DOI: https://doi.org/10.1038/s42003-025-07470-9
PMID: https://pubmed.ncbi.nlm.nih.gov/39809882
تاريخ النشر: 2025-01-15
المؤلف: Qunlin Chen وآخرون
الموضوع الرئيسي: الإبداع في التعليم وعلوم الأعصاب
نظرة عامة
تبحث هذه الدراسة في العلاقة بين الإبداع والتفاعل الديناميكي بين شبكة الوضع الافتراضي (DMN) وشبكة التحكم التنفيذي (ECN) في الدماغ. من خلال استخدام تحليل ميتا واسع النطاق ومتعدد المراكز لبيانات التصوير بالرنين المغناطيسي الوظيفي في حالة الراحة وأداء المهام الإبداعية من 10 عينات متنوعة (N = 2433)، تكشف الدراسة أن الإبداع، وبشكل خاص القدرة على التفكير المتباين، يتم التنبؤ به بشكل كبير من خلال تكرار تبديلات DMN-ECN. ومن الجدير بالذكر أنه تم تحديد علاقة على شكل U مقلوب، مما يشير إلى أن الأداء الإبداعي الأمثل يتحقق بمستوى متوازن من تبديل DMN-ECN، بدلاً من التفاعل المفرط أو القليل.
تدعم النتائج أيضًا من خلال دراسة تحقق مستقلة باستخدام التصوير بالرنين المغناطيسي الوظيفي (N = 31)، والتي تظهر زيادة في تبديلات DMN-ECN أثناء توليد الأفكار الإبداعية مقارنة بالظروف الضابطة، مما يعزز العلاقة على شكل U مقلوب. تؤكد هذه الدراسة على أهمية التفاعلات العصبية المرنة والمتوازنة في تعزيز الإدراك الإبداعي، مما يوفر فهمًا أوضح للآليات العصبية الكامنة وراء الإبداع ويؤسس علامة عصبية محتملة للقدرة الإبداعية. بشكل عام، تؤكد الدراسة على الطبيعة الديناميكية للفكر الإبداعي، مما يبرز أهميته في تعزيز الابتكار عبر مجالات متنوعة.
الطرق
توضح قسم “الطرق” في ورقة البحث تصميم التجربة والتقنيات التحليلية المستخدمة للتحقيق في أسئلة البحث. استخدمت الدراسة نهجًا كميًا، مع دمج التحليلات الإحصائية لتقييم البيانات المجمعة من تجارب متنوعة. تضمنت المنهجيات المحددة تجارب مختبرية محكومة، حيث تم التلاعب بالمتغيرات بشكل منهجي لمراقبة تأثيراتها على النتائج المعنية.
شملت جمع البيانات استخدام أدوات وبروتوكولات موحدة لضمان الموثوقية والصلاحية. تم إجراء التحليل باستخدام برامج إحصائية مناسبة، مع تطبيق تقنيات مثل تحليل الانحدار وANOVA لتفسير النتائج. يبرز القسم أهمية إمكانية التكرار والشفافية في الطرق، موضحًا حجم العينة ومعايير الاختيار وأي تحيزات محتملة تم التعامل معها خلال الدراسة. بشكل عام، كانت الطرق المستخدمة مصممة لاختبار الفرضيات بدقة وتقديم نتائج قوية.
النتائج
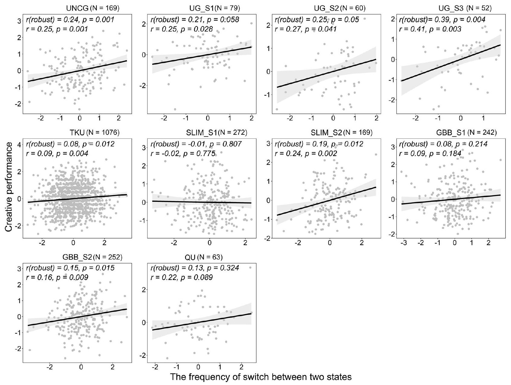
شمل التحليل عشرة مجموعات بيانات من خمسة مراكز، تضم 2,433 مشاركًا صحيًا تتراوح أعمارهم بين 16 و58 عامًا. تم تقييم الأداء الإبداعي باستخدام مهمة الاستخدامات البديلة، مع عدم وجود اختلافات ثابتة بين الجنسين أو ارتباطات عمرية كبيرة تم العثور عليها عبر مجموعات البيانات، باستثناء واحدة. من بين ست مجموعات بيانات تضمنت درجات الذكاء والإبداع، أظهرت ثلاث منها ارتباطًا إيجابيًا بين البناءين، مما يتماشى مع الأدبيات الموجودة.
