المجلة: Scientific Reports، المجلد: 15، العدد: 1
DOI: https://doi.org/10.1038/s41598-025-86344-w
PMID: https://pubmed.ncbi.nlm.nih.gov/39814997
تاريخ النشر: 2025-01-14
DOI: https://doi.org/10.1038/s41598-025-86344-w
PMID: https://pubmed.ncbi.nlm.nih.gov/39814997
تاريخ النشر: 2025-01-14
افتح
استكشاف تأثير التوجه الريادي والتوجه السوقي على الأداء الريادي في سياق عدم اليقين البيئي
في البيئة الاقتصادية المعقدة الحالية، تعتبر المؤسسات الريادية، كقوة حاسمة في التحول الاقتصادي في الصين، أن لديها استراتيجيات حيوية للبقاء والتطور. تستند هذه الدراسة إلى نظرية الموارد، مع دمج إدارة الاستراتيجيات ونظريات الطوارئ. وتؤسس نموذجًا نظريًا يعتمد على مسار التأثير لـ “التوجه الريادي – التوجه السوقي – الأداء الريادي”، مع دمج عدم اليقين البيئي كمتغير معتدل. تركز البحث على المؤسسات الريادية في القطاعات الصناعية والزراعية والخدمية، وتحديدًا تلك التي تم تأسيسها خلال السنوات الثماني الماضية. من خلال التحليل التجريبي لـ 303 عينة من مقاطعة هوبي، الصين، وُجد أن التوجه الريادي يعزز بنشاط التوجه السوقي ويؤثر إيجابيًا على الأداء الريادي من خلال التوجه السوقي. يلعب عدم اليقين البيئي دورًا مزدوجًا في هذه العملية من خلال تعزيز التأثيرات الإيجابية للتوجه الريادي على التوجه السوقي والأداء الريادي، بينما يضعف التأثير المباشر للتوجه السوقي على الأداء الريادي. وهذا يشير إلى أنه في البيئات غير المؤكدة، تحتاج المؤسسات الريادية إلى تعزيز التوجه الريادي للتكيف بمرونة مع التغيرات السوقية، مع مراعاة عوامل استراتيجية متنوعة لتعزيز الأداء. توفر هذه الدراسة دعمًا نظريًا وإرشادات عملية للمؤسسات الريادية في الأسواق المضطربة في اتخاذ القرارات الاستراتيجية.
الكلمات الرئيسية: التوجه الريادي، التوجه السوقي، عدم اليقين البيئي، الأداء الريادي
تساهم الشركات الريادية، ككيانات تطور وتستفيد من الفرص، بشكل كبير في الابتكار التكنولوجي، وخلق الوظائف، والتنمية الاقتصادية من خلال ابتكاراتها الفريدة ومرونتها. لقد أصبحت محركات حيوية للنمو الاقتصادي والاستقرار الاجتماعي في الصين المعاصرة، مرتبطة ارتباطًا وثيقًا بالأهداف التنموية الرئيسية مثل تعزيز الترقية الصناعية، وتعميق الإصلاحات الهيكلية من جانب العرض، وبناء أمة مبتكرة. في سياق عصر التحول الاقتصادي في الصين، تثير حالة عدم اليقين العالية في بيئة الأعمال تساؤلات حول كيفية تأثير التوجه الاستراتيجي للمؤسسات على الخيارات الاستراتيجية وأداء الشركات، مما يجذب انتباه العلماء والمديرين. أتوهن-جيما وآخرون.
تعرف التوجه الاستراتيجي على أنه مزيج من التوجه الريادي والتوجه السوقي. كومار وآخرون.
يشيرون في دراستهم إلى أن التركيز الأحادي على توجه استراتيجي واحد غالبًا ما يؤدي إلى تحديات في الحفاظ على المزايا التنافسية على المدى الطويل، مما يبرز أهمية الاستفادة من توجهات استراتيجية متعددة لتحقيق النجاح المستدام. وبالتالي، يزداد عدد الدراسات التي تركز على التأثير المشترك لتوجه السوق والتوجه الريادي على أداء الشركات.
. مع تقدم البحث، يعترف العلماء بشكل متزايد بأن عدم اليقين البيئي هو دافع رئيسي للابتكار الاستراتيجي في المؤسسات، مرتبط ارتباطًا وثيقًا بالعوامل الاستراتيجية التنظيمية. تشكل التوجهات الاستراتيجية
الأساس الذي يمكّن الشركات من تخصيص الموارد الداخلية بمرونة استنادًا إلى التغيرات البيئية الخارجية، مما يوجه الشركات للاستجابة لظروف السوق بطرق متنوعة، ويعزز ممارسات ريادة الأعمال المتنوعة.
فقط من خلال فهم نبض البيئة بدقة يمكن للمؤسسات تنفيذ التعديلات الاستراتيجية المناسبة ودفع العمليات الريادية بفعالية. ومن الجدير بالذكر أن التفاعل المزدوج بين اختيار الاستراتيجية المؤسسية وعدم اليقين البيئي أمر حاسم لأداء الشركة، حيث إن توافقهما يعد عاملاً رئيسياً في جودة الأداء.
.
تفترض نظرية الموارد أن الأسباب الرئيسية للاختلافات في الأداء بين الشركات تكمن في امتلاكها لموارد غير متجانسة تكون قيمة ونادرة وصعبة التقليد وغير قابلة للاستبدال. من ناحية أخرى، تؤكد نظرية الإدارة الاستراتيجية على أن التوجه الاستراتيجي، كشكل من أشكال الموارد الإدارية، هو عامل حاسم في تحقيق أداء متفوق. لقد استكشف العلماء في هذا المجال ضرورة التخطيط الاستراتيجي وصنفوا الاستراتيجيات المؤسسية، موضحين تأثير الخيارات الاستراتيجية غير المتجانسة على الأداء التنظيمي.
استنادًا إلى هذين الأساسين النظريين، قدم الباحثون في دراسات ريادة الأعمال مفهوم “التوجه الريادي”، الذي يُعرف بأنه منظور اتخاذ قرارات استراتيجية يتميز بالابتكار، والاستباقية، والقدرة على تحمل المخاطر.
يجادل بعض العلماء بأن التوجه الريادي يعمل كموارد استراتيجية غير متجانسة، حيث تظهر المشاريع الجديدة التي تتبنى التوجه الريادي أداءً متفوقًا مقارنةً بالشركات الناشئة الأخرى.
علاوة على ذلك، أشارت بعض الدراسات إلى أن العلاقة بين التوجه الريادي وأداء الشركة ليست خطية، بل تتبع منحنى على شكل U مقلوب، مما يشير إلى أن الأداء الأمثل يتحقق فقط عند مستويات معتدلة من التوجه الريادي.
استنادًا إلى هذه النظريات والأبحاث ذات الصلة، يتضح أنه من الضروري إجراء تحقيق متعمق في أبعاد التوجه الريادي داخل المشاريع الجديدة وتأثيراتها اللاحقة لتحليل قضايا الأداء.
. هذا يثير السؤال: كيف يؤثر التوجه الريادي بشكل غير مباشر على الأداء الريادي؟ وفقًا لنظرية الطباعة التنظيمية، فإن الاستراتيجية الأولية للمشروع الجديد تميل إلى البقاء متسقة لعدة سنوات بعد التأسيس وتستمر في التأثير على تطوره.
تميل المشاريع الجديدة عادةً إلى إظهار درجات أعلى من الابتكار، وتحمل المخاطر، والاستباقية، والتي تتأثر بشكل كبير بخلفيات رواد الأعمال والسياقات الاجتماعية والسياسية المحددة. وبالتالي، غالبًا ما تتبنى هذه المؤسسات التوجه الريادي كاستراتيجيتها الأولية والأساسية. تشير الأبحاث إلى أنه مع تطور المشاريع الجديدة، تقوم بتكييف استراتيجياتها للاستجابة للتغيرات البيئية؛ ومع ذلك، تظهر النتائج أن الاستراتيجية الأساسية الأولية تظل دون تغيير، مع إجراء تعديلات فقط على الاستراتيجيات غير الأساسية والإجراءات ذات الصلة.
لذا، تظل مركزية استراتيجية التوجه الريادي الأولي قوية، مما يقيد ويؤثر على النمو اللاحق لهذه المشاريع.
من هذا المنظور، في البيئات الديناميكية، تؤثر الشركات الريادية على توافقها مع البيئة، وبالتالي على نموها، من خلال تعديل الاستراتيجيات غير الأساسية والإجراءات ذات الصلة تحت إشراف استراتيجيتها الأساسية الموجهة نحو ريادة الأعمال.
. ومع ذلك، فإن الدراسات التجريبية حول تأثير التوجه الريادي على الأداء التنظيمي قد أسفرت عن نتائج متباينة. بينما تؤكد العديد من الدراسات وجود علاقة إيجابية كبيرة بين الاثنين
، وقد وجدت بعض الأبحاث ارتباطًا ضعيفًا فقط
، وقد أفادت دراسات أخرى بعدم وجود تأثيرات ملحوظة
. نتيجة لذلك، بدأ بعض الباحثين في دمج المتغيرات الوسيطة في أبحاثهم لشرح هذه الت inconsistencies، مثل توجه التعلم التنظيمي
اختيارات التكنولوجيا الاستراتيجية
توجه السوق
وعوامل القدرة
.
علاوة على ذلك، تشير الأبحاث إلى أن استراتيجيات أخرى قد تتوسط العلاقة بين التوجه الريادي والأداء الريادي، مع تركيز قوي بشكل خاص على التوجه السوقي.
ومع ذلك، تظل الدراسات التي تفحص التطبيق الشرطي لتأثير التوجه السوقي على الأداء في المشاريع الريادية نادرة، والاستنتاجات الحالية غير متسقة.
. في الوقت نفسه، يركز الكثير من البحث الحالي على شروط الحدود التي تحدد الآثار الإيجابية للتوجهات الريادية والسوقية على الأداء، مع التركيز بشكل أساسي على المتغيرات الداخلية مثل قدرة دمج الموارد، والقدرة التكنولوجية، والقدرة الاستيعابية، وقدرة تكنولوجيا المعلومات والاتصالات، والقدرة على التعلم
. بالمقابل، تم إعطاء اهتمام أقل نسبيًا للمتغيرات الخارجية؛ حيث يعتبر عدم اليقين البيئي كمتغير خارجي ذا صلة خاصة لفهم الآثار التعديلية بين التوجهات الاستراتيجية والأداء. في السياق التشغيلي للشركات الريادية، غالبًا ما تتواجد المتغيرات الوسيطة والتعديلية وتتفاعل، كل منها يؤدي أدوارًا متميزة. ومع ذلك، يتناول البحث الحالي بشكل أساسي العلاقة بين التوجه الريادي والأداء التنظيمي من منظور واحد – إما كوساطة أو كتعديل – مما يؤدي إلى فهم غير مكتمل للآليات الأساسية في الممارسة الريادية
. يمكن أن يؤدي هذا التركيز الضيق إلى ارتباك بشأن أدوار الوساطة والتعديل، مما قد يؤدي إلى استنتاجات خاطئة
. تفترض نظرية الطوارئ أن الاستراتيجيات التي تعتمدها الشركات يجب أن تتماشى مع بيئتها لتعزيز الأداء. لذلك، فإن استكشاف الظروف القابلة للتطبيق التي تعتمد فيها الشركات الريادية التوجه السوقي من منظور عدم اليقين البيئي أمر مهم بشكل خاص. ومع ذلك، لا تزال الدراسات التي تفحص الدور التعديلي لعدم اليقين البيئي بين التوجه الريادي، والتوجه السوقي، والأداء غير كافية. وبالتالي، فإن التحقيق الشامل في وجود وتأثيرات المتغيرات المتعددة في العلاقة بين التوجه الريادي وأداء الشركة يمثل مجالًا مهمًا للتركيز.
تشير الأدبيات التي تمت مراجعتها إلى أن الآليات التي تؤثر من خلالها التوجه الريادي، والتوجه السوقي، وعدم اليقين البيئي على الأداء الريادي لا تزال غير مفهومة تمامًا
, مما يترك العديد من فجوات البحث. أولاً، غالبًا ما تركز الأدبيات الحالية بشكل منفصل على تأثير التوجه الريادي، والتوجه السوقي، وعدم اليقين البيئي على الأداء الريادي، مما يفتقر إلى اعتبار شامل للعلاقات المعقدة بين هذه العوامل
. لا يزال هناك مجال لاستكشاف دراسات الجمع بين العوامل المتعددة حول كيفية تأثير التوجه الريادي على الأداء الريادي. ثانيًا، يجب أن تكون هناك آليات وسيطة بين التوجه الريادي والأداء؛ إن دراسة كيفية تأثير التوجه الريادي على الأداء الريادي من خلال أي مسارات أمر حاسم، بدلاً من اعتبار العلاقة التأثيرية المباشرة بين الاثنين فقط
.
بالإضافة إلى ذلك، بينما تشير بعض الدراسات إلى أن عدم اليقين البيئي قد يعدل العلاقة بين التوجه الريادي والأداء الريادي، هناك حاجة إلى مزيد من التحقق من العلاقة بين هذين العاملين في بيئات مختلفة، مما يتطلب استكشافًا إضافيًا للمسارات التي يؤثر من خلالها عدم اليقين البيئي على الأداء الريادي في ظل ظروف متغيرة. أخيرًا، تميل الأبحاث الحالية حول العلاقة بين التوجه الريادي، والتوجه السوقي، وعدم اليقين البيئي، والأداء الريادي إلى التركيز ضمن منظور نظري واحد، مثل نظرية الموارد أو نظرية إدارة الموارد. ومع ذلك، فإن نقص تكامل الأطر النظرية المختلفة لبناء نموذج نظري أكثر اكتمالاً وشمولاً بشكل منهجي يقيّد فهمًا أعمق لهذا المجال.
استنادًا إلى الخلفية النظرية المذكورة أعلاه، تهدف هذه الدراسة إلى استكشاف الأداء الريادي للشركات الناشئة، من خلال فحص الآليات التي يؤثر من خلالها التوجه الريادي على أداء الشركة. بشكل محدد، ستركز على المسارات غير المباشرة التي يؤثر من خلالها التوجه الريادي على الأداء، بالإضافة إلى الظروف السياقية التي تنطبق عليها هذه المسارات. باختصار، تشمل الأسئلة البحثية التي تسعى هذه الدراسة إلى معالجتها: أولاً، كيف يؤثر التوجه الريادي داخليًا على الأداء الريادي للمشاريع الجديدة. تقترح نظرية عملية ريادة الأعمال أن الأداء الريادي ينتج عن المطابقة المشتركة لعدة عوامل داخلية وخارجية. لذلك، تؤدي مراحل التطوير المختلفة، والصناعات، والبيئات إلى خيارات استراتيجية مختلفة. غالبًا ما تكافح المشاريع الجديدة مع الطلبات السوقية غير الدقيقة. من خلال التحقيق في التأثير الوسيط للتوجه السوقي في عملية تأثير التوجه الريادي على الأداء الريادي للمشاريع الجديدة، تسعى هذه الدراسة إلى استكشاف الآليات التشغيلية الداخلية التي يعزز من خلالها التوجه الريادي الأداء الريادي في المشاريع الجديدة. ثانيًا، كيف يعدل عدم اليقين البيئي تأثير التوجه الريادي على الأداء الريادي للمشاريع الجديدة. تقترح نظرية الطوارئ أن الاستراتيجيات التي تعتمدها الشركات يجب أن تتماشى مع البيئة لتحسين الأداء. يعكس عدم اليقين البيئي الحالة غير القابلة للتنبؤ للبيئة بالنسبة للشركات. من خلال إدخال عدم اليقين البيئي كمتغير تعديلي في الآليات التشغيلية الداخلية لتأثير التوجه الريادي على الأداء الريادي للمشاريع الجديدة، تفحص هذه الدراسة تأثير الطوارئ على علاقتهم. يهدف هذا الاستكشاف إلى توجيه الشركات حول كيفية الاستفادة من التغيرات البيئية لتحقيق التنمية بشكل فعال في الممارسة العملية.
حتى الآن، لم تصل الأبحاث الحالية إلى إطار نظري منهجي بشأن العلاقة بين التوجه السوقي، التوجه الريادي، عدم اليقين البيئي، وأداء ريادة الأعمال. الدراسات الحالية التي تفحص التفاعل بين هذين التوجهين الاستراتيجيين والمتغيرات البيئية، وخاصة فيما يتعلق بنتائج الأداء المختلط، لا تزال غير كافية. إن نقص إطار نظري منهجي يشكل خطرًا في هذا المجال: قد يستثمر الباحثون جهدًا كبيرًا من وجهات نظرهم الفردية ومع ذلك يصلون إلى مجموعة من الاستنتاجات التجريبية المتضاربة، دون وجود طريقة متماسكة لدمج هذه النتائج. ونتيجة لذلك، غالبًا ما تترك الاقتراحات والرؤى ذات الصلة الممارسين في حيرة من أمرهم في ممارساتهم الابتكارية. للتخفيف من هذا الخطر، قبل إجراء المزيد من التحقيقات في التوجه الاستراتيجي، وعدم اليقين المتغير، وأداء ريادة الأعمال، يصبح من الضروري والمعنى بناء إطار تحليل نظري علمي ومنهجي يوضح التفاعلات بين التوجه السوقي، التوجه الريادي، عدم اليقين البيئي، وأداء الابتكار، يتبعه التحقق التجريبي. لتوضيح هذه الآلية المعقدة بشكل منهجي، تركز هذه الدراسة على نظرية الموارد، مدمجةً نظرية الإدارة الاستراتيجية، نظرية الطوارئ، وطباعة التنظيم لتطوير نموذج نظري شامل – تحديدًا، نموذج وساطة يتضمن تأثيرات معتدلة (انظر الشكل 1). ضمن هذا النموذج، يتم تحديد فعالية تنفيذ التوجه الريادي كعامل رئيسي في تباين الأداء بين الشركات الناشئة. أولاً، مستندةً إلى نظرية الموارد، تستمد هذه الدراسة مساهمات تنفيذ التوجه الريادي في أداء الشركة، مما يبرز أهميته في مساعدة الشركات على التنقل في بيئات عالية عدم اليقين وتجنب التقادم في السوق. من خلال دمج الرؤى من نظرية الإدارة الاستراتيجية وطباعة التنظيم، تستكشف الدراسة المزيد من المسارات المحددة التي يتم من خلالها تنفيذ التوجه الريادي ضمن العمليات التنظيمية، محددةً أي المسارات الوسيطة هي الأكثر فعالية في تحويل التوجه الريادي إلى تحسين أداء الشركة. ثانيًا، تتبع المنطق الأساسي للنموذج نظرية طباعة التنظيم.
يعتبر التوجه السوقي تكملة استراتيجية للتوجه الريادي. يتناول الآليات الوسيطة التي يؤثر من خلالها التوجه السوقي على العلاقة بين التوجه الريادي وأداء الشركة. أخيرًا، وفقًا لنظرية الطوارئ، يأخذ النموذج في الاعتبار التأثيرات الطارئة المحتملة، مع تحليل المتغيرات الخارجية مثل عدم اليقين البيئي، لتوضيح الظروف القابلة للتطبيق لمختلف مسارات التنفيذ، وبالتالي تقديم إرشادات مناسبة للأنشطة الريادية في الممارسة العملية. يهدف هذا النموذج إلى الكشف بشكل شامل عن كيفية تأثير التوجه الاستراتيجي على استراتيجيات سلوك المؤسسة، مما يؤثر لاحقًا على الأداء الريادي، وكيف أن عدم اليقين البيئي، كمتغير معتدل، يؤثر بشكل كبير ويعدل هذه العلاقات. من خلال هذا النموذج، نهدف إلى تعميق الفهم للتفاعلات الديناميكية بين التوجه الاستراتيجي، وعدم اليقين البيئي، والأداء الريادي.
فرضيات الأدب
التوجه الريادي والأداء الريادي
استنادًا إلى نظرية الموارد، تصوّر نظرية الإدارة الاستراتيجية التوجه السوقي كموارد إدارية غير متجانسة يمكن أن تؤدي إلى اختلافات في الأداء الريادي بين المشاريع الجديدة. في مجال أبحاث ريادة الأعمال، يُعتبر التوجه الريادي على نطاق واسع محركًا رئيسيًا للشركات لتحديد الفرص الجديدة بنشاط والسعي وراءها، بهدف تعزيز منتجات وأسواق ونماذج أعمال جديدة مبتكرة. ويكلوند وآخرون.
يشير إلى أنه بالنسبة للمؤسسات الصغيرة، يمكن أن يؤدي مستوى عالٍ من التوجه الريادي إلى دفعها بسرعة لاغتنام الفرص الجديدة، وتأسيس

الشكل 1. دراسة النموذج.
ميزة المتقدم الأول، وتعزيز موقعهم في السوق باستمرار مع مرور الوقت. ويرجع ذلك إلى قدرتهم على استهداف الأسواق المتخصصة عالية الجودة بدقة أكبر مقارنة بالمنافسين، ووضع استراتيجيات تسعير أكثر تنافسية، وترجمة الفرص الجديدة بشكل فعال إلى عوائد ملموسة.
ويلز وآخرون
يؤكد ذلك بشكل أكبر أن التوجه الريادي يحفز الشركات الصغيرة على دمج الموارد المعرفية الداخلية والخارجية بنشاط، واستكشاف أراضٍ غير معروفة، واعتماد استراتيجيات استباقية، وتحمل المخاطر، والانخراط في أنشطة مبتكرة لتعظيم قيمة المنتجات والخدمات الحالية. كما ينعكس الأثر الإيجابي للتوجه الريادي في تعزيز الفعالية الإدارية بشكل عام داخل المنظمات، بما في ذلك تحسين تخصيص الموارد، وزيادة المرونة التنظيمية، وتحسين كفاءة التواصل الداخلي، وتحفيز إمكانيات الابتكار. تساهم هذه الآثار الإيجابية مجتمعة في تعزيز الأداء العام للمشاريع الجديدة.
تدعم العديد من الدراسات التجريبية هذا المنظور النظري، تان وآخرون.
أجرى دراسة على المؤسسات الصغيرة والمتوسطة في قطاع التصنيع في محافظة غورونتالو، إندونيسيا، مع نتائج تشير إلى أن التوجه الريادي يعزز بشكل كبير تحسين الأداء الريادي. وبالمثل، البحث الذي أجراه صالح وآخرون.
في الشركات الصغيرة عبر المحافظات الخمس الكبرى في لبنان، أكدت أيضًا التأثير الإيجابي المباشر للتوجه الريادي على أداء المشاريع الجديدة. مخلوفي
أجرى تحليلًا للبيانات من المديرين من المستوى المتوسط إلى المستوى العالي في المؤسسات الصغيرة والمتوسطة في الجزائر، كاشفًا أن التوجه الريادي يؤثر بشكل إيجابي على الأداء الريادي. بالإضافة إلى ذلك، فإن دراسة يي وآخرون
تحليل متعمق باستخدام نمذجة المعادلات الهيكلية على الشركات الصغيرة والمتوسطة القائمة على التكنولوجيا في تشانغشا، هونان، دعم أيضًا وجود علاقة إيجابية بين التوجه الريادي وأداء الشركة. ليو وآخرون.
تركز هذه الدراسة على المشاريع الجديدة في مجالات ريادة الأعمال المختلفة في مقاطعة تشجيانغ، واستكشفت كيف يؤثر التوجه الريادي وتطوير الفرص الريادية بشكل متكامل على أداء المشاريع الجديدة، حيث تشير نتائج البحث إلى وجود تأثير إيجابي مباشر للتوجه الريادي على أداء المشاريع الجديدة. بناءً على ما سبق، تقترح هذه الدراسة الفرضية:
H1 التوجه الريادي مرتبط إيجابياً بالأداء الريادي.
التوجه الريادي، التوجه السوقي، والأداء الريادي
تنظر نظرية الموارد إلى أن الموارد المتنوعة للشركة هي مصادر ميزتها التنافسية وأدائها المتفوق. تعتبر نظرية الإدارة الاستراتيجية أن الاستراتيجية المؤسسية هي شكل من أشكال الموارد الإدارية المتنوعة، حيث تلعب التوجه الريادي – الذي يتميز بالابتكار، وتحمل المخاطر، والنظرة المستقبلية – دورًا حاسمًا في التأثير على التباينات في أداء الشركة؛ فكلما زاد مستوى التنفيذ، زاد أداء الشركة. بالإضافة إلى ذلك، يشمل التوجه السوقي، كنهج استراتيجي آخر، التوجه نحو العملاء، والتوجه نحو المنافسين، والتنسيق الداخلي. ويعمل كموارد ثقافية حيوية توجه الشركات في خلق قيمة للعملاء، وتلبية احتياجات العملاء بفعالية، ودفع الأداء المتفوق المستدام.
توجه السوق يركز على جوهر العملاء، مع التأكيد على تعديل استراتيجيات المنتجات والخدمات بناءً على رؤى عميقة حول احتياجات السوق والديناميات التنافسية لتلبية متطلبات قيمة السوق بدقة. إنه لا يوفر فقط موارد وفيرة للتعلم التنظيمي، بل يسرع أيضًا من دمج المعرفة والمعلومات الداخلية والخارجية داخل الشركة. هذه العملية تعزز تطوير
معرفة جديدة، تقنيات، ومنتجات، مما يدفع النمو المستمر لأداء الشركة . في الوقت نفسه، يمثل التوجه الريادي قوة دافعة رئيسية تلهم الروح الريادية والممارسة في المؤسسات
، مما يحفز المنظمات الريادية على الابتكار بجرأة، واعتماد استراتيجيات استباقية في مقدمة المنافسة، ومواجهة المخاطر وعدم اليقين بشجاعة، مما يعزز من احتمالية النجاح الريادي
. على الرغم من أن المشاريع الجديدة غالبًا ما تكون مقيدة بـ “عبء الجدة”، مما يجعلها تكافح لدمج معلومات السوق بسرعة والتوافق بدقة مع احتياجات العملاء
، فإن بعض المؤسسات، من خلال استراتيجيات موجهة نحو السوق، تراقب ديناميات السوق عن كثب، مركزة على احتياجات العملاء، وتنجح في إنشاء قاعدة عملاء قوية، وتظهر تنافسية ملحوظة. أظهرت الدراسات التجريبية وجود علاقة تفاعلية إيجابية بين التوجه الريادي والتوجه السوقي. تكشف أبحاث حسين عن الدور الجسري للتوجه السوقي بين التسويق الداخلي والتوجه الريادي في الأندية الرياضية الخاصة
; تحليل مدجيجه وآخرون
المستند إلى بيانات رواد الأعمال الإندونيسيين يؤكد مباشرة التأثير الإيجابي للتوجه الريادي على التوجه السوقي؛ أبحاث كريمي وآخرون
، سولانو أكوستا وآخرون
، وويجاينتي وآخرون
تشير أيضًا إلى أن التوجه الريادي لا يعزز فقط أداء الشركة ولكن يقوي أيضًا السلوكيات الموجهة نحو السوق. بناءً على ما سبق، تقترح هذه الدراسة الفرضية:
معرفة جديدة، تقنيات، ومنتجات، مما يدفع النمو المستمر لأداء الشركة
H2 التوجه الريادي مرتبط إيجابيًا بالتوجه السوقي.
لقد كان التأثير العميق للتوجه السوقي على الأداء الريادي نقطة محورية منذ فترة طويلة في الأكاديميا. تشير الأبحاث إلى أن التنفيذ الفعال لاستراتيجيات موجهة نحو السوق من قبل المؤسسات يعزز بشكل كبير تطوير المزايا التنافسية والنجاح على المدى الطويل . يؤكد نارفر وآخرون
أن التوجه السوقي متجذر في فلسفة “سحب السوق”، مما يمكّن الشركات من التقاط فرص السوق الجديدة بسرعة والاستجابة لمطالب العملاء. تعزز هذه المقاربة الابتكار المستمر للمنتجات والخدمات، مما يعزز من اعتراف العملاء وقبولهم للعروض الجديدة
. تؤكد الأبحاث التجريبية على نطاق واسع وجود علاقة إيجابية بين التوجه السوقي والأداء التنظيمي. تكشف دراسات ياو وآخرون
وغيرهم من العلماء عن التأثير الإيجابي الكبير للتوجه السوقي الاستجابي والاستباقي على الأداء التنظيمي؛ تشير دراسة شيو وآخرون
، من خلال تحليل الحالات، إلى أن التوجه السوقي الاستباقي يلعب دورًا أكثر بروزًا من التوجه السوقي الاستجابي في تحسين الأداء والتنمية على المدى الطويل؛ تدعم الدراسات التي أجراها ما وآخرون
وفانغ وآخرون
التأثير الإيجابي للتوجه الريادي والتوجه السوقي على أداء الشركة. بناءً على ما سبق، تقترح هذه الدراسة الفرضية:
لقد كان التأثير العميق للتوجه السوقي على الأداء الريادي نقطة محورية منذ فترة طويلة في الأكاديميا. تشير الأبحاث إلى أن التنفيذ الفعال لاستراتيجيات موجهة نحو السوق من قبل المؤسسات يعزز بشكل كبير تطوير المزايا التنافسية والنجاح على المدى الطويل
H3 التوجه السوقي مرتبط إيجابيًا بالأداء الريادي.
