المجلة: Scientific Reports، المجلد: 15، العدد: 1
DOI: https://doi.org/10.1038/s41598-025-85359-7
PMID: https://pubmed.ncbi.nlm.nih.gov/39863636
تاريخ النشر: 2025-01-25
DOI: https://doi.org/10.1038/s41598-025-85359-7
PMID: https://pubmed.ncbi.nlm.nih.gov/39863636
تاريخ النشر: 2025-01-25
افتح
التوافق الحيوي لسمك متغير من جهاز تقويم الأسنان المطبوعة مباشرةً
تقدم القوالب المطبوعة مباشرة (DPAs) فوائد مثل القدرة على تغيير سمك الطبقات داخل DPA واحد وطباعتها ثلاثية الأبعاد لأجهزة تقويم الأسنان القابلة للإزالة المصنوعة حسب الطلب. تعتمد التوافق الحيوي للأجهزة المصنوعة من Tera Harz TA-28 (Graphy Inc.، سيول، كوريا الجنوبية) على الالتزام الصارم ببروتوكول إنتاج وما بعد الإنتاج القياسي، بما في ذلك المعالجة بالأشعة فوق البنفسجية. كان هدفنا هو تقييم ما إذا كانت التعديلات التصميمية التي تزيد من سمك الطبقة تتطلب وقت معالجة بالأشعة فوق البنفسجية أطول لضمان التوافق الحيوي. تم طباعة عينات بسمك طبقات متنوع بدقة عالية باستخدام Tera Harz TA-28 وطابعة Asiga MAX ثلاثية الأبعاد (تكنولوجيا Asiga SPS ™، سيدني، أستراليا). تم ضبط فترات المعالجة بالأشعة فوق البنفسجية على 20 و30 و60 دقيقة. تم تقييم السمية الخلوية باستخدام اختبار AlamarBlue على الخلايا الليفية اللثوية البشرية. انخفضت حيوية الخلايا مع زيادة سمك العينة (مهم لسمك 2 مم).
، و
) تحت التوصيات التي قدمها المصنع
تجفيف الأشعة فوق البنفسجية. لم يُحسن تمديد وقت التجفيف من حيوية الخلايا. ومع ذلك، لم تنخفض حيوية الخلايا أبداً بأكثر من 30%، مما يتوافق مع معايير EN ISO 10993-5 لعدم السمية الخلوية. يضمن بروتوكول التجفيف بالأشعة فوق البنفسجية القياسي لمدة 20 دقيقة التوافق الحيوي وسلامة المرضى لمادة Tera Harz TA-28 لسمك المواد حتى
.
الكلمات الرئيسية: تقويم الأسنان الرقمي، الأقواس المطبوعة ثلاثية الأبعاد، الطباعة ثلاثية الأبعاد، الأقواس الشفافة، علاج الأقواس، الأقواس المطبوعة مباشرة، التوافق الحيوي، السمية الخلوية، الراتنج
لقد أصبحت علاج التقويم الشفاف وسيلة علاجية تزداد شعبية بين أطباء التقويم وكذلك المرضى الذين يسعون للحصول على رعاية تقويم الأسنان في جميع أنحاء العالم.
لقد أدت الزيادة في الطلب إلى تحسينات مستمرة في المواد والتقنيات التي تقدمها عدد متزايد من الشركات المختلفة.
نتيجة لذلك، توسع نطاق التطبيقات من حالات بسيطة، مثل الانتكاسات والاكتظاظ، إلى علاجات أكثر تعقيدًا في تقويم الأسنان المعاصر.
علاوة على ذلك، في المجتمع الحديث، يطلب المرضى من جميع الفئات العمرية علاجات ذات جمالية عالية، مريحة وأكثر نظافة – وكل ذلك توفره علاجات التقويم الشفاف.
.
في السنوات الأخيرة، مكنت الابتكارات التكنولوجية الكبرى في الطباعة ثلاثية الأبعاد، وخاصة المتعلقة بتصميم الكمبيوتر، والمواد الحيوية، وتقنيات التصنيع، من إنتاج أجهزة تقويم الأسنان القابلة للطباعة مباشرة في العيادة (DPAs) – مما يمثل ابتكارًا مقارنةً بأجهزة التقويم التقليدية المصنوعة من الحرارة.
تمت الموافقة على DPAs المصنوعة من راتنج تيرا هارز TC-85 من جرافي (Graphy Inc.، سيول، كوريا الجنوبية) وحصلت على شهادة CE وشهادة KFDA بالإضافة إلى موافقة FDA.
. ومع ذلك، من الضروري أن نأخذ في الاعتبار أن هذه الشهادة تنطبق فقط على DPAs النهائية، التي تم إنتاجها وفقًا للبروتوكول الإنتاجي المحدد، وليس على المنتج نفسه. بعد الطباعة، يجب أن تخضع DPAs لعمليات معالجة ما بعد دقيقة تتضمن الطرد المركزي، وتصلب الضوء فوق البنفسجي في جو نيتروجيني، والغسل في الماء المغلي بالإضافة إلى التجفيف.
أي اضطراب في هذه العملية يمكن أن يؤدي إلى تقليل التوافق الحيوي، مما ينتج عنه آثار سلبية على سلامة المريض، والتي يكون طبيب تقويم الأسنان مسؤولاً عنها دائمًا – قانونيًا أيضًا.
مؤخراً، أطلقت شركة جرافي نسخة محدثة ومعدلة من راتنجها، تيرا هارز TA-28 (جرافي إنك، سيول، كوريا الجنوبية). بينما تشترك TA-28 و TC-85 في العديد من مكوناتهما وخصائصهما الفيزيائية، قد تؤدي التعديلات إلى اختلافات في الخصائص البيوميكانيكية لـ DPAs، والأداء، والتوافق الحيوي.
. ومع ذلك، لا يزال يتعين تأكيد ذلك من خلال الأبحاث المستقبلية. يتكون راتنج المحاذاة TA-28، مثل غيره من البوليمرات الضوئية، من راتنجات الإيبوكسي، التي تكون في شكل سائل شديدة السمية وتسبب التغير والتعطيل.
البروتينات في الخلايا
. وبالتالي، فإن المعالجة اللاحقة، مثل Tera Harz TC-85، لا تزال تمثل الجزء الحاسم من عملية التصنيع ويجب أن تتم وفقًا لنفس البروتوكولات.
تُشير المواد المصنوعة من راتنجات جرافي إلى عصر جديد في علاج التقويم الشفاف، حيث تقدم عددًا من المزايا البيوميكانيكية مقارنةً بنظيراتها المصنوعة بالتشكيل الحراري.
تزيد القدرة على زيادة سمك الطبقة في مناطق محددة من كفاءة الحركات السنية المقررة مع تقليل الآثار الجانبية.
تعتبر القدرة على تصنيع الأجهزة المخصصة، مثل الـ Twin-Block، ميزة رئيسية أخرى، كما تتضمن زيادة في سمك المواد.
على الرغم من هذه الفوائد المغرية، فإنه من غير المعروف حاليًا ما إذا كانت مثل هذه التعديلات على سمك المAligner الشفاف الشائع
تتطلب بروتوكول معالجة ما بعد معدلاً
على وجه الخصوص، لا يُعرف ما إذا كان يجب تمديد مدة البلمرة باستخدام ضوء الأشعة فوق البنفسجية لضمان الاستخدام الآمن بيولوجيًا لدى المرضى.
على الرغم من أن الزيادة في شعبية راتنج جرافي في السنوات الأخيرة قد أدت إلى أبحاث واسعة حول الخصائص البيوميكانيكية، والتوافق الحيوي، وعمليات الشيخوخة داخل الفم للأجهزة السنية المصنوعة من تيرا هارز TC-85 (جرافي إنك، سيول، كوريا الجنوبية)، إلا أنه حتى الآن، لم تقيم أي دراسات تأثير تغييرات التصميم التي تتضمن زيادة سمك المادة على التوافق الحيوي والسُمية الخلوية للأجهزة السنية.
.
لذا، فإن تصنيع واستخدام أجهزة DPAs أو أجهزة وظيفية مخصصة وفقًا للاحتياجات الفردية للمريض يحمل دائمًا خطر التعرض لمواد سامة للخلايا. بالنظر إلى تهيج الغشاء المخاطي السابق في عدة مرضى، فإن تقييم التوافق الحيوي الإضافي هو في غاية الأهمية والأهمية السريرية.
.
لذلك، كان هدفنا هو تقييم التوافق الحيوي والسمية الخلوية لراتنج المحاذاة الجديد Tera Harz TA-28 من Graphy وتحديد ما إذا كانت التعديلات التصميمية، التي تتطلب زيادة في سمك المادة، تؤدي إلى أي انخفاض في التوافق الحيوي عندما لا يتم تعديل المعالجة اللاحقة بشكل مناسب.
لمعالجة هذا الهدف، قمنا باختبار الفرضيات الصفرية التالية:
- تمديد مدة المعالجة بالأشعة فوق البنفسجية خلال المعالجة اللاحقة لا يؤثر على التوافق الحيوي للمواد DPAs المصنوعة من Tera Harz TA-28 (Graphy Inc.، سيول، كوريا الجنوبية).
- زيادة سمك الطبقة من DPAs المصنوعة من Tera Harz TA-28 (Graphy Inc.، سيول، كوريا الجنوبية) لا تتطلب معالجة بالأشعة فوق البنفسجية لفترة طويلة أثناء المعالجة اللاحقة للحفاظ على التوافق الحيوي.
- يمكن طباعة النماذج المصممة رقميًا، المصنوعة من Tera Harz TA-28 (Graphy Inc.، سيول، كوريا الجنوبية)، بتقنية الطباعة ثلاثية الأبعاد بدقة عالية، بغض النظر عن التعديلات في مدة المعالجة بالأشعة فوق البنفسجية أو سمك المادة.
