المجلة: Scientific Reports، المجلد: 14، العدد: 1
DOI: https://doi.org/10.1038/s41598-024-55249-5
PMID: https://pubmed.ncbi.nlm.nih.gov/38413739
تاريخ النشر: 2024-02-27
DOI: https://doi.org/10.1038/s41598-024-55249-5
PMID: https://pubmed.ncbi.nlm.nih.gov/38413739
تاريخ النشر: 2024-02-27
افتح
تحليل الميتابولوم غير المستهدف لمصل الدم من القطط المملوكة للعملاء المصابة بمرض الكلى المزمن في مراحله المبكرة والمتأخرة
يمكن أن يكشف تقييم الميتابولوم عن مؤشرات حيوية جديدة للأمراض. حتى الآن، لم يتم الإبلاغ عن توصيف الميتابولوم في مصل الدم للقطط المملوكة من قبل العملاء المصابة بمرض الكلى المزمن (CKD)، الذي يشترك في العديد من التشابهات الفسيولوجية المرضية مع مرض الكلى المزمن لدى البشر. يُعتبر مرض الكلى المزمن سببًا رئيسيًا للمراضة والوفيات في القطط، ويمكن تقليله من خلال الكشف المبكر والعلاج المناسب. وبالتالي، هناك حاجة ملحة لمؤشرات حيوية مبكرة لمرض الكلى المزمن. كان الهدف من هذه الدراسة المستعرضة والمستقبلية هو توصيف الميتابولوم العالمي غير المستهدف في مصل الدم للقطط في مراحل مبكرة مقارنة بمراحل متأخرة من مرض الكلى المزمن مقارنة بالقطط السليمة. أظهرت التحليلات فصلًا مميزًا للميتابولوم في مصل الدم بين القطط السليمة ومرحلة مبكرة ومرحلة متأخرة من مرض الكلى المزمن. كانت المستقلبات الدهنية والأحماض الأمينية ذات الوفرة المختلفة هي المساهمين الرئيسيين في هذه الاختلافات، وشملت المستقلبات المركزية في استقلاب الأحماض الدهنية والأحماض الأمينية الأساسية والسموم اليوريمية. إن ارتباط العديد من المستقلبات الدهنية والأحماض الأمينية مع البيانات السريرية المهمة لمراقبة مرض الكلى المزمن وعلاج المرضى (مثل الكرياتينين، ودرجة حالة العضلات) يوضح بشكل أكبر أهمية استكشاف هذه الفئات من المستقلبات لمزيد من قدرتها على العمل كمؤشرات حيوية للكشف المبكر عن مرض الكلى المزمن في كل من القطط والبشر.
| اختصارات | |
| بي دي بي | منتج تحلل البيليروبين |
| بي سي إس | درجة حالة الجسم |
| بي سي إيه إيه | حمض أميني متفرع السلسلة |
| كعكة | نيتروجين اليوريا في الدم |
| مرض الكلى المزمن | مرض الكلى المزمن |
| فا | حمض دهني |
| FS | أنثى، تم تعقيمها |
| معدل الترشيح الكبيبي | معدل تصفية الكبيبات |
| جي بي سي | غليسيروفوسفوريلي كولين |
| جي بي إي | غليسيروفوسفوريليثانولامين |
| جي بي آي | غليسيروفوسفوريليزيتول |
| HCA | تحليل التجميع الهرمي |
| هود | حمض الهيدروكسي أوكتاديسينويك |
| إيريس | الجمعية الدولية لاهتمام الكلى |
| إم سي | ذكر، مُخصي |
| نسبة الكتلة إلى الشحنة | نسبة الكتلة إلى الشحنة |
| MCFA | حمض دهني متوسط السلسلة |
| موفا | حمض دهني أحادي غير مشبع |
| MCS | درجة حالة العضلات |
| تحليل المكونات الرئيسية للحدود الجزئية | تحليل التمييز باستخدام المربعات الصغرى الجزئية |
| بيس | درجة إثراء المسار |
| SCFA | حمض دهني قصير السلسلة |
| SDMA | ثنائي ميثيل الأرجينين المتماثل |
| TMAO | أكسيد ن-ثلاثي ميثيل الأمين |
| USG | الكثافة النوعية للبول |
| كروماتوغرافيا السائل عالية الأداء مع قياس الطيف الكتلي | الكروماتوغرافيا السائلة عالية الأداء المتسلسلة مع مطياف الكتلة |
مرض الكلى المزمن (CKD) هو حالة طبية شائعة في القطط مرتبطة باضطرابات فسيولوجية واستقلابية كبيرة، بما في ذلك الهزال، وسوء التغذية، واضطراب استقلاب الأحماض الأمينية، والإجهاد التأكسدي.
توصي الجمعية الدولية لاهتمام الكلى (IRIS) بتصنيف المراحل بناءً على شدة المرض (المرحلة 1-4) باستخدام مؤشرات بديلة لمعدل الترشيح الكبيبي (مثل الكرياتينين والدي ميثيل أرجينين المتماثل [SDMA])
لسوء الحظ، قد لا يتمكن مقدمو الرعاية للقطط في المراحل المبكرة من مرض الكلى المزمن من اكتشاف العلامات السريرية الدقيقة، مثل فقدان الوزن وزيادة التبول، وقد تظهر القطط تغييرات طفيفة فقط في الفحوصات المخبرية الروتينية.
لذلك، فإن التعرف على مرض الكلى المزمن في مراحل المرض المبكرة (المرحلة 1 و 2)، قبل ظهور علامات سريرية واضحة للمرض المتقدم، يمثل تحديًا للأطباء البيطريين. سيسمح التعرف في الوقت المناسب بمراقبة وعلاج أكثر تكرارًا في وقت مبكر من مسار المرض، مما قد يبطئ تقدم المرض ويسمح بالكشف عن تبعات المرض قبل حدوث المضاعفات.
.
تُصنع المستقلبات وتُستخدم خلال الوظائف الخلوية الطبيعية، وتسبب الأمراض اضطرابًا في المسارات الكيميائية الحيوية مما يخلق ملفات مستقلبية محددة. يمكن تمييز هذه الملفات من خلال توصيف المستقلبات في مصفوفة بيولوجية باستخدام علم المستقلبات غير المستهدفة ومقارنة العينات الصحية مقابل العينات المريضة. لقد تم تنفيذ هذه الطريقة بشكل موسع في الأشخاص الذين يعانون من مرض الكلى المزمن وتم استخدامها بنجاح لاكتشاف المؤشرات الحيوية للتشخيص المبكر وتحديد الأسباب.
تم إجراء دراسات متعددة في مجال الميتابولوميات غير المستهدفة للقطط.
. الدراسات استخدمت البلازما
مصل
براز
والبول
تم جمعها من القطط التي تعاني من المرحلة المبكرة من مرض الكلى المزمن. استخدمت معظم الدراسات قطط بحثية تم تربيتها لهذا الغرض.
وقاموا بدراسة تأثيرات النظام الغذائي على الميتابولوم
.
حتى الآن، لا توجد دراسات بيطرية منشورة تقارن بين ملفات الميتابوليتات في القطط التي تعاني من مرض الكلى المزمن (CKD) في مراحله المبكرة والمتأخرة. إن القدرة على تحديد المحركات الأيضية لمرض الكلى المزمن في مراحله المبكرة مقابل المتأخرة، على الرغم من الظروف البيئية المتغيرة (مثل النظام الغذائي، العلاجات الطبية، المنزل) والظروف الفسيولوجية المرضية (مرض الكلى المزمن الذي يحدث بشكل طبيعي مع أو بدون حالات مصاحبة مثل التهاب الأمعاء المزمن، اعتلال عضلة القلب، إلخ)، أمر ضروري لتطبيق المؤشرات الحيوية بنجاح على مجموعات المرضى المتنوعة. كان الهدف من هذه الدراسة هو تحديد الميتابوليتات الخاصة بالمرض والمرحلة لتحسين فهم فسيولوجيا مرض الكلى المزمن، وخاصة في المرض في مراحله المبكرة، وبالتالي اقتراح أهداف علاجية محتملة ومؤشرات حيوية لمرض الكلى المزمن في مراحله المبكرة. لتعريف الاضطرابات الأيضية بشكل أفضل في القطط المصابة بمرض الكلى المزمن، قمنا بتطبيق علم الميتابولوميات غير المستهدف على مصل الدم لمقارنة القطط المملوكة من قبل العملاء التي تعاني من مرض الكلى المزمن في مراحله المبكرة والمتأخرة مع القطط الصحية.
النتائج
التقييم السريري للقطط الصحية وذات المرحلة المبكرة والمتأخرة من مرض الكلى المزمن
من بين 56 قطة مسجلة في هذه الدراسة، كانت هناك 25 قطة صحية (الوسيط، تسع سنوات؛ النطاق، 1-14 سنة) و30 قطة تعاني من مرض الكلى المزمن (الوسيط، 14 سنة؛ النطاق،
سنة) تم تضمينها في التحليلات. من بين القطط المصابة بأمراض الكلى المزمنة، كان هناك 17 قطة في مرحلة مبكرة من أمراض الكلى المزمنة (ثلاث قطط في المرحلة 1 من IRIS؛ 14 قطة في المرحلة 2 من IRIS)، و13 قطة في مرحلة متأخرة من أمراض الكلى المزمنة (تسع قطط في المرحلة 3 من IRIS؛ أربع قطط في المرحلة 4 من IRIS). كانت هناك قطة واحدة في المرحلة 4 من أمراض الكلى المزمنة وتعاني من أزوتيميا شديدة (الكرياتينين
تم تصنيفها كحالة شاذة عند تحليل مجموعات البيانات السريرية والتمثيل الغذائي، وتم إزالتها من جميع التحليلات. كانت جميع القطط الـ 55 المشمولة في التحليلات معقمة. كانت القطط الصحية (14 ذكرًا، 11 أنثى) من القطط المنزلية ذات الشعر القصير أو المتوسط أو الطويل.
سماوي
)، أو هيمالايا (
كانت جميع القطط المصابة بأمراض الكلى المزمنة (17 ذكرًا، 13 أنثى) من القطط ذات الشعر القصير أو المتوسط أو الطويل. تم صيام جميع القطط باستثناء قطتين مصابتين بأمراض الكلى المزمنة (قط واحد في المرحلة المبكرة وقط آخر في المرحلة المتأخرة) لمدة لا تقل عن 10 ساعات قبل جمع العينات.
تُعرض الفحوصات البدنية والمعايير المخبرية للقطط الصحية، ومرحلة CKD 1 و2، ومرحلة CKD 3 و4 في الجدول 1، وتُقدم المعلومات الديموغرافية للقطط الفردية في الملف التكميلي 1. الغالبية العظمى من القطط الصحية (
كان لديه كتلة عضلية طبيعية؛
(
القطط) كانت تعاني من فقدان طفيف في العضلات و
(
القطط) كانت تعاني من فقدان معتدل في العضلات. جميع القطط في المرحلة 1 و 2 من مرض الكلى المزمن، باستثناء واحدة، كانت تعاني من فقدان طفيف (
)، أو معتدل (
فقدان العضلات. وبالمثل، استنادًا إلى MCS المسجل، كان جميع القطط في المرحلة 1 و 2 باستثناء واحدة تعاني من إما خفيف (
)، معتدل (
)، أو شديد (
فقدان العضلات. تم قياس تركيزات السيروم من الثيروكسين لمعظم القطط، باستثناء قطتين صحيحتين وقطتين مصابتين بمرض الكلى المزمن، وكانت جميعها أقل من أو ضمن نطاق المرجع المختبري. لم يكن لدى أي من القطط تاريخ من فرط نشاط الغدة الدرقية الحالي أو السابق. كانت معظم القطط (23 من 25 صحيحة؛ 29 من 31 مصابة بمرض الكلى المزمن) لديها ضغط دم انقباضي بين
مع فحص قاع العين المباشر الطبيعي. كانت ضغط الدم لدى قطة صحية وثلاث قطط تعاني من مرض الكلى المزمن بين 160 و 180 مم زئبقي مع فحص قاع العين الطبيعي. تم إجراء طرد مركزي للسكر في البراز في
كانت جميع القطط سلبية لبيض الطفيليات. تم إجراء نسبة بروتين البول إلى الكرياتينين (UPC) في معظم القطط الصحية.
) وكان طبيعياً (النطاق،
). كانت معظم القطط المصابة بأمراض الكلى المزمنة قد أجرت نسبة UPC (
القطط) وكان لدى قطتين فقط بروتينوريا (نسبة UPC، 0.7 و 1.4). خضعت أربعة عشر قطة مصابة بأمراض الكلى المزمنة لتصوير الكلى للمساعدة في تحديد المرحلة، والذي شمل الموجات فوق الصوتية لجميع القطط باستثناء قطة واحدة خضعت للأشعة السينية للبطن. كانت النتائج لدى ثلاثة عشر قطة مصابة بأمراض الكلى المزمنة متوافقة مع مرض الكلى التنكسي، وكانت هناك قطة واحدة من المرحلة الثانية (الكرياتينين
وكانت الكلى طبيعية.
لم يكن معظم القطط الصحية تتلقى أدوية، باستثناء الوقاية الموضعية من البراغيث والديدان القلبية (سيلامكتين) في ثلاثة قطط والجلوكوزامين الفموي في قط واحد. كان هناك ثمانية قطط مصابة بأمراض الكلى المزمنة تتناول دواء أو أكثر أو مكملات، بما في ذلك هيدروكسيد الألمنيوم (قطتان)، غلوكونات البوتاسيوم (قطتان)، بروبيوتيك (خمسة قطط)، بولي إيثيلين غليكول 3350 (قطتان)، سيلامكتين موضعي وجلوكوزامين فموي (قط واحد لكل منهما). كانت جميع القطط الصحية تتغذى على نظام غذائي تجاري مصمم لتلبية الملف الغذائي لجمعية مسؤولي مراقبة الأعلاف الأمريكية لصيانة القطط البالغة.
بالنسبة للقطط المصابة بأمراض الكلى المزمنة، تم إطعام 16 قطة واحدة أو أكثر من الأنظمة الغذائية العلاجية التجارية الخاصة بالكلى، وتم إطعام عشرة قطط نظامًا غذائيًا متاحًا في السوق مخصصًا للقطط البالغة أو الكبيرة في السن، وتم إطعام قطيين مزيجًا من نظام غذائي علاجي للكلى ونظام غذائي صيانة للبالغين متاح في السوق. كان النظام الغذائي غير معروف في قطتين مصابتين بأمراض الكلى المزمنة.
| متغير | صحي
|
مرض الكلى المزمن في مراحله المبكرة (المراحل 1 و 2)
|
مرض الكلى المزمن في مراحله المتأخرة (المرحلتان 3 و 4)
|
| جنس | 14 MC، 11 FS | 9 MC; 8 FS | 8 MC; 5 FS |
| العمر (بالسنوات) | 9 (1-14) | 14 (4-17) | 13 (3-19) |
| وزن الجسم (كجم) | 4.6 (2.8-8.1) | 3.9 (3.2-6.4) | 4.3 (2.4-5.8) |
| BCS (1-9) | 5 (4-9) | 5 (4-7) | 5 (2-6) |
| MCS (0-3)* | 0 (0-2)
|
|
|
| الهيماتوكريت (%) |
|
٣٥ (٣١-٤٣) | ٣٦ (٢٣-٤٢)
|
| الكرياتينين (ملغ/دل) | 1.4 (1.1-2.2)
|
|
3.7 (3.1-7.4)
|
| بولة نيتروجينية (ملغ/دل) | 22 (18-31)
|
|
55 (42-90)
|
| إجمالي الكالسيوم (ملغ/دل) |
|
10.1 (9.2-14.4) |
|
| الفوسفور (ملغ/دل) | 3.7 (2.9-4.6)
|
3.9 (2.3-6.2) |
|
| البوتاسيوم (مEq/L) | 4.2 (3.5-5.2) | ٤.٧ (٣.٧-٥.٣) | ٤.٦ (٢.٤-٥.١) |
| الألبومين (غ/دل) | 3.7 (2.9-4.4) | 3.5 (3.2-4.0) | 3.6 (3.2-3.9) |
| USG | 1.049 (1.038-1.073)
|
1.018 (1.010-1.039)
|
1.016 (1.009-1.025)
|
الجدول 1. الخصائص السكانية للمرضى، الفحص البدني، والمتغيرات المخبرية. الأرقام خارج الأقواس تمثل القيمة المتوسطة لكل مجموعة من المرضى، والأرقام داخل الأقواس تظهر النطاق. بالنسبة لكل متغير، كانت الأعمدة داخل كل صف التي تحمل حرفًا مختلفًا كحرف علوي مختلفة إحصائيًا عن بعضها البعض.
). درجة حالة الجسم BCS،
نيتروجين اليوريا في الدم
مرض الكلى المزمن
أنثى مُعقمة
مخصي ذكر
درجة حالة العضلات، الجاذبية النوعية لبول USG. *درجة MCS:
كتلة عضلية طبيعية؛
فقدان خفيف للعضلات؛
فقدان معتدل للعضلات؛
فقدان شديد في العضلات.
القطط المصابة بأمراض الكلى المزمنة في مراحلها المبكرة والصحية والمراحل المتأخرة لها ميتابولومات مصلية مميزة
تم تقييم الميتابولوم السيرومي العالمي غير المستهدف في 55 قطة. يوضح الجدول 2 توزيع الفئات الكيميائية، بما في ذلك أعداد الميتابوليتات ذات الوفرة المختلفة عند مقارنة المجموعات الثلاث باستخدام اختبار كروسكال-واليس مع قيم p المعدلة وفقًا لأسلوب بنجاميني-هوشبرغ. يوفر الملف التكميلي 2 فروق الطي وقيم p الزوجية لجميع الميتابوليتات ذات الوفرة المختلفة بين كل مجموعة. عبر جميع العينات، تم الكشف عن 918 ميتابوليت، بما في ذلك 830 ميتابوليت مسمى و88 ميتابوليت غير معروف. مثلت الدهون
من إجمالي الميتابولوم ويمثل
للمستقلبات ذات الوفرة المختلفة عند مقارنة القطط الصحية مقابل القطط في المراحل المبكرة من مرض الكلى المزمن،
الفروق بين القطط الصحية وقطط المرحلة المتأخرة من مرض الكلى المزمن، و
من الاختلافات بين القطط في المراحل المبكرة والمتأخرة من مرض الكلى المزمن. كانت الأحماض الأمينية هي الفئة الثانية الأكثر وفرة، حيث تشكل
للميتابولوم، وقد شكلوا
للمستقلبات ذات الوفرة المختلفة عند مقارنة القطط الصحية وقطط مرض الكلى المزمن في مراحله المبكرة،
للمستقلبات ذات الوفرة المختلفة عند مقارنة القطط الصحية وقطط مرض الكلى المزمن في مراحله المتأخرة، و
للمستقلبات ذات الوفرة المختلفة عند مقارنة القطط المصابة بمرض الكلى المزمن في مراحله المبكرة والمتأخرة.
بالإضافة إلى اختبار كروسكال-واليس، تم استخدام تحليل التمييز بالحد الأدنى من المربعات (PLS-DA) كمعيار متعدد المتغيرات ثانٍ لتحديد المستقلبات التي كانت مساهمات مهمة في تفسير الفروق.
| فئة كيميائية | الصحة مقابل مرض الكلى المزمن في مراحله المبكرة (المراحل 1 و 2) | الصحة مقابل مرض الكلى المزمن في مراحله المتأخرة (المراحل 3 و 4) | مرض الكلى المزمن في مراحله المبكرة (المراحل 1 و 2) مقابل مرض الكلى المزمن في مراحله المتقدمة (المراحل 3 و 4) |
| الأحماض الأمينية (206) | 62 (
|
100 (
|
55 (
|
| الببتيدات (36) |
|
9 (
|
٤ (
|
| الكربوهيدرات (22) | 5 (
|
10 (
|
٥ (
|
| الفيتامينات والعوامل المساعدة (30) | 13 (
|
16 (
|
٥ (
|
| أيض الطاقة (9) | ٦ (
|
٨ (
|
|
| الدهون (369) | ١٠٤ (
|
195 (
|
٥٨ (
|
| النيوكليوتيدات (51) | ١٣ (
|
٢٦ (
|
12 (
|
| الزنوبيوتيك (100) | 12 (
|
٢٩ (
|
17 (
|
| المستقلبات غير المعروفة والتي تم توصيفها جزئيًا (95) | ٢٣ (
|
٤٤ (
|
٢٢ (
|
| الإجمالي (918) | 240 (
|
٤٣٧ (
|
١٨٠ (
|
الجدول 2. المستقلبات ذات الوفرة المختلفة في القطط الصحية والقطط المصابة بمرض الكلى المزمن في مراحله المبكرة مقابل المتأخرة. تشير الأقواس بجانب الفئة الكيميائية إلى العدد الإجمالي للمستقلبات المحددة. لكل مقارنة، تشير الأرقام إلى العدد الإجمالي للمستقلبات ذات الوفرة المختلفة.
) عند مقارنة كل زوج من العلاجات. الأرقام في الأقواس تحدد عدد هذه المستقلبات ذات الوفرة المختلفة التي زادت (
) في المجموعة الأولى بالنسبة للمجموعة الثانية وانخفضت (
) في المجموعة الأولى بالنسبة للمجموعة الثانية. تعتمد الدلالات الإحصائية على اختبار كروسكال-واليس للوسيطات المحولة لوغاريتمياً لوفرة المستقلبات، وتم تعريف الدلالة على أنها
بعد تحليل بنجاميني هوشبرغ بعد الاختبار. CKD مرض الكلى المزمن.
