المجلة: Scientific Reports، المجلد: 15، العدد: 1
DOI: https://doi.org/10.1038/s41598-025-85660-5
PMID: https://pubmed.ncbi.nlm.nih.gov/39824900
تاريخ النشر: 2025-01-17
DOI: https://doi.org/10.1038/s41598-025-85660-5
PMID: https://pubmed.ncbi.nlm.nih.gov/39824900
تاريخ النشر: 2025-01-17
فتح
تحقيق في العوامل الفيزيائية والكيميائية التي تؤثر على الهضم في المختبر ومؤشرات السكر في الدم لطرز الأرز الهندي المحلية
الأرز (Oryza sativa) هو محصول غذائي حيوي ونظام غذائي أساسي لمعظم سكان العالم. لقد كان للاختيارات الغذائية السيئة دور كبير في تطور مرض السكري من النوع الثاني في السكان الذين يعتمدون على الأرز والأطعمة المعتمدة على نشا الأرز. لذلك، درست دراستنا الهضم في المختبر ومؤشرات السكر في الدم لبعض أصناف الأرز المحلية والعوامل المؤثرة على هذه المؤشرات. تم تقدير خصائص الطهي لأصناف الأرز. علاوة على ذلك، تم تقدير التحقيقات الكيميائية الحيوية مثل محتوى الأميلوز ومحتوى النشا المقاوم باستخدام طريقة معقد اليود الأزرق ومجموعة ميغازايم على التوالي. تم تقدير مؤشر السكر في الدم في المختبر باستخدام طريقة GOPOD. تم تصنيف أصناف الأرز التي تم النظر فيها في دراستنا إلى أصناف أرز منخفضة ومتوسطة وعالية الأميلوز. تم إخضاع أصناف الأرز للتوصيف الفيزيائي الكيميائي باستخدام تقنيات مطيافية الأشعة تحت الحمراء بتحويل فورييه (FTIR) وقياس المسح الحراري التفاضلي (DSC). كشفت تحليل طيف FTIR عن وجود نطاقات بارزة عند 3550-3200، 2927-2935، 1628-1650، 1420-1330، و1300-1000 سم-1 والتي تت correspond إلى مجموعات -OH،
, و
تمتد، و
واهتزازات انحناء -CH، مما يؤكد وجود النشا والبروتينات والدهون. بالإضافة إلى ذلك، أكد نسبة FTIR R(1047/1022) الهيكل المنظم للأميلوبكتين. كشفت تحليل DSC عن تباينات في معلمات الجيلاتينية، مما يدل على تباينات في الهياكل الدقيقة للأميلوبكتين ودرجة التفرع داخل حبيبات النشا. تراوحت نسبة النشا المقاوم (RS) من 0.50-2.6%. تراوحت قوة الانتفاخ (SP) لدقيق الأرز بين 4.1 و
. علاوة على ذلك، تم تصنيف معظم أصناف الأرز على أنها ذات مؤشر سكر في الدم مرتفع (GI) بناءً على GI في المختبر المقدّر (eGI)، والذي يتراوح من 73.74-90.88. تم أيضًا التحقيق في خصائص الطهي لهذه المواد. نظرًا لأن محتوى الأميلوز هو أحد العوامل الرئيسية لتحديد خصائص الطهي والأكل والهضم للأرز، فقد درسنا العلاقات بين محتوى الأميلوز وغيرها من الخصائص الكيميائية الحيوية لأصناف الأرز. كانت SP وGI مرتبطة سلبًا بمحتوى الأميلوز، بينما كان لـ RS علاقة إيجابية. يمكن أن تكون نتائج دراستنا مفيدة في توضيح الملف الغذائي والعوامل المؤثرة على قابلية هضم أصناف الأرز التقليدية مما سيعزز استهلاكها وزراعتها ويساهم في الأمن الغذائي المستقبلي.
الكلمات الرئيسية: الهضم في المختبر، مؤشر السكر في الدم، محتوى الأميلوز، النشا المقاوم، قوة الانتفاخ، امتصاص الماء، خصائص الطهي
الأرز (Oryza sativa) هو أحد أهم المحاصيل الغذائية في العالم، وهو نظام غذائي أساسي لنحو نصف سكان العالم. إنتاج الأرز واستهلاكه هو الأعلى بين السكان الآسيويين، وخاصة بين الهنود
. يمثل إنتاج الأرز في الهند حوالي
من الإنتاج العالمي للأرز. تتمتع ولايات كارناتاكا
(
، خطوط العرض
و
وخطوط الطول
و
)
وآسام (خطوط العرض الاستوائية
إلى
وخطوط الطول الشرقية
تتمتع بشكل طبيعي بتنوع واسع من النباتات وظروف مناخية مختلفة تدعم زراعة أصناف الأرز المحلية الجديدة. علاوة على ذلك، تتمتع كارناتاكا بمناخ استوائي مع درجة حرارة تقارب
. وتقع في المناطق المناخية الزراعية X و XII، ومتوسط هطول الأمطار السنوي هو
. هناك أنواع مختلفة من التربة في جميع أنحاء الولاية تؤثر على أنماط الزراعة. ومع ذلك، تتميز آسام بدرجة حرارة استوائية تتراوح بين 10.4-32.3
، وهطول أمطار كبير، ورطوبة عالية. لذلك، تدعم منطقتان مختلفتان من الظروف المناخية الزراعية نمو مجموعة واسعة من أصناف الأرز المحلية الغنية بالمغذيات التي تختلف في خصائصها الغذائية ومعدل الهضم. يتم زراعة واستهلاك أصناف الأرز التقليدية بشكل رئيسي في جميع أنحاء العالم، ويهتم المزارعون بهذه الأصناف بسبب جودة حبوبها الفائقة. نظرًا لأن كل صنف يظهر تكيفًا بيئيًا، فهي تعتبر احتياطيات جينية مهمة جدًا بسبب ميزاتها التي تم اختبارها عبر الزمن
. من بين هذه الأصناف التقليدية، بعض من أبرز أصناف الأرز المزروعة في كارناتاكا هي راجامودي، راتناشودي، غاندا سال، وجيريج سنا. جوها، باو، سال، وتشاكوا هي الأكثر شهرة في منطقة شمال شرق الهند. صنف الأرز راجامودي هو نوع غريب وبارز كان مطلوبًا بشدة للاستخدام في المطابخ الملكية والمأكولات الفاخرة. تم زراعة أصناف الأرز راجامودي خصيصًا لملوك منطقة ميسور في كارناتاكا. لديها نوعان بناءً على لون حبة الأرز، بيلي (أبيض) وكيمبو (أحمر) تُستخدم أصناف الأرز الأحمر راجامودي غالبًا من قبل ممارسي الأيورفيدا لعلاج مختلف الأمراض، مثل ارتفاع ضغط الدم ومشاكل الهضم. على وجه الخصوص، يتم إطعام عصيدة الأرز الأحمر للأشخاص الذين يعانون من الحمى لأنها تساعد في الحفاظ على درجة حرارة الجسم المثلى. غاندا (عطر) سال، جوها وجيريج سنا هي أصناف أرز عطرية تُستخدم في المناسبات الخاصة بسبب عطرها وخصائص الطهي الممتازة. علاوة على ذلك، تُستخدم أصناف الأرز العطرية التقليدية لعلاج فقر الدم لأنها تحتوي على كميات عالية من الحديد والزنك وبالتالي تزيد من توافر الحديد. يُغذى باناتي (النساء المرضعات) وأكي (الأرز) عادةً للنساء المرضعات لأنها تُقال إنها توفر قوة كبيرة وتعزز الرضاعة. يتم طهي واستهلاك العديد من أصناف الأرز التقليدية كحبوب كاملة، وغالبًا ما تُوصف بأنها أطعمة وظيفية بسبب خصائصها الغذائية. ومع ذلك، يتم معالجة بعض هذه المنتجات بكفاءة إلى منتجات غذائية قائمة على الأرز مثل نودلز الأرز، كعك الأرز، رقائق الأرز، أرز منتفخ وغيرها من الأطعمة الشهية المعتمدة على الأرز ونشا الأرز التي تحظى بشعبية بين الآسيويين. نظرًا لأن الكربوهيدرات الغذائية هي المصدر الرئيسي للطاقة لمعظم الناس، فإن فهم جودة الكربوهيدرات أمر بالغ الأهمية للإدارة الغذائية للأمراض الأيضية مثل السكري من النوع 2 والسمنة. تعتبر خيارات النظام الغذائي السيئة من المساهمين الرئيسيين في تطور السكري من النوع 2 والسمنة. على وجه الخصوص، يتم استهلاك الأرز والأطعمة الأخرى المعتمدة على النشا. يعد تحديد مؤشر السكر في الدم ومحتوى النشا المقاوم نهجًا مهمًا لتقييم جودة الأطعمة الغنية بالكربوهيدرات. يرتبط استهلاك الأطعمة ذات المؤشر الجلايسيمي المنخفض والأطعمة ذات النشا المقاوم العالي بالعديد من الفوائد الصحية، مثل تحسين حساسية الأنسولين، وتحسين صحة الجهاز الهضمي، وتقليل خطر الإصابة بالسكري من النوع 2، وتقليل الهيموغلوبين
