المجلة: Scientific Reports، المجلد: 14، العدد: 1
DOI: https://doi.org/10.1038/s41598-024-51371-6
PMID: https://pubmed.ncbi.nlm.nih.gov/38195846
تاريخ النشر: 2024-01-09
DOI: https://doi.org/10.1038/s41598-024-51371-6
PMID: https://pubmed.ncbi.nlm.nih.gov/38195846
تاريخ النشر: 2024-01-09
تحفيز البذور بالسيلينيوم يحسن نمو وإنتاج نباتات الكينوا التي تعاني من الجفاف
يعتبر إجهاد الجفاف تهديدًا عالميًا لإنتاجية المحاصيل، خاصة في المناطق الجافة وشبه الجافة من العالم. في الدراسة الحالية، تم التحقيق في تأثير نقع بذور السيلينيوم (Se) على محصول الكينوا تحت ظروف طبيعية وظروف جفاف. تم تنفيذ تجربة في أصص لتعزيز تحمل الجفاف في الكينوا من خلال نقع بذور السيلينيوم.
، و
). تم تعريض النباتات لإجهاد مائي في ثلاث مراحل نمو مختلفة من الكينوا، وهي: مرحلة الأوراق المتعددة، ومرحلة الإزهار، ومرحلة ملء البذور. لوحظ أن الجفاف أثر بشكل كبير على مكونات محصول الكينوا، ومع ذلك، فإن معالجة السيلينيوم حسنت من قدرة الكينوا على تحمل الجفاف وإنتاجيته من خلال الحفاظ على حالة المياه في النبات. زادت معالجة السيلينيوم بشكل كبير من طول السنبلة الرئيسية (
وزن السنبلة الرئيسية (
) ووزن الألف حبة (
) بالإضافة إلى معايير تبادل الغاز (معدل النتح (
التوصيل الثغري (
) ومعدل التمثيل الضوئي (
)، الفينولات الكلية (
محتويات الكلوروفيل في الأوراق (35.97%)، علاقات المياه (محتويات المياه النسبية في الأوراق (14.55%)، الجهد الأسموزي (
)، جهد الماء (
) ، وإمكان الضغط (
) والعائد الاقتصادي (
) تحت ضغط الجفاف. علاوة على ذلك، أدى تحفيز السيلينيوم إلى تحسين ملحوظ في معايير جودة الحبوب مثل محتويات الفوسفور والبوتاسيوم والبروتين بواسطة
، و
، على التوالي. ربط تحليل المكونات الرئيسية بين مقاييس الدراسة المختلفة وأظهر قدرة العوامل الفيزيائية والكيميائية الحيوية على وصف تقلبات المحصول استجابةً لتقنية تنشيط البذور باستخدام السيلينيوم تحت ظروف الجفاف. في الختام، فإن الجفاف في مرحلة ملء البذور له تأثير ضار أكثر بكثير مقارنةً بمراحل النمو الحرجة الأخرى، وتنشيط البذور باستخدام
وجد أنه أكثر فعالية في تخفيف الآثار الضارة للجفاف على محصول الكينوا.
يتمتع عدد سكان العالم بنمو سريع ويقترح أنه سيصل إلى
مليار حتى عام 2050، مما يتطلب زيادة في إنتاج الغذاء إلى
أكثر من معدلات 2015
بينما يهدد تغير المناخ الأمن الغذائي بشكل رئيسي بسبب ارتفاع درجات الحرارة الذي يؤدي إلى زيادة حالات الجفاف في جميع أنحاء العالم، كما اقترحت نماذج توقعات المناخ أن
سترتفع درجة الحرارة في نهاية القرن الحادي والعشرين
ومع ذلك، فإن إدراج المحاصيل الحبيبية المقاومة للمناخ في نمط الزراعة سيساعد في حل هذه المعضلة. في هذا السياق، يعتبر الكينوا (Chenopodium quinoa Willd.) خيارًا ممتازًا لديه القدرة على تحمل مجموعة واسعة من الضغوط غير الحيوية والنمو بشكل فعال مع الحد الأدنى من المدخلات. إن تكيفه مع الجفاف والملوحة والبرودة، بالإضافة إلى قيمته الغذائية الرائعة، يميز الكينوا كغذاء وظيفي مقاوم للمناخ.
تحتوي الكينوا على خصائص غذائية استثنائية مثل محتواها العالي من البروتين
) ، المعادن (
)، الفيتامينات (
) وجميع الأحماض الأمينية التي يحتاجها جسم الإنسان
تعتبر المركبات المضادة للأكسدة مثل الفيتوستيرولات، والبوليفينولات، والفلافونويدات ذات الفوائد الغذائية المحتملة من المزايا الغذائية للكينوا.
تحتوي الكينوا على ما يصل إلى
سمين
رماد
نشا و
الألياف الخام
لقد أدى النجاح في زراعة الكينوا في باكستان إلى شمولية
استكشاف إمكانيات نموه وإنتاجه
ومع ذلك، من المهم أن نلاحظ أن نمو الكينوا وإنتاجها يمكن أن يتأثرا بشكل كبير تحت ضغط الجفاف الشديد.
لقد وُجد أن مراحل الإزهار وتعبئة البذور هي الأكثر حساسية وحيوية في الكينوا تجاه الإجهاد المائي، مما يحد في النهاية من إنتاجية المحصول.
.
أثرت الجفاف بشكل كبير على نمو النباتات وتطورها، مما أدى إلى انخفاض ملحوظ في تراكم الكتلة الحيوية ومعدل نمو المحاصيل.
تشمل العواقب الرئيسية للجفاف على نباتات المحاصيل تقليص حجم الأوراق، ومعدل انقسام الخلايا، وانتشار الجذور، وإطالة الساق.
كما أن الجفاف يعطل تذبذبات الثغور ويؤثر على علاقات المياه والعناصر الغذائية في النباتات، وكفاءة استخدام المياه (WUE) وإنتاجية المحاصيل.
تحت ظروف مرض السكري، يؤدي الارتفاع غير الضروري في أنواع الأكسجين التفاعلية (ROS) إلى تلف أكسدي، وفي النهاية، موت النبات.
تحضير البذور هو الترطيب والتحكم في جفاف البذور من أجل تعزيز الإنبات السريع والتأسيس المستدام في ظل ظروف الضغط.
.
تم وصف السيلينيوم (Se) كعنصر غذائي حيوي للبشر والحيوانات والنباتات، بالإضافة إلى كونه سمًا بيئيًا.
عتبة سمية السيلينيوم ونقصه غير مهمة وتعتمد على عوامل مثل تركيبه الكيميائي، تركيزه وظروف بيئية مختلفة.
السيلينيوم هو عنصر غذائي مفيد يعمل كعامل مضاد للشيخوخة ومضاد للأكسدة، ويشارك في الدفاع النشط للنبات ضد الضغوط الحيوية وغير الحيوية.
تطبيق السيلينيوم لديه القدرة على تحسين القيمة الغذائية للمحصول، والعائد الاقتصادي، وتحمل النبات للظروف غير الحيوية. يعزز السيلينيوم نمو المحاصيل من خلال تراكم النشا في البلاستيدات الخضراء.
علاوة على ذلك، يمكن أن يتحكم السيلينيوم في نشاط عدد من إنزيمات ومركبات مضادات الأكسدة، مما يمكّن النباتات من تحمل الإجهاد التأكسدي.
ومع ذلك، فإن سمية السيلينيوم أو فوائده تعتمد بشكل كبير على التركيز المستخدم.
.
الجفاف، وهو ضغط متعدد الأبعاد، يؤثر على مختلف الصفات الفسيولوجية والبيوكيميائية في النباتات بما في ذلك معدل التمثيل الضوئي، وإمكانات التوتر، وإمكانات الأسموزة بالإضافة إلى الإصابة الشديدة بالأغشية الخلوية.
تراكم النباتات أنواع الأكسجين النشطة مثل
و
رداً على
تُحمي أنظمة خلايا النباتات من التأثير السمي لهذه الجذور النشطة بواسطة النشاط الإنزيمي ومضادات الأكسدة غير الإنزيمية.
. ومع ذلك، تم الإبلاغ عن الدور الوقائي لتطبيق السيلينيوم الورقي أيضًا في ظل ظروف الجفاف. تادينا وآخرون.
لوحظت موصلية stomatal أقل بشكل ملحوظ في نباتات الحنطة السوداء الشائعة التي تعاني من نقص المياه مقارنة بالنباتات المعالجة بالسيلينيوم التي تعاني من نقص المياه والتي تتمتع بموصلية stomatal أعلى. تطبيق السيلينيوم كـ
زيادة كبيرة في نشاط الجذور، محتويات البرولين، محتويات الكلوروفيل، معدل التمثيل الضوئي وإنتاج الحبوب تحت ظروف الإجهاد غير الحيوي في السورغم ثنائي اللون.
لقد حسنت المعاملة الأولية والتطبيق الورقي بشكل كبير من الإمكانات الأسموزية، وإمكانات الماء، وإمكانات الضغط، ومحتويات الكلوروفيل الكلي، والعائد البيولوجي، وعائد الحبوب في محاصيل الكاميلينا والكانولا تحت ظروف الجفاف.
. علاوة على ذلك، فإن تطبيق س يتغير نشاط الغشاء ونفاذيته ويعمل كعامل مساعد لإنزيم الجلوتاثيون بيروكسيداز الذي يحفز تفاعل اختزال البيروكسيد، ويحمي النباتات من الإجهاد المائي ويخفف من الإجهاد التأكسدي عن طريق إعاقة تأكسد الدهون.
.
ركزت الدراسة على التحقيق في فعالية نقع بذور السيلينيوم في تعزيز قدرة الكينوا على تحمل الجفاف من خلال تحسين خصائصها الفسيولوجية والبيوكيميائية. كان أحد الأهداف الرئيسية للدراسة هو تقييم تأثير نقع بذور السيلينيوم على النمو والإنتاجية والخصائص الفسيولوجية للكينوا المعرضة لظروف إجهاد الجفاف.
المواد والأساليب
إدارة التخطيط والقص
تم الانتهاء من التجربة في مستودع الأسلاك التابع لقسم الزراعة، الجامعة الإسلامية في باهوالبور، باكستان (خط الطول:
; خط العرض:
). تم إجراء الفحص الفيزيائي الكيميائي للتربة التجريبية قبل الزراعة وهو موضح في الجدول 1. يتم توضيح الرطوبة النسبية (RH) ، وهطول الأمطار ، ودرجة الحرارة القصوى والدنيا (بيانات مقياس الحرارة الرقمي (Youshiko YC9070) طوال موسم نمو الكينوا في الشكل 1. تم جمع بذور الكينوا (UAF-Q7) من جامعة الزراعة في فيصل آباد. تم إعداد التجربة باستخدام تصميم عشوائي كامل (CRD) في ترتيب عاملي ، مع أربع تكرارات في أصص بلاستيكية قياس
ويحتوي كل وعاء على 17.5 كجم من التربة. تم وضع هذه الأوعية في بيت سلكي، يمكن تغطيته بغطاء بلاستيكي شفاف لحماية نباتات المحاصيل من الأمطار، عند الحاجة. تم زراعة عشرة بذور كينوا لكل وعاء وتم الحفاظ على أربعة نباتات لكل وعاء من خلال إزالة النباتات الزائدة في مرحلة ورقتين. لتقليل أي تأثيرات مرتبطة بالبيئة، تم تدوير مواقع الأوعية كل أسبوع. تلقى كل وعاء تطبيقًا للأسمدة بمقدار 2 جرام من النيتروجين و
لكل وعاء. تم استخدام الكمية الكاملة من الفوسفور والنيتروجين كجرعة أساسية.
| المعلمات | ملف التربة |
| طين (%) | 9.5 |
| الطين (%) | ٣٣.٥ |
| الرمل (%) | ٥٧ |
| درجة الحموضة | 7.37 |
| فئة القوام | تربة رملية طينية |
| المادة العضوية (%) | 0.91 |
| التوصيل الكهربائي
|
٢.٥١ |
| البوتاسيوم المتاح (جزء في المليون) | ١٠٩ |
| الأمونياك ن
|
1.62 |
| الفوسفور المتاح (جزء في المليون) | 6.77 |
الجدول 1. الخصائص الفيزيائية والكيميائية للتربة التجريبية.

الشكل 1. الرطوبة النسبية (RH)، هطول الأمطار، أقصى وأدنى درجة حرارة خلال فترة نمو الكينوا.
فرض الجفاف وتحفيز Se
تم تنفيذ إجهاد الجفاف في مراحل متعددة من الأوراق (MLS) بعد 30 يومًا من الإنبات (DAG)، ومرحلة الإزهار (FS، 60 DAG) ومرحلة ملء البذور (SFS، 85 DAG)، بينما تم استخدام إمداد الماء العادي كعلاج تحكم (CK). تم فحص نباتات الكينوا يوميًا للكشف عن ظواهرها الفينولوجية لتطبيق دقيق لإجهاد الجفاف القائم على مراحل النمو (DS) كما أوضح سوسا-زونيجا وآخرون.
. جميع الأواني تلقت نفس كمية الماء عند
سعة احتفاظ التربة بالمياه (WHC)، والتي تُعرف أيضًا بالعلاج الضابط، حتى بدء فترة الجفاف. بعد ذلك، تم تنفيذ فترة الجفاف في MLS وFS وSFS من خلال الحفاظ على سعة احتفاظ التربة بالمياه عند
.
س selenate الصوديوم
تم استخدامه لتهيئة البذور. محلول
و
تم تحضيرها بنقع بذور الكينوا في
حل لمدة 6 ساعات ثم جفف تحت الظل حتى مستوى رطوبته الأصلي قبل الزراعة.
تسجيل البيانات والإجراءات المتعلقة بها
معايير النمو والعائد
تم حصاد النباتات بعد 140 يومًا بعد الزراعة عندما وصلت إلى النضج من أجل قياس ارتفاع النبات، عدد النورات لكل نبات، طول ووزن النورة الرئيسية، وزن الألف حبة، العائد البيولوجي والاقتصادي.
تم حصاد النباتات بعد 140 يومًا بعد الزراعة عندما وصلت إلى النضج من أجل قياس ارتفاع النبات، عدد النورات لكل نبات، طول ووزن النورة الرئيسية، وزن الألف حبة، العائد البيولوجي والاقتصادي.
السمات الفسيولوجية
تم تقييم محتويات الكلوروفيل في الأوراق من الأوراق الشابة المتوسعة بالكامل بعد 50 يومًا بعد الزراعة باستخدام مقياس الكلوروفيل (نموذج CL-01، أدوات هانسيتش المحدودة، المملكة المتحدة)، وكانت حساب كفاءة استخدام المياه (WUE) بناءً على الصيغة المحددة التي وصفها إقبال وآخرون.
WUE = محصول الحبوب / إجمالي المياه المطبقة. تم تحديد إجمالي الفينولات في الأوراق وفقًا للبروتوكول القياسي الموضح بواسطة ووترهاوس.
.