طرق
التصميم الرقمي، الطباعة ثلاثية الأبعاد والمعالجة اللاحقة للنماذج
عينات دائرية بقطر 1 سم وسماكات متفاوتة من
وتم تصميم 6 مم رقميًا باستخدام تطبيق الويب المجاني Tinkercad (أوتوديسك، سان فرانسيسكو، كاليفورنيا، الولايات المتحدة). تم تصدير ملفات STL إلى برنامج Asiga Composer (Asiga SPS
التكنولوجيا، سيدني، أستراليا)، حيث تم توجيه العينات بزاوية 90 درجة على منصة البناء. تم إضافة هياكل دعم بطول 2 مم وقطر 1 مم بالإضافة إلى شبكة تغطي لوحة البناء. تم طباعة العينات باستخدام راتنج محاذاة Tera Harz TA-28 من Graphy (شركة Graphy، سيول، كوريا الجنوبية) وطابعة Asiga MAX ثلاثية الأبعاد (Asiga SPS
التكنولوجيا، سيدني، أستراليا). بعد الطباعة، تم إزالة المحاذيات، مع هياكل الدعم والشبكة، بعناية من منصة البناء. تم وضع العينات في جهاز Graphy Tera Harz Spinner V2 (Graphy Inc.، سيول، كوريا الجنوبية) لاستخدام القوى الطرد المركزي لإزالة أي راتنج زائد من سطحها (500 دورة في الدقيقة لمدة 10 دقائق). بعد الدوران، تمت إزالة الشبكة والدعائم يدويًا. تم معالجة العينات لمدة 20 أو 30 أو 60 دقيقة في المستوى 2 في جهاز Graphy Cure THC 2 (Graphy Inc.، سيول، كوريا الجنوبية) في
جو النيتروجين قبل أن يتم غسله في الماء المغلي لمدة دقيقتين. تم قياس سمك جميع العينات يدويًا باستخدام مقياس سمك رقمي.
زراعة الخلايا
تم زراعة الخلايا الليفية اللثوية البشرية المكتسبة تجارياً (HGFs، CLS Cell Lines Service GmbH، إيبيلهايم، ألمانيا) في وسط ديلبيكو المعدل (DMEM؛ ثيرمو فيشر ساينتيفيك، كارلسباد، كاليفورنيا، الولايات المتحدة الأمريكية) يحتوي على
الجلوكوز،
مصل جنين العجل (ثيرمو فيشر ساينتيفيك، كارلسباد، كاليفورنيا، الولايات المتحدة الأمريكية)،
البنسلين،
الستربتوميسين و
حمض L-أسكوربيك (سيغما ألدريش، شتاينهايم، ألمانيا) عند
،
و
الرطوبة. تم استخدام الممرات من أربعة إلى عشرة لجميع التجارب لإعداد التجارب. تم استخدام أكيوتاس (سيغما-ألدريش كيمي GmbH، شتاينهايم، ألمانيا) لفصل الخلايا. تم عد الخلايا وزرعها بكثافة 2000-3000 خلية لكل بئر في صفائح زراعة 96 بئر (غرينر بايو-وان، فريكنهاوزن، ألمانيا) مع
وسط لكل بئر. تم السماح للخلايا بالالتصاق بقاع الخلايا لمدة 24 ساعة.
اختبار العينات
تم حضانة العينات في وسط الزراعة مع اهتزاز متقطع لمدة 12 يومًا، محاكاة مدة التآكل للموصلات الشفافة أثناء العلاج التقويمي النشط. لتقييم التأثير المحتمل لتعرض اللعاب على السمية الخلوية، تم حضانة عينات إضافية في اللعاب لمدة الفترة المقابلة، وتقييم تأثيره على حيوية الخلايا. بعد فترة الحضانة، تم نقل الوسط أو اللعاب (
لكل سمك) إلى صفيحة 96 بئر تحتوي على HGFs ملتصقة (2000-3000 خلية لكل بئر) (الشكل 1).
تم مراقبة تكاثر الخلايا باستمرار بناءً على الزيادة في التوافق الملحوظ باستخدام جهاز تصوير الخلايا الحية إنكوسايت (إنكوسايت، سارتوريوس، غوتينغن، ألمانيا). بالإضافة إلى ذلك، تم قياس حيوية الخلايا باستخدام اختبار حيوية الخلايا ألاماربلو (ألاماربلو؛ ثيرمو فيشر ساينتيفيك، ماساتشوستس، الولايات المتحدة الأمريكية) بعد
، عندما وصل التوافق إلى حوالي
.
اختبار حيوية الخلايا ألاماربلو
تم تقييم حيوية خلايا HGFs بشكل كمي باستخدام اختبار لوني (ألاماربلو؛ ثيرمو فيشر ساينتيفيك، ماساتشوستس، الولايات المتحدة الأمريكية) وفقًا لبروتوكول الشركة المصنعة. مادة اختبار حيوية الخلايا ألاماربلو
وسط زراعة الخلايا المشروطة

الشكل 1. اختبار العينات لتقييم تأثير مادة الموصل على الخلايا الليفية اللثوية البشرية (HGF).
(ثيرمو فيشر ساينتيفيك، ماساتشوستس، الولايات المتحدة الأمريكية) هو صبغة إنديغو غير سامة وقابلة للاختراق للخلايا (ريزازورين) تستخدم للتحليل الكمي لحيوية الخلايا وتكاثرها. إنها تقيس معدل التمثيل الغذائي للخلايا الحية بناءً على قدرتها على الاختزال. عند دخولها إلى الخلايا الحية، يتم اختزال ريزازورين إلى ريزوروفين، وهو مركب أحمر وعالي الفلورية. يمكن اكتشاف التغيرات في الحيوية بسهولة باستخدام قارئ صفيحة الفلورية (التحفيز عند 537 نانومتر والانبعاث عند 600 نانومتر، قارئ صفيحة فيرسامكس؛ مولكيولار ديفايسز، سوني فالي، الولايات المتحدة الأمريكية). تمت إضافة مادة ألاماربلو المخلوطة مسبقًا إلى الوسط فوق الخلايا بتركيز
(لا تتطلب خطوات غسل أو تحلل الخلايا) وبعد فترة حضانة تتراوح من ساعة إلى أربع ساعات تم اكتشاف الفلورية. تم إجراء كل تجربة مع ستة مكررات (
لكل سمك)، وتحليل كل نهج في نسختين. تم تطبيع قيم الفلورية التي تم الحصول عليها على الخلايا المعالجة بالوسط الذي تم حضانته لمدة 12 يومًا بدون عينات (
تم تعيين الضوابط السلبية كـ
)، وتم تلخيصها كمتوسطات وتحليلها إحصائيًا. نظرًا لأن المادة غير سامة، يمكن استخدام الخلايا لمزيد من التحقيقات بعد الاختبار. يعتبر الانخفاض في حيوية الخلايا بأكثر من
في التقييم الكمي تأثيرًا سامًا للخلايا (ISO 10993-5، اختبارات السمية الخلوية في المختبر). بالإضافة إلى ذلك، تم مراقبة الخلايا ميكروسكوبياً، وتم تصنيف السمية الخلوية الطفيفة عندما كانت أكثر من
من الخلايا مستديرة أو ملتصقة بشكل غير محكم، مع وجود تثبيط طفيف للنمو واضح. وفقًا لـ ISO 10993-5، يُفضل التقييم الكمي للسمية الخلوية وتكون الوسائل النوعية مناسبة لأغراض الفحص.
التحليل الإحصائي
لتحديد الفروق بين المجموعات، تم إجراء اختبار t غير المقترن أو ANOVA أحادي الاتجاه متبوعًا باختبار توكي بعد ذلك. تم حساب الخطأ القياسي للمتوسط باستخدام GraphPad PRISM (GraphPad Software، بوسطن، ماساتشوستس، الولايات المتحدة).
النتائج
دقة العينة
تم قياس العينات يدويًا باستخدام مقياس كاليبر رقمي وأظهرت دقة عالية حيث وصلت إلى القطر المطلوب 1 سم بالإضافة إلى سمك مختلف من
. تم الحفاظ على هذه الدقة باستمرار عبر جميع فترات المعالجة بالأشعة فوق البنفسجية الثلاثة المختلفة (الشكل 2).
تكاثر الخلايا وحيويتها
في البداية، تم تقييم تأثير راتنج الموصل من غرافي على الخلايا الليفية اللثوية الفموية (HGF) باستخدام عينات من سمك مادة مختلفة (
لكل سمك) تم معالجتها بعد الطباعة ثلاثية الأبعاد لمدة 20 دقيقة. لوحظ انخفاض في حيوية الخلايا مع زيادة سمك العينة (0.5 [n.s.]، 1 مم [n.s.]،
) تحت المعالجة بالأشعة فوق البنفسجية التي تمت وفقًا لمواصفات الشركة المصنعة. لم يحسن تمديد وقت المعالجة بالأشعة فوق البنفسجية إلى ما بعد 20 دقيقة الموصى بها حيوية الخلايا. من المهم أن الانخفاض في حيوية الخلايا لم يتجاوز أبدًا
، حتى عند السماكات الأعلى، مما يشير إلى أن المادة تلبي معايير عدم السمية المحددة في EN ISO 10993-5 (الشكل 3A). ومن المثير للاهتمام، كان هناك زيادة طفيفة في حيوية الخلايا عند مقارنة العينات بسمك 6 مم مع تلك التي بسمك 4 مم.
أظهر تصوير الخلايا الحية على مدى 72 ساعة أيضًا أن الخلايا تكاثرت تحت جميع الظروف (الشكل 3B)، دون ملاحظة أي تغييرات شكلية ودون انفصال أي خلايا عن قاع البئر.