يلعب التوجه السوقي والتوجه الريادي أدوارًا تكاملية في إدارة المؤسسات. يركز التوجه السوقي على العميل، ويسعى باستمرار لتلبية الاحتياجات الحالية والمحتملة. في المقابل، يمثل التوجه الريادي عقلية مستقبلية، تتميز بالاستعداد للاستكشاف والابتكار استجابة لمطالب العملاء. توفر نظرية الموارد أساسًا نظريًا لدمج هذين التوجهين، مما يبرز التوافق بين فلسفة التوجه السوقي المتمحورة حول العميل وخصائص الابتكار للتوجه الريادي. يوفر التوجه السوقي، من خلال مراقبة اتجاهات السوق والمنافسة باستمرار، معلومات قيمة لصنع القرار الريادي، مما يساعد رواد الأعمال على اغتنام الفرص. في الوقت نفسه، يعزز التوجه السوقي ولاء العملاء ويعزز مناخًا مبتكرًا، مما يضخ زخم نمو مستقر على المدى الطويل في الأداء الريادي. تشير الأبحاث إلى أن التوجه السوقي يُعتبر سلوكًا مدفوعًا بالسوق، بينما يعمل التوجه الريادي كقوة دافعة للسوق . عندما تدمج الشركات التوجه الريادي مع التصميم الهيكلي والتنظيمي المناسب، فإنها تكون في وضع أفضل لتحقيق أهداف التوجه السوقي بشكل شامل
. بالإضافة إلى ذلك، تميل الشركات التي تتمتع بمستويات أعلى من التوجه السوقي إلى إظهار أداء متفوق، حيث تكون أكثر قدرة على تأمين النجاح في السوق من خلال تلبية قيم العملاء بفعالية
. تسلط الأبحاث الحالية الضوء على الدور المهم للتوجه السوقي كمتغير وسيط. بناءً على البيانات التجريبية، وجد ياو وآخرون
وآخرون أن التوجه السوقي يلعب تأثيرًا وسيطًا كبيرًا بين التوجه الريادي والأداء. أكدت دراسات علماء مثل شيا وآخرون
وليو وآخرون
أيضًا على الدور الوسيط للتوجه السوقي في العلاقة بين التوجه الريادي والأداء الابتكاري في سياقات مختلفة (مثل خلفية الوضع الطبيعي الجديد، التوجه الريادي الأخضر، إلخ). علاوة على ذلك، تدعم أبحاث لمبكين وآخرون
، بارّيت وآخرون
، وعلماء آخرون أيضًا الدور الوسيط للتوجه السوقي في العلاقة بين التوجه الريادي والأداء. بناءً على ما سبق، تقترح هذه الدراسة الفرضية:
يلعب التوجه السوقي والتوجه الريادي أدوارًا تكاملية في إدارة المؤسسات. يركز التوجه السوقي على العميل، ويسعى باستمرار لتلبية الاحتياجات الحالية والمحتملة. في المقابل، يمثل التوجه الريادي عقلية مستقبلية، تتميز بالاستعداد للاستكشاف والابتكار استجابة لمطالب العملاء. توفر نظرية الموارد أساسًا نظريًا لدمج هذين التوجهين، مما يبرز التوافق بين فلسفة التوجه السوقي المتمحورة حول العميل وخصائص الابتكار للتوجه الريادي. يوفر التوجه السوقي، من خلال مراقبة اتجاهات السوق والمنافسة باستمرار، معلومات قيمة لصنع القرار الريادي، مما يساعد رواد الأعمال على اغتنام الفرص. في الوقت نفسه، يعزز التوجه السوقي ولاء العملاء ويعزز مناخًا مبتكرًا، مما يضخ زخم نمو مستقر على المدى الطويل في الأداء الريادي. تشير الأبحاث إلى أن التوجه السوقي يُعتبر سلوكًا مدفوعًا بالسوق، بينما يعمل التوجه الريادي كقوة دافعة للسوق
H4 التوجه السوقي يتوسط إيجابيًا العلاقة بين التوجه الريادي والأداء الريادي.
التوجه الريادي، التوجه السوقي، عدم اليقين البيئي والأداء الريادي
استنادًا إلى نظرية الطوارئ، يُعتبر عدم اليقين البيئي عاملاً حاسمًا يؤثر على الخيارات الاستراتيجية والأداء المؤسسي. عند دراسة العلاقات بين التوجه الريادي، التوجه السوقي، والأداء الريادي، يلعب عدم اليقين البيئي دورًا معتدلاً ومؤثرًا كبيرًا. في البيئات ذات عدم اليقين العالي، يمكّن التوجه الريادي الشركات من الابتكار بشكل استباقي والبحث عن فرص جديدة، مما يعزز من القدرة على التكيف. في الوقت نفسه، يسمح التوجه السوقي للشركات بفهم احتياجات العملاء وديناميات المنافسة بشكل دقيق، مما يحسن من تخصيص الموارد. في هذا السياق، يمكن أن تعزز المقاربة المرنة لكل من التوجه الريادي والتوجه السوقي بشكل فعال
الأداء المؤسسي. لذلك، يجب على الشركات تعديل استراتيجياتها استجابةً للتغيرات البيئية لتحقيق الأداء الريادي الأمثل.
الأداء المؤسسي. لذلك، يجب على الشركات تعديل استراتيجياتها استجابةً للتغيرات البيئية لتحقيق الأداء الريادي الأمثل.
مع تعمق العولمة الاقتصادية وزيادة المنافسة في السوق، فإن البيئة الخارجية التي تعمل فيها المؤسسات تشهد تغييرات ديناميكية غير مسبوقة، حيث تواجه الصناعات مستويات عالية من عدم اليقين البيئي. في هذا السياق، يشير فريل إلى أنه من أجل تعزيز مواقعها في السوق، تميل المؤسسات غالبًا إلى اعتماد استراتيجيات تنافسية استباقية، حيث يُعتبر التوجه الريادي أحد أكثر الوسائل فعالية المستخدمة
. يوضح ويرسيما وآخرون
أن تصاعد عدم اليقين البيئي يزيد من صعوبة تحديد احتياجات السوق المحتملة، مما يجبر المؤسسات، وخاصة تلك التي تتمتع بتوجه ريادي، على اعتماد استراتيجيات أكثر مرونة واستكشافية، مثل إطلاق منتجات جديدة، الابتكارات التكنولوجية، أو إقامة تحالفات استراتيجية، للتكيف بسرعة مع التغيرات في السوق وتحويل التحديات إلى فرص. لذلك، بالنسبة للشركات الناشئة، يصبح تعزيز قدراتها في التوجه الريادي أمرًا أساسيًا للتعامل مع عدم اليقين البيئي. يجب على هذه المؤسسات الاستفادة بنشاط من المبادئ الموجهة نحو السوق، وتحديد الفرص التجارية الناشئة بذكاء، واستخدامها بفعالية، وتعزيز تنافسيتها باستمرار.
تشير الأبحاث التجريبية حول المؤسسات الخاصة إلى أنه في حالات ندرة الموارد والمنافسة الخارجية الشديدة، تكون أهمية التوجه الريادي بارزة بشكل خاص. يمكن للمؤسسات ذات التوجه الريادي العالي جمع المعلومات واستخدامها بشكل استباقي، وتعزيز ممارسة التوجه السوقي من خلال الابتكار، والرؤية المستقبلية، وتحمل المخاطر، مما يدفع نمو الأعمال ويعزز الربحية.
. علاوة على ذلك، دراسة زو وآخرون
وجدت الدراسة أيضًا أن البيئة الريادية تلعب دورًا إيجابيًا في تعديل العلاقة بين التوجه الريادي والأداء التنظيمي. يمكن أن يؤدي زيادة الوعي بعدم اليقين البيئي من قبل الشركات إلى تحفيز توجهها الريادي لالتقاط الفرص السوقية بحدة.
استنادًا إلى ما سبق، تقترح هذه الدراسة الفرضية:
H5 عدم اليقين البيئي يعزز العلاقة بين التوجه الريادي والتوجه السوقي بشكل إيجابي.
في الإجماع الأكاديمي الحالي، وسط تصاعد عدم اليقين البيئي، أصبحت المبادرات الاستباقية للمؤسسات الريادية ذات أهمية خاصة.
في مواجهة التحديات العديدة التي تطرحها البيئة، يُعتبر اعتماد توجه ريادي في اتخاذ القرارات الاستراتيجية هو الطريق الأمثل للمؤسسات لتخفيف المخاطر والحفاظ على التنافسية. وبالتالي، فإن الشركات الناشئة التي يمكنها تعديل عقليتها بنشاط لتبني التحديات من المرجح أن تحقق تحسينًا كبيرًا في الأداء.
تتأثر أنشطة تطوير المؤسسات بشكل عميق بالعوامل البيئية الخارجية. يشير هامل إلى أن عدم اليقين البيئي يسرع من تقصير دورات حياة المنتجات، مما يجعل العوائد المستقبلية من الأعمال الحالية مليئة بالمجهولات. لذلك، يجب على المؤسسات أن تستمر في استكشاف فرص جديدة، واكتساب مزايا تنافسية من خلال الابتكار، والاستجابة السريعة، وأنشطة التوجه الريادي التي تتسم بالمخاطرة.
تعتبر عدم اليقين البيئي ليس فقط محركًا رئيسيًا لازدهار الأنشطة الريادية، ولكن أيضًا مصدرًا هامًا للتعقيد في المساعي الريادية. كما أوضح تومسون وآخرون.
تؤثر البيئة غير المؤكدة بشكل عميق على توازن المنظمة وأدائها، مما يجعلها متغيرًا لا غنى عنه لفهم هذه الظواهر. تؤكد دراسات متعددة أيضًا على الدور الوسيط لعدم اليقين البيئي بين التوجه الريادي والأداء الريادي. على سبيل المثال، في قطاع البنوك، قام الزملاء بدراسة تأثير بيئات الحوكمة الوطنية على مسؤوليات الحوكمة المؤسسية وأهداف الاستدامة، مع التركيز بشكل خاص على التأثير المحتمل لمخاطر السياسة السياسية المحلية وعدم اليقين في السياسة الاقتصادية العالمية على ربحية البنوك. بالإضافة إلى ذلك، يعتبر العلماء عدم اليقين البيئي كمتغير وسيط، حيث يدرسون دوره في العلاقة بين التوجه الريادي وأداء الشركة. “Covin et al.
تشير الأبحاث إلى أنه في الأسواق التنافسية، غالبًا ما تتفوق الشركات التي تتبنى توجهات ريادية وتحقق أداءً متميزًا. يو وآخرون.
تسلط الدراسة على الشركات التكنولوجية الكورية الجنوبية الضوء أيضًا على ضرورة أن تأخذ الشركات في الاعتبار تمامًا ديناميكية وغنى البيئة عند صياغة استراتيجيات لتعظيم الآثار الإيجابية للتوجه الريادي على تطوير الشركة. أوتومو وآخرون.
تحليل الشركات الصغيرة والمتوسطة يؤكد أيضًا التأثير القوي لعدم اليقين البيئي على العلاقة بين التوجه الريادي وتطوير الشركة. استنادًا إلى ما سبق، تقترح هذه الدراسة الفرضية:
H6 عدم اليقين البيئي يعزز العلاقة بين التوجه الريادي والأداء الريادي بشكل إيجابي.
عندما تواجه الشركات تغييرات بيئية ناتجة عن تقلبات في معلومات السوق وتحولات في طلبات العملاء، يجب عليها تعديل استراتيجيات نشرها الاستراتيجي وتخصيص مواردها بسرعة لمواجهة التحديات التي تثيرها عدم اليقين البيئي، مما يضمن استقرار واستمرارية ميزتها التنافسية. في هذه العملية، يسرع عدم اليقين البيئي فعليًا من فطنة السوق وسرعة الاستجابة للمؤسسات الموجهة نحو السوق، مما يدفعها إلى فهم ديناميكيات السوق وطلبات العملاء والمنافسة بدقة، وبالتالي إعادة تخصيص الموارد بمرونة لتعظيم قيمة العملاء.
على وجه التحديد، تُظهر الشركات التي تتمتع بتوجه قوي نحو السوق حساسية عالية لاحتياجات العملاء وتُنشئ آليات استجابة فعالة داخليًا لضمان التقاط معلومات السوق على الفور، ونشرها بسرعة، وترجمتها بشكل فعال إلى استراتيجيات قابلة للتنفيذ.
علاوة على ذلك، تدفع التوجهات السوقية الشركات إلى أن تكون موجهة نحو العملاء، وتحسين المنتجات والخدمات باستمرار لتلبية وتجاوز توقعات العملاء، مما يعزز رضا العملاء وولائهم، ويبني علاقات مستقرة وطويلة الأمد مع العملاء، ويضع أساسًا قويًا للتنمية المستدامة للشركة.
وفقًا لنظرية التداخل الاجتماعي، فإن بيئة السوق تحمل قيمة لا تقدر بثمن.
لرواد الأعمال. فقط من خلال فهم عميق والتكيف النشط مع التغيرات البيئية يمكن للشركات تطوير استراتيجيات سوق دقيقة وفعالة، وتسهيل عملية ريادة الأعمال، وفي النهاية تعزيز الأداء الريادي. . في هذا الإطار النظري، تعتبر الظروف البيئية متغيرات معتدلة حاسمة بين التوجه السوقي وأداء الشركة، حيث لا يمكن تجاهل تأثيرها. كما تدعم الأبحاث التجريبية الآراء المذكورة أعلاه. لي وآخرون.
باستخدام بيانات عينة من شركات تصنيع المعدات في مناطق جيانغسو وزhejiang وشنغهاي، تم التحقق من التأثير الإيجابي للتوجه السوقي على أداء الشركات وكشف الدور الوسيط لعدم اليقين البيئي في هذه العلاقة. زانغ وآخرون.
استنادًا إلى بيانات البحث من الشركات في منطقة دلتا نهر اليانغتسي، أشار إلى أنه في البيئات التي تتميز بقدر عالٍ من عدم اليقين التكنولوجي، يكون تأثير التوجه السوقي على الأداء التنظيمي أكثر وضوحًا. بالإضافة إلى ذلك، أظهرت أبحاث فو وآخرون.
كما يبرز الدور الوسيط الحاسم لعدم اليقين البيئي في عملية تحويل القدرات الديناميكية والقدرة الاستيعابية للمؤسسات إلى أداء. لذلك، في ظل تزايد عدم اليقين البيئي، غالبًا ما تزيد الشركات، من أجل البقاء والنمو، من استثماراتها في التسويق والبحث والتطوير، وتراقب عن كثب الطلبات السوقية والاتجاهات التكنولوجية.
استنادًا إلى ما سبق، تقترح هذه الدراسة الفرضية:
لرواد الأعمال. فقط من خلال فهم عميق والتكيف النشط مع التغيرات البيئية يمكن للشركات تطوير استراتيجيات سوق دقيقة وفعالة، وتسهيل عملية ريادة الأعمال، وفي النهاية تعزيز الأداء الريادي.
H7 عدم اليقين البيئي يعزز بشكل إيجابي العلاقة بين التوجه السوقي والأداء الريادي.
توجه السوق وتوجه ريادة الأعمال، كاستراتيجيات تكاملية، يظهر كل منهما تركيزات مختلفة في بناء المزايا التنظيمية. تؤثر المتغيرات البيئية، كعوامل معتدلة، بشكل عميق على مساهمات هاتين الاستراتيجيتين في الأداء التنظيمي. في بيئات السوق المضطربة، تواجه الشركات حاجة ملحة لتنفيذ استراتيجيات تجمع بين توجهات ريادة الأعمال والسوق للتكيف مع الظروف السوقية المتغيرة بسرعة. في ظل المنافسة الشديدة والتهديدات لمزاياها التنافسية بسبب اضطراب السوق، يجب أن تتمتع الشركات بدرجة عالية من المرونة والقدرة على التكيف، وامتصاص المعرفة والمعلومات والموارد الجديدة بنشاط، وضبط أو حتى إعادة تشكيل مواردها وقدراتها التنظيمية بسرعة، لمواجهة التحديات واغتنام مزايا تنافسية فريدة في البيئات الديناميكية.
لا تؤدي عدم اليقين البيئي إلى توسيع آفاق الشركة الاستراتيجية فحسب، بل تحفز أيضًا تجارب واسعة واستكشافًا عميقًا في التوجهات الريادية والسوقية، مما يدفع إلى تعديلات مرنة في الاستراتيجيات والهياكل التنظيمية، وكسر الجمود المتأصل، وتعزيز التفكير الابتكاري، وفي النهاية دفع تحسين كبير في الأداء.
تؤكد الأبحاث السابقة بشكل واسع أن عدم اليقين البيئي، كعامل سياقي حاسم، يؤثر بشكل كبير على الخيارات الاستراتيجية للشركات.
وانغ وآخرون
تشير النقطة الإضافية إلى أنه في بيئات عدم اليقين العالية، تتحسن فعالية وكفاءة الخيارات الاستراتيجية، مما يساعد الشركات على التكيف بشكل أفضل مع عدم اليقين وتسريع وتيرة نموها. على وجه التحديد، مع intensification عدم اليقين البيئي، توفر التغيرات السريعة في الطلب الهيكلي والسوق فرصًا وفيرة للابتكار للشركات. في مثل هذه البيئات، من المرجح أن تستفيد الشركات ذات التوجه الريادي من التوجه السوقي لتحويل الأفكار أو المنتجات أو التقنيات الجديدة بسرعة إلى مزايا تنافسية في السوق، مما يحقق أهداف أداء عالية.
تلعب التوجه الريادي دورًا جسرًا في هذه العملية، حيث تشجع الشركات على تبني استراتيجيات موجهة نحو السوق بنشاط في ظل عدم اليقين، والاستفادة بسرعة من الفرص السوقية، وتعزيز الأداء، وفي النهاية تحقيق الرؤى الريادية.
في الختام، تقترح هذه الدراسة الفرضية:
H8 عدم اليقين البيئي يعزز بشكل إيجابي الدور الوسيط للتوجه الريادي الذي يؤثر على الأداء الريادي من خلال التوجه السوقي.
منهجية البحث
جمع العينات
تتناول هذه الدراسة الشركات الريادية التي تم تأسيسها منذ 8 سنوات كحد أقصى، مع عينة مأخوذة من فرق ريادية في هوباي، الصين، عبر صناعات متنوعة، بما في ذلك السيارات، والتموين، والتعليم، والخدمات. نظرًا للطبيعة متعددة الأبعاد للبحث، تم اختيار المشاركين في الاستطلاع من المؤسسين الذين يمتلكون رؤى حول المؤسسات الريادية، باستخدام مزيج من الاستطلاعات المعتمدة على الاستبيانات والمقابلات الشخصية. لضمان الصرامة العلمية لنتائج البحث، تم استخدام نهج العينة العشوائية الطبقية. تضمن هذه الطريقة أن كل وحدة في المجتمع لديها احتمال غير صفري للاختيار، مما يحافظ على مبدأ العشوائية ويقضي على التحيز الذاتي. تم اشتقاق العينة الكلية من قائمة خريجي ريادة الأعمال المقدمة من جمعيات الخريجين من 25 جامعة في مقاطعة هوباي. شملت عملية أخذ العينات ضوابط صارمة في منطقتين: اختيار الجامعات لتوزيع الاستبيانات واختيار المشاركين في المقابلات. تم تصنيف الجامعات في البداية إلى 25 طبقة متميزة، مع تخصيص رمز لكل شركة ريادية في كل مدرسة. ثم تم استخدام مولد أرقام عشوائية لاختيار نقطة انطلاق، وتم اختيار الشركات على فترات منتظمة. سمح لنا هذا الإجراء باختيار أربع شركات ريادية من كل جامعة، مما أسفر عن عينة إجمالية مكونة من 100 شركة مستهدفة لتوزيع الاستبيانات. لتعزيز موثوقية القياسات وكفاءة الاستطلاع، ركزنا على الفرق الريادية التي تتكون من خمسة أعضاء أو أكثر. بعد اتباع هذا الإجراء، استبعدنا 28 شركة ريادية، مما أسفر عن 72 شركة متبقية في العينة. ثم تم ترميز مؤسس كل شركة، وتم اختيار خمسة أفراد عشوائيًا من كل شركة كمشاركين في الاستطلاع، مما زاد من مصداقية الاستنتاجات. قبل إجراء استطلاع الاستبيان، قمنا بإجراء مقابلات شبه منظمة مع المؤسسين لضمان قدرتهم على إنجاز مهام الاستطلاع. بعد تقديم تدريب مركز، شاركوا في الاستطلاع. علاوة على ذلك، بعد الاستطلاع، أجرينا مقابلات مفتوحة مع المؤسسين للتحقق من صحة نتائج الاستبيان.
تم إجراء الاستطلاع من سبتمبر 2022 إلى فبراير 2023، حيث قمنا بتوزيع ما مجموعه 360 استبيانًا على 72 شركة ريادية. من بين هؤلاء، قدم 321 مستجيبًا ردودًا قابلة للاستخدام. لضمان موثوقية البيانات، استبعدنا أي شركة لديها أقل من استبيانين صالحين. وقد أدى هذا الإجراء إلى تقليل حجم العينة إلى 66 شركة ريادية، مما أسفر عن إجمالي 303 ردود للتحليل النهائي. من بين هذه الشركات، كان هناك 137 شركة تحت سن 3 سنوات، و101 شركة تتراوح أعمارها بين 3 و5 سنوات، و65 شركة تتراوح أعمارها بين 5 و8 سنوات. بالإضافة إلى ذلك، كان هناك 123 شركة لديها أقل من 50 موظفًا، و74 شركة لديها 50-100 موظف، و47 شركة لديها 100-200 موظف، و59 شركة لديها أكثر من 200 موظف. من حيث الإيرادات، كان هناك 122 شركة بإيرادات أقل من 10 ملايين يوان، و117 شركة بإيرادات تتراوح بين 10 و20 مليون يوان، و64 شركة بإيرادات تتجاوز 20 مليون يوان. علاوة على ذلك، كانت هناك 83 شركة في القطاع الزراعي، و87 في القطاع الصناعي، و133 في قطاع الخدمات.
قياس المتغير
ما لم يُذكر خلاف ذلك، تم إجراء جميع قياسات المتغيرات باستخدام مقياس ليكرت المكون من 5 نقاط والذي يتراوح من 1 (أوافق بشدة) إلى 5 (أوافق بشدة). لضمان تساوي المعنى، اتبعنا الإجراء الذي وضعه بريسلين لترجمة جميع عناصر قياس المتغيرات إلى الصينية، باستثناء تلك التي كانت أصلًا باللغة الصينية.
.
المتغير التابع
أداء ريادة الأعمال أداء ريادة الأعمال هو مقياس شامل يقيم النتائج وكفاءة الأنشطة الريادية، مما يعكس حالة إنشاء المؤسسات الجديدة، والنمو، واكتساب الميزة التنافسية. استند قياس أداء ريادة الأعمال إلى مقاييس تم تطويرها بواسطة تشاندلر وآخرين.
، تم تعديل عناصر محددة بالتزامن مع دراسات جيانغ وآخرون.
، مما يشكل مقياسًا مكونًا من 8 عناصر مصممًا لتلبية احتياجات هذه الدراسة. يغطي القياس جوانب مثل “تحافظ المؤسسة على هامش ربح مرتفع”، “عائد حقوق الملكية (ROE) للمؤسسة هو الرائد في الصناعة”، “نمت قوة العمل في المؤسسة بسرعة”، “طورت المؤسسة منتجات أو خدمات جديدة بسرعة”، “زادت مبيعات المؤسسة بشكل كبير”، “نمت حصة المؤسسة من السوق للمنتجات بسرعة”، “نمت صافي دخل المؤسسة بشكل كبير”، و”كان تأسيس هذه المؤسسة تجربة مرضية بالنسبة لي”.
المتغيرات المستقلة
الاتجاه الريادي يشير الاتجاه الريادي إلى ميل استراتيجي للمؤسسات التي تسعى بنشاط إلى الابتكار، وتتحمل المخاطر، وتسعى بشكل استباقي إلى فرص النمو لدفع تطوير الأعمال. تم قياس الاتجاه الريادي باستخدام مقياس مكون من 9 عناصر تم تطويره بواسطة كوفين وآخرون.
. تشمل العناصر: “تولي المؤسسة أولوية عالية لأنشطة البحث والتطوير”، “تسعى لتحقيق الريادة التكنولوجية أو الخدمة والابتكار”، “تنفذ تغييرات كبيرة في خطوط منتجاتها أو خدماتها لتحقيق ميزة تنافسية”، “لديها هدف رئيسي حديث يتمثل في تقديم منتجات أو خدمات جديدة”، “تبدأ عادةً أنشطة يتبعها المنافسون لاحقًا”، “تتقدم على المنافسين في تقديم منتجات وأفكار جديدة”، “غالبًا ما تكون الأولى في اعتماد أساليب الإنتاج الجديدة أو أنماط الإدارة، رائدة في تقديم منتجات أو خدمات جديدة”، “تتخذ إجراءات جريئة وسريعة لتحقيق الأهداف المؤسسية”، “تظهر تفضيلًا قويًا للمشاريع عالية المخاطر وعالية العائد”، و”عند مواجهة بيئة غير مؤكدة، تتخذ إجراءات جريئة لتعظيم الفرص”.
التوجه السوقي التوجه السوقي هو فلسفة تجارية تركز على احتياجات العملاء، حيث يتم تعديل الاستراتيجيات التشغيلية بمرونة من خلال فهم عميق لاتجاهات السوق وتفضيلات العملاء لتلبية متطلبات السوق. تم قياس التوجه السوقي باستخدام مقياس مكون من 8 عناصر تم تطويره بواسطة نارفر وآخرين.
. تشمل العناصر: “الهدف الأساسي من إنتاجنا هو إرضاء العملاء”، “تستند استراتيجياتنا التنافسية إلى احتياجات العملاء”، “نقوم بتقييم رضا العملاء بشكل متكرر”، “نولي اهتمامًا أكبر للعملاء مقارنة بمنافسينا”، “نسعى باستمرار لاكتشاف الاحتياجات التي قد لا يكون العملاء على دراية بها”، “نبحث عن فرص عمل في المجالات التي يواجه فيها العملاء صعوبة في التعبير عن احتياجاتهم”، “نحن لا نكل في فهم كيفية استهلاك العملاء لمنتجاتنا”، و”نتوقع الاتجاهات السائدة لتحديد احتياجات العملاء المستقبلية”.
عدم اليقين البيئي يشير إلى تعقيد وتنوع البيئات الخارجية التي يصعب التنبؤ بها وفهمها. تم استخدام مقياس مكون من 7 عناصر لقياس عدم اليقين البيئي تم تطويره بواسطة يانسن وآخرين.
. تشمل العناصر: “درجة التغيير في البيئة الخارجية التي تواجهها المؤسسة دراماتيكية للغاية”، “يقدم العملاء بشكل متكرر مطالب جديدة لمنتجات (خدمات) المؤسسة”، “البيئة الخارجية تتطور باستمرار”، “عدد وتنوع المنتجات (الخدمات) في السوق التي تعمل فيها المؤسسة يتغير باستمرار”، “السوق التي تعمل فيها المؤسسة تنافسية للغاية”، “بالمقارنة، فإن المنافسين الذين تواجههم المؤسسة جميعهم أقوياء جداً”، و”تعمل المؤسسة في سوق تنافسية للغاية”.
متغيرات التحكم
استخدمت هذه الدراسة متغيرات التحكم لضمان دقة النتائج. بشكل عام، يتأثر الأداء الريادي بالخصائص الأساسية للمؤسسات. لذلك، اعتبرت هذه الدراسة عمر المؤسسة، وحجم الشركة، وحجم المبيعات، والصناعة كمتغيرات تحكم لإزالة تأثيراتها المحتملة على نتائج البحث. تتيح هذه الطريقة تقييمًا أكثر دقة لتأثير العوامل الرئيسية الأخرى على الأداء الريادي.
| متغير كامن | عدد العناصر | M | SD | أحمال العوامل | سي آر | AVE | صلاحية التمييز | |||
| 1 | 2 | ٣ | ٤ | |||||||
| التوجه الريادي (1) | 9 | 3.53 | 0.803 | 0.850-0.905 | 0.969 | 0.774 | 0.880 | |||
| توجه السوق (2) | ٨ | ٣.٣٠ | 0.804 | 0.857-0.918 | 0.967 | 0.787 | 0.855** | 0.887 | ||
| الشكوك البيئية (3) | ٧ | 3.63 | 0.906 | 0.863-0.923 | 0.969 | 0.816 | 0.712** | 0.823** | 0.903 | |
| أداء ريادة الأعمال (4) | ٨ | 3.52 | 1.007 | 0.936-0.957 | 0.986 | 0.897 | 0.714** | 0.735** | 0.770** | 0.947 |
الجدول 1. نتائج اختبارات الموثوقية والصلاحية.
جميعها ذات وجهين؛ القيم المميزة هي الجذر التربيعي لقيمة AVE للمتغير الكامن؛ البيانات الموجودة أسفل القطر هي قيم معامل الارتباط بيرسون.
| نموذج |
|
df |
|
SRMR | RMSEA | CFI | TLI |
| نموذج العوامل الأربعة | 775.73 | ٤٥٨ | 1.694 | 0.026 | 0.048 | 0.977 | 0.975 |
| نموذج العوامل الثلاثة
|
١٣٢٩.٠٩٢ | ٤٦١ | 2.883 | 0.040 | 0.079 | 0.937 | 0.933 |
| نموذج العاملين
|
٢٦٤٠.٨٩٩ | 463 | ٥.٧٠٤ | 0.083 | 0.125 | 0.843 | 0.831 |
| نموذج أحادي الاتجاه
|
٤٤٤٢.٢٩٩ | 464 | 9.574 | 0.082 | 0.168 | 0.713 | 0.693 |
الجدول 2. نتائج تحليل العوامل التأكيدية.
يشير إلى أن التوجه الريادي يت combined مع التوجه السوقي.
يشير إلى أن التوجه الريادي يت combined مع التوجه السوقي وأن عدم اليقين البيئي يت combined مع الأداء الريادي.
يشير إلى أن جميع المتغيرات مجمعة في عامل واحد.
النتائج
اختبار الموثوقية والصلاحية
تم اختبار موثوقية جميع المتغيرات من خلال تحليل العوامل التأكيدي، وهو نهج منهجي يضمن صلاحية واستقرار متغيرات القياس من خلال التحقق من البنى، وتقييم تحميلات العوامل، وفحص الصلاحية التلازمية، وتقديم مؤشرات ملاءمة النموذج. تقدم الجدول 1 نتائج تحليل العوامل التأكيدي. تتراوح تحميلات العوامل لكل عنصر بين 0.850 و 0.957، مع موثوقيات مركبة (CR) تتجاوز 0.9، مما يشير إلى موثوقية عالية لمقياس القياس في هذه الدراسة. متوسط التباين المستخرج (AVE) يزيد عن 0.6 لجميع المتغيرات، مما يدل على صلاحية تلازمية عالية. الجذر التربيعي لـ AVE لكل متغير أكبر من معاملات الارتباط بيرسون مع المتغيرات الكامنة الأخرى، مما يشير إلى صلاحية تمييز جيدة لمقياس القياس في هذه الدراسة. تشير هذه النتائج إلى أن صلاحية البناء وموثوقية المتغيرات الكامنة في نموذج القياس لهذه الدراسة تلبي معايير التقييم المقترحة من قبل فورنيل ولارك، مما يجعل بيانات العينة مناسبة كأساس بحثي تجريبي لهذه الدراسة. بالإضافة إلى ذلك، يقدم الجدول 2 أيضًا المتوسطات (M) والانحرافات المعيارية (SD) للمتغيرات. الانحرافات المعيارية للتوجه الريادي، والتوجه السوقي، وعدم اليقين البيئي، والأداء الريادي صغيرة نسبيًا، مع قيم متوسطة من
3.520 على التوالي، مما يشير إلى أن المستجيبين بشكل عام يرون أن عناصر القياس لكل متغير “متسقة”.