لقد أفادت دراسات متنوعة بأن مجموعة واسعة من أصناف الأرز الأحمر التقليدي مرتبطة بخصائص طبية وغذائية، مما يوفر بدوره العديد من الفوائد الصحية للناس بعد الاستهلاك. بالإضافة إلى ذلك، لدى المجتمعات المحلية عدة وجهات نظر أخرى حول هذه الأصناف التقليدية من الأرز بجانب كونها غذاءً أساسياً. لذلك، في دراستنا، قمنا بتحديد القابلية للهضم في المختبر، ومؤشر نسبة السكر في الدم، ومحتوى النشا المقاوم لأصناف الأرز التقليدي غير المقشور التي تتواجد في ولايتي كارناتاكا وآسام في الهند. علاوة على ذلك، قمنا بتوصيف خصائص الطهي، ومعلمات الجيلاتينية باستخدام قياس المسح الحراري التفاضلي (DSC)، والتغيرات في هيكلها الكيميائي بسبب الاختلافات في القابلية للهضم باستخدام مطيافية الأشعة تحت الحمراء بتحويل فورييه (FTIR). كان الهدف الرئيسي من هذه الدراسة هو مقارنة القابلية للهضم في المختبر لأصناف الأرز التقليدي المزروعة في منطقة كارناتاكا وآسام وتحديد العلاقات بين محتوى الأميلوز، ومؤشر نسبة السكر في الدم، ومحتوى النشا المقاوم والقابلية للهضم. حالياً، بالإضافة إلى كونها غذاءً أساسياً، تعتبر هذه الأنواع التقليدية من الأرز من عدة وجهات نظر أخرى. لذلك، ستفيد نتائج دراستنا المنهجية في توضيح الملف الغذائي والعوامل المؤثرة على قابلية الهضم لأصناف الأرز التقليدي من كارناتاكا وآسام، مما سيساعد في دعم تنافسية السوق العالمية وتعزيز استهلاك وزراعة أصناف الأرز التقليدية.
المواد والطرق
جمع العينات
تم جمع أصناف الأرز من المزارعين المحليين في ولاية كارناتاكا (بانانثي آكي، غاندا سال، بيلي راجامودي، بيتا سانا، سالم سانا، تانو، بيلي موغوثي، كيمبو راجامودي، كاجي ثالي، كافيري) ومنطقة آسام (نيولي، ثانغام تشامبا، تيل بورا، كونونكوروفاي، جوم بيجي، تشاكاو، آد باو، كوتكوتي سالي، بسمتي، بار) في الهند. تم إزالة القشرة من العينات للحصول على حبوب الأرز. تم طحن 10 جرام من حبوب الأرز بشكل ناعم باستخدام خلاط (750 وات، بريستيج ديلايت، الهند) وتم غربلتها من خلال
غربال للحصول على دقيق الأرز. يتم تخزينه في حاوية محكمة الإغلاق حتى يتم التحليل لاحقًا.
الخصائص الفيزيائية لحبوب الأرز
تمت دراسة الخصائص الظاهرية لحبوب الأرز المقشور. تم قياس المعايير الفيزيائية، مثل الطول والعرض والسماكة لحبوب الأرز، باستخدام أدوات قياس رقمية.
تحديد وقت الطهي، نسبة امتصاص الماء، نسبة إطالة الحبة، ونسبة توسع الحجم
وقت الطهي
تم تقدير وقت الطهي بواسطة طريقة الطهي في الوعاء المفتوح. تم طهي حبات الأرز (5 جرام) في 100 مل من الماء المقطر. في هذه الأثناء، تم بدء ساعة العد التنازلي. كل 5 دقائق، تم إزالة بعض حبات الأرز من وعاء الطهي ووضعها بين شريحتين زجاجيتين للتحقق من عدم وجود نوى بيضاء في الأرز.
تتوقف ساعة العد التنازلي بمجرد الانتهاء من الطهي، ويتم تسجيل الوقت النهائي كوقت الطهي المحدد. .
تتوقف ساعة العد التنازلي بمجرد الانتهاء من الطهي، ويتم تسجيل الوقت النهائي كوقت الطهي المحدد.
امتصاص الماء (WU)
الحد الأدنى من كمية الماء التي تمتصها حبات الأرز خلال عملية الطهي يُشار إليه باسم امتصاص الماء. تم وزن جرامين من الأرز وطهيهما في 10 مل من الماء حتى نضج الأرز تمامًا. تم إزالة حبات الأرز الفردية ووضعها بين شريحتين زجاجيتين بحيث لا يوجد نواة بيضاء، مما يضمن الطهي الكامل. ثم تم تصفية الأرز المطبوخ، وتم قياس الماء الزائد. يتم حساب كمية الماء الممتص عن طريق طرح كمية الماء المصرف من كمية الماء الأولية المضافة. ثم تم التعبير عن امتصاص الماء لمختلف أصناف الأرز كـ 100 جرام من الأرز.
.
نسبة إطالة الحبة (ER) ونسبة توسع الحجم (VER)
تم قياس طول الحبة الأولي (L0) باستخدام جهاز قياس رقمي قبل الطهي، وتم تسجيل طول الحبة النهائي (L1) بعد الطهي.
تم حساب نسبة إطالة الحبة كنسبة طول الأرز المطبوخ إلى طول حبات الأرز غير المطبوخ، وتم قياس نسبة التمدد الحجمي بطريقة إزاحة الماء وعبّر عنها كنسبة حجم حبات الأرز المطبوخ إلى حجم حبات الأرز الخام.
.
طيف الأشعة تحت الحمراء بواسطة تحويل فورييه (FTIR) لأنواع الأرز
تم استخدام مطيافية FTIR لفحص التغيرات في التركيب الكيميائي لدقيق الأرز من أصناف مختلفة من الأرز. تم خلط عينات دقيق الأرز مع KBr وتثبيتها على بروميد البوتاسيوم.
حامل الكريات. تم تسجيل طيف العينات المثبتة من دقيق الأرز باستخدام مطياف FTIR من بروكير ألفا (بروكير ألفا، ألمانيا)، وتم مسح العينات من 4000 إلى
تم تحليل الأطياف المستخرجة من عينات دقيق الأرز المختلفة من خلال مراقبة وجود وغياب المجموعات الوظيفية، الروابط الكيميائية، تمدد الروابط، والاهتزازات الجزيئية.
التحليل الحراري التفاضلي (DSC) لأنواع الأرز
تم تحديد معلمات الجيلاتنة باستخدام جهاز المسح الحراري التفاضلي (DSC60 من شيمادزو). تم إعداد العينة عن طريق تغليف حوالي
عينة من دقيق الأرز (
رطوبة) مع
ماء مقطر في مقلاة من الألمنيوم. تم ضغط المقلاة يدويًا باستخدام مكبس لتغليف العينات (DSC60 من شيمادزو)، وتم تسخينها عند درجات حرارة محددة تتراوح بين 30 و
على فترات من
وتمت مراقبة منحنيات DSC. درجات حرارة البداية، الذروة، والنهاية وحرارة الانتقال (
تم تسجيلها. تم تحليل منحنيات DSC باستخدام برنامج TA-60WS.