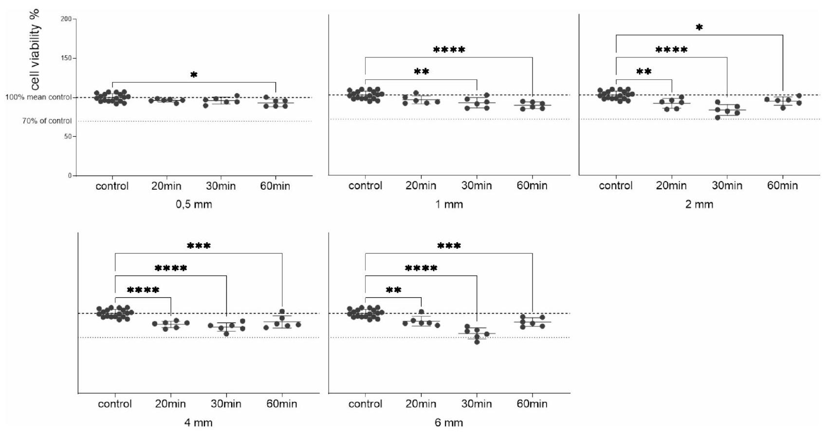
بعد ذلك، تم تغيير مدة المعالجة بالأشعة فوق البنفسجية (20، 30 و60 دقيقة). مرة أخرى، لم يُلاحظ أي انخفاض في حيوية الخلايا يتجاوز 30% (الشكل 4). انخفضت حيوية الخلايا مع زيادة وقت المعالجة لجميع المواد

الشكل 2. سمك العينات المقاسة (
) المطبوعة بسمكات مختلفة (
) باستخدام راتنج الموصل من غرافي Tera Harz TA-28 بعد المعالجة بالأشعة فوق البنفسجية باستخدام Tera Harz Cure لمدة 20 و30 و60 دقيقة على التوالي.

الشكل 3. حيوية الخلايا لـ HGF المعرضة لـ “Tera Harz TA-28”. (A) عينات من سمكات مختلفة (
، 6 مم)، جميعها تمت معالجتها بعد الطباعة لمدة 20 دقيقة؛ (B) تكاثر HGFs المعرضة لـ “Tera Harz TA-28″، تم مراقبتها مع مرور الوقت كزيادة مضاعفة في التوافق باستخدام تصوير الخلايا الحية. تم تحليل الأهمية الإحصائية باستخدام ANOVA أحادي الاتجاه،
.
سمكات، مع العينات بسمك 2 و4 و6 مم تظهر أكبر فقدان في حيوية الخلايا عند المعالجة لمدة 30 دقيقة. ومع ذلك، أظهرت المعالجة لمدة 60 دقيقة زيادة لاحقة في حيوية الخلايا.
في نهج آخر، بحثنا في تأثير اللعاب على الإفراج المحتمل عن مواد نشطة بيولوجيًا من مادة الموصل. لذلك، تم معالجة عينات من جميع السماكات المختلفة (
) لمدة 20 دقيقة ثم حضانتها في اللعاب لمدة 12 يومًا. بعد حضانة HGFs مع اللعاب المشروط، لوحظ انخفاض كبير في حيوية الخلايا، حتى عند تطبيق اللعاب غير المشروط (الشكل 5A). دعم تصوير الخلايا الحية على مدى 72 ساعة هذه النتيجة بشكل أكبر (الشكل 5B). تظهر الصور الميكروسكوبية للخلايا في الوسط وفي اللعاب (الشكل 5C وD)، المأخوذة بعد 72 ساعة، بوضوح أن HGFs في اللعاب توقفت عن التكاثر، على الرغم من أنها بدت لا تزال حيوية. هنا، من المهم بشكل خاص أن نبرز أن HGFs توقفت عن التكاثر أكثر أو أقل حتى عند تطبيق اللعاب غير المشروط.
المناقشة
من المتوقع أن تكون DPAs علامة فارقة في علاج الموصلات الشفافة بسبب مزاياها المتعددة، مثل تحسين الدقة والملاءمة، مقارنةً بالموصلات الشفافة التقليدية المنتجة في عملية تشكيل حراري
. واحدة من مزاياها الرئيسية هي القدرة على تصميم مناطق الضغط عن طريق زيادة سمك الطبقة في مناطق محددة، مما يمكن أن يسهل الحركات المطلوبة للأسنان، ويقلل من الآثار الجانبية وفي الوقت نفسه يحسن التثبيت
. قد يقلل هذا من عدد التوصيلات اللازمة لتحقيق نتيجة علاج ناجحة، مما يزيد من الكفاءة من خلال تقليل الوقت في العيادة وفي الوقت نفسه تحسين الجمالية. للاستفادة بشكل موثوق من هذه الفوائد، قد تكون الدقة العالية في عملية الطباعة ثلاثية الأبعاد حاسمة. الحفاظ على سمك دقيق هو أمر ذو أهمية خاصة لأنه قد يؤثر على الصلابة، ومقاومة التشوه، ومعامل المرونة، وقوة الشد بالإضافة إلى استرخاء الإجهاد لـ DPAs
. أظهرت هذه الدراسة مستوى عالٍ من دقة الطباعة عبر سمك مختلف ومدة المعالجة بعد التصلب (الشكل 2). وهذا يتناقض مع الأبحاث السابقة التي أفادت بأن DPAs تميل إلى أن تكون أكثر سمكًا من ملفات STL المقابلة لها
. بينما قد يظهر المادة المعدلة، Tera Harz TA-28،

الشكل 4. تباين في حيوية الخلايا تم تقييمه بعد المعالجة اللاحقة (التصلب بالأشعة فوق البنفسجية) لفترات زمنية مختلفة (20، 30، 60 دقيقة). تم وضع العينات في الوسط لمدة 12 يومًا وعلاج HGFs بالوسط المشروط (
) لمدة 72 ساعة. يتم تقديم البيانات كقيم فردية (
) بالنسبة للمتوسط المرجعي (
)، معبرًا عنها كمتوسط ± الانحراف المعياري. تم تحليل الدلالة الإحصائية باستخدام تحليل التباين أحادي الاتجاه،
.

الشكل 5. حيوية الخلايا لـ HGFs المعرضة لـ “Tera Harz TA-28” في اللعاب. (A)
اللعاب المشروط مع عينات بسمك مختلف
, جميعها تم معالجتها بعد التصلب لمدة 20 دقيقة، لمدة 12 يومًا. (B) تكاثر HGFs تحت “Tera Harz TA-28” مع
اللعاب تم مراقبته مع مرور الوقت كزيادة مضاعفة في التوافق بواسطة تصوير الخلايا الحية. (C) HGFs في وسط مشروط مع عينة بسمك 1 مم. (D) HGF في
اللعاب المشروط مع عينة بسمك 1 مم.
الاختلافات في الخصائص، من المحتمل أن تتأثر هذه التباينات بعوامل مثل اختيار الطابعة، إعدادات الطابعة وبروتوكولات المعالجة اللاحقة المطبقة
.
بالإضافة إلى مناطق الضغط المخصصة، فإن التباين في التصميم الرقمي لـ DPAs يسمح لأطباء تقويم الأسنان بإنتاج أي نوع من الأجهزة القابلة للإزالة المخصصة: على سبيل المثال، يمكن استخدام كتل العض الخلفية المصممة عن طريق زيادة سمك طبقة الإطباق الخلفية بشكل كبير حتى عدة مليمترات لإنشاء ميكانيكا من الفئة الثانية مشابهة لـ Twin-Block أو أداة التقدم الفك السفلي (Invisalign، Align Technology، سان خوسيه، كاليفورنيا، الولايات المتحدة الأمريكية). يمكن تسهيل انغماس الأضراس في المرضى الذين يعانون من عض مفتوح أمامي أيضًا.
ومع ذلك، من وجهة نظرنا، تأتي هذه الفوائد مع خطر تعريض المرضى لمونومرات سامة للخلايا حيث قد تكون مدة التصلب بالأشعة فوق البنفسجية الأطول مطلوبة لتبلمر كامل الحجم في مناطق سمك المادة الأعلى. قد يؤدي التصلب غير الكافي أو غير المكتمل للرواسب إلى زيادة احتمال حدوث آثار جانبية سلبية.