بين القطط الصحية، وتلك التي تعاني من مرض الكلى المزمن في مراحله المبكرة، وتلك التي تعاني من مرض الكلى المزمن في مراحله المتأخرة. أظهر نموذج PLS-DA فصلًا واضحًا عند مقارنة ملفات الميتابوليت للقطط الصحية مع تلك التي تعاني من مرض الكلى المزمن في مراحله المبكرة والمتأخرة، مع
و
اختلافات الميتابولوم بين مجموعات المرضى التي تفسرها المكونات 1 و 2 على التوالي (الشكل 1A). كان لهذا النموذج الكامل PLS-DA الذي يقارن بين القطط الصحية مقابل القطط في مراحل مبكرة من مرض الكلى المزمن مقابل القطط في مراحل متأخرة من مرض الكلى المزمن دقة تنبؤية تبلغ 0.709، وقيمة Q2 تبلغ 0.39 و
قيمة 0.39. تم ملاحظة فصل إضافي بين القطط في مرحلة مبكرة من مرض الكلى المزمن ومرحلة متأخرة من مرض الكلى المزمن، مع
و
اختلافات الميتابولوم التي تم تفسيرها بواسطة المكونات 1 و 2 على التوالي (الشكل 1B). لتقييم المساهمات الرئيسية للمواد الأيضية في الاختلافات بين القطط الصحية ومرحلة CKD المبكرة ومرحلة CKD المتأخرة، تم استخدام تحليل التمييز الجزئي (PLS-DA) مع تحليل التجميع الهرمي (HCA) (الشكل 1C) لتحديد المواد الأيضية التي تميزت بشكل أكبر بين المجموعات الثلاث. لوحظ فصل واضح بين المجموعات الثلاث عندما تم تضمين أعلى 50 مادة أيضية مصنفة بواسطة PLS-DA في عرض HCA (الشكل 1C). شملت هذه المواد الأيضية 17 مادة غير معروفة، 12 دهنًا، ثمانية أحماض أمينية، خمسة مواد غريبة، ثلاثة نيوكليوتيدات، ثلاثة فيتامينات/عوامل مساعدة، كربوهيدرات واحدة، ومادة أيضية واحدة للطاقة.
يعتبر استقلاب الدهون محركًا رئيسيًا للاختلافات في الميتابولوم بين القطط الصحية وقطط مرض الكلى المزمن في مراحله المبكرة وقطط مرض الكلى المزمن في مراحله المتأخرة.
تم فحص الدهون، التي تشكل معظم الميتابولوم في مصل الدم لدى القطط الصحية وذات المرحلة المبكرة والمتأخرة من مرض الكلى المزمن، بشكل أعمق لتحديد المسارات الأيضية والمواد الأيضية التي تسهم في أكبر الفروقات بين حالات المرض (الشكل 2). نظرًا لتنوع الدهون والمسارات الأيضية ضمن هذه الفئة الكيميائية، تم استخدام درجات إثراء المسار (PES) لتحديد المسارات الدهنية الرئيسية والمواد الأيضية التي تسهم في الفروقات بين مجموعات المرضى. عند مقارنة القطط الصحية وذات المرحلة المبكرة من مرض الكلى المزمن، تم تحديد 26 مسارًا كعوامل مساهمة هامة في اختلافات المواد الأيضية (الشكل 2A). من بين هذه المسارات الأيضية، كان لتمثيل الأحماض الدهنية (FA) (الأحماض الأمينية والأحماض الدهنية قصيرة السلسلة [SCFA]) وعمليات الأيض لللاكتوسيلسيراميد كل منهما درجة PES تبلغ 3.76، وهي أعلى درجة PES تم ملاحظتها بين هاتين المجموعتين من المرضى. عند ترتيب المواد الأيضية الدهنية حسب حجم الفرق بين القطط الصحية وذات المرحلة المبكرة من مرض الكلى المزمن، كانت المواد الأيضية للأحماض الدهنية 2-أمينوكتانوات (انخفاض بمقدار 1.73 مرة في المرحلة المبكرة من مرض الكلى المزمن مقابل الصحية،
)، البيوتيرات/الإيزوبيوتيرات ( انخفاض بمقدار 2.05 مرة في مرحلة مبكرة من مرض الكلى المزمن مقابل الأصحاء،
) و الفاليرات ( انخفاض بمقدار 0.34 مرة في المرحلة المبكرة من مرض الكلى المزمن مقابل الأصحاء،
كانت E-4) من بين أعلى 20 من المستقلبات الدهنية ذات الوفرة المختلفة بين القطط الصحية وقطط مرض الكلى المزمن في مراحله المبكرة (الشكل 2B). ومن الجدير بالذكر أن مستقلب فوسفاتيديلينوزيتول (PES 2.68) 1-بالميتويل-2-لينوليول-جي بي آي كان منخفضًا بمقدار 0.0069 مرة في قطط مرض الكلى المزمن في مراحله المبكرة مقارنة بالقطط الصحية (
).
في القطط الصحية مقابل القطط في مراحل متأخرة من مرض الكلى المزمن، كانت 31 مسارًا من مسارات الأيض الدهني مساهمات مهمة في اختلافات الميتابولوم. مشابهًا للقطط الصحية مقابل القطط في مراحل مبكرة من مرض الكلى المزمن، كانت مسارات الأيض الدهني (الكارنيتين الأسيل، الأحماض الأمينية، السلسلة القصيرة) أيضًا مساهمات مهمة في الاختلافات بين القطط الصحية مقابل القطط في مراحل متأخرة من مرض الكلى المزمن (جميعها PES 2.44). ساهم أيض البلازمالوجين والدهون الجليسرولية (كلاهما PES 2.44) وأيض الأحماض الدهنية ذات السلسلة المتفرعة (PES 1.22) بعدة من أعلى المكونات المتباينة في الوفرة بين القطط الصحية مقابل القطط في مراحل متأخرة من مرض الكلى المزمن (الشكل 2A). شملت هذه المكونات الدهون الجليسرولية الجليسرول-3-فوسفات (انخفاض بمقدار 57.55 مرة في القطط في مراحل متأخرة من مرض الكلى المزمن مقابل القطط الصحية،
)، حمض دهني متفرع ( 16 أو 17 )-ميثيلستيارات ( انخفاض بمقدار 123.40 مرة في مرحلة متأخرة من مرض الكلى المزمن مقابل الأصحاء،
)، الحمض الدهني الأميني 2-أمينوهبتانوات ( انخفاض بمقدار 0.26 مرة في مرحلة متأخرة من مرض الكلى المزمن مقابل الأصحاء،
)، والبلسمالوجين 1-(1-enيل-بالميتويل)-2-أوليول-GPE ( انخفاض بمقدار 0.024 مرة في مرحلة متأخرة من مرض الكلى المزمن مقابل الأصحاء،
) (الشكل 2C).
عند مقارنة القطط في مراحل مبكرة ومتأخرة من مرض الكلى المزمن، كانت 14 مسارًا لتمثيل الدهون مساهمات مهمة في اختلافات الميتابولوم. كانت مسارات تمثيل الأحماض الدهنية تمثل عدة من هذه المسارات وشملت الكارنيتين الأسيل والأحماض الدهنية ثنائية الكربوكسيل (PES 3.53)، الكولين الأسيل (PES 2.94)، وعمليات الأيض للأحماض الدهنية قصيرة السلسلة (PES 2.94 (الشكل 2A). من بين أكثر المستقلبات الدهنية اختلافًا في الوفرة ضمن هذه المسارات كان المستقلب الكارنيتين الأسيل والأحماض الدهنية ثنائية الكربوكسيل بيميلويلكارنيتين/3-ميثيلأديبويكارنيتين (زيادة بمقدار 2.77 مرة في مرض الكلى المزمن في مراحله المبكرة مقارنة بالمراحل المتأخرة،
المستقلب الأسيل كولين أوليويل كولين (انخفاض بمقدار 2.27 مرة في مرحلة مرض الكلى المزمن المتأخرة مقابل مرحلة مرض الكلى المزمن المبكرة،
)، ومشتق الأحماض الدهنية قصيرة السلسلة الفاليرات (انخفاض بمقدار 2.49 مرة في مرحلة مرض الكلى المزمن المتأخرة مقارنة بمرحلة مرض الكلى المزمن المبكرة،
) (الشكل 2D). كان المستقلب الجليسيروليبيد (PES 2.94) جليسيرول-3-فوسفات قد انخفض بمقدار 656.88 مرة في القطط المصابة بمرض الكلى المزمن في مراحله المتأخرة مقارنة بالقطط المصابة بمرض الكلى المزمن في مراحله المبكرة (
وكانت أكبر اختلافات طيات الدهون بين جميع الدهون ومقارنات المجموعات في مجموعة البيانات.
بالنسبة للقطط الصحية، يتم ملاحظة اضطرابات في الأحماض الأمينية في مصل الدم لدى القطط المصابة بمرض الكلى المزمن في مراحله المبكرة والمتأخرة.
كانت الأحماض الأمينية ثاني أكبر فئة كيميائية تساهم في الفروق بين القطط الصحية وقطط مرض الكلى المزمن، بما في ذلك الفروق بين القطط في المراحل المبكرة من مرض الكلى المزمن وقطط المراحل المتأخرة. بالنظر إلى انتشار الهزال وفقدان العضلات النحيفة في القطط مع
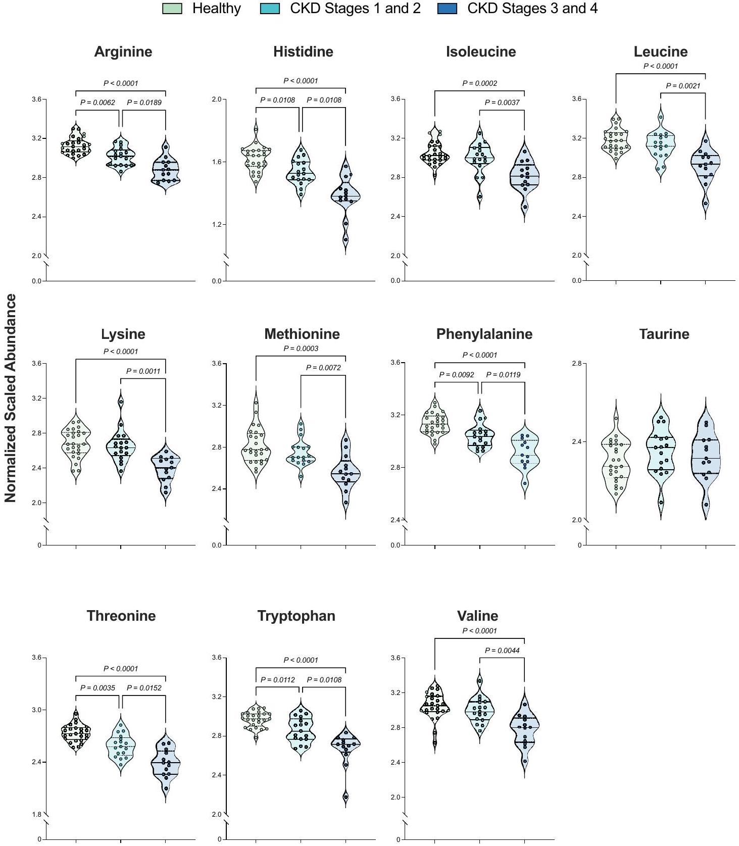
تمت مقارنة الفروقات في 11 حمض أميني أساسي للقطط (EAA) بين المجموعات (الشكل 3، الجدول 3). تم تقليل خمسة من 11 حمضًا أمينيًا أساسيًا بشكل ملحوظ في كل من القطط المصابة بمرض الكلى المزمن في مراحله المبكرة والمتأخرة مقارنة بالقطط السليمة. وشمل ذلك الأرجينين، الهيستيدين، الفينيل ألانين، الثريونين، والتريبتوفان. تم تقليل عشرة من 11 حمضًا أمينيًا أساسيًا بشكل ملحوظ في مرض الكلى المزمن في مراحله المتأخرة مقارنة بمراحله المبكرة. وشمل ذلك الأرجينين، الهيستيدين، الإيزوليوسين، الليوسين، الليسين، الميثيونين، الفينيل ألانين، الثريونين، التريبتوفان، والفالين. لم يكن هناك أي من الأحماض الأمينية التي تم فحصها قد زادت بشكل ملحوظ في مرض الكلى المزمن في مراحله المتأخرة مقارنة بمراحله المبكرة. لم يظهر أحد الأحماض الأمينية الأساسية، التاورين، أي اختلافات بين المجموعات.
يختلف استقلاب سموم اليوريمية بين القطط الصحية وقطط مرض الكلى المزمن، وعند المقارنة بين قطط مرض الكلى المزمن في المراحل المبكرة والمراحل المتأخرة.
نظرًا للرابط بين ميكروبيوم الأمعاء والسموم اليوريمية، تم تقييم الاختلافات في عشرة مستقلبات متعلقة بتمثيل السموم اليوريمية الرئيسية المشتقة من الأمعاء في الشكل 4. عند مقارنة القطط المصابة بمرض الكلى المزمن في مراحله المبكرة والقطط الصحية، لوحظت انخفاضات كبيرة في التربتوفان (انخفاض بمقدار 0.96 ضعف،
)، تيروزين ( انخفاض بمقدار 0.94 مرة،

الشكل 1. مرحلة المرض تميز بوضوح الميتابولوم المصل للقطط الصحية، وقطط المرحلة المبكرة من مرض الكلى المزمن، وقطط المرحلة المتأخرة من مرض الكلى المزمن. تحليلات التمييز باستخدام تحليل المربعات الجزئية (PLS-DA) للقطط الصحية، وقطط المرحلة المبكرة من مرض الكلى المزمن (المراحل 1 و2)، وقطط المرحلة المتأخرة من مرض الكلى المزمن (المراحل 3 و4) (أ) وقطط المرحلة المبكرة من مرض الكلى المزمن مقابل المرحلة المتأخرة من مرض الكلى المزمن (ب). كل دائرة تمثل الميتابولوم المصل لقط واحد. تمثل البيضات المظللة المحيطة بكل مجموعة مرضى
فترات الثقة. تحليل التجميع الهرمي غير المراقب وخريطة الحرارة لـ 50 من المستقلبات في المصل ذات أكبر درجات انخفاض دقة PLS-DA المتوسطة (ج). تمثل كل عمود قطة واحدة وتمثل كل مربع مستقلب واحد. تشير صناديق الفئات إلى حالة المرض لكل قطة، حيث تشير الصناديق الخضراء إلى القطط الصحية، وتمثل الصناديق الفيروزية قطط CKD في المرحلة المبكرة، وتمثل الصناديق البحرية قطط CKD في المرحلة المتأخرة. تعكس ألوان صناديق المستقلبات الوفرة النسبية المعنوية لكل مستقلب عند قياسها عبر مجموعة البيانات، حيث تعكس الصناديق الحمراء زيادة في الوفرة النسبية المعنوية مقارنة بالوسيط في مجموعة البيانات، وتظهر الصناديق الزرقاء مستقلبات ذات وفرة نسبية معنوية منخفضة مقارنة بالوسيط في مجموعة البيانات. تم حساب نقاط الفروع باستخدام المسافات الإقليدية حيث تشير الفروع الأطول إلى اختلافات أكبر بين القطط. CKD مرض الكلى المزمن، FA حمض دهني. [1] و [2] في أسماء المستقلبات تُستخدم للإشارة إلى الأيزومرات و
في الأسماء تشير إلى أن هويات المستقلبات تم تحديدها باستخدام التعليقات التوضيحية الحاسوبية.

الشكل 2. يعد استقلاب الدهون محركًا رئيسيًا للاختلافات في الميتابولوم المصل بين القطط الصحية وقطط مرض الكلى المزمن في مراحله المبكرة والمتأخرة. درجات إثراء المسار لمسارات استقلاب الدهون مقارنةً بالقطط الصحية وقطط المرحلة المبكرة (المراحل 1 و 2) وقطط المرحلة المتأخرة (المراحل 3 و 4) (أ). الخط المنقط عند 1.0 يظهر المسارات الأيضية التي تم تعريفها كمساهمين ذوي مغزى في اختلافات مجموعة المرضى (درجة إثراء المسار لـ
في مجموعة واحدة على الأقل من المرضى). الدهون في المصل ذات الوفرة المختلفة مع أكبر 20 فرقًا في النسبة عند مقارنة القطط الصحية مع القطط في المرحلة المبكرة من مرض الكلى المزمن (ب)، القطط الصحية مع القطط في المرحلة المتأخرة من مرض الكلى المزمن (ج) والقطط في المرحلة المبكرة من مرض الكلى المزمن مع القطط في المرحلة المتأخرة من مرض الكلى المزمن (د). تم تعريف الأهمية على أنها
بعد تعديلات بنجاميني-هوشبرغ لاختبار كروسكال-واليس الذي يقارن وفرة كل مستقلب عبر ثلاث مجموعات من المرضى. BCAA الأحماض الأمينية ذات السلسلة المتفرعة، CKD مرض الكلى المزمن، FA الأحماض الدهنية، GPC الجليسرول فوسفوريلاين كولين، GPE الجليسرول فوسفوريلاين إيثانولامين، GPI الجليسرول فوسفوريلاين إينوزيتول، HODE حمض هيدروكسي أوكتاديكادينويك، MCFA الأحماض الدهنية متوسطة السلسلة، MUFA الأحماض الدهنية أحادية عدم التشبع، SC السلسلة القصيرة، SCFA الأحماض الدهنية قصيرة السلسلة. [1] و [2] في أسماء المستقلبات تُستخدم للإشارة إلى الأيزومرات.

الشكل 3. القطط التي تعاني من مرض الكلى المزمن في مراحله المتأخرة تظهر انخفاضًا في مستويات السيروم من الأحماض الأمينية الأساسية مقارنة بالقطط الصحية وتلك التي تعاني من مرض الكلى المزمن في مراحله المبكرة. تمثل الوفرة المعيرة والمقاسة لـ 11 حمضًا أمينيًا أساسيًا في القطط. كل دائرة تمثل قطة واحدة، حيث تشير الألوان إلى مجموعات المرضى: الأخضر = قطة صحية؛ الأزرق الفاتح = قطة تعاني من مرض الكلى المزمن في مراحله المبكرة (المراحل 1 و 2)؛ الأزرق الداكن = قطة تعاني من مرض الكلى المزمن في مراحله المتأخرة (المراحل 3 و 4). تظهر الخطوط المنقطة على كل مخطط كمان النسب المئوية 25 و 50 (الوسيط) و 75 من توزيعات وفرة المستقلبات المعيرة والمقاسة لكل حمض أميني. تم تعريف الأهمية على أنها
بعد تعديلات بنجاميني-هوشبرغ لاختبار كروسكال-واليس الذي يقارن الوفرة المعيرة والمقاسة لكل مستقلب عبر ثلاث مجموعات من المرضى. CKD مرض الكلى المزمن.
| حمض أميني | مرض الكلى المزمن في مراحله المبكرة (المراحل 1 و 2) مقابل الأصحاء | الفشل الكلوي المزمن في مراحله المتأخرة (المراحل 3 و 4) مقابل الصحة | مرض الكلى المزمن في مراحله المبكرة (المراحل 1 و 2) مقابل مرض الكلى المزمن في مراحله المتأخرة (المراحل 3 و 4) |
| أرجينين |
|
|
|
| هيستيدين |
|
|
|
| إيزوليوسين | 0.98 (0.38) |
|
|
| ليوسين | 0.91 (0.25) |
|
|
| ليسين | 0.99 (0.47) |
|
|
| ميثيونين | 0.91 (0.36) |
|
|
| فينيل ألانين |
|
|
|
| التورين | 1.02 (0.36) | 0.98 (0.50) | 1.01 (0.50) |
| ثريونين |
|
|
|
| تريبتوفان |
|
|
|
| فالين | 0.91 (0.24) |
|
|
الجدول 3. اختلافات الأحماض الأمينية الأساسية بين القطط الصحية وقطط المرحلة المبكرة مقابل المرحلة المتأخرة من مرض الكلى المزمن. لكل مقارنة، تشير الأرقام إلى الفرق المضاعف عند مقارنة كل مجموعة من القطط، حيث تم حساب الفروق المضاعفة عن طريق قسمة المجموعة الأولى على المجموعة الثانية. الفروق المضاعفة والدلالات الإحصائية تستند إلى اختبار كروسكال-واليس لوفرة المستقلبات المحولة إلى لوغاريتمات مقاسة بالوسيط، وتم تعريف الدلالة على أنها
بعد تحليل بنجاميني-هوشبرغ بعد الاختبار. الأرقام المائلة بين قوسين تمثل قيمة p لهذا الاختبار. بالخط العريض مع
يشير إلى أن مستقلب الأحماض الأمينية قد زاد بشكل ملحوظ في المجموعة الأولى مقارنة بالمجموعة الثانية. CKD مرض الكلى المزمن.

الشكل 4. تزداد وفرة السموم اليوريمية في مصل الدم لدى القطط في مراحل متأخرة مقارنة بالقطط في مراحل مبكرة من مرض الكلى المزمن والقطط الصحية. وفرة السموم اليوريمية العشر مقاسة ومعيارية. كل دائرة تمثل قطة واحدة، حيث تشير الألوان إلى مجموعات المرضى: الأخضر = قطة صحية؛ الأزرق الفاتح = قطة في مرحلة مبكرة من مرض الكلى المزمن (المراحل 1 و 2)؛ الأزرق الداكن = قطة في مرحلة متأخرة من مرض الكلى المزمن (المراحل 3 و 4). الخطوط المنقطة على كل رسم بياني توضح النسب المئوية 25 و 50 (الوسيط) و 75 من توزيعات وفرة المستقلبات المقاسة والمعيارية لكل حمض أميني. الأسهم بين المستقلبات تشير إلى علاقاتها ببعضها البعض في مسارات استقلاب السموم اليوريمية، حيث تكون المستقلبات على يسار السهم هي المستقلبات العليا (المواد الأولية) للمستقلبات على الجانب الأيمن من الأسهم. تم تعريف الأهمية على أنها
بعد تعديلات بنجاميني-هوشبرغ لاختبار كروسكال-واليس الذي يقارن الوفرة المعيرة والمقاسة لكل مستقلب عبر ثلاث مجموعات من المرضى. الشكل تم إنشاؤه باستخدام BioRender.com. CKD مرض الكلى المزمن.