تحديد محتوى الأميلوز في أصناف الأرز
لتحديد محتوى الأميلوز في حبيبات النشا، تم وزن 100 ملغ من دقيق الأرز في flask حجمي سعة 100 مل، وتم إضافة 1 مل من
تم إضافة الإيثانول و 9 مل من محلول NaOH 1 N إلى القارورة. تم إجراء تميه النشا عن طريق تسخينه في ماء مغلي لمدة 10 دقائق. ثم تم تبريد المحلول وتكملته إلى العلامة في القارورة بالماء المقطر. تم نقل خمسة ملليلترات من محلول العينة إلى قارورة قياسية سعة 100 مل. بعد ذلك، تم إضافة 1 مل من حمض الأسيتيك 1 M و 2 مل من محلول اليود، وتم تخفيف المحلول بالماء المقطر، وتم قياس الامتصاص باستخدام مطياف الأشعة فوق البنفسجية والمرئية عند 620 نانومتر. تم حساب محتوى الأميلوز باستخدام الرسم البياني القياسي لأميلوز البطاطس.
.
تحديد قوة الانتفاخ لأنواع الأرز
تم وزن غرام واحد من دقيق الأرز ونقله إلى 40 مل من الماء المقطر. تم تحضين الخليط في حمام مائي عند درجات حرارة مختلفة تتراوح من 55 إلى
لمدة تقارب 30 دقيقة. تم تبريد جميع الأنابيب إلى درجة حرارة الغرفة وتم الطرد المركزي (ثيرمو ساينتيفيك
سورفال
جهاز الطرد المركزي ST 8
لمدة تقارب 20 دقيقة. تم استرداد الكريات الناتجة، وتم حساب قوة الانتفاخ كنسبة وزن الرواسب الرطبة إلى وزن دقيق الأرز الجاف.
.
تحديد النشا المقاوم (RS) والنشا الكلي (TS)
تم تقدير محتوى RS من عينات الأرز باستخدام مجموعة اختبار RS من ميجازايم (ميجازايم إنترناشيونال أيرلندا المحدودة، براى، أيرلندا) وفقًا لبروتوكول الشركة المصنعة. تم هضم مائة ملليجرام من دقيق الأرز مع 4 مل من عصارة البنكرياس.
-أميلاز
) في دورق مخروطي سعة 50 مل بوجود الأميليوغلوكوزيداز
تم تحضين خليط الهضم في
مع التحريك المستمر بسرعة 200 دورة في الدقيقة لمدة 16 ساعة. ثم، تم إضافة 4 مل من الإيثانول المطلق بلطف. بعد ذلك، تم طرد المحتويات في جهاز الطرد المركزي بسرعة 1500 جرام لمدة 10 دقائق لفصل الرواسب والسائل العلوي. تم أخذ ملليلترين من
تم إضافة الإيثانول إلى الكريات مع التحريك بقوة، وزيادة الحجم إلى 8 مل عن طريق الإضافة
الإيثانول. تم طرد الكريات في جهاز الطرد المركزي مرة أخرى عند
لمدة 10 دقائق. تم جمع السائل العلوي في أنابيب منفصلة ومعالجته لتقدير محتوى النشا غير المقاوم (القابل للهضم). تم تكرار عملية الطرد المركزي ثلاث مرات لتجميع حجم إجمالي قدره 24 مل من السائل العلوي، وتم إزالة القطرات المتبقية من السائل العلوي عن طريق قلب الأنابيب على ورق ماص. تم استخدام مليليترين من محلول KOH بتركيز 2 م لإعادة تعليق الرواسب مع التحريك المستمر في حمام ثلجي لمدة تقارب 20 دقيقة، تلا ذلك إضافة 8 مل من محلول أسيتات الصوديوم بتركيز 1.2 م (pH 3.8) مع 0.1 مل من الأميليز.
). تم تدوير الأنابيب جيدًا، وتم حضنها عند
لمدة 30 دقيقة وتم الطرد المركزي عند
لمدة 10 دقائق. ثم، تم أخذ 0.1 مل من السائل العلوي في أنابيب اختبار زجاجية ثلاث مرات، وأضيف 3 مل من كاشف تحديد الجلوكوز، أوكسيداز الجلوكوز بيروكسيداز (GOPOD)، إلى الأنابيب، التي تم احتضانها عند
لمدة 20 دقيقة. تم تعريض المركب الوردي الناتج لامتصاص اللون عند 510 نانومتر مقابل عينة فارغة، وتم حساب تركيزات RS و TS وفقًا لصيغة الشركة المصنعة.
تحديد مؤشر نسبة السكر في الدم (GI) في المختبر لأنواع الأرز
تم تحديد مؤشر نسبة السكر في الدم (GI) لأنواع الأرز وفقًا للطريقة الموضحة من قبل غوني وآخرون.
باختصار، تم وضع 3 جرام من الأرز المسلوق في دورق إيرلنماير، حيث أضيفت 0.2 مل من البيبسين.
مخزن
تم إضافة 1.5). تم تسريع التفاعل عن طريق حضن المزيج في
لمدة ساعة واحدة في حمام مائي مهتز. بعد انتهاء فترة الحضانة، تم تعديل الحجم الكلي للمحلول إلى 25 مل باستخدام محلول تريس-مالايت (رقم هيدروجيني 6.9)، تلاه إضافة 5 مل من الأميلاز البنكرياسي الخنازي (2.6 وحدة). تم حضن الخليط مرة أخرى عند
لمدة تقارب 3 ساعات مع التحريك المستمر. تم أخذ عينات بحجم ملليلتر واحد من هذا المحلول كل 30 دقيقة حتى نهاية فترة الحضانة. تم وضع علامات على العينات المأخوذة لـ
، 120 و150 و180 دقيقة وتم وضعها في حمام مائي مغلي لمدة تقارب 5 دقائق مع هز متقطع لتقليل نشاط الإنزيم. تم إضافة ملليلتر واحد من محلول أسيتات الصوديوم 0.4 م (رقم هيدروجيني 4.75) و
تم إضافة كميات من الأميليوغلوكوزيداز إلى كل عينة وتم تحضينها في
لمدة 45 دقيقة. بعد ذلك، تم تعديل الحجم الكلي إلى 100 مل باستخدام الماء المقطر، وتم قياس كمية الجلوكوز المحررة باستخدام اختبار الأكسيداز الجلوكوزي.
ت kinetics تحلل النشا اتبعت حركيات من الدرجة الأولى الزائفة
، حيث C ،
“، و k هي النسبة المئوية للنشا المتحلل في الوقت ‘
‘ (دقيقة)، النسبة التوازنية للنشا المهدرج عند 180 دقيقة، وثابت الحركية، على التوالي. تم حساب مؤشر التحلل (HI) عن طريق قسمة المساحة تحت منحنى التحلل لكل عينة على مساحة مادة مرجعية، في هذه الحالة، الخبز الأبيض. تم حساب مؤشر الجلايسيمي المقدر (eGI) باستخدام المعادلة
.
التحليل الإحصائي
تم حساب المتوسط والانحراف المعياري للبيانات الثلاثية من التجارب باستخدام Microsoft Excel 2019. تم حساب تحليل التباين باستخدام GraphPad Prism 8.0.2 من خلال تطبيق اختبار توكي لتحديد الأهمية الإحصائية للقيم التي تم الحصول عليها. النتائج مع
تم اعتبارها ذات دلالة. تم تحديد معاملات بيرسون (‘ق’ القيم) بين محتوى الأميلوز، ومحتوى النشا المقاوم، ومؤشر الجلايسيمي في المختبر. تشير قيمة ‘ق’ بين -1 و0 إلى وجود ارتباط سلبي، بينما تشير قيمة بين 0 و1 إلى وجود ارتباط إيجابي.
النتائج والمناقشة
توصيف الظواهر وتحديد معايير الطهي
كان لبسمتي أعلى نسبة استطالة
)، تليها ثانغام تشامبا (
) و بار
كما هو موضح في الشكل 1. ومع ذلك، تم ملاحظة الحد الأدنى من نسبة الاستطالة في تيل بورا.