أثناء العلاج النشط، فإن الالتزام الصارم بالوقت الأساسي للارتداء لمدة
ساعات يوميًا أمر حاسم لنجاح نتيجة العلاج. وبالتالي، تبقى المادة في اتصال شبه مستمر مع بيئة الفم لدى المريض. نظرًا لبروتوكولات 7 إلى 14 يومًا النموذجية، يتم الحفاظ على معدل الإفراج العالي الأولي لجهاز DPA الذي تم ارتداؤه حديثًا طوال فترة العلاج النشط بأكملها
. كلا العاملين يزيدان من أهمية توافق المادة الحيوي بشكل كبير حيث تم بالفعل اكتشاف تهيج في الغشاء المخاطي الفموي لدى بعض المرضى
. على الرغم من أن الاهتمام المتزايد بسرعة في DPAs المصنوعة من راتنجات Graphy قد أسفر عن العديد من الدراسات البحثية، فإن معظم هذه الدراسات تركز على الخصائص الميكانيكية لـ DPAs، والدقة والسلوك البيوميكانيكي
. فقط عدد قليل من الدراسات تتناول التوافق الحيوي والمخاطر المحتملة للسُمية الخلوية لـ Tera Harz TC-
. أظهر براتسيني وآخرون أن المستخلصات من DPAs المصنوعة من Tera Harz TC-85 ليس لها تأثير سمي على الخلايا الليفية اللثوية البشرية، ولا تحفز تكاثر خلايا MCF-7 الحساسة للإستروجين. ومع ذلك، لم تتنوع دراستهم في سمك الطبقة، أو مدة التصلب اللاحق، أو الطابعة ثلاثية الأبعاد المستخدمة
. لاحظ ويلي وآخرون تباينًا كبيرًا في تسرب UDMA من DPAs المصنوعة من Tera Harz TC-85، مما قد يشكل خطرًا صحيًا محتملاً على المرضى
. فحص كامبوباسو وآخرون تأثير أجهزة ومدة التصلب المختلفة على التوافق الحيوي. وأفادوا أن استخدام Tera Harz Cure (Graphy Inc، سيول، كوريا الجنوبية) لمدة 14 دقيقة في جو نيتروجيني، كما هو موصى به لـ Tera Harz TC-85 من قبل الشركة المصنعة، أدى إلى توافق حيوي عالٍ دون دليل على السُمية الخلوية. بالمقابل، أظهرت DPAs التي تم معالجتها بعد التصلب باستخدام Form Cure (FormLabs Inc، سومرفيل، الولايات المتحدة الأمريكية) لمدة 60 دقيقة (30 دقيقة لكل جانب) سُمية خلوية معتدلة
. بالمثل، حقق إوديس وآخرون في تأثيرات فترات التصلب المختلفة باستخدام Tera Harz Cure (Graphy Inc، سيول، كوريا الجنوبية) ولاحظوا علاقة سلبية بين وقت التصلب وتكاثر الخلايا الليفية، مما يشير إلى زيادة السُمية الخلوية مع فترات التصلب المطولة
. يتماشى هذا مع نتائجنا لـ Tera Harz TA-28 عند اعتبار سمك متطابق قدره 0.5 مم، على الرغم من أن الزيادة فقط في وقت التصلب إلى 60 دقيقة أظهرت دلالة إحصائية. يمكن تفسير العلاقة السلبية الملحوظة من خلال تأثيرات التصلب بالأشعة فوق البنفسجية المطولة على خصائص المادة مثل زيادة الخشونة، المسامية، الصلابة، الشكل والضغط المتبقي. اقترحت الأبحاث السابقة أن الأسطح الملساء قد تكون أفضل في تسهيل نمو الخلايا، وأن التعرض لدرجات حرارة أعلى خلال عملية تصلب أطول قد يؤثر على خصائص السطح
. أفادت النتائج الأخيرة بعدم وجود تأثيرات كبيرة للتعرض للحرارة خلال المعالجة اللاحقة على الخصائص الميكانيكية لـ DPAs
. ومع ذلك، لم يتم تقييم التأثيرات المقابلة على السُمية الخلوية بعد.
تقيم هذه الدراسة التوافق الحيوي لـ DPAs المصنوعة من راتنج المحاذاة الجديد من Graphy، Tera Harz TA-28، بالإضافة إلى تقييم تأثيرات سمك المادة المختلفة على حيوية الخلايا. ستساهم هذه النتائج في فهم أعمق لخصائص المادة وتطبيقاتها السريرية المحتملة. حتى الآن، لم يكن من الواضح ما إذا كانت مثل هذه التعديلات التصميمية ستتطلب تغييرات كبيرة في عملية التصلب اللاحق لضمان الاستخدام الآمن بيولوجيًا لدى المرضى. عند اتباع إرشادات التصلب الخاصة بالشركة ومعالجة العينات لمدة 20 دقيقة لكل منها، يتم اكتشاف فقدان طفيف في حيوية الخلايا مع زيادة السمك. لتقييم التفاعل بين سمك DPAs، ووقت التصلب، والسُمية الخلوية الناتجة بمزيد من التفصيل، تم تحليل تأثيرات المستخلصات من عينات بسمك مختلف، تم معالجتها لمدة 20، 30، أو 60 دقيقة، على HGFs. بالنسبة للعينات بسمك 0.5 مم و1 مم، انخفضت حيوية الخلايا مع زيادة وقت التصلب. ومع ذلك، أظهرت العينات بسمك 2، 4، أو 6 مم أكبر فقدان في حيوية الخلايا عند وقت تصلب قدره 30 دقيقة، مع زيادة الحيوية مرة أخرى عند 60 دقيقة (الشكل 3). على الرغم من أن الانخفاض في حيوية الخلايا لجميع التركيبات كان أقل من
وبالتالي لم يعتبر سميًا وفقًا لمعيار ISO 10993-5، تتحدى نتائجنا التوصية الأخيرة من Graphy بتمديد التصلب بالأشعة فوق البنفسجية لمدة إضافية قدرها 10 دقائق لـ DPAs المصنوعة من TC-85 التي تزيد عن
. ومع ذلك، يجب أن يؤخذ في الاعتبار أننا لم نقلب العينات بعد المعيار البالغ 20 دقيقة كما هو مقترح في هذه التوصية الجديدة لـ DPAs الأكثر سمكًا. إذا تم اعتبار أي تمديد للتصلب بالأشعة فوق البنفسجية، يجب أن يتم تمديده بشكل كبير إلى 60 دقيقة. ومع ذلك، لم يتم ملاحظة أي تغيير كبير مقارنةً بمدة التصلب القياسية البالغة 20 دقيقة. وبالتالي، لتحسين الوقت وزيادة الإنتاجية في الممارسة اليومية، نوصي بعدم زيادة مدة التصلب بالأشعة فوق البنفسجية لسمك الطبقات التي تصل إلى 6 مم. تسلط النتائج الحالية الضوء على أن التعرض للعاب يؤثر على حيوية الخلايا، كما لوحظ من خلال الانخفاض الكبير في تكاثر الخلايا خلال حضانة اللعاب. وهذا يبرز ضرورة مراعاة العوامل داخل الفم مثل الإنزيمات اللعابية، وتغيرات الرقم الهيدروجيني والتفاعلات الميكروبية، التي قد تغير توافق المادة الحيوي.
على غرار الأبحاث السابقة، فإن أحد قيود الدراسة الحالية، كونها في المختبر، هو عدم القدرة على محاكاة جميع التأثيرات المحتملة داخل الفم بما في ذلك قوى المضغ وصريف الأسنان التي قد تتلف سطح DPAs مما يكشف عن الطبقات الداخلية التي قد لا تكون قد تم تصلبها بالكامل، الرقم الهيدروجيني، تقلبات درجة الحرارة، النشاط الميكروبي وكذلك التفاعلات الإنزيمية (مثل الإسترازات)
. ومع ذلك، فإن هذا يوفر مؤشراً جيداً، وفي رأينا، موثوقاً أيضاً على ما إذا كانت هناك حاجة لتعديل مدة المعالجة للمواد ذات الطبقات السميكة لضمان التوافق الحيوي. ومع ذلك، يبدو أن المعيار البالغ 20 دقيقة مناسب تماماً.
الاستنتاجات
إن إدخال أجهزة التقويم القابلة للتعديل باستخدام راتنجات Graphy يمثل ابتكارًا كبيرًا مقارنةً بأجهزة التقويم التقليدية المصنوعة بالتشكيل الحراري. أكدت الدراسة الحالية دقة طريقة الإنتاج العالية، حيث حقق جميع النماذج أبعادها المستهدفة بغض النظر عن وقت المعالجة بالأشعة فوق البنفسجية. كانت بروتوكولات المعالجة بالأشعة فوق البنفسجية القياسية لمدة 20 دقيقة كافية لضمان التوافق الحيوي، وبالتالي سلامة المرضى لسمك المواد يصل إلى 6 مم.
توفر البيانات
جميع مجموعات البيانات متاحة عند الطلب من المؤلف المراسل.
تاريخ الاستلام: 22 أكتوبر 2024؛ تاريخ القبول: 2 يناير 2025
نُشر على الإنترنت: 25 يناير 2025
تاريخ الاستلام: 22 أكتوبر 2024؛ تاريخ القبول: 2 يناير 2025
نُشر على الإنترنت: 25 يناير 2025
References
- Castroflorio, T., Parrini, S. & Rossini, G. Aligner biomechanics: where we are now and where we are heading for. J. World Fed. Orthod.. 13 (2), 57-64. https://doi.org/10.1016/j.ejwf.2023.12.005 (2024).
- Bichu, Y. et al. Advances in orthodontic clear aligner materials. Bioactive Mater. https://doi.org/10.1016/j.bioactmat.2022.10.006
- Weir, T. Clear aligners in orthodontic treatment. Aust Dent. J. 62 (Suppl 1), 58-62. https://doi.org/10.1111/adj. 12480 (2017).
- Rosvall, M. D., Fields, H. W., Ziuchkovski, J., Rosenstiel, S. F. & Johnston, W. M. Mar. Attractiveness, acceptability, and value of orthodontic appliances. Am J Orthod Dentofacial Orthop. 135(3): e1-12. https://doi.org/10.1016/j.ajodo.2008.09.020 (2009).
- Abbate, G. M. et al. Periodontal health in teenagers treated with removable aligners and fixed orthodontic appliances. J. Orofac. Orthop.. 76 (3), 240-250. https://doi.org/10.1007/s00056-015-0285-5 (2015).
- Shokeen, B. et al. The impact of fixed orthodontic appliances and clear aligners on the oral microbiome and the association with clinical parameters: a longitudinal comparative study. Am. J. Orthod. Dentofac. Orthop. 161 (5), e475-e485. https://doi.org/10.101 6/j.ajodo.2021.10.015 (2022).
- Tartaglia, G. M. et al. Direct 3D Printing of Clear Orthodontic aligners: current state and future possibilities. Materials https://doi .org/10.3390/ma14071799 (2021).
- Tera Harz Clear. https://www.accessdata.fda.gov/cdrh_docs/pdf24/K240597.pdf
- Luo, K. et al. Effect of post-curing conditions on surface characteristics, physico-mechanical properties, and cytotoxicity of a 3D-printed denture base polymer. Dent. Mater. 40 (3), 500-507. https://doi.org/10.1016/j.dental.2023.12.017 (2024).
- Grant, J. et al. Forces and moments generated by 3D direct printed clear aligners of varying labial and lingual thicknesses during lingual movement of maxillary central incisor: an in vitro study. Prog Orthod.. 10 (1), 23. https://doi.org/10.1186/s40510-023-004 75-2 (2023).
- Koenig, N. et al. Comparison of dimensional accuracy between direct-printed and thermoformed aligners. Korean J. Orthod. 25 (4), 249-257. https://doi.org/10.4041/kjod21.269 (2022).
