DOI: https://doi.org/10.1038/s41598-023-50889-5
PMID: https://pubmed.ncbi.nlm.nih.gov/38316837
تاريخ النشر: 2024-02-05
المؤلف: Waleed Adel وآخرون
الموضوع الرئيسي: حلول المعادلات التفاضلية الكسرية
نظرة عامة
تقدم هذه الدراسة نموذجًا كسريًا جديدًا، وهو نموذج SITR الكسري من نوع كابوتو، لمحاكاة ديناميات انتشار COVID-19. يصنف النموذج السكان إلى مجموعات معرضة $S(t)$، مصابة $I(t)$، معالجة $T(t)$، ومتعافية $R(t)$، مع تقسيم السكان المعرضين إلى $S_1(t)$ و $S_2(t)$، مما يمثل أولئك الذين تحت تدابير الإغلاق وأولئك الذين ليسوا تحتها، على التوالي. تؤكد الدراسة على أهمية النمذجة الرياضية في فهم ديناميات الأمراض، وتقدير المعلمات الوبائية الرئيسية مثل عدد التكاثر الأساسي $R_0$، وتقييم فعالية استراتيجيات التدخل مثل ارتداء الكمامات الإلزامية والتباعد الاجتماعي.
لتحليل النموذج، استخدم الباحثون طريقة تحليل لابلاس أدوماين (LADM)، التي تتعامل بفعالية مع المعادلات غير الخطية المستمدة من النموذج. تم التحقق من نتائج هذا النهج التحليلي مقابل بيانات حقيقية من إيطاليا، مما يظهر ارتباطًا قويًا بين توقعات النموذج والنتائج الملاحظة خلال فترة الإغلاق. تشير النتائج إلى أن تدابير الإغلاق الصارمة تسرع بشكل كبير من استقرار انتشار العدوى، مما يبرز الدور الحاسم للتدخلات في الوقت المناسب في إدارة الأوبئة. تقترح الدراسة استكشاف النموذج بمزيد من الفئات والمقارنات مع بيانات من دول أخرى لتعزيز قابليته للتطبيق ودقته.
مناقشة
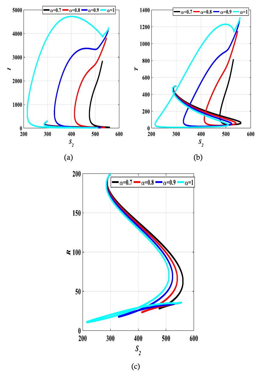
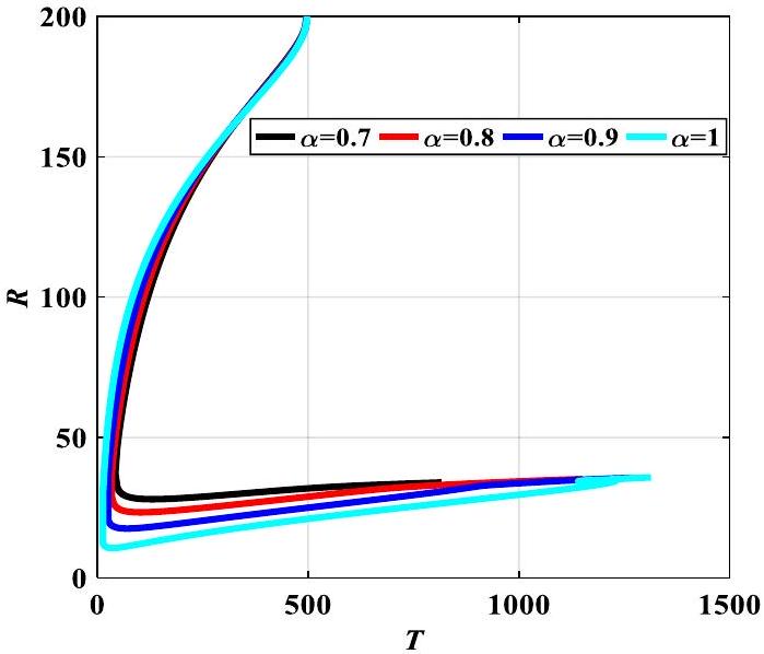
في هذا القسم، يقدم المؤلفون نموذج COVID-19 جديد يتميز بأربعة مقصورات رئيسية: معرض ($S$)، مصاب ($I$)، معالج ($T$)، ومتعافٍ ($R$). يتم تقسيم المجموعة المعرضة إلى فئتين فرعيتين: $S_1(t)$ للأفراد غير المصابين و $S_2(t)$ لأولئك غير المصابين ولكن لديهم حالات صحية موجودة مسبقًا أو كبار السن. يستخدم النموذج حساب التفاضل الكسري، وبشكل محدد نموذج SITR الكسري، مع تأثير الدرجة الكسري $\alpha$ على ديناميات النظام. يقدم المؤلفون صياغة رياضية مفصلة للنموذج، بما في ذلك المعادلات التي تحكم التفاعلات بين المقصورات، ويحددون الشروط الأولية لمتغيرات الحالة.
