DOI: https://doi.org/10.1038/s41598-025-87167-5
PMID: https://pubmed.ncbi.nlm.nih.gov/39856175
تاريخ النشر: 2025-01-24
المؤلف: Hany S. El‐Mesery وآخرون
الموضوع الرئيسي: دراسات الثوم والبصل
نظرة عامة
تبحث الدراسة في تحسين عمليات تجفيف الثوم من خلال تطبيق تقنيات التعلم الآلي، وتحديداً الشبكات العصبية الاصطناعية (ANN) والخرائط الذاتية التنظيم (SOM). قامت الدراسة بتقييم مستويات مختلفة من طاقة الأشعة تحت الحمراء (IR) وتدفق الهواء ودرجة الحرارة، وكشفت أن الشبكة العصبية الاصطناعية حققت دقة توقع تبلغ 99%، بينما أظهرت الخرائط الذاتية التنظيم دقة تجميع تبلغ 97%. تشير النتائج الرئيسية إلى أن الخصائص الفيزيائية والكيميائية للثوم المجفف، بما في ذلك قوة النكهة، ومحتوى الأليسين، ونشاط الماء، ومستويات فيتامين C، تأثرت بشكل كبير بالمتغيرات المستقلة (P < 0.01). تم تحديد الظروف المثلى لمحتوى النكهة عند درجات حرارة منخفضة وتدفق هواء مرتفع، بينما ارتبطت شدة الأشعة تحت الحمراء ودرجة الحرارة العالية بزيادة التغير الكلي في اللون ولكن بتقليل جودة النكهة. تؤكد الخاتمة على إمكانية استخدام التعلم الآلي لتحسين عمليات تجفيف الطعام مع الحفاظ على الصفات الأساسية للجودة. تحدد الدراسة خمسة مجالات للتحسين في إنتاج الثوم، مشيرة إلى أن الحفاظ على درجة حرارة الهواء ثابتة والأشعة تحت الحمراء يمكن أن يعزز الجودة. تشمل اتجاهات البحث المستقبلية دمج تقنيات المراقبة المتقدمة، مثل رؤية الكمبيوتر وتقنية الاستشعار، لمراقبة عمليات التجفيف بشكل أفضل. بالإضافة إلى ذلك، يُوصى باستكشاف تقنيات تجفيف الحقول الفيزيائية الفعالة المختلفة، بما في ذلك الطرق فوق الصوتية والميكروويف، لمعالجة التحديات المحددة في تجفيف الفواكه والخضروات، وبالتالي تحسين جودة المنتج وكفاءة التشغيل في صناعة المواد الغذائية.
الطرق
في هذا القسم، يصف المؤلفون المنهجية المستخدمة لتدريب شبكة عصبية اصطناعية (ANN) باستخدام تقنية الانتشار العكسي مع دالة تنشيط سيغمويد. تم تطوير الشبكة العصبية الاصطناعية باستخدام MATLAB، حيث تم تقسيم مجموعة البيانات إلى 70% للتدريب و30% للاختبار. كانت التكوينات المثلى تتكون من 12 خلية عصبية موزعة عبر طبقتين مخفيتين، مما حقق توازناً بين الأداء والانحدار، كما هو موضح في الشكل 4. أظهر النموذج دقة توقع ملحوظة تبلغ 99%، كما هو موضح في الشكل 5، الذي يقارن بين الانحدار والأداء للتكوينات مع أعداد مختلفة من الطبقات المخفية والخلايا العصبية.
تُعتبر طريقة الانتشار العكسي معروفة باستقرارها عند معدلات تعلم منخفضة، مما يضمن تدريباً فعالاً للشبكة العصبية الاصطناعية. قبل دمجها في إطار الشبكة العصبية الاصطناعية، تم تطبيع مجموعة البيانات وفقًا للمعادلة \( X_i = \frac{x_{i,\text{max}} – x_i}{x_{i,\text{max}} – x_{i,\text{min}}} \)، كما هو موضح في المعادلة 8. تعتبر هذه العملية التطبيعية حاسمة لتحسين أداء النموذج وضمان أن تكون بيانات الإدخال مقاسة بشكل مناسب للشبكة العصبية الاصطناعية.