تمت ملاحظة سموم اليوريا ثلاثي ميثيل أمين N – أكسيد (TMAO) عند مقارنة مرض الكلى المزمن في مراحله المبكرة بالقطط الصحية (زيادة بمقدار 1.17 مرة،
) وفي حالات الفشل الكلوي المزمن المتأخر مقابل القطط الصحية (زيادة بمقدار 1.21 مرة،
).
أثرت شدة المرض بشكل أكبر على استقلاب السموم اليوريمية. مقارنةً بمرض الكلى المزمن في مراحله المبكرة، أظهرت القطط في المراحل المتأخرة من مرض الكلى المزمن انخفاضًا كبيرًا في التربتوفان (انخفاض بمقدار 0.93 مرة،
) وانخفاض بمقدار 0.95 في الفينيل ألانين،
) بالإضافة إلى زيادات كبيرة في ميثيل إندول-3-أسيتات (زيادة بمقدار 1.72 مرة،
من المثير للاهتمام أن السموم اليوريمية 3-إندوكسيلي سلفات (المعروفة أيضًا باسم إندوكسيلي-سلفات)، والتي عندما تزداد في المصل، تم الإبلاغ عنها سابقًا كعلامة على تقدم مرض الكلى المزمن.
لم تحقق دلالة إحصائية عند المقارنة بين مرض الكلى المزمن في مراحله المبكرة مقابل مراحله المتأخرة
).
الارتباطات بين المستقلبات المختارة مع الكرياتينين ودرجة حالة العضلات
تم تقييم العلاقات بين 110 مستقلبات تم تقييمها في الأشكال 1 و 2 و 3 و 4 والمتغيرات السريرية المختارة باستخدام ارتباطات سبيرمان وبييرسون (الجدول 4، الملف التكميلي 3). نظرًا لأدوارها في تقدير معدل الترشيح الكبيبي وعمليات الأيض العضلي على التوالي.
تم فحص المستقلبات المرتبطة بشكل قوي ومتوسط مع الكرياتينين في المصل وMCS بشكل أعمق (الجدول 4). لم يتم تقييم الكرياتينين وMCS معًا، كمتغيرات مستقلة في نموذج الانحدار الخطي المتعدد، لأنهما لم يكونا موزعين بشكل طبيعي عبر واحدة أو أكثر من مجموعات المرضى التي تم فحصها، وكانا مرتبطين بشكل كبير مع بعضهما البعض.
)، ولأن متلازمة كاشان معروفة بتأثيرها المختلف على قيم الكرياتينين في المصل بناءً على مدى فقدان العضلات لدى المريض
كان هناك ارتباط قوي بين سبعة مستقلبات والكرياتينين بما في ذلك مستقلب فيتامين C الجولونات.
) ، النوكليوتيدات 4-يوريدوبوتيرات (
) وأوروتيدين (
) ، المستقلب غير المعروف X-21283 (
) ، الديكربوكسيليت FA سوبيرويلكارنيتين (
) ، والأحماض الأمينية الأساسية الثريونين (
) والفينيل ألانين (
” ). كان هناك ارتباط معتدل ذو دلالة إحصائية بين أحد عشر مستقلبًا وMCS. وشملت هذه المستقلبات الكربوهيدرات المرتبطة إيجابيًا 1,5-أنهدروغلوكيتول (
) ، الديكاربوكسيليت FA 3،4-ديهيدروكسيبيوتيرات (
) ، السم اليوريمي ثلاثي ميثيل أمين N – أكسيد (
) ، المستقلبات غير المعروفة X-25387 (
) و X-12730 (
) ، ومشتق فيتامين C غولونات (
) . كانت المستقلبات مرتبطة سلبًا بشكل معتدل مع MCS تشمل الديكاربوكسيليت FA أوكتاديسينديوات (
)، الحمض الأميني 2-أمينوكتانوات (
،
)، الميثيل أوندكانوات (9 -أو-10) المتفرع
)، الثريونين EAA (
) ، وثنائي الجليسريد لينوليول-لينولينيك-غليسيرول (
).
نقاش
كان هدف هذه الدراسة هو مقارنة الميتابولوم في مصل الدم للقطط المملوكة من قبل العملاء التي كانت صحية مع تلك التي تعاني من مرض الكلى المزمن (CKD) الذي يحدث بشكل طبيعي، لتحديد المستقلبات التي تميز بسهولة بين الصحة ومرحلة المرض المبكرة مقابل المرحلة المتأخرة. هذه هي أول دراسة منشورة تصف الميتابولوم في مصل الدم للقطط المملوكة من قبل العملاء. بينما ترتبط بعض المؤشرات الحيوية التقليدية في المصل، مثل الكرياتينين وSDMA، بشكل جيد مع معدل الترشيح الكبيبي (GFR) وتستخدم بشكل روتيني لتشخيص مرض الكلى المزمن وتصنيفه، إلا أن هناك قيودًا على استخدامها السريري. يتأثر الكرياتينين بالاضطرابات خارج الكلى، بما في ذلك كتلة العضلات النحيفة، وأمراض الغدد الصماء، والنظام الغذائي، ويمكن أن يقع ضمن النطاقات المرجعية الطبيعية خلال مرحلة مرض الكلى المزمن المبكرة.
SDMA هو علامة أكثر حساسية لمعدل الترشيح الكبيبي (GFR) من الكرياتينين وأقل تأثراً بالاضطرابات خارج الكلى، ومع ذلك يمكن أن تحدث زيادات طفيفة في غياب مرض الكلى.
هناك اهتمام متزايد في تحديد العلامات البيولوجية التي تميز بشكل كبير بين مرض الكلى المزمن (CKD) وأمراض أخرى، والتي تميز مرض الكلى المزمن في مراحله المبكرة عن كل من القطط السليمة وقطط مرض الكلى المزمن في مراحله المتأخرة. يمكن أن يقلل الكشف المبكر من مرض الكلى المزمن من مراضة المرض ويحسن البقاء على قيد الحياة من خلال تحسين المراقبة والسماح بالتدخلات المبكرة قبل ظهور العلامات السريرية الواضحة والمضاعفات. بالإضافة إلى ذلك، لا يُعرف الكثير عن الاضطرابات الأيضية التي تحدث في القطط المصابة بمرض الكلى المزمن في مراحله المبكرة، وهي فترة يمكن أن تكون فيها العلامات السريرية والاختلالات المخبرية خفية. يمكن أن يؤدي فهم أفضل لهذه الاضطرابات إلى تحسين فهم الفيزيولوجيا المرضية للمرض ودعم العلاجات التي يمكن تنفيذها مبكرًا في المرض لتحسين النتائج. يُعتبر مصل الدم عينة تُجمع بشكل روتيني تُستخدم لتقييم صحة القطط، وكذلك في تشخيص مرض الكلى المزمن وتحديد مراحله. مع توسع علم الميتابولوميات عالية الإنتاجية في الطب البيطري وقدرة هذه الأداة على توضيح الآليات الجزيئية للمرض، يمثل تحليل ميتابولوم المصل خطوة قابلة للتطبيق لتقدم اكتشاف العلامات البيولوجية لمرض الكلى المزمن في مراحله المبكرة في القطط.
هذه الدراسة فحصت 55 قطة مملوكة للعميل تم تأكيد تشخيصها بالفشل الكلوي المزمن عند التسجيل. الزيادات الكبيرة التي لوحظت في مستوى اليوريا في الدم والكرياتينين
عند مقارنة الأصحاء مقابل مرضى الفشل الكلوي المزمن في مراحله المبكرة، والأصحاء مقابل مرضى الفشل الكلوي المزمن في مراحله المتأخرة، ومراحل الفشل الكلوي المزمن المبكرة مقابل المتأخرة) بالإضافة إلى التغيرات في الفوسفور في المصل، الكالسيوم الكلي في المصل، الهيماتوكريت، وMCS (
عند مقارنة الأصحاء مقابل مرضى الفشل الكلوي المزمن في مراحله المبكرة أو المتأخرة) (الجدول 1) تشبه التغيرات الملاحظة في مجموعات الفشل الكلوي المزمن في القطط التي تم فحصها في أماكن أخرى.
، مما يدعم أن هذه الفئة تمثل بشكل مناسب القطط المملوكة من قبل العملاء التي تعاني من مرض الكلى المزمن. داخل هذه الفئة، لوحظت اختلافات واضحة في الميتابولوم المصل عند مقارنة القطط الصحية بتلك التي تعاني من مرض الكلى المزمن في مراحله المبكرة والمتأخرة (الشكل 1أ، ب). وبالمثل، أظهر روبيرتي وآخرون ميتابولومات مصلية مميزة بين القطط الصحية وقطط مرض الكلى المزمن في المرحلة 1 و2، مما يدعم المزيد من الاضطرابات الأيضية القابلة للاكتشاف في المرض في مراحله المبكرة.
عند مقارنة الفروقات العالمية في المستقلبات بين مجموعات المرضى، ساهمت مستقلبات الدهون والأحماض الأمينية في الغالبية.
) من المستقلبات ذات الوفرة المختلفة بين الأصحاء ومرضى الفشل الكلوي في مراحله المبكرة، والأصحاء ومرضى الفشل الكلوي في مراحله المتأخرة، فضلاً عن المقارنة بين مرضى الفشل الكلوي في مراحله المبكرة والمتأخرة (الجدول 2). كما تم الكشف عن أهمية كل من الدهون والأحماض الأمينية في التمييز بين مجموعات المرضى من خلال التحليل العنقودي غير المراقب، الذي أظهر أن الدهون والأحماض الأمينية ساهمت في الغالبية العظمى من المستقلبات التي فصلت بسهولة بين القطط الصحية وقطط الفشل الكلوي، وكذلك بين قطط الفشل الكلوي في مراحله المبكرة والمتأخرة (الشكل 1c). بشكل جماعي، يمكن أن تكون هذه التغيرات في مستضدات المصل في الدهون والأحماض الأمينية أهدافًا علاجية محتملة في إدارة الفشل الكلوي، وتستحق هذه الفئات الكيميائية مزيدًا من التحقيق لاكتشاف المؤشرات الحيوية.
| فئة كيميائية | مسار الأيض | مستقلب | كرياتينين | MCS |
| حمض أميني | ألانين، أسبارتات | N-carbامويل-ألانين | 0.54 (
|
0.47 (0.00033) |
| جلايسين، سيرين، ثريونين | ثريونين | -0.71 (
|
-0.51 (
|
|
| غوانيدينو، أسيتاميدو | 1-ميثيلغوانيدين | 0.66 (
|
0.35 (
|
|
| غوانيدينوسكسينات | 0.58 (
|
0.47 (
|
||
| هيستيدين | هيستيدين | -0.68 (
|
-0.34 (
|
|
| ليوسين، إيزوليوسين، فالين | إيزوليوسين | -0.55 (
|
-0.25 (
|
|
| ليوسين | -0.59 (
|
-0.28 (
|
||
| فالين | -0.54 (
|
-0.33 (
|
||
| ليسين | ليسين | -0.53 (
|
-0.10 (
|
|
| ميثيونين، سيستين، S-أدينوزيل-ميثيونين، تورين | ميثيونين | -0.54 (
|
-0.21 (
|
|
| أس-ميثيل سيستين | -0.57 (
|
-0.27 (
|
||
| تيروزين | -0.63 (
|
-0.48 (
|
||
| فينيل ألانين | فينيل ألانين | -0.73 (
|
-0.44 (
|
|
| تريبتوفان | إندول أسيتيل غلوتامين | 0.57 (
|
0.14 (
|
|
| تريبتوفان | -0.69 ((
|
-0.47 (
|
||
| دورة اليوريا، أرجينين، برولين | أرجينين | -0.67 (
|
-0.40 (
|
|
| حمض ديميثيلغوانيدينو فاليريك | 0.62
|
0.37 (
|
||
| كربوهيدرات | تحلل السكر، تكوين الجلوكوز، البيروفات | 1,5-أنهدروغلوكيتول | 0.35 (
|
0.62 (
|
| عامل مساعد، فيتامين | غولونات | 0.76 (
|
0.76 (
|
|
| شبكي | 0.61 (
|
0.34 (
|
||
| بانتوثينات، إنزيم مساعد أ | بانتوات | 0.51 (
|
0.32 (
|
|
| دهون | دياسيلغليسيرول | غليسيرول لينوليول-لينولينيك [1] | -0.45 (
|
-0.50 (
|
| القنبانويد الداخلي | أزيلويلتاورين | 0.58 (
|
0.21 (
|
|
| أوليول إيثانولاميد | -0.51 (
|
-0.28 (
|
||
| حمض دهني، أستيل كولين | أراكيدونيل كولين | -0.53 (
|
-0.10 (
|
|
| ديهيمو-لينولينيك-كولين | -0.53 (
|
-0.23 (
|
||
| لينوليويل كولين | -0.60 (
|
-0.31 (
|
||
| أوليوايل كولين | -0.53 (
|
-0.24 (
|
||
| حمض دهني، أحماض أمينية | 2-أمينوكتانوات | -0.51 (
|
-0.53 (
|
|
| حمض دهني متفرع | (9 أو 10)-ميثيلوندكانوات | -0.51 (
|
-0.52 (
|
|
| حمض دهني/أحماض أمينية متفرعة السلسلة | 2-ميثيلمالونيلكارنيتين | 0.61 (
|
0.20 (
|
|
| بيميلويلكارنيتين/3-ميثيلاديبوييلكارنيتين | 0.59 (
|
0.34 (
|
||
| حمض دهني (كارنيتين أسيل، ثنائي الكربوكسيل) | سوبروليكارتين | 0.71 (
|
0.26 (
|
|
| حمض دهني، ثنائي الكربوكسيل | أوكتاديسينديوات | -0.68 (
|
-0.53 (
|
|
| حمض دهني، ثنائي الهيدروكسي | 3,4-ديهيدروكسي بيوتيرات | 0.44 (
|
0.58 (
|
|
| حمض دهني، متعدد غير مشبع طويل السلسلة (n3 و n6) | دوكوسابنتاينوات | -0.51 (
|
-0.063 (
|
|
| حمض دهني، مشبع طويل السلسلة | أراشيدات | -0.60 (
|
-0.16 (
|
|
| حمض دهني، أحادي الهيدروكسي | 13-HODE + 9-HODE | -0.62 (
|
-0.37 (
|
|
| فوسفatidylcholine | ستيارويل كولين | -0.51 (
|
-0.23 (
|
|
| فوسفatidylethanolamine | 1-بالميتويل-2-أراشيدونويل-GPE | -0.51 (
|
-0.14 (
|
|
| فوسفاتيديلينوزيتول | 1-بالميتويل-2-أراشيدونويل-GPI | -0.58 (
|
-0.28 (
|
|
| فوسفوليبيد | أكسيد ثلاثي ميثيل الأمين | 0.53 (
|
0.52 (
|
|
| بلازمالوجين | 1-(1-إينيل-بالميتويل)-2-أوليول-جي بي إي | -0.50 (
|
-0.36 (
|
|
| نوكليوتيد | بيورين، أدينين | N6-سكسينيل أدينوزين | 0.57 (
|
0.38 (
|
| بيريميدين، أوروتات | أوروتيدين | 0.72 (
|
0.44 (
|
|
| بيريميدين، يوراسيل | 4-يوريدوبوتيرات | 0.72 (
|
0.44 (
|
|
| غير معروف | BDP، C17H18N2O4 (2) | -0.56 (
|
-0.25 (
|
|
| BDP، C17H18N2O4 (3) | -0.53 (
|
-0.25 (
|
||
| FA (1) 10:1 متفرع/مستقيم/سيكلوبروبيل | -0.64 (
|
-0.47 (
|
||
| إكس-12117 | 0.50 (
|
0.37 (
|
||
| إكس-12730 | 0.42 (
|
0.51 (
|
||
| إكس-17351 | 0.55 (
|
0.18 (
|
||
| إكس-21283 | 0.71 (
|
0.25 (
|
||
| إكس-24935 | -0.55 (
|
-0.27 (
|
||
| إكس-24937 | -0.59 (
|
-0.30 (
|
||
| إكس-25387 | 0.43 (
|
0.51 (
|
الجدول 4. ارتباطات بعض المستقلبات مع الكرياتينين في المصل ودرجة حالة العضلات. تشمل المستقلبات المختارة لتحليل الارتباط 110 مستقلبات تم تحديدها كعوامل تمييز رئيسية للمرضى من تحليل خريطة الحرارة + التحليل العنقودي الهرمي، والأحماض الأمينية الأساسية، وتحليل السموم اليوريمية. لكل مقارنة، تظهر القيم معامل الارتباط وقيمة p (بين قوسين) من اختبارات ارتباط سبيرمان. تم تعريف الدلالة على أنها
تم تعريف المستقلبات المرتبطة بقوة على أنها تلك التي كانت لديها معامل ارتباط بين 0.70 و 0.89، بينما شملت المستقلبات المرتبطة بشكل معتدل تلك التي لديها معامل ارتباط بين 0.50 و 0.69. تشير ألوان الصناديق إلى قوة واتجاه المستقلبات المرتبطة حيث تشير درجات اللون الأخضر إلى الارتباطات الإيجابية (الأخضر الداكن
المستقلبات المرتبطة بقوة، الأخضر الفاتح
تشير الظلال الحمراء إلى الارتباطات السلبية (الأحمر = الأيضات المرتبطة بقوة، الوردي = الأيضات المرتبطة بشكل معتدل)، وتدل الصناديق البيج على الأيضات التي كانت مرتبطة بشكل ضعيف إلى سيء مع هذه المتغيرات. تشير الخطوط العريضة والمائلة إلى الأيضات التي حققت دلالة إحصائية للمقارنة المعنية. BCAA هو حمض أميني متفرع السلسلة، BDP هو منتج تحلل البيليروبين، FA هو حمض دهني، GPC هو جليسرول فوسفوريلي كولين، GPE هو جليسرول فوسفوريلي إيثانولامين، GPI هو جليسرول فوسفوريلي إينوزيتول، HODE هو حمض هيدروكسي أوكتاديكادينويك، MCS هو درجة حالة العضلات.
على الرغم من أن أدوار اضطراب استقلاب الدهون في بداية وتقدم مرض الكلى المزمن هي مجال نشط للبحث في الطب البشري، إلا أن القليل معروف عن ذلك في الكلاب والقطط.
الكلاب التي تعاني من مرض الكلى المزمن لديها خلل في الدهون بناءً على تحليل كهربائي للبروتينات الدهنية.
البيانات المقدمة هنا تمثل أول منشور يسلط الضوء على الاضطرابات الدهنية النظامية في القطط المملوكة من قبل العملاء التي تعاني من مرض الكلى المزمن (CKD). في هذه الدراسة، تم العثور على 36 مسارًا أيضيًا للدهون تم تغييرها عند المقارنة بين القطط الصحية وقطط CKD في مراحل مبكرة أو متأخرة، وكذلك بين قطط CKD في مراحل مبكرة ومتأخرة (الشكل 2أ-ج)، حيث أن الغالبية العظمى من هذه المسارات مرتبطة بشكل مباشر أو غير مباشر بتمثيل الأحماض الدهنية. على الرغم من الاختلافات في الأسباب الرئيسية لمرض الكلى المزمن بين البشر والقطط، فقد تم توثيق تراكم الدهون في قشرة الكلى، وخاصة في الظهارة الأنبوبيّة، في كل من البشر والقطط.
. في الأشخاص، يرتبط خلل استقلاب الأحماض الدهنية بزيادة ترسب الأحماض الدهنية في نسيج الكلى، مما يؤدي إلى زيادة الالتهاب و
تدمير أنبوبي تدريجي في الدراسة الحالية، كانت هناك اختلافات ملحوظة في الأحماض الدهنية قصيرة السلسلة (SCFAs) مثل الزبدات، الإيزوبوتيرات، والفاليرات التي تميزت بها القطط في المراحل المبكرة من مرض الكلى المزمن (CKD) عن القطط الصحية (الأشكال 2أ، ج). في الحيوانات والناس الذين يعانون من مرض الكلى المزمن، كانت الزيادة في الزبدات، الإيزوبوتيرات والفاليرات مرتبطة بتقليل إنتاج السيتوكينات الالتهابية الجهازية والكلوية.
، مما يشير إلى أن انخفاض مستويات هذه الأحماض الدهنية قصيرة السلسلة قد يكون مؤشراً مبكراً على تلف الكلى. تدعم الفروق الكبيرة في مستويات هذه الأحماض الدهنية قصيرة السلسلة عند مقارنة القطط الصحية وقطط المرحلة المبكرة من مرض الكلى المزمن أن هذه المستقلبات يمكن أن تُفحص بشكل أكبر من حيث قدرتها على تحديد القطط المصابة بمرض الكلى المزمن في مراحله المبكرة وكهدف علاجي محتمل. علاوة على ذلك، تم استكشاف المستقلب المشتق من الأحماض الدهنية الجليسرول-3-فوسفات لدوره في استقلاب الفوسفور غير المنظم وتخليق فيتامين د خلال تلف الكلى.
كان هناك انخفاض ملحوظ في المرحلة المتأخرة من مرض الكلى المزمن مقارنة بالمرحلة المبكرة من مرض الكلى المزمن، مما يشير إلى أن بعض مؤشرات الدهون في المصل قد تنخفض في الوفرة في المصل مع تقدم مرحلة مرض الكلى المزمن، على الرغم من الانخفاض في معدل الترشيح الكبيبي. على الرغم من أن هذه المستقلبات الدهنية كانت مرتبطة بشكل ضعيف بالمعايير السريرية والمخبرية (الملف التكميلي 3)، إلا أن الأدوار التي تلعبها عملية الأيض الدهني في مرض الكلى المزمن، خاصة في تقدم المرض من المرحلة المبكرة إلى المرحلة المتأخرة، لا تزال غير معروفة إلى حد كبير.