تم قياس خصائص تبادل الغاز، أي معدل النتح، ومعدل التمثيل الضوئي، وموصلية الثغور، للأوراق الشابة الخامسة الأكثر اتساعًا باستخدام نظام LI-COR Li-6400 (الولايات المتحدة الأمريكية) المحمول للتمثيل الضوئي، في الظهيرة.
علاقات المياه
تم تقييم جهد الماء في الورقة ومحتويات الماء النسبية (RWC) باستخدام ورقتين طازجتين بالكامل بعد خمسين يومًا من الإنبات، وتم استخدام مقياس الرطوبة الحرارية PSYPRO (Wescor، الولايات المتحدة الأمريكية) لقياس جهد الماء في الورقة. تم إزالة الأوراق الطازجة من النباتات ونقلها على الفور إلى موقع الاختبار (المختبر) لتسجيل الوزن الطازج (FW). ثم تم غمر الأوراق في الماء المقطر لمدة 24 ساعة في
وتم قياس وزنها المتورم (TW). ثم تم تسجيل الوزن الجاف للأوراق عن طريق وضعها في فرن مضبوط على
حتى الوصول إلى وزن ثابت. تم تحديد نسبة محتوى الماء النسبي للأوراق (%) باستخدام الصيغة المعطاة.
.
تم استخدام جهاز قياس جهد الماء (تشاس و. كوك، برمنغهام، إنجلترا) لتسجيل جهد الماء في الأوراق.
). إمكانات الأسموزية للأوراق (
تم حسابه عن طريق تجميد الأوراق في النيتروجين السائل، بعد ذلك تم استخراج العصارة لتحديد الإمكانية الأسموزية من خلال مقياس ضغط البخار (Wescor 5520، لوغان، الولايات المتحدة الأمريكية). تم حساب إمكانيات انتفاخ الأوراق (MPa، LTP) باستخدام الصيغة التالية
.
LTP = LWP – LOP
LTP = LWP – LOP
معايير الجودة
تم طحن حبوب الكينوا (0.1 جرام) إلى مسحوق جاف ووضعها في أنابيب الهضم. إلى كل أنبوب، أضيف 5 مل من محلول صارم
تمت الإضافة، وتم حضن أنابيب الهضم عند
بين عشية وضحاها. بعد ذلك، مل واحد من
تمت إضافته بعناية إلى أنبوب الهضم. ثم تم وضع هذه الأنابيب في كتلة الهضم وتسخينها عند
حتى تم تشكيل الأبخرة واستمر التسخين لمدة ثلاثين دقيقة أخرى. تم إخراج أنابيب الهضم من الكتلة وتركها لتبرد. ثم أعيدت الأنابيب إلى كتلة الهضم بعد إضافة 1 مل من
تم تكرار الخطوة الزائدة حتى أصبحت المادة المهضومة المبردة عديمة اللون. تم تخفيف المستخلص إلى 50 مل في قوارير، وتم تصفيته واستخدامه لتحديد تركيز النيتروجين باستخدام طريقة كيجيلدال والنيتروجين.
ثم تم ضرب المحتوى في عامل 6.25 للحصول على محتوى البروتين
تم تحديد محتوى الفوسفور والبوتاسيوم في المستخلصات باستخدام مطياف الأشعة فوق البنفسجية (شيمادزو، UV-1201، كيوتو، اليابان) عند
وجهاز قياس اللهب (PFP-7، جينواي، المملكة المتحدة)، كما وصفه روسيرو وآخرون.
وتشابمان وبرات
، على التوالي.
التحليل الإحصائي
تم تحليل البيانات المجمعة لجميع الصفات إحصائيًا باستخدام تقنيات تحليل التباين لفشر. تم إجراء اختبار LSD (أقل فرق ذو دلالة) عند
مستوى الاحتمالية لتقييم الفروق بين متوسطات العلاج باستخدام برنامج STATISTIX (الإصدار 8.1)
تمت دراسة العلاقة بين محصول الحبوب ووزن الحبوب وطول السنبلة الرئيسية والخصائص الفيزيولوجية والكيميائية الحيوية باستخدام التحليل المتعدد المتغيرات. تم إجراء تحليل المكونات الرئيسية (PCA) على البيانات وتم تصور النتائج باستخدام رسم ثنائي الأبعاد مستند إلى PC1 وPC2. تم استخدام برنامج Origin Pro 9.1 (شركة Origin-Lab، نورثهامبتون، ماساتشوستس) لإنشاء الأشكال.
موافقة الأخلاقيات والموافقة على المشاركة
هذه الدراسة لا تشمل البشر أو الحيوانات.
بيان حول الإرشادات
جميع الدراسات التجريبية والمواد التجريبية المعنية في هذا البحث تتوافق تمامًا مع الإرشادات والتشريعات المؤسسية والوطنية والدولية ذات الصلة.
النتائج
خصائص النمو والعائد
أثر إجهاد الجفاف بشكل كبير على إنتاج الكتلة الحيوية وخصائص العائد [عدد السنبيلات لكل نبات (NPPP)، طول السنبلة الرئيسية (MPL)، وزن السنبلة الرئيسية (MPW) ووزن الألف حبة (TGW) في الكينوا (الجدول 2). وقد خفف تنشيط بذور الكينوا باستخدام السيلينيوم من الآثار السلبية للجفاف، مما أظهر القيم القصوى لـ
والقيم الدنيا في المعالجة الضابطة (بدون تحفيز) لجميع الصفات المساهمة في النمو والإنتاج. ومع ذلك، استجاب نوع الكينوا بشكل مختلف لفرض الإجهاد المائي في مراحل النمو الحرجة. تم ملاحظة أعلى القيم لجميع المعلمات المدروسة تحت الري العادي (Ck) بينما تم تسجيل أدنى القيم لـ NPPP و MPL و MPW و TGW في Ck و DMLS و DFS و DSFS، على التوالي. علاوة على ذلك، تم تحفيز البذور بـ
تم العثور على Se كأفضل علاج بين العلاجات الأخرى حيث أظهر أقصى إنتاجية (16.67) تحت Ck وأدنى قيمة (10.67) لوحظت في DSFS.
محتويات الكلوروفيل في الأوراق
تأثرت محتويات الكلوروفيل في أوراق الكينوا (LCC) بشكل كبير بتنفيذ الجفاف كما هو موضح في الجدول 3. تم ملاحظة القيم القصوى لـ LCC (22.52) عندما تم ري المحصول بشكل طبيعي (Ck) تليها DSFS، وكانت أقل قيمة لـ LCC (14.55) عندما تعرض المحصول للجفاف عند مستوى الجفاف الأدنى (MLS). وقد حسّن التمهيد بشكل كبير LCC حيث أظهر القيمة القصوى لـ
تم ملاحظة أقل قيمة لـ Se وأدنى LCC في المعالجة الضابطة.
).
كفاءة استخدام المياه
أثر الجفاف وتحميس السيلينيوم بشكل كبير على كفاءة استخدام المياه في الكينوا. تم تسجيل أعلى قيمة (0.56) لكفاءة استخدام المياه في DMLS وأدنى قيمة (0.38) لكفاءة استخدام المياه في Ck. لوحظت أعلى كفاءة لاستخدام المياه عندما تم تحميس بذور الكينوا بـ
وتم العثور على الحد الأدنى في
(الجدول 3).
إجمالي الفينولات
تأثرت الفينولات الكلية (TP) بشكل كبير بكل من الري الناقص ومعاملة السيلينيوم في الكينوا (الجدول 3). تم الحصول على أعلى مستوى من الفينولات الكلية في المعاملة الضابطة (Ck) بينما تم ملاحظة أدنى قراءة للفينولات الكلية في معاملة DMLS. وقد خفف السيلينيوم بشكل كبير من الآثار السلبية للجفاف وحسن من تراكم الفينولات الكلية في أوراق الكينوا. تم تسجيل أعلى مستوى من الفينولات الكلية (11.41) في
وسجلت أدنى قيمة لـ TP (8.06) في المعاملة الضابطة (
).
معايير تبادل الغاز
انخفضت معدلات التمثيل الضوئي (PR) وموصلية الثغور (SC) ومعدل النتح (TR) في نباتات الكينوا المعرضة للإجهاد المائي (DS) مقارنة بالنباتات الضابطة (الشكل 2). تم ملاحظة أعلى قيم لـ PR في المعاملة الضابطة تليها DSFS وDFS، بينما تم تحقيق أدنى PR في DMLS. لوحظ نمط متباين (Ck > DMLS > DFS > DSFS) بالنسبة لـ SC وTR تحت ظروف الجفاف. حسنت معالجة البذور بشكل كبير من PR وSC وTR في نباتات DS مقارنة بالمعاملة الضابطة. كانت القيم القصوى لـ PR (11.53) وSC (0.17).
| علاجات | PH | PPP | MPL | MPW | TGW | بواسطة | جي |
| سي كيه | |||||||
|
|
|
|
|
|
|
|
|
|
|
|
|
|
|
|
|
|
|
|
|
|
|
|
|
|
|
|
|
|
|
|
|
|
|
|
| DMLS | |||||||
|
|
|
|
|
|
|
|
|
|
|
|
|
|
|
|
|
|
|
|
|
|
|
|
|
|
|
|
|
|
|
|
|
|
|
|
| DFS | |||||||
|
|
|
|
|
|
|
|
|
|
|
|
|
|
|
|
|
|
|
|
|
|
|
|
|
|
|
|
|
|
|
|
|
|
|
|
| DSFS | |||||||
|
|
|
|
|
|
|
|
|
|
|
|
|
|
|
|
|
|
|
|
|
|
|
|
|
|
|
|
|
|
|
|
|
|
|
|
| LSD (
|
2.28 | 1.01 | 0.69 | 1.63 | 0.14 | 3.43 | 1.24 |
| أهمية | |||||||
| سي | ** | ** | ** | ** | ** | ** | ** |
| الجفاف | ** | ** | ** | ** | ** | ** | ** |
| سي
|
نس | نس | نس | نس | نس | نس | نس |
الجدول 2. ارتفاع النبات (
)، عدد النورات لكل نبات ( PPP )، طول النورة الرئيسية (
وزن السنبلة الرئيسية (MPW، غ)، وزن الألف حبة (TGW، غ)، العائد البيولوجي (BY، غ/نبات
) وعائد الحبوب (GY، غرام لكل نبات
) تأثرت بالتجهيز الأولي تحت ظروف DS. النجوم (
) تشير إلى اختلافات كبيرة؛
; ns، غير ذي دلالة. Ck، DMLS، DFS، و DSFS تمثل التحكم، الجفاف في مراحل متعددة من الأوراق، الإزهار، ومراحل ملء البذور، على التوالي. القيم المتوسطة مقدمة مع الخطأ المعياري، SE (
يعني أن القيم التي تشترك في نفس حالة الحروف ليست مختلفة بشكل جوهري عند مستوى احتمال 5%. القيم المهمة مكتوبة بخط مائل.
وتم تحقيق TR (3.16) عندما تم تنشيط بذور الكينوا بـ
تبعها
و
كلاهما تحت السيطرة والنباتات المتأثرة بالجفاف.
علاقات المياه
تم تقديم التأثير الكبير للجفاف وتغليف بذور السيلينيوم على LWP وLTP وLOP وLRWC في الشكل 3. لوحظ انخفاض كبير في LWP وLTP وLOP وLRWC في معالجة DSFS تليها DMLS وDFS عند مقارنتها بنباتات الكينوا غير المتأثرة بالإجهاد. زاد تغليف بذور السيلينيوم بشكل كبير من LWP وLTP وLOP مقارنة بمعالجة التحكم. علاوة على ذلك، فإن تغليف السيلينيوم (
حسنت بشكل كبير المعايير المذكورة أعلاه مقارنة بالعلاج الضابط سواء تحت ظروف الري الجيد أو ظروف الجفاف.
محتويات بروتين الحبوب
تشير الجدول 3 إلى أن الجفاف له تأثير كبير على محتويات البروتين (PCs) في حبوب الكينوا. تم ملاحظة أعلى القيم لمحتويات البروتين من خلال تنفيذ الجفاف في SFS تليها FS و MLS، وكانت أدنى قيمة ملحوظة في Ck. تم ملاحظة أعلى محتوى بروتين للحبوب (15.62) في
علاج
بينما تم تسجيل انخفاض في أجهزة الكمبيوتر (13.27) في المجموعة الضابطة (
عندما لم يتم إجراء أي تمهيد للبذور. لم يؤثر تفاعل كل من السيلينيوم والجفاف بشكل ملحوظ على خصائص الحبوب في الكينوا.
محتويات الفوسفور في الحبوب
أثر نقص الري وتغليف البذور بالسيلينيوم بشكل كبير على محتوى الفوسفور في حبوب الكينوا. وكان أعلى محتوى للفوسفور في الحبوب تحت الري العادي بين ظروف الجفاف.
) يتبعه
وكانت أدنى محتويات الفوسفور في الحبوب موجودة في
الذي كان على قدم المساواة مع
. بالنسبة لـ Se، تم تسجيل أقصى محتوى من الفوسفور (395.16) في الحبوب في
وتم ملاحظة انخفاض (311.07) في المعامل المذكور في المعالجة الضابطة (
) الذي كان إحصائيًا على قدم المساواة مع
(الجدول 3).
| علاجات | حاسوب شخصي | P | ك | لجنة التنسيق المحلية | WUE | تي بي |
| سي كيه | ||||||
|
|
|
|
|
|
|
|
|
|
|
|
|
|
|
|
|
|
|
|
|
|
|
|
|
|
|
|
|
|
|
|
| DMLS | ||||||
|
|
|
|
|
|
|
|
|
|
|
|
|
|
|
|
|
|
|
|
|
|
|
|
|
|
|
|
|
|
|
|
| DFS | ||||||
|
|
|
|
|
|
|
|
|
|
|
|
|
|
|
|
|
|
|
|
|
|
|
|
|
|
|
|
|
|
|
|
| DSFS | ||||||
|
|
|
|
|
|
|
|
|
|
|
|
|
|
|
|
|
|
|
|
|
|
|
|
|
|
|
|
|
|
|
|
| إل إس دي (
|
0.64 | 28.11 | ٨٥.٨١ | 2.06 | 0.08 | 0.93 |
| أهمية | ||||||
| سي | ** | ** | ** | ** | ** | * |
| الجفاف | ** | ** | ** | ** | ** | ** |
| سي
|
نس | نس | نس | نس | نس | نس |
الجدول 3. محتويات البروتين
محتويات الفوسفور
محتويات البوتاسيوم
)، محتوى الكلوروفيل في الأوراق (
الوزن الطازج، LCC)، كفاءة استخدام المياه (
“، WUE) والفينولات الكلية (
الوزن الطازج، TP) تأثر بالتنشيط بواسطة Se تحت ظروف الجفاف. تشير النجوم (*) إلى اختلافات ذات دلالة إحصائية؛
; ns، غير ذي دلالة. Ck، DMLS، DFS، و DSFS تمثل التحكم، الجفاف في مراحل متعددة من الأوراق، الإزهار، ومراحل ملء البذور، على التوالي. القيم المتوسطة مقدمة مع الخطأ المعياري، SE (
). يعني أن الحروف التي تتشارك في نفس حالة الأحرف ليست مختلفة بشكل جوهري في
مستوى الاحتمالية. القيم المهمة مكتوبة بخط مائل.
