DOI: https://doi.org/10.1038/s41598-024-52211-3
PMID: https://pubmed.ncbi.nlm.nih.gov/38245610
تاريخ النشر: 2024-01-20
المؤلف: Humaira Yasmin وآخرون
الموضوع الرئيسي: حلول المعادلات التفاضلية الكسرية
نظرة عامة
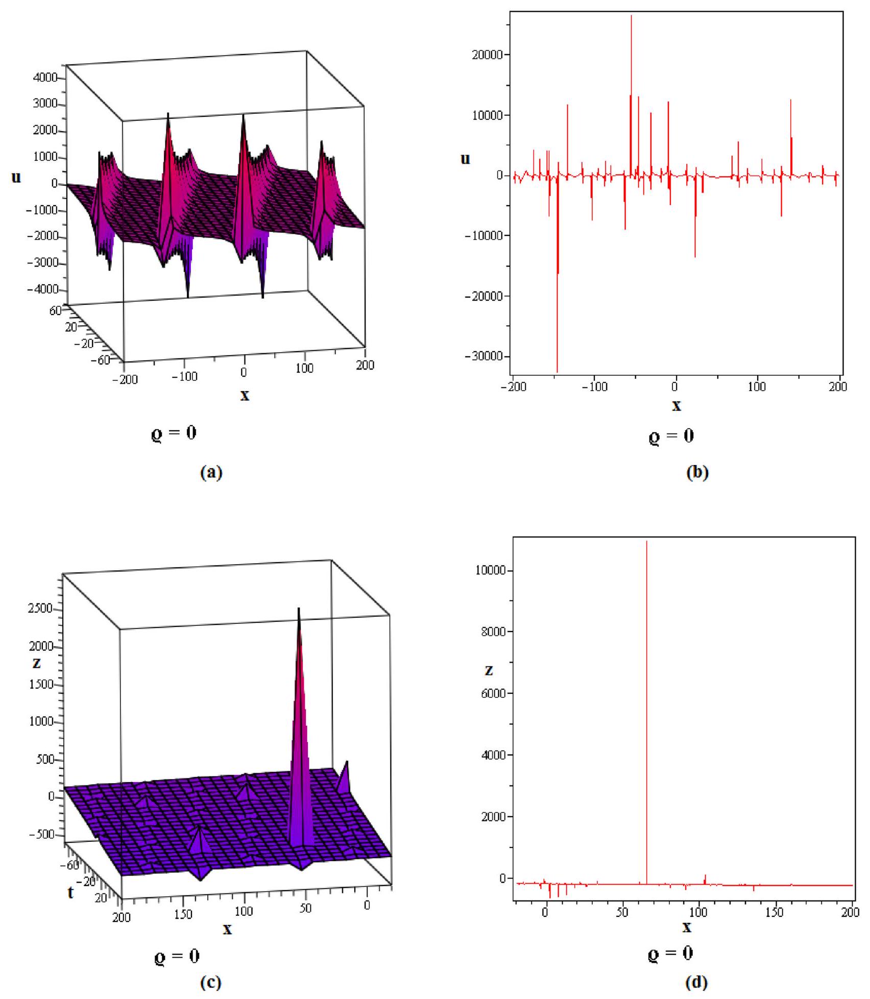
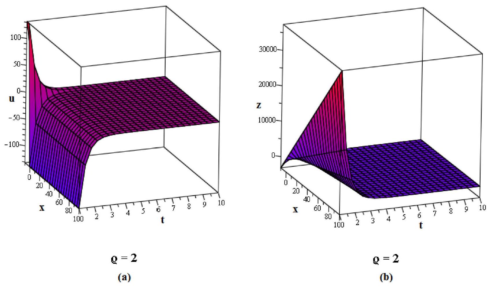
تستكشف هذه الدراسة نظام كرينكل-مانا-ميرل العشوائي القابل للتكيف (CSKMMS)، وهو نموذج رياضي مهم لفهم الظواهر في المواد الفيرومغناطيسية. باستخدام طريقة الجبر المباشر المعدلة (r+mEDAM)، تنتج الدراسة مجموعة متنوعة من حلول السوليتون العشوائية، بما في ذلك الدوال الزائدية، والدوال المثلثية، والدوال الكسرية. هذه الحلول ذات صلة خاصة لنمذجة سلوك المجال المغناطيسي في الفيرومغناطيسات ذات التوصيلية الصفرية. يتم تحليل تأثير المصطلحات العشوائية والضوضاء على هذه الحلول السوليتونية من خلال تمثيلات رسومية ثنائية وثلاثية الأبعاد تم إنشاؤها باستخدام برنامج مابل، مما يكشف أن زيادة مستويات الضوضاء يمكن أن تؤدي إلى تحول السوليتونات إلى موجات صدمية، مما يبرز حساسية ديناميات السوليتون تجاه الضوضاء.
تساهم النتائج في فهم أعمق لسلوك المجال المغناطيسي في المواد الفيرومغناطيسية وتبرز فائدة المعادلات التفاضلية الجزئية العشوائية الكسرية (SFPDEs) في التقاط الظواهر المعقدة التي قد لا تعالجها المعادلات التفاضلية التقليدية بشكل كافٍ. لا توسع الدراسة فقط نطاق حلول السوليتون المتاحة ضمن إطار CSKMMS ولكنها تفتح أيضًا آفاقًا لاستكشاف النموذج العشوائي في المستقبل، بما في ذلك أبعاد ومعلمات إضافية. تعزز هذه العمل الأساس الرياضي لدراسة المواد الفيرومغناطيسية وتقترح تطبيقات محتملة عبر مختلف التخصصات العلمية والهندسية.