بحيث يمكن أن تزيد أو تنقص مستوياتها في المصل عبر آليات لا تتناسب مع المعايير التقليدية للرصد. مشابهة لهذه الدراسة، تم تحديد تغييرات قوية في استقلاب الدهون في الميتابولوم البلازمي للقطط البحثية المرباة لهذا الغرض من قبل كل من هول وآخرون وجويل وآخرون، حيث أظهرت القطط المصابة بمرض الكلى المزمن تغييرات في عدة أحماض دهنية بما في ذلك الفوسفوليبيدات والسيراميدات والدكاربوكسيليت عند مقارنتها بالقطط الصحية.
وبدورها، يجب اعتبار كل من الزيادات والنقصان في مستخلصات الدهون في المصل تغييرات ذات دلالة بيولوجية في القطط المصابة بمرض الكلى المزمن.
تدمير أنبوبي تدريجي
تعتبر الأحماض الأمينية الأساسية (EAAs) علامات تشخيصية وعلاجية محتملة في مرض الكلى المزمن (CKD) حيث يمكن قياسها بسهولة وتعديلها بشكل فريد في القطط المصابة بـ CKD. إن فهم العلاقات المتبادلة بين CKD واضطراب استقلاب الأحماض الأمينية هو مجال آخر قيد البحث النشط في الطب البيطري، حيث ترتبط التغيرات في استقلاب الأحماض الأمينية بالهزال وإنتاج السموم اليوريمية في القطط.
ترتبط هذه العمليات ارتباطًا وثيقًا بالمراضة والوفيات بين القطط المصابة بأمراض الكلى المزمنة، وغالبًا ما يتم وصف العلاجات المساعدة لهذه الاضطرابات خلال إدارة أمراض الكلى المزمنة.
، مما يبرز الحاجة إلى فهم أفضل للآليات الجزيئية التي تحرك هذه الأمراض. يُعتقد أن الهزال الناتج عن مرض الكلى المزمن يحدث نتيجة لمجموعة من زيادة الغثيان واضطراب الشهية، وانخفاض إجمالي السعرات الحرارية والبروتين المتناول، وسوء امتصاص البروتين في الأمعاء.
تمت ملاحظة انخفاضات كبيرة في MCS عند مقارنة القطط الصحية بقطط CKD في المرحلة المبكرة و CKD في المرحلة المتأخرة (الجدول 1)، مما يدعم أن هذه الفئة من القطط كانت مناسبة تمامًا لفحص اضطرابات الأحماض الأمينية في المصل التي تحدث ثانويًا بسبب الهزال الناتج عن CKD. تم وصف BCAA ليوسين بشكل واسع في البشر لدوره في دوران البروتين وتكوين العضلات، وينخفض مع الهزال والساركوبينيا لدى البالغين المسنين.
مما يجعلها علامة حيوية واعدة للتقييم من أجل فقدان الوزن المبكر الذي قد يحدث مع مرض الكلى المزمن في القطط. في هذه الدراسة، لم يكن هناك ارتباط كبير بين الليوسين وحالة العضلات، وبالتالي سيكون من الضروري إجراء مزيد من الاستكشاف لتحديد ما إذا كان له قيمة كعلامة حيوية لفقدان الوزن في القطط. ومع ذلك، لم تكن هناك اختلافات في وفرة الليوسين عند مقارنة القطط في مراحل مبكرة ومتأخرة من مرض الكلى المزمن، مما يشير إلى أنه قد لا يكون مناسبًا أيضًا كعلامة حيوية في مصل القطط في المرحلة المبكرة من مرض الكلى المزمن.
تم تحديد انخفاضات في خمسة أحماض أمينية في مصل القطط المصابة بمرض الكلى المزمن في مراحله المبكرة مقارنة بالقطط الصحية (الأرجينين، الهيستيدين، الفينيل ألانين، الثريونين، التريبتوفان) (الشكل 3، الجدول 3). وقد انخفضت هذه الأحماض الأمينية بشكل أكبر عند مقارنة القطط المصابة بمرض الكلى المزمن في مراحله المتأخرة مع القطط في مراحله المبكرة، مما يشير إلى أنه قد تكون هناك تغييرات تدريجية تحدث مع تقدم المرض. في دراسة سابقة، انخفضت مستويات الفينيل ألانين والتريبتوفان والثريونين في المصل بشكل متناسب مع مرحلة مرض الكلى المزمن.
بالإضافة إلى انخفاضه بشكل متناسب مع مرحلة مرض الكلى المزمن، كان الثريونين مرتبطًا سلبًا بشكل معتدل مع MCS (الجدول 4). كأحماض أمينية أساسية، يُعتبر الثريونين في القطط مصدرًا مهمًا للجلوكوز الخلوي، كمصدر للطاقة لميكروبات الأمعاء، وكعامل رئيسي في البروتينات الضرورية لتطوير العضلات، والمناعة، وصحة الجهاز الهضمي.
في حالات انخفاض تناول الثريونين، يُعتبر تحلل العضلات الهزيلة وسيلة واحدة لزيادة توافر الثريونين الحيوي لتنفيذ هذه العمليات الحيوية.
، مما يفسر آلية واحدة لسبب انخفاضه بشكل متناسب مع MCS خلال مرض الكلى المزمن في القطط. في دراسة تقييم مكملات الأحماض الأمينية الغذائية في القطط المصابة بمرض الكلى المزمن في المرحلة 1 و 2، كانت كمية الثريونين المتناولة مرتبطة بشكل إيجابي بتغيرات الكتلة الجسمية الخالية من الدهون.
.
حددت مجموعة عمل السموم اليوريمية الأوروبية أكثر من 100 سمّ يوريمي مصنفة إما على أنها قابلة للذوبان في الماء الحر ذات الوزن الجزيئي المنخفض (
المركبات المتوسطة
)، أو المرتبط بالبروتين
بعض السموم اليوريمية الرئيسية المرتبطة بالبروتين تنشأ من استقلاب الأحماض الأمينية العطرية بواسطة الميكروبات المعوية، بما في ذلك سلفات الإندوكسيلي، سلفات p-كريسول، سلفات الفينول، إندول أسيتيت، وفينيل أسيتيت. تريميثيلامين N-أكسيد هو سم يوريمي منخفض الوزن الجزيئي قابل للذوبان في الماء يتكون في الأمعاء من خلال التخمر الميكروبي للكولين، فوسفاتيديل كولين، L-كارنيتين، وبيتاين.
ترتبط هذه السموم اليوريمية بالالتهاب الجهازي والإجهاد التأكسدي، وأمراض القلب والأوعية الدموية، ونقص المناعة، والهزال، وتلف الحاجز المعوي، والإندوتوكسيميا، وإصابة الكلى.
في هذه الدراسة، كانت هناك زيادة ملحوظة في وفرة الإندول أسيتيت وTMAO التي ميزت المرحلة المبكرة من مرض الكلى المزمن عن كل من المرحلة المتأخرة من مرض الكلى المزمن والقطط الصحية (الشكل 4). كان هناك ارتباط إيجابي معتدل بين TMAO والكرياتينين وMCS (حيث يشير ارتفاع MCS إلى مزيد من فقدان العضلات). لم تتغير الوفرة النسبية للإندوكسيلي سلفات بين المجموعات الثلاث (الشكل 4)، وهو ما يختلف عن المنشورات السابقة التي أظهرت تركيزات مصل أعلى في مرض الكلى المزمن مقارنة بالقطط الصحية.
من المهم أن نلاحظ أن هذه الدراسات السابقة استخدمت الميتابولوميات المستهدفة لمقارنة التركيزات المطلقة لسلفات الإندوكسيلي مع معيار نقي.
، مقابل النهج العالمي غير المستهدف هنا باستخدام الوفرة النسبية المعيارية عبر مصفوفة من عدة مئات من المستقلبات. ومع ذلك، في دراسة غير مستهدفة لعلم المستقلبات في البلازما أجراها هول وآخرون على قطط بحثية تم تربيتها لهذا الغرض، لم تتغير وفرة الإندول-3-أسيتات في القطط المصابة بمرض الكلى المزمن أو في القطط السليمة بعد المكملات الغذائية التي استمرت لمدة ثمانية أسابيع من البيتين والبريبايوتيك يوميًا، والتي كانت تهدف إلى تعديل وتقليل إنتاج السموم اليوريمية المستمدة من ميكروبات الأمعاء.
وبالتالي، يجب أخذ هذه الطرق المختلفة للكشف عن الميتابولوم في الاعتبار عند مقارنة التغيرات في وفرة و/أو تركيزات السموم اليوريمية عبر الدراسات. تدعم هذه النتائج مجتمعة أن مراقبة مستويات السموم اليوريمية في المصل عبر مراحل المرض يمكن أن ترتبط بمعايير ذات دلالة سريرية يمكن مراقبتها للتدخل المبكر للحد من تقدم المرض.
تشمل نقاط القوة في هذه الدراسة تطبيق نهج الميتابولوميات العالمية على القطط الصحية المملوكة من قبل العملاء وتلك التي تعاني من مرض الكلى المزمن في مراحله المبكرة والمتأخرة باستخدام مصل الدم، وهو عينة تشخيصية تُستخدم بشكل روتيني وغير جراحية. على الرغم من أن هذه الدراسة لم تكن مدعومة بشكل كافٍ لمقارنة القطط بين مراحل أو مراحل فرعية منفصلة من IRIS بسبب انخفاض عدد تسجيل القطط في المرحلة 1 و4 من CKD، إلا أن فصل القطط إلى مجموعات مرض الكلى المزمن في مراحله المبكرة (المراحل 1 و2) والمتأخرة (المراحل 3 و4) لا يزال يسمح بإجراء مقارنات أوسع؛ وقد تم تطبيق هذا التصنيف سابقًا لمقارنة قطط CKD.
من المحتمل أن تساهم تنوع الحميات الغذائية والأدوية والمكملات المستهلكة في اختلاف الميتابولوم، بسبب التأثيرات المختلفة على استقلاب المضيف والميكروبات المعوية.
لا يمكن تمييز تأثير هذه العوامل على وفرة المستقلبات بسهولة في الدراسة الحالية، حيث إن التركيبات المحددة، وتكرار ومدة الاستخدام غير معروفة لجميع القطط المدروسة. لم يتم صيام قطتين قبل جمع المصل، مما قد يساهم في بعض التباين في الميتابولوم (الملف التكميلي 1). ومع ذلك، على الرغم من ذلك، فقد ميز الميتابولوم في المصل بشكل قوي بين القطط الصحية وقطط مرض الكلى المزمن في مراحله المبكرة وقطط مرض الكلى المزمن في مراحله المتأخرة، مما يبرز الأهمية السريرية لتطبيق هذه المصفوفة على مجموعات متنوعة من القطط المملوكة من قبل العملاء و/أو السكان البشريين. علاوة على ذلك، كانت مرحلة المرض في قطط مرض الكلى المزمن تعتمد على تركيزات الكرياتينين في المصل، والتي ترتبط سلبًا بكتلة العضلات.
. هذا قد أثر بشكل محتمل على مرحلة المرض التي تم إعطاؤها للقطط.
يتميز ميتابولوم المصل بسهولة بتمييز القطط الصحية عن تلك التي تعاني من مرض الكلى المزمن في مراحله المبكرة والمتأخرة، ويدعم ذلك أن هناك اضطرابات استقلابية كبيرة تحدث في مرض الكلى المزمن في مراحله المبكرة. تعتبر المستقلبات الدهنية والأحماض الأمينية محددات رئيسية لشدة المرض وعادة ما تكون مرتبطة بشكل جيد بالمتغيرات السريرية المستخدمة في توجيه اتخاذ القرارات السريرية لمرض الكلى المزمن. لذلك، هناك وعد كبير في التحقيق فيما إذا كانت هذه المستقلبات يمكن أن تعمل كعلامات حيوية تمييزية وقابلة للقياس بشكل عملي تميز بين القطط الصحية ومرض الكلى المزمن في مراحله المبكرة. نظرًا للتشابهات بين مرض الكلى المزمن في القطط والبشر، قد تسهم العلامات الحيوية التي تم تحديدها لاكتشاف مرض الكلى المزمن في مراحله المبكرة لدى القطط في تحسين تشخيصات البشر، مما يؤدي إلى تحسين جودة الحياة للحيوانات والبشر الذين يعانون من مرض الكلى المزمن.
طرق
السكان المدروسون
شملت الدراسة عينات مصل من 55 قطة تم الحصول عليها من دراسات سابقة. تم الموافقة على جميع الدراسات من قبل إما مجلس المراجعة السريرية (VCS 2018-168؛ VCS 2019-198) في جامعة ولاية كولورادو أو لجنة رعاية واستخدام الحيوانات المؤسسية (IACUC) في جامعة ولاية أوريغون (IACUC 2020-0069؛ IACUC 2020-0065) وتمت وفقًا للإرشادات واللوائح ذات الصلة. تم تجنيد القطط الصحية والقطط التي تم تشخيصها بمرض الكلى المزمن (CKD) من عملاء مستشفى التعليم البيطري بجامعة ولاية كولورادو من 2018 إلى 2019 ومستشفى التعليم البيطري بجامعة ولاية أوريغون من 2020 إلى 2021. تم تجنيد القطط الصحية خصيصًا لهذه التجارب السريرية المتعلقة بمرض الكلى المزمن الجارية في جامعة ولاية كولورادو أو جامعة ولاية أوريغون وتمت عملية الفحص في مستشفياتهم المعنية. لكي تكون مؤهلة للإدراج، خضعت القطط لتقييم شامل شمل تاريخ العميل، ومراجعة السجل الطبي السابق، وفحص بدني أجراه أخصائي طب داخلي معتمد. تم إجراء تعداد دم كامل، ولوحة كيمياء مصل، وتحليل البول وفي معظم الحالات، تم قياس نسبة البروتين إلى الكرياتينين في البول (UPC)، وفحص الطفيليات بواسطة الطرد المركزي للسكر في البراز، وقياس تركيز الثيروكسين الكلي في المصل، وقياس ضغط الدم بواسطة قياس ضغط الدم دوبلر. تم الحصول على درجة حالة الجسم (BCS؛ نستله بيورينا، سانت لويس، ميزوري، الولايات المتحدة الأمريكية) ودرجة حالة العضلات (MCS).
عادي؛
فقدان خفيف للعضلات؛
فقدان معتدل للعضلات؛
فقدان شديد للعضلات
كانت القطط تعتبر صحية بناءً على تاريخ طبي غير ملحوظ بما في ذلك عدم تلقيها أي أدوية (بخلاف وسائل الوقاية من البراغيث والقراد)، والفحص البدني، واختبارات المختبر الطبيعية، بما في ذلك تركيز الكرياتينين في المصل ضمن النطاق المرجعي وUSG.
فترة المرجعية لتركيز الكرياتينين في المصل في مختبر تشخيص البيطرة بجامعة ولاية كولورادو (محلل الكيمياء روش كوبرا c501) ومختبر تشخيص البيطرة في أوريغون (محلل الكيمياء بيكمان كولتر AU480) هي
و
“، على التوالي. تم تأكيد تشخيص مرض الكلى المزمن (CKD) في القطط وتم تصنيف القطط المصابة بمرض الكلى المزمن بواسطة أخصائي معتمد في الطب الداخلي للحيوانات الصغيرة باستخدام إرشادات الجمعية الدولية لاهتمام الكلى (IRIS)
تم تصنيف القطط المصابة بمرض الكلى المزمن (CKD) إلى مراحل (مرحلة CKD 1-4) بناءً على تركيزات الكرياتينين في المصل (المرحلة 1:
; المرحلة 2:
; المرحلة 3:
; مرحلة
تم تشخيص مرض الكلى المزمن في القطط التي تعاني من المرحلة 1 من مرض الكلى المزمن والمرحلة 2 المبكرة (غير الأزوتمية) بناءً على إما نتائج الموجات فوق الصوتية المتوافقة مع مرض الكلى التنكسية و/أو القدرة المستمرة غير الكافية على تركيز البول دون سبب غير كُلوي يمكن تحديده. شملت معايير الاستبعاد الأمراض الجهازية بما في ذلك داء السكري، فرط نشاط الغدة الدرقية، أمراض الكبد، الأمراض المعوية المعروفة أو المشتبه بها، والعلاج بالمضادات الحيوية خلال الأسبوعين الماضيين.
جمع العينات
تم جمع المصل كجزء من دراسات غير مرتبطة. قدم جميع مالكي القطط المشاركين موافقة خطية قبل جمع العينات. تم جمع عينات المصل عن طريق وخز الوريد الوداجي أو الوريد السافن الأوسط، وتم تجميدها في الموقع، وتخزينها في
داخل
من الجمع حتى التحليل. تم تخزين هذه العينات لمدة تصل إلى ثلاث سنوات قبل استخدامها في الدراسة الحالية.
تحضير عينة الميتابولوم
تم إجراء تحليل ملفات الأيض المصلية العالمية بواسطة مختبر تجاري (Metabolon Inc.، موريسفيل، NC) كما هو موصوف سابقًا. باختصار، تم إرسال المصل لكل مريض على ثلج جاف. عند الوصول، تم تخزين العينات في
حتى المعالجة. ميثانول مثلج
ميثانول
الحل المحتفظ به في
) تم إضافته إلى كل عينة لترسيب البروتينات وإطلاق الجزيئات الصغيرة قبل الحقن الكروماتوغرافي. تم خلط العينات الناتجة لمدة دقيقتين (جهاز Glen Mills GenoGrinder 2000)، ثم تم الطرد المركزي، ووضعها على جهاز TurboVap (Zymark) لإزالة أي مذيبات ميثانول باردة متبقية. بعد ذلك، تم تقسيم كل عينة إلى خمس حصص منفصلة لتحليل الكروماتوغرافيا السائلة عالية الأداء مع مطياف الكتلة (UPLC-MS/MS). شملت هذه الحصص: حصتين لتحليل UPLC-MS/MS العكسي مع تأين كهربائي إيجابي (ESI)، وحصة واحدة لتحليل UPLC-MS/MS العكسي مع تأين كهربائي سلبي، وحصة رابعة لـ
كروماتوغرافيا السائل التفاعلي المحب للماء مع مطيافية الكتلة بالتزامن (HILIC/UPLC-MS/MS) باستخدام التأين السالب، وتم حفظ العينة الخامسة كاحتياطي. تم تخزين جميع العينات تحت النيتروجين قبل التحليل اللاحق.
كروماتوغرافيا السائل التفاعلي المحب للماء مع مطيافية الكتلة بالتزامن (HILIC/UPLC-MS/MS) باستخدام التأين السالب، وتم حفظ العينة الخامسة كاحتياطي. تم تخزين جميع العينات تحت النيتروجين قبل التحليل اللاحق.
تحليل UPLC-MS/MS
تم تجفيف كل عينة وإعادة تكوينها في مذيبات تم تحسينها لأحد طرق الاستخراج الكروماتوغرافية الأربعة. شمل هذا الإعداد عينة واحدة تم تحسينها لاستخراج المستقلبات المحبة للماء والتي تم إزالتها بالتدرج من خلال عمود C18 (Waters UPLC BEH C18-2.1).
) مع طور متنقل من الماء والميثانول مع
حمض البيرفلوروبنتانيك و
حمض الفورميك. تم تحسين العينة الثانية لاستخراج المستقلبات الكارهة للماء من خلال نفس عمود C18 مع إيلاء تدريجي في الميثانول، والأسيتونيتريل، والماء مع
حمض البيرفلوروبنتانيك و
حمض الفورميك. تم تحسين العينة الثالثة لاستخراج المستقلبات الأساسية، من خلال عمود C18 منفصل، عبر الإيلاشن المتدرج من خلال طور متحرك من الماء والميثانول المعاير إلى pH 8 باستخدام 6.5 مللي مول من بيكربونات الأمونيوم. تم تحسين العينة الرابعة للإيلاشن من خلال عمود HILIC (واترز UPLC BEH أميد
مع تدرج طور متنقل من الماء والأسيتونيتريل تم معايرته إلى درجة حموضة 10.8 باستخدام 10 مللي مول من فورمات الأمونيوم. بعد الاستخراج الكروماتوغرافي، خضعت المستقلبات الم eluate من كل عينة للتفتيت باستخدام مصدر تأين بالرش الكهربائي المسخن (HESI-II) الذي يعمل إما في وضع الأيونات الموجبة أو السالبة. تم تحليل أول aliquots اثنين باستخدام ظروف وضع الأيونات الموجبة، وتم تحليل آخر aliquots اثنين باستخدام ظروف وضع الأيونات السالبة. تم إجراء كشف المستقلبات باستخدام مطياف الكتلة عالي الدقة/الكتلة الدقيقة Q-Exactive من Thermo Scientific المدمج مع محلل الكتلة Orbitrap الذي تم ضبطه على دقة كتلة 35,000، والذي كان يتناوب بين MS وبيانات تعتمد على.
عمليات المسح باستخدام الاستبعاد الديناميكي. نطاق المسح لهذه الآلة شمل نسب الكتلة إلى الشحنة (
) من
.
لجميع التحليلات، تم تضمين عينة فارغة في كل عملية تشغيل، حيث تم استخدام استخراج أولي من الماء النقي للغاية لتحديد إشارة الشحن الأساسية التي تمر عبر مطياف الكتلة. تضمنت الضوابط الإيجابية معايير خارجية تتكون من عينات بلازما بشرية موصوفة جيدًا تم تشغيلها سابقًا على معدات الكروماتوغرافيا ومطياف الكتلة، بالإضافة إلى عينة مجمعة تتكون من كميات متساوية من كل عينة تجريبية. كانت الضوابط الثالثة تتكون من كوكتيل معيار داخلي يتكون من مستقلبات بتركيزات معروفة لن تتداخل مع تحليل المستقلبات الذاتية (أي، المستقلبات غير الموجودة في المصل). تضمنت الضوابط السلبية مقادير من المذيبات المستخدمة في عمليات استخراج العينات المختلفة. للتحكم في انحراف الكروماتوغرافيا، تم عشوائية إزاحة العينات عبر الكروماتوغراف، وتم توزيع عينات التحكم بشكل متناسب بين حقن العينات التجريبية.
