DOI: https://doi.org/10.1038/s41467-024-48493-w
PMID: https://pubmed.ncbi.nlm.nih.gov/38862514
تاريخ النشر: 2024-06-11
المؤلف: Helena Reichlová وآخرون
الموضوع الرئيسي: الخصائص المغناطيسية للأفلام الرقيقة
نظرة عامة
تناقش هذه القسم استكشاف المراحل التي تظهر كسر تناظر عكسي زمني تلقائي (T)، والتي تتميز بخصائصها الفيزيائية الفريدة وإمكاناتها في تكنولوجيا المعلومات. تركز الدراسة على المرحلة المغناطيسية البديلة المتوقعة حديثًا، والتي تتميز بكسر كبير في تناظر T في الهيكل الإلكتروني مع الحفاظ على مغنطة صافية ضئيلة.
يبلغ المؤلفون عن الملاحظة التجريبية لتأثير هول الشاذ في فيلم رقيق من Mn$_5$Si$_3$، والذي يحدث دون وجود مجال مغناطيسي خارجي وفي وجود لحظة مغناطيسية صافية صغيرة جدًا. من خلال تحليل التناظر وحسابات المبادئ الأولى، يثبتون أن المرحلة المغناطيسية البديلة ذات الموجة d المرصودة تتماشى مع الخصائص الهيكلية والمغناطيسية لطبقات Mn$_5$Si$_3$. علاوة على ذلك، فإن التنبؤات النظرية عن الموصلية الشاذة لهول كبيرة وتؤكد النتائج التجريبية. تشير هذه الهوية لمرشح للمغناطيسية البديلة غير التقليدية ذات الموجة d إلى آفاق واعدة للبحث المستقبلي والتطبيقات التكنولوجية في المراحل المغناطيسية.
النتائج
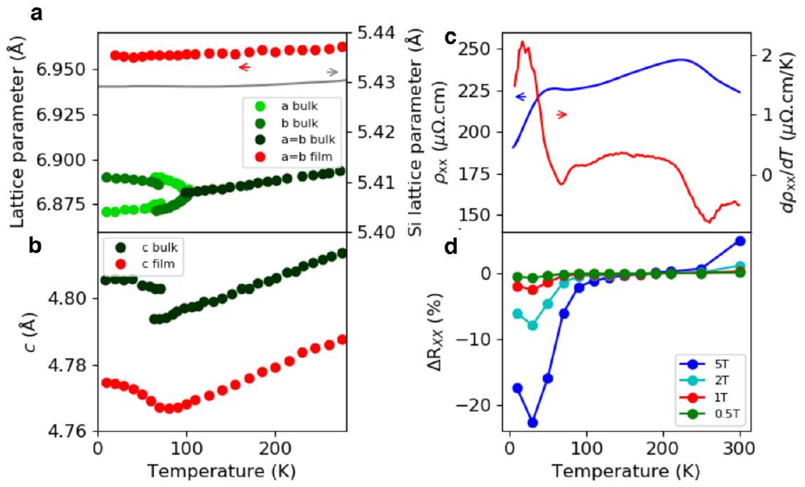
في هذا القسم، يقدم المؤلفون التوصيف الهيكلي والخصائص الكهربائية لأفلام Mn$_5$Si$_3$ الرقيقة، التي تم تصنيعها عبر ترسيب شعاع جزيئي على ركيزة Si(111). الهيكل البلوري للأفلام، الذي تم تأكيده من خلال المجهر الإلكتروني الناقل (TEM) وحيود الأشعة السينية (XRD)، يحافظ على تناظر سداسي من المادة الكتلية، ولكنه يظهر اختلافات كبيرة بسبب الضغط الترسيبي. من الجدير بالذكر أن الأفلام الرقيقة لا تخضع للانتقالات الهيكلية التي لوحظت في العينات الكتلية عند درجات الحرارة الحرجة T$_1$ (≈100 K) وT$_2$ (≈70 K)، والتي ترتبط بالتشوهات المعينية والمونوكلاينية، على التوالي. بدلاً من ذلك، تبقى معلمات الشبكة في المستوى ثابتة، بينما تظهر المعلمة خارج المستوى شذوذًا عند T$_2$، مما يتوازى مع السلوك الذي لوحظ في العينات الكتلية.