- Hertan, E., McCray, J., Bankhead, B. & Kim, K. B. Force profile assessment of direct-printed aligners versus thermoformed aligners and the effects of non-engaged surface patterns. Prog. Orthodont. https://doi.org/10.1186/s40510-022-00443-2 (2022).
- Lee, S. Y. et al. Thermo-mechanical properties of 3D printed photocurable shape memory resin for clear aligners. Sci. Rep. 15 (1), 6246. https://doi.org/10.1038/s41598-022-09831-4 (2022).
- Can, E. et al. In-house 3D-printed aligners: effect of in vivo ageing on mechanical properties. Eur. J. Orthod. 25 (1), 51-55. https:/ /doi.org/10.1093/ejo/cjab022 (2022).
- Zinelis, S., Panayi, N., Polychronis, G., Papageorgiou, S. N. & Eliades, T. Comparative analysis of mechanical properties of orthodontic aligners produced by different contemporary 3D printers. Orthod. Craniofac. Res. 25 (3), 336-341. https://doi.org/10. 1111/ocr. 12537 (2022).
- Narongdej, P., Hassanpour, M., Alterman, N., Rawlins-Buchanan, F. & Barjasteh, E. Advancements in Clear Aligner fabrication: a comprehensive review of Direct-3D Printing technologies. Polymers. https://doi.org/10.3390/polym16030371 (2024).
- Alessandra, C. et al. Comparison of the cytotoxicity of 3D-printed aligners using different post-curing procedures: an in vitro study. Australas. Orthod. J. 39 (2), 49-56. https://doi.org/10.2478/aoj-2023-0026 (2023).
- Pratsinis, H. et al. Cytotoxicity and estrogenicity of a novel 3-dimensional printed orthodontic aligner. Am. J. Orthod. Dentofac. Orthop. 162 (3), e116-e122. https://doi.org/10.1016/j.ajodo.2022.06.014 (2022).
- Iodice, G. et al. Effect of post-printing curing time on cytotoxicity of direct printed aligners: a pilot study. Orthod. Craniofac. Res. https://doi.org/10.1111/ocr. 12819 (2024).
- Willi, A. et al. Leaching from a 3D-printed aligner resin. Eur. J. Orthod. 31 (3), 244-249. https://doi.org/10.1093/ejo/cjac056 (2023).
- Park, S. Y. et al. Comparison of translucency, thickness, and gap width of thermoformed and 3D-printed clear aligners using micro-CT and spectrophotometer. Sci. Rep. 5 (1), 10921. https://doi.org/10.1038/s41598-023-36851-5 (2023).
- Sayahpour, B. et al. Effects of intraoral aging on mechanical properties of directly printed aligners vs. thermoformed aligners: an in vivo prospective investigation. Eur. J. Orthod. https://doi.org/10.1093/ejo/cjad063 (2024).
- Shirey, N., Mendonca, G., Groth, C. & Kim-Berman, H. Comparison of mechanical properties of 3-dimensional printed and thermoformed orthodontic aligners. Am. J. Orthod. Dentofac. Orthop. 163 (5), 720-728. https://doi.org/10.1016/j.ajodo.2022.12.008 (May 2023).
- Edelmann, A., English, J. D., Chen, S. J. & Kasper, F. K. Analysis of the thickness of 3-dimensional-printed orthodontic aligners. Am. J. Orthod. Dentofac. Orthop.. 158 (5), e91-e98. https://doi.org/10.1016/j.ajodo.2020.07.029 (2020).
- McCarty, M. C., Chen, S. J., English, J. D. & Kasper, F. Effect of print orientation and duration of ultraviolet curing on the dimensional accuracy of a 3-dimensionally printed orthodontic clear aligner design. Am. J. Orthod. Dentofac. Orthop. 158 (6), 889-897. https://doi.org/10.1016/j.ajodo.2020.03.023 (2020).
- Mattle, M. et al. Effect of heat treatment and nitrogen atmosphere during post-curing on mechanical properties of 3D-printed orthodontic aligners. Eur. J. Orthod. https://doi.org/10.1093/ejo/cjad074 (2024).
- Graphy, T. C. 85 Certification Workshop. FORESTADENT. https://www.forestadent.com/de-de/kurse-kongresse/event/zertifizie rungsworkshop-graphy-tc-85-direct-print-aligner/
شكر وتقدير
يشكر المؤلفون السيدة سونيا هوخ-كرافت، والسيدة راهل ريجيتز على دعمهما الفني الممتاز، والسيد كريستيان جيركه، والسيد ماتياس كواس، وكارستن موهر على طباعة النماذج ثلاثية الأبعاد.
مساهمات المؤلفين
تصور: م.ب، ج.و-ج، ف.ك، ب.ل و ج.هـ؛ التصميم: ج.و-ج و ج.هـ؛ المنهجية: ج.و-ج؛ بيانات ا-
التحقيق: C.W-J.; التحقق: C.W-J.، M.B.، V.K. و C.E.; تحليل البيانات، التفسير والتصور: C.W-J.; الكتابة، المراجعة والتحرير: M.B.، C.W-J.، V.K.، B.L. و C.E.; الموارد: C.E. و B.L.; إدارة المشروع: C.E. و B.L. جميع المؤلفين قرأوا ووافقوا على النسخة المنشورة من المخطوطة.
التحقيق: C.W-J.; التحقق: C.W-J.، M.B.، V.K. و C.E.; تحليل البيانات، التفسير والتصور: C.W-J.; الكتابة، المراجعة والتحرير: M.B.، C.W-J.، V.K.، B.L. و C.E.; الموارد: C.E. و B.L.; إدارة المشروع: C.E. و B.L. جميع المؤلفين قرأوا ووافقوا على النسخة المنشورة من المخطوطة.
تمويل
تم تمويل الوصول المفتوح وتنظيمه بواسطة مشروع DEAL.
المصالح المتنافسة
يعلن المؤلفون عدم وجود مصالح متنافسة.
معلومات إضافية
يجب توجيه المراسلات والطلبات للحصول على المواد إلى م.ب. أو س.و.-ج.
معلومات إعادة الطبع والتصاريح متاحة علىwww.nature.com/reprints.
ملاحظة الناشر: تظل شركة سبرينغر ناتشر محايدة فيما يتعلق بالمطالبات القضائية في الخرائط المنشورة والانتماءات المؤسسية.
معلومات إعادة الطبع والتصاريح متاحة علىwww.nature.com/reprints.
ملاحظة الناشر: تظل شركة سبرينغر ناتشر محايدة فيما يتعلق بالمطالبات القضائية في الخرائط المنشورة والانتماءات المؤسسية.
الوصول المفتوح هذه المقالة مرخصة بموجب رخصة المشاع الإبداعي النسب 4.0 الدولية، التي تسمح بالاستخدام والمشاركة والتكيف والتوزيع وإعادة الإنتاج بأي وسيلة أو صيغة، طالما أنك تعطي الائتمان المناسب للمؤلفين الأصليين والمصدر، وتوفر رابطًا لرخصة المشاع الإبداعي، وتوضح إذا ما تم إجراء تغييرات. الصور أو المواد الأخرى من طرف ثالث في هذه المقالة مشمولة في رخصة المشاع الإبداعي الخاصة بالمقالة، ما لم يُشار إلى خلاف ذلك في سطر الائتمان للمواد. إذا لم تكن المادة مشمولة في رخصة المشاع الإبداعي الخاصة بالمقالة وكان استخدامك المقصود غير مسموح به بموجب اللوائح القانونية أو يتجاوز الاستخدام المسموح به، فسيتعين عليك الحصول على إذن مباشرة من صاحب حقوق الطبع والنشر. لعرض نسخة من هذه الرخصة، قم بزيارةhttp://creativecommons.org/licenses/by/4.0/.
© المؤلف(ون) 2025
© المؤلف(ون) 2025
قسم تقويم الأسنان وطب الأسنان الوجهية، المركز الطبي الجامعي لجامعة يوهانس غوتنبرغ ماينز، أوغسطس بلاتز 2، 55131 ماينز، ألمانيا. ²قسم تقويم الأسنان، جامعة هومبورغ، زار، ألمانيا. ممارسة خاصة لطب تقويم الأسنان، أم بانهوف 54، 56841 ترابن-تراباخ، ألمانيا. ماكسيميليان بليلوبي، كلوديا ويلتي-جزيك ساهموا بالتساوي في هذا العمل. البريد الإلكتروني:maximilian.bleiloeb@unimedizin-mainz.de; Claudia.Welte-Jzyk@unimedizin-mainz.de
Journal: Scientific Reports, Volume: 15, Issue: 1
DOI: https://doi.org/10.1038/s41598-025-85359-7
PMID: https://pubmed.ncbi.nlm.nih.gov/39863636
Publication Date: 2025-01-25
DOI: https://doi.org/10.1038/s41598-025-85359-7
PMID: https://pubmed.ncbi.nlm.nih.gov/39863636
Publication Date: 2025-01-25
OPEN
Biocompatibility of variable thicknesses of a novel directly printed aligner in orthodontics
Direct printed aligners (DPAs) offer benefits like the ability to vary layer thickness within a single DPA and to 3D print custom-made removable orthodontic appliances. The biocompatibility of appliances made from Tera Harz TA-28 (Graphy Inc., Seoul, South Korea) depends on strict adherence to a standardized production and post-production protocol, including UV curing. Our aim was to evaluate whether design modifications that increase layer thickness require a longer UV curing time to ensure biocompatibility. Specimens with varying layer thickness were printed to high accuracy using Tera Harz TA-28 and the Asiga MAX 3D printer (Asiga SPS ™ technology, Sydney, Australia). UV curing durations were set at 20, 30 and 60 min . Cytotoxicity was evaluated using the AlamarBlue assay on human gingival fibroblasts. Cell viability decreased with increasing specimen thickness (significant for 2 mm
, and
) under the manufacturer-recommended
UV curing. Extending the curing time did not improve cell viability. However, cell viability never decreased by more than 30%, meeting EN ISO 10993-5 standards for non-cytotoxicity. The standard 20-minute UV curing protocol ensures the biocompatibility and patient safety of Tera Harz TA-28 for material thicknesses up to
.