استخراج البيانات، تحديد المركبات وقياس الكمية
تم استخراج بيانات الطيف الكتلي ومعالجتها باستخدام تقنيات مملوكة لشركة ميتابولون. باختصار، يتم تحديد قمم الطيف الكتلي كمواد من خلال مقارنة القمم بمكتبة داخلية تضم أكثر من 4500 معيار نقي ومجهولات متكررة (أي، المستقلبات التي تم التعرف عليها فقط إلى “
تم تحديد المركب بناءً على تطابقات مؤشر الاحتفاظ، وتطابق الكتلة
، وتقييم درجات MS/MS الأمامية والعكسية. لتحديد وفرة المستقلبات الخام، تم قياس المساحة تحت المنحنى لكل قمة بعد التحكم في اختلافات تيار مطياف الكتلة داخل الجولات وبين الجولات. تم حساب درجات إثراء المسار (PES) لمسارات التمثيل الغذائي المختارة باستخدام المعادلة التالية:
أين
” هو عدد المستقلبات الهامة في المسار الأيضي، “
” هو عدد المستقلبات المحددة في المسار، “
” هو عدد المستقلبات الهامة في المقارنة المعنية (مثل: الأصحاء مقابل مرضى الفشل الكلوي المبكر، الأصحاء مقابل مرضى الفشل الكلوي المتأخر، أو الفشل الكلوي المبكر مقابل الفشل الكلوي المتأخر) و ”
” هو العدد الإجمالي للمستقلبات في مجموعة البيانات.
التحليل الإحصائي
بالنسبة لكل من البيانات السريرية والمستقلبات في المصل، تم تصنيف القطط المصابة بالفشل الكلوي المزمن إلى فشل كلوي مبكر (المراحل 1 و 2) وفشل كلوي متأخر (المراحل 3 و 4) لغرض التحليل الإحصائي. تم مقارنة المتغيرات السريرية (معايير تحاليل الدم، الوزن، BCS، MCS، العمر) بين الأصحاء (
)، وقطط الفشل الكلوي المبكر (
)، وقطط الفشل الكلوي المتأخر (
) باستخدام إما تحليل التباين الأحادي أو اختبار كروسكال-واليس مع تصحيح توكي بعد الاختبار أو اختبار المقارنات المتعددة لدن، على التوالي. تم تأكيد الطبيعية باستخدام اختبار شابيرو-ويلك وتم إجراء تقييم لمخططات QQ. تم إجراء التحليل الإحصائي في GraphPad Prism (الإصدار 9.5.1، GraphPad Software LLC، بوسطن، ماساتشوستس).
تم إجراء التحليل الإحصائي والتصور لبيانات المستقلبات باستخدام Metaboanalyst 5.0 و GraphPad Prism
. تم تطبيع جميع المستقلبات داخل Metaboanalyst عن طريق قسمة كل وفرة خام على الوسيط الخام لذلك المستقلب عبر مجموعة البيانات، تليها تحويل اللوغاريتم الأساسي 10. تم إجراء تحليل وفرة الاختلاف الذي يقارن الوفرات الطبيعية بين القطط الصحية (
)، وقطط الفشل الكلوي المبكر (
)، وقطط الفشل الكلوي المتأخر (
) في GraphPad Prism باستخدام اختبار كروسكال-واليس مع تعديل بنجاميني-هوشبرغ للمقارنات المتعددة. تم إجراء تحليل التجميع الهرمي غير المراقب (HCA) في Metaboanalyst باستخدام أعلى 50 مستقلبًا تمييزًا (أعلى أهمية متغيرة في درجات الإسقاط) من تحليل التمييز باستخدام أقل المربعات الجزئية (PLS-DA). تم إنشاء خرائط الحرارة في Metaboanalyst باستخدام درجات VIP من PLS-DA الناتجة عن البيانات الطبيعية مع جميع الميزات مقاسة تلقائيًا (أي، تمركز المتوسط ثم قسمتها على الانحراف المعياري لكل ميزة). تم حساب مسافات العينات باستخدام المسافات الإقليدية وتم تجميعها باستخدام خوارزميات وورد. لتقييم أداء نموذج PLS-DA، تم حساب نسبة دقة نموذج PLS-DA في تصنيف القطط بشكل صحيح إلى المجموعات الصحيحة من المرضى
باستخدام أكبر خمسة مكونات تساهم في اختلافات العينات. تم حساب كل من Q2 (دقة توقع النموذج) و (جودة ملاءمة النموذج) باستخدام إعدادات Metaboanalyst الافتراضية، التي استخدمت أكبر خمسة مكونات ونهج التحقق المتقاطع بخمسة أضعاف لتقدير هذه القيم. تم توفير كود R لتحليل Metaboanalyst والتصور في الملف التكميلي 4. تم استخدام ارتباطات سبيرمان لتقييم العلاقات بين معايير البيانات السريرية التي كانت متغيرات مستمرة أو مرتبة، وكذلك بين المتغيرات السريرية ذات الاهتمام (الكرياتينين، MCS). تم استخدام ارتباطات بيرسون لتقييم العلاقات بين المتغيرات الثنائية (نعم/لا). تم تعريف قوة الارتباط بناءً على المعايير التالية
: ارتباط ضعيف جدًا (
)، ارتباط ضعيف (
)، ارتباط معتدل (
)، ارتباط قوي (
)، وارتباط قوي جدًا (
). بالنسبة لجميع التحليلات، تم تعريف الدلالة على أنها
بعد أي تعديلات بعد الاختبار للمقارنات المتعددة حيثما تم الإشارة. بالنسبة لجميع التحليلات الإحصائية، تم تسجيل قيم p – أقل من
كـ
.
باستخدام أكبر خمسة مكونات تساهم في اختلافات العينات. تم حساب كل من Q2 (دقة توقع النموذج) و
توفر البيانات
بيانات المستقلبات و/أو البيانات السريرية التي تم تحليلها في هذه الدراسة متاحة عند الطلب وتحت تقدير المؤلف المراسل.
تاريخ الاستلام: 1 نوفمبر 2023؛ تاريخ القبول: 21 فبراير 2024
تم النشر عبر الإنترنت: 27 فبراير 2024
تم النشر عبر الإنترنت: 27 فبراير 2024
References
- Marino, C. L. et al. Prevalence and classification of chronic kidney disease in cats randomly selected from four age groups and in cats recruited for degenerative joint disease studies. J. Feline Med. Surg. 16(6), 465-472 (2014).
- O’Neill, D. G. et al. Longevity and mortality of cats attending primary care veterinary practices in England. J. Feline Med. Surg. 17(2), 125-133 (2015).
- IRIS Staging of CKD. http://www.iris-kidney.com/pdf/2_IRIS_Staging_of_CKD_2023.pdf. Accessed 24 Sep 2023.
- Bradley, R. et al. Predicting early risk of chronic kidney disease in cats using routine clinical laboratory tests and machine learning. J. Vet. Intern. Med. 33(6), 2644-2656 (2019).
- Hall, J. A. et al. Positive impact of nutritional interventions on serum symmetric dimethylarginine and creatinine concentrations in client-owned geriatric cats. PLoS ONE 11(4), e0153654 (2016).
- Perini-Perera, S. et al. Evaluation of chronic kidney disease progression in dogs with therapeutic management of risk factors. Front. Vet. Sci. 8, 621084 (2021).
- Benito, S. et al. Untargeted metabolomics for plasma biomarker discovery for early chronic kidney disease diagnosis in pediatric patients using LC-QTOF-MS. Analyst 143(18), 4448-4458 (2018).
- Hall, J. A., Jewell, D. E. & Ephraim, E. Changes in the fecal metabolome are associated with feeding fiber not health status in cats with chronic kidney disease. Metabolites 10(7), 281 (2020).
- Hall, J. A., Jewell, D. E. & Ephraim, E. Feeding cats with chronic kidney disease food supplemented with betaine and prebiotics increases total body mass and reduces uremic toxins. PLoS ONE 17(5), e0268624 (2022).
- Jewell, D. E. et al. Metabolomic changes in cats with renal disease and calcium oxalate uroliths. Metabolomics 18(8), 68 (2022).
- Ruberti, B. et al. Serum metabolites characterization produced by cats CKD affected, at the 1 and 2 stages, before and after renal diet. Metabolites 13(1), 43 (2022).
- Kim, Y. et al. In-depth characterisation of the urine metabolome in cats with and without urinary tract diseases. Metabolomics 18(4), 19 (2022).
- AAFCO methods for substantiating nutritional adequacy of dog and cat foods, 13-24 (2023).
- Summers, S. C. et al. Serum and fecal amino acid profiles in cats with chronic kidney disease. Vet. Sci. 9(2), 84 (2022).
- Liao, Y.-L., Chou, C.-C. & Lee, Y.-J. The association of indoxyl sulfate with fibroblast growth factor-23 in cats with chronic kidney disease. J. Vet. Intern. Med. 33(2), 686-693 (2019).
- Chen, C. N. et al. Plasma indoxyl sulfate concentration predicts progression of chronic kidney disease in dogs and cats. Vet. J. 232, 33-39 (2018).
- Freeman, L. M. Cachexia and sarcopenia: Emerging syndromes of importance in dogs and cats. J. Vet. Intern. Med. 26(1), 3-17 (2012).
- Paepe, D. & Daminet, S. Feline CKD: Diagnosis, staging and screening: What is recommended?. J. Feline Med. Surg. 15(Suppl 1), 15-27 (2013).
- Kongtasai, T. et al. Renal biomarkers in cats: A review of the current status in chronic kidney disease. J. Vet. Intern. Med. 36(2), 379-396 (2022).
- Peterson, M. E. et al. Evaluation of serum symmetric dimethylarginine concentration as a marker for masked chronic kidney disease in cats with hyperthyroidism. J. Vet. Intern. Med. 32(1), 295-304 (2018).
- Sagawa, M. et al. Plasma creatinine levels and food creatinine contents in cats. J. Jpn. Vet. Med. Assoc. 48(11), 871-874 (1995).
- Mack, R. M. et al. Longitudinal evaluation of symmetric dimethylarginine and concordance of kidney biomarkers in cats and dogs. Vet. J. 276, 105732 (2021).
- Hall, J. A. et al. Comparison of serum concentrations of symmetric dimethylarginine and creatinine as kidney function biomarkers in cats with chronic kidney disease. J. Vet. Intern. Med. 28(6), 1676-1683 (2014).
- Paltrinieri, S. et al. Serum symmetric dimethylarginine and creatinine in Birman cats compared with cats of other breeds. J. Feline Med. Surg. 20(10), 905-912 (2017).
- Reynolds, B. S. & Lefebvre, H. P. Feline CKD: Pathophysiology and risk factors: What do we know?. J. Feline Med. Surg. 15(1 suppl), 3-14 (2013).
- Martino-Costa, A. L. et al. Renal interstitial lipid accumulation in cats with chronic kidney disease. J. Comp. Pathol. 157(2-3), 75-79 (2017).
- Behling-Kelly, E. Serum lipoprotein changes in dogs with renal disease. J. Vet. Intern. Med. 28(6), 1692-1698 (2014).
- Gai, Z. et al. Lipid accumulation and chronic kidney disease. Nutrients 11(4), 722 (2019).
- Magliocca, G. et al. Short-chain fatty acids in chronic kidney disease: Focus on inflammation and oxidative stress regulation. Int. J. Mol. Sci. 23(10), 5354 (2022).
- Simic, P. et al. Glycerol-3-phosphate is an FGF23 regulator derived from the injured kidney. J. Clin. Invest. 130(3), 1513-1526 (2020).
- Summers, S. C. et al. The fecal microbiome and serum concentrations of indoxyl sulfate and p-cresol sulfate in cats with chronic kidney disease. J. Vet. Intern. Med. 33(2), 662-669 (2019).
- Hall, J. A. et al. Cats with IRIS stage 1 and 2 chronic kidney disease maintain body weight and lean muscle mass when fed food having increased caloric density, and enhanced concentrations of carnitine and essential amino acids. Vet. Rec. 184(6), 190-190 (2019).
- Freeman, L. M. et al. Evaluation of weight loss over time in cats with chronic kidney disease. J. Vet. Intern. Med. 30(5), 1661-1666 (2016).
- Brusach, K. et al. Measurement of Ghrelin as a marker of appetite dysregulation in cats with and without chronic kidney disease. Vet. Sci. 10(7), 464 (2023).
- Casperson, S. L. et al. Leucine supplementation chronically improves muscle protein synthesis in older adults consuming the RDA for protein. Clin. Nutr. 31(4), 512-519 (2012).
- Hammer, V. A., Rogers, Q. R. & Freedland, R. A. Threonine is catabolized by L-threonine 3-dehydrogenase and threonine dehydratase in hepatocytes from domestic cats (Felis domestica). J. Nutr. 126(9), 2218-2226 (1996).
- Tang, Q. et al. Physiological functions of threonine in animals: beyond nutrition metabolism. Nutrients 13(8), 2592 (2021).
- Duranton, F. et al. Normal and pathologic concentrations of uremic toxins. J. Am. Soc. Nephrol. 23(7), 1258-1270 (2012).
- Lim, Y. J. et al. Uremic toxins in the progression of chronic kidney disease and cardiovascular disease: Mechanisms and therapeutic targets. Toxins 13(2), 142 (2021).
- Bhargava, S. et al. Homeostasis in the gut microbiota in chronic kidney disease. Toxins 14(10), 648 (2022).
- Cheng, F. P. et al. Detection of indoxyl sulfate levels in dogs and cats suffering from naturally occurring kidney diseases. Vet. J. 205(3), 399-403 (2015).
- Mertowska, P. et al. A link between chronic kidney disease and gut microbiota in immunological and nutritional aspects. Nutrients 13(10), 3637 (2021).
- Hall, J. A. et al. Relationship between lean body mass and serum renal biomarkers in healthy dogs. J. Vet. Intern. Med. 29(3), 808-814 (2015).
- Muscle Condition Score. https://wsava.org/wp-content/uploads/2020/01/Muscle-Condition-Score-Chart-for-Dogs.pdf. Accessed 6 Aug 2023.
- Body Condition Score. https://wsava.org/wp-content/uploads/2020/08/Body-Condition-Score-cat-updated-August-2020.pdf. Accessed 6 Aug 2023.
- Pang, Z. et al. Using MetaboAnalyst 5.0 for LC-HRMS spectra processing, multi-omics integration and covariate adjustment of global metabolomics data. Nat. Protoc. 17(8), 1735-1761 (2022).
- Krasztel, M. M. et al. Correlation between metabolomic profile constituents and feline pancreatic lipase immunoreactivity. J. Vet. Intern. Med. 36(2), 473-481 (2022).
الشكر والتقدير
نود أن نشكر هيئة التدريس والموظفين والطلاب في مستشفى جيمس إل. فوس لتعليم الطب البيطري بجامعة ولاية كولورادو ومستشفى تعليم الطب البيطري بجامعة ولاية أوريغون الذين ساعدوا في تجنيد المالكين وإدارة المرضى وجمع العينات. نشكر أيضًا الملاك وقططهم الذين وافقوا على المشاركة.
مساهمات المؤلفين
تم تأمين تمويل هذه الدراسة بواسطة S.S. و J.Q. تم تصور هذه الدراسة بواسطة J.Q. و S.S. تم جمع عينات سريرية وبيانات المرضى بواسطة J.Q. و S.S. تم تنسيق وتحليل البيانات السريرية بواسطة S.S.، و N.J.N. لبيانات المستقلبات. ساهمت N.J.N، S.S.، J.A.W. و J.Q. في تفسير البيانات. كانت N.J.N. و S.S. و J.A.W. مسؤولين عن إنشاء الأشكال والجداول. تم الانتهاء من كتابة المخطوطة بواسطة N.J.N. و S.S. تم مراجعة وتحرير المخطوطة بواسطة N.J.N. و S.S. و J.A.W. و J.Q. راجع جميع المؤلفين وأيدوا المخطوطة النهائية للنشر.
المصالح المتنافسة
ليس لدى N.J.N. أي مصالح متنافسة للإعلان. S.S. هي مستشارة بحثية لشركة IDEXX Laboratories، Inc. ولديها أعمال سابقة ممولة من Nestle Purina و IDEXX Laboratories، Inc. لقد تلقت مكافأة متحدث من Royal Canin و IDEXX Laboratories، Inc. و Boehringer-Ingelheim. تم تقديم النتائج الأولية من هذا التحليل في شكل ملخص في المنتدى السنوي لعام 2022 لكلية الطب البيطري الأمريكية للطب الباطني، الذي عقد في أوستن، تكساس (ePoster NU30: تحليل المستقلبات غير المستهدفة للمصل من القطط المصابة بمرض الكلى المزمن). تم تمويل عمل J.Q. من قبل مؤسسة EveryCat Health، ومؤسسة موريس للحيوانات، وNestle Purina، وTrivium Vet، وZoetis. لقد تلقت تعويضًا كعضو في المجلس الاستشاري العلمي لشركة Nestle Purina وElanco وZoetis. كما أنها استشارت أو خدمت كقائد رأي رئيسي لشركة Boehringer Ingelheim وDechra وElanco وGallant وHeska وHill’s وIDEXX وNestle Purina وRoyal Canin وSN Biomedical وVetoquinol وZoetis وتلقت تعويضًا. تم تمويل مختبر J.A.W. من قبل مؤسسة EveryCat Health، ومؤسسة موريس للحيوانات، ومؤسسة صحة الكلاب التابعة لنادي الكلاب الأمريكي، وNestle Purina، وإدارة الغذاء والدواء، والمعاهد الوطنية للصحة. لقد تلقت مكافآت متحدث من Royal Canin وNestle Purina وDVM360.
معلومات إضافية
المعلومات التكميلية تحتوي النسخة عبر الإنترنت على مواد تكميلية متاحة على https://doi.org/ 10.1038/s41598-024-55249-5.
يجب توجيه المراسلات والطلبات للحصول على المواد إلى J.A.W.
معلومات إعادة الطبع والتصاريح متاحة على www.nature.com/reprints.
ملاحظة الناشر تظل Springer Nature محايدة فيما يتعلق بالمطالبات القضائية في الخرائط المنشورة والانتماءات المؤسسية.
معلومات إعادة الطبع والتصاريح متاحة على www.nature.com/reprints.
ملاحظة الناشر تظل Springer Nature محايدة فيما يتعلق بالمطالبات القضائية في الخرائط المنشورة والانتماءات المؤسسية.
الوصول المفتوح هذه المقالة مرخصة بموجب رخصة المشاع الإبداعي للاستخدام والمشاركة والتكيف والتوزيع وإعادة الإنتاج في أي وسيلة أو شكل، طالما أنك تعطي الائتمان المناسب للمؤلفين الأصليين والمصدر، وتوفر رابطًا لرخصة المشاع الإبداعي، وتوضح ما إذا كانت هناك تغييرات قد تم إجراؤها. الصور أو المواد الأخرى من طرف ثالث في هذه المقالة مشمولة في رخصة المشاع الإبداعي للمقالة، ما لم يتم الإشارة إلى خلاف ذلك في سطر ائتمان للمادة. إذا لم تكن المادة مشمولة في رخصة المشاع الإبداعي للمقالة واستخدامك المقصود غير مسموح به بموجب اللوائح القانونية أو يتجاوز الاستخدام المسموح به، ستحتاج إلى الحصول على إذن مباشرة من صاحب حقوق الطبع والنشر. لعرض نسخة من هذه الرخصة، قم بزيارة http://creativecommons.org/licenses/by/4.0/.
© المؤلفون 2024
© المؤلفون 2024
قسم العلوم السريرية البيطرية، كلية الطب البيطري، جامعة ولاية أوهايو، كولومبوس، أوهايو 43210، الولايات المتحدة الأمريكية. قسم العلوم السريرية، كلية كارلسون للطب البيطري، جامعة ولاية أوريغون، كورفاليس، أوريغون 97331، الولايات المتحدة الأمريكية. ساهم هؤلاء المؤلفون بالتساوي: نورة جان نيلون وستاسي سامرز. البريد الإلكتروني: Winston.210@osu.edu
Journal: Scientific Reports, Volume: 14, Issue: 1
DOI: https://doi.org/10.1038/s41598-024-55249-5
PMID: https://pubmed.ncbi.nlm.nih.gov/38413739
Publication Date: 2024-02-27
DOI: https://doi.org/10.1038/s41598-024-55249-5
PMID: https://pubmed.ncbi.nlm.nih.gov/38413739
Publication Date: 2024-02-27
OPEN
Untargeted metabolomic profiling of serum from client-owned cats with early and late-stage chronic kidney disease
Evaluation of the metabolome could discover novel biomarkers of disease. To date, characterization of the serum metabolome of client-owned cats with chronic kidney disease (CKD), which shares numerous pathophysiological similarities to human CKD, has not been reported. CKD is a leading cause of feline morbidity and mortality, which can be lessened with early detection and appropriate treatment. Consequently, there is an urgent need for early-CKD biomarkers. The goal of this crosssectional, prospective study was to characterize the global, non-targeted serum metabolome of cats with early versus late-stage CKD compared to healthy cats. Analysis revealed distinct separation of the serum metabolome between healthy cats, early-stage and late-stage CKD. Differentially abundant lipid and amino acid metabolites were the primary contributors to these differences and included metabolites central to the metabolism of fatty acids, essential amino acids and uremic toxins. Correlation of multiple lipid and amino acid metabolites with clinical metadata important to CKD monitoring and patient treatment (e.g. creatinine, muscle condition score) further illustrates the relevance of exploring these metabolite classes further for their capacity to serve as biomarkers of early CKD detection in both feline and human populations.
| Abbreviations | |
| BDP | Bilirubin degradation product |
| BCS | Body condition score |
| BCAA | Branched chain amino acid |
| BUN | Blood urea nitrogen |
| CKD | Chronic kidney disease |
| FA | Fatty acid |
| FS | Female, spayed |
| GFR | Glomerular filtration rate |
| GPC | Glycerophosphorylcholine |
| GPE | Glycerophosphorylethanolamine |
| GPI | Glycerophosphorylinositol |
| HCA | Hierarchical clustering analysis |
| HODE | Hydroxyoctadecadienoic acid |
| IRIS | International Renal Interest Society |
| MC | Male, castrated |
| m/z | Mass-to-charge ratio |
| MCFA | Medium-chain fatty acid |
| MUFA | Mono-unsaturated fatty acid |
| MCS | Muscle condition score |
| PLS-DA | Partial least squares discriminant analysis |
| PES | Pathway enrichment score |
| SCFA | Short-chain fatty acid |
| SDMA | Symmetric dimethylarginine |
| TMAO | Trimethylamine N-oxide |
| USG | Urine specific gravity |
| UPLC-MS/MS | Ultra-high performance liquid chromatography tandem mass-spectrometry |
Chronic kidney disease (CKD) is a common medical condition of cats associated with significant physiological and metabolic disturbances, including cachexia, malnutrition, deranged amino acid metabolism, and oxidative stress
. The International Renal Interest Society (IRIS) recommends staging based on disease severity (Stage 1-4) using surrogate markers of glomerular filtration rate (i.e. creatinine and symmetric dimethylarginine [SDMA])
. Unfortunately, caregivers of early-stage CKD cats may not detect subtle clinical signs, such as weight loss and polyuria, and cats can have only slight changes on routine laboratory tests
. Therefore, recognizing CKD in early disease stages (Stage 1 and 2), before overt clinical signs of advanced disease develop, poses a challenge for veterinarians. Timely recognition would permit more frequent monitoring and treatment earlier in the course of disease, which may slow disease progression and allow detection of disease sequelae prior to developing complications
.