تكشف القياسات الكهربائية عن مقاومة معدنية تتماشى مع الدراسات السابقة، بالإضافة إلى شذوذ قابل للاكتشاف عند T$_2$ في المقاومة والمقاومة المغناطيسية. على عكس Mn$_5$Si$_3$ الكتلي، لا تظهر الأفلام الرقيقة انتقال T$_1$، ولكن يظهر شذوذ جديد حول 240 K. تشير قياسات المغنطومترية وتأثير هول إلى استجابة مغناطيسية خطية عند درجة حرارة الغرفة، مع مغنطة متبقية ضئيلة عبر جميع درجات الحرارة. على الرغم من ذلك، يتم ملاحظة إشارة كبيرة لتأثير هول الشاذ (AHE)، خاصةً تحت 240 K، والتي تُعزى إلى آليات غير تقليدية بدلاً من الأصول المغناطيسية التقليدية أو المحبطة هندسيًا. تشير النتائج إلى أن المساهمة الرئيسية في AHE في الأفلام الرقيقة تختلف عن تلك الموجودة في العينات الكتلية، مما يؤدي إلى فرضية وجود مرحلة مغناطيسية غير تقليدية ذات موجة d، والتي سيتم استكشافها في التحليل النظري التالي.
المناقشة
في هذا القسم، يناقش المؤلفون النتائج المتعلقة بالخصائص المغناطيسية لفيلم Mn$_5$Si$_3$ الرقيق، مشيرين إلى ظهور مرحلة مغناطيسية غير تقليدية متوازنة خطيًا تتميز بتأثير هول الشاذ (AHE) الكبير ومغنطة صافية ضئيلة. أشارت حسابات نظرية الكثافة الوظيفية (DFT) السابقة إلى أن أقوى الروابط التبادلية بين ذرات Mn$_2$ تحدث بين مواقع بلورية محددة، مما يؤدي إلى ترتيب مغناطيسي مضاد. يؤكد المؤلفون أن هذا الترتيب يستمر في الأفلام الرقيقة، منتقلاً إلى مرحلة مكسورة التناظر T تحت حوالي 240 K، مع الحفاظ على حجم وحدة الخلية. تتميز المرحلة المغناطيسية غير التقليدية ذات الموجة d بخصائص تناظر فريدة، مما يسمح بكسر تناظر T دون مغنطة صافية، وبالتالي تسهيل استجابات سبينترونيك كبيرة.
يقارن المؤلفون أيضًا نتائجهم مع مواد أخرى تظهر ظواهر AHE مشابهة، مشيرين إلى أنه في Mn$_5$Si$_3$، يتم تلبية الشروط التناظرية اللازمة للمرحلة غير التقليدية فقط من خلال ترتيب الذرات المغناطيسية، على عكس RuO$_2$ وMnTe، حيث تلعب الذرات غير المغناطيسية دورًا حاسمًا. تشير هذه التمييز إلى أن Mn$_5$Si$_3$ يمكن أن تلهم مجالات بحث جديدة في سبينترونيك وفاليترونيك، خاصةً بسبب هيكلها النطاقي المحدد وإمكاناتها لاستضافة مراحل مغناطيسية طوبولوجية. يختتم المؤلفون بالتأكيد على الآثار العملية لنتائجهم، مشيرين إلى أن Mn$_5$Si$_3$ تجمع بين وفرة العناصر المواتية ودرجة حرارة انتقال مغناطيسية كبيرة، مما يجعلها مرشحًا واعدًا للدراسات المستقبلية في المغناطيسية غير التقليدية.
DOI: https://doi.org/10.1038/s41467-024-48493-w
PMID: https://pubmed.ncbi.nlm.nih.gov/38862514
Publication Date: 2024-06-11
Author(s): Helena Reichlová et al.