وشكاو
. تم تحديد الحد الأدنى لوقت طهي أصناف الأرز عندما لم يعد الجزء الأبيض من الحبوب مرئيًا. بالنسبة لصنف الأرز من كارناتاكا، استغرق بيلّي موغوثي أكبر وقت، أي 35 دقيقة، بينما استغرق بانانثي أكي أقل وقت، 20 دقيقة، للطهي، في حين أن صنف الأرز من آسام، استغرق كونونكوروفاي أكبر وقت، أي 35 دقيقة، بينما استغرق آد باو أقل وقت، 17 دقيقة، للطهي. في صنف الأرز من كارناتاكا، استهلك كافيري 199 مل من الماء، بينما استهلك بانانثي أكي 150 مل من الماء، بينما في صنف آسام، استهلك كوتكوتي سالي 270 مل من الماء، واستهلت بسماثي 160 مل من الماء للطهي. كان لكافيري أقصى طول حبة
“، وكان لبناثي آكي أقل طول حبة يبلغ 4.30 مم بين أصناف كارناتاكا، في حين كان لباسماثي أقصى طول حبة (
)، وكان لطيل بورا الحد الأدنى من طول الحبة
بين أصناف آسام. تم ملاحظة أقصى نسبة توسع في الحجم في الأرز باناتي.
)، وكانت نسبة التمدد الحجمي الدنيا
الذي لوحظ في تنو وبيتا سنا من نوع الأرز في كارناتاكا، بينما في حالة نوع الأرز في آسام، كان لجوم بيجي أعلى نسبة توسع في الحجم.
) ونسبة التمدد الحجمي الدنيا
تتصل هذه المعايير الطهي ببعضها البعض وتعتمد على بعضها البعض، وتتأثر بعوامل مختلفة، مثل نوع الأرز والوراثة، ومدة الطهي ودرجة الحرارة، وتركيب الماء، والظروف البيئية أثناء الزراعة. قد تكون الاختلافات في سلوك امتصاص الماء ناتجة عن تباينات في المواقع الوراثية الرئيسية المرتبطة بامتصاص الماء في الأرز.
علاوة على ذلك، أظهرت أصناف الأرز المزروعة على ارتفاعات مختلفة أنها تمتلك خصائص فيزيائية وكيميائية وطهي متنوعة.
، مما يدعم الفروق في خصائص الطهي لأسلاف الأرز من أسام وكارناتاكا. يمكن أن تؤدي التغيرات المناخية الناتجة عن تغير أنماط درجات الحرارة، وتوزيعات الأمطار، والأحداث الجوية المتطرفة إلى تأثيرات عميقة على خصائص حبوب الأرز.
.
طيف الأشعة تحت الحمراء بواسطة تحويل فورييه (FTIR) لأسلاف الأرز
كشفت طيف الأشعة تحت الحمراء (FTIR) لأسلاف الأرز من كارناتاكا وآسام عن روابط كيميائية متعددة موضوعة هيكليًا في الجزيء. قمنا بمسح دقيق لدقيق الأرز في نطاق
، ولم يكن هناك اختلاف كبير في طيف أصناف الأرز من كارناتاكا وآسام. ومن المحتمل أن يكون ذلك بسبب الهيكل المعماري المماثل للبوليمر النشوي السائد، الذي يتواجد في جميع أصناف الأرز الشائعة. تم العثور على قمم بارزة عند
، و
(الشكل 2أ، ب). النطاقات الواسعة والعريضة في FTIR عند
تتوافق مع مجموعات -OH التي تظهر اهتزازات تمددية، مما يؤكد أن مكون البوليسكاريد هو الجزء الرئيسي الموجود في دقيق الأرز. وتظهر الأطوال الضعيفة والمتوسطة عند 2927-2935.
و1628
على التوالي، تمثل
تمدد غير متماثل أو متماثل بسبب وجود مكونات غير نشوية مثل الدهون والبروتينات بالإضافة إلى
تمدد
الجدول 1
، مما يشير إلى وجود بروتينات مرتبطة بالنشا. هذا يؤكد أن هذه المكونات تؤثر على هضم أصناف الأرز وبالتالي على تقدير مؤشر نسبة السكر في الدم. على الرغم من أن البروتينات والدهون موجودة بنسب ضئيلة، إلا أنها تساهم في السلامة الهيكلية لحبيبات النشا وتؤثر على الخصائص الحرارية والريولوجية للنشا. بالإضافة إلى ذلك، فإنها تؤثر على القوام وخصائص الطهي والسمات الحسية للأرز المطبوخ وتساهم في جودته الغذائية العامة.
تُنسب هذه الفرق أيضًا إلى
انحناء جزيئات الماء المرتبطة، والذي يمثل محتوى الرطوبة في دقيق الأرز. الأشرطة عند
تُنسب إلى
اهتزازات الانحناء لـ
بسبب مجموعات الألكين الموزعة بشكل متماثل، والأشرطة

الشكل 1. تمثيل بياني لبارامترات الطهي لـ (أ) أصناف الأرز من كارناتاكا (ب) أصناف الأرز من آسام، و (ج) رسم بياني عمودي يوضح امتصاص الماء لأصناف الأرز
).
في
تُنسب إلى
اهتزازات الانحناء،
اهتزازات التمدد والانحناء، واهتزازات الهيكل العظمي لـ
“، والتي تمثل وجود الروابط الجليكوسيدية. النطاقات المحددة عند 1153 إلى
يشير
انحناء و
اهتزازات الشد بسبب وجود بوليمرات الأميلوز والأميلوبكتين. من بين أصناف الأرز في كارناتاكا، أظهرت أصناف كافيري، سالم سانا، وبيلي موغوثي اختلافات في هذا الموضع. ومع ذلك، في أصناف الأرز في آسام، أظهرت أصناف بار، بسمتي، وكوتكوتي سالي تباينات في نفس مواضع القمم مع كثافات متفاوتة. قد تشير التغيرات في كثافة وشكل القمم في هذه المنطقة إلى تباينات في تركيبة النشا، ودرجة البوليمرية، والتفاعلات الجزيئية داخل مصفوفة النشا لأصناف الأرز المختلفة. علاوة على ذلك، تعكس أيضًا المعايير الوظيفية لحبوب الأرز، مثل الميل إلى الجيلاتنة، والرجوع، والنشا القابل للهضم. القمم التي تتجاوز
تمثل المحبة للماء لدقيق الأرز، حيث تتفاوت شدة قمم FTIR

الشكل 2. طيف FTIR لـ (أ) و (ج) أرز كارناتاكا؛ (ب) و (د) أصناف أرز آسام؛ (ج) و (د) منطقة بصمة طيف FTIR لأصناف أرز كارناتاكا وآسام، على التوالي.
| عدد الموجات (
|
تعيينات الفرق | تنبؤ | المراجع | |||||
| 3550-3200
|
اهتزاز الشد لـ O-H | البوليسكاريدات | 43 | |||||
| ٢٩٢٧-٢٩٣٥
|
|
الدهون غير المشبعة بشكل رئيسي ومساهمة صغيرة من البروتينات والكربوهيدرات والأحماض النووية | ٤٤ | |||||
|
|
|
|
44,45 | |||||
|
|
|
الألكينات الموزعة بشكل متساوي | ٤٦،٤٧ | |||||
|
|
|
الدهون والبروتينات وجود روابط جليكوسيدية | ٤٨، ٤٦، ٤٧ | |||||
|
|
|
نشا | ٤٩ | |||||
|
|
|
سلسلة بوليمر | ٤٦ | |||||
| 1048 | الطيف المميز للمنطقة البلورية للنشا | سلاسل الأميلوبكتين | 50 | |||||
|
|
سمة للمنطقة غير المتبلورة،
|
سلاسل الأميلوز | ٥١,٥٠ | |||||
| 930 | اهتزازات وضعية الهيكل العظمي لـ
|
وجود روابط جليكوسيدية قوية ويشير إلى المحبة للماء للنشا | ٥٢,٤٧ | |||||
|
|
منطقة بصمة الإصبع | حلقة الجلوكوبيرانووز من النشا | 53 |
الجدول 1. جدول يوضح تخصيصات نطاق FTIR لأسلاف الأرز: ب-عريض، و-ضعيف، س-قوي، م-متوسط.
تشير الاختلافات بين أصناف الأرز المختلفة إلى اختلافات في قدرة امتصاص الماء، وسلوك الانتفاخ، واحتباس الرطوبة. علاوة على ذلك، فإن اهتزازات الوضع الهيكلي لـ
توضح الروابط الجليكوسيدية وهياكل حلقة الجلوكوبيرانوك بواسطة الأشرطة عند
يمكن قياس الهيكل المنظم للغاية لسكريات النشا المتعددة باستخدام نسبة الامتصاص
(الجدول 2). تراوحت القيم من 1.0 إلى 1.25 لنوع الأرز من كارناتاكا ومن
لصنف الأرز في آسام. قيم R تتناسب مع درجة الهيكل المنظم، حيث أن القمم الشديدة الكثافة عند 1047 و
تشير إلى المجالات غير المتبلورة والمبلورة عالية التنظيم للنشا (الشكل 2c، d). تساعد الخصائص الطيفية العامة في تقييم جودة حبوب الأرز وتوفر رؤى قيمة حول الميزات الهيكلية وخصائص النشا، والتي تعتبر ضرورية لمختلف التطبيقات في علوم الغذاء والتغذية والزراعة.