Metabolites are made and used during normal cellular functions, and disease causes disruption of biochemical pathways creating specific metabolomic profiles. These profiles can be discerned by characterizing the metabolome in a biological matrix using untargeted metabolomics and comparing healthy versus diseased samples. This method has been extensively performed in people with CKD and was successfully used for biomarker discovery for early diagnosis and etiology identification
. Various feline untargeted metabolomics studies have been performed
. The studies used plasma
, serum
, feces
, and urine
collected from cats with early-stage CKD. Most studies used purpose-bred research cats
and examined dietary impacts on the metabolome
.
To date, no published veterinary studies compare metabolite profiles between client-owned early-stage and late-stage CKD in cats. The ability to identify metabolic drivers of early- versus late-stage CKD, despite variable environmental conditions (e.g. diet, medical treatments, household) and pathophysiological conditions (naturally-occurring CKD with and without comorbidities including chronic enteropathy, cardiomyopathy, etc.), is imperative for biomarkers to be applied successfully to diverse patient populations. The objective of this study was to identify disease- and stage-specific metabolites to improve understanding of CKD pathophysiology, particularly in early-stage disease, and thereby suggest potential therapeutic targets and biomarkers of earlystage CKD. To better define metabolic disturbances in CKD cats, we applied untargeted serum metabolomics to compare client-owned cats with early- and late-stage CKD and healthy cats.
Results
Clinical evaluation of healthy, early-stage and late-stage CKD cats
Of the 56 cats enrolled in this study, 25 healthy cats (median, nine years; range, 1-14 years) and 30 CKD cats (median, 14 years; range,
years) were included in analyses. Among CKD cats, 17 had early-stage CKD (three cats IRIS CKD Stage 1; 14 cats IRIS CKD Stage 2), and 13 cats had late-stage CKD (nine IRIS CKD Stage 3; four IRIS CKD Stage 4). One cat with Stage 4 CKD and severe azotemia (creatinine
) was classified as an outlier upon analysis of clinical and metabolomic datasets, and it was removed from all analyses. All 55 cats included in analyses were neutered. Healthy cats ( 14 male, 11 female) were domestic short-, medium-, or long-haired cats (
), Siamese (
), or Himalayan (
). All CKD cats ( 17 male, 13 female) were short-, medium-, or long-haired cats. All cats except for two with CKD (one cat with early-stage and one with late-stage CKD), were fasted for at least 10 h prior to sample collection.
Physical examination and laboratory parameters for healthy, CKD Stage 1 and 2, and CKD Stage 3 and 4 cats are presented in Table 1 and demographic information for individual cats is provided in Supplementary File 1. The majority of healthy cats (
) had normal muscle mass;
(
cats) had mild muscle loss and
(
cats) had moderate muscle loss. All Stage 1 and 2 CKD cats, except one had either mild (
), or moderate (
) muscle loss. Similarly, based on recorded MCS, all cats with Stage 1 and 2 except one had either mild (
), moderate (
), or severe (
) muscle loss. Most cats, except two healthy and two CKD cats, had serum thyroxine concentrations measured, and all were below or within the laboratory reference interval. No cats had a history of current or past hyperthyroidism. Most cats (23/25 healthy; 29/31 CKD) had a systolic blood pressure between
with a normal direct fundic examination. One healthy cat and three CKD cats had a blood pressure between 160 and 180 mmHg with a normal fundic examination. Fecal sugar centrifugation was performed in
cats and all were negative for parasite ova. A urine protein to creatinine (UPC) ratio was performed in most healthy cats (
) and was normal (range,
). Most CKD cats had a UPC ratio performed (
cats) and only two cats had proteinuria (UPC ratio, 0.7 and 1.4). Fourteen CKD cats had renal imaging to assist with staging, which involved ultrasound for all but one cat that had abdominal radiographs. Thirteen CKD cats had findings consistent with degenerative renal disease and one Stage 2 cat (creatinine
and USG 1.018) had normal kidneys.
Most healthy cats were not receiving medications, except for topical flea and heartworm preventative (selamectin) in three cats and oral glucosamine in one cat. Eight CKD cats were on one or more medications or supplements, including aluminum hydroxide (two cats), potassium gluconate (two cats), probiotic (five cats), polyethylene glycol 3350 (two cats), topical selamectin and oral glucosamine (one cat each). All healthy cats were fed a commercial diet formulated to meet the Association of American Feed Control Officials Nutritional Profile for adult feline maintenance
. For CKD cats, 16 were fed one or more commercial renal therapeutic diets, ten were fed an over-the-counter diet marketed for adult or senior cats, and two were fed a combination of a renal therapeutic diet and an over-the-counter adult maintenance diet. The diet was unknown in two CKD cats.
| Variable | Healthy (
|
Early-stage CKD (Stages 1 and 2) (
|
Late-stage CKD (Stages 3 and 4) (
|
| Sex | 14 MC, 11 FS | 9 MC; 8 FS | 8 MC; 5 FS |
| Age (years) | 9 (1-14) | 14 (4-17) | 13 (3-19) |
| Body weight (kg) | 4.6 (2.8-8.1) | 3.9 (3.2-6.4) | 4.3 (2.4-5.8) |
| BCS (1-9) | 5 (4-9) | 5 (4-7) | 5 (2-6) |
| MCS (0-3)* | 0 (0-2)
|
|
|
| Hematocrit (%) |
|
35 (31-43) | 36 (23-42)
|
| Creatinine (mg/dL) | 1.4 (1.1-2.2)
|
|
3.7 (3.1-7.4)
|
| BUN (mg/dL) | 22 (18-31)
|
|
55 (42-90)
|
| Total Calcium (mg/dL) |
|
10.1 (9.2-14.4) |
|
| Phosphorus (mg/dL) | 3.7 (2.9-4.6)
|
3.9 (2.3-6.2) |
|
| Potassium (mEq/L) | 4.2 (3.5-5.2) | 4.7 (3.7-5.3) | 4.6 (2.4-5.1) |
| Albumin (g/dL) | 3.7 (2.9-4.4) | 3.5 (3.2-4.0) | 3.6 (3.2-3.9) |
| USG | 1.049 (1.038-1.073)
|
1.018 (1.010-1.039)
|
1.016 (1.009-1.025)
|
Table 1. Patient demographics, physical examination, and laboratory variables. Numbers outside of parentheses represent the median value for each patient group, and numbers inside of parentheses show the range. For each variable, columns within each row bearing a different superscript letter were statistically different from each other (
). BCS body condition score,
blood urea nitrogen,
chronic kidney disease,
female spayed,
male castrated,
muscle condition score, USG urine specific gravity. *MCS score:
normal muscle mass;
mild muscle loss;
moderate muscle loss;
severe muscle loss.
Healthy, early-stage CKD and late-stage CKD cats have distinct serum metabolomes
The global, non-targeted serum metabolome was evaluated in 55 cats. Table 2 shows the distribution of chemical classes, including numbers of differentially abundant metabolites when comparing the three groups using a Kruskal-Wallis test with Benjamini-Hochberg adjusted p-values. Supplementary File 2 provides fold differences and pairwise p-values for all differentially abundant metabolites between each group. Across all samples, 918 metabolites were detected and included 830 named and 88 unknown metabolites. Lipids represented
of the total metabolome and accounted for
of differentially abundant metabolites when comparing healthy versus early-stage CKD cats,
of differences between healthy and late-stage CKD cats, and
of differences between early- and late-stage CKD cats. Amino acids were the second most abundant class, comprising
of the metabolome, and they accounted for
of differentially abundant metabolites when comparing healthy and early-stage CKD cats,
of differentially abundant metabolites when comparing healthy and late-state CKD cats, and
of differentially abundant metabolites when comparing early- and late-stage CKD cats.
In addition to Kruskal-Wallis testing, partial least squares discriminant analysis (PLS-DA) was used as a second multivariate metric to identify metabolites that were important contributors to explaining differences
| Chemical class | Healthy versus early-stage CKD (Stages 1 and 2) | Healthy versus late-stage CKD (Stages 3 and 4) | Early-stage (Stages 1 and 2) versus latestage CKD (Stages 3 and 4) |
| Amino acids (206) | 62 (
|
100 (
|
55 (
|
| Peptides (36) |
|
9 (
|
4 (
|
| Carbohydrates (22) | 5 (
|
10 (
|
5 (
|
| Vitamins and cofactors (30) | 13 (
|
16 (
|
5 (
|
| Energy metabolism (9) | 6 (
|
8 (
|
|
| Lipids (369) | 104 (
|
195 (
|
58 (
|
| Nucleotides (51) | 13 (
|
26 (
|
12 (
|
| Xenobiotics (100) | 12 (
|
29 (
|
17 (
|
| Unknown and partially characterized metabolites (95) | 23 (
|
44 (
|
22 (
|
| Total (918) | 240 (
|
437 (
|
180 (
|
Table 2. Differentially abundant metabolites in healthy cats and cats with early- versus late-stage chronic kidney disease. Parentheses next to chemical class indicates total number of identified metabolites. For each comparison, numbers refer to the total number of differentially abundant metabolites (
) when comparing each pair of treatments. Numbers in parentheses specify how many of these differentially abundant metabolites were increased (
) in the first group relative to the second group and decreased (
) in the first group relative to the second group. Statistical significances are based on Kruskal-Wallis testing of medianscaled log-transformed metabolite abundances, and significance was defined as
following BenjaminiHochberg posthoc analysis. CKD chronic kidney disease.
between healthy cats, those with early-stage CKD, and those with late-stage CKD. The PLS-DA model showed clear separation when comparing metabolite profiles of healthy cats to those with early-stage CKD and late-stage CKD, with
and
of metabolome differences between patient groups explained by components 1 and 2 respectively (Fig. 1A). This full PLS-DA model comparing healthy versus early-stage CKD versus late-stage CKD cats had a predictive accuracy of 0.709 , a Q2 value of 0.39 and an
value of 0.39 . Further separation of early-stage CKD versus late-state CKD cats was additionally observed, with
and
of metabolome differences explained by components 1 and 2 respectively (Fig. 1B). To assess major metabolite contributors to differences between healthy, early-stage CKD, and late-stage CKD cats, PLS-DA with hierarchical clustering analysis (HCA) (Fig. 1C) was used to identify metabolites that most readily discriminated between the three patient groups. Clear separation between all three groups was observed when the top 50 most discriminating PLS-DA ranked metabolites were included in the HCA projection (Fig. 1C). These metabolites included 17 unknown metabolites, 12 lipids, eight amino acids, five xenobiotics, three nucleotides, three vitamins/cofactors, one carbohydrate, and one energy metabolite.
Lipid metabolism is a key driver of metabolome differences between healthy, early-stage CKD and late-stage CKD cats
Lipids, which comprised most of the serum metabolome in healthy, early-stage, and late-stage CKD cats, were examined further to identify the metabolic pathways and metabolites contributing to the largest differences between disease states (Fig. 2). Given the diversity of lipids and metabolic pathways within this chemical class, pathway enrichment scores (PES) were used to identify key lipid pathways and metabolites contributing to differences between patient groups. When comparing healthy and early-stage CKD cats, 26 pathways were identified as significant contributors to metabolite differences (Fig. 2A). Among these metabolic pathways, fatty acid (FA) (amino and shortchain fatty acid [SCFA]) and lactosylceramide metabolism each had a PES of 3.76 , which was the highest PES observed between these two patient groups. When ranking lipid metabolites by their magnitude of fold difference between healthy and early-stage CKD cats, the FA metabolites 2-aminooctanoate (1.73-fold decrease in early-stage CKD versus healthy,
), butyrate/isobutyrate ( 2.05 -fold decrease in early-stage CKD versus healthy,
) and valerate ( 0.34 -fold decrease in early-stage CKD versus healthy,
E-4) were among the top 20 most differentially abundant lipid metabolites between healthy and early-stage CKD cats (Fig. 2B). Of note, the phosphatidylinositol metabolism (PES 2.68) metabolite 1-palmitoyl-2-linoleoyl-GPI was 0.0069 -fold decreased in early-stage CKD versus healthy cats (
).
In healthy versus late-stage CKD cats, 31 lipid metabolic pathways were significant contributors to metabolome differences. Similar to healthy versus early-stage CKD cats, FA metabolic pathways (acyl carnitine, amino, short-chain) were also significant contributors to differences among healthy versus late-stage CKD cats (all PES 2.44). Plasmalogen and glycerolipid metabolism (both PES 2.44) and branched chain FA metabolism (PES 1.22) further contributed several of the highest-magnitude differentially abundant metabolites for healthy versus latestage CKD cats (Fig. 2A). These metabolites included the glycerolipid glycerol-3-phosphate (57.55 fold-decrease in late-stage CKD versus healthy cats,
), the branched fatty acid ( 16 or 17 )-methylstearate ( 123.40 -fold decrease in late-stage CKD versus healthy,
), the amino fatty acid 2 -aminoheptanoate ( 0.26 -fold decrease in late-stage CKD versus healthy,
), and the plasmalogen 1-(1-enyl-palmitoyl)-2-oleoyl-GPE ( 0.024 fold decrease in late-stage CKD versus healthy,
) (Fig. 2C).
When comparing early-stage CKD versus late-stage CKD cats, 14 lipid metabolic pathways were significant contributors to metabolome differences. FA metabolic pathways accounted for several of these pathways and included acyl carnitine and dicarboxylate FA (PES 3.53), acyl choline (PES 2.94), and SCFA metabolism (PES 2.94 (Fig. 2A). Among the most differentially abundant lipid metabolites within these pathways included the acyl carnitine and dicarboxylate metabolite pimeloylcarnitine/3-methyladipoylcarnitine (2.77-fold increase in early-stage CKD versus late-stage CKD,
), the acyl choline metabolite oleoylcholine (2.27-fold decrease in late-stage CKD versus early-stage CKD,
), and the short-chain FA metabolite valerate ( 2.49 -fold decrease in late-stage CKD versus early-stage CKD,
) (Fig. 2D). The glycerolipid (PES 2.94) metabolite glycerol-3-phosphate was 656.88 -fold decreased in late-stage CKD cats relative to early-stage CKD cats (
) and it was the largest lipid fold difference among all lipids and group comparisons in the dataset.
Compared to healthy cats, derangements in serum amino acids are observed in early-stage and late-stage CKD cats
Amino acids were the second largest chemical class contributing to differences between healthy and CKD cats, including between early-stage CKD versus late-stage CKD cats. Considering the prevalence of cachexia and lean muscle loss in cats with
, differences in the 11 essential feline amino acids (EAA) were compared between groups (Fig. 3, Table 3). Five of the 11 EAAs were significantly decreased in both early-stage CKD and late-stage CKD cats versus healthy cats. This included arginine, histidine, phenylalanine, threonine, and tryptophan. Ten of the 11 EAAs were significantly decreased in late-stage CKD versus early-stage CKD. This included arginine, histidine, isoleucine, leucine, lysine, methionine, phenylalanine, threonine, tryptophan, and valine. None of the examined amino acids were significantly increased in late-stage CKD relative to early-stage CKD. One of the EAA, taurine, exhibited no differences between groups.
Uremic toxin metabolism differs between healthy versus CKD cats and when comparing early-stage versus late-stage CKD cats
Given the link between the gut microbiome and uremic toxins, differences in ten metabolites involved metabolism of major gut-derived uremic toxins were evaluated in Fig. 4. When comparing early-stage CKD and healthy cats, significant decreases were observed for tryptophan ( 0.96 -fold decrease,
), tyrosine ( 0.94 -fold decrease,

Figure 1. Disease stage distinctly differentiates the serum metabolome of healthy, early-stage CKD, and late-stage CKD cats. Partial least squares discriminant analysis (PLS-DA) projections of healthy cats, cats with early-stage CKD (Stages 1 and 2), and cats with late-stage CKD (Stages 3 and 4) (a) and cats with early-stage CKD versus late-stage CKD (b). Each circle represents the serum metabolome of one cat. Shaded ellipses surrounding each patient group represent
confidence intervals. Unsupervised hierarchical clustering analysis and heatmap of the 50 serum metabolites with the largest PLS-DA mean decrease accuracy scores (c). Each column represents one cat and each box represents one metabolite. Class boxes refer to the disease state of each cat, where green boxes indicate healthy cats, teal boxes represent early-stage CKD cats, and navy boxes represent late-stage CKD cats. Metabolite box colors reflect the normalized, scaled relative abundance of each metabolite when scaled across the dataset, where red boxes reflect an increased normalized abundance relative to the dataset median and blue boxes show metabolites with decreased normalized abundance relative to the dataset median. Branch points were calculated using Euclidean distances where longer branches indicate larger differences between cats. CKD Chronic kidney disease, FA Fatty acid. [1] and [2] in metabolite names are used to indicate isomers and
in names indicates metabolite identities were made using in-silico annotations.

Figure 2. Lipid metabolism is a key driver of serum metabolome differences between healthy, early-stage CKD and late-stage CKD cats. Pathway enrichment scores of lipid metabolic pathways comparing healthy cats, early-stage (Stages 1 and 2) and late-stage (Stages 3 and 4) cats (a). Dotted line at 1.0 shows metabolic pathways that were defined as meaningful contributors to patient group differences (pathway enrichment score of
in at least one patient group). Differentially abundant serum lipids with the 20 largest fold differences when comparing healthy cats versus early-stage CKD cats (b), healthy cats versus late-stage CKD cats (c) and earlystage CKD versus late-stage CKD cats (d). Significance was defined as
following Benjamini-Hochberg adjustments to a Kruskal-Wallis test comparing normalized, scaled abundances of each metabolite across the three patient groups. BCAA Branched-chain amino acid, CKD Chronic kidney disease, FA Fatty acid, GPC glycerophosphorylcholine, GPE glycerophosphorylethanolamine, GPI glycerophosphorylinositol, HODE Hydroxyoctadecadienoic acid, MCFA Medium-chain fatty acid, MUFA Mono-unsaturated fatty acid, SC Shortchain, SCFA Short-chain fatty acid. [1] and [2] in metabolite names are used to indicate isomers.

Figure 3. Cats with late-stage CKD exhibit decreased serum abundances of essential amino acids compared to healthy cats and those with early-stage CKD. Normalized, scaled abundances of 11 feline essential amino acids. Each circle represents one cat, where colors refer to patient groups: Green=Healthy cat; Teal=Early-stage CKD cat (Stages 1 and 2); Navy=Late-stage CKD cat (Stages 3 and 4). Dotted lines on each violin plot show the 25th, 50th (median) and 75th percentiles of normalized, scaled metabolite abundance distributions for each amino acid. Significance was defined as
following Benjamini-Hochberg adjustments to a Kruskal-Wallis test comparing normalized, scaled abundances of each metabolite across the three patient groups. CKD chronic kidney disease.
| Amino acid | Early-stage CKD (Stages 1 and 2) versus healthy | Late-stage CKD (Stages 3 and 4) versus healthy | Early-stage (Stages 1 and 2) versus late-stage CKD (Stages 3 and 4) |
| Arginine |
|
|
|
| Histidine |
|
|
|
| Isoleucine | 0.98 (0.38) |
|
|
| Leucine | 0.91 (0.25) |
|
|
| Lysine | 0.99 (0.47) |
|
|
| Methionine | 0.91 (0.36) |
|
|
| Phenylalanine |
|
|
|
| Taurine | 1.02 (0.36) | 0.98 (0.50) | 1.01 (0.50) |
| Threonine |
|
|
|
| Tryptophan |
|
|
|
| Valine | 0.91 (0.24) |
|
|
Table 3. Essential amino acid differences across healthy cats and cats with early-stage versus late-stage chronic kidney disease. For each comparison, numbers indicate the fold difference when comparing each group of cats, where fold differences were calculated by dividing the first group by the second group. Fold differences and statistical significances are based on Kruskal-Wallis testing of median-scaled log-transformed metabolite abundances, and significance was defined as
following Benjamini-Hochberg posthoc analysis. Italic numbers in parentheses represent the p -value for this test. Bold with
indicates that the amino acid metabolite was significantly increased in the first group relative to the second group. CKD chronic kidney disease.