النتائج
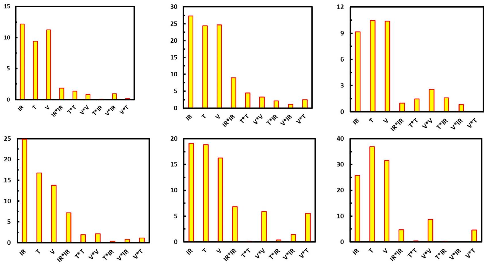
تشير النتائج إلى أن الشبكة العصبية الاصطناعية (ANN) فعالة للغاية في توقع النتائج في الهياكل غير الخطية، خاصة فيما يتعلق بخصائص الجودة المتأثرة بالإشعاع والسرعة ودرجة الحرارة. حدد تحليل باريتو قيمة عتبة مهمة تبلغ 2.11، فوقها تعتبر المتغيرات مهمة. ظهر الإشعاع كعامل رئيسي يؤثر على اللون والأليسين ونشاط الماء، بينما كانت درجة الحرارة هي العامل الرائد للنكهة وفيتامين C. تسلط الدراسة الضوء على أهمية تفاعلات العوامل، كاشفة أن السرعة تؤثر بشكل كبير على النكهة وفيتامين C، بينما يكون الإشعاع أكثر أهمية للأليسين ونشاط الماء.
تظهر نتائج تحليل المكونات الرئيسية (PCA) أن فيتامين C له التأثير الأكبر على المكون الرئيسي الأول (PC1)، بينما تعتبر النكهة ونشاط الماء والأليسين مهمة في المكون الرئيسي الثاني (PC2). لوحظت علاقات إيجابية بين فيتامين C والأليسين ونشاط الماء، مما يشير إلى أن التجفيف يؤثر سلبًا على اللون ولكنه يؤثر إيجابيًا على النكهة ونشاط الماء وفيتامين C والأليسين. بالإضافة إلى ذلك، أظهرت الخرائط الذاتية التنظيم (SOM) دقة تجميع تبلغ 97%، كاشفة عن مجموعات متميزة من خصائص الجودة عبر ظروف التجفيف المختلفة. تشير تحليل هذه المجموعات إلى مستويات متغيرة من نشاط الماء والنكهة واللون وفيتامين C، مما يوفر رؤى قيمة حول معايير التجفيف المثلى.
المناقشة
في هذه الدراسة، تم تحسين عملية تجفيف الثوم (Allium sativum L.) باستخدام مجفف حزام ناقل هجين مزود بأنظمة تسخين بالأشعة تحت الحمراء وتدفق الهواء الساخن. تم إعداد عينات الثوم عن طريق التقطيع ومعالجتها بمادة ميتابيسلفيت الصوديوم لمنع البني قبل التجفيف. تم تغيير ظروف التجفيف، بما في ذلك درجة حرارة الهواء (40، 50، و60 °م)، وتدفق الهواء (0.7، 1.0، و1.5 م/ث)، وشدة الأشعة تحت الحمراء (1500، 2000، و3000 واط/م²)، بشكل منهجي لتقييم تأثيرها على الخصائص الفيزيائية والكيميائية للثوم المجفف، بما في ذلك محتوى الرطوبة وفيتامين C والأليسين وقوة النكهة وتغيرات اللون.
أشارت النتائج إلى أن تدفق الهواء الأعلى ودرجات الحرارة المنخفضة كانت مثالية للحفاظ على محتوى النكهة، بينما أدت درجات حرارة التجفيف المرتفعة وشدات الأشعة تحت الحمراء إلى تغييرات ملحوظة في اللون وتدهور فيتامين C والأليسين. على وجه التحديد، وجدت الدراسة أن محتوى فيتامين C انخفض مع ارتفاع درجات الحرارة، حيث لوحظ أقل احتفاظ عند 60 °م و3000 واط/م². على العكس، تم الحفاظ على محتوى الأليسين بشكل أفضل عند درجات حرارة منخفضة، مما يبرز أهمية التحكم في ظروف التجفيف للحفاظ على القيم الغذائية والحسية للثوم. تم استخدام تقنيات التعلم الآلي، بما في ذلك الشبكات العصبية الاصطناعية (ANN) والخرائط الذاتية التنظيم (SOM)، لتحليل البيانات، محققة دقة عالية في التوقع والتجميع، مما يظهر إمكانيات هذه الطرق في تحسين عمليات تجفيف الطعام. تشمل اتجاهات البحث المستقبلية دمج تقنيات المراقبة المتقدمة واستكشاف طرق التجفيف المختلفة لتعزيز جودة المنتج وكفاءته في صناعة المواد الغذائية.
DOI: https://doi.org/10.1038/s41598-025-87167-5
PMID: https://pubmed.ncbi.nlm.nih.gov/39856175
Publication Date: 2025-01-24
Author(s): Hany S. El‐Mesery et al.