Keywords Digital orthodontics, 3D printed aligners, 3D printing, Clear aligner, Aligner therapy, Direct printed aligners, Biocompatibility, Cytotoxicity, Resin
Clear aligner therapy has become an increasingly popular treatment method among orthodontists as well as patients seeking orthodontic care worldwide
. The growing demand has led to constant improvements in materials and technologies offered by a rising number of different companies
. Consequently, the range of applications has expanded from simple cases, such as relapses and crowding, to more complex treatments in contemporary orthodontics
. Furthermore, in modern society, patients of all age groups ask for highly aesthetic, comfortable and more hygienic treatments – all of which is provided by clear aligner therapy
.
In recent years, major technological innovations in 3D printing, especially related to computer-aided design, biomaterials and manufacturing techniques, have enabled the production of in-office direct to print aligners (DPAs) – representing an innovation compared to the traditional thermoformed aligners
. DPAs made from Graphy’s resin Tera Harz TC-85 (Graphy Inc., Seoul, South Korea) have received CE and KFDA certification as well as FDA approval
. However, it is crucial to consider that this certification only applies to the finished DPAs, produced in strict adherence to the established production protocol, not to the product itself. After printing the DPAs have to undergo highly delicate post-processing involving centrifugation, UV light curing in a nitrogen atmosphere, washing in boiling water as well as drying
. Any disruption to this process can lead to reduced biocompatibility, resulting in adverse effects on patient safety, for which the working orthodontist is always responsible – also legally.
Recently, Graphy has launched an updated and modified version of its resin, Tera Harz TA-28 (Graphy Inc., Seoul, South Korea). While TA-28 and TC-85 share many of their components and physical properties, the modifications may result in differences in the DPAs biomechanical properties, performance and biocompatibilitiy
. However, this still needs to be confirmed by future research. TA-28 aligner resin, similar to other photopolymers, consists of epoxy resins, which in liquid form are highly toxic denaturing and inactivating
proteins in cells
. Thus, similar to Tera Harz TC-85, post-processing still represents the crucial part of the manufacturing process and has to be conducted according to the same protocols.
DPAs made from Graphy’s resins herald a new era in clear aligner therapy offering a number of biomechanical advantages compared to their thermoformed counterparts
. The ability to increase layer thickness in specific areas improves the efficiency of prescribed tooth movements while reducing side effects
. The capability to manufacture customized appliances, such as the Twin-Block, regarded as another key advantage, also involves increased material thickness.
Despite these wooed benefits, it is currently unknown if such adaptations to the common clear aligner thickness of
require an altered post-processing protocol
. In particular, it is unknown if the duration of polymerization using UV light needs to be extended to still guarantee biological safe use in patients.
Although the increased popularity of Graphy’s resin in recent years has led to extensive reasearch on the biomechanical properties, biocompatibility and intraoral ageing processes of DPAs made from Tera Harz TC-85 (Graphy Inc, Seoul, South Korea), to date, no studies have evaluated the influence of design changes involving increased material thickness on the DPAs’ biocompatibility and cytotoxicity
.
Thus, manufacturing and using customized DPAs or functional appliances according to the patient’s individual needs always bears the risk of exposing cytotoxic materials. Considering previous mucosa irritation in multiple patients, further biocompatibility assessment is of utmost importance and clinical relevance
.
Therefore, our objective was to evaluate the biocompatibility and cytotoxicity of Graphy’s new Tera Harz TA-28 aligner resin and to determine whether design adaptations, which require increases in material thickness, result in any reductions in biocompatibility when post-processing is not adapted appropriately.
To address this aim, we tested the following null hypotheses:
- The extension of the duration of UV curing during post-processing does not affect the biocompatibility of DPAs made from Tera Harz TA-28 (Graphy Inc., Seoul, South Korea).
- The increase in layer thickness of DPAs made from Tera Harz TA-28 (Graphy Inc., Seoul, South Korea) does not require prolonged UV curing during post-processing to maintain biocompatibility.
- Digitally designed specimens, made from Tera Harz TA-28 (Graphy Inc., Seoul, South Korea), can be 3D printed to a high degree of accuracy, regardless of modifications in UV curing duration or material thickness.
Methods
Digital design, 3D-printing and post-processing of the specimens
Circular specimens with a diameter of 1 cm and varying thicknesses of
and 6 mm were digitally designed using the free web app Tinkercad (Autodesk, San Francisco, CA, United States). The STL files were exported to the Asiga Composer Software (Asiga SPS
technology, Sydney, Australia), where the specimens were orientated at a 90 -degree-angle on the build platform. Support structures with a length of 2 mm and a diameter of 1 mm as well as a mesh covering the build plate were added. The specimens were printed using Graphy’s Tera Harz TA-28 aligner resin (Graphy Inc., Seoul, South Korea) and the Asiga MAX 3D printer (Asiga SPS
technology, Sydney, Australia). After printing, the aligners, along with their support structures and mesh, were carefully removed from the build platform. The specimens were placed in the Graphy Tera Harz Spinner V2 (Graphy Inc., Seoul, South Korea) to use centrifugal forces to remove any excess resin from their surface ( 500 rpm for 10 min ). After spinning, the mesh and supports were removed manually. The specimens were cured for 20, 30 or 60 min at Level 2 in the Graphy Cure THC 2 (Graphy Inc., Seoul, South Korea) in a
nitrogen atmosphere before being washed in boiling water for 2 min . The thickness of all specimens was measured manually using a digital caliper gauge.
Cell culture
Commercially acquired human gingival fibroblasts (HGFs, CLS Cell Lines Service GmbH, Eppelheim, Germany) were cultured in Dulbecco’s modified Eagle medium (DMEM; Thermo Fisher Scientific, Carlsbad, CA, USA) containing
glucose,
fetal bovine serum (Thermo Fisher Scientific, Carlsbad, CA, USA),
penicillin,
streptomycin and
L-ascorbic acid (Sigma Aldrich, Steinheim, Germany) at
,
and
humidity. For all experiments, passage four to ten were used for experimental setups. Accutase (Sigma-Aldrich Chemie GmbH, Steinheim, Germany) was used for cell detachment. The cells were counted and seeded at a density of 2000-3000 cells per well in 96 well culture plates (Greiner Bio-One, Frickenhausen, Germany) with
medium per well. The cells were allowed to adhere to the cell bottom for 24 h .
Specimen testing
The specimens were incubated in culture medium with intermittent shaking for 12 days, simulating the wear duration of clear aligners during active orthodontic treatment. To assess the potential impact of saliva exposure on cytotoxicity, additional samples were incubated in saliva for the corresponding period, evaluating its influence on cell viability. Following the incubation period, the medium or saliva (
for each thickness) was transferred to a 96-well plate containing adhered HGFs (2000-3000 cells per well) (Fig. 1).
Cell proliferation was monitored continuously based on the increase in confluence observed with the life-cell imaging device Incucyte (Incucyte, Sartorius, Göttingen, Germany). In addition, cell viability was measured using the AlamarBlue cell viability assay (AlamarBlue; ThermoFisher Scientific, MA, USA) after
, when confluence has reached approximately
.
AlamarBlue cell viability assay
Cell viability of the HGFs was assessed quantitatively using a colorimetric assay (AlamarBlu; ThermoFisher Scientific, MA, USA) according to the manufacturer’s protocol. The AlamarBlue cell viability reagent
Conditioned cell culture medium

Fig. 1. Specimen testing to evaluate the influence of the aligner material on human gingival fibroblasts (HGF).
(ThermoFisher Scientific, MA, USA) is a non-toxic, cell-permeable indigo dye (Resazurin) used for quantitative analysis of cell viability and proliferation. It quantifies the metabolic turnover of living cells based on their reducing power. Upon entering living cells, Resazurin is reduced to Resorufin, a red and highly fluorescent compound. Changes in viability are easily detected with a fluorescence plate reader (excitation at 537 nm and emission at 600 nm , VersaMax Microplate Reader; Molecular Devices, Sunnyvale, USA). The premixed AlamarBlue reagent was added to the media above the cells in a dilution of
(no washing or cell lysis steps are required) and after an incubation time of one to four hours fluorescence was detected. Each experiment was performed with six replicates (
for each thickness), analyzing each approach in duplicate. Fluorescence values obtained were normalized to cells treated with media incubated for 12 days without specimens (
negative controls set as
), summarized as means and statistically analyzed. As the reagent is non-toxic, the cells can be used for further investigations after the assay. A reduction in cell viability by more than
in quantitative evaluation is considered a cytotoxic effect (ISO 10993-5, Tests for in vitro cytotoxicity). In addition, the cells were monitored microscopically, and slight cytotoxicity was graded when more than
of the cells were round or loosely attached, with only slight growth inhibition evident. According to ISO 10993-5, quantitative evaluation of cytotoxicity is preferable and qualitative means are appropriate for screening purposes.
Statistical analysis
To identify differences between groups, an unpaired t-test or one-way ANOVA followed by Tukey’s post hoc test was performed. The standard error of the mean was calculated using GraphPad PRISM (GraphPad Software, Boston, MA, United States).
Results
Accuracy of specimen
The specimens were manually measured using a digital caliper gauge and demonstrated high accuracy as they reached the desired diameter of 1 cm as well as various thicknesses of
. This precision was consistently maintained across all three different UV curing durations (Fig. 2).
Cell proliferation and viability
Initially, the effect of Graphy’s aligner resin Tera Harz TA-28 on oral gingival fibroblasts (HGF) was assessed using specimens of different material thicknesses (
for each thickness) that were all post-cured for 20 min after 3D printing. A decrease in cell viability was observed with increasing specimen thickness ( 0.5 [n.s.], 1 mm [n.s.],
) under UV curing performed in accordance with the manufacturer’s specifications. Extending the UV curing time beyond the recommended 20 min did not improve cell viability. Importantly, the reduction in cell viability never exceeded
, even at higher thicknesses, indicating that the material meets the non-cytotoxicity criteria outlined in EN ISO 10993-5 (Fig. 3A).Interestingly, there was a little increase in cell viability when comparing specimens of 6 mm thickness to the ones with a thickness of 4 mm .