Figure 4. Increased abundances of uremic toxins are present in the serum of cats with late-stage versus early-stage CKD and healthy cats. Normalized, scaled abundances of ten uremic toxins. Each circle represents one cat, where colors refer to patient groups: Green=Healthy cat; Teal=Early-stage CKD cat (Stages 1 and 2); Navy = Late-stage CKD cat (Stages 3 and 4). Dotted lines on each violin plot show the 25th, 50th (median) and 75th percentiles of normalized, scaled metabolite abundance distributions for each amino acid. Arrows between metabolites indicate their relationships to each other in uremic toxin metabolic pathways, where metabolites to the left of an arrow are upstream metabolites (precursors) to the metabolites on the right side of arrows. Significance was defined as
following Benjamini-Hochberg adjustments to a Kruskal-Wallis test comparing normalized, scaled abundances of each metabolite across the three patient groups. Figure created with BioRender.com. CKD chronic kidney disease.
uremic toxin trimethylamine N -oxide (TMAO), were observed when comparing early-stage CKD to healthy cats (1.17-fold increase,
) and in late-stage CKD versus healthy cats (1.21-fold increase,
).
Disease severity further impacted uremic toxin metabolism. Compared to early-stage CKD, late-stage CKD cats exhibited significant decreases in tryptophan ( 0.93 -fold decrease,
) and phenylalanine ( 0.95 -fold decrease,
) as well as significant increases in methyl indole-3-acetate (1.72-fold increase,
). Interestingly, the uremic toxin 3-indoxyl sulfate (also known as indoxyl-sulfate), which when increased in serum, has previously been reported as a marker of CKD progression
, did not achieve statistical significance when comparing between early-stage versus late-stage CKD (
).
Correlations between selected metabolites with creatinine and muscle condition score
Associations between the 110 metabolites assessed in Figs. 1, 2, 3 and 4 and selected clinical variables were further evaluated using Spearman and Pearson correlations (Table 4, Supplementary File 3). Given their roles in GFR estimation and muscle metabolism respectively
, metabolites strongly and moderately correlated with serum creatinine and MCS were examined further (Table 4). Creatinine and MCS were not evaluated in-tandem, as independent variables of a multivariate linear regression model, because they were not normally distributed across one or more of the patient groups being examined, they were significantly-correlated with each other (
), and because MCS is known to differentially impact serum creatinine values based on the extent of a patient’s muscle wasting
. Seven metabolites were strongly correlated with creatinine including the vitamin C metabolite gulonate (
), the nucleotides 4-ureidobutyrate (
) and orotidine (
), the unknown metabolite X-21283 (
), the dicarboxylate FA suberoylcarnitine (
), and the EAAs threonine (
) and phenylalanine (
). Eleven metabolites were significantly moderately correlated with MCS. These included the positively-correlated carbohydrate 1,5-anhydroglucitol (
), the dicarboxylate FA 3,4-dihydroxybutyrate (
), the uremic toxin trimethylamine N -oxide (
), the unknown metabolites X-25387 (
) and X-12730 (
), and the vitamin C metabolite gulonate (
). Metabolites moderately negatively correlated with MCS included the dicarboxylate FA octadecenedioate (
), the amino FA 2 -aminooctanoate (
,
), the branched FA ( 9 -or-10)-methylundecanoate (
), the EAA threonine (
), and the diacylglycerol linoleoyl-linolenoyl-glycerol (
).
Discussion
The purpose of this study was to compare the serum metabolome of client-owned cats that were healthy to those with naturally-occurring CKD to identify metabolites that readily distinguished between health and early-stage versus late-stage disease. This is the first published study that characterizes the serum metabolome in clientowned cats. While some conventional serum biomarkers, such as creatinine and SDMA, are well correlated with GFR and routinely used for CKD diagnosis and staging, there are limitations to their clinical use. Creatinine is affected by extra-renal disorders, including lean muscle mass, endocrinopathies, diet, and it can fall within normal reference intervals during early-stage CKD
. SDMA is a more sensitive marker of GFR than creatinine and is less affected by extra-renal disorders, however mild increases can occur in the absence of kidney disease
. There is growing interest in identifying biomarkers that are highly discriminative between CKD and other diseases and that distinguish early-stage CKD from both healthy and late-stage CKD cats. Early detection could reduce disease morbidity and improve survival by improving monitoring and allowing for earlier interventions prior to the development of overt clinical signs and complications. Additionally, little is known about metabolic disturbances that occur in cats with early-stage CKD, a time when clinical signs and laboratory abnormalities can be subtle. A better understanding of these disturbances could improve understanding of disease pathophysiology and support treatments to implement early in the disease to improve outcome. Serum is a routinely obtained sample used for feline health evaluations, as well as in CKD diagnosis and staging. With the expansion of high-throughput metabolomics in veterinary medicine and the capacity of this tool to elucidate molecular mechanisms of disease, analysis of the serum metabolome represents a feasible next step to advance feline early-stage CKD biomarker discovery.
This study examined 55 client-owned cats with a confirmed diagnosis of CKD at enrollment. The significant increases observed in serum BUN and creatinine (
when comparing healthy versus early-stage CKD, healthy versus late-stage CKD, and early-stage versus late-stage CKD) as well as shifts in serum phosphorus, serum total calcium, hematocrit, and MCS (
when comparing healthy versus either early-stage or latestage CKD) (Table 1) are similar to changes observed in feline CKD populations examined elsewhere
, supporting that this population is appropriately representative of client-owned cats with CKD. Within this population, distinct differences in the serum metabolome were observed when comparing healthy cats to those with earlystage and late-stage CKD (Fig. 1a,b). Similarly, Ruberti et al. showed distinct serum metabolomes between healthy and CKD Stage 1 and 2 cats, further supporting detectable metabolic disturbances in early-stage disease
. When comparing global metabolite differences between patient groups, lipid and amino acid metabolites contributed to the majority (
) of differentially abundant metabolites between healthy and early-stage CKD, healthy and late-stage CKD, as well as between early-stage and late-stage CKD (Table 2). The importance of both lipids and amino acids in discriminating between patient groups was additionally revealed via unsupervised HCA, which showed that lipids and amino acids contributed to the majority of the metabolites that most-readily separated healthy versus CKD cats as well as between early-stage and late-stage CKD cats (Fig. 1c). Collectively, these serum metabolome changes in lipids and amino acids could be potential therapeutic targets in the management of CKD, and these chemical classes merit further investigation for biomarker discovery.
| Chemical Class | Metabolic Pathway | Metabolite | Creatinine | MCS |
| Amino Acid | Alanine, Aspartate | N-carbamoyl-alanine | 0.54 (
|
0.47 (0.00033) |
| Glycine, Serine, Threonine | Threonine | -0.71 (
|
-0.51 (
|
|
| Guanidino, Acetamido | 1-methylguanidine | 0.66 (
|
0.35 (
|
|
| Guanidinosuccinate | 0.58 (
|
0.47 (
|
||
| Histidine | Histidine | -0.68 (
|
-0.34 (
|
|
| Leucine, Isoleucine, Valine | Isoleucine | -0.55 (
|
-0.25 (
|
|
| Leucine | -0.59 (
|
-0.28 (
|
||
| Valine | -0.54 (
|
-0.33 (
|
||
| Lysine | Lysine | -0.53 (
|
-0.10 (
|
|
| Methionine, Cysteine, S-Adenosyl-methionine, Taurine | Methionine | -0.54 (
|
-0.21 (
|
|
| S-methylcysteine | -0.57 (
|
-0.27 (
|
||
| Tyrosine | -0.63 (
|
-0.48 (
|
||
| Phenylalanine | Phenylalanine | -0.73 (
|
-0.44 (
|
|
| Tryptophan | Indoleacetylglutamine | 0.57 (
|
0.14 (
|
|
| Tryptophan | -0.69 ((
|
-0.47 (
|
||
| Urea Cycle, Arginine, Proline | Arginine | -0.67 (
|
-0.40 (
|
|
| Dimethylguanidino valeric acid | 0.62 ((
|
0.37 (
|
||
| Carbohydrate | Glycolysis, Gluconeogenesis, Pyruvate | 1,5-anhydroglucitol | 0.35 (
|
0.62 (
|
| Cofactor, Vitamin | Gulonate | 0.76 (
|
0.76 (
|
|
| Retinal | 0.61 (
|
0.34 (
|
||
| Pantothenate, Co-enzyme A | Pantoate | 0.51 (
|
0.32 (
|
|
| Lipid | Diacylglycerol | linoleoyl-linolenoyl-glycerol [1] | -0.45 (
|
-0.50 (
|
| Endocannabinoid | Azeloyltaurine | 0.58 (
|
0.21 (
|
|
| Oleoyl ethanolamide | -0.51 (
|
-0.28 (
|
||
| Fatty Acid, Acyl Choline | Arachidonoylcholine | -0.53 (
|
-0.10 (
|
|
| Dihomo-linolenoyl-choline | -0.53 (
|
-0.23 (
|
||
| Linoleoylcholine | -0.60 (
|
-0.31 (
|
||
| Oleoylcholine | -0.53 (
|
-0.24 (
|
||
| Fatty Acid, Amino | 2-aminooctanoate | -0.51 (
|
-0.53 (
|
|
| Fatty Acid, Branched | (9 or 10)-methylundecanoate | -0.51 (
|
-0.52 (
|
|
| Fatty Acid/BCAA | 2-methylmalonylcarnitine | 0.61 (
|
0.20 (
|
|
| Pimeloylcarnitine/3-methyladipoylcarnitine | 0.59 (
|
0.34 (
|
||
| Fatty Acid (Acyl Carnitine, Dicarboxylate) | Suberoylcarnitine | 0.71 (
|
0.26 (
|
|
| Fatty Acid, Dicarboxylate | Octadecenedioate | -0.68 (
|
-0.53 (
|
|
| Fatty Acid, Dihydroxy | 3,4-dihydroxybutyrate | 0.44 (
|
0.58 (
|
|
| Fatty Acid, Long Chain Polyunsaturated (n3 and n6) | Docosapentaenoate | -0.51 (
|
-0.063 (
|
|
| Fatty Acid, Long Chain Saturated | Arachidate | -0.60 (
|
-0.16 (
|
|
| Fatty Acid, Monohydroxy | 13-HODE + 9-HODE | -0.62 (
|
-0.37 (
|
|
| Phosphatidylcholine | Stearoylcholine | -0.51 (
|
-0.23 (
|
|
| Phosphatidylethanolamine | 1-palmitoyl-2-arcahidonoyl-GPE | -0.51 (
|
-0.14 (
|
|
| Phosphatidylinositol | 1-palmitoyl-2-arachidonoyl-GPI | -0.58 (
|
-0.28 (
|
|
| Phospholipid | Trimethylamine-N-oxide | 0.53 (
|
0.52 (
|
|
| Plasmalogen | 1-(1-enyl-palmitoyl)-2-oleoyl-GPE | -0.50 (
|
-0.36 (
|
|
| Nucleotide | Purine, Adenine | N6-succinyladenosine | 0.57 (
|
0.38 (
|
| Pyrimidine, Orotate | Orotidine | 0.72 (
|
0.44 (
|
|
| Pyrimidine, Uracil | 4-ureidobutyrate | 0.72 (
|
0.44 (
|
|
| Unknown | BDP, C17H18N2O4 (2) | -0.56 (
|
-0.25 (
|
|
| BDP, C17H18N2O4 (3) | -0.53 (
|
-0.25 (
|
||
| Branched/straight/cyclopropyl 10:1 FA (1) | -0.64 (
|
-0.47 (
|
||
| X-12117 | 0.50 (
|
0.37 (
|
||
| X-12730 | 0.42 (
|
0.51 (
|
||
| X-17351 | 0.55 (
|
0.18 (
|
||
| X-21283 | 0.71 (
|
0.25 (
|
||
| X-24935 | -0.55 (
|
-0.27 (
|
||
| X-24937 | -0.59 (
|
-0.30 (
|
||
| X-25387 | 0.43 (
|
0.51 (
|
Table 4. Correlations of selected metabolites with serum creatinine and muscle condition score. Metabolites selected for correlation analysis included the 110 metabolites identified as key patient differentiators from heatmap + HCA, essential amino acid, and uremic toxin analyses. For each comparison, values show the correlation coefficient and p-value (parentheses) from Spearman’s correlations tests. Significance was defined as
. Strongly correlated metabolites were defined as those that had a correlation coefficient between 0.70 and 0.89 , and moderately-correlated metabolites included those with a correlation coefficient between 0.50 and 0.69 . Box colors indicate the strength and direction of correlated metabolites where green shades indicate positive correlations (dark green
strongly correlated metabolites, light green
moderately-correlated metabolites), red shades indicate negative correlations (red = strongly correlated metabolites, pink=moderatelycorrelated metabolites), and beige boxes indicate metabolites that were weakly to poorly correlated with these variables. Bold and italics indicate metabolites that achieved statistical significance for the comparison of interest. BCAA branched-chain amino acid, BDP bilirubin degradation product, FA fatty acid, GPC glycerophosphorylcholine, GPE glycerophosphorylethanolamine, GPI glycerophosphorylinositol, HODE hydroxyoctadecadienoic acid, MCS muscle condition score.
Although the roles of lipid dysmetabolism in CKD onset and progression is an active area of investigation in human medicine, little is known in dogs and cats
. Dogs with CKD have dyslipidemia based on lipoprotein electrophoresis
. Data presented herein represents the first publication to highlight systemic lipid disturbances in client-owned cats with CKD. In this study, 36 lipid metabolic pathways were found to be altered when comparing between healthy and early-stage or late-stage CKD cats and between early and late-stage CKD cats (Fig. 2a-c), where the majority of these pathways are either directly or indirectly linked to FA metabolism. Despite differences in the major etiologies of CKD between humans and cats, accumulation of lipid in the renal cortex, particularly tubular epithelium, has been documented in both people and cats with
. In people, FA dysmetabolism is associated with increased FA deposition into the renal parenchyma, leading to increased inflammation and
progressive tubular destruction . In the current study, significant differences in the SCFAs butyrate, isobutyrate, and valerate distinguished early-stage CKD cats from healthy cats (Figs. 2a,c). In animals and people with CKD, increased butyrate, isobutyrate and valerate were associated with reduced systemic and renal pro-inflammatory cytokine production
, suggesting that decreased levels of these SCFAs may be early indicators of renal damage. The significant fold differences of these SCFAs when comparing healthy and early-stage CKD cats supports that these metabolites could be further examined for their capacities to identify cats with early-stage CKD and as a potential therapeutic target. Furthermore, the FA-derived metabolite glycerol-3-phosphate, which has been explored for its roles in dysregulated phosphorus metabolism and vitamin-D synthesis during renal damage
, was markedly decreased in late-stage CKD versus early-stage CKD, indicating that some serum FA biomarkers may decrease in abundance in the serum with advancing CKD stage, despite decreases to GFR. Although these lipid metabolites were only weakly-correlated with clinical and laboratory parameters (Supplementary File 3), the roles that lipid metabolism plays in CKD, especially in its progression from early-stage to late-stage disease, are largely unknown
, such that their levels in serum may increase or decrease via mechanisms that are not proportionate to conventional monitoring parameters. Similar to this study, robust changes to lipid metabolism were identified in the plasma metabolome of purpose-bred research cats by both Hall et al.and Jewel et al., where cats with CKD showed alterations to multiple fatty acids including phospholipids, ceramides, and dicarboxylates when compared to healthy cats
. In turn, both increases and decreases in serum lipid metabolites should be considered as biologically meaningful changes in cats with CKD.
progressive tubular destruction
EAAs are potential diagnostic and therapeutic biomarkers in CKD as they are easily measured and uniquely modified in CKD cats. Understanding the interrelationships between CKD and amino acid dysmetabolism is a second area of active investigation within veterinary medicine, where alterations to amino acid metabolism are linked to cachexia and uremic toxin production in feline
. These processes are strongly tied to morbidity and mortality among CKD cats, and adjunctive therapies are routinely prescribed for these derangements during CKD management
, highlighting the need to better understand the molecular mechanisms driving these pathologies. CKD-induced cachexia is believed to occur due to a combination of increased nausea and appetite dysregulation, decreased total caloric and protein intake, and protein malassimilation in the gut
. Significant decreases in MCS were appreciated when comparing healthy cats to early-stage CKD and late-stage CKD cats (Table 1), supporting that this population of cats was ideally suited for examining serum amino acid derangements occurring secondary CKD-induced cachexia. The BCAA leucine has been widely characterized in people for its roles in protein turnover and muscle synthesis, and it decreases with cachexia and sarcopenia in elderly adults
, making it a promising biomarker to evaluate for early-onset cachexia that may be occurring with feline CKD. In this study, leucine was not significantly correlated with muscle condition, and thus additional exploration would be necessary to determine if it has value as a biomarker of feline cachexia. However, there were no differences in leucine abundance when comparing early-stage and late-stage CKD cats, suggesting that it also may not be suitable as an early-stage feline CKD serum biomarker.
Decreases in five amino acids were identified in the serum of cats with early-stage CKD versus healthy cats (arginine, histidine, phenylalanine, threonine, tryptophan) (Fig. 3, Table 3). These amino acids were further decreased when comparing late-stage CKD to early-stage CKD cats, suggesting that there may be progressive changes occurring with disease advancement. In a previous investigation, serum phenylalanine, tryptophan, and threonine levels decreased proportionately with CKD stage
. In addition to decreasing proportionately with CKD stage, threonine was moderately negatively correlated with MCS (Table 4). As an EAA, threonine in cats is an important source of cellular glucose, as an energy source for gut microbes, and as a major contributor to proteins critical for muscle development, immunity, and gastrointestinal health
. In states of decreased threonine intake, lean muscle catabolism is one method that increases threonine bioavailability to carry out these vital processes
, thereby explaining one mechanism for why it may decrease proportionately to MCS during feline CKD. In a study assessing dietary amino acid supplementation in cats with CKD Stage 1 and 2, threonine intake was positively-correlated with lean body mass changes
.
The European Uremic Toxin Work Group identified > 100 uremic toxins that are classified as either free water-soluble low molecular weight (
), middle molecules (
), or protein-bound
. Some major protein-bound uremic toxins originate from gut microbial metabolism of aromatic amino acids including indoxyl sulfate, p -cresol sulfate, phenol sulfate, indolacetate, and phenylacetate. Trimethylamine N -oxide is a free watersoluble low molecular weight uremic toxin that is formed in the gut via microbial fermentation of choline, phosphatidylcholine, L-carnitine, and betaine
. These uremic toxins are linked to systemic inflammation and oxidative stress, cardiovascular disease, immunodeficiency, cachexia, intestinal barrier damage and endotoxemia, and renal injury
. In this study, significantly increased abundances of indolacetate and TMAO differentiated early-stage CKD from both late-stage CKD and healthy cats (Fig. 4). TMAO was moderately positively correlated with creatinine and MCS (higher MCS indicates more muscle wasting). The relative abundance of indoxyl sulfate did not change between the three groups (Fig. 4), which differs from previous publications showing higher serum concentrations in CKD versus healthy cats
. It is important to note that these previous studies utilized targeted metabolomics to compare absolute concentrations of indoxyl sulfate to a purified standard
, versus the global-non-targeted approach herein using relative abundances normalized across a matrix of several hundred metabolites. However, in a non-targeted plasma metabolomics study conducted in purpose-bred research cats by Hall et al., indole-3-acetate abundances did not change in cats with CKD or in healthy cats following supplementation with eight weeks of daily dietary betaine and prebiotics, meant to modulate and decrease the production of gut microbiota-derived uremic toxins
. Consequently, these different metabolomic detection methods should be considered when comparing shifts in uremic toxin abundances and/or concentrations across studies. Collectively, these results support that monitoring serum uremic toxin levels across disease stages can be linked to clinically-meaningful parameters that can be monitored for earlier intervention to abate disease progression.
The strengths of this study include applying a global metabolomics approach to healthy client-owned cats and those with both early-stage and late-stage CKD using serum, which is a routinely-used and non-invasive diagnostic sample. While this study was not sufficiently powered to compare cats between separate IRIS stages or sub-stages due to low enrollment of CKD Stage 1 and 4 cats, separation of cats into early-stage CKD (Stages 1 and 2) and late-stage CKD (Stages 3 and 4) groups still allows for broader comparisons; this grouping has been applied previously to compare CKD cats
. The diversity of diets, medications, and supplements consumed likely contributes to metabolome variation, due to differential effects on host and gut microbial metabolism
. The impact of these factors on metabolite abundances cannot be readily discerned in the current study, as specific formulations, frequency and duration of use are not known for all study cats. Two cats were not fasted before serum collection, which may contribute to some metabolome variation (Supplementary File 1). However, despite this, the serum metabolome robustly distinguished between healthy, early-stage CKD, and late-stage CKD cats, highlighting the clinical relevance of applying this matrix to diverse, client-owned populations of cats and/or human populations. Furthermore, the stage of disease in CKD cats was based on serum creatinine concentrations, which are negatively correlated with muscle mass
. This potentially impacted the disease stage cats were given.
The serum metabolome readily differentiates healthy cats from those with early-stage and late-stage CKD and supports that substantial metabolic derangements occur in early-stage CKD. Lipid and amino acid metabolites are key determinants of disease severity and are generally well-correlated with clinical variables used to guide CKD clinical decision-making CKD. Therefore, there is immense promise in investigating if these metabolites can serve as discriminative and feasibly measured biomarkers that distinguish healthy versus early-stage CKD. Given the similarities between feline and human CKD, biomarkers identified for feline early-stage CKD detection may advance human diagnostics, resulting in improved life quality for animals and people with CKD.