تم دعم الفرضية الرئيسية المتعلقة بالعلاقة بين التبديل الديناميكي لشبكة الوضع الافتراضي (DMN) وشبكة التحكم التنفيذي (ECN) والأداء الإبداعي في سبع من مجموعات البيانات العشر. أظهر تحليل ميتا حجم تأثير إجمالي كبير قدره $g = 0.174$، مما يشير إلى أن تكرار التبديل الأعلى يرتبط بزيادة الإبداع. أظهرت تحليلات المودرات أن عوامل مثل الموقع ونوع الماسح وطرق التسجيل أثرت بشكل كبير على هذه العلاقة، بينما لم تؤثر المتغيرات المتعلقة بالمشاركين. أشارت تحليلات المجموعات الفرعية إلى أحجام تأثير متباينة عبر مجموعات بيانات مختلفة، مع تأثيرات إيجابية ملحوظة في مجموعات البيانات من النمسا وتلك التي استخدمت ماسحات التصوير بالرنين المغناطيسي المغناطيسية. تشير النتائج إلى أن الأفراد الأكثر إبداعًا يظهرون مرونة أكبر في التبديل بين حالات DMN وECN، مع بقاء النتائج قوية تحت طرق تحليلية متنوعة.
المناقشة
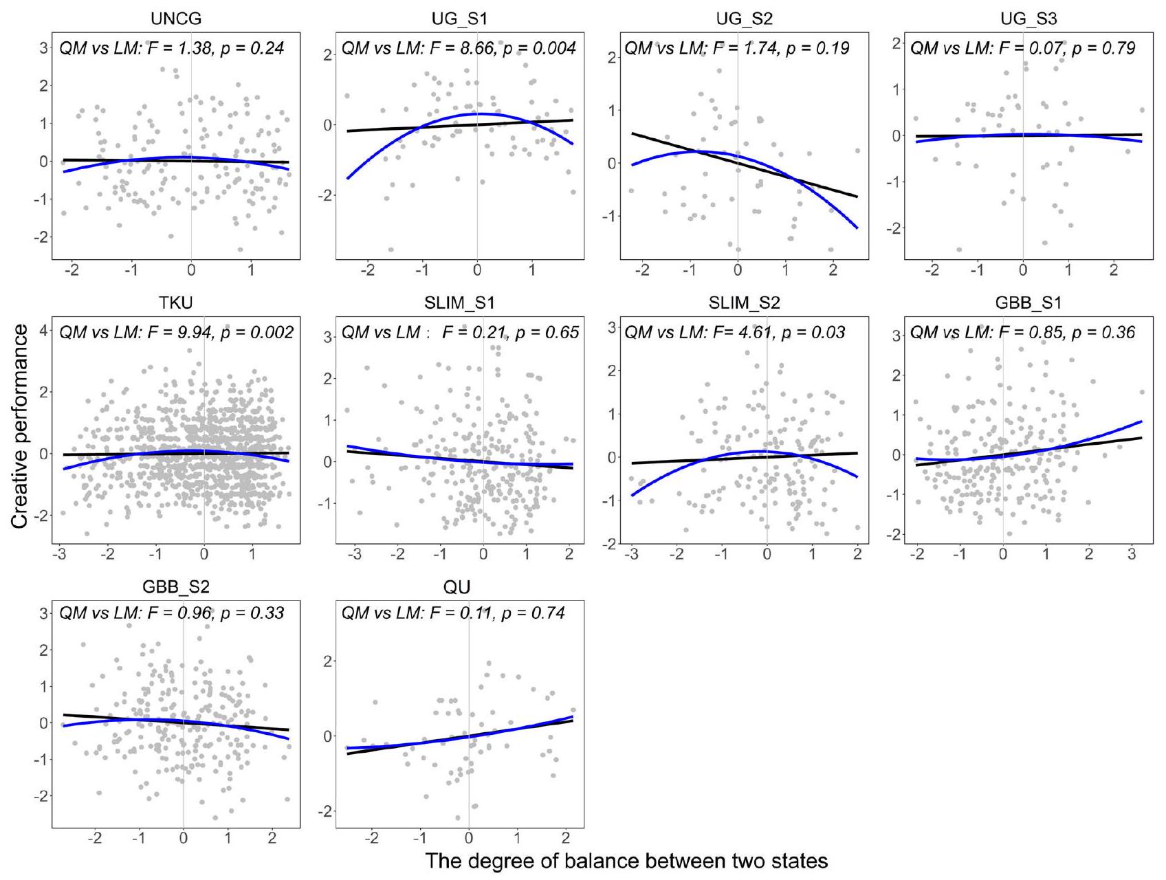
في هذه الدراسة، بحث المؤلفون في العلاقة بين تكرار التبديل لشبكة الوضع الافتراضي (DMN) وشبكة التحكم التنفيذي (ECN) والأداء الإبداعي، باستخدام نهج تحليلي ميتا عبر ست مجموعات بيانات (N = 908). أشارت النتائج إلى أنه بينما لم يكن حجم التأثير الإجمالي للذكاء كبيرًا (g = 0.023، p = 0.485)، تم ملاحظة تأثير كبير للأداء الإبداعي (g = 0.20، p = 0.01). وهذا يشير إلى أن تأثير تبديل DMN-ECN خاص بالإبداع وليس بالذكاء. بالإضافة إلى ذلك، أظهر تحليل الانحدار التربيعي أن توازنًا معتدلًا بين فصل DMN-ECN ودمجه يسهم في توليد الأفكار الإبداعية، مع حجم تأثير إجمالي قدره g = -0.07 (p = 0.024)، مما يشير إلى أن كل من الارتباط المفرط وغير الكافي قد يعيق الإبداع.