Live cell imaging over 72 h also showed that the cells proliferated under all conditions (Fig. 3B), with no morphological changes observed and no cells detaching from the well bottom.
Subsequently, the UV curing duration was varied (20, 30 and 60 min ). Once again, no reduction in cell viability exceeding 30% was observed (Fig. 4). Cell viability decreased with increasing curing time for all material

Fig. 2. Measured thickness of specimens (
) printed in different thicknesses (
) using Graphy’s aligner resin Tera Harz TA-28 after UV curing with Tera Harz Cure for 20, 30 and 60 min respectively.

Fig. 3. Cell viability of HGF exposed to “Tera Harz TA-28”. (A) Specimens of various thicknesses (
, 6 mm ), all post-cured for 20 minutes; (B) Proliferation of HGFs exposed to “Tera Harz TA-28”, monitored over time as a fold increase in confluence using life cell imaging. Statistical significance was analyzed using one way Anova,
.
thicknesses, with specimens of 2,4 and 6 mm showing the greatest loss in cell viability when cured for 30 min . Curing for 60 min , however, showed a subsequent increase in cell viability.
In a further approach, we investigated the influence of saliva on the potential release of biologically active substances from the aligner material. Therefore, specimens of all different thicknesses (
) were post-cured for 20 min and then incubated in saliva for 12 days. After incubating HGFs with the conditioned saliva, a significant drop in cell viability was observed, even when unconditioned saliva was applied (Fig. 5A). Live cell imaging over 72 h further supported this result (Fig.5B). Microscopic images of cells in media and in salvia (Fig. 5C and D), taken after 72 h , clearly show that HGFs in saliva ceased proliferating, despite appearing to remain viable. Here, it is particularly important to highlight that HGFs more or less stopped proliferating even when unconditioned saliva was applied.
Discussion
DPAs are anticipated to be a milestone in clear aligner therapy due to their multiple advantages, such as improved precision and fit, compared to traditional clear aligners produced in a thermoforming process
. One of their key advantages is the ability to design pressure zones by increasing layer thickness in specific areas, which can facilitate the desired tooth movements, reduce side effects and simultaneously improve anchorage
. This may reduce the number of necessary attachments for a successful treatment outcome, thereby increasing efficiency by reducing chairside time and simultaneously enhancing aesthetics. To benefit reliably from these benefits, high dimensional accuracy in the 3D printing process could be crucial. Maintaining accurate thickness is of particular importance as it may influence the stiffness, resistance to deformation, elastic modulus, tensile strength as well as stress relaxation of the DPAs
. This study demonstrated a high level of printing accuracy across different thickness and post-curing time (Fig. 2). This contrasts with previous research reporting that DPAs tend to be thicker than their corresponding STL files
. While the modified material, Tera Harz TA-28, may exhibit

Fig. 4. Variation in cell viability assessed following post processing (UV curing) for different durations (20, 30, 60 min ). Specimens in media for 12 days and treatment of HGFs with the conditioned media (
) for 72 h . Data are presented as individual values (
) relative to the control mean (
), expressed as mean ± SD. Statistical significance was analyzed using one way Anova,
.

Fig. 5. Cell viability of HGFs exposed to “Tera Harz TA-28” in saliva. (A)
saliva conditioned with specimens of varying thicknesses
, all post cured for 20 min , for 12 days. (B) Proliferation of HGFs under “Tera Harz TA-28” with
saliva monitored over time as fold increase in confluence by life cell imaging. (C) HGFs in media conditioned with specimen of 1 mm thickness. (D) HGF in
salvia conditioned with specimen of 1 mm thickness.
differences in properties, such variations are likely influenced by factors such as the choice of printer, printer settings and the post-processing protocols applied
.
In addition to customized pressure zones, the variability in the DPAs’ digital design allows orthodontists to produce almost any kind of desired, custom-made removable orthodontic appliance: For instance, posterior bite blocks designed by increasing posterior occlusal layer thickness significantly up to several millimeters can be used to create Class II mechanics similar to the Twin-Block or the Mandibular Advancement Tool (Invisalign, Align Technology, San Joé, CA, USA). Molar intrusion in patients with anterior open bite can be facilitated as well.
However, from our perspective, these benefits come with the risk of exposing patients to cytotoxic monomers as a longer UV curing duration might be needed for the UV light to fully polymerize the whole volume in areas of higher material thickness. Insufficient or incomplete curing of the resin may increase the potential for adverse side effects.
During active treatment, strict adherence to the essential wearing time of
hours daily is crucial for successful treatment outcome. Consequently, the material remains in almost continuous contact with the patient’s oral environment. Given the typical 7- to 14-day protocols, the initial high release rate of a newly worn DPA is consistently maintained throughout the entire active treatment period
. Both factors increase the importance of the material’s biocompatibility significantly as oral mucosa irritation has already been detected in some patients
. Although the rapidly increasing interest in DPAs made from Graphy’s resins has resulted in numerous research studies, most of these focus on the DPAs’ mechanical properties, accuracy and biomechanical behavior
. Only a few studies address the biocompatibility and potential risk of cytotoxicity of Tera Harz TC-
. Pratsinis et al. demonstrated that the eluates of DPAs made from Tera Harz TC-85 do not have a cytotoxic effect on human gingival fibroblasts, nor do they induce the proliferation of estrogen-sensitive MCF-7 cells. However, their study did not vary layer thickness, post-curing duration, or the 3D printer used
. Willi et al. observed considerable variability in UDMA leaching from DPAs made from Tera Harz TC-85, which could pose a potential health risk to patients
. Campobasso et al. examined the impact of varying post-curing devices and durations on biocompatibility. They reported that using the Tera Harz Cure (Graphy Inc, Seoul, South Korea) for 14 min in a nitrogen atmosphere, as recommended for Tera Harz TC-85 by the manufacturer, resulted in high biocompatibility with no evidence of cytotoxicity. In contrast, DPAs postcured with the Form Cure (FormLabs Inc, Somerville, USA) for 60 min ( 30 min per side) exhibited moderate cytotoxicity
. Similarly, Iodice et al. investigated the effects of different curing durations using the Tera Harz Cure (Graphy Inc, Seoul, South Korea) and observed a negative correlation between curing time and fibroblast proliferation, indicating increased cytotoxicity with prolonged curing durations
. This is in line with our results for Tera Harz TA-28 when considering an identical thickness of 0.5 mm , although only the increase in curing time to 60 min showed statistical significance. The observed negative correlation could potentially be explained by the effects of prolonged UV curing on the material’s characteristics such as increased roughness, porosity, hardness, morphology and residual stress. Previous research has suggested that smooth surfaces might be better in facilitaing cell growth, and that the exposure to higher temperatures during a longer curing process could have an impact on the surface properties
. Recent findings reported no significant effects of heat exposure during post-processing on the DPAs’ mechanical properties
. However, corresponding effects on cytotoxicity have not yet been assessed.
This study evaluates the biocompatibility of DPAs made from Graphy’s new aligner resin, Tera Harz TA-28, as well as assesses the effects of different material thicknesses on cell viability. These findings will contribute to a deeper understanding of the material’s properties and its potential clinical applications. Until now, it was unclear whether such design adaptations would require significant alterations in the post-curing process to still guarantee biological safe use in patients. When following the company’s curing guidelines and curing the specimens for 20 min each, a slight loss of cell vitality is detected with increasing thickness. To further evaluate the interplay between DPAs’ thickness, curing time, and the resulting cytotoxicity in more detail, the effects of eluates from specimens of different thicknesses, cured for either 20, 30 , or 60 min , on HGFs were analyzed. For specimens with 0.5 mm and 1 mm thickness, cell viability decreased with increasing curing time. However, specimens with a thickness of 2,4 , or 6 mm showed the greatest loss in cell viability at a curing time of 30 min , with viability increasing again at 60 min (Fig. 3). Although the decrease in cell viability for all combinations was less than
and therefore not considered cytotoxic according to the ISO 10993-5 standard, our findings challenge Graphy’s recent recommendation to extend UV curing by an additional 10 min for DPAs made from TC-85 that are thicker than
. However, it needs to be considered that we did not flip the specimens after the standard of 20 min as suggested in this new recommendation for thicker DPAs. If any prolongation of UV curing is considered, it should be significantly extended to 60 min . Nevertheless, no significant change was observed compared to the standard 20 -minute UV curing duration. Consequently, to optimize time and enhance productivity in daily practice, we recommend not to increase UV curing duration for layer thicknesses of up to 6 mm . The present findings highlight that saliva exposure impacts cell viability, as observed through the significant reduction in cell proliferation during saliva incubation. This emphasizes the necessity of considering intraoral factors such as salivary enzymes, pH variations and microbial interactions, which may alter material biocompatibility.
Similar to previous research, one limitation of the current study, being in-vitro, is the inability to fully simulate all potential intraoral influences including chewing forces and bruxism which may damage the DPAs surface exposing inner layers that might not be fully cured, pH , temperature fluctuations, microbial activity as well as enzymatic reactions (e.g. esterases)
. Nevertheless, this provides a good and, in our opinion, also reliable indication of whether an adjustment in curing duration is needed for DPAs with increased layer thickness to ensure biocompatibility. However, the standard of 20 min seems perfectly suitable.
Conclusions
The introduction of DPAs using Graphy’s aligner resins marks a significant innovation over traditional thermoformed aligners. The current study confirmed the high accuracy of the production method, as all specimens achieved their target dimensions irrespective of the UV curing time. The standard 20 -minute UV curing protocol was sufficient to ensure biocompatibility and, thus, patient safety for material thicknesses up to 6 mm .