استخدمت هذه الدراسة برنامج أموس 24.0 لإجراء تحليل عامل تأكيدي لاختبار الصلاحية التمييزية للمتغيرات، مع عرض النتائج في الجدول 2. من الواضح من التحليل أن نموذج العوامل الأربعة يظهر أفضل مؤشرات الملاءمة.
، مما يدل على أداء ملحوظ يتفوق على النماذج الأخرى، مما يشير إلى مستوى عالٍ من الصلاحية التمييزية بين المتغيرات. علاوة على ذلك، فإن مؤشرات الملاءمة للنموذج ذو العامل الواحد ضعيفة بشكل ملحوظ.
،
RMSEA
،
)، مما يشير إلى عدم وجود مشاكل جدية في انحياز الطريقة الشائعة.
اختبار التأثيرات المباشرة
تستخدم هذه الدراسة نهج تحليل الانحدار الخطي المتعدد لفحص التأثيرات المباشرة وغير المباشرة وتأثيرات الوساطة بشكل دقيق. على وجه التحديد، تستخدم برنامج Process الذي طوره هايز.
، والذي يعتمد على مبادئ الانحدار العادي الأقل تربيعًا، لتقدير وتفسير هذه التأثيرات. للحصول على تعليمات مفصلة حول استخدام برنامج Process، يُنصح القراء بالرجوع إلى الموقع الإلكتروني المتاح عبر الرابط: https://www.processmacro.org/index.html. لفحص التأثيرات المباشرة والمتوسطة، استخدمت الدراسة النموذج 4 من تحليل الوساطة في برنامج SPSS 26.0 مع أداة Process، حيث تم تشغيل 5000 عينة Bootstrap للتحقيق في التأثيرات المباشرة والمتوسطة بعد التحكم في عمر الشركة، وحجم الشركة، وحجم المبيعات، والصناعة. تم تقديم نتائج اختبار التأثيرات المباشرة والمتوسطة في الجدولين 4 و5، على التوالي. في التحليل اللاحق، تم الإشارة إلى المتغيرات: التوجه الريادي (EO)، التوجه السوقي (MO)، عدم اليقين البيئي (EU)، والأداء الريادي (EP). بالإضافة إلى ذلك، تم تمثيل المتغيرات الضابطة: عمر الشركة (EA)، حجم الشركة (ES)، حجم المبيعات (SS)، والصناعة (IN). من خلال تحليل التأثيرات المباشرة باستخدام الجدول 3، تشير نتائج النموذج 1 إلى تأثير إيجابي كبير للتوجه الريادي على الأداء الريادي (
; CI [
]), مما يثبت الفرضية H1. تتماشى هذه النتيجة مع الأبحاث السابقة التي أجراها راوخ وآخرون.
، مما يشير إلى وجود علاقة كبيرة بين التوجه الريادي وأداء المنظمة. يلعب التوجه الريادي الأعلى دورًا حاسمًا في تعزيز الأداء الريادي من خلال تحفيز الشركات على السعي بنشاط لفرص السوق، وابتكار منتجات وخدمات جديدة، وتحقيق رضا أعلى للعملاء. علاوة على ذلك، يُظهر النموذج 2 أن التوجه الريادي
| المتغيرات | النموذج 1 (EP كمتغير تابع) | النموذج 2 (MO كمتغير تابع) | موديل 3 (EP كـ DV) | |||||||||
|
|
SE | LLCI | ULCI |
|
SE | LLCI | ULCI |
|
SE | LLCI | ULCI | |
| ثابت | 0.077 | 0.265 | -0.445 | 0.598 | 0.480 | 0.156 | 0.172 | 0.788 | -0.209 | 0.253 | -0.706 | 0.288 |
| EA | 0.088 | 0.052 | -0.015 | 0.190 | -0.009 | 0.031 | -0.069 | 0.052 | 0.093 | 0.049 | -0.003 | 0.189 |
| إس | 0.031 | 0.036 | -0.039 | 0.102 | -0.027 | 0.021 | -0.068 | 0.015 | 0.047 | 0.034 | -0.019 | 0.114 |
| SS | -0.012 | 0.054 | -0.118 | 0.093 | -0.070 | 0.032 | -0.132 | -0.008 | 0.030 | 0.051 | -0.070 | 0.129 |
| في | 0.051 | 0.050 | -0.046 | 0.149 | -0.006 | 0.029 | -0.063 | 0.052 | 0.055 | 0.047 | -0.037 | 0.147 |
| EO | 0.889 | 0.051 | 0.789 | 0.989 | 0.860 | 0.030 | 0.801 | 0.919 | 0.377 | 0.093 | 0.195 | 0.559 |
| مو | 0.595 | 0.092 | 0.414 | 0.777 | ||||||||
| ف | 63.684 | ١٦٦.١٣٧ | 67.280 | |||||||||
| ر
|
0.517 | 0.737 | 0.577 | |||||||||
الجدول 3. اختبار التأثيرات المباشرة.
| علاقة الوساطة | تأثير المسار |
|
إقلاع SE(SE) | LLCI (شركة ذات مسؤولية محدودة Boot) | يو إل سي آي (بوت يو إل سي آي) |
|
|
التأثير الكلي | 0.889 | 0.051 | 0.789 | 0.989 |
| الأثر المباشر | 0.377 | 0.093 | 0.195 | 0.559 | |
| أثر غير مباشر | 0.512 | 0.079 | 0.362 | 0.667 |
الجدول 4. تحليل البوتستراب لتأثيرات الوساطة.
للتوجيه تأثير إيجابي كبير على التوجه السوقي
; CI [0.801, 0.919])، مما يدعم الفرضية H 2. وهذا يعني أن وجود توجه ريادي أعلى يسهل على المشاريع الجديدة التركيز على كل من احتياجات العملاء الواضحة والضمنية، من خلال الاستفادة من رؤى السوق الفريدة، وتعزيز التوجه نحو السوق، وإقامة مزايا تنافسية لا يمكن للمنافسين تكرارها بسهولة. وأخيرًا، يكشف النموذج 3 أن التوجه نحو السوق له تأثير إيجابي كبير على الأداء الريادي (
; CI [0.414, 0.777])، مما يؤكد الفرضية H3. تلعب التوجه السوقي الأعلى دورًا حاسمًا في تعزيز الأداء الريادي من خلال مساعدة الشركات على كسب العملاء، وتجاوز المنافسين، وتعزيز التعاون الداخلي، وتأمين موقع تنافسي في الأسواق الشديدة.
اختبار تأثيرات الوساطة
وفقًا لنتائج النموذج 1 والنموذج 3، من الواضح أنه حتى بعد تضمين التوجه السوقي، لا يزال التوجه الريادي يؤثر بشكل إيجابي على الأداء الريادي.
“; CI [0.195, 0.559]). ومع ذلك، فإن معامل الانحدار ينخفض من 0.889 إلى 0.377، مما يشير إلى ضعف كبير في التأثير. من خلال دمج نتائج اختبار الفرضيات H1 و H2 و H3، يمكن الاستنتاج أن التوجه السوقي يلعب دورًا وسيطًا مهمًا بين التوجه الريادي والأداء الريادي، مما يدعم الفرضية H4. وهذا يشير إلى أن الشركات ذات التوجه الريادي تجمع بنشاط معلومات طلب العملاء للتكيف مع اتجاهات السوق، وتجمع معلومات عن هجمات المنافسين للاستجابة والرد بسرعة.
واستغلال إبداعهم بالكامل لتطوير منتجات وخدمات جديدة تلبي احتياجات العملاء
مكافحة المنافسة في السوق، وتعزيز كفاءة التنسيق الداخلي، مما يعزز الأداء من خلال جهودهم
تكشف التحليلات الإضافية لتأثيرات الوساطة من خلال الجدول 4 أن التوجه الريادي له تأثير إجمالي كبير على النية الريادية (0.889، CI [0.789، 0.989])، مع تأثير مباشر كبير (0.377، CI
) وتأثير غير مباشر كبير ( 0.512 ، CI [
التأثير غير المباشر يحسب
من التأثير الكلي، بينما يمثل التأثير المباشر
.
اختبار تأثيرات الاعتدال
في إجراء اختبار تأثيرات التعديل، تم استخدام برنامج Process الذي طوره أندرو ف. هايز. تم استخدام برنامج Process 3 داخل برنامج SPSS 26.0 لتحليل تأثير التعديل بعد دمج التوجه السوقي من خلال 5000 عينة bootstrap. بعد التحكم في عمر الشركة، وحجم الشركة، وحجم المبيعات، والصناعة، تم تقديم نتائج اختبار تأثيرات التعديل في الجدولين 5 و6، مع عرض التأثيرات الوسيطة المعدلة في الجدول 7. من النتائج في النموذج 4 كما هو موضح في الجدول 5، من الواضح أن مصطلح التفاعل بين التوجه الريادي وعدم اليقين البيئي له تأثير إيجابي كبير على التوجه السوقي.
; CI
. هذه التعديلات الإيجابية الناتجة عن عدم اليقين البيئي تعزز تأثير التوجه الريادي على التوجه السوقي، مما يثبت الفرضية H5. وهذا يشير إلى أنه في ظل عدم اليقين البيئي العالي، يمكّن التوجه الريادي الشركات من توقع احتياجات العملاء المستقبلية برؤية واضحة، وجمع معلومات عن المنافسين بفعالية، وتطوير منتجات جديدة بشكل إبداعي بسرعة تقدم قيمة مضافة للعملاء، مما يمكنها من المنافسة بشكل أكثر فعالية في الأسواق الحالية والناشئة. استنادًا إلى النتائج من النموذج 5، فإن مصطلح التفاعل بين التوجه الريادي وعدم اليقين البيئي له تأثير إيجابي كبير على الأداء الريادي.
; CI [0.032, 0.439]). هذه التعديلات الإيجابية من قبل عدم اليقين البيئي تعزز تأثير التوجه الريادي على الأداء الريادي، مما يؤكد الفرضية H6. ومع ذلك، فإن مصطلح التفاعل بين التوجه السوقي وعدم اليقين البيئي له تأثير سلبي كبير على ريادة الأعمال.
| المتغيرات | النموذج 4 (MO كمتغير تابع) | النموذج 5 (EP كـ DV) | ||||||
|
|
SE | LLCI | ULCI |
|
SE | LLCI | ULCI | |
| ثابت | 0.250 | 0.097 | 0.059 | 0.441 | 3.354 | 0.179 | ٣.٠٠٢ | ٣.٧٠٧ |
| EA | -0.015 | 0.024 | -0.062 | 0.032 | 0.079 | 0.044 | -0.007 | 0.166 |
| إس | -0.025 | 0.017 | -0.057 | 0.008 | 0.036 | 0.030 | -0.024 | 0.095 |
| SS | -0.070 | 0.025 | -0.118 | -0.021 | -0.019 | 0.046 | -0.109 | 0.071 |
| في | -0.044 | 0.023 | -0.089 | 0.002 | 0.019 | 0.043 | -0.066 | 0.١٠٣ |
| EO | 0.553 | 0.033 | 0.487 | 0.619 | 0.311 | 0.087 | 0.140 | 0.481 |
| مو | 0.200 | 0.113 | -0.021 | 0.422 | ||||
| الاتحاد الأوروبي | 0.419 | 0.030 | 0.359 | 0.479 | 0.509 | 0.072 | 0.366 | 0.651 |
|
|
0.096 | 0.024 | 0.048 | 0.143 | 0.236 | 0.١٠٣ | 0.032 | 0.٤٣٩ |
|
|
-0.299 | 0.108 | -0.510 | -0.087 | ||||
| ف | ٢٢١.٨٣٨ | ٦٤٫٠٩٨ | ||||||
|
|
0.840 | 0.663 | ||||||
الجدول 5. اختبار تأثيرات التعديل.
| علاقة الاعتدال | فهرس |
|
SE | LLCI | ULCI |
|
|
التأثير 1 (الاتحاد الأوروبي = م – 1 انحراف معياري) | 0.466 | 0.039 | 0.390 | 0.543 |
| التأثير 2 (
|
0.553 | 0.033 | 0.487 | 0.619 | |
| أثر3 (الاتحاد الأوروبي
|
0.640 | 0.041 | 0.559 | 0.721 | |
|
|
التأثير 1 (
|
0.097 | 0.134 | -0.168 | 0.361 |
| التأثير2 (
|
0.311 | 0.087 | 0.140 | 0.481 | |
| التأثير 3 (الاتحاد الأوروبي = م + 1 انحراف معياري) | 0.524 | 0.121 | 0.287 | 0.762 | |
|
|
التأثير 1 (
|
0.471 | 0.172 | 0.133 | 0.809 |
| التأثير2 (
|
0.200 | 0.113 | -0.021 | 0.422 | |
| التأثير 3 (الاتحاد الأوروبي = م + 1 انحراف معياري) | -0.070 | 0.122 | -0.311 | 0.170 |
الجدول 6. تحليل تأثيرات التعديل.
| نتيجة | فهرس |
|
بوت SE | بوت LLCI | بوت ULCI |
| التأثيرات غير المباشرة الشرطية | التأثير 1 (الاتحاد الأوروبي = م – 1 انحراف معياري) | 0.220 | 0.090 | 0.045 | 0.402 |
| التأثير2 (
|
0.111 | 0.064 | -0.011 | 0.243 | |
| التأثير 3 (الاتحاد الأوروبي = م + 1 انحراف معياري) | -0.045 | 0.066 | -0.175 | 0.084 | |
| التباينات الزوجية بين التأثيرات غير المباشرة الشرطية | التأثير2-التأثير1 | -0.109 | 0.042 | -0.192 | -0.025 |
| التأثير3-التأثير1 | -0.265 | 0.105 | -0.474 | -0.061 | |
| التأثير3-التأثير2 | -0.156 | 0.063 | -0.284 | -0.037 |
الجدول 7. اختبار البوتستراب لتأثيرات الوساطة المعتدلة.
الأداء (
; CI
)، مما يتعارض مع الفرضية H7. بالإضافة إلى ذلك، من خلال النموذج 5، يُلاحظ أنه بعد دمج عدم اليقين البيئي، يصبح تأثير التوجه السوقي على الأداء الريادي غير ذي دلالة.
; CI
. وهذا يشير إلى أنه في ظل عدم اليقين البيئي العالي، يسهل التوجه الريادي للشركات في تحديد الموارد والقدرات اللازمة للنمو المستقبلي بشكل فعال، مستفيدًا من مزايا التنسيق والتعاون الداخلي لتعزيز الربحية والنمو.
ومع ذلك، في أوقات عدم اليقين البيئي الشديد عندما تكون الأسواق متقلبة للغاية، يصبح من الصعب التنبؤ باتجاهات السوق، مما يدفع الشركات إلى تجنب السلوكيات المتهورة والعدوانية. يشجع التوجه نحو السوق الشركات على مراقبة اتجاهات السوق المستقبلية بعناية، في انتظار استقرار السوق، مما يعيق نمو أداء الشركة.
أجرت هذه الدراسة تحليل انحدار بسيط لتأثيرات التعديل باستخدام المتوسط (M) لعدم اليقين البيئي وانحراف معياري واحد (SD) فوقه وتحتها كنقاط مرجعية. تم تقديم النتائج في الجدول 6. عندما يكون عدم اليقين البيئي
التفاعل بين عدم اليقين البيئي والتوجه الريادي يؤثر بشكل إيجابي كبير على التوجه السوقي
تأثير
، CI [
]); عندما
، هذا التفاعل له تأثير إيجابي كبير على التوجه السوقي (التأثير
“، CI [0.487،
); عندما
، التفاعل له تأثير إيجابي كبير على التوجه السوقي (التأثير
يمكن أيضًا استنتاج أنه مع زيادة عدم اليقين البيئي، يتناقص تأثير التوجه الريادي على التوجه السوقي. عندما يكون عدم اليقين البيئي
التفاعل بين
عدم تأثير عدم اليقين البيئي والتوجه الريادي بشكل كبير على الأداء الريادي تأثير
، CI
; عندما
هذا التفاعل له تأثير إيجابي كبير على الأداء الريادي
تأثير
، CI
; عندما
، التفاعل له تأثير إيجابي كبير على الأداء الريادي (التأثير
، CI [0.287، 0.762]). وبالمثل، مع زيادة عدم اليقين البيئي، تزداد تأثيرات التوجه الريادي على الأداء الريادي. عندما يكون عدم اليقين البيئي
التفاعل بين عدم اليقين البيئي والتوجه السوقي يؤثر بشكل إيجابي كبير على الأداء الريادي
تأثير
، CI
; عندما
هذه التفاعل لا يؤثر بشكل كبير على الأداء الريادي
،
); عندما
، التفاعل له تأثير إيجابي كبير على الأداء الريادي (التأثير
يمكن أيضًا استنتاج أنه مع زيادة عدم اليقين البيئي، يتناقص تأثير التوجه السوقي على الأداء الريادي.
عدم تأثير عدم اليقين البيئي والتوجه الريادي بشكل كبير على الأداء الريادي
لتوضيح تأثير عدم اليقين البيئي بشكل واضح، استنادًا إلى التحليل في الجدول 7، قامت هذه الدراسة برسم رسوم بيانية لتأثير التعديل باستخدام انحراف معياري واحد فوق وتحت متوسط الموقف الريادي كمعايير. النتائج، كما هو موضح في الأشكال 2 و3 و4، تتماشى مع الاستنتاجات المستخلصة من التحليل أعلاه.
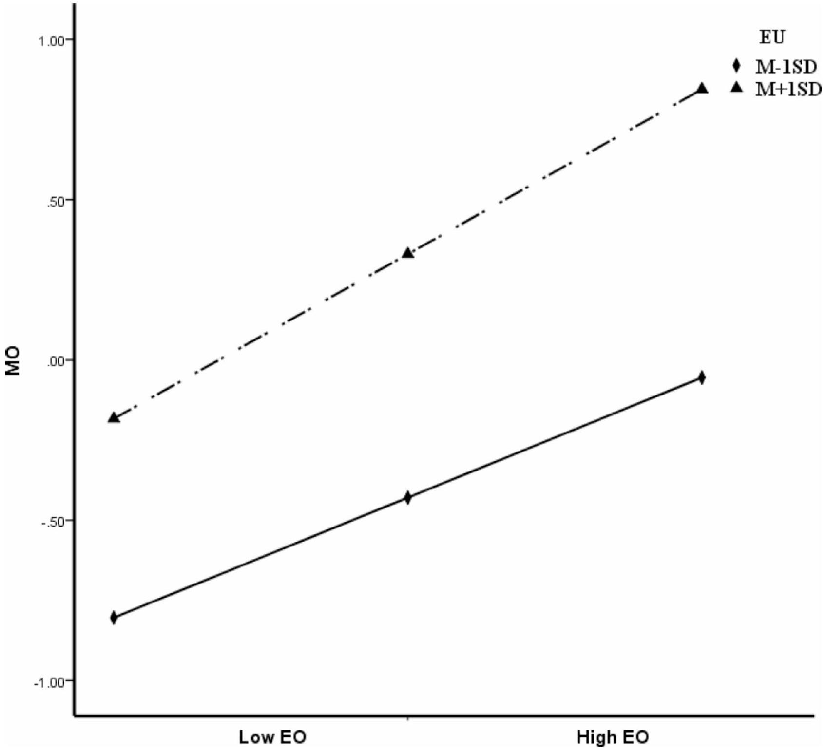
فحص تأثيرات الوساطة المعدلة
تقدم هذه الدراسة لتحليل تأثيرات الوساطة المعدلة، حيث تم إجراء اختبارات عند المتوسط (M) لعدم اليقين البيئي وانحراف معياري واحد (SD) فوق وتحت هذا المتوسط، كما هو موضح في الجدول 7.

الشكل 2. تأثيرات التعديل لعدم اليقين البيئي على التوجه الريادي والتوجه السوقي.

الشكل 3. تأثيرات التعديل لعدم اليقين البيئي على التوجه الريادي والأداء الريادي.
أظهرت النتائج أنه عندما يساوي الاتحاد الأوروبي متوسطه، فإن تأثير عدم اليقين البيئي على الوساطة بين التوجه الريادي والأداء الريادي من خلال التوجه السوقي غير ذي دلالة.
تأثير
، CI
، وبالتالي لا تدعم الفرضية H8. عندما يكون مؤشر الاتحاد الأوروبي أقل من متوسطه بانحراف معياري واحد (M – 1SD)، فإن عدم اليقين البيئي يعزز بشكل إيجابي تأثير التوجه الريادي على الأداء الريادي من خلال التوجه السوقي (التأثير
، CI 0.045 ، 0.402 ). على العكس من ذلك، عندما يكون الاتحاد الأوروبي أعلى من متوسطه بانحراف معياري واحد (M+1SD)، فإن عدم اليقين البيئي لا يؤثر على تأثير التوجه الريادي على الأداء الريادي من خلال التوجه السوقي (التأثير
، CI
). وهذا يشير إلى أنه مع زيادة عدم اليقين البيئي، يتناقص تأثير التوجه الريادي على الأداء الريادي من خلال التوجه السوقي. عند مقارنة التأثيرات في مستويات مختلفة من عدم اليقين البيئي، يتضح أنه عند مقارنة Effect2 بـ Effect1، يكون Effect2 أقل بشكل ملحوظ (Effect2-Effect1
، CI
). بالمثل، عند مقارنة Effect3 بـ Effect1، يكون Effect3 أقل بشكل ملحوظ (Effect3-Effect1
). وعندما يتم مقارنة Effect3 بـ Effect2، يكون Effect3 أقل بكثير (Effect3-Effect2
تشير هذه النتائج إلى أن تأثير عدم اليقين البيئي يتفاوت عند مستويات مختلفة. يمكن أن يحفز عدم اليقين البيئي المعتدل الشركات الريادية على توقع التغيرات البيئية والسوقية، والسعي بنشاط للحصول على معلومات ورؤى قيمة، خاصة فيما يتعلق باحتياجات العملاء وذكاء المنافسين.
بوسائل متنوعة، يتم نشر هذه المعلومات ومشاركتها وتحليلها وتحويلها إلى ذاكرة تنظيمية، مما يجعلها أساسًا لاتخاذ القرارات الاستراتيجية. من المحتمل أن تؤدي هذه الإجراءات إلى أداء متفوق على المدى الطويل للشركة.
. ومع ذلك، عندما تصبح عدم اليقين البيئي مرتفعًا جدًا،

الشكل 4. تأثيرات التعديل لعدم اليقين البيئي على التوجه السوقي والأداء الريادي.
تعقيد معلومات السوق يجعل من الصعب التمييز بين المعلومات الحقيقية والمزيفة، مما يعيق قدرة الشركة على الحصول على رؤى قيمة من السوق. في مثل هذه الظروف، يصبح دور التوجه نحو السوق ضعيفًا بشكل ملحوظ، مما يؤثر بشكل ضئيل على تعزيز الأداء الريادي.
اختبار المتانة
في هذه الدراسة، تم إجراء اختبار للمتانة على النموذج المُنشأ للتحقق من صحة نتائجنا الأساسية. نظرًا لأن بكين وشنغهاي تعتبران المركزين السياسيين والاقتصاديين في الصين، فإن الشركات المسجلة في هاتين المنطقتين لا تمثل السكان العامين. لذلك، تم استبعاد العينات المسجلة في هاتين المنطقتين، مما ترك 239 عينة لتحليل المتانة، مما يمثل حوالي
من العينة الأصلية. تشير نتائج القوة، كما هو موضح في الجداول 8 و 9 و 10 و 11، إلى أن الفرضيتين H7 و H8 لم تدعما، بينما كانت الفرضيات H1 إلى H6 مدعومة جميعها. وبالتالي، وجدنا أن نتائج اختبار القوة هذا تتماشى مع النتائج السابقة، مما يدعم بقوة استنتاجاتنا الرئيسية.
نتائج اختبار الفرضيات
تؤسس هذه الدراسة نموذج وساطة معتدلة فريد من نوعه من خلال ربط التوجه الريادي، والتوجه السوقي، والأداء الريادي من خلال تعديل عدم اليقين البيئي. تكشف النتائج أن الفرضيات H1 إلى H6 مدعومة، بينما الفرضيات H7 وH8 ليست كذلك. على وجه التحديد، يمارس التوجه الريادي تأثيرًا إيجابيًا كبيرًا على الأداء الريادي والتوجه السوقي، مما يدعم الفرضيتين H1 وH2. للتوجه السوقي تأثير إيجابي كبير على الريادة.
| المتغيرات | النموذج 6 (EP كـ DV) | النموذج 7 (MO كمتغير تابع) | النموذج 8 (EP كـ DV) | |||||||||
|
|
SE | LLCI | ULCI |
|
SE | LLCI | ULCI |
|
SE | LLCI | ULCI | |
| ثابت | 0.311 | 0.317 | -0.314 | 0.935 | 0.370 | 0.191 | -0.006 | 0.747 | 0.096 | 0.300 | -0.495 | 0.687 |
| EA | 0.078 | 0.059 | -0.038 | 0.193 | -0.006 | 0.035 | -0.076 | 0.063 | 0.081 | 0.055 | -0.028 | 0.190 |
| إس | 0.026 | 0.041 | -0.055 | 0.107 | -0.013 | 0.025 | -0.062 | 0.036 | 0.033 | 0.039 | -0.043 | 0.109 |
| SS | -0.032 | 0.060 | -0.150 | 0.086 | -0.080 | 0.036 | -0.151 | -0.009 | 0.014 | 0.057 | -0.098 | 0.126 |
| في | 0.024 | 0.058 | -0.090 | 0.137 | 0.017 | 0.035 | -0.052 | 0.085 | 0.014 | 0.054 | -0.093 | 0.120 |
| EO | 0.852 | 0.058 | 0.738 | 0.966 | 0.869 | 0.035 | 0.801 | 0.938 | 0.348 | 0.104 | 0.143 | 0.553 |
| مو | 0.580 | 0.102 | 0.379 | 0.781 | ||||||||
| ف | ٤٥.٠٥٠ | 127.302 | ٤٧.٩٥٣ | |||||||||
| ر
|
0.492 | 0.732 | 0.554 | |||||||||
الجدول 8. اختبار متانة تأثيرات مباشرة.
| علاقة الوساطة | تأثير المسار |
|
بوت إس إي (SE) | LLCI (شركة ذات مسؤولية محدودة Boot) | يو إل سي آي (بوت يو إل سي آي) |
|
|
التأثير الكلي | 0.852 | 0.058 | 0.738 | 0.966 |
| الأثر المباشر | 0.348 | 0.104 | 0.143 | 0.553 | |
| أثر غير مباشر | 0.504 | 0.089 | 0.339 | 0.683 |
الجدول 9. اختبار قوة التحمل باستخدام طريقة البوتستراب لتحليل الوساطة.
| المتغيرات | النموذج 9 (MO كـ DV) | النموذج 10 (EP كـ DV) | ||||||
|
|
SE | LLCI | ULCI |
|
SE | LLCI | ULCI | |
| ثابت | 0.199 | 0.117 | -0.032 | 0.430 | ٣٫٥٠٠ | 0.211 | ٣.٠٨٥ | ٣.٩١٥ |
| EA | -0.011 | 0.028 | -0.066 | 0.043 | 0.069 | 0.050 | -0.029 | 0.166 |
| إس | -0.012 | 0.020 | -0.050 | 0.027 | 0.029 | 0.035 | -0.040 | 0.098 |
| SS | -0.079 | 0.028 | -0.135 | -0.023 | -0.037 | 0.052 | -0.139 | 0.064 |
| في | -0.030 | 0.028 | -0.084 | 0.024 | -0.022 | 0.049 | -0.119 | 0.076 |
| EO | 0.547 | 0.040 | 0.469 | 0.625 | 0.248 | 0.098 | 0.055 | 0.442 |
| مو | 0.230 | 0.126 | -0.018 | 0.478 | ||||
| الاتحاد الأوروبي | 0.427 | 0.035 | 0.358 | 0.497 | 0.492 | 0.082 | 0.330 | 0.654 |
|
|
0.102 | 0.027 | 0.049 | 0.154 | 0.284 | 0.113 | 0.060 | 0.507 |
|
|
-0.333 | 0.118 | -0.566 | -0.100 | ||||
| ف | 168.586 | ٤٦.١٨٨ | ||||||
|
|
0.836 | 0.645 | ||||||
الجدول 10. اختبار قوة التأثيرات المعتدلة.
| نتيجة | فهرس |
|
بوت SE | بوت LLCI | بوت ULCI |
| التأثيرات غير المباشرة الشرطية | التأثير 1 (الاتحاد الأوروبي = م – 1 انحراف معياري) | 0.244 | 0.098 | 0.062 | 0.445 |
| التأثير2 (
|
0.126 | 0.072 | -0.008 | 0.276 | |
| التأثير 3 (الاتحاد الأوروبي = م + 1 انحراف معياري) | -0.050 | 0.071 | -0.196 | 0.091 |
الجدول 11. فحص المتانة لتحليل الوساطة المعتدلة.
الأداء، مما يثبت الفرضية H3. علاوة على ذلك، فإن التأثير الوسيط بين التوجه الريادي والأداء الريادي ذو دلالة إيجابية، مما يدعم الفرضية H4. كما أن عدم اليقين البيئي يعدل بشكل كبير تأثير التوجه الريادي على التوجه السوقي والأداء الريادي بشكل إيجابي، مما يؤكد الفرضيتين H5 و H6. ومع ذلك، فإن التأثير السلبي للتعديل الناتج عن عدم اليقين البيئي على العلاقة بين التوجه السوقي والأداء الريادي (H7) والتأثير غير الدال للتعديل على تأثير التوجه الريادي على الأداء الريادي من خلال التوجه السوقي (H8) غير مدعومين. من بين الفرضيات الثماني المقترحة في هذه الدراسة، تم التحقق من ستة بينما لم يتم التحقق من اثنتين، حيث تركزت الفرضيات غير المصدقة بشكل أساسي على الدور المعدل لعدم اليقين البيئي على التوجه السوقي والأداء الريادي. تم تقديم ملخص للاستنتاجات المستخلصة من تحليل البيانات وحالة التحقق من الفرضيات في الجدول 12.
| رقم افتراضي | فرضية البحث | نتيجة |
| H1 | هناك علاقة إيجابية بين التوجه الريادي والأداء الريادي | مدعوم |
| H2 | هناك علاقة إيجابية بين التوجه الريادي والتوجه السوقي | مدعوم |
| H3 | هناك علاقة إيجابية بين التوجه السوقي والأداء الريادي | مدعوم |
| H4 | توجه السوق يتوسط بشكل إيجابي العلاقة بين التوجه الريادي والأداء الريادي | مدعوم |
| H5 | عدم اليقين البيئي يعزز بشكل إيجابي العلاقة بين التوجه الريادي والتوجه السوقي | مدعوم |
| H6 | عدم اليقين البيئي يعزز بشكل إيجابي العلاقة بين التوجه الريادي والأداء الريادي | مدعوم |
| H7 | عدم اليقين البيئي يعزز العلاقة بين التوجه السوقي والأداء الريادي بشكل إيجابي | غير مدعوم |
| H8 | العلاقة بين عدم اليقين البيئي التي تعزز الاتجاه الريادي من خلال الاتجاه السوقي الذي يعزز الأداء الريادي. | غير مدعوم |
الجدول 12. ملخص نتائج البحث.