Primary Topic: Garlic and Onion Studies
Overview
The research investigates the optimization of garlic drying processes through the application of machine learning techniques, specifically Artificial Neural Networks (ANN) and Self-Organizing Maps (SOM). The study assessed various levels of infrared (IR) power, airflow, and temperature, revealing that the ANN achieved a predicting accuracy of 99%, while the SOM demonstrated a clustering accuracy of 97%. Key findings indicate that the physicochemical properties of dried garlic, including flavor strength, allicin content, water activity, and vitamin C levels, were significantly influenced by the independent variables (P < 0.01). Optimal conditions for flavor content were identified at low temperatures and high airflow, whereas higher IR intensity and temperature correlated with increased total color change but decreased flavor quality. The conclusion emphasizes the potential of machine learning to enhance food drying processes while preserving essential quality attributes. The study identifies five areas for improvement in garlic production, suggesting that maintaining constant air temperature and IR can enhance quality. Future research directions include the integration of advanced observation technologies, such as computer vision and sensor technology, to better monitor drying processes. Additionally, the exploration of various efficient physical field drying technologies, including ultrasonic and microwave methods, is recommended to address specific challenges in drying fruits and vegetables, thereby optimizing product quality and operational efficiency in the food industry.
Methods
In this section, the authors describe the methodology employed for training an artificial neural network (ANN) using the back-propagation technique with a sigmoid activation function. The ANN was developed using MATLAB, with the dataset divided into 70% for training and 30% for testing. The optimal configuration consisted of 12 neurons distributed across two hidden layers, achieving a balance between performance and regression, as depicted in Figure 4. The model demonstrated a remarkable 99% prediction accuracy, as shown in Figure 5, which compares the regression and performance of configurations with varying numbers of hidden layers and neurons.
The back-propagation method is noted for its stability at low learning rates, ensuring effective training of the ANN. Prior to integration into the ANN framework, the dataset was normalized according to the equation \( X_i = \frac{x_{i,\text{max}} – x_i}{x_{i,\text{max}} – x_{i,\text{min}}} \), as indicated in Equation 8. This normalization process is crucial for enhancing the model’s performance and ensuring that the input data is appropriately scaled for the ANN.
Results
The results indicate that the Artificial Neural Network (ANN) is highly effective for predicting outcomes in nonlinear structures, particularly in relation to quality attributes influenced by radiation, velocity, and temperature. A Pareto analysis identified a significant threshold value of 2.11, above which variables are deemed important. Radiation emerged as the primary factor affecting color, allicin, and water activity, while temperature was the leading factor for flavor and vitamin C. The study highlights the importance of factor interactions, revealing that velocity significantly impacts flavor and vitamin C, whereas radiation is more critical for allicin and water activity.
Principal Component Analysis (PCA) results show that vitamin C has the most substantial influence on the first principal component (PC1), while flavor, water activity, and allicin are significant in the second principal component (PC2). Positive correlations among vitamin C, allicin, and water activity were observed, suggesting that drying negatively affects color but positively influences flavor, water activity, vitamin C, and allicin. Additionally, self-organizing maps (SOM) demonstrated a clustering accuracy of 97%, revealing distinct groupings of quality characteristics across different drying conditions. The analysis of these clusters indicates varying levels of water activity, flavor, color, and vitamin C, providing valuable insights into optimal drying parameters.
Discussion
In this study, the drying process of garlic (Allium sativum L.) was optimized using a hybrid conveyor belt dryer equipped with infrared heating and hot air convection systems. The garlic samples were prepared by slicing and treating with sodium metabisulfite to prevent browning before dehydration. The drying conditions, including air temperature (40, 50, and 60 °C), airflow (0.7, 1.0, and 1.5 m/s), and infrared intensity (1500, 2000, and 3000 W/m²), were systematically varied to assess their impact on the physicochemical properties of the dried garlic, including moisture content, vitamin C, allicin, flavor strength, and color changes.
The results indicated that higher airflow and lower temperatures were optimal for preserving flavor content, while increased drying temperatures and infrared intensities led to significant color changes and degradation of vitamin C and allicin. Specifically, the study found that the vitamin C content decreased with rising temperatures, with the lowest retention observed at 60 °C and 3000 W/m². Conversely, allicin content was better preserved at lower temperatures, highlighting the importance of controlling drying conditions to maintain garlic’s nutritional and sensory qualities. Machine learning techniques, including Artificial Neural Networks (ANN) and Self-Organizing Maps (SOM), were employed to analyze the data, achieving high prediction and clustering accuracies, thus demonstrating the potential of these methods in optimizing food drying processes. Future research directions include the integration of advanced observation technologies and the exploration of various drying methods to further enhance product quality and efficiency in the food industry.