محتويات البوتاسيوم في الحبوب
أثر نقص الري ومعالجة البذور بالسيلينيوم بشكل كبير على محتوى البوتاسيوم (K) في حبوب الكينوا. تم العثور على أعلى قيم للبوتاسيوم (1129.5) في بذور الكينوا مع الري العادي (Ck) تليها DMLS، بينما تم ملاحظة قيم أقل لمحتوى البوتاسيوم (915.8) في معالجة DSFS. حسنت معالجة البذور بالسيلينيوم بشكل كبير تركيز البوتاسيوم في حبوب الكينوا سواء تحت ظروف الري العادي أو نقص المياه (الجدول 3).
تحليل المكونات الرئيسية (PCA) لاستخراج البيانات
تم تنفيذ تحليل المكونات الرئيسية (PCA) على جميع المعلمات التجريبية لكشف ارتباطها بالعلاجات المجاورة والمتغيرات الأخرى. ومع ذلك، كشف تحليل المكونات الرئيسية عن تمييز واضح بين PC1 و PC2، اللذان يمثلان معًا
إجمالي التباين في محصول الكينوا والمعلمات المرتبطة بعلاقات المياه. تشير الشكل 4 إلى أن تحميل PCA ومخطط الدرجات يوضح أن PC1 و PC2 كانا مسؤولين عن
و
من إجمالي التباين، على التوالي. يشير زاوية الكوساين بين متجهين للصفات إلى الارتباط بين الصفات، بينما تظهر الزوايا الحادة والمنفرجة ارتباطًا سلبيًا وإيجابيًا، على التوالي، بينما توضح الزاوية القائمة بين مسارين للمتغيرات عدم وجود ارتباط بينها. يكشف رسم البيبلوت من تحليل المكونات الرئيسية عن العديد من الارتباطات المهمة مثل الارتباط الإيجابي بين محصول الحبوب (GY) والصفات المرتبطة به (PPP، MPL، MPW، TGW) بالإضافة إلى ارتباط قوي بين GY والصفات المتعلقة بالماء (WUE، LRWC، LWP، LOP، LTP) وخصائص تبادل الغاز (PR، SC، TR).
نقاش
الجفاف هو أحد العوامل الرئيسية المحددة لتحقيق الاستدامة في إنتاج المحاصيل.
يتطلب الانخفاض الكبير في نمو وإنتاج الكينوا تحت ظروف الجفاف تطوير وتحديد استراتيجيات تخفيف الجفاف. أظهرت نتائج الدراسة الحالية أن تنشيط بذور الكينوا بعنصر السيلينيوم أثر بشكل كبير على النمو والإنتاج ومكوناتهما تحت ظروف السيطرة ونقص الرطوبة. تدعم نتائجنا الدراسات السابقة التي أفادت بأن تنشيط السيلينيوم يمكن أن يكون أداة فعالة في تحسين ظروف الجفاف لزيادة نمو وإنتاج القمح تحت ظروف التحكم.
.
انخفاض كبير في صبغة التمثيل الضوئي (الكلوروفيل) كان بسبب إنتاج أنواع الأكسجين التفاعلية (ROS) مثل
و
مما يؤدي إلى تأكسد الدهون وبالتالي، تدمير الكلوروفيل
،

الشكل 2. معدل التمثيل الضوئي (
التوصيل الثغري
) ومعدل النتح (
) من الكينوا تأثرت بتهيئة السيلينيوم تحت ظروف الجفاف.
و
تشير إلى 0، 3.0، 6.0 و
. Ck، DMLS، DFS، و DSFS تمثل التحكم، الجفاف في عدة أوراق، الإزهار، ومراحل ملء البذور، على التوالي. تمثل أشرطة الخطأ الخطأ القياسي (
).
الذي أدى في النهاية إلى تدمير الكلوروفيل في حالات الضغط. ومع ذلك، أدى تحضير البذور بالسيلينيوم إلى زيادة محتوى الكلوروفيل في كل من البيئات الجافة وغير المتوترة لأن السيلينيوم زاد من تدفق الإلكترونات في سلسلة التنفس، وبالتالي زاد من معدل التمثيل الضوئي في النباتات.
تم التوصل إلى استنتاجات مماثلة من قبل آخرين بأن تنشيط السيلينيوم حسن محتوى الكلوروفيل في أوراق توت غوجي.
كنف
والخس
تركيزات أعلى من السيلينيوم قللت من محتوى الكلوروفيل في نباتات الريحان
وشتلات الأرز
التي تدعم نتائجنا.
أثرت الجفاف، عندما تم فرضه في FS و SFS، سلبًا على كفاءة استخدام المياه في الكينوا. وقد تم توثيق نتائج مماثلة من قبل زانغ وآخرين.
وجيرتس وآخرون
لقمح والكينوا، على التوالي، تحت ظروف الجفاف. وبالمثل، تلحجوي وآخرون.
وأسلام وآخرون
أظهرت النتائج توافقًا مع نتائجنا التي تشير إلى أن كفاءة استخدام المياه (WUE) زادت عمومًا تحت ظروف إمداد المياه الضعيف في الكينوا. كما أن معالجة البذور قبل الزراعة حسنت كفاءة استخدام المياه في كل من المعاملة الجافة والمعاملة الضابطة، ربما بسبب تحسين وصول المياه إلى نباتات الكينوا. وبالمثل، Sajedi وآخرون.
كما تم وصف تحسين كبير في كفاءة استخدام المياه لنباتات الذرة من خلال تطبيق السيلينيوم. تشير الشكل 4 إلى أن كفاءة استخدام المياه هي عامل حاسم لتقلبات محصول الكينوا في CGS.
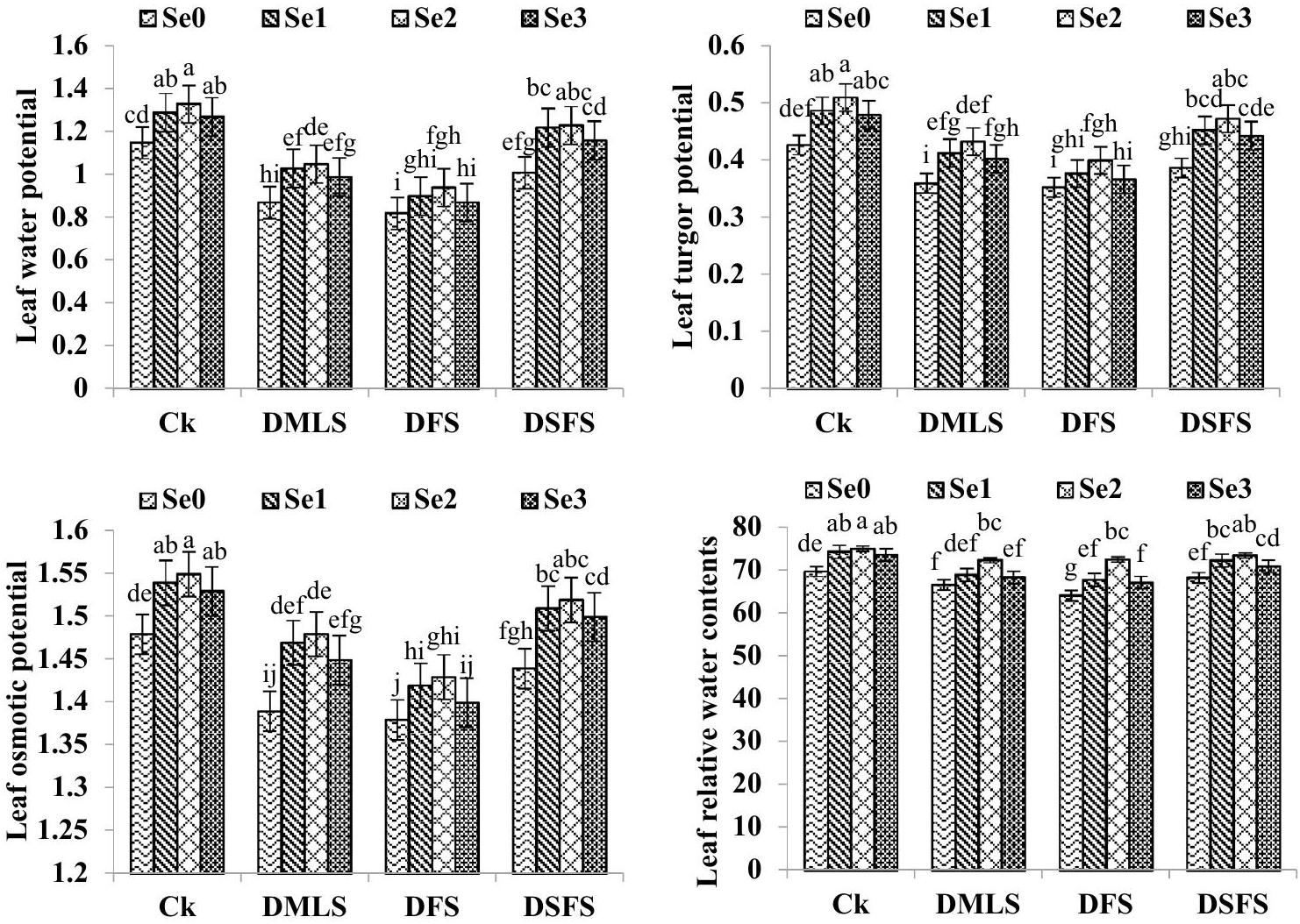
أدى إجهاد الجفاف إلى تقليص كبير في علاقات المياه (LWP و LTP و LOP و LRWC) في الكينوا مقارنةً بمعاملة التحكم. وقد تم الإبلاغ عن نتائج مماثلة من قبل حيدر وآخرون.
في القمح وإقبال وآخرون.
في القطن أن إجهاد الجفاف قلل من جميع هذه المعلمات. يمكن أن يكون هذا الانخفاض ناتجًا عن عدم كفاية امتصاص الغذاء، وانخفاض انقسام الخلايا، وSC، وإنتاج أقل من السيتوكينات.
تمت ملاحظة زيادة في الخصائص المذكورة أعلاه عندما تم تنشيط بذور الكينوا بـ Se. وبالمثل، لاحظ أحمد وآخرون.
أن تنشيط Se يحسن من امتصاص المياه دون تقليل معدل النتح في المحاصيل الزيتية مما يساعد على زيادة

الشكل 3. إمكانات المياه في الأوراق (-MPa)، إمكانات التوتر في الأوراق (MPa)، إمكانات الأسموزية في الأوراق (-MPa) ومحتويات المياه النسبية في الأوراق (%) من الكينوا المتأثرة بتنشيط Se تحت ظروف الجفاف.
و
تشير إلى 0،
و
Se. Ck و DMLS و DFS و DSFS تمثل التحكم، والجفاف في مراحل متعددة من الأوراق، والإزهار، وملء البذور، على التوالي. تمثل أشرطة الخطأ الخطأ القياسي.
.

الشكل 4. رسم ثنائي يوضح الارتباطات بين ارتفاع النبات (PH)، عدد السنبيلات لكل نبات (PPP)، طول السنبلة الرئيسية (MPL)، وزن السنبلة الرئيسية (MPW)، وزن الألف حبة (TGW)، العائد البيولوجي (BY)، عائد الحبوب (GY)، محتويات البروتين (PC)، محتويات الفوسفور (P) ومحتويات البوتاسيوم (K)، محتوى الكلوروفيل في الأوراق (LCC)، الفينولات الكلية (TP)، كفاءة استخدام المياه (WUE)، معدل التمثيل الضوئي (PR)، الموصلية stomatal (SC)، معدل النتح (TR)، إمكانات المياه في الأوراق (LWP)، إمكانات التوتر في الأوراق (LTP)، إمكانات الأسموزية في الأوراق (LOP) ومحتويات المياه النسبية في الأوراق (LRWC) من الكينوا المتأثرة بتنشيط Se تحت ظروف الجفاف.
و
تشير إلى
و
و Ck و DMLS و DFS و DSFS تمثل التحكم، والجفاف في مراحل متعددة من الأوراق، والإزهار، وملء البذور، على التوالي.
LRWC و OP و TP. كشف دوموكوس-سابولكسي وآخرون.
أن معالجة بذور Se تعزز آلية الدفاع للنباتات ضد إجهاد الجفاف من خلال تحسين نقل الإلكترونات ونشاط الإنزيمات الواقية، وبالتالي تقليل الأضرار التي تسببها إجهاد الجفاف على الأجهزة التمثيلية الضوئية.
أدى إجهاد الجفاف إلى تقليل كبير في محتوى الفينولات في الكينوا عندما تم فرضه في MLS، والذي قد يكون بسبب انخفاض نشاط هرمونات النبات (فينيل ألانين أمونيا لايز) والإجهاد الأسموزي أثناء تخليق المركبات الفينولية. وبالمثل، أبلغ محرم نجاد وآخرون.
وسوفي وآخرون.
عن تقليل تراكم الفينولات في الذرة والشعير تحت إجهاد الجفاف. على العكس، وصف سالم وآخرون.
وكوسفوران وداسغان
زيادة في الفينولات تحت نقص الري. زاد تنشيط Se بشكل كبير من محتويات الفينولات في الأوراق سواء في ظروف الجفاف أو التحكم. وبالمثل، تم الإبلاغ عن زيادة في محتويات الفينولات الكلية في الأرز من خلال تطبيق
.
تم تحسين محتويات البروتين (PCs) في حبوب الكينوا بشكل كبير عندما تم تنفيذ إجهاد الجفاف في SFS. كما أبلغ أنجم وآخرون.
عن نتائج مماثلة تفيد بأن PCs زادت تحت ظروف الجفاف في الذرة. عززت إضافة Se تراكم PCs في الكينوا سواء تحت ظروف التحكم أو نقص المياه، لكن النباتات التي نشأت من البذور المنشطة بتركيز أعلى من Se أظهرت انخفاضًا في PCs. وبالمثل، خلص نواز وآخرون.
إلى أن تنشيط Se زاد من البروتين الخام في نباتات الذرة المتأثرة بإجهاد الجفاف. تتماشى نتائجنا مع النتائج المذكورة أعلاه التي زادت فيها PCs مع تنشيط Se.
أدى إجهاد الجفاف إلى تقليل كبير في تركيز P و K في بذور الكينوا عندما تم فرض الجفاف في DSFS، والذي قد يكون بسبب عدم قدرة جذور النبات على امتصاص العناصر الغذائية الموجودة في التربة وحركتها لأعلى داخل النباتات. وبالمثل، وجد جين وآخرون.
أن امتصاص ونقل P من الجذور إلى بذور فول الصويا قد انخفض تحت إجهاد الجفاف وأبلغ نواز وآخرون.
عن انخفاض في امتصاص البوتاسيوم تحت إجهاد الجفاف المتأخر في القمح. أظهر تنشيط بذور الكينوا بـ Se تأثيرات مفيدة في مواجهة آثار الجفاف من خلال تعزيز مستوى P و K في البذور سواء تحت ظروف الجفاف أو التحكم. ذكر حجيبولاند وآخرون.