نقاش
تشير دراسة الفرضيات H1 وH2 وH3 وH4 إلى أن التوجه الريادي لا يؤثر فقط بشكل كبير وإيجابي على التوجه السوقي وأداء ريادة الأعمال، بل يمارس أيضًا تأثيرًا إيجابيًا غير مباشر على أداء ريادة الأعمال من خلال التوجه السوقي. علاوة على ذلك، فإن التوجه السوقي نفسه له تأثير إيجابي ملحوظ على أداء ريادة الأعمال. تؤكد هذه النتيجة بشكل قاطع على أن التوجه الريادي هو مصدر محوري للأداء المتفوق في المؤسسات، حيث يؤثر إيجابيًا على أداء ريادة الأعمال بطريقتين متميزتين. أولاً، من منظور نظرية الموارد، فإن التأثير المباشر للتوجه الريادي كبير، ويتماشى مع نتائج ياو وآخرين.
زهراء وآخرون
، بالإضافة إلى دو وآخرون.
. كما أنه يعزز الاستنتاجات التي توصل إليها ويكلوند وآخرون من خلال تحليل البيانات الطولية
“، مما يشير إلى أن التوجه الريادي، كموارد أساسية، يحفز المؤسسات على السعي نحو الابتكار، مما يعزز أدائها بشكل مباشر. ثانياً، يبرز الدور الوسيط للتوجه السوقي أهمية التوجه الريادي في تمكين الشركات من تمييز الفرص السوقية الجديدة، وتعزيز قدرات الابتكار، وزيادة الاستباقية وقدرات تحمل المخاطر. تبرز نظرية الإدارة الاستراتيجية النهج المتمركز حول العميل للتوجه السوقي، والذي يتماشى مع أهداف التوجه الريادي. من خلال التأكيد على فهم وتلبية الاحتياجات الكامنة للعملاء، يمارس التوجه الريادي تأثيراً إيجابياً غير مباشر على أداء الشركة من خلال التوجه السوقي. هذه الاكتشافات تتناغم مع أبحاث تشو وآخرين.
الذين يؤكدون على توجيه السوق كعنصر استراتيجي حاسم يجسد المهارات والعمليات الفريدة والصعبة التقليد للشركات في المنافسة. تشير النتائج التجريبية أيضًا إلى أن الشركات الناشئة التي تتمتع بتوجه ريادي تميل إلى اعتماد توجيه السوق لتخفيف المخاطر في البيئات غير المؤكدة، مما يعزز الأداء الريادي.
تظهر تأثيرات التوجه الريادي على التوجه السوقي بشكل أساسي في كيفية تشكيله لاستخدام الشركات الناشئة للمعلومات ومعالجتها وتفسيرها.
، وهي عملية مرتبطة ارتباطًا وثيقًا بنظرية الطوارئ، التي تؤكد على تكييف الاستراتيجية مع التغيرات الخارجية لإدارة عدم اليقين. علاوة على ذلك، يعزز التوجه نحو السوق الأداء المؤسسي من خلال تحسين رضا العملاء والقيمة.
، مما يزيد من حصة السوق ويدفع النمو والأداء المستدام. من منظور الموارد القائمة على القيمة، تعتبر التوجهات السوقية آلية حيوية تحول التوجه الريادي إلى نتائج ملموسة. كما أنها تعزز التنسيق الداخلي وتقلل من تكاليف الاتصال.
، يمكّن من الاستجابة السريعة لأفعال المنافسين، ويعزز في النهاية الميزة التنافسية والربحية.
تشير نتائج الفحص للفرضيتين H5 و H6 إلى أن عدم اليقين البيئي يعزز بشكل إيجابي تأثير التوجه الريادي على كل من التوجه السوقي والأداء الريادي. تدعم هذه النتيجة الاستنتاجات التي توصل إليها غوان وآخرون.
، مما يعزز وجهة نظر نظرية الطوارئ. من منظور نظرية الطوارئ، تعتبر عدم اليقين البيئي دافعًا حيويًا للابتكار والإبداع في الشركات. في البيئات غير المؤكدة، تكون الشركات ذات التوجه الريادي أكثر احتمالًا لاستكشاف واستغلال الفرص الجديدة بشكل استباقي، مع تعزيز العلاقات القوية مع أصحاب المصلحة، مثل العملاء والشركاء والمستثمرين. تسهل هذه التفاعلات الاستباقية تدفق المعلومات، مما يعزز فعالية التوجه السوقي. علاوة على ذلك، تميل الشركات ذات التوجه الريادي إلى تجاوز منافسيها من خلال تقديم منتجات وخدمات جديدة بسرعة إلى السوق. تسرع من دخولها إلى السوق من خلال تحديث إدراك الفرص، وتعديل القرارات الاستراتيجية بمرونة، وتخصيص الموارد، مما يمكنها من انتهاز الفرص السوقية على الفور وتعزيز الأداء الريادي. يرتبط هذا الظاهرة ارتباطًا وثيقًا بنظرية الطوارئ، التي تؤكد على أهمية مرونة الشركات في الاستجابة للتغيرات البيئية الخارجية والتكيف بسرعة مع استراتيجياتها لتتوافق بشكل أفضل مع متطلبات السوق. لا يوفر عدم اليقين البيئي بيئة أكثر ملاءمة للعلاقة بين التوجه الريادي والتوجه السوقي فحسب، بل يعزز أيضًا قدرات الابتكار والقدرة على التكيف والعلاقات مع أصحاب المصلحة، مما يدفع التنمية الريادية بشكل أكبر. وبالتالي، فإن الاعتدال الإيجابي بين عدم اليقين البيئي والتوجه الريادي يبرز أهمية التكيف مع البيئات الديناميكية لتعزيز النمو والنجاح.
تشير نتائج امتحان الفرضية H7 إلى أن عدم اليقين البيئي يؤثر سلبًا على تأثير التوجه السوقي على الأداء الريادي. تتناقض هذه النتيجة مع النتائج السابقة لجوروسكي وآخرين.
سلتر وآخرون
، وكيو وآخرون
، الذي أظهر باستمرار أن التأثير الإيجابي للتوجه السوقي على الأداء الريادي لا يتأثر بالعوامل البيئية. تنشأ هذه الفجوة بشكل أساسي من حقيقة أن تلك الدراسات فشلت في تضمين أي متغيرات سابقة، حيث قامت فقط بفحص التأثيرات المباشرة للتوجه السوقي على الأداء الريادي دون التعمق في التحليل الدقيق لتأثيره. في الدراسة الحالية، نقدم التوجه الريادي
كنموذج متغير سابق في النموذج، تصميم تحويلي يمكّن من فهم أكثر شمولية لكيفية تأثير عدم اليقين البيئي سلبًا على تأثير التوجه السوقي على الأداء الريادي. هذه الاكتشافات المهمة تعمق فهمنا للآليات الأساسية التي تلعب دورًا بين التوجه السوقي والأداء الريادي، موضحة كيف يؤثر التوجه السوقي بشكل مختلف على أداء الشركات تحت ظروف بيئية متغيرة. من منظور نظرية الطوارئ، يمارس عدم اليقين البيئي تأثيرات مختلفة بشكل ملحوظ على التوجه السوقي اعتمادًا على درجته. في بيئة ذات عدم يقين منخفض، حيث تعمل الشركات ضمن سياق مستقر نسبيًا، يلتقط التوجه السوقي بفعالية احتياجات العملاء، مما يعزز الأداء. على العكس، في بيئة ذات عدم يقين مرتفع تتميز بتغيرات مضطربة في الأسواق والتقنيات، قد تؤدي الموارد التي تستثمرها الشركات في السعي نحو التوجه السوقي بشكل غير مقصود إلى صلابة استراتيجية. في مثل هذه السيناريوهات، تعيق غياب المرونة الاستراتيجية قدرة الشركات على التكيف بسرعة مع التحولات البيئية، مما يؤدي حتمًا إلى تراجع الأداء. لا توفر هذه الاكتشافات دعمًا تجريبيًا جديدًا للعلاقة بين التوجه السوقي والأداء الريادي فحسب، بل توسع أيضًا نطاق تطبيق نظرية الطوارئ. إنها تبرز أهمية أن تقوم الشركات بتعديل استراتيجيات التوجه السوقي بمرونة استجابةً للظروف الخارجية المتغيرة، مما يحمي أدائها من التأثيرات السلبية. وبالتالي، تقدم هذه الدراسة منظورًا جديدًا لكل من النظرية والممارسة، مما يمكّن الشركات من إدارة التوجه السوقي بفعالية وسط عدم اليقين البيئي ورفع أدائها الريادي.
كنموذج متغير سابق في النموذج، تصميم تحويلي يمكّن من فهم أكثر شمولية لكيفية تأثير عدم اليقين البيئي سلبًا على تأثير التوجه السوقي على الأداء الريادي. هذه الاكتشافات المهمة تعمق فهمنا للآليات الأساسية التي تلعب دورًا بين التوجه السوقي والأداء الريادي، موضحة كيف يؤثر التوجه السوقي بشكل مختلف على أداء الشركات تحت ظروف بيئية متغيرة. من منظور نظرية الطوارئ، يمارس عدم اليقين البيئي تأثيرات مختلفة بشكل ملحوظ على التوجه السوقي اعتمادًا على درجته. في بيئة ذات عدم يقين منخفض، حيث تعمل الشركات ضمن سياق مستقر نسبيًا، يلتقط التوجه السوقي بفعالية احتياجات العملاء، مما يعزز الأداء. على العكس، في بيئة ذات عدم يقين مرتفع تتميز بتغيرات مضطربة في الأسواق والتقنيات، قد تؤدي الموارد التي تستثمرها الشركات في السعي نحو التوجه السوقي بشكل غير مقصود إلى صلابة استراتيجية. في مثل هذه السيناريوهات، تعيق غياب المرونة الاستراتيجية قدرة الشركات على التكيف بسرعة مع التحولات البيئية، مما يؤدي حتمًا إلى تراجع الأداء. لا توفر هذه الاكتشافات دعمًا تجريبيًا جديدًا للعلاقة بين التوجه السوقي والأداء الريادي فحسب، بل توسع أيضًا نطاق تطبيق نظرية الطوارئ. إنها تبرز أهمية أن تقوم الشركات بتعديل استراتيجيات التوجه السوقي بمرونة استجابةً للظروف الخارجية المتغيرة، مما يحمي أدائها من التأثيرات السلبية. وبالتالي، تقدم هذه الدراسة منظورًا جديدًا لكل من النظرية والممارسة، مما يمكّن الشركات من إدارة التوجه السوقي بفعالية وسط عدم اليقين البيئي ورفع أدائها الريادي.
تشير نتائج امتحان الفرضية H8 إلى أن عدم اليقين البيئي لا يعدل بشكل كبير التأثير الوسيط للتوجه الريادي على الأداء الريادي من خلال التوجه السوقي. ضمن إطار نظرية الطوارئ، يُعترف بعدم اليقين البيئي كعامل محوري يؤثر على الخيارات الاستراتيجية للشركات، مما يتطلب استراتيجيات مرنة للتكيف مع التغيرات الخارجية عبر ظروف متغيرة. وبالتالي، قد لا يكون دور عدم اليقين البيئي في تعديل تأثير التوجه الريادي على الأداء الريادي عبر التوجه السوقي بارزًا كما كان يُفترض تقليديًا. أولاً، تؤكد نظرية الطوارئ على أهمية مراعاة التحولات البيئية الخارجية عند صياغة استراتيجيات الشركات. بينما يهدف التوجه السوقي إلى تسهيل فهم وتلبية احتياجات العملاء، فإن زيادة عدم اليقين البيئي تعرض الشركات لإشارات سوقية معقدة وغامضة. وهذا يعني أنه، على الرغم من أن التوجه السوقي يمكن أن يعزز الأداء الريادي، فإن البيئة الخارجية المتطورة بسرعة قد تعيق الشركات عن التقاط احتياجات العملاء بدقة، مما يقلل من فعالية تحسين الأداء.
ثانيًا، يمكن أن يزرع عدم اليقين البيئي التردد في الشركات عند تنفيذ استراتيجيات موجهة نحو السوق، مما يعيق تنفيذ تكتيكات فعالة للتوجه السوقي. في بيئات عدم اليقين العالية، قد تميل الشركات أكثر إلى الحفاظ على الاستراتيجيات والنماذج التشغيلية الحالية لتقليل المخاطر المرتبطة بعدم اليقين. هذه الصلابة الاستراتيجية تقيد قدرات الابتكار والمرونة لدى الشركات، مما يهدد النتائج الإيجابية للتوجه الريادي. وبالتالي، من منظور نظرية الطوارئ، يفشل عدم اليقين البيئي في تعديل الدور الوسيط للتوجه الريادي على الأداء الريادي من خلال التوجه السوقي بشكل فعال. تقدم هذه العدسة النظرية رؤى جديدة حول خيارات الشركات الاستراتيجية تحت ظروف بيئية مختلفة، مما يبرز أهمية إدارة الموارد وبناء القدرات. إنها توجه الشركات نحو تحقيق تحسين مستدام في الأداء الريادي وسط عدم اليقين من خلال تعزيز القدرة على التكيف والمرونة.
تداعيات النظرية
تقدم هذه الدراسة مساهمات نظرية بالطرق التالية: أولاً، استكشفت الأدبيات السابقة بشكل موسع العلاقات بين التوجه الريادي، التوجه السوقي، الأداء الريادي، وعدم اليقين البيئي بشكل فردي. ومع ذلك، فإن الدراسات التي تدمج هذه العوامل الأربعة في إطار بحث واحد نادرة نسبيًا. من خلال توضيح العلاقات بين التوجه الريادي، التوجه السوقي، الأداء الريادي، وعدم اليقين البيئي، تُثري هذه الدراسة النتائج في مجال ريادة الأعمال. من منظور نظرية الإدارة الاستراتيجية، يساعد دمج هذه المتغيرات في تحديد الأساس الذي يمكن أن تختار عليه الشركات استراتيجيات مناسبة تحت ظروف بيئية متغيرة، مما يعزز قدرتها التنافسية.
ثانيًا، تعزز الفهم النظري لعدم اليقين البيئي. يمكن أن يعدل عدم اليقين السوقي، في بعض الظروف، تأثير التوجه السوقي على الأداء الريادي بشكل سلبي. تحتاج الشركات، عند تنفيذ التوجه السوقي، إلى مراقبة التغيرات البيئية الخارجية باستمرار، وضبط توجهها السوقي بسرعة وفعالية بناءً على هذه التغيرات، مما يزيد من الأداء الريادي.
يتماشى هذا المنظور مع نظرية الموارد، مما يشير إلى أنه يجب على الشركات استغلال الموارد الداخلية والخارجية بشكل فعال للتنقل بشكل أفضل في التغيرات السوقية. ثالثًا، يعد التوجه الريادي، كعقلية معقدة ونهج سلوكي للتعامل مع عدم اليقين البيئي، مفيدًا لبقاء الشركة ونموها في بيئات مضطربة. يشير التوجه السوقي إلى تركيز الشركة على فهم والاستجابة لاحتياجات عملائها. يعمل التوجه الريادي كقوة دافعة، بينما يعمل التوجه السوقي كقناة تربط بين العملاء الخارجيين والمنافسة. من خلال استغلال التوجه السوقي، يمكن للتوجه الريادي التنقل بمهارة في التغيرات في البيئة الخارجية. يمثل دمج هذين التوجهين عنصرًا حاسمًا في تمكين الشركات من خلق مزايا تنافسية مستدامة.
م echoing the contingency theory’s emphasis on dynamically adjusting strategies in response to external environmental dynamics.
تداعيات الممارسة
تساهم هذه الدراسة في الممارسة بالطرق التالية: أولاً، التوجه الريادي للشركات الناشئة. يجب على المشاريع الريادية أن تدرك أهمية التوجه الريادي. بسبب عوامل مثل الحجم الأصغر والموارد المحدودة، تمتلك الشركات الناشئة مرونة أكبر بشكل فطري. تتيح لهم هذه المرونة التصرف قبل المنافسين. بالنسبة للمشاريع الجديدة، فإن النمو السريع والاستحواذ على حصص سوقية أكبر
ضروريان للتنمية المستدامة. ثانيًا، تعزيز التوجه السوقي. من الضروري تعزيز توجه سوقي قوي داخل المنظمات. يجب على الشركات أن تسعى لفهم دوافع السوق بشكل أفضل، وتوسيع شبكاتها السوقية، وطلب المساعدة من المشاركين في السوق، وإقامة علاقات مفيدة للطرفين معهم. كما أكدت نظرية الطوارئ، يجب على الشركات تعديل استراتيجياتها السوقية بمرونة استجابةً للتغيرات في البيئة الخارجية، مما يعزز قدرتها على التكيف والاستجابة في السوق. ثالثًا، تطوير المرونة الريادية. من الضروري تعزيز مرونة الرياديين وقدرتهم النفسية على التحمل. حتى في البيئات السوقية والتكنولوجية الديناميكية للغاية، يجب على الرياديين التكيف بشكل استباقي، واستغلال المرونة الكامنة في المشاريع الريادية، وضبط استراتيجياتهم بوعي، ودفع التحسينات في الأداء الريادي. أخيرًا، تداعيات السياسة. يحتاج صانعو السياسات إلى الاعتراف بالأدوار المهمة للتوجهات الريادية والسوقية في تعزيز الأداء الريادي. يجب عليهم السعي لخلق بيئات ريادية وسوقية مواتية، وتوفير منصات لتبادل الخبرات وتبادل المعلومات، وتعزيز التوجه السوقي بين الشركات لمعالجة التحديات المتعلقة بالأداء الريادي.
ضروريان للتنمية المستدامة.
القيود والاتجاهات المستقبلية
تساهم هذه الدراسة، بينما تساهم في النقاش حول التوجه الريادي، والتوجه السوقي، وعدم اليقين البيئي، إلا أنها لا تخلو من قيودها. أولاً، نعترف بأن التحليل التجريبي يعتمد فقط على عينة من الشركات الريادية داخل مقاطعة هوبي، مما يقيّد إمكانية تعميم نتائجنا. يثير النطاق الجغرافي الضيق للعينة مخاوف بشأن تمثيل بياناتنا، مما يشير إلى الحاجة إلى أبحاث مستقبلية لتوسيع حدود العينة لتغطية منطقة أو مستوى وطني أوسع، مع الأخذ في الاعتبار التباين الإقليمي في الموارد الريادية التي قد تؤثر على العلاقات التي استكشفناها. ثانياً، فإن قابلية تطبيق الرؤى المستخلصة من هذه الدراسة خارج مقاطعة هوبي وحتى على المستوى الوطني غير مؤكدة. قد لا تكون النتائج متسقة عبر بيئات اقتصادية مختلفة، وأطر تنظيمية، وسياقات ثقافية. لمعالجة هذه القيود، يجب على الدراسات المستقبلية تكرار التحليل في مناطق أو دول أوسع للتحقق من نتائجنا وتعزيز إمكانية تعميم استنتاجاتنا. أخيراً، تركز الدراسة الحالية فقط على الدور الوسيط لعدم اليقين البيئي كمتغير خارجي في العلاقة بين التوجه الريادي، والتوجه السوقي، والأداء الريادي. ومع ذلك، لم يتم استكشاف تأثير المتغيرات الداخلية داخل المنظمة، مثل الثقافة المؤسسية والهيكل التنظيمي، على هذه العلاقة. يمكن أن تمتد الأبحاث المستقبلية الإطار من خلال دمج هذه العوامل الداخلية لتوفير فهم أكثر شمولية للتفاعل الديناميكي بين العوامل التنظيمية الداخلية والتأثيرات البيئية الخارجية. سيساهم معالجة هذه القيود في الأبحاث المستقبلية في تعزيز قوة وموثوقية نتائجنا، كما سيساهم في تقديم منظور أكثر دقة وشمولية حول العوامل التي تؤثر على نجاح ريادة الأعمال في سياقات متنوعة.
الخاتمة
تؤكد هذه الدراسة ثمانية فرضيات وتقدم الاستنتاجات الرئيسية التالية: أولاً، يلعب التوجه السوقي دوراً وسيطاً بين التوجه الريادي والأداء الريادي. بشكل محدد، يمكن أن يؤثر التوجه الريادي بشكل إيجابي مباشر على الأداء الريادي ويمكن أيضاً أن يؤثر أولاً بشكل إيجابي على التوجه السوقي، الذي يؤثر بدوره إيجابياً على الأداء الريادي، مما يؤثر بشكل غير مباشر على الأداء الريادي. ثانياً، يقوم عدم اليقين البيئي بتعديل العلاقات بين التوجه الريادي، والتوجه السوقي، والأداء الريادي بشكل متزامن. يقوم عدم اليقين البيئي بتعديل العلاقة بين التوجه الريادي والتوجه السوقي بشكل إيجابي، ويقوم بتعديل العلاقة بين التوجه الريادي والأداء الريادي بشكل إيجابي. أخيراً، يقوم عدم اليقين البيئي بتعديل العلاقة بين التوجه السوقي والأداء الريادي بشكل سلبي. ومع ذلك، لا يقوم عدم اليقين البيئي بتعديل تأثير التوجه الريادي على الأداء الريادي من خلال التوجه السوقي.
تشير النتائج التجريبية إلى أن الشركات التي تركز بشكل خالص على ريادة الأعمال أو التوجه السوقي نادرة في الواقع؛ وغالباً ما تتواجد هاتان الاستراتيجيتان معاً داخل نفس الشركة. يحتاج رواد الأعمال إلى الدعوة لتعزيز الروح الريادية وتنفيذ استراتيجيات موجهة نحو ريادة الأعمال، مع التأكيد أيضاً على تطوير استراتيجيات موجهة نحو السوق لتعزيز فعالية استراتيجيات موجهة نحو ريادة الأعمال في تعزيز الأنشطة الريادية. من خلال دمج سلوكيات الفريق الريادي وتشكيل رؤية مشتركة، يمكن لرواد الأعمال تحقيق توازن بين استراتيجيات ريادة الأعمال والتوجه السوقي. كما تسلط النتائج التجريبية الضوء على أن البيئة الريادية غير المستقرة للغاية تطرح تحديات وفرصاً. يجب على رواد الأعمال أن يدركوا بشكل صحيح عدم اليقين البيئي. في عملية ريادة الأعمال، فإن عدم اليقين في البيئة أمر لا مفر منه. لقد أثرت التحديات الأخيرة مثل الأوبئة، والتقدم التكنولوجي، والعولمة الاقتصادية، والصراعات الإقليمية، وما إلى ذلك، بشكل كبير على الأنشطة الريادية، لكنها أيضاً خلقت العديد من الفرص السوقية. يحتاج رواد الأعمال إلى القدرة ليس فقط على تحديد الفرص السوقية ولكن أيضاً على استغلالها. في مواجهة درجة عالية من عدم اليقين في البيئة الخارجية، يجب على رواد الأعمال تحديد العوامل غير المؤكدة في البيئة، وتوسيع ودمج موارد جديدة، وتعزيز التوجه الريادي، وتعزيز بقاء وتطوير المشاريع الجديدة. بالإضافة إلى ذلك، توفر النتائج التجريبية أساساً لصنع القرار الحكومي بشأن الأنشطة الريادية. يجب على الحكومات صياغة سياسات لتعزيز التوجهات الريادية والسوقية لمساعدة رواد الأعمال، مثل الدعم المالي، والخدمات الاستشارية، أو برامج التدريب، مع خلق بيئة ريادية مواتية، وزيادة الحرية الريادية بشكل واعٍ، ودعم رواد الأعمال من خلال سلسلة من التدابير لتسهيل أنشطتهم الريادية. أخيراً، بسبب عدم وجود توافق في الأبحاث السابقة، التي غالباً ما قامت بتكييف النظريات ذات الصلة لتلبية الاحتياجات الفردية، لا تزال الآليات الأساسية التي تفسر العلاقة بين التوجه الاستراتيجي والأداء الريادي غير موضحة بشكل كافٍ.
لا يمكن دمج العديد من الاستنتاجات التجريبية المتضاربة بشكل فعال. لذلك، تكشف هذه الدراسة بشكل منهجي
العلاقات التفاعلية بين التوجهين الاستراتيجيين والأداء الريادي، مما يوفر أساساً مهماً للأبحاث الأكاديمية المستقبلية ويقدم أساساً نظرياً آخر لتطوير ممارسات الإدارة الموجهة استراتيجياً.
العلاقات التفاعلية بين التوجهين الاستراتيجيين والأداء الريادي، مما يوفر أساساً مهماً للأبحاث الأكاديمية المستقبلية ويقدم أساساً نظرياً آخر لتطوير ممارسات الإدارة الموجهة استراتيجياً.
توفر البيانات
تتوفر مجموعات البيانات في الدراسة من المؤلف المراسل عند الطلب المعقول.
تاريخ الاستلام: 22 يونيو 2024؛ تاريخ القبول: 9 يناير 2025
تاريخ النشر على الإنترنت: 14 يناير 2025
تاريخ الاستلام: 22 يونيو 2024؛ تاريخ القبول: 9 يناير 2025
تاريخ النشر على الإنترنت: 14 يناير 2025
References
- Atuahene-Gima, K. & Ko, A. An empirical investigation of the effect of market orientation and entrepreneurship orientation alignment on product innovation. Organ. Sci. 12, 54-74 (2001).
- Kumar, V., Jones, E., Venkatesan, R. & Leone, R. P. Is market orientation a source of sustainable competitive advantage or simply the cost of competing?. J. Mark. https://doi.org/10.1509/jm.75.1.16 (2011).
- Lekmat, L., Selvarajah, C. & Hewege, C. Relationship between market orientation, entrepreneurial orientation, and firm performance in Thai SMEs: The mediating role of marketing capabilities. Int. J. Bus. Econ. 17, 213-237 (2018).
- Ahmadi, H. & O’Cass, A. The role of entrepreneurial marketing in new technology ventures first product commercialisation. J. Strateg. Mark. 24, 47-60 (2016).
- Cen, R. Research on the Reshaping of Enterprise Isolation Mechanism under “Internet+” Cross-Border Competition (Guangxi University, 2019).
- Peng, X., Cai, L., Chen, J. & Yu, H. From opportunity discovery to opportunity creation: Strategic choices of entrepreneurial firms. Chin. J. Manag. 13, 1312-1320 (2016).
- Miller, D. & Friesen, P. H. Strategy-making and environment: The third link. Strateg. Manag. J. 4, 221-235 (1983).
- Zheng, S. Government relationship networks, entrepreneurial orientation, and firm innovation performance: Evidence from small and medium-sized private enterprises in the Pearl River Delta. East China Econ. Manag. 29, 54-62 (2015).
- Yin, M., Bi, X. & Wang, Y. The impact of entrepreneurial orientation and opportunity orientation on new venture performance: An empirical analysis based on the Chinese context. J. Manag. Sci. Eng. 18, 47-58 (2015).
- Zhang, X., Teng, X. & Li, Y. The impact of dual green strategic orientations on agricultural firm performance: A moderated mediation model. Sci. Sci. Manag. S&T 44, 148-163 (2023).
- Makhloufi, L., Laghouag, A. A. & Ali Sahli, A. Mediating effect of absorptive capacity on the relationship between knowledge sharing and entrepreneurial orientation and the moderating role of opportunity recognition. J. Res. Mark. Entrep. 26, 415-439 (2024).
- Fang, H., Liu, H., Zhang, J. & Huang, M. Research on the inverted U-shaped relationship between green entrepreneurial orientation and firm performance in agricultural enterprises. J. Innov. Entrep. Educ. 13, 43-52 (2022).
- Cai, L. & Shan, B. Entrepreneurship research in the Chinese context: A review and prospect. Manag. World 29, 160-169. https:// doi.org/10.19744/j.cnki.11-1235/f.2013.12.014 (2013).
- Tian, L. Research on the organizational imprinting mechanism of new ventures based on initial conditions. Chin. J. Manag. 9, 1800-1809 (2012).
- Mathias, B. D., Williams, D. W. & Smith, A. R. Entrepreneurial inception: The role of imprinting in entrepreneurial action. J. Bus. Ventur. 30, 11-28 (2015).
- Yu, M., Li, Y., Zhu, F. & Jiang, M. Strategic internal entrepreneurship and institutional logic changes in large firms under the background of transitional economy: A co-evolutionary model. Manag. World 40, 161-180 (2024).
- Chen, Y. & Hao, S. The impact of entrepreneurial orientation and network orientation on the growth of new ventures in a digital context. J. Syst. Manag. 31, 709-721 (2022).
- Su, D. & Du, Q. Research on the relationship between entrepreneurial orientation, improvisation capability, and international entrepreneurial performance. J. Nanjing Audit Univ. 19, 43-52 (2022).
- Makhloufi, L., Djermani, F. & Meirun, T. Mediation-moderation model of green absorptive capacity and green entrepreneurship orientation for corporate environmental performance. Manag. Environ. Qual. Int. J. 35, 139-157 (2023).
- Wiklund, J. The sustainability of the entrepreneurial orientation-Performance relationship. Entrep. Theory Pract. 24, 37-48 (1999).
- Chen, W. & Qu, Y. The impact of female executives on the financial performance of family firms under an entrepreneurial orientation: Dual effects of gender and family attributes. South China J. Econ. 4, 90-107. https://doi.org/10.19592/j.cnki.scje. 391 397 (2022).
- Makhloufi, L., Laghouag, A. A., Ali Sahli, A. & Belaid, F. Impact of entrepreneurial orientation on innovation capability: The mediating role of absorptive capability and organizational learning capabilities. Sustainability 13, 5399 (2021).
- Xie, F., Zhang, S., Hao, B. & Wu, Y. Technology entrepreneurship or business model entrepreneurship? Entrepreneurial strategic choice and access to high-status venture capital. Forum Sci. Technol. China 109-118. https://doi.org/10.13580/j.cnki.fstc.2023.08. 015 (2023).
- Li, Y., Zhao, W. H. & Yang, T. Research on the relationship between entrepreneurs’ prior experience, strategic orientation, and business model innovation in start-ups. Chin. J. Manag. 18, 1022-1031 (2021).