التحليل الحراري التفاضلي (DSC) لحبيبات النشا
تم تحديد الخصائص الحرارية لدقيق الأرز باستخدام DSC. بداية (
), نهاية المجموعة (
) ، وذوبان الجيلاتين في ذروته (
تفاوتت درجات الحرارة بشكل كبير بين أصناف الأرز في كارناتاكا وآسام.
و
تراوح بين
، و
، على التوالي، لأسلاف الأرز في كارناتاكا. تراوحت درجات حرارة أصناف الأرز في آسام من
، و
تم ملاحظة درجة حرارة ذروة الجيلاتينية العالية لكرمبو راجامودي
) في كارناتاكا و كوتكوتي سالي (
) في آسام (الشكل 3). كانت درجات حرارة البداية لكل من أصناف الأرز في كارناتاكا وآسام أقل من تلك لـ
و
. هذا لأن التورم الأولي لحبيبات النشا لا يتطلب درجة حرارة عالية، وبالتالي، فإن درجات حرارة البداية أقل من درجات حرارة الذروة والنهاية. زادت درجة حرارة ذروة الجيلاتينية في جميع أصناف الأرز بسبب ذوبان المنطقة البلورية (الأميلوبكتين) مع تقدم عملية الجيلاتينية. تشير درجة حرارة النهاية إلى الذوبان الكامل للمناطق البلورية (الأميلوبكتين) وبالتالي، كلما كانت منطقة الأميلوبكتين أكثر ترتيبًا، كانت درجة حرارة النهاية وحرارة الجيلاتينية أكبر.
(الجدول 3). تشير درجة حرارة ذروة الجيلاتينية العالية في أصناف الأرز كيمبو راجامودي وكوتكوتي سالي إلى الحاجة إلى مزيد من الحرارة لجيلاتينية حبيبات النشا. العوامل الرئيسية التي يجب أخذها في الاعتبار لتحليل هذه التغيرات هي التركيب الدقيق للأميلوبكتين ودرجة تفرعه. الأميلوبكتين البلوري هو أيضًا المحدد الرئيسي لتغير إنثالبي الجيلاتينية. كما أن فك تشابك الحلزونات المزدوجة يوضح أيضًا إنثالبي الجيلاتينية الأعلى لدقيق الأرز. أظهرت العينات التي تم النظر فيها في هذه الدراسة ارتباطًا سلبيًا ضعيفًا، والذي لم يكن ذا دلالة بين محتوى الأميلوز ودرجة حرارة ذروة الجيلاتينية، ومع ذلك، هناك دراسات أخرى تدعم العلاقة السلبية بين محتوى الأميلوز ودرجة حرارة ذروة الجيلاتينية.
بالإضافة إلى ذلك، يمكن أن تُعزى الفروق في محتوى النشا الكلي، ومحتوى البروتين، ومحتوى الدهون، ومحتوى الرطوبة بين دقيق الأرز إلى اختلافات في درجة حرارة الانتقال. إن تكوين معقدات الأميلوز-الدهون، والبروتينات المرتبطة بالنشا، ومحتوى الألياف بسبب وجود جدران الخلايا يعيق عملية الجيلاتينية، مما يزيد من إنثالبي الجيلاتينية.
. وبالتالي، فيما يتعلق بعملية الجيلاتينية للحبوب الكاملة، فإن تفاعل جميع هذه العوامل يبرر الاختلافات في درجة حرارة الجيلاتينية، وتقدير وقت الطهي، وامتصاص الماء، وبعض الخصائص الحسية لأنواع الأرز المطبوخ.
تحديد محتوى الأميلوز في أصناف الأرز
محتوى الأميلوز هو معلمة مهمة تحدد خصائص الطهي والأكل للأرز. كما أن محتوى الأميلوز يحدد ملاءمة النشا للاستخدام الصناعي. اختلفت محتويات الأميلوز في أصناف الأرز التي تم النظر فيها في هذه الدراسة بشكل ملحوظ.
). يتم تصنيف أصناف الأرز على أنها منخفضة جدًا (
منخفض
)، متوسط (
)، أو عالي النشا (
أصناف الأرز بناءً على محتوى الأميلوز. من بين أصناف الأرز في كارناتاكا، كان لكافيري أعلى محتوى من الأميلوز (
)، وكان لدى غاندا ساله أقل محتوى من الأميلوز (
بينما كانت أصناف الأرز في آسام، كان البسمتي يحتوي على أعلى نسبة من الأميلوز
وكان لدى نيولي الحد الأدنى من محتوى الأميلوز
(الشكل 4). تُعزى التغيرات الكبيرة في محتوى الأميلوز في أصناف الأرز إلى عوامل وراثية مختلفة، ودرجات الطحن، والأسمدة النيتروجينية.
العوامل البيئية
، إلخ. تلعب درجة الحرارة خلال نضوج حبوب الأرز دورًا مهمًا في تطوير بنية الجزيئات النشوية.
نظرًا لأن كلا المنطقتين تتمتعان بظروف مناخية متنوعة من حيث درجة الحرارة وهطول الأمطار، يمكن أن تُعزى التغيرات في محتوى الأميلوز إلى هذه العوامل. علاوة على ذلك، تتأثر الهياكل النشوية على المستوى الكلي أيضًا بالملوحة وضغوط المياه.
.
| أصناف الأرز في كارناتاكا | أصناف أرز آسام | ||
| اسم أصناف الأرز | R 1047/1022 | أسماء أصناف الأرز | R 1047/1022 |
| بانانثي آكي | 1.01 | تيل بورا | 1.00 |
| بيلي موغوثي | 1.18 | بسمتي | 1.28 |
| بيتا سنا | 1.10 | كونكوروفاي | 1.10 |
| بيع غاندا | 1.00 | نويلي | 1.12 |
| كافيري | 1.25 | جهم بيجي | 1.14 |
| كيمبو راجامودي | 1.00 | عاد باو | 1.05 |
| كاجي ثالي | 1.15 | تشاكاو | 1.10 |
| سلام سنة | 1.23 | قشر | 1.20 |
| تانُو | 1.01 | ثانغام تشامبا | 1.02 |
| بيلي راجامودي | 1.02 | كتكوتي سالي | 1.19 |
الجدول 2. جدول يوضح R1047/1022 لمختلف أصناف الأرز الهندي:

الشكل 3. مخططات DSC توضح درجات حرارة الجيلاتينية القصوى لعينات الأرز من (أ) كارناتاكا و(ب) آسام.
نظرًا لأن بعض الإنزيمات المسؤولة عن تخليق النشا حساسة للحرارة، فإن درجات الحرارة الجوية التي تزيد عن أو تقل عن المستوى الأمثل يمكن أن تؤثر بشكل كبير على وظيفتها أثناء تخليق النشا على المستوى الجزيئي، أي تشكيل سلاسل الأميلوز والأميلوبكتين وتفرعاتها.
استخدام المزيد من الأسمدة النيتروجينية والفوسفورية يؤدي إلى انخفاض مستويات الأميلوز في بعض أصناف الأرز.
.
