DOI: https://doi.org/10.1038/s41598-025-92884-y
PMID: https://pubmed.ncbi.nlm.nih.gov/40097509
تاريخ النشر: 2025-03-17
المؤلف: Gunaseelan Mani وآخرون
الموضوع الرئيسي: حلول المعادلات التفاضلية الكسرية
نظرة عامة
تبحث هذه الورقة البحثية في نموذج كسري لمرض الجلد المتكتل (LSD) باستخدام مشتق كابوتو-فابريزيو الكسري (CFF) لتعزيز فهم ديناميات المرض. يقوم المؤلفون بتطبيق نهج بيكارد-لينديلوف لتأسيس وجود وحصرية الحلول للنموذج. يستخدمون تقنيات عددية تدمج مشتق CFF مع النظرية الأساسية لحساب التفاضل الكسري ونظرية النقطة الثابتة لاشتقاق الحلول في إطار ترتيب كسري. توفر هذه المنهجية المبتكرة رؤى جديدة حول نموذج المرض، والتي لم يتم استكشافها سابقًا، وتبرز فعالية المشتقات الكسرية في التقاط ديناميات LSD.
في الاستنتاجات، تؤكد الدراسة وجود وحصرية الحلول من خلال نهج النقطة الثابتة وتقيّم استقرارها باستخدام معيار استقرار أولام-هايرز. يقدم المؤلفون محاكاة عددية تنتج تمثيلات رسومية واقعية لسلوك النموذج تحت أوامر كسري مختلفة، مما يساهم في تقديم رؤى قيمة لاستراتيجيات إدارة LSD. يشجعون على مزيد من استكشاف النموذج باستخدام تقنيات عددية بديلة ومشغلين كسريين مختلفين، مقترحين أن دراسة ديناميات LSD تحت مشتق ABC الكسري ومشتق كابوتو-فابريزيو الكسري الجزئي يمكن أن تكون طرقًا مثمرة للبحث المستقبلي.
النتائج
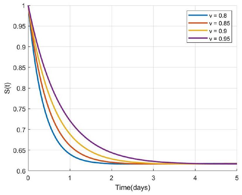
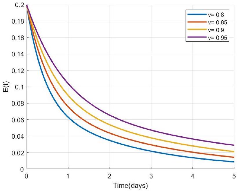
في هذا القسم، يقدم المؤلفون نتائج عددية مستمدة من نموذج مصمم لتحليل الانتشار الديناميكي لمرض الجلد المتكتل داخل مجموعة سكانية، مع التركيز على تأثيرات تغييرات الترتيب الكسري. يستخدم النموذج قيم معلمات محددة موضحة في الجدول 1 ويفحص النتائج لأوامر كسري مختلفة ($v = 0.8, 0.85, 0.9, 0.95$). تم تعيين القيم الأولية عند 2، وتتم مناقشة النتائج للسكان المعرضين ($S(t)$)، والمطعّمين ($V(t)$)، والمكشوفين ($E(t)$)، والمصابين ($I(t)$)، والمتعافين ($R(t)$).
تشير النتائج إلى أن السكان المعرضين ($S(t)$) يظهرون تغيرًا مستمرًا مع مرور الوقت، كما هو موضح في الشكل 3. وبالمثل، يظهر السكان المطعّمون ($V(t)$) اتجاهًا مستمرًا (الشكل 4)، بينما يتغير السكان المكشوفون ($E(t)$) أيضًا بشكل مستمر (الشكل 5). يظهر السكان المصابون ($I(t)$) تغيرًا مستمرًا مع مرور الوقت (الشكل 6)، ويلاحظ أن السكان المتعافين ($R(t)$) يزدادون بشكل ثابت (الشكل 7). تؤكد هذه النتائج تأثير الترتيب الكسري على ديناميات انتشار المرض وسلوك السكان.
المناقشة
تركز قسم المناقشة في الورقة البحثية على النمذجة الرياضية لمرض الجلد المتكتل (LSD) باستخدام مشتق كابوتو-فابريزيو (CF) الكسري. يتم تعريف النموذج من خلال نظام من المعادلات التفاضلية الكسرية التي تصف ديناميات السكان المعرضين ($S$)، والفيروس ($V$)، والمكشوفين ($E$)، والمصابين ($I$)، والمتعافين ($R$). يثبت المؤلفون إيجابية وحصرية الحلول للنموذج، مما يظهر أن جميع المتغيرات الحالة تبقى غير سالبة مع مرور الوقت. يتم إثبات إيجابية الحلول باستخدام النظريات واللممات المتعلقة بخصائص مشغل CF الكسري، مما يضمن بقاء النظام ضمن الربع الإيجابي لحقل المتجهات.