- Ling, Q. & Zhong, Y. H. Influencing factors and improvement strategies of entrepreneurial capabilities among graduate students: An empirical analysis based on 11 universities in Hunan Province. J. Shandong Norm. Univ. (Philos. Soc. Sci. Ed.) 66, 85-94 (2021).
- Xia, H. The relationship between green entrepreneurial orientation, proactive market orientation, and innovation performance of technology-based start-ups. Sci. Technol. Manag. Res. 39, 264-274 (2019).
- Wang, C. L. Entrepreneurial orientation, learning orientation, and firm performance. Entrep. Theory Pract. 32, 635-657 (2008).
- Wu, X. Y. & Zhang, X. Y. Enterprise capabilities, technological innovation, and value network cooperation innovation and their impact on firm performance. J. Manag. Sci. 28, 12-26 (2015).
- Makhloufi, L. Predicting the impact of big data analytics capability and green absorptive capacity on green entrepreneurship orientation and eco-innovation. J. Enterp. Communities People Places Glob. Econ. 18, 746-770 (2023).
- Yao, M. F., Luan, F. M. & Cao, Q. Entrepreneurial orientation and new venture performance: A dual mediation and moderating effect model. South China J. Econ. 37, 83-102. https://doi.org/10.19592/j.cnki.scje.361011 (2018).
- Selmi, N. & Chaney, D. A measure of revenue management orientation and its mediating role in the relationship between market orientation and performance. J. Bus. Res. 89, 99-109 (2018).
- Hughes, P., Hodgkinson, I. R., Hughes, M. & Arshad, D. Explaining the entrepreneurial orientation-performance relationship in emerging economies: The intermediate roles of absorptive capacity and improvisation. Asia Pac. J. Manag. 35, 1025-1053 (2018).
- Alegre, J. & Chiva, R. Linking entrepreneurial orientation and firm performance: The role of organizational learning capability and innovation performance. J. Small Bus. Manag. 51, 491-507 (2013).
- Real, J. C., Roldán, J. L. & Leal, A. From entrepreneurial orientation and learning orientation to business performance: Analysing the mediating role of organizational learning and the moderating effects of organizational size. Br. J. Manag. 25, 186-208 (2014).
- Rauser, A. Digital Strategy: A Guide to Digital Business Transformation (CreateSpace Independent Publishing Platform, 2016).
- Wales, W. J. Entrepreneurial orientation: A review and synthesis of promising research directions. Int. Small Bus. J. 34, 3-15 (2016).
- Li, Q. Research on the Driving Mechanism of Green Entrepreneurial Orientation and Its Impact on Green Competitive Advantage (Jilin University, 2022). https://doi.org/10.27162/d.cnki.gjlin.2021.000446.
- Taan, H., Alam, H. V., Rukayah, S., Ismail, Y. L. & Arsyad, N. F. The impact of entrepreneurial orientation and company innovation on the business performance of manufacturing SMEs. Int. J. Manag. Sustain. 11(12), 419-434 (2023).
- Saleh, A. M. & Athari, S. A. Examining the impact of entrepreneurial orientation on new venture performance in the emerging economy of Lebanon: A moderated mediation analysis. Sustainability 15, 11982 (2023).
- Makhloufi, L. Do knowledge sharing and big data analytics capabilities matter for green absorptive capacity and green entrepreneurship orientation? Implications for green innovation. Ind. Manag. Data Syst. 124, 978-1004 (2023).
- Yi, Z. H., Duan, H. X. & Ren, S. G. Entrepreneurial self-efficacy, entrepreneurial orientation, and performance of technologybased small and micro-enterprises. Sci. Res. Manag. 39, 99-109 (2018).
- Liu, X. L., Xiang, G. P. & Dou, S. L. Makerspace empowerment, entrepreneurial orientation, and performance of new ventures. East China Econ. Manag. 35, 51-58 (2021).
- Brown, J. S. & Duguid, P. Organizational learning and communities-of-practice: Toward a unified view of working, learning, and innovation. Organ. Sci. 2, 40-57 (1991).
- Covin, J. G. & Slevin, D. P. Strategic management of small firms in hostile and benign environments. Strateg. Manag. J. 10, 75-87 (1989).
- Covin, J. G. & Slevin, D. P. A conceptual model of entrepreneurship as firm behavior. Enterp. Theory Pract. 16, 7-26 (1991).
- Morse, E. A., Fowler, S. W. & Lawrence, T. B. The impact of virtual embeddedness on new venture survival: Overcoming the liabilities of newness. Entrep. Theory Pract. 31, 139-159 (2007).
- Mansouri, H., Sadeghi Boroujerdi, S., Polonsky, M., Husin, M. M. & Seydi, M. Investigating the mediating role of market orientation between internal marketing and the development of entrepreneurial orientation within private sports clubs. N. Engl. J. Entrep. 25, 103-120 (2021).
- Mudjijah, S., Surachman, S., Wijayanti, R. & Andarwati, A. The effect of entrepreneurial orientation and talent management on business performance of the creative industries in Indonesia. J. Asian Finance Econ. Bus. 9, 105-119 (2022).
- Karimi, A., Daryani, M. A. & Rahmani, S. The influence of entrepreneurial orientation on firm growth among Iranian agricultural SMEs: The mediation role of entrepreneurial leadership and market orientation. J. Glob. Entrep. Res. 11, 519-531 (2021).
- Solano Acosta, A., Herrero Crespo, Á. & Collado Agudo, J. Effect of market orientation, network capability and entrepreneurial orientation on international performance of small and medium enterprises (SMEs). Int. Bus. Rev. 27, 1128-1140 (2018).
- Wijayanti, A. W., Wahyono, B. & Rozaq, M. K. A. The linkages between entrepreneurial orientation, market orientation toward MSMEs performances. Glob. Bus. Finance Rev. 21, 100-108 (2016).
- Kohli, A. K. & Jaworski, B. J. Market orientation: The construct, research propositions, and managerial implications. J. Mark. 54, 1-18 (1990).
- Jaworski, B. J. & Kohli, A. K. Market orientation: Antecedents and consequences. J. Mark. 57, 53-70 (1993).
- Deshpandé, R. & Farley, J. U. Corporate culture and market orientation: Comparing Indian and Japanese firms. J. Int. Mark. 7, 111-127 (1999).
- Narver, J. C. & Slater, S. F. The effect of a market orientation on business profitability. J. Mark. 54, 20-35 (1990).
- Lumpkin, G. T. & Dess, G. G. Clarifying the entrepreneurial orientation construct and linking it to performance. AMR 21, 135-172 (1996).
- Xue, X. F., Meng, Q., Yao, C. X., Lv, X. Y. & Guo, H. The relationship between conscientiousness and entrepreneurial performance: The mediating role of entrepreneurial orientation. Chin. J. Appl. Psychol. 26, 282-288 (2020).
- Ma, H. J., Sun, Q. & Wu, J. Network market orientation, entrepreneurial capabilities, and new venture performance: An interaction effect model. J. Soc. Sci. Jilin Univ. 62, 138-151, 237-238 (2022).
- Fang, M. & Gao, X. F. Knowledge management, strategic orientation, and firm performance: An empirical study based on small and medium-sized cross-border e-commerce enterprises. J. Anhui Univ. Sci. Technol. (Soc. Sci.) 22, 26-31 (2020).
- Zhang, X. & Hu, L. N. Research frontiers and future prospects of the mixed performance effects of market orientation and entrepreneurial orientation. Foreign Econ. Manag. 34, 49-56 (2012).
- Matsuno, K., Mentzer, J. T. & Özsomer, A. The effects of entrepreneurial proclivity and market orientation on business performance. J. Mark. 66, 18-32 (2002).
- Nangpiire, C. & Bangniyel, P. Entrepreneurial leadership, market orientation, and firm performance. Management 7, 202-213 (2019).
- Liu, X. F. Research on the Relationship Between Market Orientation, Entrepreneurial Orientation, and Innovation Performance of Start-Ups (China Three Gorges University, 2022). https://doi.org/10.27270/d.cnki.gsxau.2018.000469.
- Barrett, H. & Weinstein, A. The effect of market orientation and organizational flexibility on corporate entrepreneurship. Entrep. Theory Pract. 23, 57-70 (1998).
- Freel, M. S. Patterns of innovation and skills in small firms. Technovation 25, 123-134 (2005).
- Wiersema, M. F. & Bantel, K. A. Top management team turnover as an adaptation mechanism: The role of the environment. Strateg. Manag. J. 14, 485-504 (1993).
- Tan, J. & Tan, D. Environment-strategy co-evolution and co-alignment: A staged model of Chinese SOEs under transition. Strateg. Manag. J. 26, 141-157 (2005).
- Khedhaouria, A., Montani, F. & Thurik, R. Time pressure and team member creativity within R&D projects: The role of learning orientation and knowledge sourcing. Int. J. Proj. Manag. 35, 942-954 (2017).
- Zhu, T. Y. Research on the Relationship between Entrepreneurial Orientation, Market Orientation, and Organizational Performance: Based on the Perspective of Organizational Learning (Soochow University, 2013).
- Zhang, X. H. Research on the Mechanism of Green Entrepreneurial Orientation’s Impact on the Performance of New Manufacturing Ventures: Based on the Perspective of Environmental Uncertainty (Jilin University, 2023). https://doi.org/10.27162/d.cnki.gjlin. 202 2.000678.
- Chesbrough, H. Business model innovation: Opportunities and barriers. Long Range Plan. 43, 354-363 (2010).
- Zahra, S. A. & Covin, J. G. Contextual influences on the corporate entrepreneurship-performance relationship: A longitudinal analysis. J. Bus. Ventur. 10, 43-58 (1995).
- Hamel, G. Leading the Revolution (Harvard Business School Press Books, 2002).
- Thompson, J. D. Organizations in Action: Social Science Bases of Administrative Theory (Routledge, 2017). https://doi.org/10.4324 /9781315125930.
- Yoo, J. & Kim, J. The effects of entrepreneurial orientation and environmental uncertainty on Korean technology firms’ R&D investment. J. Open Innov. Technol. Market Complex. 5, 29 (2019).
- Utomo, H. S. & Susanta, S. Environmental uncertainty as a moderator of entrepreneurship orientation and innovation capability during the pandemic: A case of written Batik SMEs in Yogyakarta. F1000Research https://doi.org/10.12688/f1000research.53433.2 (2022).
- Njeru, D. W. & Kibera, F. The perceived effects of the three components of market orientation on the performance of tour firms in Kenya. Eur. Sci. J. 10, 266-285 (2014).
- Hult, G. T. M., Ketchen, D. J. Jr. & Slater, S. F. Market orientation and performance: An integration of disparate approaches. Strateg. Manag. J. 26, 1173-1181 (2005).
- Kang, B. Effects of firms’ market orientation dimensions on shop managers’ attitudes. J. Appl. Sci. 15, 248-255 (2014).
- Webster, R. L., Hammond, K. L. & Rothwell, J. C. Market orientation effects on business school performance: Views from inside and outside the business school. AJBE 7, 9-20 (2013).
- Barney, J. B. Is the resource-based “view” a useful perspective for strategic management research? Yes?. AMR 26, 41-56 (2001).
- Li, J. Y., Zhou, D. D. & Yan, J. B. The matching model and impact effects of strategic human resource management: The moderating role of environmental uncertainty. Nankai Bus. Rev. 21, 171-184 (2018).
- Zhang, X., Yang, Z. & Xu, B. The mixed effects of technology orientation and market orientation on organizational performance: The moderating role of environmental uncertainty. Jiangsu Soc. Sci. 16, 84-91. https://doi.org/10.13858/j.cnki.cn32-1312/c.2013. 04.036 (2013).
- Fu, B. H., Xie, F. J. & Han, Y. Q. Innovation chain resource integration, ambidextrous innovation, and innovation performance: An empirical study based on new ventures in the Yangtze River Delta. China Soft Sci. 12, 176-186 (2015).
- Wang, L., Mao, N. & Long, J. Managers’ decision-making preferences, environmental uncertainty, and innovation intensity: An empirical study based on Chinese enterprises. Stud. Sci. Sci. 30, 1101-1109 (2012).
- Ireland, R. D., Covin, J. G. & Kuratko, D. F. Conceptualizing corporate entrepreneurship strategy. Entrep. Theory Pract. 33, 19-46 (2009).
- Zhang, J. & Duan, Y. L. An empirical study on the impact of market orientation and innovation orientation on new product performance in Chinese manufacturing enterprises. Nankai Bus. Rev. 13, 81-89 (2010).
- Du, Y. P. & Wang, H. H. The impact of dual opportunity capability on the performance of new ventures under entrepreneurial orientation: A case study of private new ventures in Shaanxi Province. Sci. Technol. Prog. Policy 35, 76-83 (2018).
- Wang, T. & Chen, J. L. The role of market orientation in value creation under environmental uncertainty. Nankai Bus. Rev. 14, 57-66 (2011).
- Oke, A., Walumbwa, F. O. & Myers, A. Innovation strategy, human resource policy, and firms’ revenue growth: the roles of environmental uncertainty and innovation performance. Decis. Sci. 43, 273-302 (2012).
- Feng, J. Z. Research on the driving factors of radical innovation and disruptive innovation in enterprises: From the perspective of environmental dynamism and hostility. Stud. Sci. Sci. 31, 1421-1432 (2013).
- Narver, J. C., Slater, S. F. & MacLachlan, D. L. Responsive and proactive market orientation and new-product success. J. Prod. Innov. Manag. 21, 334-347 (2004).
- Chandler, G. N. & Hanks, S. H. Measuring the performance of emerging businesses: A validation study. J. Bus. Ventur. 8, 391-408 (1993).
- Jiang, C. Y. & Zhao, S. M. The relationship between social capital, corporate entrepreneurship, and performance: the mediating role of organizational learning-An empirical study of emerging enterprises in Jiangsu and Guangdong. Manag. World 90-99, 171-172. https://doi.org/10.19744/j.cnki.11-1235/f.2006.10.011 (2006).
- Jansen, J. J. P., Van Den Bosch, F. A. J. & Volberda, H. W. Exploratory innovation, exploitative innovation, and performance: Effects of organizational antecedents and environmental moderators. Manag. Sci. 52, 1661-1674 (2006).
- Hayes, A. F. Introduction to Mediation, Moderation, and Conditional Process Analysis: A Regression-Based Approach Vol. 3, 507 (Guilford Press, 2013).
- Rauch, A., Wiklund, J., Lumpkin, G. T. & Frese, M. Entrepreneurial orientation and business performance: An assessment of past research and suggestions for the future. Entrep. Theory Pract. 33, 761-787 (2009).
- Kirca, A. H., Jayachandran, S. & Bearden, W. O. Market orientation: A meta-analytic review and assessment of its antecedents and impact on performance. J. Mark. https://doi.org/10.1509/jmkg.69.2.24.60761 (2005).
- Morgan, N. A. & Vorhies, D. W. The business performance outcomes of market orientation culture and behaviors. Innov. Strateg. 15, 255-282 (2018).
- Beal, R. M. Competing effectively: Environmental scanning, competitive strategy, and organizational performance in small manufacturing firms. J. Small Bus. Manag. 38, 27-47 (2000).
- Jancenelle, V. E., Javalgi, R. G. & Cavusgil, E. The role of economic and normative signals in international prosocial crowdfunding: An illustration using market orientation and psychological capital. Int. Bus. Rev. 27, 208-217 (2018).
- Wu, X. B., Chen, X. L. & Li, J. Y. Research on the impact mechanism of strategic orientation and innovation mode on enterprise performance. Stud. Sci. Sci. 33, 118-127 (2015).
- Calantone, R. J., Cavusgil, S. T. & Zhao, Y. Learning orientation, firm innovation capability, and firm performance. Ind. Mark. Manag. 31, 515-524 (2002).
- Wiklund, J. & Shepherd, D. Entrepreneurial orientation and small business performance: A configurational approach. J. Bus. Ventur. 20, 71-91 (2005).
- Chou, C. & Yang, K.-P. The interaction effect of strategic orientations on new product performance in the high-tech industry: A nonlinear model. Technol. Forecast. Soc. Change 78, 63-74 (2011).
- Ozkaya, H. E., Droge, C., Hult, G. T. M., Calantone, R. & Ozkaya, E. Market orientation, knowledge competence, and innovation. Int. J. Res. Mark. 32, 309-318 (2015).
- Rakthin, S., Calantone, R. J. & Wang, J. F. Managing market intelligence: The comparative role of absorptive capacity and market orientation. J. Bus. Res. 69, 5569-5577 (2016).
- Guo, Y. & Wang, L. Environmental entrepreneurial orientation and firm performance: The role of environmental innovation and stakeholder pressure. Sage Open 12, 21582440211061350 (2022).
- Slater, S. F. & Narver, J. C. Does competitive environment moderate the market orientation-performance relationship?. J. Mark. 58, 46-55 (1994).
- Qu, R. & Ennew, C. T. An examination of the consequences of market orientation in China. J. Strateg. Mark. 11, 201-214 (2003).
- Yu, L. W. Research on the Impact of Government Regulation and Environmental Literacy on Farmers’ Green Entrepreneurship: Taking Planting Industry as an Example (Northwest A&F University, 2024). https://doi.org/10.27409/d.cnki.gxbnu.2023.000040.
- Hunt, S. D. & Lambe, C. J. Marketing’s contribution to business strategy: Market orientation, relationship marketing and resourceadvantage theory. Int. J. Manag. Rev. 2, 17-43 (2000).
الشكر والتقدير
تم دعم هذا البحث من قبل مشروع البحث لعام 2024 من جمعية التعليم المهني الصينية في مقاطعة هوبي (رقم.HBZJ2024208)، المشروع الرئيسي لعام 2024 من جمعية إحصاءات الأعمال الصينية (رقم.2024STZD16)، ومشروع البحث والتطوير التعليمي لعام 2024 من جامعة هوبي لتكنولوجيا السيارات (رقم.SCJY202415). تم إكمال هذا البحث تحت قيادة جامعة هوبي لتكنولوجيا السيارات، وهي المؤسسة الأولى المرتبطة.
مساهمات المؤلفين
بينغ تشينغ وشاولينغ وو: التصور، تنظيم البيانات، التحليل الرسمي، الحصول على التمويل، التحقيق، المنهجية، البرمجيات، التحقق، التصور، الكتابة – المسودة الأصلية، الكتابة – المراجعة والتحرير؛ جونتاو شياو: إدارة المشروع، الموارد، الإشراف. قرأ جميع المؤلفين ووافقوا على النسخة المنشورة من المخطوطة.
الإعلانات
المصالح المتنافسة
يعلن المؤلفون عدم وجود مصالح متنافسة.
معلومات إضافية
يجب توجيه المراسلات والطلبات للحصول على المواد إلى S.W.
معلومات إعادة الطبع والتصاريح متاحة علىwww.nature.com/reprints.
ملاحظة الناشر تظل Springer Nature محايدة فيما يتعلق بالمطالبات القضائية في الخرائط المنشورة والانتماءات المؤسسية.
معلومات إعادة الطبع والتصاريح متاحة علىwww.nature.com/reprints.
ملاحظة الناشر تظل Springer Nature محايدة فيما يتعلق بالمطالبات القضائية في الخرائط المنشورة والانتماءات المؤسسية.
الوصول المفتوح. هذه المقالة مرخصة بموجب رخصة المشاع الإبداعي النسب-غير التجارية-عدم الاشتقاق 4.0 الدولية، التي تسمح بأي استخدام غير تجاري، ومشاركة، وتوزيع، وإعادة إنتاج في أي وسيلة أو صيغة، طالما أنك تعطي الائتمان المناسب للمؤلفين الأصليين والمصدر، وتوفر رابطًا لرخصة المشاع الإبداعي، وتوضح إذا قمت بتعديل المادة المرخصة. ليس لديك إذن بموجب هذه الرخصة لمشاركة المواد المعدلة المشتقة من هذه المقالة أو أجزاء منها. الصور أو المواد الأخرى من طرف ثالث في هذه المقالة مشمولة في رخصة المشاع الإبداعي الخاصة بالمقالة، ما لم يُشار إلى خلاف ذلك في سطر الائتمان للمادة. إذا لم تكن المادة مشمولة في رخصة المشاع الإبداعي الخاصة بالمقالة وكان استخدامك المقصود غير مسموح به بموجب اللوائح القانونية أو يتجاوز الاستخدام المسموح به، ستحتاج إلى الحصول على إذن مباشرة من صاحب حقوق الطبع والنشر. لعرض نسخة من هذه الرخصة، قم بزيارة http://creativecommo ns.org/licenses/by-nc-nd/4.0/.
© المؤلفون 2025
© المؤلفون 2025
كلية الأعمال للسيارات، جامعة هوباي لتكنولوجيا السيارات، شيان 442000، هوباي، الصين. قسم التسويق، شركة دونغفنغ للمركبات التجارية، المحدودة، شيان 442000، هوباي، الصين. بنغ تشينغ وشاولينغ وو ساهموا بالتساوي في هذا العمل ويجب اعتبارهم مؤلفين مشاركين. البريد الإلكتروني: 20030023@huat.edu.cn
Journal: Scientific Reports, Volume: 15, Issue: 1
DOI: https://doi.org/10.1038/s41598-025-86344-w
PMID: https://pubmed.ncbi.nlm.nih.gov/39814997
Publication Date: 2025-01-14
DOI: https://doi.org/10.1038/s41598-025-86344-w
PMID: https://pubmed.ncbi.nlm.nih.gov/39814997
Publication Date: 2025-01-14
OPEN
Exploring the impact of entrepreneurial orientation and market orientation on entrepreneurial performance in the context of environmental uncertainty
In the current complex economic environment, entrepreneurial enterprises, as a crucial force in China’s economic transformation, have vital survival and development strategies. This study is grounded in resource-based theory, integrating strategic management and contingency theories. It establishes a theoretical model based on the influence pathway of “entrepreneurial orientationmarket orientation-entrepreneurial performance”, incorporating environmental uncertainty as a moderating variable. The research focuses on entrepreneurial enterprises in the industrial, agricultural, and service sectors, specifically those established within the last 8 years. Through empirical analysis of 303 samples from Hubei Province, China, it is found that entrepreneurial orientation actively promotes market orientation and positively impacts entrepreneurial performance through market orientation. Environmental uncertainty plays a dual role in this process by enhancing the positive effects of entrepreneurial orientation on market orientation and entrepreneurial performance, while weakening the direct effect of market orientation on entrepreneurial performance. This suggests that in uncertain environments, entrepreneurial enterprises need to strengthen entrepreneurial orientation to adapt flexibly to market changes, while considering various strategic factors to enhance performance. This study provides theoretical support and practical guidance for entrepreneurial enterprises in turbulent markets in strategic decision-making.
Keywords Entrepreneurial orientation, Market orientation, Environmental uncertainty, Entrepreneurial performance
Entrepreneurial firms, as entities that develop and capitalize on opportunities, contribute significantly to technological innovation, job creation, and economic development through their unique innovation and flexibility. They have become vital drivers of economic growth and social stability in contemporary China, closely linked to major developmental goals such as advancing industrial upgrading, deepening supply-side structural reforms, and building an innovative nation. In the Context of China’s Economic Transformation Era, the High Uncertainty in Business Environment Raises Questions on How Strategic Orientation of Enterprises Influences Strategic Choices and Firm Performance, Garnering Attention from Scholars and Managers. Atuahene-Gima et al.
define strategic orientation as a combination of entrepreneurial orientation and market orientation. Kumar et al.
point out in their study that a singular focus on one strategic orientation often leads to challenges in maintaining long-term competitive advantages, highlighting the importance of leveraging multiple strategic orientations for sustained success. Consequently, an increasing number of studies are focusing on the combined impact of market orientation and entrepreneurial orientation on firm performance
. As research progresses, scholars are increasingly recognizing environmental uncertainty as a central driver of strategic innovation in enterprises, closely intertwined with organizational strategic factors. Strategic orientation forms
the foundation for enterprises to flexibly allocate internal resources based on external environmental changes, guiding companies to respond to market conditions in diverse ways, fostering varied entrepreneurial practices
. Only by precisely understanding the pulse of the environment can enterprises implement appropriate strategic adjustments and effectively drive entrepreneurial processes. It is noteworthy that the dual interaction between the choice of corporate strategy and environmental uncertainty is crucial for firm performance, with their alignment being a key determinant of performance quality
.
Resource-based theory posits that the primary reasons for performance disparities among firms lie in their possession of heterogeneous resources that are valuable, rare, difficult to imitate, and non-substitutable. Strategic management theory, on the other hand, emphasizes that strategic orientation, as a form of managerial resource, is a crucial factor in achieving superior performance. Scholars in this field have explored the necessity of strategic planning and classified corporate strategies, clarifying the impact of heterogeneous strategic choices on organizational performance
. Building on these two theoretical foundations, researchers in entrepreneurship studies introduced the concept of “entrepreneurial orientation”, defined as a strategic decision-making perspective characterized by innovation, proactivity, and risk-taking ability
. Some scholars argue that entrepreneurial orientation serves as a heterogeneous strategic resource, with new ventures that adopt an entrepreneurial orientation exhibiting superior performance compared to other startups
. Moreover, some studies have indicated that the relationship between entrepreneurial orientation and firm performance is not linear, but rather follows an inverted U-shaped curve, suggesting that optimal performance is achieved only at moderate levels of entrepreneurial orientation
. Based on these theories and related research, it becomes evident that an in-depth investigation of the dimensions of entrepreneurial orientation within new ventures and their subsequent effects is necessary to analyze performance issues
. This raises the question: how does entrepreneurial orientation indirectly affect entrepreneurial performance? According to organizational imprinting theory, a new venture’s initial strategy tends to remain consistent for several years post-establishment and continues to influence its development
. New ventures typically exhibit higher degrees of innovativeness, risk-taking, and proactivity, largely influenced by the entrepreneurs’ backgrounds and specific socio-political contexts. Consequently, these enterprises often adopt entrepreneurial orientation as their initial and core strategy. Research indicates that as new ventures evolve, they adapt their strategies to respond to environmental changes; however, findings show that the core initial strategy remains unchanged, with only the non-core strategies and related actions undergoing modifications
. Hence, the centrality of the initial entrepreneurial orientation strategy remains robust, thereby constraining and influencing the subsequent growth of these ventures
. From this perspective, in dynamic environments, entrepreneurial firms influence their alignment with the environment and, consequently, their growth by adjusting non-core strategies and related actions under the guidance of their core entrepreneurial orientation strategy
. However, empirical studies on the impact of entrepreneurial orientation on organizational performance have yielded mixed results. While many studies confirm a significant positive relationship between the two
, some research has found only a weak correlation
, and other studies have reported no significant effects
. As a result, some scholars have begun to incorporate mediating variables into their research to explain these inconsistencies, such as organizational learning orientation
, strategic technology choices
, market orientation
, and capability factors
.
Moreover, research indicates that other strategies may mediate the relationship between entrepreneurial orientation and entrepreneurial performance, with a particularly strong emphasis on market orientation
. However, studies examining the conditional applicability of market orientation’s impact on performance within entrepreneurial ventures remain scarce, and existing conclusions are inconsistent
. Concurrently, much of the current research focuses on the boundary conditions that determine the positive effects of entrepreneurial and market orientations on performance, primarily concentrating on internal variables such as resource integration capacity, technological capability, absorptive capacity, information and communication technology capability, and learning ability
. In contrast, there has been relatively less attention given to external variables; considering environmental uncertainty as an external variable is particularly relevant for understanding the moderating effects between strategic orientations and performance. In the operational context of entrepreneurial firms, mediating and moderating variables often coexist and interact, each serving distinct roles. However, existing research predominantly approaches the relationship between entrepreneurial orientation and organizational performance from a singular perspective-either as a mediation or as a moderation-resulting in an incomplete understanding of the underlying mechanisms in entrepreneurial practice
. This narrow focus can lead to confusion regarding the roles of mediation and moderation, potentially yielding erroneous conclusions
. Contingency theory posits that the strategies adopted by firms should align with their environment to enhance performance. Therefore, exploring the applicable conditions under which entrepreneurial firms adopt market orientation from the perspective of environmental uncertainty is particularly important. Nonetheless, studies examining the moderating role of environmental uncertainty among entrepreneurial orientation, market orientation, and performance remain insufficient. Thus, a thorough investigation into the existence and differentiated effects of multiple variables in the relationship between entrepreneurial orientation and firm performance presents a significant area of focus.
The literature reviewed indicates that the mechanisms through which entrepreneurial orientation, market orientation, and environmental uncertainty affect entrepreneurial performance are still not fully understood
, leaving several research gaps. Firstly, current literature often focuses separately on the impact of entrepreneurial orientation, market orientation, and environmental uncertainty on entrepreneurial performance, lacking a comprehensive consideration of the complex relationships among these factors
. There is still room for exploring the multiple-factor combination studies on how entrepreneurial orientation influences entrepreneurial performance. Secondly, there must be intermediate mechanisms between entrepreneurial orientation and performance; studying how entrepreneurial orientation influences entrepreneurial performance through what pathways is crucial, rather than solely considering the direct impact relationship between the two
.
Additionally, while some studies suggest that environmental uncertainty may moderate the relationship between entrepreneurial orientation and entrepreneurial performance, further validation is needed for the relationship between these two factors in different environments, requiring additional exploration of the pathways through which environmental uncertainty affects entrepreneurial performance under varying conditions. Lastly, current research on the relationship between entrepreneurial orientation, market orientation, environmental uncertainty, and entrepreneurial performance tends to concentrate within a single theoretical perspective, such as resource-based theory or resource management theory. However, the lack of integration of different theoretical frameworks to systematically construct a more complete and comprehensive theoretical model restricts a deeper understanding of this field.
Based on the aforementioned theoretical background, this study aims to explore the entrepreneurial performance of startups, examining the mechanisms by which entrepreneurial orientation influences firm performance. Specifically, it will focus on the indirect pathways through which entrepreneurial orientation affects performance, as well as the contextual conditions under which these pathways apply. In summary, the research questions this study seeks to address include: Firstly, how entrepreneurial orientation internally affects the entrepreneurial performance of new ventures. Entrepreneurship process theory suggests that entrepreneurial performance results from the combined matching of multiple internal and external factors. Therefore, different stages of development, industries, and environments lead to different strategic choices. New ventures often struggle with imprecise market demands. By investigating the mediating effect of market orientation in the impact process of entrepreneurial orientation on the entrepreneurial performance of new ventures, this study seeks to explore the internal operational mechanisms through which entrepreneurial orientation enhances entrepreneurial performance in new ventures. Secondly, how environmental uncertainty moderates the impact of entrepreneurial orientation on the entrepreneurial performance of new ventures. The contingency theory suggests that strategies adopted by businesses should align with the environment to improve performance. Environmental uncertainty reflects the unpredictable state of the environment for businesses. By introducing environmental uncertainty as a moderating variable in the internal operational mechanisms of the impact of entrepreneurial orientation on the entrepreneurial performance of new ventures, this study examines the influence of contingencies on their relationship. This exploration aims to guide businesses on how to leverage environmental changes to seek development effectively in practice.