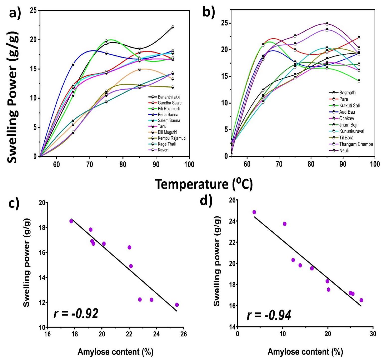
تحديد قوة الانتفاخ لأنواع الأرز
قوة الانتفاخ هي نسبة الرواسب الرطبة من دقيق الأرز إلى الرواسب الجافة. تحدد سعة احتباس الماء لدقيق الأرز وبالتالي تحدد قابليته للاستخدام في مختلف الصناعات الغذائية. تراوحت قوة الانتفاخ لنشويات الأرز من 12.42 إلى
لأصناف الأرز من آسام، بينما لأصناف الأرز من كارناتاكا، تراوحت من 4.1 إلى
على مدى نطاق درجات الحرارة من
(الشكل 5). النويلي وثانغام
| رقم السجل | أصناف الأرز | AUC | HI | GI |
|
k (دقيقة
|
| أصناف الأرز من آسام | ||||||
| 1 | نويلي | 485.62 |
|
|
|
|
| 2 | ثانغام تشامبا | 450.05 |
|
|
|
|
| 3 | تيل بورا | 438.28 |
|
|
|
|
| 4 | كونونكوروفاي | 427.13 |
|
|
|
|
| 5 | جهوم بيجي | 439.37 |
|
|
|
|
| 6 | تشاكاو | 440.43 |
|
|
|
|
| 7 | عاد باو | 396.3 |
|
|
|
|
| 8 | كوتكوتي سالي | 384.91 |
|
|
|
|
| 9 | باسماثي | 355.18 |
|
|
|
|
| 10 | بار | 358.88 |
|
|
|
|
| أصناف الأرز من كارناتاكا | ||||||
| 1 | بانانثي آكي | 392.63 |
|
|
|
|
| 2 | غاندها سالي | 379.59 |
|
|
|
|
| 3 | بيلي راجامودي | 366.83 |
|
|
|
|
| 4 | بيتا سنا | 362.85 |
|
|
|
|
| 5 | سالم سنا | 357.79 |
|
|
|
|
| 6 | تانوا | 355.78 |
|
|
|
|
| 7 | بيلي موغوثي | 356.14 |
|
|
|
|
| 8 | كيمبو راجامودي | 357.7 |
|
|
|
|
| 9 | كاجي ثالي | 343.155 |
|
|
|
|
| 10 | كافيري | 362.98 |
|
|
|
|
| خبز طازج | 503.37 |
|
|
|
|
|
الجدول 3. معلمات حركية الهضم في المختبر لأصناف الأرز المختلفة من آسام وكارناتاكا.
AUC- المساحة تحت منحنى تحلل النشا HI- مؤشر التحلل GI- مؤشر جلايسيمي
– القيمة النظرية للنشا المهضوم عند نقطة التوازن لتحلل النشا
– ثابت المعدل لتفاعل تحلل النشا. جميع القيم معبر عنها كمتوسط للعينات المكررة والانحراف المعياري مع
. القيم التي تحمل حروفًا مختلفة في نفس العمود تختلف بشكل كبير عند
.
أصناف الأرز تشامبا من آسام وأصناف الأرز بانانثي آكي وغاندها سالي من كارناتاكا أظهرت انتفاخًا أكبر من الأصناف الأخرى. قد يكون ذلك بسبب انخفاض محتوى الأميلوز. بالإضافة إلى ذلك، أظهرت أصناف الأرز من آسام وكارناتاكا ذات المحتوى العالي من الأميلوز أقل انتفاخ. علاوة على ذلك، كان هناك ارتباط سلبي قوي (
) بين محتوى الأميلوز وقوة الانتفاخ لأصناف الأرز، بغض النظر عن منطقة زراعتها. في أصناف الأرز عالية الأميلوز، يكون الأميلوز حلزونًا مفردًا ملتويًا يمنع ارتباط جزيئات الماء، وهيكل الأميلوز المضغوط يجعل النشا صلبًا، مما يقاوم امتصاص جزيئات الماء فيه وبالتالي يقلل من قوته الانتفاخ. في أصناف الأرز منخفضة الأميلوز مثل نويلي، ثانغام تشامبا، بانانثي آكي، وغاندها سالي، تتفكك سلاسل الأميلوز بسهولة عند الطهي، وتتداخل مع منطقة الأميلوبكتين المنظمة بشكل كبير، مما يؤدي إلى فقدان هيكلها. الأميلوبكتين هو مكون أساسي آخر من النشا، وهيكله الدقيق ووزنه الجزيئي يلعبان أدوارًا مهمة في عملية الانتفاخ
بصرف النظر عن هذين العاملين، فإن وجود مكونات غير النشا مثل البروتينات والدهون في الحبوب الكاملة يؤدي إلى تكوين معقدات نشا-دهون ونشا-بروتين بسبب تفاعلاتها مع النشا. يمنع تكوين مثل هذه المعقدات الانتفاخ. بالإضافة إلى ذلك، يمكن أن تسهم مكونات غير النشا الأخرى، مثل الألياف الغذائية والفينولات، أيضًا في تقليل قوة الانتفاخ لدقيق الأرز الكامل
.
تحديد النشا المقاوم (RS)، النشا غير المقاوم (NRS)، وإجمالي النشا (TS)
أظهرت أصناف الأرز من كارناتاكا وآسام مجموعة واسعة من الاختلافات في محتويات RS وNRS وTS. في حالة صنف الأرز من كارناتاكا، تم الحصول على أعلى قيمة RS لصنف كافيري (
)، وأدنى قيمة RS لصنف بانانثي آكي (
)، بينما في صنف الأرز من آسام، كانت أعلى قيمة RS موجودة في بار (
)، وأدنى قيمة RS لوحظت في نويلي (
). تراوحت RS لأصناف الأرز من كارناتاكا من
، بينما تراوحت لأصناف الأرز من آسام من
. تراوح محتوى TS من
لأصناف كارناتاكا و
لأصناف آسام (الشكل 6). يمكن أن يُعزى الاختلاف الكبير (
) في محتويات RS وTS إلى عوامل خارجية خلال نمو النباتات، مثل الضغط، وتغير الظروف المناخية، واستخدام الأسمدة. تسهم هذه العوامل الخارجية بشكل كبير في تغيير النشاط الإنزيمي خلال تخليق النشا. على الرغم من أن الأرز الخام والمعالج يحتويان على كميات ملحوظة من RS، إلا أن كمية RS تختلف وفقًا للأصل النباتي، ودرجة المعالجة، والطفرات الجينية لجينات RS. على الرغم من أن العينات التي تم النظر فيها في هذه الدراسة كانت من نفس المصدر النباتي، إلا أن نسب RS في أصناف الأرز من آسام كانت أكبر من تلك في أصناف الأرز من كارناتاكا. أظهرت أصناف الأرز منخفضة الأميلوز من كارناتاكا وآسام كلاهما محتوى RS أقل من أصناف الأرز عالية الأميلوز، وبالتالي، كان هناك ارتباط إيجابي بين محتوى الأميلوز وRS في كل من كارناتاكا وآسام

الشكل 4. رسم بياني أفقي يوضح محتوى الأميلوز لأصناف الأرز من كارناتاكا وآسام (
).
أصناف الأرز، مما يشير إلى أن سلاسل الأميلوز مسؤولة عن وجود RS في أصناف الأرز المختلفة. قد يكون هذا الاختلاف بسبب ترتيب سلاسل الأميلوز داخل حبيبات النشا. وجود المزيد من سلاسل الأميلوز يقلل من المساحة السطحية المتاحة للإنزيمات الهاضمة لهضم حبيبات النشا. ومع ذلك، نظرًا لأن الأميلوبكتين متفرع إلى حد كبير، فإنه يوفر مساحة سطح أكبر ويجعل حبيبات النشا أقل مقاومة للهضم. الحاجز الرئيسي لوصول الأميلاز هو الهيكل الحلزوني المفرد للأميلوز. بالإضافة إلى ذلك، فإن الإطار الملتوي بإحكام للأميلوز يحمي الروابط الهيدروجينية الداخلية للنشا، مما يمنع اختراق الأميلاز
. تساهم الميزات الهيكلية لحبيبات النشا أيضًا في الطبيعة ‘المقاومة’ للنشا لأنه، خلال تحديد RS، يتبع استخدام إنزيمات مختلفة آليات عمل مختلفة مع ميزات هيكلية داخلية وخارجية متنوعة للنشا
. بالإضافة إلى ذلك، فقد أظهرت المنهجية المستخدمة لتحديد RS، الطرق المباشرة
والطرق غير المباشرة
تأثيرًا كبيرًا على قياس RS.