نتائج مماثلة تفيد بأن مستوى أعلى من تطبيق Se زاد من تركيز P و K في القمح.
تم تقليل الصفات المساهمة في العائد (NPPP و MPL و MPW و TGW) والعائد البيولوجي (BY) وعائد الحبوب (GY) تحت نقص الري. ومع ذلك، يمكن أن يُعزى الانخفاض في NPPP و BY في MLS إلى امتصاص محدود لـ N و P في بداية نمو النبات.
. تم تقليل مكونات العائد المذكورة أعلاه عندما تم إعطاء إجهاد الرطوبة في DSFS باستثناء MPL الذي أظهر قيمًا دنيا في DFS، والذي قد يكون بسبب عدم كفاية الامتصاص وتوزيع المواد التمثيلية الضوئية. أدى إجهاد المياه في الكينوا في DSFS إلى تقليل MPW و TGW، مما أدى في النهاية إلى تقليص عائد الحبوب. تم ملاحظة انخفاض في GY من الشعير بسبب انخفاض عدد السنبيلات الخصبة وعدد الحبوب تحت ظروف الجفاف.
. وبالمثل، أبلغ نواز وآخرون.
وفاطمي وآخرون.
أيضًا عن انخفاض في عائد الحبوب والمعلمات المرتبطة بها في القمح والشعير، على التوالي، تحت نقص المياه. تم تسجيل تعزيز كبير في العائد والصفات المساهمة من خلال تنشيط بذور الكينوا بـ Se سواء في النباتات التحكم أو تحت إجهاد الجفاف. يظهر تنشيط بذور Se تأثيرًا مفيدًا على نمو وإنتاجية محصول الكينوا. ذكر حجيبولاند وآخرون.
أيضًا نتائج مماثلة تفيد بأن تنشيط Se حسن من وزن الساق الكلي ووزن القش، وعائد السنبلة والبذور في القمح تحت ظروف طبيعية وإجهاد جفاف. وبالمثل، وصف صادق وباخوم.
أيضًا زيادة في محتويات الكلوروفيل و PCs و P و K ووزن الحبوب و BY و GY من خلال تطبيق Se في الكينوا. تزيد إضافة Se من القدرة التنفسية، وتراكم المستقلبات، وتؤخر الشيخوخة،
وتحمي الخلايا من موت الخلايا المسبب للإجهاد،
مما يعزز في النهاية عائد المحاصيل. حدد الرسم الثنائي لـ PCA العديد من العوامل المهمة، بما في ذلك الموصلية stomatal، وإمكانات الأسموزية، ومعدل النتح، ومحتوى الكلوروفيل في الأوراق وكفاءة استخدام المياه، كمتغيرات تفسيرية قوية كانت مسؤولة عن قدرة الكينوا على تحمل الجفاف (الشكل 4) كما أبلغ إقبال وآخرون.
. في الختام، وُجد أن مرحلة ملء البذور في الكينوا هي الأكثر حساسية لإجهاد الجفاف بسبب محدودية توفر المياه، وانخفاض صلاحية حبوب اللقاح والتخصيب، وت compromised نقل العناصر الغذائية إلى البذور النامية مما قلل من حجم البذور و MPW و TGW، وفي النهاية قلل من العائد الكلي للكينوا. ومع ذلك، فإن الكمية المناسبة من Se تظهر استجابة إيجابية بينما تؤدي المستويات الأعلى من Se إلى السمية من خلال تعطيل العمليات الأيضية للنبات، مما يؤدي إلى إجهاد أكسدي وأضرار خلوية، مما يعيق التمثيل الضوئي، ويؤثر على امتصاص العناصر الغذائية ونقلها، مما يعيق النمو ويقلل من عائد نباتات الكينوا.
.
الاستنتاج
تقلل حلقات الجفاف خلال مراحل النمو الحرجة (الإزهار وملء البذور) من الأداء العام للنبات، وخصائص الجودة وعائد الكينوا. ومع ذلك، أظهر تنشيط بذور Se بتركيزات متفاوتة إمكانات ملحوظة لتعزيز تحمل الجفاف والعائد الكلي للكينوا. من الجدير بالذكر أن تنشيط Se عند
حسن من النمو، والعائد (MPL و MPW و TGW)، والخصائص الفسيولوجية (LCC و PR و TR و SC)، وعلاقات المياه المحسنة (LWP و LTP و LOP و LRWC و WUE) وجودة الحبوب من الكينوا من خلال تقليل الآثار الضارة للجفاف. علاوة على ذلك، تم تحديد مرحلة ملء البذور في الكينوا كمرحلة حساسة للغاية لإجهاد الجفاف ويمكن استخدام تنشيط البذور بـ
Se كأداة فعالة لإنتاج الكينوا المستدام حتى تحت ظروف إجهاد الجفاف.
توفر البيانات
تتضمن مجموعات البيانات التي تم تحليلها خلال هذه الدراسة في هذه المخطوطة.
تاريخ الاستلام: 20 أكتوبر 2023؛ تاريخ القبول: 4 يناير 2024
تم النشر عبر الإنترنت: 09 يناير 2024
تاريخ الاستلام: 20 أكتوبر 2023؛ تاريخ القبول: 4 يناير 2024
تم النشر عبر الإنترنت: 09 يناير 2024
References
- Amna Ali, B., Azeem, M. A., Qayyum, A., Mustafa, G., Ahmad, M. A., Javed, M. T., & Chaudhary, H. J. (2021). Bio-fabricated silver nanoparticles: A sustainable approach for augmentation of plant growth and pathogen control. in Sustainable Agriculture Reviews 53; Springer: Cham, Switzerland, pp. 345-371. https://doi.org/10.1007/978-3-030-86876-5_14
- AsmaHussain, I. et al. Alleviating effects of salicylic acid spray on stage-based growth and antioxidative defense system in two drought-stressed rice (Oryza sativa L.) cultivars. Turk. J. Agric. Forestry. 47(1), 79-99. https://doi.org/10.55730/1300-011X. 3066 (2023).
- Ruiz, K. B. et al. Quinoa biodiversity and sustainability for food security under climate change. A review. Agron. Sustain. Develop. 34, 349-359 (2014).
- Waqas, M. et al. Synergistic consequences of salinity and potassium deficiency in quinoa: Linking with stomatal patterning, ionic relations and oxidative metabolism. Plant Physiol. Biochem 159, 17-27 (2021).
- Choque Delgado, G. T., Carlos Tapia, K. V., Pacco Huamani, M. C. & Hamaker, B. R. Peruvian Andean grains: Nutritional, functional properties and industrial uses. Crit. Rev. Food Sci. Nutr. 63(29), 9634-9647 (2023).
- Filho, A. M. M. et al. Quinoa: Nutritional, functional, and antinutritional aspects. Crit. Rev. Food Sci. Nutr. 57(8), 1618-1630 (2017).
- Liu, C., Ma, R., & Tian, Y. (2022). An overview of the nutritional profile, processing technologies, and health benefits of quinoa with an emphasis on impacts of processing. Crit. Rev. Food Sci. Nutr. 1-18.
- Aslam, M. U. et al. Improving strategic growth stage-based drought tolerance in quinoa by rhizobacterial inoculation. Commun. Soil Sci. Plant Anal. 51(7), 853-868 (2020).
- Kammann, C. I., Linsel, S., Gößling, J. W. & Koyro, H. W. Influence of biochar on drought tolerance of Chenopodium quinoa Willd and on soil-plant relations. Plant Soil 345(1), 195-210 (2011).
- Yang, A., Akhtar, S. S., Amjad, M., Iqbal, S. & Jacobsen, S. E. Growth and physiological responses of quinoa to drought and temperature stress. J. Agron. Crop Sci. 202(6), 445-453 (2016).
- Maestro-Gaitán, I. et al. Genotype-dependent responses to long-term water stress reveal different water-saving strategies in Chenopodium quinoa Willd. Environ. Exp. Bot. 201, 104976 (2022).
- Al-Huqail, A. A. et al. Efficacy of priming wheat (Triticum aestivum) seeds with a benzothiazine derivative to improve drought stress tolerance. Funct. Plant Biol. https://doi.org/10.1071/FP22140 (2023).
- Wahab, A. et al. Plants’ physio-biochemical and phyto-hormonal responses to alleviate the adverse effects of drought stress: A comprehensive review. Plants 11, 1620. https://doi.org/10.3390/plants11131620 (2022).
- Yasmeen, S. et al. Melatonin as a foliar application and adaptation in lentil (Lens culinaris Medik.) crops under drought stress. Sustainability 14, 16345. https://doi.org/10.3390/su142416345 (2022).
- Salam, A. et al. Nano-priming against abiotic stress: A way forward towards sustainable agriculture. Sustainability 14, 14880. https://doi.org/10.3390/su142214880 (2022).
- Ali, J. et al. Biochemical response of okra (Abelmoschus esculentus L.) to selenium (Se) under drought stress. Sustainability 15, 5694. https://doi.org/10.3390/su15075694 (2023).
- Hasanuzzaman, M. et al. Selenium toxicity in plants and environment: biogeochemistry and remediation possibilities. Plants 9(12), 1711 (2020).
- Djanaguiraman, M., Prasad, P. V. & Seppanen, M. Selenium protects sorghum leaves from oxidative damage under high temperature stress by enhancing antioxidant defense system. Plant Physiol. Biochem. 48(12), 999-1007 (2010).
- Shahzadi, E. et al. Silicic and ascorbic acid induced modulations in photosynthetic, mineral uptake, and yield attributes of mung bean (Vigna radiata L. Wilczek) under ozone stress. ACS Omega https://doi.org/10.1021/acsomega.3c00376 (2023).
- Mozafariyan, M., Pessarakli, M. & Saghafi, K. Effects of selenium on some morphological and physiological traits of tomato plants grown under hydroponic condition. J. Plant Nutr. 40(2), 139-144 (2017).
- Helaly, M. N., El-Hoseiny, H., El-Sheery, N. I., Rastogi, A. & Kalaji, H. M. Regulation and physiological role of silicon in alleviating drought stress of mango. Plant Physiol. Biochem. 118, 31-44 (2017).
- Wang, W., Vinocur, B. & Altman, A. Plant responses to drought, salinity and extreme temperatures: towards genetic engineering for stress tolerance. Planta 218(1), 1-14 (2003).
- Hasanuzzaman, M., Hossain, M. A. & Fujita, M. Selenium in higher plants: Physiological role, antioxidant metabolism and abiotic stress tolerance. J. Plant Sci. 5(4), 354-375 (2010).
- Shigeoka, S. et al. Regulation and function of ascorbate peroxidase isoenzymes. J. Exp. Bot. 53(372), 1305-1319 (2002).
- Victoria, O., Idorenyin, U. D. O., Asana, M., Shuoshuo, L., & Yang, S. (2023). Seed treatment with 24 -epibrassinolide improves wheat germination under salinity stress. Asian J. Agric. Biol. (3).
- Faryal, S. et al. Thiourea-capped nanoapatites amplify osmotic stress tolerance in Zea mays L. by conserving photosynthetic pigments, osmolytes biosynthesis and antioxidant biosystems. Molecules 27, 5744. https://doi.org/10.3390/molecules27185744 (2022).
- Taratima, W., Kunpratum, N., & Maneerattanarungroj, P. (2023). Effect of salinity stress on physiological aspects of pumpkin (Cucurbita moschata Duchesne. ‘Laikaotok’) under hydroponic condition. Asian J. Agric. Biol. (2), 202101050.
- Tadina, N., Germ, M., Kreft, I., Breznik, B. & Gaberščik, A. Effects of water deficit and selenium on common buckwheat (Fagopyrum esculentum Moench.) plants. Photosynthetica 45(3), 472-476 (2007).
- Ahmad, Z. et al. Selenium alleviates the adverse effect of drought in oilseed crops camelina (Camelina sativa L.) and canola (Brassica napus L.). Molecules 26(6), 1699 (2021).
- Jóźwiak, W. & Politycka, B. Effect of selenium on alleviating oxidative stress caused by a water deficit in cucumber roots. Plants 8(7), 217 (2019).
- Sosa-Zuniga, V., Brito, V., Fuentes, F. & Steinfort, U. Phenological growth stages of quinoa (Chenopodium quinoa) based on the BBCH scale. Ann. Appl. Biol. 171(1), 117-124 (2017).
- Iqbal, R. et al. Assessing the potential of partial root zone drying and mulching for improving the productivity of cotton under arid climate. Environ. Sci. Pollut. Res. 28(46), 66223-66241 (2021).
- Waterhouse, A. L. Determination of total phenolics. Curr. Protocols Food Analyt. Chem. 6(1), I1-1 (2001).
- Iqbal, H., Yaning, C., Waqas, M., Shareef, M. & Raza, S. T. Differential response of quinoa genotypes to drought and foliage-applied H2O2 in relation to oxidative damage, osmotic adjustment and antioxidant capacity. Ecotoxicol. Environ. Safety 164, 344-354 (2018).
- Raza, M. A. S. et al. Physiological and biochemical assisted screening of wheat varieties under partial rhizosphere drying. Plant Physiol. Biochem. 116, 150-166 (2017).
- Gonzalez, J. A., Konishi, Y., Bruno, M., Valoy, M. & Prado, F. E. Interrelationships among seed yield, total protein and amino acid composition of ten quinoa (Chenopodium quinoa) cultivars from two different agroecological regions. J. Sci. Food Agric. 92(6), 1222-1229 (2012).
- AOAC. (1990). Official Methods of Analysis, 15th ed.; Association of Official Analytical Chemists, Inc.: Arlington, TX, USA, p. 70. ISBN 0-935584-42-0.
- Rosero, O., Marounek, M. & Břeňová, N. Phytase activity and comparison of chemical composition, phytic acid P content of four varieties of quinoa grain (Chenopodium quinoa Willd.). Acta Agronómica 62(1), 13-20 (2013).
- Chapman, H. D. & Pratt, P. E. Methods of Analysis for Soils, Plant and Water (California University, 1961).
- Steel, R. G. D., Torrie, J. H. & Dickey, D. A. Principles and Procedure of Statistics 178-182 (McGrow Hill Book Co., 1997).
- El-Fattah, A., Ahmed, D., Elhamid Hashem, F. A. & Abd-Elrahman, S. H. Impact of applying organic fertilizers on nutrient content of soil and lettuce plants, yield quality and benefit-cost ratio under water stress conditions. Asian J. Agric. Biol. 2, 202102086 (2021).
- Waraich, E. A., Ahmad, R. & Ashraf, M. Y. Role of mineral nutrition in alleviation of drought stress in plants. Aust. J. Crop Sci. 5(6), 764-777 (2011).
- Nawaz, F. et al. Supplemental selenium improves wheat grain yield and quality through alterations in biochemical processes under normal and water deficit conditions. Food Chem. 175, 350-357 (2015).
- Teimouri, S., Hasanpour, J. & Tajali, A. A. Effect of Selenium spraying on yield and growth indices of wheat (Triticum aestivum L.) under drought stress condition. Int. J. Adv. Biol. Biomed. Res. 2(6), 2091-2103 (2014).