To date, existing research has not reached a systematic theoretical framework regarding the relationship among market orientation, entrepreneurial orientation, environmental uncertainty, and entrepreneurial performance. Current studies examining the interplay between these two strategic orientations and environmental variables, particularly in relation to mixed performance outcomes, remain insufficient. The lack of a systematic theoretical framework poses a risk in this field: scholars may invest considerable effort from their individual perspectives yet arrive at a multitude of conflicting empirical conclusions, with no cohesive method to integrate these findings. Consequently, relevant suggestions and insights often leave practitioners bewildered in their innovation practices. To mitigate this risk, prior to further investigations into strategic orientation, variable uncertainty, and entrepreneurial performance, it becomes crucial and meaningful to construct a scientific and systematic theoretical analysis framework that elucidates the interactions among market orientation, entrepreneurial orientation, environmental uncertainty, and innovation performance, followed by empirical validation. To systematically articulate this complex mechanism, this study centers on resource-based theory, integrating strategic management theory, contingency theory, and organizational imprinting to develop a comprehensive theoretical model-specifically, a mediation model that includes moderating effects (see Fig. 1). Within this model, the effectiveness of implementing entrepreneurial orientation is identified as a key determinant of performance variance among startups. Firstly, grounded in resource-based theory, this research derives the contributions of entrepreneurial orientation implementation to firm performance, underscoring its significance in helping firms navigate high-uncertainty environments and avoid market obsolescence. By incorporating insights from strategic management theory and organizational imprinting, the study further explores the specific pathways through which entrepreneurial orientation is implemented within organizational operations, identifying which mediating pathways are most effective in translating entrepreneurial orientation into improved firm performance. Secondly, the foundational logic of the model adheres to organizational imprinting theory
, positing market orientation as a strategic complement to entrepreneurial orientation. It delves into the mediating mechanisms by which market orientation influences the relationship between entrepreneurial orientation and firm performance. Finally, in line with contingency theory, the model considers potential contingency effects, primarily analyzing external variables such as environmental uncertainty, to elucidate the applicable conditions for various implementation pathways, thereby offering appropriate guidance for entrepreneurial activities in practice. This model aims to comprehensively reveal how strategic orientation influences enterprise behavioral strategies, subsequently impacting entrepreneurial performance, and how environmental uncertainty, as a moderating variable, significantly influences and adjusts these relationships. Through this model, we aim to deepen the understanding of the dynamic interactions between strategic orientation, environmental uncertainty, and entrepreneurial performance.
Literature hypotheses
Entrepreneurial orientation and entrepreneurial performance
Building on resource-based theory, strategic management theory conceptualizes market orientation as a managerial heterogeneous resource that can lead to variations in entrepreneurial performance among new ventures. In the realm of entrepreneurship research, entrepreneurial orientation is widely regarded as a key driver for companies to keenly identify and actively pursue new opportunities, aiming to foster new products, markets, and innovative business models. Wiklund et al.
points out that for small enterprises, a high level of entrepreneurial orientation can prompt them to swiftly seize new opportunities, establish

Fig. 1. Study the model.
a first-mover advantage, and continually strengthen their market position over time. This is due to their ability to more precisely target high-quality niche markets compared to competitors, set more competitive pricing strategies, and effectively translate new opportunities into tangible returns
. Wales et al.
further emphasizes that entrepreneurial orientation motivates small businesses to actively integrate internal and external knowledge resources, explore unknown territories, adopt proactive strategies, take risks, and engage in innovative activities to maximize the value creation of existing products and services. The positive impact of entrepreneurial orientation is also reflected in the overall enhancement of managerial effectiveness within organizations, including optimizing resource allocation, enhancing organizational flexibility, improving internal communication efficiency, and stimulating innovation potential. These positive effects collectively contribute to enhancing the overall performance of new ventures
. Multiple empirical studies support this theoretical perspective, Taan et al.
conducted a study on small and medium enterprises in the manufacturing sector in Gorontalo Province, Indonesia, with results indicating that entrepreneurial orientation significantly promotes improved entrepreneurial performance. Similarly, the research conducted by Saleh et al.
in small businesses across the five major provinces of Lebanon also confirmed the direct positive influence of entrepreneurial orientation on new venture performance. Makhloufi
conducted an analysis of data from middle to upperlevel managers in small and medium-sized enterprises in Algeria, revealing that entrepreneurial orientation positively influences entrepreneurial performance. Additionally, Yi et al.s
in-depth analysis using structural equation modeling on technology-based micro and small enterprises in Changsha, Hunan, also supported a positive correlation between entrepreneurial orientation and firm performance. Liu et al.
, focusing on new ventures in various entrepreneurial spaces in Zhejiang Province, explored how entrepreneurial orientation and entrepreneurial opportunity development synergistically impact the performance of new ventures, with research findings indicating a direct positive promotion effect of entrepreneurial orientation on new venture performance. Based on the above, this study proposes the hypothesis:
H1 Entrepreneurial orientation is positively related to entrepreneurial performance.
Entrepreneurial orientation, market orientation, and entrepreneurial performance
Resource-based theory posits that a firm’s heterogeneous resources are the sources of its competitive advantage and superior performance. Strategic management theory views corporate strategy as a form of managerial heterogeneous resource, where entrepreneurial orientation-characterized by innovation, risk-taking, and a forward-looking approach-plays a crucial role in influencing variations in firm performance; the greater the level of implementation, the better the firm’s performance. Additionally, market orientation, as another strategic approach, encompasses customer orientation, competitor orientation, and internal coordination. It serves as a vital cultural resource that guides firms in creating customer value, effectively fulfilling customer needs and driving sustained superior performance.
Market orientation focuses on the core of customers, emphasizing the adjustment of product and service strategies based on in-depth insights into market needs and competitive dynamics to precisely meet market value demands. It not only provides abundant resources for organizational learning, but also accelerates the integration of internal and external knowledge and information within the firm. This process fosters the development of
new knowledge, technologies, and products, thereby driving the continuous growth of the firm’s performance . Meanwhile, Entrepreneurial orientation, as a key driving force that inspires entrepreneurial spirit and practice in enterprises
, prompts entrepreneurial organizations to innovate boldly, adopt preemptive strategies at the forefront of competition, face risks and uncertainties courageously, thereby enhancing the likelihood of entrepreneurial success
. Although new ventures are often constrained by the “liability of newness”, struggling to swiftly integrate market information and align precisely with customer needs
, some enterprises, through market-oriented strategies, closely monitor market dynamics, centering on customer needs, successfully establish a solid customer base, and demonstrate significant competitiveness. Empirical studies have shown a positive interactive relationship between entrepreneurial orientation and market orientation. Hossein’s research reveals the bridging role of market orientation between internal marketing and entrepreneurial orientation in private sports clubs
; Mudjijah et al.’s
analysis based on Indonesian entrepreneurs’ data directly confirms the positive impact of entrepreneurial orientation on market orientation; Research by Karimi et al.
, Solano Acosta et al.
, and Wijayanti et al.
also indicates that entrepreneurial orientation not only enhances company performance but also strengthens market-oriented behaviors. Based on the above, this study proposes the hypothesis:
new knowledge, technologies, and products, thereby driving the continuous growth of the firm’s performance
H2 Entrepreneurial orientation is positively related to market orientation.
The profound impact of market orientation on entrepreneurial performance has long been a focal point in academia. Research indicates that efficient implementation of market-oriented strategies by enterprises significantly promotes the development of competitive advantages and long-term success . Narver et al.
assert that market orientation is rooted in the philosophy of “market pull”, enabling companies to keenly capture new market opportunities and swiftly respond to customer demands. This approach fosters continuous innovation of products and services, enhancing customer recognition and acceptance of new offerings
. Empirical research widely confirms the positive correlation between market orientation and organizational performance. Studies by Yao et al.
and other scholars reveal the significant positive impact of responsive and proactive market orientation on organizational performance; Xue et al.
, through case analysis, indicates that proactive market orientation plays a more prominent role than reactive market orientation in performance improvement and long-term development; The studies conducted by Ma et al.
and Fang et al.
further substantiate the positive impact of entrepreneurial orientation and market orientation on firm performance. Based on the above, this study proposes the hypothesis:
The profound impact of market orientation on entrepreneurial performance has long been a focal point in academia. Research indicates that efficient implementation of market-oriented strategies by enterprises significantly promotes the development of competitive advantages and long-term success
H3 Market orientation is positively related to entrepreneurial performance.
Market orientation and entrepreneurial orientation play complementary roles in enterprise management. Market orientation focuses on the customer, continuously striving to meet both current and potential needs. In contrast, entrepreneurial orientation represents a forward-thinking mindset, characterized by a willingness to explore and innovate in response to customer demands. Resource-based theory provides a theoretical foundation for the integration of these two orientations, highlighting the alignment between market orientation’s customer-centric philosophy and the innovation characteristics of entrepreneurial orientation Market orientation, by continuously monitoring market trends and competitive landscapes, provides valuable information for entrepreneurial decision-making, helping entrepreneurs seize opportunities. Simultaneously, market orientation strengthens customer loyalty and fosters an innovative atmosphere, injecting long-term stable growth momentum into entrepreneurial performance. Research indicates that market orientation is regarded as a market-driven behavior, while entrepreneurial orientation serves as a driving force for the market . When firms integrate entrepreneurial orientation with appropriate organizational design and structure, they are better positioned to comprehensively achieve market orientation objectives
. Additionally, companies with higher levels of market orientation tend to exhibit superior performance, as they are more adept at securing market success by effectively meeting customer values
. Existing research highlights the significant role of market orientation as a mediating variable. Based on empirical data, Yao et al.
and others found that market orientation plays a significant mediating effect between entrepreneurial orientation and performance. Studies by scholars like Xia et al.
and Liu et al.
have also confirmed the mediating role of market orientation in the relationship between entrepreneurial orientation and innovative performance in different contexts (such as the new normal background, green entrepreneurial orientation, etc.). Furthermore, research by Lumpkin et al.
, Barrett et al.
, and other scholars equally support the mediating role of market orientation in the relationship between entrepreneurial orientation and performance. Based on the above, this study proposes the hypothesis:
Market orientation and entrepreneurial orientation play complementary roles in enterprise management. Market orientation focuses on the customer, continuously striving to meet both current and potential needs. In contrast, entrepreneurial orientation represents a forward-thinking mindset, characterized by a willingness to explore and innovate in response to customer demands. Resource-based theory provides a theoretical foundation for the integration of these two orientations, highlighting the alignment between market orientation’s customer-centric philosophy and the innovation characteristics of entrepreneurial orientation Market orientation, by continuously monitoring market trends and competitive landscapes, provides valuable information for entrepreneurial decision-making, helping entrepreneurs seize opportunities. Simultaneously, market orientation strengthens customer loyalty and fosters an innovative atmosphere, injecting long-term stable growth momentum into entrepreneurial performance. Research indicates that market orientation is regarded as a market-driven behavior, while entrepreneurial orientation serves as a driving force for the market
H4 Market orientation positively mediates the relationship between entrepreneurial orientation and entrepreneurial performance.
Entrepreneurial orientation, market orientation, environmental uncertainty and entrepreneurial performance
Based on contingency theory, environmental uncertainty is considered a critical factor impacting corporate strategic choices and performance. In examining the relationships among entrepreneurial orientation, market orientation, and entrepreneurial performance, environmental uncertainty plays a significant moderating and influencing role. In highly uncertain environments, entrepreneurial orientation enables firms to innovate proactively and seek new opportunities, thereby enhancing adaptability. Meanwhile, market orientation allows companies to keenly understand customer needs and competitive dynamics, optimizing resource allocation. In this context, a flexible approach to both entrepreneurial and market orientation can effectively enhance
corporate performance. Therefore, businesses should adjust their strategies in response to environmental changes to achieve optimal entrepreneurial performance.
corporate performance. Therefore, businesses should adjust their strategies in response to environmental changes to achieve optimal entrepreneurial performance.
With the deepening of economic globalization and the increasing market competition, the external environment in which enterprises operate is undergoing unprecedented dynamic changes, with industries facing high levels of environmental uncertainty. In this context, Freel points out that in order to solidify their market positions, enterprises often tend to adopt proactive competitive strategies, with entrepreneurial orientation being one of the most commonly used effective means
. Wiersema et al.
further elaborate that the intensification of environmental uncertainty increases the difficulty of identifying potential market needs, compelling enterprises, especially those with entrepreneurial orientation, to adopt more flexible and exploratory strategies, such as launching new products, technological innovations, or establishing strategic alliances, to rapidly adapt to market changes and turn challenges into opportunities. Therefore, for startups, strengthening their entrepreneurial orientation capabilities becomes key to coping with environmental uncertainty. These enterprises should actively leverage market-oriented principles, keenly identify and effectively utilize emerging business opportunities, and continuously enhance their competitiveness. Tan et al.’s
empirical research on private enterprises indicates that in situations of scarce resources and intense external competition, the importance of entrepreneurial orientation is particularly pronounced. Enterprises with high entrepreneurial orientation can proactively gather and use information, strengthen the practice of market orientation through innovation, foresight, and risk-taking, thereby driving business growth and enhancing profitability
. Furthermore, Zhu et al.’s
study also found that the entrepreneurial environment plays a positive moderating role in the relationship between entrepreneurial orientation and organizational performance. A heightened awareness of environmental uncertainty by enterprises can stimulate their entrepreneurial orientation to keenly capture market opportunities
. Based on the above, this study proposes the hypothesis:
H5 Environmental uncertainty positively moderates the relationship between entrepreneurial orientation and market orientation.
In the current academic consensus, amidst the escalating environmental uncertainty, the proactive initiatives of entrepreneurial enterprises have become particularly crucial
. Confronted with the myriad challenges posed by the environment, adopting an entrepreneurial orientation in strategic decision-making is seen as the optimal path for enterprises to mitigate risks and maintain competitiveness. Consequently, startup enterprises that can actively adjust their mindsets to embrace challenges are more likely to achieve a significant improvement in performance
. The development activities of enterprises are profoundly influenced by external environmental factors. Hamel points out that environmental uncertainty is accelerating the shortening of product lifecycles, rendering future returns from existing businesses fraught with unknowns. Therefore, enterprises must continuously explore new opportunities, gain competitive advantages through innovation, rapid responsiveness, and the risktaking entrepreneurial orientation activities
. Environmental uncertainty serves not only as a key driver for the flourishing of entrepreneurial activities but also as a significant source of complexity in entrepreneurial endeavors. As articulated by Thompson et al.
, an uncertain environment profoundly impacts organizational equilibrium and performance, serving as an indispensable variable to understand these phenomena. Multiple studies further confirm the moderating role of environmental uncertainty between entrepreneurial orientation and entrepreneurial performance. For instance, in the banking sector, and colleagues examined the influence of national governance environments on corporate governance responsibilities and sustainability goals, with specific attention to the potential impact of domestic political risk and global economic policy uncertainty on bank profitability. Additionally, scholars directly consider environmental uncertainty as a moderating variable, studying its role in the relationship between entrepreneurial orientation and firm performance. Covin et al.’s
research indicates that in competitive markets, firms adopting entrepreneurial orientations often excel and achieve outstanding performance. Yoo et al.’s
study on South Korean technology firms also highlights the necessity for firms to fully consider the dynamism and richness of the environment when formulating strategies to maximize the positive effects of entrepreneurial orientation on firm development. Utomo et al.
analysis of small and medium enterprises similarly confirms the significant strengthening effect of environmental uncertainty on the relationship between entrepreneurial orientation and firm development. Based on the above, this study proposes the hypothesis:
H6 Environmental uncertainty positively moderates the relationship between entrepreneurial orientation and entrepreneurial performance.
When companies face environmental changes triggered by fluctuations in market information and shifts in customer demands, they must swiftly adjust their strategic deployment and resource allocation strategies to effectively counter the challenges brought about by environmental uncertainty, ensuring the stability and continuity of their competitive advantage. In this process, environmental uncertainty actually accelerates the market acumen and response speed of market-oriented enterprises, prompting them to precisely grasp market dynamics, customer demands, and competitive situations, thereby flexibly reallocating resources to maximize customer value
. Specifically, companies with strong market orientation demonstrate a high sensitivity to customer needs and establish efficient response mechanisms internally to ensure the immediate capture of market information, its rapid dissemination, and its effective translation into actionable strategies
. Furthermore, market orientation drives companies to be customer-centric, continuously optimize products and services to meet and exceed customer expectations, thereby enhancing customer satisfaction and loyalty, building long-term stable customer relationships, and laying a solid foundation for the company’s sustainable development
. According to social embeddedness theory, the market environment holds immeasurable value
for startups. Only by deeply understanding and actively adapting to environmental changes can companies develop precise and effective market strategies, smoothly advance the entrepreneurial process, and ultimately enhance entrepreneurial performance . Within this theoretical framework, environmental conditions are considered critical moderating variables between market orientation and firm performance, whose influence cannot be overlooked. Empirical research also supports the above views. Li et al.
, using sample data from equipment manufacturing enterprises in Jiangsu, Zhejiang, and Shanghai regions, verified the positive effect of market orientation on firm performance and revealed the moderating role of environmental uncertainty in this relationship. Zhang et al.
, based on research data from enterprises in the Yangtze River Delta region, further pointed out that in environments with high technological uncertainty, the promoting effect of market orientation on organizational performance is more significant. Additionally, research by Fu et al.
also emphasizes the crucial moderating role of environmental uncertainty in the process of translating dynamic capabilities and absorptive capacity of enterprises into performance. Therefore, against the backdrop of increasing environmental uncertainty, companies, for survival and growth, often increase investments in marketing and research and development, closely monitor market demands and technological trends
. Based on the above, this study proposes the hypothesis:
for startups. Only by deeply understanding and actively adapting to environmental changes can companies develop precise and effective market strategies, smoothly advance the entrepreneurial process, and ultimately enhance entrepreneurial performance
H7 Environmental uncertainty positively moderates the relationship between market orientation and entrepreneurial performance.
Market orientation and entrepreneurial orientation, as two complementary strategic orientations, each exhibit different emphases in constructing organizational advantages. Environmental variables, as moderators, profoundly influence the contributions of these two strategic orientations to organizational performance. In turbulent market environments, companies face an urgent need to implement strategies that combine entrepreneurial and market orientations to adapt to rapidly changing market conditions. Faced with intense competition and threats to their competitive advantages due to market turbulence, companies must have a high degree of flexibility and adaptability, actively absorb new knowledge, information, and resources, swiftly adjust or even reshape their organizational resources and capabilities, to address challenges and seize unique competitive advantages in dynamic environments
. Environmental uncertainty not only broadens a company’s strategic horizons but also stimulates extensive experimentation and deep exploration in entrepreneurial and market orientations, prompting flexible adjustments in strategies and organizational structures, breaking inherent inertia, fostering innovative thinking, and ultimately driving a significant improvement in performance
. Prior research extensively confirms that environmental uncertainty, as a critical contextual factor, significantly moderates strategic choices of companies
. Wang et al.
further point out that in high uncertainty environments, the effectiveness and efficiency of strategic choices improve, aiding companies in better coping with uncertainty and accelerating their growth pace. Specifically, as environmental uncertainty intensifies, the rapid changes in market demand and structure provide abundant opportunities for innovation for companies. In such environments, companies with entrepreneurial orientation are more likely to leverage market orientation to swiftly transform new ideas, products, or technologies into competitive advantages in the market, achieving high performance objectives
. Entrepreneurial orientation plays a bridging role in this process, encouraging companies to actively adopt market-oriented strategies in uncertainty, swiftly seize market opportunities, enhance performance, and ultimately realize entrepreneurial visions
. In conclusion, this study proposes the hypothesis:
H8 Environmental Uncertainty positively moderates the mediating role of entrepreneurial orientation acting on entrepreneurial performance through market orientation.
Research methodology
Sample collection
This study focuses on entrepreneurial firms established for no more than 8 years, with a sample drawn from entrepreneurial teams in Hubei, China, across various industries, including automotive, catering, education, and services. Given the multifaceted nature of the research, the survey participants were selected from founders who possess insights into the entrepreneurial enterprises, using a combination of questionnaire-based surveys and face-to-face interviews. To ensure the scientific rigor of the research findings, a stratified random sampling approach was employed. This method guarantees that every unit in the population has a non-zero probability of being selected, thereby upholding the principle of randomness and eliminating subjective bias. The total sample was derived from a list of entrepreneurial alumni provided by alumni associations from 25 universities in Hubei Province. The sampling process involved strict controls in two areas: the selection of universities for distributing the questionnaires and the selection of interviewees. The universities were initially stratified into 25 distinct layers, with each school’s entrepreneurial firms being assigned a code. A random number generator was then used to select a starting point, and firms were chosen at regular intervals. This procedure allowed us to select four entrepreneurial firms from each university, resulting in a total sample of 100 firms targeted for the questionnaire distribution. To enhance the reliability of the measurements and the efficiency of the survey, we focused on entrepreneurial teams comprising five or more members. Following this procedure, we excluded 28 entrepreneurial firms, resulting in 72 remaining sampled firms. Each firm’s founder was then coded, with five individuals randomly selected from each firm as survey participants, thereby maximizing the credibility of the conclusions. Prior to the questionnaire survey, we conducted semi-structured interviews with the founders to ensure their ability to accomplish the survey tasks. After providing focused training, they participated in the survey. Furthermore, post-survey, we conducted open-ended interviews with the founders to verify the authenticity of the questionnaire results.
The survey was conducted from September 2022 to February 2023, during which we distributed a total of 360 questionnaires to 72 entrepreneurial firms. Of these, 321 respondents provided usable responses. To further ensure the reliability of the data, we excluded any firm that had fewer than two valid questionnaires. This procedure reduced the sample size to 66 entrepreneurial firms, yielding a total of 303 responses for final analysis. Among these, there were 137 enterprises under 3 years old, 101 enterprises aged between 3 and 5 years, and 65 enterprises aged between 5 and 8 years. Additionally, there were 123 enterprises with fewer than 50 employees, 74 enterprises with 50-100 employees, 47 enterprises with 100-200 employees, and 59 enterprises with over 200 employees. In terms of revenue, there were 122 enterprises with revenue below 10 million RMB, 117 enterprises with revenue between 10 and 20 million RMB, and 64 enterprises with revenue exceeding 20 million RMB. Furthermore, 83 enterprises were in the agricultural sector, 87 in the industrial sector, and 133 in the service sector.
Variable measurement
Unless otherwise specified, all variable measurements were conducted using a 5-point Likert scale ranging from 1 (strongly disagree) to 5 (strongly agree). To ensure the equivalence of meaning, we followed the procedure outlined by Brislin to translate all measurement items of the variables into Chinese, excluding those originally in Chinese
.
Dependent variable
Entrepreneurial performance Entrepreneurial performance is a comprehensive metric that assesses the outcomes and efficiency of entrepreneurial activities, reflecting the situation of new enterprise creation, growth, and competitive advantage acquisition. The measurement of entrepreneurial performance drew on scales developed by Chandler et al.
, modified specific items in conjunction with studies by Jiang et al.
, forming an 8-item scale tailored to the needs of this study. The measurement covers aspects such as “the enterprise maintains a high profit margin”, “the enterprise’s return on equity (ROE) is leading in the industry”, “the enterprise’s workforce has grown rapidly”, “the enterprise has developed new products or services at a fast pace”, “the enterprise’s sales have increased significantly”, “the enterprise’s market share of products has grown rapidly”, “the enterprise’s net income has grown substantially”, and “founding this enterprise has been a satisfying experience for me”.
Independent variables
Entrepreneurial orientation Entrepreneurial orientation refers to a strategic tendency of enterprises actively pursuing innovation, taking risks, and proactively seeking growth opportunities to drive business development. The measurement of entrepreneurial orientation utilized a 9-item scale developed by Covin et al.
. The items include: “The enterprise places a high priority on research and development activities”, “Pursues technological or service leadership and innovation”, “Implements significant changes in its product or service lines to gain competitive advantage”, “Has a recent major goal of introducing new products or services”, “Typically initiates activities that competitors later follow”, “Leads competitors in introducing new products and ideas”, “Is often the first to adopt new production methods or management styles, pioneering new products or services”, “Takes bold and swift actions to achieve corporate goals”, “Displays a strong preference for high-risk, high-reward projects”, and “When confronted with an uncertain environment, takes bold actions to maximize opportunities”.
Market orientation Market orientation is a business philosophy centered around customer needs, adjusting operational strategies flexibly by deeply understanding market trends and customer preferences to meet market demands. The measurement of market orientation employed an 8-item scale developed by Narver et al.
. The items encompass: “The primary objective of our production is to satisfy customers”, “Our competitive strategies are formulated based on customer needs”, “We frequently assess customer satisfaction”, “We pay closer attention to customers than our competitors”, “We continuously strive to uncover needs that customers may not be aware of themselves”, “We seek business opportunities in areas where customers struggle to articulate their needs”, “We are relentless in understanding how customers consume our products”, and “We anticipate mainstream trends to identify future customer needs”.
Environmental uncertainty Environmental uncertainty refers to the complexity and variability of external environments that are difficult to predict and grasp. The measurement of environmental uncertainty utilized a 7-item scale developed by Jansen et al.
. The items encompass: “The degree of change in the external environment faced by the enterprise is very dramatic”, “Customers frequently present new demands for the enterprise’s products (services)”, “The external environment is constantly evolving”, “The number and variety of products (services) in the market where the enterprise operates are continually changing”, “The market in which the enterprise operates is highly competitive”, “Comparatively, the competitors faced by the enterprise are all very powerful”, and “The enterprise operates in a highly competitive market”.
Control variables
This study employed control variables to ensure result accuracy. Generally, entrepreneurial performance is influenced by fundamental characteristics of enterprises. Therefore, this study considered enterprise age, company size, sales volume, and industry as control variables to eliminate their potential influences on the research outcomes. This approach enables a more precise evaluation of the impact of other key factors on entrepreneurial performance
| Latent variable | Number of items | M | SD | Factor loadings | CR | AVE | Discriminant validity | |||
| 1 | 2 | 3 | 4 | |||||||
| Entrepreneurial orientation (1) | 9 | 3.53 | 0.803 | 0.850-0.905 | 0.969 | 0.774 | 0.880 | |||
| Market orientation (2) | 8 | 3.30 | 0.804 | 0.857-0.918 | 0.967 | 0.787 | 0.855** | 0.887 | ||
| Environmental uncertainties (3) | 7 | 3.63 | 0.906 | 0.863-0.923 | 0.969 | 0.816 | 0.712** | 0.823** | 0.903 | |
| Entrepreneurial performance (4) | 8 | 3.52 | 1.007 | 0.936-0.957 | 0.986 | 0.897 | 0.714** | 0.735** | 0.770** | 0.947 |
Table 1. Reliability and validity test results.
, All two-sided; bolded values are the square root of the AVE value of the latent variable; data below the diagonal are Pearson correlation coefficient values.
| Model |
|
df |
|
SRMR | RMSEA | CFI | TLI |
| Four-factor model | 775.73 | 458 | 1.694 | 0.026 | 0.048 | 0.977 | 0.975 |
| Three-factor model
|
1329.092 | 461 | 2.883 | 0.040 | 0.079 | 0.937 | 0.933 |
| Two-factor model
|
2640.899 | 463 | 5.704 | 0.083 | 0.125 | 0.843 | 0.831 |
| One-way model
|
4442.299 | 464 | 9.574 | 0.082 | 0.168 | 0.713 | 0.693 |
Table 2. Results of confirmatory factor analysis.
Indicates that entrepreneurial orientation is combined with market orientation.
Indicates that entrepreneurial orientation is combined with market orientation and environmental uncertainty is combined with entrepreneurial performance.
Indicates that all variables are combined into one factor.
Results
Reliability and validity testing
The reliability of all variables was tested through confirmatory factor analysis, a systematic approach that ensures the validity and stability of measurement variables by verifying constructs, evaluating factor loadings, examining convergent validity, and providing model fit indices. Table 1 presents the results of the confirmatory factor analysis. The factor loadings for each item range between 0.850 and 0.957 , with composite reliabilities (CR) exceeding 0.9 , indicating high reliability of the measurement scale in this study. The average variance extracted (AVE) is above 0.6 for all variables, demonstrating high convergent validity. The square root of the AVE for each variable is greater than its Pearson correlation coefficients with other latent variables, indicating good discriminant validity of the measurement scale in this study. These results suggest that the construct validity and reliability of latent variables in the measurement model of this study meet the evaluation standards proposed by Fornell and Larcker, making the sample data suitable as the empirical research foundation for this study. Additionally, Table 2 also provides the means (M) and standard deviations (SD) of the variables. The standard deviations for entrepreneurial orientation, market orientation, environmental uncertainty, and entrepreneurial performance are relatively small, with mean values of
, and 3.520 respectively, indicating that respondents overall perceive the measurement items for each variable as “consistent”.
This study employed Amos 24.0 to conduct a confirmatory factor analysis to test the discriminant validity of the variables, with the results presented in Table 2. It is evident from the analysis that the four-factor model exhibits the best fit indices
, significantly outperforming other models, indicating a high level of discriminant validity among the variables. Furthermore, the fit indices for the one-factor model are notably poor
,
, RMSEA
,
), suggesting a lack of serious common method bias issues.
Direct effects testing
This study employs a multiple linear regression analysis approach to rigorously examine the direct, indirect, and mediation effects. Specifically, it utilizes the Process program developed by Hayes
, which is based on the principles of ordinary least squares regression, to estimate and interpret these effects. For detailed instructions on the utilization of the Process program, readers are advised to refer to the website accessible via the URL: htt ps://www.processmacro.org/index.html. For the examination of direct and mediating effects, the study utilized Model 4 of the mediation analysis in the SPSS 26.0 software with the Process tool, running 5000 bootstrap samples to investigate direct and mediating effects after controlling for firm age, company size, sales volume, and industry. The direct and mediating effects testing results are presented in Tables 4 and 5, respectively. In the subsequent analysis, the variables Entrepreneurial Orientation (EO), Market Orientation (MO), Environmental Uncertainty (EU), and Entrepreneurial Performance (EP) were denoted. Additionally, the control variables Firm Age (EA), Company Size (ES), Sales Volume (SS), and Industry (IN) were represented. Analyzing the direct effects using Table 3, the results of Model 1 indicate a significant positive influence of Entrepreneurial Orientation on Entrepreneurial Performance (
; CI [
]), validating hypothesis H1. This finding aligns with previous research by Rauch et al.