Methods
Study population
The study included serum samples from 55 cats sourced from previous studies. All studies were approved by either the Clinical Review Board (VCS 2018-168; VCS 2019-198) at Colorado State University or the Institutional Animal Care and Use Committee (IACUC) at Oregon State University (IACUC 2020-0069; IACUC 2020-0065) and were performed in accordance with relevant guidelines and regulations. Healthy cats and cats diagnosed with CKD were recruited from clients of the Colorado State University Veterinary Teaching Hospital from 2018 to 2019 and Oregon State University Veterinary Teaching Hospital from 2020 to 2021. Healthy cats were recruited specifically for these CKD clinical trials ongoing at Colorado State University or Oregon State University and performed screening at their respective hospitals. To be eligible for inclusion, cats underwent a thorough evaluation that included a client history, review of past medical record, and physical examination performed by a boardcertified internal medicine specialist. Cats had a complete blood count, serum biochemistry panel, urinalysis and in most cases, urine protein-to-creatinine (UPC) ratio, fecal sugar centrifugation parasite screen, serum total thyroxine concentration, and blood pressure measurement by Doppler sphygnomanometry was performed. A nine-point body condition score (BCS; Nestle Purina, St. Louis, MO, USA) and MCS was obtained (
normal;
mild muscle loss;
moderate muscle loss;
severe muscle loss)
. Cats were considered healthy based on unremarkable medical history including receiving no medications (besides flea and tick preventatives), physical examination, and normal laboratory testing, including a serum creatinine concentration within reference interval and a USG
. The reference interval for serum creatinine concentration at Colorado State University Veterinary Diagnostic Laboratory (Roche Cobras c501 Chemistry Analyzer) and the Oregon Veterinary Diagnostic Laboratory (Beckman Coulter AU480 Chemistry Analyzer) is
and
, respectively. The diagnosis of CKD in cats was confirmed and cats with CKD were staged by a board-certified small animal internal medicine specialist using International Renal Interest Society (IRIS) guidelines
. Cats with CKD were staged (CKD Stage 1-4) based on serum creatinine concentrations (Stage 1:
; Stage 2:
; Stage 3:
; Stage
). The diagnosis of CKD in cats with Stage 1 CKD and early (non-azotemic) Stage 2 CKD was based on either ultrasound findings consistent with degenerative renal disease and/or persistent inadequate urinary concentrating ability without identifiable non-renal cause. Exclusion criteria included systemic disease including diabetes mellitus, hyperthyroidism, liver disease, known or suspect gastrointestinal disease and antibiotic therapy within the past two weeks.
Sample collection
Sera were collected as part of unrelated studies. All participating cat owners provided written consent prior to sample collection. Serum samples were collected via jugular or medial saphenous venipuncture, frozen on site, and stored at
within
of collection until analysis. These samples were stored for up to three years prior to utilization in the present study.
Metabolome sample preparation
Analysis of global serum metabolic profiles was performed by a commercial laboratory (Metabolon Inc., Morrisville, NC) as previously described. Briefly, serum was submitted for each patient on dry ice. Upon arrival, samples were stored at
until processing. Ice cold methanol (
methanol
solution maintained at
) was added to each sample to precipitate proteins and release small molecules prior to chromatographic injection. The resultant samples were vortexed for two minutes (Glen Mills GenoGrinder 2000), centrifuged, and place on a TurboVap (Zymark) to remove any remaining ice-cold methanol solvent. Each sample was next subdivided into five separate aliquots for ultra-high performance liquid chromatography tandem mass spectrometry (UPLC-MS/MS) analysis. These aliquots included: two aliquots for reverse-phase UPLC-MS/MS with positive electrospray ionization (ESI), one aliquot for reverse-phase UPLC-MS/MS with negative ESI, a fourth aliquot for
hydrophilic interaction liquid chromatography tandem mass spectrometry (HILIC/UPLC-MS/MS) with negative ESI, and a fifth aliquot saved as a spare. All aliquots were stored under nitrogen prior to downstream analysis.
hydrophilic interaction liquid chromatography tandem mass spectrometry (HILIC/UPLC-MS/MS) with negative ESI, and a fifth aliquot saved as a spare. All aliquots were stored under nitrogen prior to downstream analysis.
UPLC-MS/MS analysis
Each aliquot was dried and reconstituted in solvents optimized for one of four chromatographic extraction methods. This setup included one aliquot optimized for elution of hydrophilic metabolites that was gradienteluted through a C18 column (Waters UPLC BEH C18-2.1
) with a mobile phase of water and methanol with
perfluoropentanoic acid and
formic acid. The second aliquot was optimized for hydrophobic metabolite extraction through the same C18 column with a gradient elution in methanol, acetonitrile, and water with
perfluoropentanoic acid and
formic acid. The third aliquot was optimized for basic metabolite extraction, through a separate C18 column, via gradient elution through a mobile phase of water and methanol titrated to a pH of 8 with 6.5 mM ammonium bicarbonate. The fourth aliquot was optimized for elution through a HILIC column (Waters UPLC BEH Amide
) with a mobile phase gradient of water and acetonitrile titrated to a pH of 10.8 with 10 mM of ammonium formate. Following chromatographic extraction, eluted metabolites from each sample underwent fragmentation using a heated electrospray ionization (HESI-II) source ran in either positive or negative ion mode. The first two aliquots were analyzed using positive ion mode conditions and the last two aliquots were analyzed using negative ion mode conditions. Metabolite detection was performed using a Thermo Scientific Q-Exactive high resolution/accurate mass spectrometer integrated with an Orbitrap mass analyzer set to a 35,000 -mass resolution, which alternated between MS and data-dependent
scans using dynamic exclusion. The scan range for this machine covered mass to charge ratios (
) of
.
For all analyses, a blank was included in each sample run, where initial extraction of ultra-pure water was used to establish the baseline charge signal running through the mass spectrometer. Positive controls included external standards comprised of well-characterized human plasma samples previously run on the chromatography and mass spectrometry equipment as well as a pooled sample consisting of equal amounts of each experimental sample. A third control consisted of an internal standard cocktail that consisted of metabolites at known concentrations that would not interfere with endogenous metabolite analysis (i.e., metabolites not found in serum). Negative controls included aliquots of the solvents used in the various sample extractions. To control for chromatographic drift, sample elution through the chromatographer was randomized and control samples were proportionately spaced between experimental sample injections.
Data extraction, compound identification and quantitation
Mass spectral data was extracted and processed using proprietary technologies owned by Metabolon Inc. Briefly, mass spectral peaks are identified as compounds through peak comparison to an internal library of over 4,500 purified standards and recurrent unknowns (i.e., metabolites identified only to the
level). Compound identification was made based on retention index matches, a mass match
, and evaluation of forward and reverse MS/MS scores. To determine metabolite raw abundances, area under the curve was quantified for each peak after controlling for mass spectrometer current differences within runs and between runs. Pathway enrichment scores (PES) for selected metabolic pathways were calculated using the following equation:
where ”
” is the number of significant metabolites in the metabolic pathway, ”
” is the number of identified metabolites in the pathway, ”
” is the number of significant metabolites in the comparison of interest (e.g. healthy versus early-stage CKD, healthy versus late-stage CKD, or early-stage versus late-stage CKD), and ”
” is the total number of metabolites in the dataset.
Statistical analysis
For both clinical metadata and the serum metabolome, CKD cats were grouped as early-stage CKD (Stages 1 and 2) and late-stage CKD (Stages 3 and 4) for the purpose of statistical analysis. Clinical variables (bloodwork parameters, weight, BCS, MCS, age) were compared between healthy (
), early-stage CKD (
), and late-stage CKD (
) cats using either a one-way ANOVA or Kruskal-Wallis test with either Tukey post-hoc correction or Dunn’s multiple comparison test, respectively. Normality was confirmed with Shapiro-Wilk test and evaluation of QQ plots was performed. Statistical analysis was performed in GraphPad Prism (Version 9.5.1, GraphPad Software LLC, Boston, MA).
Statistical analysis and visualization for metabolomics data was performed using Metaboanalyst 5.0 and GraphPad Prism
. All metabolites were normalized within Metaboanalyst by diving each raw abundance by the median raw abundance for that metabolite across the dataset, followed by log base 10 transformation. Differential abundance analysis comparing normalized abundances between healthy cats (
), early-stage CKD cats (
), and late-stage CKD cats (
) was performed in GraphPad Prism using a Kruskal-Wallis test with a Benjamini-Hochberg adjustment for multiple comparisons. Unsupervised hierarchical clustering analysis (HCA) was performed in Metaboanalyst using the top 50 most discriminating metabolites (highest variable importance in projection scores) from partial least-squares discriminant analysis (PLS-DA). Heatmaps were generated in Metaboanalyst using PLS-DA VIP scores generated from normalized data with all features autoscaled (i.e., mean-centered and then divided by the standard deviation of each feature). Sample distances were calculated using Euclidean distances and clustered using Ward algorithms. To assess the PLS-DA model performance, the percent accuracy of the PLS-DA model at correctly classifying cats into the correct patient groups was calculated
using the five largest components contributing to sample differences. Both Q2 (model predictive accuracy) and (model goodness of fit) parameters were additionally calculated using Metaboanalyst default settings, which used the five largest components and fivefold cross validation approach to estimate these values. R code for Metaboanalyst analysis and visualization is provided in Supplementary File 4. Spearman’s correlations were used to evaluate the associations between clinical metadata parameters that were continuous or ranked ordinal variables, as well as between clinical variables of interest (creatinine, MCS). Pearson’s correlations were used to evaluate the associations between binary (yes/no) variables. Correlation strength was defined based on the following criteria
: Very weak correlation (
), weak correlation (
), moderate correlation (
), strong correlation (
), and very strong correlation (
). For all analyses, significance was defined as
following any post-hoc adjustments for multiple comparisons where indicated. For all statistical analyses, p -values smaller than
were recorded as
.
using the five largest components contributing to sample differences. Both Q2 (model predictive accuracy) and
Data availability
Metabolomics and/or clinical metadata analyzed in this study is available by request and under the discretion of the corresponding author.
Received: 1 November 2023; Accepted: 21 February 2024
Published online: 27 February 2024
Published online: 27 February 2024
References
- Marino, C. L. et al. Prevalence and classification of chronic kidney disease in cats randomly selected from four age groups and in cats recruited for degenerative joint disease studies. J. Feline Med. Surg. 16(6), 465-472 (2014).
- O’Neill, D. G. et al. Longevity and mortality of cats attending primary care veterinary practices in England. J. Feline Med. Surg. 17(2), 125-133 (2015).
- IRIS Staging of CKD. http://www.iris-kidney.com/pdf/2_IRIS_Staging_of_CKD_2023.pdf. Accessed 24 Sep 2023.
- Bradley, R. et al. Predicting early risk of chronic kidney disease in cats using routine clinical laboratory tests and machine learning. J. Vet. Intern. Med. 33(6), 2644-2656 (2019).
- Hall, J. A. et al. Positive impact of nutritional interventions on serum symmetric dimethylarginine and creatinine concentrations in client-owned geriatric cats. PLoS ONE 11(4), e0153654 (2016).
- Perini-Perera, S. et al. Evaluation of chronic kidney disease progression in dogs with therapeutic management of risk factors. Front. Vet. Sci. 8, 621084 (2021).
- Benito, S. et al. Untargeted metabolomics for plasma biomarker discovery for early chronic kidney disease diagnosis in pediatric patients using LC-QTOF-MS. Analyst 143(18), 4448-4458 (2018).
- Hall, J. A., Jewell, D. E. & Ephraim, E. Changes in the fecal metabolome are associated with feeding fiber not health status in cats with chronic kidney disease. Metabolites 10(7), 281 (2020).
- Hall, J. A., Jewell, D. E. & Ephraim, E. Feeding cats with chronic kidney disease food supplemented with betaine and prebiotics increases total body mass and reduces uremic toxins. PLoS ONE 17(5), e0268624 (2022).
- Jewell, D. E. et al. Metabolomic changes in cats with renal disease and calcium oxalate uroliths. Metabolomics 18(8), 68 (2022).
- Ruberti, B. et al. Serum metabolites characterization produced by cats CKD affected, at the 1 and 2 stages, before and after renal diet. Metabolites 13(1), 43 (2022).
- Kim, Y. et al. In-depth characterisation of the urine metabolome in cats with and without urinary tract diseases. Metabolomics 18(4), 19 (2022).
- AAFCO methods for substantiating nutritional adequacy of dog and cat foods, 13-24 (2023).
- Summers, S. C. et al. Serum and fecal amino acid profiles in cats with chronic kidney disease. Vet. Sci. 9(2), 84 (2022).
- Liao, Y.-L., Chou, C.-C. & Lee, Y.-J. The association of indoxyl sulfate with fibroblast growth factor-23 in cats with chronic kidney disease. J. Vet. Intern. Med. 33(2), 686-693 (2019).
- Chen, C. N. et al. Plasma indoxyl sulfate concentration predicts progression of chronic kidney disease in dogs and cats. Vet. J. 232, 33-39 (2018).
- Freeman, L. M. Cachexia and sarcopenia: Emerging syndromes of importance in dogs and cats. J. Vet. Intern. Med. 26(1), 3-17 (2012).
- Paepe, D. & Daminet, S. Feline CKD: Diagnosis, staging and screening: What is recommended?. J. Feline Med. Surg. 15(Suppl 1), 15-27 (2013).
- Kongtasai, T. et al. Renal biomarkers in cats: A review of the current status in chronic kidney disease. J. Vet. Intern. Med. 36(2), 379-396 (2022).
- Peterson, M. E. et al. Evaluation of serum symmetric dimethylarginine concentration as a marker for masked chronic kidney disease in cats with hyperthyroidism. J. Vet. Intern. Med. 32(1), 295-304 (2018).
- Sagawa, M. et al. Plasma creatinine levels and food creatinine contents in cats. J. Jpn. Vet. Med. Assoc. 48(11), 871-874 (1995).
- Mack, R. M. et al. Longitudinal evaluation of symmetric dimethylarginine and concordance of kidney biomarkers in cats and dogs. Vet. J. 276, 105732 (2021).
- Hall, J. A. et al. Comparison of serum concentrations of symmetric dimethylarginine and creatinine as kidney function biomarkers in cats with chronic kidney disease. J. Vet. Intern. Med. 28(6), 1676-1683 (2014).
- Paltrinieri, S. et al. Serum symmetric dimethylarginine and creatinine in Birman cats compared with cats of other breeds. J. Feline Med. Surg. 20(10), 905-912 (2017).
- Reynolds, B. S. & Lefebvre, H. P. Feline CKD: Pathophysiology and risk factors: What do we know?. J. Feline Med. Surg. 15(1 suppl), 3-14 (2013).
- Martino-Costa, A. L. et al. Renal interstitial lipid accumulation in cats with chronic kidney disease. J. Comp. Pathol. 157(2-3), 75-79 (2017).
- Behling-Kelly, E. Serum lipoprotein changes in dogs with renal disease. J. Vet. Intern. Med. 28(6), 1692-1698 (2014).
- Gai, Z. et al. Lipid accumulation and chronic kidney disease. Nutrients 11(4), 722 (2019).
- Magliocca, G. et al. Short-chain fatty acids in chronic kidney disease: Focus on inflammation and oxidative stress regulation. Int. J. Mol. Sci. 23(10), 5354 (2022).
- Simic, P. et al. Glycerol-3-phosphate is an FGF23 regulator derived from the injured kidney. J. Clin. Invest. 130(3), 1513-1526 (2020).
- Summers, S. C. et al. The fecal microbiome and serum concentrations of indoxyl sulfate and p-cresol sulfate in cats with chronic kidney disease. J. Vet. Intern. Med. 33(2), 662-669 (2019).
- Hall, J. A. et al. Cats with IRIS stage 1 and 2 chronic kidney disease maintain body weight and lean muscle mass when fed food having increased caloric density, and enhanced concentrations of carnitine and essential amino acids. Vet. Rec. 184(6), 190-190 (2019).
- Freeman, L. M. et al. Evaluation of weight loss over time in cats with chronic kidney disease. J. Vet. Intern. Med. 30(5), 1661-1666 (2016).
- Brusach, K. et al. Measurement of Ghrelin as a marker of appetite dysregulation in cats with and without chronic kidney disease. Vet. Sci. 10(7), 464 (2023).
- Casperson, S. L. et al. Leucine supplementation chronically improves muscle protein synthesis in older adults consuming the RDA for protein. Clin. Nutr. 31(4), 512-519 (2012).
- Hammer, V. A., Rogers, Q. R. & Freedland, R. A. Threonine is catabolized by L-threonine 3-dehydrogenase and threonine dehydratase in hepatocytes from domestic cats (Felis domestica). J. Nutr. 126(9), 2218-2226 (1996).
- Tang, Q. et al. Physiological functions of threonine in animals: beyond nutrition metabolism. Nutrients 13(8), 2592 (2021).
- Duranton, F. et al. Normal and pathologic concentrations of uremic toxins. J. Am. Soc. Nephrol. 23(7), 1258-1270 (2012).
- Lim, Y. J. et al. Uremic toxins in the progression of chronic kidney disease and cardiovascular disease: Mechanisms and therapeutic targets. Toxins 13(2), 142 (2021).
- Bhargava, S. et al. Homeostasis in the gut microbiota in chronic kidney disease. Toxins 14(10), 648 (2022).
- Cheng, F. P. et al. Detection of indoxyl sulfate levels in dogs and cats suffering from naturally occurring kidney diseases. Vet. J. 205(3), 399-403 (2015).
- Mertowska, P. et al. A link between chronic kidney disease and gut microbiota in immunological and nutritional aspects. Nutrients 13(10), 3637 (2021).
- Hall, J. A. et al. Relationship between lean body mass and serum renal biomarkers in healthy dogs. J. Vet. Intern. Med. 29(3), 808-814 (2015).
- Muscle Condition Score. https://wsava.org/wp-content/uploads/2020/01/Muscle-Condition-Score-Chart-for-Dogs.pdf. Accessed 6 Aug 2023.
- Body Condition Score. https://wsava.org/wp-content/uploads/2020/08/Body-Condition-Score-cat-updated-August-2020.pdf. Accessed 6 Aug 2023.
- Pang, Z. et al. Using MetaboAnalyst 5.0 for LC-HRMS spectra processing, multi-omics integration and covariate adjustment of global metabolomics data. Nat. Protoc. 17(8), 1735-1761 (2022).
- Krasztel, M. M. et al. Correlation between metabolomic profile constituents and feline pancreatic lipase immunoreactivity. J. Vet. Intern. Med. 36(2), 473-481 (2022).
Acknowledgements
We would like to thank the faculty, staff, and students of the James L. Voss Colorado State University Veterinary Teaching Hospital and the Oregon State University Veterinary Teaching Hospital who assisted with owner recruitment, patient management, and sample collection. We further thank the owners and their cats who consented to participation.
Author contributions
Funding for this study was secured by S.S. and J.Q. This study was conceptualized by J.Q. and S.S. Collection of clinical samples and patient metadata was performed by J.Q. and S.S. Curation and statistical analysis of clinical metadata was performed by S.S., and by N.J.N. for metabolomics data. N.J.N, S.S., J.A.W. and J.Q. contributed to data interpretation. N.J.N., S.S., and J.A.W. were responsible for figure and table creation. Manuscript writing was completed by N.J.N. and S.S. Manuscript reviewing and editing was performed by N.J.N., S.S., J.A.W., and J.Q. All authors reviewed and endorsed the final manuscript for publication.
Competing interests
N.J.N. has no competing interests to declare. S.S. is a research consultant for IDEXX Laboratories, Inc. and has previous work funded by Nestle Purina and IDEXX Laboratories, Inc. She has received a speaker honorarium from Royal Canin, IDEXX Laboratories, Inc., and Boehringer-Ingelheim. Preliminary results from this analysis were presented in abstract form at the 2022 Annual Forum of American College of Veterinary Internal Medicine, held in Austin, Texas (ePoster NU30: Untargeted Metabolomic Profiling of Serum from Cats with Chronic Kidney Disease). J.Q.’s work has been funded by EveryCat Health Foundation, Morris Animal Foundation, Nestle Purina, Trivium Vet, Zoetis. She has received compensation as a member of the scientific advisory board of Nestle Purina, Elanco, Zoetis. She also has consulted or served as a key opinion leader for Boehringer Ingelheim, Dechra, Elanco, Gallant, Heska, Hill’s, IDEXX, Nestle Purina, Royal Canin, SN Biomedical, Vetoquinol, Zoetis and received compensation. J.A.W.’s laboratory has been funded by EveryCat Health Foundation, Morris Animal Foundation, American Kennel Club’s Canine Health Foundation, Nestle Purina, FDA, and National Institutes of Health. She has received speaker honorariums from Royal Canin, Nestle Purina, and DVM360.
Additional information
Supplementary Information The online version contains supplementary material available at https://doi.org/ 10.1038/s41598-024-55249-5.
Correspondence and requests for materials should be addressed to J.A.W.
Reprints and permissions information is available at www.nature.com/reprints.
Publisher’s note Springer Nature remains neutral with regard to jurisdictional claims in published maps and institutional affiliations.
Reprints and permissions information is available at www.nature.com/reprints.
Publisher’s note Springer Nature remains neutral with regard to jurisdictional claims in published maps and institutional affiliations.
Open Access This article is licensed under a Creative Commons Attribution 4.0 International License, which permits use, sharing, adaptation, distribution and reproduction in any medium or format, as long as you give appropriate credit to the original author(s) and the source, provide a link to the Creative Commons licence, and indicate if changes were made. The images or other third party material in this article are included in the article’s Creative Commons licence, unless indicated otherwise in a credit line to the material. If material is not included in the article’s Creative Commons licence and your intended use is not permitted by statutory regulation or exceeds the permitted use, you will need to obtain permission directly from the copyright holder. To view a copy of this licence, visit http://creativecommons.org/licenses/by/4.0/.
© The Author(s) 2024
© The Author(s) 2024
Department of Veterinary Clinical Sciences, College of Veterinary Medicine, The Ohio State University, Columbus, OH 43210, USA. Department of Clinical Sciences, Carlson College of Veterinary Medicine, Oregon State University, Corvallis, OR 97331, USA. These authors contributed equally: Nora Jean Nealon and Stacie Summers. email: Winston.210@osu.edu