- Muhammad, F. et al. Ameliorating drought effects in wheat using an exclusive or co-applied rhizobacteria and zno nanoparticles. Biology 11(11), 1564 (2022).
- Chomchan, R., Siripongvutikorn, S. & Puttarak, P. Selenium bio-fortification: an alternative to improve phytochemicals and bioactivities of plant foods. Funct. Foods Health Disease 7(4), 263-279 (2017).
- Dong, J. Z. et al. Selenium increases chlorogenic acid, chlorophyll and carotenoids of Lycium chinense leaves. J. Sci. Food Agric. 93(2), 310-315 (2013).
- Lavu, R. V. S. et al. Use of selenium fertilizers for production of Se-enriched Kenaf (Hibiscus cannabinus): Effect on Se concentration and plant productivity. J. Plant Nutr. Soil Sci. 176(4), 634-639 (2013).
- Hawrylak-Nowak, B. Comparative effects of selenite and selenate on growth and selenium accumulation in lettuce plants under hydroponic conditions. Plant Growth Regul. 70(2), 149-157 (2013).
- Ardebili, Z. O., Ardebili, N. O., Jalili, S. & Safiallah, S. The modified qualities of basil plants by selenium and/or ascorbic acid. Turk. J. Bot. 39(3), 401-407 (2015).
- Khaliq, A. et al. Seed priming with selenium: consequences for emergence, seedling growth, and biochemical attributes of rice. Biol. Trace Element Res. 166(2), 236-244 (2015).
- Zhang, B., Li, F. M., Huang, G., Cheng, Z. Y. & Zhang, Y. Yield performance of spring wheat improved by regulated deficit irrigation in an arid area. Agric. Water Manag. 79(1), 28-42 (2006).
- Geerts, S., Raes, D., Garcia, M., Mendoza, J. & Huanca, R. Crop water use indicators to quantify the flexible phenology of quinoa (Chenopodium quinoa Willd.) in response to drought stress. Field Crops Res. 108(2), 150-156 (2008).
- Telahigue, D. C., Yahia, L. B., Aljane, F., Belhouchett, K., & Toumi, L. (2017). Grain yield, biomass productivity and water use efficiency in quinoa (Chenopodium quinoa Willd.) under drought stress. J. Sci. Agric. 222-232.
- Sajedi, N. A., Ardakani, M. R., Naderi, A., Madani, H. & Boojar, M. M. A. Response of maize to nutrients foliar application under water deficit stress conditions. Am. J. Agric. Biol. Sci. 4(3), 242-248 (2009).
- Haider, I. et al. Potential effects of biochar application on mitigating the drought stress implications on wheat (Triticum aestivum L.) under various growth stages. J. Saudi Chem. Soc. 24(12), 974-981 (2020).
- Ahmed, A. H., Harb, E. M., Higazy, M. A. & Morgan, S. H. Effect of silicon and boron foliar applications on wheat plants grown under saline soil conditions. Int. J. Agric. Res. 3(1), 1-26 (2008).
- Domokos-Szabolcsy, E. et al. The interactions between selenium, nutrients and heavy metals in higher plants under abiotic stresses. Environ. Biodiversity Soil Security 1(2017), 5-31 (2017).
- Moharramnejad, S., Sofalian, O., Valizadeh, M., Asgari, A. & Shiri, M. Proline, glycine betaine, total phenolics and pigment contents in response to osmotic stress in maize seedlings. J. Biosci. Biotechnol. 4(3), 313-319 (2015).
- Sofy, M. R., Sharaf, A. E. M., Osman, M. S. & Sofy, A. R. Physiological changes, antioxidant activity, lipid peroxidation and yield characters of salt stressed barely plant in response to treatment with Sargassum extract. Int. J. Adv. Res. Biol. Sci. 4(2), 90-109 (2017).
- Salem, N. et al. Effect of drought on safflower natural dyes and their biological activities. EXCLI J. 13, 1-18 (2014).
- Kusvuran, S. & Dasgan, H. Y. Effects of drought stress on physiological and biochemical changes in Phaseolus vulgaris L. Legume Res. 40(1), 55-62 (2017).
- Emam, M. M., Khattab, H. E., Helal, N. M. & Deraz, A. E. Effect of selenium and silicon on yield quality of rice plant grown under drought stress. Aust. J. Crop Sci. 8(4), 596-605 (2014).
- Anjum, S. A. et al. Gas exchange and chlorophyll synthesis of maize cultivars are enhanced by exogenously-applied glycinebetaine under drought conditions. Plant Soil Environ. 57(7), 326-331 (2011).
- Nawaz, F. et al. Selenium supply methods and time of application influence spring wheat (Triticum aestivum L.) yield under water deficit conditions. J. Agric. Sci. 155(4), 643-656 (2017).
- Jin, J. et al. Interaction between phosphorus nutrition and drought on grain yield, and assimilation of phosphorus and nitrogen in two soybean cultivars differing in protein concentration in grains. J. Plant Nutr. 29(8), 1433-1449 (2006).
- Nawaz, F., Ahmad, R., Waraich, E. A., Naeem, M. S. & Shabbir, R. N. Nutrient uptake, physiological responses, and yield attributes of wheat (Triticum aestivum L.) exposed to early and late drought stress. J. Plant Nutr. 35(6), 961-974 (2012).
- Hajiboland, R., Sadeghzadeh, N., Ebrahimi, N., Sadeghzadeh, B. & Mohammadi, S. A. Influence of selenium in drought-stressed wheat plants under greenhouse and field conditions. Acta Agriculturae Slovenica 105(2), 175-191 (2015).
- Samarah, N. H. Effects of drought stress on growth and yield of barley. Agron. Sustain. Dev. 25, 145-149 (2005).
- Fatemi, R., Yarnia, M., Mohammadi, S., Vand, E. K. & Mirashkari, B. Screening barley genotypes in terms of some quantitative and qualitative characteristics under normal and water deficit stress conditions. Asian J. Agric. Biol. 2, 2022071 (2023).
- Sadak, M. S. & Bakhoum, G. S. Selenium-induced modulations in growth, productivity and physiochemical responses to water deficiency in Quinoa (Chenopodium quinoa) grown in sandy soil. Biocatalysis Agric. Biotechnol. 44, 102449 (2022).
- Ibrahim Nossier, M., Hassan Abd-Elrahman, S. & Mahmoud El-Sayed, S. Effect of using garlic and lemon peels extracts with selenium on Vicia faba productivity. Asian J. Agric. Biol. 4, 202107276 (2022).
- Chen, C. C. & Sung, J. M. Priming bitter gourd seeds with selenium solution enhances germinability and antioxidative responses under sub-optimal temperature. Physiologia Plantarum 111(1), 9-16 (2001).
- Rayman, M. P. Selenium and human health. Lancet 379(9822), 1256-1268 (2012).
- Nawaz, F., Ashraf, M. Y., Ahmad, R. & Waraich, E. A. Selenium (Se) seed priming induced growth and biochemical changes in wheat under water deficit conditions. Biol. Trace Element Res. 151(2), 284-293 (2013).
الشكر والتقدير
يقدم المؤلفون تقديرهم للباحثين الذين يدعمون رقم المشروع (RSPD2024R941)، جامعة الملك سعود، الرياض، المملكة العربية السعودية.
مساهمات المؤلفين
تصور، تحقيق، جمع البيانات، وكتابة المسودة الأصلية، م.أ.س.ر.، و م.ع.أ. البرمجيات، تقييم النصوص، وتحريرها، م.ف.، إ.أ، و ر.ي. الكتابة-المراجعة والتحرير، ر.ر.، أ.م.س.إ.، إ.ح.، إ.أ.، و أ.إ.م.م. تنسيق البيانات والتحليل الرسمي، م.س.إ.، إ.أ، و م.ع.أ. التصور والتحقق، م.س.إ.، ر.ي.، م.أ.س.ر. المنهجية والمراجع، ر.ر.، أ.م.س.إ.، ر.ي.، و م.ع.أ. الإشراف، م.أ.س.ر. الحصول على التمويل، ر.ر.، أ.م.س.إ.، إ.أ، و ر.ي. جميع المؤلفين راجعوا المخطوطة ووافقوا على النشر النهائي.
التمويل
تمكين وتنظيم التمويل المفتوح بواسطة مشروع DEAL. تمكين وتنظيم التمويل المفتوح بواسطة مشروع DEAL.
المصالح المتنافسة
يعلن المؤلفون عدم وجود مصالح متنافسة.
معلومات إضافية
يجب توجيه المراسلات وطلبات المواد إلى م.أ.س.ر.، م.ع.أ.، ر.ي. أو ر.ر.
معلومات إعادة الطبع والتصاريح متاحة على www.nature.com/reprints.
ملاحظة الناشر تظل Springer Nature محايدة فيما يتعلق بالمطالبات القضائية في الخرائط المنشورة والانتماءات المؤسسية.
معلومات إعادة الطبع والتصاريح متاحة على www.nature.com/reprints.
ملاحظة الناشر تظل Springer Nature محايدة فيما يتعلق بالمطالبات القضائية في الخرائط المنشورة والانتماءات المؤسسية.
النفاذ المفتوح هذه المقالة مرخصة بموجب رخصة المشاع الإبداعي للاستخدام والمشاركة والتكيف والتوزيع وإعادة الإنتاج في أي وسيلة أو صيغة، طالما أنك تعطي الائتمان المناسب للمؤلفين الأصليين والمصدر، وتوفر رابطًا لرخصة المشاع الإبداعي، وتوضح ما إذا تم إجراء تغييرات. الصور أو المواد الأخرى من طرف ثالث في هذه المقالة مشمولة في رخصة المشاع الإبداعي للمقالة، ما لم يُشار إلى خلاف ذلك في سطر الائتمان للمادة. إذا لم تكن المادة مشمولة في رخصة المشاع الإبداعي للمقالة واستخدامك المقصود غير مسموح به بموجب اللوائح القانونية أو يتجاوز الاستخدام المسموح به، ستحتاج إلى الحصول على إذن مباشرة من صاحب حقوق الطبع والنشر. لعرض نسخة من هذه الرخصة، قم بزيارة http://creativecommons.org/licenses/by/4.0/.
© المؤلفون 2024
© المؤلفون 2024
قسم الزراعة، الجامعة الإسلامية في بهاولبور، بهاولبور 63100، باكستان. قسم الهندسة وتكنولوجيا الهندسة، جامعة ولاية متروبوليتان في دنفر، دنفر، كولورادو 80217، الولايات المتحدة الأمريكية. المركز الوطني للبحوث الزراعية، الجامعة الإسلامية في بهاولبور، بهاولبور 63100، باكستان. قسم علم النبات والميكروبيولوجيا، كلية العلوم، جامعة الملك سعود، ص.ب. 2455، 11451 الرياض، المملكة العربية السعودية. قسم الوراثة والتنمية، مركز إيرفينغ الطبي بجامعة كولومبيا، نيويورك، نيويورك 10032، الولايات المتحدة الأمريكية. معهد تغذية النبات وعلوم التربة، جامعة كريستيان ألبريشتس في كيل، 24118 كيل، ألمانيا. قسم الزراعة الحراجية وعلوم البيئة، جامعة سيلهيت الزراعية، سيلهيت 3100، بنغلاديش. مركز دراسات وأبحاث المياه، المركز الوطني للبحوث المائية، القاهرة 81525، مصر. roy@plantnutrition.uni-kiel.de
Journal: Scientific Reports, Volume: 14, Issue: 1
DOI: https://doi.org/10.1038/s41598-024-51371-6
PMID: https://pubmed.ncbi.nlm.nih.gov/38195846
Publication Date: 2024-01-09
DOI: https://doi.org/10.1038/s41598-024-51371-6
PMID: https://pubmed.ncbi.nlm.nih.gov/38195846
Publication Date: 2024-01-09
Seed priming with selenium improves growth and yield of quinoa plants suffering drought
Drought stress is a worldwide threat to the productivity of crops, especially in arid and semi-arid zones of the world. In the present study, the effect of selenium (Se) seed priming on the yield of quinoa under normal and drought conditions was investigated. A pot trial was executed to enhance the drought tolerance in quinoa by Se seed priming (
, and
). The plants were exposed to water stress at three different growth stages of quinoa, viz. multiple leaf, flowering, and seed filling. It was noticed that drought significantly affected the yield components of quinoa, however, Se priming improved the drought tolerance potential and yield of quinoa by maintaining the plant water status. Se priming significantly increased main panicle length (
), main panicle weight (
), and thousand grain weight (
) as well as the gas exchange parameters (transpiration rate (
), stomatal conductance (
), and photosynthetic rate (
), total phenolics (
), leaf chlorophyll contents (35.97%), water relations (leaf relative water contents (14.55%), osmotic potential (
), water potential (
), and turgor potential (
), and economic yield (
) under drought stress. Moreover, Se priming markedly improved grain quality parameters i.e., phosphorus, potassium, and protein contents by
, and
, respectively. The principal component analysis connected the various study scales and showed the ability of physiobiochemical factors to describe yield fluctuations in response to Se seed priming under drought conditions. In conclusion, a drought at the seed-filling stage has a far more deleterious impact among other critical growth stages and seed priming with
was found more effective in alleviating the detrimental effects of drought on the grain yield of quinoa.
The world population is rapidly growing and proposed that it will reach to
billion till 2050, demanding increase in food production to
over 2015 rates
. While the climate change is threating the food security mainly because of high temperature induced increasing drought episodes across the globe, as climate projection models proposed that
temperature will be raised at the end of twenty-first century
. However, inclusion of climate resilient grain crops in the cropping pattern will help to solve this dilemma. In this vein, quinoa (Chenopodium quinoa Willd.) is an excellent choice which has the potential to withstand a wide range of abiotic stresses and grow effectively with minimal inputs. Its adaptation to drought, salinity and cold stresses, in addition to its marvelous nutritive value signifies quinoa as a climate-proof functional food
. Quinoa has exceptional nutritional properties like high protein content (
), minerals (
), vitamins (
) and all amino acids needed by a human body
. Antioxidant compounds like phytosterols, polyphenols and flavonoids with possible nutraceutical benefits are among dietary merits of quinoa
. Quinoa contains up to
fat,
ash,
starch and
crude fiber
. The successful cultivation of quinoa in Pakistan has led to comprehensive
exploration of its growth and production potential
. However, it is important to note that quinoa growth and yield can be significantly affected under severe drought stress (DS)
. Particulalrly, the flowering and seed filling stages have been found as the most sensitive and critical stages of quinoa to DS, ultimately limiting crop yield
.
Drought significantly hampered the plant growth and development, resulting in a notable decrease in biomass accumulation and crop growth rate
. The primary consequences of drought on crop plants include a reduction in the leaf size, rate of cell division, root proliferation and stem elongation
. Drought also distrupts stomatal oscillations and affects plant water and nutrient relations, water use efficiency (WUE) and crop productivity
. Under DS conditions, an unnecessary rise in reactive oxygen species (ROS) causes oxidative damage and, ultimately, plant death
. Seed priming is the controlled hydration and drying of seeds in order to indorse rapid germination and sustained establishment under stress conditions
.