, suggesting a significant relationship between entrepreneurial orientation and organizational performance. A higher entrepreneurial orientation plays a crucial role in enhancing entrepreneurial performance by motivating firms to actively seek market opportunities, innovate new products and services, and achieve higher customer satisfaction. Furthermore, Model 2 demonstrates that Entrepreneurial
| Variables | Model 1 (EP as DV) | Model2 (MO as DV) | Model3 (EP as DV) | |||||||||
|
|
SE | LLCI | ULCI |
|
SE | LLCI | ULCI |
|
SE | LLCI | ULCI | |
| Constant | 0.077 | 0.265 | -0.445 | 0.598 | 0.480 | 0.156 | 0.172 | 0.788 | -0.209 | 0.253 | -0.706 | 0.288 |
| EA | 0.088 | 0.052 | -0.015 | 0.190 | -0.009 | 0.031 | -0.069 | 0.052 | 0.093 | 0.049 | -0.003 | 0.189 |
| ES | 0.031 | 0.036 | -0.039 | 0.102 | -0.027 | 0.021 | -0.068 | 0.015 | 0.047 | 0.034 | -0.019 | 0.114 |
| SS | -0.012 | 0.054 | -0.118 | 0.093 | -0.070 | 0.032 | -0.132 | -0.008 | 0.030 | 0.051 | -0.070 | 0.129 |
| IN | 0.051 | 0.050 | -0.046 | 0.149 | -0.006 | 0.029 | -0.063 | 0.052 | 0.055 | 0.047 | -0.037 | 0.147 |
| EO | 0.889 | 0.051 | 0.789 | 0.989 | 0.860 | 0.030 | 0.801 | 0.919 | 0.377 | 0.093 | 0.195 | 0.559 |
| MO | 0.595 | 0.092 | 0.414 | 0.777 | ||||||||
| F | 63.684 | 166.137 | 67.280 | |||||||||
| R
|
0.517 | 0.737 | 0.577 | |||||||||
Table 3. Direct effects testing.
| Mediation relationship | Path effect |
|
Boot SE(SE) | LLCI (Boot LLCI) | ULCI (Boot ULCI) |
|
|
Total effect | 0.889 | 0.051 | 0.789 | 0.989 |
| Direct effect | 0.377 | 0.093 | 0.195 | 0.559 | |
| Indirect effect | 0.512 | 0.079 | 0.362 | 0.667 |
Table 4. Bootstrap analysis of mediation effects.
Orientation has a significant positive impact on Market Orientation (
; CI [0.801, 0.919]), supporting hypothesis H 2 . This implies that a higher entrepreneurial orientation facilitates new ventures in focusing on both explicit and latent customer needs, utilizing unique market insights, strengthening market orientation, and establishing competitive advantages that competitors cannot easily replicate. Lastly, Model 3 reveals that Market Orientation has a significant positive impact on Entrepreneurial Performance (
; CI [0.414, 0.777]), confirming hypothesis H3. A higher market orientation plays a critical role in enhancing entrepreneurial performance by helping firms win customers, outperform competitors, foster internal cooperation, and secure a competitive position in intense markets.
Mediation effects testing
According to the results of Model 1 and Model 3, it is evident that even after the inclusion of Market Orientation, Entrepreneurial Orientation still exerts a positive impact on Entrepreneurial Performance (
; CI [0.195, 0.559]). However, the regression coefficient decreases from 0.889 to 0.377 , indicating a significant weakening of the effect. Combining the test results of hypotheses H1, H2, and H3, it can be concluded that Market Orientation plays a significant mediating role between Entrepreneurial Orientation and Entrepreneurial Performance, supporting hypothesis H 4 . This suggests that entrepreneurial-oriented firms actively gather customer demand information to adapt to market trends, collect competitor attack information to respond and counterattack promptly
, and fully harness their creativity to develop new products and services, meeting customer needs
, combating market competition, and fostering internal coordination efficiency, thereby enhancing performance through their efforts
. Further analysis of the mediating effects through Table 4 reveals that Entrepreneurial Orientation has a significant total effect on Entrepreneurial Intent ( 0.889 , CI [0.789, 0.989]), with a significant direct effect ( 0.377 , CI
) and a significant indirect effect ( 0.512 , CI [
]). The indirect effect accounts for
of the total effect, while the direct effect represents
.
Moderation effects testing
In conducting the moderation effects test, the Process program developed by Andrew F. Hayes was utilized. The Process 3 program within SPSS 26.0 software was employed to analyze the moderating effect after incorporating Market Orientation through 5000 bootstrap samples. After controlling for firm age, company size, sales volume, and industry, the moderation effects testing results are presented in Tables 5 and 6, with moderated mediating effects shown in Table 7. From the results in Model 4 as shown in Table 5, it is evident that the interaction term between Entrepreneurial Orientation and environmental uncertainty has a significant positive impact on Market Orientation
; CI
. This positive moderation by environmental uncertainty enhances the influence of Entrepreneurial Orientation on Market Orientation, validating hypothesis H5. This suggests that under higher environmental uncertainty, Entrepreneurial Orientation enables firms to foresee future customer demands with foresight, gather competitor intelligence effectively, and promptly develop creatively new products that deliver superior customer value, enabling them to compete more effectively in existing and emerging markets. Based on the results from Model 5, the interaction term between Entrepreneurial Orientation and environmental uncertainty has a significant positive impact on Entrepreneurial Performance (
; CI [0.032, 0.439]). This positive moderation by environmental uncertainty enhances the impact of Entrepreneurial Orientation on Entrepreneurial Performance, confirming hypothesis H6. However, the interaction term between Market Orientation and environmental uncertainty has a significant negative impact on Entrepreneurial
| Variables | Model 4 (MO as DV) | Model 5 (EP as DV) | ||||||
|
|
SE | LLCI | ULCI |
|
SE | LLCI | ULCI | |
| Constant | 0.250 | 0.097 | 0.059 | 0.441 | 3.354 | 0.179 | 3.002 | 3.707 |
| EA | -0.015 | 0.024 | -0.062 | 0.032 | 0.079 | 0.044 | -0.007 | 0.166 |
| ES | -0.025 | 0.017 | -0.057 | 0.008 | 0.036 | 0.030 | -0.024 | 0.095 |
| SS | -0.070 | 0.025 | -0.118 | -0.021 | -0.019 | 0.046 | -0.109 | 0.071 |
| IN | -0.044 | 0.023 | -0.089 | 0.002 | 0.019 | 0.043 | -0.066 | 0.103 |
| EO | 0.553 | 0.033 | 0.487 | 0.619 | 0.311 | 0.087 | 0.140 | 0.481 |
| MO | 0.200 | 0.113 | -0.021 | 0.422 | ||||
| EU | 0.419 | 0.030 | 0.359 | 0.479 | 0.509 | 0.072 | 0.366 | 0.651 |
|
|
0.096 | 0.024 | 0.048 | 0.143 | 0.236 | 0.103 | 0.032 | 0.439 |
|
|
-0.299 | 0.108 | -0.510 | -0.087 | ||||
| F | 221.838 | 64.098 | ||||||
|
|
0.840 | 0.663 | ||||||
Table 5. Moderation effects testing.
| Moderation relationship | Index |
|
SE | LLCI | ULCI |
|
|
Effect1 (EU = M – 1SD) | 0.466 | 0.039 | 0.390 | 0.543 |
| Effect2 (
|
0.553 | 0.033 | 0.487 | 0.619 | |
| Effect3 (EU
|
0.640 | 0.041 | 0.559 | 0.721 | |
|
|
Effect1 (
|
0.097 | 0.134 | -0.168 | 0.361 |
| Effect2 (
|
0.311 | 0.087 | 0.140 | 0.481 | |
| Effect3 (EU = M + 1SD) | 0.524 | 0.121 | 0.287 | 0.762 | |
|
|
Effect 1 (
|
0.471 | 0.172 | 0.133 | 0.809 |
| Effect2 (
|
0.200 | 0.113 | -0.021 | 0.422 | |
| Effect3 (EU = M + 1SD) | -0.070 | 0.122 | -0.311 | 0.170 |
Table 6. Moderation effects analysis.
| Outcome | Index |
|
Boot SE | Boot LLCI | Boot ULCI |
| Conditional indirect effects | Effect1 (EU = M – 1SD) | 0.220 | 0.090 | 0.045 | 0.402 |
| Effect2 (
|
0.111 | 0.064 | -0.011 | 0.243 | |
| Effect3 (EU = M + 1SD) | -0.045 | 0.066 | -0.175 | 0.084 | |
| Pairwise contrasts between conditional indirect effects | Effect2-Effect1 | -0.109 | 0.042 | -0.192 | -0.025 |
| Effect3-Effect1 | -0.265 | 0.105 | -0.474 | -0.061 | |
| Effect3-Effect2 | -0.156 | 0.063 | -0.284 | -0.037 |
Table 7. Bootstrap test of moderated mediation effects.
Performance (
; CI
), contradicting hypothesis H7. Additionally, through Model 5, it is observed that after incorporating environmental uncertainty, the impact of Market Orientation on Entrepreneurial Performance becomes insignificant
; CI
. This suggests that under higher environmental uncertainty, Entrepreneurial Orientation facilitates firms in identifying the necessary resources and capabilities for future growth effectively, leveraging internal coordination and cooperation advantages to enhance profitability and growth
. Nevertheless, in times of extreme environmental uncertainty when markets are highly volatile, predicting market trends becomes challenging, leading firms to avoid risky, aggressive behaviors. Market Orientation encourages firms to monitor future market trends vigilantly, awaiting market stability, thereby restraining the growth of firm performance.
This study conducted a simple slope analysis for moderation effects using the mean (M) of environmental uncertainty and one standard (SD) deviation above and below it as benchmarks. The results are presented in Table 6. When EU
, the interaction between environmental uncertainty and Entrepreneurial Orientation significantly positively influences Market Orientation
Effect
, CI [
]); when
, this interaction has a significant positive effect on Market Orientation (Effect
, CI [0.487,
); when
, the interaction has a significant positive impact on Market Orientation (Effect
). It can also be inferred that as environmental uncertainty increases, the impact of Entrepreneurial Orientation on Market Orientation decreases. When EU
, the interaction between
environmental uncertainty and Entrepreneurial Orientation does not significantly affect Entrepreneurial Performance Effect
, CI
; when
, this interaction has a significant positive effect on Entrepreneurial Performance
Effect
, CI
; when
, the interaction has a significant positive impact on Entrepreneurial Performance (Effect
, CI [0.287, 0.762]). Similarly, with increasing environmental uncertainty, the influence of Entrepreneurial Orientation on Entrepreneurial Performance increases. When EU
, the interaction between environmental uncertainty and Market Orientation significantly positively affects Entrepreneurial Performance
Effect
, CI
; when
, this interaction does not significantly affect Entrepreneurial Performance
,
); when
, the interaction has a significant positive impact on Entrepreneurial Performance (Effect
). It can also be deduced that as environmental uncertainty rises, the impact of Market Orientation on Entrepreneurial Performance decreases.
environmental uncertainty and Entrepreneurial Orientation does not significantly affect Entrepreneurial Performance
To clearly illustrate the moderating effect of environmental uncertainty, based on the analysis in Table 7, this study plotted moderation effect graphs using one standard deviation above and below the mean of Entrepreneurial Attitude as benchmarks. The results, as shown in Figs. 2, 3 and 4, align with the conclusions drawn from the above analysis.
Examination of moderated mediation effects
This study proceeded to analyze the moderated mediation effects, conducting tests at the mean (M) of environmental uncertainty and one standard (SD) deviation above and below this mean, as shown in Table 7.

Fig. 2. Moderating effects of environmental uncertainty on entrepreneurial orientation and market orientation.

Fig. 3. Moderating effects of environmental uncertainty on entrepreneurial orientation and entrepreneurial performance.
The findings revealed that when EU equals its mean, the moderating effect of environmental uncertainty on the mediation between entrepreneurial orientation and entrepreneurial performance through market orientation is insignificant
Effect
, CI
, thereby not supporting Hypothesis H8. When EU is below its mean by one standard deviation (M – 1SD), environmental uncertainty positively moderates the effect of entrepreneurial orientation on entrepreneurial performance through market orientation (Effect
, CI 0.045 , 0.402 ). Conversely, when EU is above its mean by one standard deviation (M+1SD), environmental uncertainty does not moderate the effect of entrepreneurial orientation on entrepreneurial performance through market orientation (Effect
, CI
). This suggests that as environmental uncertainty increases, the impact of entrepreneurial orientation on entrepreneurial performance through market orientation diminishes. Comparing the effects in different levels of environmental uncertainty, it is evident that when comparing Effect2 to Effect1, Effect2 is significantly lower (Effect2-Effect1
, CI
). Similarly, when Effect3 is compared to Effect1, Effect3 is significantly lower (Effect3-Effect1
). And when Effect3 is compared to Effect2, Effect3 is significantly lower (Effect3-Effect2
). These findings indicate that the moderating effect of environmental uncertainty varies at different levels. Moderate environmental uncertainty can stimulate entrepreneurial firms to anticipate environmental and market changes, actively seek valuable information and insights, particularly relating to customer needs and competitor intelligence
. By various means, this information is disseminated, shared, analyzed, and transformed into organizational memory, becoming the basis for strategic decision-making. These actions are likely to result in superior long-term performance for the firm
. However, when environmental uncertainty becomes too high,

Fig. 4. Moderating effects of environmental uncertainty on market orientation and entrepreneurial performance.
the complexity of market information makes it difficult to distinguish real from false information, hindering the firm’s ability to capture valuable insights from the market. In such circumstances, the role of market orientation becomes significantly weakened, having a negligible effect on enhancing entrepreneurial performance.
Robustness test
In this study, a robustness check was conducted on the constructed model to further validate our primary findings. Since Beijing and Shanghai serve as China’s political and economic centers, companies registered in these two regions do not represent the general population. Therefore, samples registered in these regions were excluded, leaving 239 samples for the robustness analysis, accounting for approximately
of the original sample. The robustness results, as presented in Tables 8, 9, 10, and 11, indicate that hypotheses H7 and H8 were not supported, while hypotheses H1 to H6 were all supported. Consequently, we found that the results of this robustness test align with the earlier findings, thus strongly supporting our main conclusions.
Hypothesis testing results
This study establishes a unique moderated mediation model by linking entrepreneurial orientation, market orientation, and entrepreneurial performance through the moderation of environmental uncertainty. The findings reveal that hypotheses H1 to H6 are supported, while hypotheses H7 and H8 are not. Specifically, entrepreneurial orientation exerts a significant positive influence on entrepreneurial performance and market orientation, supporting hypotheses H 1 and H 2 . Market orientation has a significant positive impact on entrepreneurial
| Variables | Model 6 (EP as DV) | Model 7 (MO as DV) | Model 8 (EP as DV) | |||||||||
|
|
SE | LLCI | ULCI |
|
SE | LLCI | ULCI |
|
SE | LLCI | ULCI | |
| Constant | 0.311 | 0.317 | -0.314 | 0.935 | 0.370 | 0.191 | -0.006 | 0.747 | 0.096 | 0.300 | -0.495 | 0.687 |
| EA | 0.078 | 0.059 | -0.038 | 0.193 | -0.006 | 0.035 | -0.076 | 0.063 | 0.081 | 0.055 | -0.028 | 0.190 |
| ES | 0.026 | 0.041 | -0.055 | 0.107 | -0.013 | 0.025 | -0.062 | 0.036 | 0.033 | 0.039 | -0.043 | 0.109 |
| SS | -0.032 | 0.060 | -0.150 | 0.086 | -0.080 | 0.036 | -0.151 | -0.009 | 0.014 | 0.057 | -0.098 | 0.126 |
| IN | 0.024 | 0.058 | -0.090 | 0.137 | 0.017 | 0.035 | -0.052 | 0.085 | 0.014 | 0.054 | -0.093 | 0.120 |
| EO | 0.852 | 0.058 | 0.738 | 0.966 | 0.869 | 0.035 | 0.801 | 0.938 | 0.348 | 0.104 | 0.143 | 0.553 |
| MO | 0.580 | 0.102 | 0.379 | 0.781 | ||||||||
| F | 45.050 | 127.302 | 47.953 | |||||||||
| R
|
0.492 | 0.732 | 0.554 | |||||||||
Table 8. Robustness check for direct effects testing.
| Mediation relationship | Path effect |
|
BootSE (SE) | LLCI (Boot LLCI) | ULCI (Boot ULCI) |
|
|
Total effect | 0.852 | 0.058 | 0.738 | 0.966 |
| Direct effect | 0.348 | 0.104 | 0.143 | 0.553 | |
| Indirect effect | 0.504 | 0.089 | 0.339 | 0.683 |
Table 9. Bootstrap robustness check for mediation analysis.
| Variables | Model 9 (MO as DV) | Model 10 (EP as DV) | ||||||
|
|
SE | LLCI | ULCI |
|
SE | LLCI | ULCI | |
| Constant | 0.199 | 0.117 | -0.032 | 0.430 | 3.500 | 0.211 | 3.085 | 3.915 |
| EA | -0.011 | 0.028 | -0.066 | 0.043 | 0.069 | 0.050 | -0.029 | 0.166 |
| ES | -0.012 | 0.020 | -0.050 | 0.027 | 0.029 | 0.035 | -0.040 | 0.098 |
| SS | -0.079 | 0.028 | -0.135 | -0.023 | -0.037 | 0.052 | -0.139 | 0.064 |
| IN | -0.030 | 0.028 | -0.084 | 0.024 | -0.022 | 0.049 | -0.119 | 0.076 |
| EO | 0.547 | 0.040 | 0.469 | 0.625 | 0.248 | 0.098 | 0.055 | 0.442 |
| MO | 0.230 | 0.126 | -0.018 | 0.478 | ||||
| EU | 0.427 | 0.035 | 0.358 | 0.497 | 0.492 | 0.082 | 0.330 | 0.654 |
|
|
0.102 | 0.027 | 0.049 | 0.154 | 0.284 | 0.113 | 0.060 | 0.507 |
|
|
-0.333 | 0.118 | -0.566 | -0.100 | ||||
| F | 168.586 | 46.188 | ||||||
|
|
0.836 | 0.645 | ||||||
Table 10. Robustness check for moderation effects testing.
| Outcome | Index |
|
Boot SE | Boot LLCI | Boot ULCI |
| Conditional indirect effects | Effect1 (EU = M – 1SD) | 0.244 | 0.098 | 0.062 | 0.445 |
| Effect2 (
|
0.126 | 0.072 | -0.008 | 0.276 | |
| Effect3 (EU = M + 1SD) | -0.050 | 0.071 | -0.196 | 0.091 |
Table 11. Robustness check for moderated mediation analysis.
performance, validating hypothesis H 3 . Furthermore, the mediating effect between entrepreneurial orientation and entrepreneurial performance is positively significant, supporting hypothesis H4. Environmental uncertainty significantly moderates the impact of entrepreneurial orientation on market orientation and entrepreneurial performance positively, confirming hypotheses H5 and H6. However, the negative moderation effect of environmental uncertainty on the relationship between market orientation and entrepreneurial performance (H7) and the non-significant moderation effect on the impact of entrepreneurial orientation on entrepreneurial performance through market orientation (H8) are not supported. Out of the eight hypotheses proposed in this study, six are validated while two are not, with the unverified hypotheses primarily focused on the moderating role of environmental uncertainty on market orientation and entrepreneurial performance. A summary of the conclusions derived from the data analysis and the status of hypothesis validation is presented in Table 12.
| Hypothetical number | Research hypothesis | Outcome |
| H1 | There is a positive correlation between entrepreneurial orientation and entrepreneurial performance | Supported |
| H2 | There is a positive correlation between entrepreneurial orientation and market orientation | Supported |
| H3 | There is a positive correlation between market orientation and entrepreneurial performance | Supported |
| H4 | Market orientation positively mediates the relationship between entrepreneurial orientation and entrepreneurial performance | Supported |
| H5 | Environmental uncertainty positively moderates the relationship between entrepreneurial orientation and market orientation | Supported |
| H6 | Environmental uncertainty positively moderates the relationship between entrepreneurial orientation and entrepreneurial performance | Supported |
| H7 | Environmental uncertainty positively moderates the relationship between market orientation and entrepreneurial performance | Not supported |
| H8 | The relationship between environmental uncertainty positively moderating entrepreneurial orientation through market orientation positively moderating entrepreneurial performance | Not supported |
Table 12. Summary of research findings.
Discussion
The examination of hypotheses H1, H2, H3, and H4 indicate that entrepreneurial orientation not only significantly and positively influences market orientation and entrepreneurial performance but also exerts an indirect positive effect on entrepreneurial performance through market orientation. Furthermore, market orientation itself has a notable positive impact on entrepreneurial performance. This conclusion unequivocally underscores entrepreneurial orientation as a pivotal source of superior performance in enterprises, positively influencing entrepreneurial performance in two distinct ways. Firstly, from the perspective of the resource-based theory, the direct effect of entrepreneurial orientation is substantial, aligning with the findings of Yao et al.
, Zahra et al.
, as well as Du et al.
. It also reinforces the conclusions drawn by Wiklund et al. through longitudinal data analysis
, indicating that entrepreneurial orientation, as a core resource, motivates enterprises to pursue innovation, thereby directly enhancing their performance. Secondly, the mediating role of market orientation underscores the significance of entrepreneurial orientation in enabling firms to discern new market opportunities, strengthen innovation capabilities, and elevate proactiveness and risk-taking abilities. Strategic management theory highlights the customer-centric approach of market orientation, which is congruent with the objectives of entrepreneurial orientation. By emphasizing the understanding and fulfillment of customers’ latent needs, entrepreneurial orientation exerts a positive indirect effect on firm performance through market orientation. This discovery echoes the research of Chou et al.
, who emphasize market orientation as a critical strategic component embodying firms’ unique, hard-to-imitate skills and processes in competition. Empirical results further suggest that startups with entrepreneurial orientation tend to adopt market orientation to mitigate risks in uncertain environments, thereby enhancing entrepreneurial performance
. Entrepreneurial orientation’s influence on market orientation primarily manifests in how it shapes startups’ information usage, processing, and interpretation
, a process intimately linked to contingency theory, which emphasizes strategy adaptation to external changes to manage uncertainty. Moreover, market orientation fosters EP by enhancing customer satisfaction and value
, thereby increasing market share and propelling growth and sustained performance. From an RBV standpoint, market orientation serves as a vital mechanism transforming entrepreneurial orientation into tangible outcomes. It also strengthens internal coordination, reduces communication costs
, enables swift responses to competitors’ actions, and ultimately enhances competitive advantage and profitability.
The examination results of Hypotheses H5 and H6 indicate that environmental uncertainty positively moderates the influence of entrepreneurial orientation on both market orientation and entrepreneurial performance. This finding corroborates the conclusions drawn by Guo et al.
, thereby reinforcing the perspective of contingency theory. From the lens of contingency theory, environmental uncertainty serves as a vital impetus for corporate innovation and creativity. In uncertain environments, entrepreneurial-oriented enterprises are more likely to proactively explore and exploit new opportunities while fostering robust relationships with stakeholders, such as customers, partners, and investors. This proactive interaction facilitates information flow, enhancing the effectiveness of market orientation. Furthermore, entrepreneurial-oriented enterprises tend to outpace their competitors by swiftly introducing novel products and services to the market. They expedite their market entry by updating their opportunity recognition, flexibly adjusting strategic decisions, and allocating resources, thereby seizing market opportunities promptly and enhancing entrepreneurial performance. This phenomenon is intimately tied to contingency theory, which underscores the importance of enterprises’ agility in responding to external environmental changes and swiftly adapting their strategies to better align with market demands. Environmental uncertainty not only provides a more conducive environment for the relationship between entrepreneurial orientation and market orientation but also strengthens enterprises’ innovation capabilities, adaptability, and relationships with stakeholders, thereby further propelling entrepreneurial development. Consequently, the positive moderation between environmental uncertainty and entrepreneurial orientation underscores the significance of adapting to dynamic environments for fostering growth and success.
The examination results of Hypothesis H7 indicate that environmental uncertainty negatively moderates the impact of market orientation on entrepreneurial performance. This conclusion contrasts with previous findings by Jaworski et al.
, Slater et al.
, and Qu et al.
, who consistently demonstrated that the positive influence of market orientation on entrepreneurial performance remains unaffected by environmental variables. The emergence of this discrepancy primarily stems from the fact that those studies failed to incorporate any antecedent variables, instead solely examining the direct effects of market orientation on entrepreneurial performance without delving into the nuanced breakdown of its influence. In the present study, we introduce entrepreneurial orientation
as an antecedent variable into the model, a transformative design that enables a more holistic understanding of how environmental uncertainty negatively moderates the impact of market orientation on entrepreneurial performance. This significant discovery deepens our comprehension of the underlying mechanisms at play between market orientation and entrepreneurial performance, elucidating how market orientation differentially impacts firm performance under varying environmental conditions. From a contingency theory perspective, environmental uncertainty exerts markedly different influences on market orientation depending on its degree. In a low-uncertainty environment, where firms operate within a relatively stable context, market orientation effectively captures customer needs, thereby enhancing performance. Conversely, in a high-uncertainty environment characterized by tumultuous changes in markets and technologies, the resources invested by firms in pursuing market orientation may inadvertently lead to strategic rigidity. In such scenarios, the absence of strategic flexibility hampers firms’ ability to adapt swiftly to environmental shifts, inevitably leading to a decline in performance. This revelation not only provides fresh empirical support for the relationship between market orientation and entrepreneurial performance but also broadens the application scope of contingency theory. It underscores the importance for firms to agilely adjust their market orientation strategies in response to shifting external conditions, thereby safeguarding their performance from adverse impacts. Thus, this study presents a novel perspective for both theory and practice, empowering firms to effectively manage market orientation amidst environmental uncertainty and elevate their entrepreneurial performance.
as an antecedent variable into the model, a transformative design that enables a more holistic understanding of how environmental uncertainty negatively moderates the impact of market orientation on entrepreneurial performance. This significant discovery deepens our comprehension of the underlying mechanisms at play between market orientation and entrepreneurial performance, elucidating how market orientation differentially impacts firm performance under varying environmental conditions. From a contingency theory perspective, environmental uncertainty exerts markedly different influences on market orientation depending on its degree. In a low-uncertainty environment, where firms operate within a relatively stable context, market orientation effectively captures customer needs, thereby enhancing performance. Conversely, in a high-uncertainty environment characterized by tumultuous changes in markets and technologies, the resources invested by firms in pursuing market orientation may inadvertently lead to strategic rigidity. In such scenarios, the absence of strategic flexibility hampers firms’ ability to adapt swiftly to environmental shifts, inevitably leading to a decline in performance. This revelation not only provides fresh empirical support for the relationship between market orientation and entrepreneurial performance but also broadens the application scope of contingency theory. It underscores the importance for firms to agilely adjust their market orientation strategies in response to shifting external conditions, thereby safeguarding their performance from adverse impacts. Thus, this study presents a novel perspective for both theory and practice, empowering firms to effectively manage market orientation amidst environmental uncertainty and elevate their entrepreneurial performance.
The examination results of Hypothesis H8 indicate that environmental uncertainty does not significantly moderate the mediating effect of entrepreneurial orientation on entrepreneurial performance through market orientation. Within the contingency theory framework, environmental uncertainty is recognized as a pivotal factor influencing firms’ strategic choices, necessitating agile strategies to adapt to external changes across varying conditions. Consequently, the role of environmental uncertainty in modulating the impact of entrepreneurial orientation on entrepreneurial performance via market orientation may not be as pronounced as traditionally assumed. Firstly, contingency theory underscores the importance of considering external environmental shifts when formulating corporate strategies. While market orientation aims to facilitate the understanding and fulfillment of customer needs, heightened environmental uncertainty exposes firms to complex and ambiguous market signals. This implies that, even though market orientation can enhance entrepreneurial performance, the rapidly evolving external environment may hinder firms from accurately capturing customer demands, thereby diminishing the effectiveness of performance enhancement
. Secondly, environmental uncertainty can instill hesitancy in firms when implementing market-oriented strategies, impeding the execution of effective market orientation tactics. In high-uncertainty environments, firms may be more inclined to maintain existing strategies and operational models to mitigate risks associated with uncertainty. This strategic rigidity constrains firms’ innovation capabilities and flexibility, further compromising the positive outcomes of entrepreneurial orientation. Thus, from a contingency theory perspective, environmental uncertainty fails to effectively moderate the mediating role of entrepreneurial orientation on entrepreneurial performance through market orientation. This theoretical lens offers fresh insights into firms’ strategic choices under different environmental conditions, emphasizing the significance of resource management and capability building. It guides firms in achieving sustained entrepreneurial performance enhancement amidst uncertainty by fostering adaptability and resilience.
Implications for theory
This study makes theoretical contributions in the following ways: First, Previous literature has extensively explored the relationships among entrepreneurial orientation, market orientation, entrepreneurial performance, and environmental uncertainty individually. However, studies that integrate these four factors into a single research framework are relatively scarce. By explicitly outlining the relationships among entrepreneurial orientation, market orientation, entrepreneurial performance, and environmental uncertainty, this research enriches the findings in the field of entrepreneurship. From a strategic management theory perspective, integrating these variables aids in identifying the basis upon which enterprises can select appropriate strategies under varying environmental conditions, thereby enhancing their competitiveness
. Second, It enhances the theoretical understanding of environmental uncertainty. Market uncertainty, in certain circumstances, can negatively moderate the impact of market orientation on entrepreneurial performance. Companies, in implementing market orientation, need to constantly monitor external environmental changes, promptly and effectively adjust their market orientation based on these changes, thereby maximizing entrepreneurial performance
. This perspective aligns with the resource-based theory, suggesting that firms should leverage both internal and external resources effectively to better navigate market changes. Third, Entrepreneurial orientation, as a complex mindset and behavioral approach to coping with environmental uncertainty, is beneficial for a company’s survival and growth in turbulent environments. Market orientation implies a company’s focus on understanding and responding to its customers’ needs. Entrepreneurial orientation serves as the driving force, while market orientation acts as the conduit linking external customers and competition. By leveraging market orientation, entrepreneurial orientation can adeptly navigate changes in the external environment. The integration of these two orientations represents a crucial element in enabling enterprises to create sustainable competitive advantages
, echoing the contingency theory’s emphasis on dynamically adjusting strategies in response to external environmental dynamics.