تحديد المؤشرات الجلايسيمية في المختبر لأصناف الأرز
بين أصناف الأرز من كارناتاكا، كان لدى بانانثي آكي (
) وكاجي ثالي (
) أعلى وأدنى eGIs، على التوالي. ومع ذلك، بين أصناف الأرز من آسام، كان أكثر أصناف الأرز شيوعًا هو نويلي
، وأقل أصناف الأرز شيوعًا كانت بار
، مع اختلاف كبير (
) (الشكل 7). بغض النظر عن المنطقة التي تزرع فيها هذه النباتات، أظهرت أصناف الأرز عالية الأميلوز تحلل نشا أقل وeGI أقل من أصناف الأرز متوسطة ومنخفضة الأميلوز. تم الإبلاغ عن نتائج مماثلة من قبل مؤلفين مختلفين، مما يدعم تأثير محتوى الأميلوز العالي على تقليل قابلية هضم الأرز
. عادةً ما يتم تصنيف الطعام إلى أصناف أرز عالية GI (GI
)، وأصناف أرز متوسطة GI (GI 56-69)، وأصناف أرز منخفضة GI (GI
. في دراستنا، تم تصنيف جميع أصناف الأرز كأصناف أرز عالية GI (
) بناءً على قيم GI المقدرة. على الرغم من أن أصناف الأرز التي تم النظر فيها في دراستنا كانت من نفس الأصل النباتي ولديها قيم GI عالية، إلا أن هناك اختلافًا كبيرًا (
) في HI وGI المقدرة لأصناف الأرز من آسام مقارنة بـ HI وGI المقدرة لأصناف الأرز من كارناتاكا. السبب الرئيسي لهذا الاختلاف هو نسبة الأميلوز إلى الأميلوبكتين في أصناف الأرز المختلفة. يلعب الهيكل الجزيئي لهذه الوحدات الأساسية دورًا مهمًا في تحديد قابلية هضم النشا. الأميلوز دائمًا حلزون مفرد وملتوي، وهيكله المنظم محكم التعبئة مع روابط هيدروجينية قوية في داخل النشا. وبالتالي، فإن محتوى الأميلوز في أصناف الأرز يتناسب طرديًا مع كثافة الروابط الهيدروجينية الداخلية. هذه التكوينات المعبأة بإحكام من الأميلوز تقاوم اختراق الإنزيمات إلى داخل النشا وتنكر إمكانية الوصول إلى
الروابط
وهذا يفسر انخفاض القابلية الإنزيمية لأصناف الأرز عالية الأميلوز تجاه
-الأميلاز وبالتالي الارتباط السلبي بين GI ومحتوى الأميلوز
. علاوة على ذلك، لاحظنا نفس الاتجاه في تحديد محتوى النشا المقاوم، مما يفسر بوضوح دور محتوى الأميلوز العالي في تقليل القابلية للهضم من خلال زيادة محتوى النشا المقاوم (الشكل 6). ومع ذلك، فإن بعض أصناف الأرز في كارناتاكا لا تتبع القاعدة المذكورة أعلاه، وانحرافها عن هذه القاعدة أدى

الشكل 5. رسم بياني يوضح قدرة الانتفاخ لـ (أ) أصناف الأرز من كارناتاكا؛ (ب) أصناف الأرز من آسام العلاقة بين قدرة الانتفاخ ومحتوى الأميلوز لـ (ج) أصناف الأرز من كارناتاكا؛ (د) أصناف الأرز من آسام.
في
معامل ارتباط بيرسون -0.85. قد يكون هذا التباين الكبير بسبب الميزات الهيكلية/ الشكلية المختلفة لحبيبات النشا. وجود المسام على السطح الخارجي لحبيبات النشا يمتد أحيانًا مباشرة إلى منطقة الهيلوم من النشا. وجود مثل هذه المسام هو سمة فريدة من نوعها لنشويات الحبوب من النوع A
ويسهل الانتشار المباشر للأميلاز إلى قلب حبيبات النشا. بمجرد أن تحقق الإنزيم ذلك، فإن المقاومة للنشاط الإنزيمي تعتمد على التنظيم الجزيئي المحلي للأميلوز غير المتبلور والأميلوبكتين البلوري من بوليمرات النشا. وهذا يفسر أيضًا ثابت المعدل المنخفض ‘
‘ في صنف الأرز من كارناتاكا مقارنة بصنف الأرز من آسام. بالإضافة إلى ذلك، تتعرض النباتات لمجموعة واسعة من الضغوط، مثل ضغط البرد، ضغط الجفاف، ضغط الضوء المنخفض، ضغط ثاني أكسيد الكربون، وضغط الملوحة، بسبب التغيرات المناخية، مما يؤدي إلى استجابات متنوعة ومعقدة فيما يتعلق بأنشطة الإنزيمات المعنية في تخليق النشا
. تؤثر التغيرات في تخليق النشا بشكل مباشر على الهيكل الحبيبي للنشا وبالتالي تعدل قابليته للهضم.
تحليل إحصائي
كشف تحليل ارتباط بيرسون عن وجود ارتباط سلبي بين محتوى الأميلوز، محتوى النشا المقاوم، ومؤشر نسبة السكر في أصناف الأرز. كانت معاملات ارتباط بيرسون
و -0.92 لمؤشر السكر مقابل الأميلوز لأصناف الأرز من كارناتاكا وآسام، على التوالي. وبالمثل، كانت معاملات ارتباط بيرسون
و -0.6 لمؤشر السكر مقابل النشا المقاوم، على التوالي. علاوة على ذلك، كانت قدرة الانتفاخ مرتبطة سلبًا بمحتوى الأميلوز لكل من أصناف الأرز من كارناتاكا وآسام، مع معاملات ارتباط بيرسون -0.92 و -0.94، على التوالي. ومع ذلك، كان محتوى الأميلوز مرتبطًا إيجابيًا بمحتوى النشا المقاوم لكل من أصناف الأرز من كارناتاكا وآسام، مع معاملات ارتباط بيرسون 0.75 و 0.83، على التوالي.

الشكل 6. رسم بياني يوضح إجمالي النشا والنشا المقاوم لـ (أ) أصناف الأرز من كارناتاكا؛ (ب) أصناف الأرز من آسام العلاقة بين النشا المقاوم ومحتوى الأميلوز لـ (ج) أصناف الأرز من كارناتاكا؛ (د) أصناف الأرز من آسام.
استنتاج
في دراستنا، بحثنا في العوامل التي تؤثر على قابلية هضم أصناف الأرز الهندي من أصل كارناتاكا وآسام. من خلال تجارب الهضم في المختبر، قمنا بفحص الاختلافات في معدلات وأنماط الهضم بين أصناف الأرز. تسلط هذه النتائج الضوء على قدرتها على زيادة مستوى السكر في الدم بعد الوجبة، وبالتالي، يتم تصنيف جميع أصناف الأرز على أنها أصناف أرز ذات مؤشر سكر مرتفع. على الرغم من أن العينات التي تم النظر فيها في هذه الدراسة كانت من نفس المصدر النباتي (O. sativa indica)، إلا أن الخصائص المحددة لقابلية هضم الأرز، مثل النشا المقاوم، إجمالي النشا، وأهمها تحلل النشا، ومؤشر السكر، اختلفت بشكل كبير. تُعزى هذه الاختلافات بشكل رئيسي إلى طبيعة وحدات البناء من البوليسكاريد الموجودة في هذه الأصناف من الأرز، أي الأميلوز والأميلوبكتين من النشا. العامل الرئيسي المحدد لقابلية هضم الأرز هو الهيكل الجزيئي لمحتوى النشا، حيث يلعب نسبة الأميلوز إلى الأميلوبكتين دورًا حيويًا. على الرغم من أن جميع أصناف الأرز التي تم النظر فيها في دراستنا تم تصنيفها كأصناف أرز ذات مؤشر سكر مرتفع، فإن الاختلافات الطفيفة في قيم مؤشر السكر قد تكون بسبب اختلافات في طول سلسلة الأميلوبكتين، درجة البلمرة، البروتينات المرتبطة بالسطح، وتكوين مركبات الأميلوز-الدهون أثناء عملية الطهي. كشفت مخططات DSC عن اختلافات في معلمات الجيلاتينية، وأكدت النطاق الواسع من بداية، ذروة، نهاية، وحرارة الجيلاتينية الإطار الهيكلي المعدل للأميلوبكتين بين أصناف الأرز. قيد دراستنا هو أن الاختبارات في المختبر لا يمكن أن تعكس بدقة العمليات المعقدة لهضم الإنسان وامتصاصه. يمكن أن تؤثر عوامل مثل معدل إفراغ المعدة، نشاط الإنزيمات الهضمية، وامتصاص الجلوكوز في الأمعاء على مؤشر السكر للغذاء بطرق قد لا يتم التقاطها بدقة في نموذج في المختبر. بينما يمكن أن توفر اختبارات مؤشر السكر في المختبر معلومات مفيدة حول التأثير المحتمل لمؤشر السكر للأطعمة المختلفة، يجب تفسير النتائج بحذر بسبب القيود المحتملة للمنهجية. هناك حاجة إلى مزيد من البحث لتوحيد بروتوكولات اختبار مؤشر السكر في المختبر ولتفهم بشكل أفضل كيف ترتبط قيم مؤشر السكر في المختبر بقيم مؤشر السكر في الجسم واستجابات السكر الفعلية للمستهلكين البشر. تظهر نتائج دراستنا الخصائص الغذائية للأرز التقليدي الذي يستهلكه السكان المحليون في كارناتاكا وآسام، مما يساعد المستهلكين المهتمين بالصحة. علاوة على ذلك، فإن صنف الأرز الذي يتمتع بأفضل خصائص حبة هو الأكثر أهمية في التنبؤ بدرجة السوق وخصائص الاستخدام النهائي. وبالتالي، يمكن دمج أنواع الأرز التقليدية

الشكل 7. تمثيل بياني لديناميات الإنزيمات في المختبر تظهر تحلل النشا وقيم مؤشر السكر المقدرة لـ (أ) و (ج) أصناف الأرز من كارناتاكا، (ب) و (د) أصناف الأرز من آسام (
على التوالي). الرسوم البيانية توضح العلاقة بين محتوى الأميلوز ومؤشر السكر لأصناف الأرز (هـ) من كارناتاكا و (و) من آسام من خلال تحليل ارتباط بيرسون.