Selenium (Se) has been described as a vital nutrient for humans, animals and plants, as well as an environmental toxin
. The threshold of Se toxicity and deficiency is insignificant and depends on factors such as its chemical composition, concentration and various environmental conditions
. Se is a beneficial micronutrient that functions as an anti-senescent, antioxidant, and involved in plant’s active defense against biotic and abiotic stresses
. The application of Se has the ability to improve the crop’s nutritional value, economic yield, and plant abiotic tolerance. Se enhances crop growth by the accumulation of starch in the chloroplast
. Moreover, Se can control the activity of a number of antioxidant enzymes and metabolites, enabling plants to withstand oxidative stress
. However, Se toxicity or benefits depend greatly on the concentration used
.
Drought, a multi-dimensional stress affects various physiological and biochemical attributes in plants including photosynthetic rate, turgor potential, osmotic potential along with severe injury to cellular membranes
. Plants accumulate active oxygen species such as
and
in response to
. The cell systems of plants are protected from the cytotoxic effect of these active radicals by enzymatic activity and non-enzymatic antioxidants
. However, the protective role of foliar Se application has also been reported under DS conditions. Tadina et al.
observed a significantly lower stomatal conductance in water deficient plants of common buckwheat as compared to Se treated water deficient plants with higher stomatal conductance. Se application as
considerably increased root activity, proline contents, chlorophyll contents, photosynthetic rate and grain yield under abiotic stress conditions in Sorghum bicolor L.
. Se priming and foliar application significantly improved the osmotic potential, water potential, turgor potential, total chlorophyll contents, biological yield, and grain yield in camelina and canola crops under DS
. Furthermore, Se application vicissitudes the membrane activity and permeability and acts as a cofactor for the glutathione peroxidase enzyme that catalyses the peroxide reduction reaction, protects plants from DS and offsets oxidative stress by impeding lipid peroxidation
.
The study focused on investigating the effectiveness of Se seed priming in enhancig the drought tolerance potential of quinoa by improving its physiological and biochemical attributes. One of the key objective of the study was to assess the impact of Se seed priming on the growth, yield, and physiological attributes of quinoa subjected to drought stress conditions.
Materials and methods
Layout and crop management
The experiment was completed in the wirehouse of the Department of Agronomy, The Islamia University of Bahawalpur, Pakistan (Longitude:
; Latitude:
). The physio-chemical examination of experimental soil was performed before sowing and is given in Table 1. Relative humidity (RH), rainfall, maximum and minimum temperature (digital thermometer (Youshiko YC9070) data throughout the growing season of quinoa is depicted in Fig. 1. The quinoa seeds (UAF-Q7) were collected from the University of Agriculture, Faisalabad. The experiment was set up using a completely randomized design (CRD) in factorial arrangement, with four repetitions in plastic pots measuring
and containing 17.5 kg of soil each. These pots were set in a wirehouse, over which a clear plastic sheet could be draped to protect crop plants from rainfall, whenever necessary. Ten quinoa seeds per pot were planted and four plants per pot were maintained by removing extra plants at two leaf stage. To minimize any ambiance-related impacts, pot positions were rotated every week. Each pot received a fertilizer application of 2 g N and
per pot. The entire amount of phosphorus and nitrogen was used as a basal dose.
| Parameters | Soil profile |
| Clay (%) | 9.5 |
| Silt (%) | 33.5 |
| Sand (%) | 57 |
| pH | 7.37 |
| Texture class | Sandy loam soil |
| Organic matter (%) | 0.91 |
| Electric conductivity (
|
2.51 |
| Available Potassium (ppm) | 109 |
| Ammoniac N (
|
1.62 |
| Available Phosphorus (ppm) | 6.77 |
Table 1. Physiochemical properties of the experimental soil.

Figure 1. Relative humidity (RH), rainfall, maximum and minimum temperature during the growing period of quinoa.
Drought imposition and Se priming
Drought stress was executed at multiple leaf (MLS) 30 days after germination (DAG), flowering (FS, 60 DAG) and seed filling (SFS, 85 DAG) stages, whereas, normal supply of water was used as control treatment (CK). Quinoa plants were examined everyday to reveal their phenology for precise application of growth stage-based drought stress (DS) outlined by Sosa-Zuniga et al.
. All pots received the same amount of water at
of soil water holding capacity (WHC), also reffered as control treatment, until the commencement of DS. After that, DS was enacted at MLS, FS and SFS by maintaining the soil WHC at
.
Se as Sodium selenate
was used for seed priming. The solution of
and
Se was prepared by soaking quinoa seeds in
solution for 6 h and then dried under shade until their original moisture level before sowing.
Data recording and related procedures
Growth and yield related parameters
The plants were harvested 140 DAS when they reached at maturity in order to measure plant height, number of panicles per plant, length and weight of main panicle, thousand grain weight, biological and economic yield.
The plants were harvested 140 DAS when they reached at maturity in order to measure plant height, number of panicles per plant, length and weight of main panicle, thousand grain weight, biological and economic yield.
Physiological attributes
The chlorophyll contents of leaves were assessed from fully expanded young leaves after 50 DAS using a chlorophyll meter (model CL-01, Hansatech instruments Ltd., United Kingdom), and the calculation of water use efficiency (WUE) was based on the specified formula described by Iqbal et al.
, WUE = grain yield/total water applied. The determination of total phenolics in leaves followed the standard protocol outlined by Waterhouse
.
The gas exchange attributes i.e., transpiration rate, photosynthetic rate and stomatal conductance, of fifth topmost fully expanded young leaves were measured using LI-COR Li-6400 (USA) portable photosynthetic system, at noon.
Water relations
The leaf water potential and relative water contents (RWC) were assessed using two completely expanded fresh leaves after fifty days of germination, PSYPRO thermocouple psychrometer (Wescor, USA) was used to measure the leaf water potential. Fresh leaves were removed from plants and instantly shifted to test site (laboratory) to record fresh weight (FW). Then, the leaves were dipped in distilled water for 24 h at
and their turgid weight (TW) was measured. The dry weight of the leaves was then noted by placing them in an oven set at
till constant weight. Leaf RWC (%) were determined by using the given formula
.
Water potential apparatus (Chas W. Cook, Birmingham, England) was used to record the leaf water potential (
). Leaf osmotic potential (
), was computed by freezing the leaves in liquid nitrogen, after that the sap was extracted out to quantify the osmotic potential through a vapor pressure osmometer (Wescor 5520, Logan, USA). Leaf turgor potential (MPa, LTP) was calculated by following formula
.
LTP = LWP – LOP
LTP = LWP – LOP
Quality parameters
Quinoa grains ( 0.1 g ) were ground into dry powder and placed in digestion tubes. To each tube, 5 ml of rigorous
was added, and the digestion tubes were incubated at
overnight. Subsequently, one ml of
was carefully added to the digestion tube. These tubes were then positioned in a digestion block and heated at
until fumes formation and heating was continued to further for thirty minutes. The digestion tubes were taken out of the block and allowed to cool. The tubes were then reinserted into the digestion block after the addition of 1 ml of
. The exceeding step was repeated till the cooled digested substance become colorless. The extract was diluted to 50 ml in flasks, sieved and used to determine the nitrogen concentration using Kjeldahl’s method and nitrogen
content was then multiplied with a factor 6.25 to get the protein content
. The phosphorus and potassium content in the digests were ascetained by using spectrophotometer (Shimadzu, UV-1201, Kyoto, Japan) at
and flame photometer (PFP-7, Jenway, UK), as described by Rosero et al.
and Chapman and Pratt
, respectively.
Statistical analysis
The data gathered for all attributes were analyzed statistically by Fisher’s analysis of variance techniques. LSD (least significant difference) test was carried out at
probability level to evaluate the differences between the treatment means using the STATISTIX software (version 8.1)
. The coorelation among grain yield, grain weight and main panicle length and physiobiochemical attributes were investigated using multivariate analysis. Principal component analysis (PCA) was performed on the data and the results were visualised with biplot graph settled from PC1 and PC2. The software Origin Pro 9.1 (Origin-Lab Corporation, Northampton, MA) was used to create the figures.
Ethics approval and consent to participate
This study does not include human or animal subjects.
Statement on guidelines
All experimental studies and experimental materials involved in this research are in full compliance with relevant institutional, national and international guidelines and legislation.
Results
Growth and yield attributes
Drought stress significantly affected the biomass production and yield attributes [number of panicles per plant (NPPP), main panicle length (MPL), main panicle weight (MPW) and thousand grain weight (TGW) in quinoa (Table 2). Priming of quinoa seeds with Se mitigated the negative effects of drought showing the maximum values for
and minimum values in control treatment (no priming) for all growth and yield contributing traits. However, quinoa genotype responded differently to DS imposition at critical growth stages (CGS). Highest values for all studied parameters were observed under normal irrigation (Ck) while lowest values for NPPP, MPL, MPW and TGW were recorded in Ck, DMLS, DFS and DSFS, respectively. Furthermore, seed priming with
Se was found best among other treatments showing maximum GY (16.67) under Ck and minimum value (10.67) was observed in DSFS.
Leaf chlorophyll contents
Leaf chlorophyll contents (LCC) of quinoa were affected significantly by the execution of DS as presented in Table 3. The peak values for LCC (22.52) were observed when crop was nourished with normal irrigation (Ck) followed by DSFS and minimum LCC (14.55) were observed when crop was subjected to drought at MLS. Se priming significantly improved LCC showing maximum value for
Se and lowest LCC were noted in control treatment (
).
Water use efficiency
Drought and Se priming significantly influenced the WUE of quinoa. Maximum values (0.56) for WUE were noted in DMLS and minimum value (0.38) for WUE was found in Ck. Highest WUE was noticed when quinoa seeds were primed with
and minimum was found in
(Table 3).
Total phenolics
Total phenolics (TP) were significantly affected by both deficit irrigation and Se priming in quinoa (Table 3). Maximum TP were obtained in control treatment (Ck) whereas minimum reading was noted for TP in DMLS treatment. Se significantly alleviated the adverse effects of drought and improved the accumulation of TP in quinoa leaves. Maximum TP (11.41) were recorded in
and minimum TP (8.06) were recorded in control treatment (
).
Gas exchange parameters
The quinoa plants subjected to DS decreased the photosynthetic rate (PR), stomatal conductance (SC) and transpiration rate (TR) as compared to control plants (Fig. 2). Highest values for PR were observed in control treatment followed by DSFS and DFS and minimum PR was achieved in DMLS. A disparate fashion (Ck > DMLS > DFS > DSFS) was observed for SC and TR under drought. Se seed priming significantly improved the PR, SC and TR in DS plants as compared to control treatment. Maximum values for PR (11.53), SC (0.17)
| Treatments | PH | PPP | MPL | MPW | TGW | BY | GY |
| Ck | |||||||
|
|
|
|
|
|
|
|
|
|
|
|
|
|
|
|
|
|
|
|
|
|
|
|
|
|
|
|
|
|
|
|
|
|
|
|
| DMLS | |||||||
|
|
|
|
|
|
|
|
|
|
|
|
|
|
|
|
|
|
|
|
|
|
|
|
|
|
|
|
|
|
|
|
|
|
|
|
| DFS | |||||||
|
|
|
|
|
|
|
|
|
|
|
|
|
|
|
|
|
|
|
|
|
|
|
|
|
|
|
|
|
|
|
|
|
|
|
|
| DSFS | |||||||
|
|
|
|
|
|
|
|
|
|
|
|
|
|
|
|
|
|
|
|
|
|
|
|
|
|
|
|
|
|
|
|
|
|
|
|
| LSD (
|
2.28 | 1.01 | 0.69 | 1.63 | 0.14 | 3.43 | 1.24 |
| Significance | |||||||
| Se | ** | ** | ** | ** | ** | ** | ** |
| Drought | ** | ** | ** | ** | ** | ** | ** |
| Se
|
ns | ns | ns | ns | ns | ns | ns |
Table 2. Plant height (
), panicles per plant ( PPP ), main panicle length (
), main panicle weight (MPW, g ), thousand grain weight (TGW, g), biological yield (BY, g plant
) and grain yield (GY, g plant
) affected by Se priming under DS conditions. Asterisks (
) indicate significant differences;
; ns, non-significant. Ck, DMLS, DFS, and DSFS represents control, drought at multiple leaf, flowering, and seed filling stages, correspondingly. Mean values are presented with standard error, SE (
). Means that share the same letter case are not substantially different at 5% probability level. Significant values are in italics.
and TR (3.16) were achieved when quinoa seeds were primed with
followed by
and
both under control and drought stressed plants.
Water relations
Significant effect of drought and Se seed priming on LWP, LTP, LOP and LRWC has been presented in Fig. 3. Significant reduction in LWP, LTP, LOP and LRWC was observed in DSFS treatment followed by DMLS and DFS when compared with non-stressed quinoa plants. Se seed priming significantly increased the LWP, LTP and LOP in comparison with control treatment. Furthermore, Se priming (
) substantially improved the aforementioned parameters as compared to control treatment both under well watered and drought conditions.
Grain protein contents
Table 3 indicates that drought has significant effect on protein contents (PCs) of quinoa grains. Maximum values for PCs were noted by the execution of drought at SFS followed by FS and MLS and minimum value was noted in Ck. Maximum grain PCs (15.62) were observed in
treatment
while reduction in PCs (13.27) was recorded in control (
) when no seed priming was done. The interaction of both Se and drought nonsignificantly affected the grain PCs of quinoa.
Grain phosphorus contents
Irrigation deficit and seed priming with Se influenced significantly the grain phosphorus contents of quinoa. Among the drought maximum grain phosphorus contents were under normal irrigation (
) followed by
and minimum grain phosphorus contents were found in
which was at par with
. For Se , maximum phosphorus contents (395.16) in grains were recorded in
and reduction (311.07) in the said parameter was noticed in control treatment (
) which was statistically at par with
(Table 3).
| Treatments | PC | P | K | LCC | WUE | TP |
| Ck | ||||||
|
|
|
|
|
|
|
|
|
|
|
|
|
|
|
|
|
|
|
|
|
|
|
|
|
|
|
|
|
|
|
|
| DMLS | ||||||
|
|
|
|
|
|
|
|
|
|
|
|
|
|
|
|
|
|
|
|
|
|
|
|
|
|
|
|
|
|
|
|
| DFS | ||||||
|
|
|
|
|
|
|
|
|
|
|
|
|
|
|
|
|
|
|
|
|
|
|
|
|
|
|
|
|
|
|
|
| DSFS | ||||||
|
|
|
|
|
|
|
|
|
|
|
|
|
|
|
|
|
|
|
|
|
|
|
|
|
|
|
|
|
|
|
|
| LSD (
|
0.64 | 28.11 | 85.81 | 2.06 | 0.08 | 0.93 |
| Significance | ||||||
| Se | ** | ** | ** | ** | ** | * |
| Drought | ** | ** | ** | ** | ** | ** |
| Se
|
ns | ns | ns | ns | ns | ns |
Table 3. Protein contents (
), phosphorus contents (
) potassium contents (
), leaf chlorophyll content (
fresh weight, LCC), water use efficiency (
, WUE) and total phenolics (
fresh weight, TP) affected by Se priming under DS conditions. Asterisks (*) indicate significant differences;
; ns, non-significant. Ck, DMLS, DFS, and DSFS represents control, drought at multiple leaf, flowering, and seed filling stages, correspondingly. Mean values are presented with standard error, SE (
). Means that share the same letter case are not substantially different at
probability level. Significant values are in italics.