تم التحقق من النتائج بشكل أكبر من خلال تحليلات ضخمة ودراسات التصوير بالرنين المغناطيسي الوظيفي المستندة إلى المهام، والتي أظهرت أن الأفراد الذين يظهرون تكرارات تبديل أعلى بين DMN وECN أثناء المهام الإبداعية (مثل مهمة الاستخدامات البديلة) أدوا بشكل أفضل في توليد أفكار أصلية. ومن الجدير بالذكر أن توازن التبديل الديناميكي وُجد أنه يتنبأ بشكل كبير بالأداء الإبداعي، مما يعزز الفكرة القائلة بأن التعاون العصبي الأمثل بين هذه الشبكات أمر حاسم للإبداع. تختتم الدراسة بأن التفاعلات الديناميكية بين DMN وECN، التي تتميز بتبديلات متكررة ومتوازنة، هي علامات أساسية للقدرة الإبداعية، مما يبرز التفاعل المعقد للعمليات المعرفية المعنية في التفكير الإبداعي. يُشجع البحث المستقبلي على استكشاف الآليات العصبية الكامنة التي تسهل هذا التوازن.
القيود
في هذا القسم، يعترف المؤلفون بعدة قيود لدراستهم بشأن التفاعلات الديناميكية بين شبكة الوضع الافتراضي (DMN) وشبكة التحكم التنفيذي (ECN) فيما يتعلق بالقدرة الإبداعية. يشيرون إلى أن حجم التأثير الذي تم ملاحظته صغير، مما يدل على أن تفاعلات DMN-ECN هي مجرد واحدة من العديد من العوامل التي تؤثر على الإبداع، إلى جانب سمات الشخصية والانتباه والمعتقدات الذاتية. بينما تشير نتائجهم التحليلية الميتا إلى أن تفاعلات DMN-ECN الأكثر كفاءة ترتبط بقدرة إبداعية أعلى، فإن المزيد من البحث ضروري لاستكشاف الشبكات الدماغية واسعة النطاق وديناميكياتها عبر مهام إبداعية متنوعة لتمييز الأنماط العصبية العامة وتلك الخاصة بالإبداع.
بالإضافة إلى ذلك، يناقش المؤلفون آثار حجم العينة في نهجهم التحليلي الميتا، مشيرين إلى النقاش المستمر حول أهمية حجم التأثير مقابل حجم العينة في دراسات الارتباط على مستوى الدماغ. يجادلون بأنه بينما أحجام عيناتهم كافية لعلم الأعصاب الشبكي، فإن مجموعات البيانات الأكبر والأكثر تجانسًا ستعزز من اكتشاف العلاقات الحقيقية. كما يؤكدون على الحاجة إلى استراتيجية بحث متوازنة تشمل كل من الدراسات ذات العينة الصغيرة والاتحادات واسعة النطاق لتعميق فهم التفاعلات العصبية المعقدة في سلوك الإنسان. أخيرًا، يشيرون إلى أن اختيار أطلس الدماغ ودقته المكانية قد يؤثران على نتائج الدراسة، مما يشير إلى أن البحث المستقبلي يجب أن يكرر نتائجهم باستخدام أطالس متنوعة.
DOI: https://doi.org/10.1038/s42003-025-07470-9
PMID: https://pubmed.ncbi.nlm.nih.gov/39809882
Publication Date: 2025-01-15
Author(s): Qunlin Chen et al.
Primary Topic: Creativity in Education and Neuroscience
Overview
This research investigates the relationship between creativity and the dynamic interplay between the Default Mode Network (DMN) and the Executive Control Network (ECN) in the brain. Utilizing a large-scale, multi-center meta-analysis of resting-state fMRI and creative task performance data from 10 diverse samples (N = 2433), the study reveals that creativity, specifically divergent thinking ability, is significantly predicted by the frequency of DMN-ECN switches. Notably, an inverted-U relationship is identified, indicating that optimal creative performance is achieved with a balanced level of DMN-ECN switching, rather than excessive or minimal interaction.