تؤكد المناقشة أيضًا على إيجابية وحدود حلول النموذج، مثبتة أن النظام يبقى غير سالب ومحدود لجميع الأوقات $t \geq t_0$ عندما تكون الشروط الأولية إيجابية. يظهر المؤلفون وجود وحيدة الحلول تحت شروط محددة، باستخدام نظرية القيمة المتوسطة العامة ويؤسسون منطقة ثابتة إيجابية للنموذج. علاوة على ذلك، يستخرجون نقاط التوازن، بما في ذلك نقطة التوازن الخالية من المرض (DFE) ونقاط التوازن المستوطنة (EEP)، ويحللون استقرارها بناءً على عدد التكاثر الأساسي $R_0$. تشير النتائج إلى أن النموذج يلتقط بفعالية ديناميات COVID-19، مع محاكاة تتماشى عن كثب مع البيانات الواقعية من إيطاليا خلال مرحلة الإغلاق المبكرة، مما يحقق قابلية تطبيق النموذج في فهم سلوك الأوبئة.
DOI: https://doi.org/10.1038/s41598-023-50889-5
PMID: https://pubmed.ncbi.nlm.nih.gov/38316837
Publication Date: 2024-02-05
Author(s): Waleed Adel et al.
Primary Topic: Fractional Differential Equations Solutions
Overview
This research presents a novel fractional model, specifically a Caputo fractional SITR model, to simulate the dynamics of COVID-19 spread. The model categorizes the population into susceptible $S(t)$, infected $I(t)$, treated $T(t)$, and recovered $R(t)$ groups, with the susceptible population further divided into $S_1(t)$ and $S_2(t)$, representing those under and not under lockdown measures, respectively. The study emphasizes the importance of mathematical modeling in understanding disease dynamics, estimating key epidemiological parameters such as the basic reproduction number $R_0$, and evaluating the effectiveness of intervention strategies like mandatory masks and social distancing.
To analyze the model, the researchers employed the Laplace Adomian decomposition method (LADM), which effectively handles the nonlinear equations derived from the model. The results from this analytical approach were validated against real data from Italy, demonstrating a strong correlation between the model’s predictions and observed outcomes during the lockdown. The findings indicate that strict confinement measures significantly expedite stabilization of the infection spread, underscoring the critical role of timely interventions in managing pandemics. The study suggests further exploration of the model with additional categories and comparisons to data from other countries to enhance its applicability and accuracy.
Discussion
In this section, the authors introduce a novel COVID-19 model characterized by four primary compartments: susceptible ($S$), infected ($I$), treated ($T$), and recovered ($R$). The susceptible group is further divided into two subcategories: $S_1(t)$ for uninfected individuals and $S_2(t)$ for those uninfected but with pre-existing health conditions or elderly. The model employs fractional calculus, specifically a fractional SITR model, with the fractional order $\alpha$ influencing the dynamics of the system. The authors provide a detailed mathematical formulation of the model, including equations that govern the interactions between compartments, and establish initial conditions for the state variables.
The discussion also emphasizes the positivity and boundedness of the model’s solutions, proving that the system remains non-negative and bounded for all time $t \geq t_0$ when initial conditions are positive. The authors demonstrate the existence and uniqueness of solutions under specified conditions, utilizing the generalized mean value theorem and establishing a positive invariant region for the model. Furthermore, they derive equilibrium points, including the disease-free equilibrium point (DFE) and endemic equilibrium points (EEP), and analyze their stability based on the basic reproduction number $R_0$. The findings indicate that the model effectively captures the dynamics of COVID-19, with simulations aligning closely with real-world data from Italy during the early lockdown phase, validating the model’s applicability in understanding epidemic behavior.