طرق
توضح قسم المنهجية النهج المنهجي المستخدم في البحث، مع تفاصيل تصميم التجربة والتقنيات التحليلية المستخدمة. تستفيد الدراسة من مزيج من الطرق الكمية والنوعية لضمان فهم شامل للأسئلة البحثية المطروحة. يتم تحديد موارد محددة، بما في ذلك مجموعات البيانات، وأدوات البرمجيات، ومعدات المختبر، لدعم تنفيذ التجارب وتحليل النتائج.
بالإضافة إلى ذلك، يبرز القسم أهمية القابلية للتكرار والشفافية في عملية البحث، مع تسليط الضوء على البروتوكولات لجمع البيانات ومعالجتها. يتم استخدام طرق إحصائية لتحليل النتائج، مما يضمن أن تكون النتائج قوية وذات دلالة إحصائية. بشكل عام، تم تصميم المنهجية لتسهيل تحقيق صارم في الفرضيات، مما يساهم في صحة وموثوقية استنتاجات الدراسة.
نقاش
في هذا القسم، يناقش المؤلفون تطبيق تقنية r+mEDAM لاشتقاق حلول السوليتون لنموذج كورتويغ-دي فريس-ماكيندريك المرتبط (CSKMMS). يبرزون أهمية الحركة البراونية والمشتقات القابلة للتكيف في تحليلهم، مؤكدين أن حلول السوليتون العشوائية لا يمكن الحصول عليها باستخدام صيغ المشتقات الكسرية البديلة بسبب فشلها في الالتزام بقانون السلسلة. يوضح المؤلفون آلية تشغيل r+mEDAM، التي تتضمن سلسلة من التحولات والتكاملات لاشتقاق معادلات جبرية غير خطية تؤدي إلى حلول السوليتون.
تكشف النتائج عن تنوع غني في سلوكيات السوليتون، بما في ذلك السوليتونات الصدمية والتوبولوجية، والتي تعتبر حاسمة في فهم ديناميات المواد الفيرومغناطيسية. تتميز السوليتونات الصدمية بتغيرات مفاجئة في المغنطة بسبب التأثيرات الخارجية، بينما تحافظ السوليتونات التوبولوجية على الاستقرار من خلال خصائصها الفطرية، مما يسمح لها بالتكيف مع التغيرات في اتجاه المغنطة. يقدم المؤلفون تمثيلات رسومية لهذه السوليتونات، موضحين دينامياتها المعقدة تحت معلمات مختلفة، مما يعزز فهم سلوكها في سياق ديناميات المغنطة غير الخطية.
DOI: https://doi.org/10.1038/s41598-024-52211-3
PMID: https://pubmed.ncbi.nlm.nih.gov/38245610
Publication Date: 2024-01-20
Author(s): Humaira Yasmin et al.
Primary Topic: Fractional Differential Equations Solutions
Overview
This research investigates the Conformable Stochastic Kraenkel-Manna-Merle System (CSKMMS), a significant mathematical model for understanding phenomena in ferromagnetic materials. Utilizing a modified Extended Direct Algebraic Method (r+mEDAM), the study generates a diverse array of stochastic soliton solutions, including hyperbolic, trigonometric, and rational functions. These solutions are particularly relevant for modeling magnetic field behavior in zero-conductivity ferromagnets. The impact of stochastic terms and noise on these soliton solutions is analyzed through 2D and 3D graphical representations created using Maple, revealing that increased noise levels can lead to the transformation of solitons into shock waves, thereby emphasizing the sensitivity of soliton dynamics to noise.
The findings contribute to a deeper understanding of magnetic field behavior in ferromagnetic materials and highlight the utility of Stochastic Fractional Partial Differential Equations (SFPDEs) in capturing complex phenomena that traditional differential equations may not adequately address. The research not only expands the range of soliton solutions available within the CSKMMS framework but also opens avenues for future exploration of the stochastic model, including additional dimensions and parameters. This work enhances the mathematical foundation for studying ferromagnetic materials and suggests potential applications across various scientific and engineering disciplines.
Methods
The methodology section outlines the systematic approach employed in the research, detailing both the experimental design and the analytical techniques utilized. The study leverages a combination of quantitative and qualitative methods to ensure a comprehensive understanding of the research questions posed. Specific resources, including datasets, software tools, and laboratory equipment, are identified to support the execution of the experiments and the analysis of results.
Additionally, the section emphasizes the importance of reproducibility and transparency in the research process, highlighting protocols for data collection and processing. Statistical methods are employed to analyze the results, ensuring that findings are robust and statistically significant. Overall, the methodology is designed to facilitate a rigorous investigation of the hypotheses, contributing to the validity and reliability of the study’s conclusions.
Discussion
In this section, the authors discuss the application of the r+mEDAM technique to derive soliton solutions for the coupled stochastic Korteweg-de Vries-McKendrick model (CSKMMS). They highlight the significance of Brownian motion and conformable derivatives in their analysis, emphasizing that the stochastic soliton solutions cannot be obtained using alternative fractional derivative formulations due to their failure to adhere to the chain rule. The authors detail the operational mechanism of r+mEDAM, which involves a series of transformations and integrations to derive nonlinear algebraic equations that yield soliton solutions.
The findings reveal a rich variety of soliton behaviors, including shock and topological solitons, which are critical in understanding the dynamics of ferromagnetic materials. Shock solitons are characterized by abrupt changes in magnetization due to external influences, while topological solitons maintain stability through their inherent properties, allowing them to adapt to changes in magnetization direction. The authors present graphical representations of these solitons, illustrating their complex dynamics under various parameters, thereby enhancing the comprehension of their behavior in the context of nonlinear magnetization dynamics.