The findings are further supported by an independent task-fMRI validation study (N = 31), which demonstrates increased DMN-ECN switching during creative idea generation compared to control conditions, reinforcing the inverted-U relationship. This research underscores the importance of flexible and balanced neural interactions in fostering creative cognition, providing a clearer understanding of the neural mechanisms underlying creativity and establishing a potential neural marker for creative ability. Overall, the study emphasizes the dynamic nature of creative thought, highlighting its significance in advancing innovation across various fields.
Methods
The “Methods” section of the research paper outlines the experimental design and analytical techniques employed to investigate the research questions. The study utilized a quantitative approach, incorporating statistical analyses to evaluate the data collected from various experiments. Specific methodologies included controlled laboratory experiments, where variables were systematically manipulated to observe their effects on the outcomes of interest.
Data collection involved the use of standardized instruments and protocols to ensure reliability and validity. The analysis was conducted using appropriate statistical software, applying techniques such as regression analysis and ANOVA to interpret the results. The section emphasizes the importance of replicability and transparency in the methods, detailing the sample size, selection criteria, and any potential biases that were addressed during the study. Overall, the methods employed were designed to rigorously test the hypotheses and provide robust findings.
Results
The analysis encompassed ten datasets from five centers, involving 2,433 healthy participants aged 16 to 58. Creative performance was evaluated using the Alternate Uses Task, with no consistent gender differences or significant age correlations found across datasets, except for one. Among six datasets that included both intelligence and creativity scores, three demonstrated a positive correlation between the two constructs, aligning with existing literature.
The primary hypothesis regarding the relationship between dynamic switching of the Default Mode Network (DMN) and Executive Control Network (ECN) and creative performance was supported in seven of the ten datasets. A meta-analysis revealed a significant overall effect size of $g = 0.174$, indicating that higher switching frequency correlates with enhanced creativity. Moderator analyses showed that factors such as location, scanner type, and scoring methods significantly influenced this relationship, while participant-related variables did not. Subgroup analyses indicated varying effect sizes across different datasets, with notable positive effects in datasets from Austria and those utilizing magnetome MRI scanners. The findings suggest that more creative individuals exhibit greater flexibility in switching between DMN and ECN states, with results remaining robust under various analytical methods.
Discussion
In this study, the authors investigated the relationship between switching frequency of the default mode network (DMN) and executive control network (ECN) and creative performance, employing a meta-analytic approach across six datasets (N = 908). The results indicated that while the overall effect size for intelligence was not significant (g = 0.023, p = 0.485), a significant effect was observed for creative performance (g = 0.20, p = 0.01). This suggests that the DMN-ECN switching effect is specific to creativity rather than intelligence. Additionally, a quadratic regression analysis revealed that a moderate balance between DMN-ECN segregation and integration is conducive to creative ideation, with an overall effect size of g = -0.07 (p = 0.024), indicating that both excessive and insufficient coupling may hinder creativity.
The findings were further validated through mega-analyses and task-based fMRI studies, which demonstrated that individuals exhibiting higher switching frequencies between DMN and ECN during creative tasks (e.g., Alternate Uses Task) performed better in generating original ideas. Notably, the balance of dynamic switching was found to significantly predict creative performance, reinforcing the notion that optimal neural cooperation between these networks is crucial for creativity. The study concludes that dynamic interactions between the DMN and ECN, characterized by frequent and balanced switching, are essential markers of creative ability, highlighting the complex interplay of cognitive processes involved in creative thinking. Future research is encouraged to explore the underlying neural mechanisms that facilitate this balance.
Limitations
In this section, the authors acknowledge several limitations of their study regarding the dynamic interactions between the default mode network (DMN) and executive control network (ECN) in relation to creative ability. They note that the effect size observed is small, indicating that DMN-ECN interactions are just one of many factors influencing creativity, alongside personality traits, attention, and self-beliefs. While their meta-analytic findings suggest that more efficient DMN-ECN interactions correlate with higher creative ability, further research is necessary to explore large-scale brain networks and their dynamics across various creative tasks to differentiate between general and creativity-specific neural patterns.
Additionally, the authors discuss the implications of sample size in their meta-analytic approach, highlighting the ongoing debate about the importance of effect size versus sample size in brain-wide association studies. They argue that while their sample sizes are adequate for network neuroscience, larger and more homogeneous datasets would enhance the detection of true relationships. They also emphasize the need for a balanced research strategy that includes both small-sample studies and large-scale consortia to deepen the understanding of complex neural interactions in human behavior. Lastly, they point out that the choice of brain atlas and its spatial resolution may influence the study’s outcomes, suggesting that future research should replicate their findings using diverse atlases.