Grain potassium contents
Irrigation deficit and seed priming with Se influenced significantly the potassium (K) contents in quinoa grains. Maximum K (1129.5) values in quinoa seeds were found with normal irrigation (Ck) followed by DMLS and lower values for K content (915.8) were noted in DSFS treatment. Seed priming with Se significantly improved the concentration of K in quinoa grains both under Ck and water deficit conditions (Table 3).
Principle component analysis (PCA) for data mining
The PCA was executed on all experimental parameters to reveal their correlation with the neighboring treatments and other variables. Yet, the PCA revealed a clear distinction between PC1 and PC2, which accounted for a combined
of the total variability in grain yield of quinoa and associated parameters with water relations. Figure 4 indicates that PCA loading and score plot concede that PC1 and PC2 were responsible for
and
of the total variance, respectively. The cosine angle amongst two trait vectors signposts association between traits, whereas, acute and obtuse angles shows a negative and positive correlation, respectively, whereas the right angle among two trajectories of variables demonstrates no association among them. Biplot graph from PCA unfolds several significant associations such as a positive association between the grain yield (GY) and its relted traits (PPP, MPL, MPW, TGW) as well as a strong correlation between GY and water-related (WUE, LRWC, LWP, LOP, LTP) and gas exchange (PR, SC, TR) attributes.
Discussion
Drought is one of the main limiting factor to achieve sustainability in crop production
. A considerable reduction in the growth and yield of quinoa under drought conditions demands for the development and identification of drought alleviation strategies. The outcomes of present study showed that priming of quinoa seeds with Seinfluenced significantly the growth, yield and its components both under control and moisture deficit conditions. Our findings support preceding studies who reported that Se priming could be an effective tool in ameliorating the DS for increasing wheat growth and yield under controlled conditions
.
A significant decrease in photosynthetic pigment (chlorophyll) was due to the production of reactive oxygen species (ROS) such as
and
leading to lipid peroxidation and consequently, chlorophyll destruction
,

Figure 2. Photosynthetic rate (
), Stomatal conductance (
) and transpiration rate (
) of quinoa affected by Se priming under drought.
and
indicates 0, 3.0, 6.0 and
. Ck, DMLS, DFS, and DSFS represents control, drought at multiple leaf, flowering, and seed filling stages, correspondingly. The error bars represent standard error (
).
which ultimately resulted in demolition of chlorophyll under stress situations. However, seed priming with Se resulted in higher chlorophyll contents both in drought and non-stressed environments because Se increased the flow of electrons in the respiratory chain, and hence increased the rate of photosynthesis in plants
. Similar conclusions were drawn by others that Se priming improved the leaf chlorophyll contents in goji berry
kenaf
and lettuce
. Higher concentrations of Se decreased chlorophyll content in basil plants
and rice seedlings
which support our findings.
Drought, when imposed at FS and SFS negatively affected WUE of quinoa. Analogous results have been documented by Zhang et al.
and Geerts et al.
for wheat and quinoa, correspondingly, under drought conditions. Similarly, Telahigue et al.
and Aslam et al.
reported results in-line with our findings that WUE generally increased under poor water supply in quinoa. Se seed priming improved the WUE both in DS and control treatment, possibly due to the better accessibility of water to quinoa plants. Similarly, Sajedi et al.
also described a significant improvement in WUE of maize plants by Se application. Figure 4 indicates that WUE is a significant determinant for quinoa yield vacillations at CGS.
Drought stress significantly abridged the water relations (LWP, LTP, LOP and LRWC) in quinoa when compared with control treatment. Similar outcomes have been stated by Haider et al.
in wheat and Iqbal et al.
in cotton that DS decreased all these parameters. This decrease could be brought about by inadequate food absorption, decreased cell division, SC, and less cytokines production
. An increase in the aforementioned characteristics was seen when quinoa seeds were primed with Se. Likewise, Ahmad et al.
observed that Se priming improves the water uptake without decreasing the transpiration rate in oilseed crops that helps to increase

Figure 3. Leaf water potential (-MPa), Leaf turgor potential (MPa), Leaf osmotic potential (-MPa) and Leaf relative water contents (%) of quinoa influenced by Se priming under drought.
and
indicates 0,
and
Se. Ck, DMLS, DFS, and DSFS represents control, drought at multiple leaf, flowering, and seed filling stages, correspondingly. The error bars represent standard error
.

Figure 4. Biplot showing the correlations between plant height (PH), panicles per plant (PPP), main panicle length (MPL), main panicle weight (MPW), thousand grain weight (TGW), biological yield (BY), grain yield (GY), protein contents (PC), phosphorus contents (P) potassium contents (K), leaf chlorophyll content (LCC), total phenolics (TP), water use efficiency (WUE), photosynthetic rate (PR), stomatal conductance (SC), transpiration rate (TR), leaf water potential (LWP), leaf turgor potential (LTP), leaf osmotic potential (LOP) and leaf relative water contents (LRWC) of quinoa affected by Se priming under drought.
and
indicates
and
and Ck, DMLS, DFS, and DSFS represents control, drought at multiple leaf, flowering, and seed filling stages, correspondingly.
LRWC, OP and TP. Domokos-Szabolcsy et al.
revealed that Se seed treatment reinforce the defense mechanism of plants against DS by improving transfer of electrons and the activity of protective enzymes, thus curtailing the damage caused by DS to photosynthetic apparatus.
Drought stress significantly decreased phenolic content of quinoa when imposed at MLS which may be due to the reduced activity of plant hormones (phenylalaine ammonia lyase) and osmotic stress during the biosynthesis of phenolic compounds. Similarly, Moharramnejad et al.
and Sofy et al.
reported the reduction of phenolics accumulation in maize and Hordeum vulgare under DS. In contrary, Salem et al.
and Kusvuran and Dasgan
described an increase in phenolics under irrigation deficit. Se priming significantly increased leaf phenolic contents both in drought and irrigated control. Similarly, an increase in total phenolic contents has been reported in rice by the application of
.
Protein contents (PCs) in quinoa grains were considerably improved when DS was executed at SFS. Anjum et al.
also reported similar findings that PCs increased under drought conditions in maize. Se supplementation enhanced the accretion of PCs in quinoa both under control and water deficit conditions but plants emerged from the seeds primed with higher concentration of Se showed a decrease in PCs. Similarly, Nawaz et al.
concluded that Se priming enhanced crude protein in drought stressed maize plants. Our findings are in accordance with the above stated results that PCs were increased with Se priming.
Drought stress significantly reduced the concentration of P and K in quinoa seeds when drought was imposed at DSFS which may be because of the inability of plant roots to uptake soil nutrients present in soil and their upward movement within plants. Similarly, Jin et al.
found that uptake and translocation of P from roots to seeds of soybean was reduced under DS and Nawaz et al.
reported a decrease in potassium uptake under late DS in wheat. The priming of quinoa seeds with Se demonstrated beneficial effects in counteracting the effects of drought by enhancing the level of P and K in seeds both under drought and control conditions. Hajiboland et al.
stated similar results that higher level of Se application enhanced P and K concentration in wheat.
The yield contributing attributes (NPPP, MPL, MPW, TGW), biological yield (BY) and grain yield (GY) were lowered under irrigation deficit. However, decrease in NPPP and BY at MLS can be attributed to limited N and P absorption in the begining of plant growth
. The aforementioned yield components were reduced when moisture stress was given at DSFS except MPL showing minimum values at DFS which might be due to the inadequate absorption and distribution of photosynthates. Water stress in quinoa at DSFS reduced MPW and TGW, ultimately abridged the grain yield. A decrease in GY of barley has been observed because of reduced fertile tillers and number of grains under drought conditions
. Likewise, Nawaz et al.
and Fatemi et al.
also reported a reduction in grain yield and associated parameters in wheat and barley, respectively, under short supply of water. A substantial enhancement in yield and contributing attributes was recorded by priming quinoa seeds with Se both in control and DS plants. The Se seed priming exhibits a beneficial impact on the growth and productivity of quinoa crop. Hajiboland et al.
also reported similar finding that Se priming improved whole shoot and straw weight, spike and seed yield of wheat both under normal and DS conditions. Similarly, Sadak and Bakhoum
also described an increase in chlorophyll contents, PCs, P, K, grain weight, BY and GY by Se application in quinoa. Se supplementation increases respiratory potential, metabolites accumulation, delays senescence
and protect cells from stress induced apoptosis
ultimately enhance crop yield. The biplot of PCA identified many significant factors, including stomatal conductance, osmotic potential, transpiration rate, leaf chlorophyll content and water use efficiency, as potent explanatory variables that were responsible for quinoa’s ability to withstand drought (Fig. 4) as also reported by Iqbal et al.
. Concludingly, the seed filling stage of quinoa was found most sensitive to drought stress due to limited water availability, reduced pollen viability and fertilization and compromised nutrient transport to developing seeds which reduced seed size, MPW, TGW, and ultimately diminished overall yield of quinoa. However, only the appropriate amount of Se shows positive response while higher levels of Se leads to toxicity by disrupting plant metabolic processes, leading to oxidative stress and cellular damage, inhibiting photosynthesis, impairing nutrient uptake and transport, ultimately impeding growth and reducing yield of quinoa plants
.
Conclusion
Drought episodes during critical growth stages (flowering and seed filling) reduce overall plant performance, quality attributes and yield of quinoa. However, Se seed priming at varying concentrations demonstrated a remarkable potential to enhance drought tolerance and overall yield of quinoa. Notably, Se priming at
improved the growth, yield (MPL, MPW, TGW), physiological (LCC, PR, TR, SC) attributes, optimized water relations (LWP, LTP, LOP, LRWC, WUE) and grain quality of quinoa by reducing the deleterious effects of drought. Furthermore, seed filling stage of quinoa was identified as highly sensitive stage to DS and the seed priming with
Se could be used as an effective tool for sustainable quinoa production even under drought stress conditions.
Data availability
The datasets analysed during this study are included in this manuscript.
Received: 20 October 2023; Accepted: 4 January 2024
Published online: 09 January 2024
Received: 20 October 2023; Accepted: 4 January 2024
Published online: 09 January 2024
References
- Amna Ali, B., Azeem, M. A., Qayyum, A., Mustafa, G., Ahmad, M. A., Javed, M. T., & Chaudhary, H. J. (2021). Bio-fabricated silver nanoparticles: A sustainable approach for augmentation of plant growth and pathogen control. in Sustainable Agriculture Reviews 53; Springer: Cham, Switzerland, pp. 345-371. https://doi.org/10.1007/978-3-030-86876-5_14
- AsmaHussain, I. et al. Alleviating effects of salicylic acid spray on stage-based growth and antioxidative defense system in two drought-stressed rice (Oryza sativa L.) cultivars. Turk. J. Agric. Forestry. 47(1), 79-99. https://doi.org/10.55730/1300-011X. 3066 (2023).
- Ruiz, K. B. et al. Quinoa biodiversity and sustainability for food security under climate change. A review. Agron. Sustain. Develop. 34, 349-359 (2014).
- Waqas, M. et al. Synergistic consequences of salinity and potassium deficiency in quinoa: Linking with stomatal patterning, ionic relations and oxidative metabolism. Plant Physiol. Biochem 159, 17-27 (2021).
- Choque Delgado, G. T., Carlos Tapia, K. V., Pacco Huamani, M. C. & Hamaker, B. R. Peruvian Andean grains: Nutritional, functional properties and industrial uses. Crit. Rev. Food Sci. Nutr. 63(29), 9634-9647 (2023).
- Filho, A. M. M. et al. Quinoa: Nutritional, functional, and antinutritional aspects. Crit. Rev. Food Sci. Nutr. 57(8), 1618-1630 (2017).
- Liu, C., Ma, R., & Tian, Y. (2022). An overview of the nutritional profile, processing technologies, and health benefits of quinoa with an emphasis on impacts of processing. Crit. Rev. Food Sci. Nutr. 1-18.
- Aslam, M. U. et al. Improving strategic growth stage-based drought tolerance in quinoa by rhizobacterial inoculation. Commun. Soil Sci. Plant Anal. 51(7), 853-868 (2020).
- Kammann, C. I., Linsel, S., Gößling, J. W. & Koyro, H. W. Influence of biochar on drought tolerance of Chenopodium quinoa Willd and on soil-plant relations. Plant Soil 345(1), 195-210 (2011).
- Yang, A., Akhtar, S. S., Amjad, M., Iqbal, S. & Jacobsen, S. E. Growth and physiological responses of quinoa to drought and temperature stress. J. Agron. Crop Sci. 202(6), 445-453 (2016).
- Maestro-Gaitán, I. et al. Genotype-dependent responses to long-term water stress reveal different water-saving strategies in Chenopodium quinoa Willd. Environ. Exp. Bot. 201, 104976 (2022).
- Al-Huqail, A. A. et al. Efficacy of priming wheat (Triticum aestivum) seeds with a benzothiazine derivative to improve drought stress tolerance. Funct. Plant Biol. https://doi.org/10.1071/FP22140 (2023).
- Wahab, A. et al. Plants’ physio-biochemical and phyto-hormonal responses to alleviate the adverse effects of drought stress: A comprehensive review. Plants 11, 1620. https://doi.org/10.3390/plants11131620 (2022).
- Yasmeen, S. et al. Melatonin as a foliar application and adaptation in lentil (Lens culinaris Medik.) crops under drought stress. Sustainability 14, 16345. https://doi.org/10.3390/su142416345 (2022).
- Salam, A. et al. Nano-priming against abiotic stress: A way forward towards sustainable agriculture. Sustainability 14, 14880. https://doi.org/10.3390/su142214880 (2022).
- Ali, J. et al. Biochemical response of okra (Abelmoschus esculentus L.) to selenium (Se) under drought stress. Sustainability 15, 5694. https://doi.org/10.3390/su15075694 (2023).
- Hasanuzzaman, M. et al. Selenium toxicity in plants and environment: biogeochemistry and remediation possibilities. Plants 9(12), 1711 (2020).
- Djanaguiraman, M., Prasad, P. V. & Seppanen, M. Selenium protects sorghum leaves from oxidative damage under high temperature stress by enhancing antioxidant defense system. Plant Physiol. Biochem. 48(12), 999-1007 (2010).
- Shahzadi, E. et al. Silicic and ascorbic acid induced modulations in photosynthetic, mineral uptake, and yield attributes of mung bean (Vigna radiata L. Wilczek) under ozone stress. ACS Omega https://doi.org/10.1021/acsomega.3c00376 (2023).
- Mozafariyan, M., Pessarakli, M. & Saghafi, K. Effects of selenium on some morphological and physiological traits of tomato plants grown under hydroponic condition. J. Plant Nutr. 40(2), 139-144 (2017).