Implications for practice
This study contributes to practice in the following ways: First, Entrepreneurial Orientation for Startups. Entrepreneurial ventures should recognize the significance of entrepreneurial orientation. Due to factors such as smaller scale and limited resource endowment, startups inherently possess greater flexibility. This flexibility enables them to act ahead of competitors. For new ventures, rapid growth and capturing larger market shares
are essential for sustained development . Second, Enhancing Market Orientation. Fostering a strong market orientation within organizations is crucial. Companies should strive to better understand market motivations, expand their market networks, seek assistance from market participants, and establish mutually beneficial relationships with them. As emphasized by contingency theory, enterprises must flexibly adjust their market strategies in response to changes in the external environment, thereby enhancing their market adaptability and responsiveness. Third, Developing Entrepreneurial Resilience. It is vital to enhance the entrepreneurial resilience and psychological endurance of entrepreneurs. Even in highly dynamic market and technological environments, entrepreneurs should proactively adapt, leverage the flexibility inherent in entrepreneurial ventures, consciously adjust their strategies, and drive improvements in entrepreneurial performance. Lastly, Policy Implications. Policymakers need to recognize the significant roles of entrepreneurial and market orientations in enhancing entrepreneurial performance. They should strive to create favorable entrepreneurial and market environments, provide platforms for experience sharing and information exchange, and promote market orientation among businesses to address challenges related to entrepreneurial performance.
are essential for sustained development
Limitations and future directions
This study, while contributing to the discourse on entrepreneurial orientation, market orientation, and environmental uncertainty, does not come without its limitations. First, we acknowledge that the empirical analysis is based solely on a sample of entrepreneurial firms within Hubei province, which restricts the generalizability of our findings. The narrow geographical scope of the sample raises concerns regarding the representativeness of our data, suggesting a need for future research to expand the sampling boundary to cover a wider regional or national area, taking into account the regional heterogeneity of entrepreneurial resources that may influence the relationships we have explored. Second, the applicability of the insights gained from this study beyond Hubei province and even at the national level is uncertain. The findings may not uniformly hold across different economic environments, regulatory frameworks, and cultural contexts. To address this limitation, future studies should replicate the analysis in broader regions or countries to validate our results and enhance the generalizability of our conclusions. Lastly, the current study focuses solely on the moderating role of environmental uncertainty as an exogenous variable in the relationship between entrepreneurial orientation, market orientation, and entrepreneurial performance. However, the influence of endogenous variables within the organization, such as corporate culture and organizational structure, on this relationship has not been explored. Future research could extend the framework by incorporating these internal moderators to provide a more comprehensive understanding of the dynamic interplay between internal organizational factors and external environmental influences. Addressing these limitations in future research will not only enhance the robustness and reliability of our findings but also contribute to a more nuanced and holistic perspective on the factors that influence entrepreneurial success in varying contexts.
Conclusion
This study validates eight hypotheses and presents the following main conclusions: First, Market orientation plays an intermediary role between entrepreneurial orientation and entrepreneurial performance. Specifically, entrepreneurial orientation can directly positively affect entrepreneurial performance and can also first positively impact market orientation, which then positively influences entrepreneurial performance, thereby indirectly affecting entrepreneurial performance. Second, Environmental uncertainty concurrently moderates the relationships between entrepreneurial orientation, market orientation, and entrepreneurial performance. Environmental uncertainty positively moderates the relationship between entrepreneurial orientation and market orientation, and positively moderates the relationship between entrepreneurial orientation and entrepreneurial performance. Lastly, Environmental uncertainty negatively moderates the relationship between market orientation and entrepreneurial performance. However, environmental uncertainty does not moderate the impact of entrepreneurial orientation on entrepreneurial performance through market orientation.
The empirical findings suggest that pure entrepreneurial or market-oriented companies are rare in reality; these two strategic orientations often coexist within the same company. Entrepreneurs need to advocate for fostering entrepreneurial spirit and implementing entrepreneurial-oriented strategies while also emphasizing the development of market-oriented strategies to enhance the efficacy of entrepreneurial-oriented strategies in promoting entrepreneurial activities. By integrating the behaviors of the entrepreneurial team and shaping a shared vision, entrepreneurs can balance entrepreneurial and market-oriented strategies. The empirical results also highlight that the highly uncertain entrepreneurial environment poses both challenges and opportunities. Entrepreneurs must correctly perceive environmental uncertainty. In the entrepreneurial process, uncertainties in the environment are inevitable. Recent challenges such as pandemics, technological advancements, economic globalization, regional conflicts, etc., have greatly impacted entrepreneurial activities, but have also created numerous market opportunities. Entrepreneurs need not only the ability to identify market opportunities but also to exploit them. Faced with a high degree of uncertainty in the external environment, entrepreneurs should identify uncertain factors in the environment, expand and integrate new resources, strengthen entrepreneurial orientation, and promote the survival and development of new ventures. Additionally, the empirical results provide a basis for governmental decision-making regarding entrepreneurial activities. Governments should formulate policies to promote entrepreneurial and market orientations to assist entrepreneurs, such as financial support, advisory services, or training programs, while also creating a favorable entrepreneurial environment, consciously increasing entrepreneurial freedom, and supporting entrepreneurs through a series of measures to facilitate their entrepreneurial activities. Finally, due to the lack of consensus in past research, which often selectively tailored relevant theories to meet individual needs, the underlying mechanisms explaining the connection between strategic orientation and entrepreneurial performance remain inadequately explained
. Numerous conflicting empirical conclusions cannot be effectively integrated. Therefore, this study systematically
reveals the interactive relationships between the two strategic orientations and entrepreneurial performance, providing an important foundation for future academic research and offering another theoretical basis for the development of strategic-oriented management practices.
reveals the interactive relationships between the two strategic orientations and entrepreneurial performance, providing an important foundation for future academic research and offering another theoretical basis for the development of strategic-oriented management practices.
Data availability
The datasets in the study are available from corresponding author on reasonable request.
Received: 22 June 2024; Accepted: 9 January 2025
Published online: 14 January 2025
Received: 22 June 2024; Accepted: 9 January 2025
Published online: 14 January 2025
References
- Atuahene-Gima, K. & Ko, A. An empirical investigation of the effect of market orientation and entrepreneurship orientation alignment on product innovation. Organ. Sci. 12, 54-74 (2001).
- Kumar, V., Jones, E., Venkatesan, R. & Leone, R. P. Is market orientation a source of sustainable competitive advantage or simply the cost of competing?. J. Mark. https://doi.org/10.1509/jm.75.1.16 (2011).
- Lekmat, L., Selvarajah, C. & Hewege, C. Relationship between market orientation, entrepreneurial orientation, and firm performance in Thai SMEs: The mediating role of marketing capabilities. Int. J. Bus. Econ. 17, 213-237 (2018).
- Ahmadi, H. & O’Cass, A. The role of entrepreneurial marketing in new technology ventures first product commercialisation. J. Strateg. Mark. 24, 47-60 (2016).
- Cen, R. Research on the Reshaping of Enterprise Isolation Mechanism under “Internet+” Cross-Border Competition (Guangxi University, 2019).
- Peng, X., Cai, L., Chen, J. & Yu, H. From opportunity discovery to opportunity creation: Strategic choices of entrepreneurial firms. Chin. J. Manag. 13, 1312-1320 (2016).
- Miller, D. & Friesen, P. H. Strategy-making and environment: The third link. Strateg. Manag. J. 4, 221-235 (1983).
- Zheng, S. Government relationship networks, entrepreneurial orientation, and firm innovation performance: Evidence from small and medium-sized private enterprises in the Pearl River Delta. East China Econ. Manag. 29, 54-62 (2015).
- Yin, M., Bi, X. & Wang, Y. The impact of entrepreneurial orientation and opportunity orientation on new venture performance: An empirical analysis based on the Chinese context. J. Manag. Sci. Eng. 18, 47-58 (2015).
- Zhang, X., Teng, X. & Li, Y. The impact of dual green strategic orientations on agricultural firm performance: A moderated mediation model. Sci. Sci. Manag. S&T 44, 148-163 (2023).
- Makhloufi, L., Laghouag, A. A. & Ali Sahli, A. Mediating effect of absorptive capacity on the relationship between knowledge sharing and entrepreneurial orientation and the moderating role of opportunity recognition. J. Res. Mark. Entrep. 26, 415-439 (2024).
- Fang, H., Liu, H., Zhang, J. & Huang, M. Research on the inverted U-shaped relationship between green entrepreneurial orientation and firm performance in agricultural enterprises. J. Innov. Entrep. Educ. 13, 43-52 (2022).
- Cai, L. & Shan, B. Entrepreneurship research in the Chinese context: A review and prospect. Manag. World 29, 160-169. https:// doi.org/10.19744/j.cnki.11-1235/f.2013.12.014 (2013).
- Tian, L. Research on the organizational imprinting mechanism of new ventures based on initial conditions. Chin. J. Manag. 9, 1800-1809 (2012).
- Mathias, B. D., Williams, D. W. & Smith, A. R. Entrepreneurial inception: The role of imprinting in entrepreneurial action. J. Bus. Ventur. 30, 11-28 (2015).
- Yu, M., Li, Y., Zhu, F. & Jiang, M. Strategic internal entrepreneurship and institutional logic changes in large firms under the background of transitional economy: A co-evolutionary model. Manag. World 40, 161-180 (2024).
- Chen, Y. & Hao, S. The impact of entrepreneurial orientation and network orientation on the growth of new ventures in a digital context. J. Syst. Manag. 31, 709-721 (2022).
- Su, D. & Du, Q. Research on the relationship between entrepreneurial orientation, improvisation capability, and international entrepreneurial performance. J. Nanjing Audit Univ. 19, 43-52 (2022).
- Makhloufi, L., Djermani, F. & Meirun, T. Mediation-moderation model of green absorptive capacity and green entrepreneurship orientation for corporate environmental performance. Manag. Environ. Qual. Int. J. 35, 139-157 (2023).
- Wiklund, J. The sustainability of the entrepreneurial orientation-Performance relationship. Entrep. Theory Pract. 24, 37-48 (1999).
- Chen, W. & Qu, Y. The impact of female executives on the financial performance of family firms under an entrepreneurial orientation: Dual effects of gender and family attributes. South China J. Econ. 4, 90-107. https://doi.org/10.19592/j.cnki.scje. 391 397 (2022).
- Makhloufi, L., Laghouag, A. A., Ali Sahli, A. & Belaid, F. Impact of entrepreneurial orientation on innovation capability: The mediating role of absorptive capability and organizational learning capabilities. Sustainability 13, 5399 (2021).
- Xie, F., Zhang, S., Hao, B. & Wu, Y. Technology entrepreneurship or business model entrepreneurship? Entrepreneurial strategic choice and access to high-status venture capital. Forum Sci. Technol. China 109-118. https://doi.org/10.13580/j.cnki.fstc.2023.08. 015 (2023).
- Li, Y., Zhao, W. H. & Yang, T. Research on the relationship between entrepreneurs’ prior experience, strategic orientation, and business model innovation in start-ups. Chin. J. Manag. 18, 1022-1031 (2021).
- Ling, Q. & Zhong, Y. H. Influencing factors and improvement strategies of entrepreneurial capabilities among graduate students: An empirical analysis based on 11 universities in Hunan Province. J. Shandong Norm. Univ. (Philos. Soc. Sci. Ed.) 66, 85-94 (2021).
- Xia, H. The relationship between green entrepreneurial orientation, proactive market orientation, and innovation performance of technology-based start-ups. Sci. Technol. Manag. Res. 39, 264-274 (2019).
- Wang, C. L. Entrepreneurial orientation, learning orientation, and firm performance. Entrep. Theory Pract. 32, 635-657 (2008).
- Wu, X. Y. & Zhang, X. Y. Enterprise capabilities, technological innovation, and value network cooperation innovation and their impact on firm performance. J. Manag. Sci. 28, 12-26 (2015).
- Makhloufi, L. Predicting the impact of big data analytics capability and green absorptive capacity on green entrepreneurship orientation and eco-innovation. J. Enterp. Communities People Places Glob. Econ. 18, 746-770 (2023).
- Yao, M. F., Luan, F. M. & Cao, Q. Entrepreneurial orientation and new venture performance: A dual mediation and moderating effect model. South China J. Econ. 37, 83-102. https://doi.org/10.19592/j.cnki.scje.361011 (2018).
- Selmi, N. & Chaney, D. A measure of revenue management orientation and its mediating role in the relationship between market orientation and performance. J. Bus. Res. 89, 99-109 (2018).
- Hughes, P., Hodgkinson, I. R., Hughes, M. & Arshad, D. Explaining the entrepreneurial orientation-performance relationship in emerging economies: The intermediate roles of absorptive capacity and improvisation. Asia Pac. J. Manag. 35, 1025-1053 (2018).
- Alegre, J. & Chiva, R. Linking entrepreneurial orientation and firm performance: The role of organizational learning capability and innovation performance. J. Small Bus. Manag. 51, 491-507 (2013).
- Real, J. C., Roldán, J. L. & Leal, A. From entrepreneurial orientation and learning orientation to business performance: Analysing the mediating role of organizational learning and the moderating effects of organizational size. Br. J. Manag. 25, 186-208 (2014).
- Rauser, A. Digital Strategy: A Guide to Digital Business Transformation (CreateSpace Independent Publishing Platform, 2016).
- Wales, W. J. Entrepreneurial orientation: A review and synthesis of promising research directions. Int. Small Bus. J. 34, 3-15 (2016).
- Li, Q. Research on the Driving Mechanism of Green Entrepreneurial Orientation and Its Impact on Green Competitive Advantage (Jilin University, 2022). https://doi.org/10.27162/d.cnki.gjlin.2021.000446.
- Taan, H., Alam, H. V., Rukayah, S., Ismail, Y. L. & Arsyad, N. F. The impact of entrepreneurial orientation and company innovation on the business performance of manufacturing SMEs. Int. J. Manag. Sustain. 11(12), 419-434 (2023).
- Saleh, A. M. & Athari, S. A. Examining the impact of entrepreneurial orientation on new venture performance in the emerging economy of Lebanon: A moderated mediation analysis. Sustainability 15, 11982 (2023).
- Makhloufi, L. Do knowledge sharing and big data analytics capabilities matter for green absorptive capacity and green entrepreneurship orientation? Implications for green innovation. Ind. Manag. Data Syst. 124, 978-1004 (2023).
- Yi, Z. H., Duan, H. X. & Ren, S. G. Entrepreneurial self-efficacy, entrepreneurial orientation, and performance of technologybased small and micro-enterprises. Sci. Res. Manag. 39, 99-109 (2018).
- Liu, X. L., Xiang, G. P. & Dou, S. L. Makerspace empowerment, entrepreneurial orientation, and performance of new ventures. East China Econ. Manag. 35, 51-58 (2021).
- Brown, J. S. & Duguid, P. Organizational learning and communities-of-practice: Toward a unified view of working, learning, and innovation. Organ. Sci. 2, 40-57 (1991).
- Covin, J. G. & Slevin, D. P. Strategic management of small firms in hostile and benign environments. Strateg. Manag. J. 10, 75-87 (1989).
- Covin, J. G. & Slevin, D. P. A conceptual model of entrepreneurship as firm behavior. Enterp. Theory Pract. 16, 7-26 (1991).
- Morse, E. A., Fowler, S. W. & Lawrence, T. B. The impact of virtual embeddedness on new venture survival: Overcoming the liabilities of newness. Entrep. Theory Pract. 31, 139-159 (2007).
- Mansouri, H., Sadeghi Boroujerdi, S., Polonsky, M., Husin, M. M. & Seydi, M. Investigating the mediating role of market orientation between internal marketing and the development of entrepreneurial orientation within private sports clubs. N. Engl. J. Entrep. 25, 103-120 (2021).
- Mudjijah, S., Surachman, S., Wijayanti, R. & Andarwati, A. The effect of entrepreneurial orientation and talent management on business performance of the creative industries in Indonesia. J. Asian Finance Econ. Bus. 9, 105-119 (2022).
- Karimi, A., Daryani, M. A. & Rahmani, S. The influence of entrepreneurial orientation on firm growth among Iranian agricultural SMEs: The mediation role of entrepreneurial leadership and market orientation. J. Glob. Entrep. Res. 11, 519-531 (2021).
- Solano Acosta, A., Herrero Crespo, Á. & Collado Agudo, J. Effect of market orientation, network capability and entrepreneurial orientation on international performance of small and medium enterprises (SMEs). Int. Bus. Rev. 27, 1128-1140 (2018).
- Wijayanti, A. W., Wahyono, B. & Rozaq, M. K. A. The linkages between entrepreneurial orientation, market orientation toward MSMEs performances. Glob. Bus. Finance Rev. 21, 100-108 (2016).
- Kohli, A. K. & Jaworski, B. J. Market orientation: The construct, research propositions, and managerial implications. J. Mark. 54, 1-18 (1990).
- Jaworski, B. J. & Kohli, A. K. Market orientation: Antecedents and consequences. J. Mark. 57, 53-70 (1993).
- Deshpandé, R. & Farley, J. U. Corporate culture and market orientation: Comparing Indian and Japanese firms. J. Int. Mark. 7, 111-127 (1999).
- Narver, J. C. & Slater, S. F. The effect of a market orientation on business profitability. J. Mark. 54, 20-35 (1990).
- Lumpkin, G. T. & Dess, G. G. Clarifying the entrepreneurial orientation construct and linking it to performance. AMR 21, 135-172 (1996).
- Xue, X. F., Meng, Q., Yao, C. X., Lv, X. Y. & Guo, H. The relationship between conscientiousness and entrepreneurial performance: The mediating role of entrepreneurial orientation. Chin. J. Appl. Psychol. 26, 282-288 (2020).
- Ma, H. J., Sun, Q. & Wu, J. Network market orientation, entrepreneurial capabilities, and new venture performance: An interaction effect model. J. Soc. Sci. Jilin Univ. 62, 138-151, 237-238 (2022).
- Fang, M. & Gao, X. F. Knowledge management, strategic orientation, and firm performance: An empirical study based on small and medium-sized cross-border e-commerce enterprises. J. Anhui Univ. Sci. Technol. (Soc. Sci.) 22, 26-31 (2020).
- Zhang, X. & Hu, L. N. Research frontiers and future prospects of the mixed performance effects of market orientation and entrepreneurial orientation. Foreign Econ. Manag. 34, 49-56 (2012).
- Matsuno, K., Mentzer, J. T. & Özsomer, A. The effects of entrepreneurial proclivity and market orientation on business performance. J. Mark. 66, 18-32 (2002).
- Nangpiire, C. & Bangniyel, P. Entrepreneurial leadership, market orientation, and firm performance. Management 7, 202-213 (2019).
- Liu, X. F. Research on the Relationship Between Market Orientation, Entrepreneurial Orientation, and Innovation Performance of Start-Ups (China Three Gorges University, 2022). https://doi.org/10.27270/d.cnki.gsxau.2018.000469.
- Barrett, H. & Weinstein, A. The effect of market orientation and organizational flexibility on corporate entrepreneurship. Entrep. Theory Pract. 23, 57-70 (1998).
- Freel, M. S. Patterns of innovation and skills in small firms. Technovation 25, 123-134 (2005).
- Wiersema, M. F. & Bantel, K. A. Top management team turnover as an adaptation mechanism: The role of the environment. Strateg. Manag. J. 14, 485-504 (1993).
- Tan, J. & Tan, D. Environment-strategy co-evolution and co-alignment: A staged model of Chinese SOEs under transition. Strateg. Manag. J. 26, 141-157 (2005).
- Khedhaouria, A., Montani, F. & Thurik, R. Time pressure and team member creativity within R&D projects: The role of learning orientation and knowledge sourcing. Int. J. Proj. Manag. 35, 942-954 (2017).
- Zhu, T. Y. Research on the Relationship between Entrepreneurial Orientation, Market Orientation, and Organizational Performance: Based on the Perspective of Organizational Learning (Soochow University, 2013).
- Zhang, X. H. Research on the Mechanism of Green Entrepreneurial Orientation’s Impact on the Performance of New Manufacturing Ventures: Based on the Perspective of Environmental Uncertainty (Jilin University, 2023). https://doi.org/10.27162/d.cnki.gjlin. 202 2.000678.
- Chesbrough, H. Business model innovation: Opportunities and barriers. Long Range Plan. 43, 354-363 (2010).
- Zahra, S. A. & Covin, J. G. Contextual influences on the corporate entrepreneurship-performance relationship: A longitudinal analysis. J. Bus. Ventur. 10, 43-58 (1995).
- Hamel, G. Leading the Revolution (Harvard Business School Press Books, 2002).
- Thompson, J. D. Organizations in Action: Social Science Bases of Administrative Theory (Routledge, 2017). https://doi.org/10.4324 /9781315125930.
- Yoo, J. & Kim, J. The effects of entrepreneurial orientation and environmental uncertainty on Korean technology firms’ R&D investment. J. Open Innov. Technol. Market Complex. 5, 29 (2019).
- Utomo, H. S. & Susanta, S. Environmental uncertainty as a moderator of entrepreneurship orientation and innovation capability during the pandemic: A case of written Batik SMEs in Yogyakarta. F1000Research https://doi.org/10.12688/f1000research.53433.2 (2022).
- Njeru, D. W. & Kibera, F. The perceived effects of the three components of market orientation on the performance of tour firms in Kenya. Eur. Sci. J. 10, 266-285 (2014).
- Hult, G. T. M., Ketchen, D. J. Jr. & Slater, S. F. Market orientation and performance: An integration of disparate approaches. Strateg. Manag. J. 26, 1173-1181 (2005).
- Kang, B. Effects of firms’ market orientation dimensions on shop managers’ attitudes. J. Appl. Sci. 15, 248-255 (2014).
- Webster, R. L., Hammond, K. L. & Rothwell, J. C. Market orientation effects on business school performance: Views from inside and outside the business school. AJBE 7, 9-20 (2013).
- Barney, J. B. Is the resource-based “view” a useful perspective for strategic management research? Yes?. AMR 26, 41-56 (2001).
- Li, J. Y., Zhou, D. D. & Yan, J. B. The matching model and impact effects of strategic human resource management: The moderating role of environmental uncertainty. Nankai Bus. Rev. 21, 171-184 (2018).
- Zhang, X., Yang, Z. & Xu, B. The mixed effects of technology orientation and market orientation on organizational performance: The moderating role of environmental uncertainty. Jiangsu Soc. Sci. 16, 84-91. https://doi.org/10.13858/j.cnki.cn32-1312/c.2013. 04.036 (2013).
- Fu, B. H., Xie, F. J. & Han, Y. Q. Innovation chain resource integration, ambidextrous innovation, and innovation performance: An empirical study based on new ventures in the Yangtze River Delta. China Soft Sci. 12, 176-186 (2015).
- Wang, L., Mao, N. & Long, J. Managers’ decision-making preferences, environmental uncertainty, and innovation intensity: An empirical study based on Chinese enterprises. Stud. Sci. Sci. 30, 1101-1109 (2012).
- Ireland, R. D., Covin, J. G. & Kuratko, D. F. Conceptualizing corporate entrepreneurship strategy. Entrep. Theory Pract. 33, 19-46 (2009).
- Zhang, J. & Duan, Y. L. An empirical study on the impact of market orientation and innovation orientation on new product performance in Chinese manufacturing enterprises. Nankai Bus. Rev. 13, 81-89 (2010).
- Du, Y. P. & Wang, H. H. The impact of dual opportunity capability on the performance of new ventures under entrepreneurial orientation: A case study of private new ventures in Shaanxi Province. Sci. Technol. Prog. Policy 35, 76-83 (2018).
- Wang, T. & Chen, J. L. The role of market orientation in value creation under environmental uncertainty. Nankai Bus. Rev. 14, 57-66 (2011).
- Oke, A., Walumbwa, F. O. & Myers, A. Innovation strategy, human resource policy, and firms’ revenue growth: the roles of environmental uncertainty and innovation performance. Decis. Sci. 43, 273-302 (2012).
- Feng, J. Z. Research on the driving factors of radical innovation and disruptive innovation in enterprises: From the perspective of environmental dynamism and hostility. Stud. Sci. Sci. 31, 1421-1432 (2013).
- Narver, J. C., Slater, S. F. & MacLachlan, D. L. Responsive and proactive market orientation and new-product success. J. Prod. Innov. Manag. 21, 334-347 (2004).
- Chandler, G. N. & Hanks, S. H. Measuring the performance of emerging businesses: A validation study. J. Bus. Ventur. 8, 391-408 (1993).
- Jiang, C. Y. & Zhao, S. M. The relationship between social capital, corporate entrepreneurship, and performance: the mediating role of organizational learning-An empirical study of emerging enterprises in Jiangsu and Guangdong. Manag. World 90-99, 171-172. https://doi.org/10.19744/j.cnki.11-1235/f.2006.10.011 (2006).
- Jansen, J. J. P., Van Den Bosch, F. A. J. & Volberda, H. W. Exploratory innovation, exploitative innovation, and performance: Effects of organizational antecedents and environmental moderators. Manag. Sci. 52, 1661-1674 (2006).
- Hayes, A. F. Introduction to Mediation, Moderation, and Conditional Process Analysis: A Regression-Based Approach Vol. 3, 507 (Guilford Press, 2013).
- Rauch, A., Wiklund, J., Lumpkin, G. T. & Frese, M. Entrepreneurial orientation and business performance: An assessment of past research and suggestions for the future. Entrep. Theory Pract. 33, 761-787 (2009).
- Kirca, A. H., Jayachandran, S. & Bearden, W. O. Market orientation: A meta-analytic review and assessment of its antecedents and impact on performance. J. Mark. https://doi.org/10.1509/jmkg.69.2.24.60761 (2005).
- Morgan, N. A. & Vorhies, D. W. The business performance outcomes of market orientation culture and behaviors. Innov. Strateg. 15, 255-282 (2018).
- Beal, R. M. Competing effectively: Environmental scanning, competitive strategy, and organizational performance in small manufacturing firms. J. Small Bus. Manag. 38, 27-47 (2000).
- Jancenelle, V. E., Javalgi, R. G. & Cavusgil, E. The role of economic and normative signals in international prosocial crowdfunding: An illustration using market orientation and psychological capital. Int. Bus. Rev. 27, 208-217 (2018).
- Wu, X. B., Chen, X. L. & Li, J. Y. Research on the impact mechanism of strategic orientation and innovation mode on enterprise performance. Stud. Sci. Sci. 33, 118-127 (2015).
- Calantone, R. J., Cavusgil, S. T. & Zhao, Y. Learning orientation, firm innovation capability, and firm performance. Ind. Mark. Manag. 31, 515-524 (2002).
- Wiklund, J. & Shepherd, D. Entrepreneurial orientation and small business performance: A configurational approach. J. Bus. Ventur. 20, 71-91 (2005).
- Chou, C. & Yang, K.-P. The interaction effect of strategic orientations on new product performance in the high-tech industry: A nonlinear model. Technol. Forecast. Soc. Change 78, 63-74 (2011).
- Ozkaya, H. E., Droge, C., Hult, G. T. M., Calantone, R. & Ozkaya, E. Market orientation, knowledge competence, and innovation. Int. J. Res. Mark. 32, 309-318 (2015).
- Rakthin, S., Calantone, R. J. & Wang, J. F. Managing market intelligence: The comparative role of absorptive capacity and market orientation. J. Bus. Res. 69, 5569-5577 (2016).
- Guo, Y. & Wang, L. Environmental entrepreneurial orientation and firm performance: The role of environmental innovation and stakeholder pressure. Sage Open 12, 21582440211061350 (2022).
- Slater, S. F. & Narver, J. C. Does competitive environment moderate the market orientation-performance relationship?. J. Mark. 58, 46-55 (1994).
- Qu, R. & Ennew, C. T. An examination of the consequences of market orientation in China. J. Strateg. Mark. 11, 201-214 (2003).
- Yu, L. W. Research on the Impact of Government Regulation and Environmental Literacy on Farmers’ Green Entrepreneurship: Taking Planting Industry as an Example (Northwest A&F University, 2024). https://doi.org/10.27409/d.cnki.gxbnu.2023.000040.
- Hunt, S. D. & Lambe, C. J. Marketing’s contribution to business strategy: Market orientation, relationship marketing and resourceadvantage theory. Int. J. Manag. Rev. 2, 17-43 (2000).
Acknowledgements
This research was supported by The Research Project of the 2024 of The Chinese Vocational Education Society of Hubei Province (No.HBZJ2024208), The Key Project of the 2024 of China Business Statistics Association (No.2024STZD16), and The Teaching Research and Reform Project of the 2024 of Hubei University of Automotive Technology (No.SCJY202415). This research was completed under the leadership of Hubei University of Automotive Technology, Hubei University of Automotive Technology is the first affiliated institution.
Author contributions
Peng Cheng and Shaoling Wu: Conceptualization, Data curation, Formal analysis, Funding acquisition, Investigation, Methodology, Software, Validation, Visualization, Writing -original draft, Writing-review & editing; Juntao Xiao: Project administration, Resources, Supervision. All authors have read and agreed to the published versionof the manuscript.
Declarations
Competing interests
The authors declare no competing interests.
Additional information
Correspondence and requests for materials should be addressed to S.W.
Reprints and permissions information is available at www.nature.com/reprints.
Publisher’s note Springer Nature remains neutral with regard to jurisdictional claims in published maps and institutional affiliations.
Reprints and permissions information is available at www.nature.com/reprints.
Publisher’s note Springer Nature remains neutral with regard to jurisdictional claims in published maps and institutional affiliations.
Open Access This article is licensed under a Creative Commons Attribution-NonCommercial-NoDerivatives 4.0 International License, which permits any non-commercial use, sharing, distribution and reproduction in any medium or format, as long as you give appropriate credit to the original author(s) and the source, provide a link to the Creative Commons licence, and indicate if you modified the licensed material. You do not have permission under this licence to share adapted material derived from this article or parts of it. The images or other third party material in this article are included in the article’s Creative Commons licence, unless indicated otherwise in a credit line to the material. If material is not included in the article’s Creative Commons licence and your intended use is not permitted by statutory regulation or exceeds the permitted use, you will need to obtain permission directly from the copyright holder. To view a copy of this licence, visit http://creativecommo ns.org/licenses/by-nc-nd/4.0/.
© The Author(s) 2025
© The Author(s) 2025
Automotive Business School, Hubei University of Automotive Technology, Shiyan 442000, Hubei, China. Marketing Division, Dongfeng Commercial Vehicle Co., Ltd, Shiyan 442000, Hubei, China. Peng Cheng and Shaoling Wu contributed equally to this work and should be regarded as co-first authors email: 20030023@huat.edu.cn