Primary Topic: Magnetic properties of thin films
Overview
This section discusses the exploration of phases exhibiting spontaneous time-reversal (T) symmetry breaking, which are notable for their unique physical properties and potential applications in information technology. The study focuses on the recently predicted altermagnetic phase, characterized by significant T-symmetry breaking in the electronic structure while maintaining a negligible net magnetization.
The authors report the experimental observation of the anomalous Hall effect in epitaxial thin-film Mn$_5$Si$_3$, which occurs without an external magnetic field and in the presence of a very small net magnetic moment. Through symmetry analysis and first-principles calculations, they establish that the observed d-wave altermagnetic phase aligns with the structural and magnetic properties of the Mn$_5$Si$_3$ epilayers. Furthermore, the theoretical predictions of anomalous Hall conductivity are substantial and corroborate the experimental findings. This identification of a candidate for unconventional d-wave altermagnetism suggests promising avenues for future research and technological applications in magnetic phases.
Results
In this section, the authors present the structural characterization and electrical properties of Mn$_5$Si$_3$ thin films, synthesized via molecular beam epitaxy on a Si(111) substrate. The crystal structure of the films, confirmed through transmission electron microscopy (TEM) and X-ray diffraction (XRD), maintains the hexagonal symmetry of the bulk material, but exhibits significant differences due to epitaxial strain. Notably, the thin films do not undergo the structural transitions observed in bulk samples at critical temperatures T$_1$ (≈100 K) and T$_2$ (≈70 K), which are associated with orthorhombic and monoclinic distortions, respectively. Instead, the in-plane lattice parameters remain constant, while the out-of-plane parameter shows an anomaly at T$_2$, paralleling the behavior seen in bulk samples.
The electrical measurements reveal a metallic resistivity consistent with previous studies, along with a detectable anomaly at T$_2$ in the resistivity and magnetoresistance. Unlike bulk Mn$_5$Si$_3$, the thin films do not exhibit the T$_1$ transition, but a new anomaly appears around 240 K. Magnetometry and Hall effect measurements indicate a linear magnetization response at room temperature, with a negligible remanent magnetization across all temperatures. Despite this, a sizable spontaneous anomalous Hall effect (AHE) signal is observed, particularly below 240 K, which is attributed to unconventional mechanisms rather than conventional ferromagnetic or geometrically frustrated origins. The findings suggest that the dominant contribution to the AHE in the thin films is distinct from that in bulk samples, leading to the hypothesis of an unconventional d-wave magnetic phase, which will be explored in the subsequent theoretical analysis.
Discussion
In this section, the authors discuss the findings related to the magnetic properties of epitaxial thin-film Mn$_5$Si$_3$, highlighting the emergence of an unconventional collinear compensated magnetic phase characterized by a sizable spontaneous anomalous Hall effect (AHE) and negligible net magnetization. Previous density functional theory (DFT) calculations indicated that the strongest exchange couplings among Mn$_2$ atoms occur between specific crystal sites, leading to antiparallel magnetic ordering. The authors confirm that this ordering persists in thin films, transitioning to a T-symmetry broken phase below approximately 240 K, while maintaining the unit cell size. The unconventional d-wave magnetic phase is distinguished by its unique symmetry properties, which allow for T-symmetry breaking without a net magnetization, thus facilitating significant spintronic responses.
The authors further compare their findings with other materials exhibiting similar AHE phenomena, noting that in Mn$_5$Si$_3$, the necessary symmetry conditions for the unconventional phase are met solely by the arrangement of magnetic atoms, unlike in RuO$_2$ and MnTe, where non-magnetic atoms play a crucial role. This distinction suggests that Mn$_5$Si$_3$ could inspire new research avenues in spintronics and valleytronics, particularly due to its specific band structure and the potential for hosting topological magnetic phases. The authors conclude by emphasizing the practical implications of their findings, noting that Mn$_5$Si$_3$ combines favorable elemental abundance with a significant magnetic transition temperature, making it a promising candidate for future studies in unconventional magnetism.