علاوة على ذلك، يثبت المؤلفون وجود وحصرية الحلول من خلال نهج مشغل تكاملي، مستخدمين نظريات النقطة الثابتة ويظهرون أن النموذج يلتزم بشروط ليبشيتز. يتم أيضًا إثبات استقرار أولام-هايرز للنموذج، مما يشير إلى أن الاضطرابات الصغيرة في الشروط الأولية تؤدي إلى انحرافات محدودة في الحلول. يختتم القسم بخطة عددية تعتمد على تداخل لاغرانج، والتي تستخدم لمحاكاة سلوك النموذج تحت أوامر كسري مختلفة، مما يوفر رؤى حول ديناميات LSD واستراتيجيات الإدارة المحتملة. يشجع المؤلفون على مزيد من استكشاف النموذج باستخدام تقنيات عددية بديلة ومشغلين كسريين مختلفين لتعزيز فهم ديناميات LSD.
DOI: https://doi.org/10.1038/s41598-025-92884-y
PMID: https://pubmed.ncbi.nlm.nih.gov/40097509
Publication Date: 2025-03-17
Author(s): Gunaseelan Mani et al.
Primary Topic: Fractional Differential Equations Solutions
Overview
This research paper investigates a fractional model of Lumpy Skin Disease (LSD) using the Caputo-Fabrizio fractional (CFF) derivative to enhance the understanding of the disease’s dynamics. The authors apply the Picard-Lindelof approach to establish the existence and uniqueness of solutions for the model. They utilize numerical techniques that integrate the CFF derivative with the fundamental theorem of fractional calculus and fixed point theorem to derive solutions in a fractional order framework. This innovative methodology provides new insights into the disease model, which were previously unexplored, and highlights the effectiveness of fractional derivatives in capturing the dynamics of LSD.
In the conclusions, the study confirms the existence and uniqueness of solutions through a fixed point approach and assesses their stability using the Ulam-Hyers stability criterion. The authors present numerical simulations that yield realistic graphical representations of the model’s behavior under various fractional orders, contributing valuable insights for LSD management strategies. They encourage further exploration of the model using alternative numerical techniques and different fractional operators, suggesting that studying LSD dynamics under the ABC fractional derivative and piecewise Caputo-Fabrizio fractional derivative could be fruitful avenues for future research.
Results
In this section, the authors present numerical results derived from a model designed to analyze the dynamic spread of Lumpy Skin Disease within a population, focusing on the effects of fractional order changes. The model utilizes specific parameter values outlined in Table 1 and examines the outcomes for various fractional orders ($v = 0.8, 0.85, 0.9, 0.95$). Initial values were set at 2, and the results for the susceptible ($S(t)$), vaccinated ($V(t)$), exposed ($E(t)$), infected ($I(t)$), and recovered ($R(t)$) populations are discussed.
The findings indicate that the susceptible population ($S(t)$) exhibits continuous variation over time, as illustrated in Fig. 3. Similarly, the vaccinated population ($V(t)$) shows a continuous trend (Fig. 4), while the exposed population ($E(t)$) also varies continuously (Fig. 5). The infected population ($I(t)$) demonstrates a continuous change over time (Fig. 6), and the recovered population ($R(t)$) is observed to increase steadily (Fig. 7). These results underscore the influence of fractional order on the dynamics of disease spread and population behavior.
Discussion
The discussion section of the research paper focuses on the mathematical modeling of Lumpy Skin Disease (LSD) using the Caputo-Fabrizio (CF) fractional derivative. The model is defined by a system of fractional differential equations that describe the dynamics of susceptible ($S$), virus ($V$), exposed ($E$), infected ($I$), and recovered ($R$) populations. The authors establish the positivity and uniqueness of solutions for the model, demonstrating that all state variables remain non-negative over time. The positivity of solutions is proven using theorems and lemmas related to the properties of the CF fractional operator, ensuring that the system remains within the positive octant of the vector field.
Furthermore, the authors prove the existence and uniqueness of solutions through an integral operator approach, employing fixed-point theorems and demonstrating that the model adheres to Lipschitz conditions. The Ulam-Hyers stability of the model is also established, indicating that small perturbations in the initial conditions lead to bounded deviations in the solutions. The section concludes with a numerical scheme based on Lagrange interpolation, which is used to simulate the model’s behavior under various fractional orders, providing insights into the dynamics of LSD and potential management strategies. The authors encourage further exploration of the model with alternative numerical techniques and different fractional operators to enhance understanding of LSD dynamics.