- Helaly, M. N., El-Hoseiny, H., El-Sheery, N. I., Rastogi, A. & Kalaji, H. M. Regulation and physiological role of silicon in alleviating drought stress of mango. Plant Physiol. Biochem. 118, 31-44 (2017).
- Wang, W., Vinocur, B. & Altman, A. Plant responses to drought, salinity and extreme temperatures: towards genetic engineering for stress tolerance. Planta 218(1), 1-14 (2003).
- Hasanuzzaman, M., Hossain, M. A. & Fujita, M. Selenium in higher plants: Physiological role, antioxidant metabolism and abiotic stress tolerance. J. Plant Sci. 5(4), 354-375 (2010).
- Shigeoka, S. et al. Regulation and function of ascorbate peroxidase isoenzymes. J. Exp. Bot. 53(372), 1305-1319 (2002).
- Victoria, O., Idorenyin, U. D. O., Asana, M., Shuoshuo, L., & Yang, S. (2023). Seed treatment with 24 -epibrassinolide improves wheat germination under salinity stress. Asian J. Agric. Biol. (3).
- Faryal, S. et al. Thiourea-capped nanoapatites amplify osmotic stress tolerance in Zea mays L. by conserving photosynthetic pigments, osmolytes biosynthesis and antioxidant biosystems. Molecules 27, 5744. https://doi.org/10.3390/molecules27185744 (2022).
- Taratima, W., Kunpratum, N., & Maneerattanarungroj, P. (2023). Effect of salinity stress on physiological aspects of pumpkin (Cucurbita moschata Duchesne. ‘Laikaotok’) under hydroponic condition. Asian J. Agric. Biol. (2), 202101050.
- Tadina, N., Germ, M., Kreft, I., Breznik, B. & Gaberščik, A. Effects of water deficit and selenium on common buckwheat (Fagopyrum esculentum Moench.) plants. Photosynthetica 45(3), 472-476 (2007).
- Ahmad, Z. et al. Selenium alleviates the adverse effect of drought in oilseed crops camelina (Camelina sativa L.) and canola (Brassica napus L.). Molecules 26(6), 1699 (2021).
- Jóźwiak, W. & Politycka, B. Effect of selenium on alleviating oxidative stress caused by a water deficit in cucumber roots. Plants 8(7), 217 (2019).
- Sosa-Zuniga, V., Brito, V., Fuentes, F. & Steinfort, U. Phenological growth stages of quinoa (Chenopodium quinoa) based on the BBCH scale. Ann. Appl. Biol. 171(1), 117-124 (2017).
- Iqbal, R. et al. Assessing the potential of partial root zone drying and mulching for improving the productivity of cotton under arid climate. Environ. Sci. Pollut. Res. 28(46), 66223-66241 (2021).
- Waterhouse, A. L. Determination of total phenolics. Curr. Protocols Food Analyt. Chem. 6(1), I1-1 (2001).
- Iqbal, H., Yaning, C., Waqas, M., Shareef, M. & Raza, S. T. Differential response of quinoa genotypes to drought and foliage-applied H2O2 in relation to oxidative damage, osmotic adjustment and antioxidant capacity. Ecotoxicol. Environ. Safety 164, 344-354 (2018).
- Raza, M. A. S. et al. Physiological and biochemical assisted screening of wheat varieties under partial rhizosphere drying. Plant Physiol. Biochem. 116, 150-166 (2017).
- Gonzalez, J. A., Konishi, Y., Bruno, M., Valoy, M. & Prado, F. E. Interrelationships among seed yield, total protein and amino acid composition of ten quinoa (Chenopodium quinoa) cultivars from two different agroecological regions. J. Sci. Food Agric. 92(6), 1222-1229 (2012).
- AOAC. (1990). Official Methods of Analysis, 15th ed.; Association of Official Analytical Chemists, Inc.: Arlington, TX, USA, p. 70. ISBN 0-935584-42-0.
- Rosero, O., Marounek, M. & Břeňová, N. Phytase activity and comparison of chemical composition, phytic acid P content of four varieties of quinoa grain (Chenopodium quinoa Willd.). Acta Agronómica 62(1), 13-20 (2013).
- Chapman, H. D. & Pratt, P. E. Methods of Analysis for Soils, Plant and Water (California University, 1961).
- Steel, R. G. D., Torrie, J. H. & Dickey, D. A. Principles and Procedure of Statistics 178-182 (McGrow Hill Book Co., 1997).
- El-Fattah, A., Ahmed, D., Elhamid Hashem, F. A. & Abd-Elrahman, S. H. Impact of applying organic fertilizers on nutrient content of soil and lettuce plants, yield quality and benefit-cost ratio under water stress conditions. Asian J. Agric. Biol. 2, 202102086 (2021).
- Waraich, E. A., Ahmad, R. & Ashraf, M. Y. Role of mineral nutrition in alleviation of drought stress in plants. Aust. J. Crop Sci. 5(6), 764-777 (2011).
- Nawaz, F. et al. Supplemental selenium improves wheat grain yield and quality through alterations in biochemical processes under normal and water deficit conditions. Food Chem. 175, 350-357 (2015).
- Teimouri, S., Hasanpour, J. & Tajali, A. A. Effect of Selenium spraying on yield and growth indices of wheat (Triticum aestivum L.) under drought stress condition. Int. J. Adv. Biol. Biomed. Res. 2(6), 2091-2103 (2014).
- Muhammad, F. et al. Ameliorating drought effects in wheat using an exclusive or co-applied rhizobacteria and zno nanoparticles. Biology 11(11), 1564 (2022).
- Chomchan, R., Siripongvutikorn, S. & Puttarak, P. Selenium bio-fortification: an alternative to improve phytochemicals and bioactivities of plant foods. Funct. Foods Health Disease 7(4), 263-279 (2017).
- Dong, J. Z. et al. Selenium increases chlorogenic acid, chlorophyll and carotenoids of Lycium chinense leaves. J. Sci. Food Agric. 93(2), 310-315 (2013).
- Lavu, R. V. S. et al. Use of selenium fertilizers for production of Se-enriched Kenaf (Hibiscus cannabinus): Effect on Se concentration and plant productivity. J. Plant Nutr. Soil Sci. 176(4), 634-639 (2013).
- Hawrylak-Nowak, B. Comparative effects of selenite and selenate on growth and selenium accumulation in lettuce plants under hydroponic conditions. Plant Growth Regul. 70(2), 149-157 (2013).
- Ardebili, Z. O., Ardebili, N. O., Jalili, S. & Safiallah, S. The modified qualities of basil plants by selenium and/or ascorbic acid. Turk. J. Bot. 39(3), 401-407 (2015).
- Khaliq, A. et al. Seed priming with selenium: consequences for emergence, seedling growth, and biochemical attributes of rice. Biol. Trace Element Res. 166(2), 236-244 (2015).
- Zhang, B., Li, F. M., Huang, G., Cheng, Z. Y. & Zhang, Y. Yield performance of spring wheat improved by regulated deficit irrigation in an arid area. Agric. Water Manag. 79(1), 28-42 (2006).
- Geerts, S., Raes, D., Garcia, M., Mendoza, J. & Huanca, R. Crop water use indicators to quantify the flexible phenology of quinoa (Chenopodium quinoa Willd.) in response to drought stress. Field Crops Res. 108(2), 150-156 (2008).
- Telahigue, D. C., Yahia, L. B., Aljane, F., Belhouchett, K., & Toumi, L. (2017). Grain yield, biomass productivity and water use efficiency in quinoa (Chenopodium quinoa Willd.) under drought stress. J. Sci. Agric. 222-232.
- Sajedi, N. A., Ardakani, M. R., Naderi, A., Madani, H. & Boojar, M. M. A. Response of maize to nutrients foliar application under water deficit stress conditions. Am. J. Agric. Biol. Sci. 4(3), 242-248 (2009).
- Haider, I. et al. Potential effects of biochar application on mitigating the drought stress implications on wheat (Triticum aestivum L.) under various growth stages. J. Saudi Chem. Soc. 24(12), 974-981 (2020).
- Ahmed, A. H., Harb, E. M., Higazy, M. A. & Morgan, S. H. Effect of silicon and boron foliar applications on wheat plants grown under saline soil conditions. Int. J. Agric. Res. 3(1), 1-26 (2008).
- Domokos-Szabolcsy, E. et al. The interactions between selenium, nutrients and heavy metals in higher plants under abiotic stresses. Environ. Biodiversity Soil Security 1(2017), 5-31 (2017).
- Moharramnejad, S., Sofalian, O., Valizadeh, M., Asgari, A. & Shiri, M. Proline, glycine betaine, total phenolics and pigment contents in response to osmotic stress in maize seedlings. J. Biosci. Biotechnol. 4(3), 313-319 (2015).
- Sofy, M. R., Sharaf, A. E. M., Osman, M. S. & Sofy, A. R. Physiological changes, antioxidant activity, lipid peroxidation and yield characters of salt stressed barely plant in response to treatment with Sargassum extract. Int. J. Adv. Res. Biol. Sci. 4(2), 90-109 (2017).
- Salem, N. et al. Effect of drought on safflower natural dyes and their biological activities. EXCLI J. 13, 1-18 (2014).
- Kusvuran, S. & Dasgan, H. Y. Effects of drought stress on physiological and biochemical changes in Phaseolus vulgaris L. Legume Res. 40(1), 55-62 (2017).
- Emam, M. M., Khattab, H. E., Helal, N. M. & Deraz, A. E. Effect of selenium and silicon on yield quality of rice plant grown under drought stress. Aust. J. Crop Sci. 8(4), 596-605 (2014).
- Anjum, S. A. et al. Gas exchange and chlorophyll synthesis of maize cultivars are enhanced by exogenously-applied glycinebetaine under drought conditions. Plant Soil Environ. 57(7), 326-331 (2011).
- Nawaz, F. et al. Selenium supply methods and time of application influence spring wheat (Triticum aestivum L.) yield under water deficit conditions. J. Agric. Sci. 155(4), 643-656 (2017).
- Jin, J. et al. Interaction between phosphorus nutrition and drought on grain yield, and assimilation of phosphorus and nitrogen in two soybean cultivars differing in protein concentration in grains. J. Plant Nutr. 29(8), 1433-1449 (2006).
- Nawaz, F., Ahmad, R., Waraich, E. A., Naeem, M. S. & Shabbir, R. N. Nutrient uptake, physiological responses, and yield attributes of wheat (Triticum aestivum L.) exposed to early and late drought stress. J. Plant Nutr. 35(6), 961-974 (2012).
- Hajiboland, R., Sadeghzadeh, N., Ebrahimi, N., Sadeghzadeh, B. & Mohammadi, S. A. Influence of selenium in drought-stressed wheat plants under greenhouse and field conditions. Acta Agriculturae Slovenica 105(2), 175-191 (2015).
- Samarah, N. H. Effects of drought stress on growth and yield of barley. Agron. Sustain. Dev. 25, 145-149 (2005).
- Fatemi, R., Yarnia, M., Mohammadi, S., Vand, E. K. & Mirashkari, B. Screening barley genotypes in terms of some quantitative and qualitative characteristics under normal and water deficit stress conditions. Asian J. Agric. Biol. 2, 2022071 (2023).
- Sadak, M. S. & Bakhoum, G. S. Selenium-induced modulations in growth, productivity and physiochemical responses to water deficiency in Quinoa (Chenopodium quinoa) grown in sandy soil. Biocatalysis Agric. Biotechnol. 44, 102449 (2022).
- Ibrahim Nossier, M., Hassan Abd-Elrahman, S. & Mahmoud El-Sayed, S. Effect of using garlic and lemon peels extracts with selenium on Vicia faba productivity. Asian J. Agric. Biol. 4, 202107276 (2022).
- Chen, C. C. & Sung, J. M. Priming bitter gourd seeds with selenium solution enhances germinability and antioxidative responses under sub-optimal temperature. Physiologia Plantarum 111(1), 9-16 (2001).
- Rayman, M. P. Selenium and human health. Lancet 379(9822), 1256-1268 (2012).
- Nawaz, F., Ashraf, M. Y., Ahmad, R. & Waraich, E. A. Selenium (Se) seed priming induced growth and biochemical changes in wheat under water deficit conditions. Biol. Trace Element Res. 151(2), 284-293 (2013).
Acknowledgements
The authors extend their appreciation to the researchers supporting project number (RSPD2024R941), King Saud University, Riyadh, Saudi Arabia.
Author contributions
Conceptualization, investigation, data collection, and writing-original draft, M.A.S.R., and M.U.A. Software, script evaluation, and editing, M.V., I.A, and R.I. Writing-review and editing, R.R., A.M.S.E., I.H., I.A., and A.E.M.M. Data curation and formal analysis, M.S.E., I.A, and M.U.A. Visualization and validation, M.S.E., R.I., M.A.S.R., Methodology and references, R.R., A.M.S.E., R.I., and M.U.A. Supervision, M.A.S.R. Funding Acquisition, R.R., A.M.S.E., I.A, and R.I. All authors reviewed the manuscript and agreed for final publication.
Funding
Open Access funding enabled and organized by Projekt DEAL. Open Access funding enabled and organized by Projekt DEAL.
Competing interests
The authors declare no competing interests.
Additional information
Correspondence and requests for materials should be addressed to M.A.S.R., M.U.A., R.I. or R.R.
Reprints and permissions information is available at www.nature.com/reprints.
Publisher’s note Springer Nature remains neutral with regard to jurisdictional claims in published maps and institutional affiliations.
Reprints and permissions information is available at www.nature.com/reprints.
Publisher’s note Springer Nature remains neutral with regard to jurisdictional claims in published maps and institutional affiliations.
Open Access This article is licensed under a Creative Commons Attribution 4.0 International License, which permits use, sharing, adaptation, distribution and reproduction in any medium or format, as long as you give appropriate credit to the original author(s) and the source, provide a link to the Creative Commons licence, and indicate if changes were made. The images or other third party material in this article are included in the article’s Creative Commons licence, unless indicated otherwise in a credit line to the material. If material is not included in the article’s Creative Commons licence and your intended use is not permitted by statutory regulation or exceeds the permitted use, you will need to obtain permission directly from the copyright holder. To view a copy of this licence, visit http://creativecommons.org/licenses/by/4.0/.
© The Author(s) 2024
© The Author(s) 2024
Department of Agronomy, The Islamia University of Bahawalpur, Bahawalpur 63100, Pakistan. Department of Engineering and Engineering Technology, Metropolitan State University of Denver, Denver, CO 80217, USA. National Research Center of Intercropping, The Islamia University of Bahawalpur, Bahawalpur 63100, Pakistan. Department of Botany and Microbiology, College of Science, King Saud University, P.O. 2455, 11451 Riyadh, Saudi Arabia. Department of Genetics and Development, Columbia University Irving Medical Center, New York, NY 10032, USA. Institute of Plant Nutrition and Soil Science, Christian-Albrechts-Univers ität Zu Kiel, 24118 Kiel, Germany. Department of Agroforestry & Environmental Science, Sylhet Agricultural University, Sylhet 3100, Bangladesh. Water Studies and Research Complex, National Water Research Center, Cairo 81525, Egypt. roy@plantnutrition.uni-kiel.de