Data availability
All datasets are available upon request from the corresponding author.
Received: 22 October 2024; Accepted: 2 January 2025
Published online: 25 January 2025
Received: 22 October 2024; Accepted: 2 January 2025
Published online: 25 January 2025
References
- Castroflorio, T., Parrini, S. & Rossini, G. Aligner biomechanics: where we are now and where we are heading for. J. World Fed. Orthod.. 13 (2), 57-64. https://doi.org/10.1016/j.ejwf.2023.12.005 (2024).
- Bichu, Y. et al. Advances in orthodontic clear aligner materials. Bioactive Mater. https://doi.org/10.1016/j.bioactmat.2022.10.006
- Weir, T. Clear aligners in orthodontic treatment. Aust Dent. J. 62 (Suppl 1), 58-62. https://doi.org/10.1111/adj. 12480 (2017).
- Rosvall, M. D., Fields, H. W., Ziuchkovski, J., Rosenstiel, S. F. & Johnston, W. M. Mar. Attractiveness, acceptability, and value of orthodontic appliances. Am J Orthod Dentofacial Orthop. 135(3): e1-12. https://doi.org/10.1016/j.ajodo.2008.09.020 (2009).
- Abbate, G. M. et al. Periodontal health in teenagers treated with removable aligners and fixed orthodontic appliances. J. Orofac. Orthop.. 76 (3), 240-250. https://doi.org/10.1007/s00056-015-0285-5 (2015).
- Shokeen, B. et al. The impact of fixed orthodontic appliances and clear aligners on the oral microbiome and the association with clinical parameters: a longitudinal comparative study. Am. J. Orthod. Dentofac. Orthop. 161 (5), e475-e485. https://doi.org/10.101 6/j.ajodo.2021.10.015 (2022).
- Tartaglia, G. M. et al. Direct 3D Printing of Clear Orthodontic aligners: current state and future possibilities. Materials https://doi .org/10.3390/ma14071799 (2021).
- Tera Harz Clear. https://www.accessdata.fda.gov/cdrh_docs/pdf24/K240597.pdf
- Luo, K. et al. Effect of post-curing conditions on surface characteristics, physico-mechanical properties, and cytotoxicity of a 3D-printed denture base polymer. Dent. Mater. 40 (3), 500-507. https://doi.org/10.1016/j.dental.2023.12.017 (2024).
- Grant, J. et al. Forces and moments generated by 3D direct printed clear aligners of varying labial and lingual thicknesses during lingual movement of maxillary central incisor: an in vitro study. Prog Orthod.. 10 (1), 23. https://doi.org/10.1186/s40510-023-004 75-2 (2023).
- Koenig, N. et al. Comparison of dimensional accuracy between direct-printed and thermoformed aligners. Korean J. Orthod. 25 (4), 249-257. https://doi.org/10.4041/kjod21.269 (2022).
- Hertan, E., McCray, J., Bankhead, B. & Kim, K. B. Force profile assessment of direct-printed aligners versus thermoformed aligners and the effects of non-engaged surface patterns. Prog. Orthodont. https://doi.org/10.1186/s40510-022-00443-2 (2022).
- Lee, S. Y. et al. Thermo-mechanical properties of 3D printed photocurable shape memory resin for clear aligners. Sci. Rep. 15 (1), 6246. https://doi.org/10.1038/s41598-022-09831-4 (2022).
- Can, E. et al. In-house 3D-printed aligners: effect of in vivo ageing on mechanical properties. Eur. J. Orthod. 25 (1), 51-55. https:/ /doi.org/10.1093/ejo/cjab022 (2022).
- Zinelis, S., Panayi, N., Polychronis, G., Papageorgiou, S. N. & Eliades, T. Comparative analysis of mechanical properties of orthodontic aligners produced by different contemporary 3D printers. Orthod. Craniofac. Res. 25 (3), 336-341. https://doi.org/10. 1111/ocr. 12537 (2022).
- Narongdej, P., Hassanpour, M., Alterman, N., Rawlins-Buchanan, F. & Barjasteh, E. Advancements in Clear Aligner fabrication: a comprehensive review of Direct-3D Printing technologies. Polymers. https://doi.org/10.3390/polym16030371 (2024).
- Alessandra, C. et al. Comparison of the cytotoxicity of 3D-printed aligners using different post-curing procedures: an in vitro study. Australas. Orthod. J. 39 (2), 49-56. https://doi.org/10.2478/aoj-2023-0026 (2023).
- Pratsinis, H. et al. Cytotoxicity and estrogenicity of a novel 3-dimensional printed orthodontic aligner. Am. J. Orthod. Dentofac. Orthop. 162 (3), e116-e122. https://doi.org/10.1016/j.ajodo.2022.06.014 (2022).
- Iodice, G. et al. Effect of post-printing curing time on cytotoxicity of direct printed aligners: a pilot study. Orthod. Craniofac. Res. https://doi.org/10.1111/ocr. 12819 (2024).
- Willi, A. et al. Leaching from a 3D-printed aligner resin. Eur. J. Orthod. 31 (3), 244-249. https://doi.org/10.1093/ejo/cjac056 (2023).
- Park, S. Y. et al. Comparison of translucency, thickness, and gap width of thermoformed and 3D-printed clear aligners using micro-CT and spectrophotometer. Sci. Rep. 5 (1), 10921. https://doi.org/10.1038/s41598-023-36851-5 (2023).
- Sayahpour, B. et al. Effects of intraoral aging on mechanical properties of directly printed aligners vs. thermoformed aligners: an in vivo prospective investigation. Eur. J. Orthod. https://doi.org/10.1093/ejo/cjad063 (2024).
- Shirey, N., Mendonca, G., Groth, C. & Kim-Berman, H. Comparison of mechanical properties of 3-dimensional printed and thermoformed orthodontic aligners. Am. J. Orthod. Dentofac. Orthop. 163 (5), 720-728. https://doi.org/10.1016/j.ajodo.2022.12.008 (May 2023).
- Edelmann, A., English, J. D., Chen, S. J. & Kasper, F. K. Analysis of the thickness of 3-dimensional-printed orthodontic aligners. Am. J. Orthod. Dentofac. Orthop.. 158 (5), e91-e98. https://doi.org/10.1016/j.ajodo.2020.07.029 (2020).
- McCarty, M. C., Chen, S. J., English, J. D. & Kasper, F. Effect of print orientation and duration of ultraviolet curing on the dimensional accuracy of a 3-dimensionally printed orthodontic clear aligner design. Am. J. Orthod. Dentofac. Orthop. 158 (6), 889-897. https://doi.org/10.1016/j.ajodo.2020.03.023 (2020).
- Mattle, M. et al. Effect of heat treatment and nitrogen atmosphere during post-curing on mechanical properties of 3D-printed orthodontic aligners. Eur. J. Orthod. https://doi.org/10.1093/ejo/cjad074 (2024).
- Graphy, T. C. 85 Certification Workshop. FORESTADENT. https://www.forestadent.com/de-de/kurse-kongresse/event/zertifizie rungsworkshop-graphy-tc-85-direct-print-aligner/
Acknowledgements
The authors thank Ms Sonja Hoch-Kraft, Ms Rahel Regitz for their excellent technical support and Mr Christian Gehrke, Mr Matthias Quoß and Carsten Mohr for 3D printing the specimens.
Author contributions
Conceptualization: M.B., C.W-J., V.K., B.L and C.E.; Design: C.W-J. and C.E.; Methodology: C.W-J.; Data ac-
quisition C.W-J.; Validation: C.W-J., M.B., V.K., and C.E.; Data analysis, interpretation and visualisation C.W-J.; Writing, review and editing: M.B., C.W-J., V.K., B.L. and C.E.; Resources: C.E. and B.L.; Project administration: C.E. and B.L. All authors have read and agreed to the published version of the manuscript.
quisition C.W-J.; Validation: C.W-J., M.B., V.K., and C.E.; Data analysis, interpretation and visualisation C.W-J.; Writing, review and editing: M.B., C.W-J., V.K., B.L. and C.E.; Resources: C.E. and B.L.; Project administration: C.E. and B.L. All authors have read and agreed to the published version of the manuscript.
Funding
Open Access funding enabled and organized by Projekt DEAL.
Competing interests
The authors declare no competing interests.
Additional information
Correspondence and requests for materials should be addressed to M.B. or C.W.-J.
Reprints and permissions information is available at www.nature.com/reprints.
Publisher’s note Springer Nature remains neutral with regard to jurisdictional claims in published maps and institutional affiliations.
Reprints and permissions information is available at www.nature.com/reprints.
Publisher’s note Springer Nature remains neutral with regard to jurisdictional claims in published maps and institutional affiliations.
Open Access This article is licensed under a Creative Commons Attribution 4.0 International License, which permits use, sharing, adaptation, distribution and reproduction in any medium or format, as long as you give appropriate credit to the original author(s) and the source, provide a link to the Creative Commons licence, and indicate if changes were made. The images or other third party material in this article are included in the article’s Creative Commons licence, unless indicated otherwise in a credit line to the material. If material is not included in the article’s Creative Commons licence and your intended use is not permitted by statutory regulation or exceeds the permitted use, you will need to obtain permission directly from the copyright holder. To view a copy of this licence, visit http://creativecommons.org/licenses/by/4.0/.
© The Author(s) 2025
© The Author(s) 2025
Department of Orthodontics and Dentofacial Orthopedics, University Medical Center of the Johannes GutenbergUniversity Mainz, Augustusplatz 2, 55131 Mainz, Germany. ²Department of Orthodontics, University of Homburg, Saar, Germany. Private Practice of Orthodontics, Am Bahnhof 54, 56841 Traben-Trarbach, Germany. Maximilian Bleilöb, Claudia Welte-Jzyk contributed equally to this work. email: maximilian.bleiloeb@unimedizin-mainz.de; Claudia.Welte-Jzyk@unimedizin-mainz.de
