells as DA neurons.
MRI assessments revealed a gradual increase in graft volume without evidence of tumor formation, supported by histological analyses showing minimal cellular proliferation. The trial’s findings suggest that iPS-cell-derived DA progenitors can survive and functionally replace lost DA neurons in PD patients, with a favorable safety profile. However, the study’s limitations include its open-label design and small sample size, necessitating further investigation through larger, controlled trials. Overall, the results indicate that allogeneic transplantation of iPS-cell-derived DA progenitors is a promising regenerative therapy for PD, warranting exploration of combined therapeutic strategies to enhance efficacy.