مع أصناف الأرز البيضاء لإنتاج أرز جديد ومنتجات غذائية قائمة على نشا الأرز مثل نودلز الأرز وكعك الأرز. ستساعد هذه المعلومات أيضًا في تحسين الرفاهية الغذائية للسكان المتزايدين في العالم ومكافحة الاضطرابات المرتبطة بنمط الحياة المتعلقة بتمثيل الكربوهيدرات الغذائية وستساعد في زيادة القدرة التنافسية للسوق العالمية وتعزيز زراعة أصناف الأرز التقليدية.
توفر البيانات
يعلن المؤلفون أن جميع البيانات التي تدعم نتائج هذه الدراسة متاحة ضمن الورقة. تتوفر بيانات إضافية تدعم نتائج هذه الدراسة من المؤلف المراسل عند الطلب.
تاريخ الاستلام: 11 سبتمبر 2024؛ تاريخ القبول: 6 يناير 2025
تم النشر عبر الإنترنت: 17 يناير 2025
تم النشر عبر الإنترنت: 17 يناير 2025
References
- Muthayya, S., Sugimoto, J. D., Montgomery, S. & Maberly, G. F. An overview of global rice production, supply, trade, and consumption. Ann. N. Y. Acad. Sci. 1324(1), 7-14. https://doi.org/10.1111/nyas. 12540 (2014).
- Harishnaika, N., Shilpa, N. & Ahmed, S. A. Detection of spatiotemporal patterns of rainfall trends, using non-parametric statistical techniques, in Karnataka state, India. Environ. Monit. Assess. 195(7), 909. https://doi.org/10.1007/s10661-023-11466-5 (2023).
- Deka, R. L., Mahanta, C., Pathak, H., Nath, K. K. & Das, S. Trends and fluctuations of rainfall regime in the Brahmaputra and Barak basins of Assam, India. Theor. Appl. Climatol. 114(1-2), 61-71. https://doi.org/10.1007/s00704-012-0820-x (2013).
- Bhat, S. S. & Rajanna, L. Plant diversity studies and role of halakki community in agroforestry homegardens of Uttara Kannada District, Karnataka, India. CRDEEP J. Int. J. Life Sci. Bhat & Rajanna 5(2), 54 (2015).
- Kk, A. Millets: Nutritional importance, health benefits, and bioavailability: A review. Energy 12(8), 223-227 (2023).
- Lal, M. K., Singh, B., Sharma, S., Singh, M. P. & Kumar, A. Glycemic index of starchy crops and factors affecting its digestibility: A review. Trends Food Sci. Technol. 111, 741-755. https://doi.org/10.1016/j.tifs.2021.02.067 (2021).
- Singh, M., Manickavasagan, A., Shobana, S. & Mohan, V. Glycemic index of pulses and pulse-based products: A review. Crit. Rev. Food Sci. Nutr. 61(9), 1567-1588. https://doi.org/10.1080/10408398.2020.1762162 (2021).
- Gayin, J. et al. Physical, cooking and thermal properties of African rice (Oryza glaberrima) and its starch digestibility in vitro. LWT 75, 481-487. https://doi.org/10.1016/j.lwt.2016.09.023 (2017).
- Mohapatra, D. & Bal, S. Cooking quality and instrumental textural attributes of cooked rice for different milling fractions. J. Food Eng. 73(3), 253-259. https://doi.org/10.1016/j.jfoodeng.2005.01.028 (2006).
- Lahkar, L. & Tanti, B. Morpho-physicochemical and cooking characteristics of traditional aromatic Joha rice (Oryza sativa L.) of Assam, India. Biocatal. Agric. Biotechnol. 16, 644-654. https://doi.org/10.1016/j.bcab.2018.10.001 (2018).
- Govindaraju, I. et al. Investigation of structural and physico-chemical properties of rice starch with varied amylose content: A combined microscopy, spectroscopy, and thermal study. Food Hydrocoll. 122, 107093. https://doi.org/10.1016/j.foodhyd.2021.107 093 (2022).
- Juliano, B. O. et al. International cooperative testing on the amylose content of milled rice. Starch – Stärke 33(5), 157-162. https:// doi.org/10.1002/star. 19810330504 (1981).
- He, M., Qiu, C., Liao, Z., Sui, Z. & Corke, H. Impact of cooking conditions on the properties of rice: Combined temperature and cooking time. Int. J. Biol. Macromol. 117, 87-94. https://doi.org/10.1016/j.ijbiomac.2018.05.139 (2018).
- Goñi, I., Garcia-Alonso, A. & Saura-Calixto, F. A starch hydrolysis procedure to estimate glycemic index. Nutr. Res. 17(3), 427-437. https://doi.org/10.1016/S0271-5317(97)00010-9 (1997).
- Corales, M., Nguyen, N. T. A., Abiko, T. & Mochizuki, T. Mapping quantitative trait loci for water uptake of rice under aerobic conditions. Plant Prod. Sci. 23(4), 436-451. https://doi.org/10.1080/1343943X.2020.1766361 (2020).
- Bhat, F. M. & Riar, C. S. Cultivars effect on the physical characteristics of rice (rough and milled) (Oryza Sativa L.) of temperate region of Kashmir (India). J. Food Sci. Technol. 53(12), 4258-4269. https://doi.org/10.1007/s13197-016-2420-8 (2016).
- Duchenne-Moutien, R. A. & Neetoo, H. Climate change and emerging food safety issues: A review. J. Food Prot. 84(11), 18841897. https://doi.org/10.4315/JFP-21-141 (2021).
- Ding, Y. et al. Effects of endogenous proteins and lipids on structural, thermal, rheological, and pasting properties and digestibility of adlay seed (Coix lacryma-jobi L.) starch. Food Hydrocoll. 111, 106254. https://doi.org/10.1016/j.foodhyd.2020.106254 (2021).
- Ma, M., Zhu, H., Liu, Z., Sui, Z. & Corke, H. Removal of starch granule-associated proteins alters the physicochemical properties of diverse small granule starches. Food Hydrocoll. 124, 107318. https://doi.org/10.1016/j.foodhyd.2021.107318 (2022).
- Vamadevan, V. & Bertoft, E. Observations on the impact of amylopectin and amylose structure on the swelling of starch granules. Food Hydrocoll. 103, 105663. https://doi.org/10.1016/j.foodhyd. 2020.105663 (2020).
- Farooq, M. A. et al. Investigating the structural properties and in vitro digestion of rice flours. Food Sci. Nutr. 9(5), 2668-2675. https://doi.org/10.1002/fsn3.2225 (2021).
- Zhao, Y., Dai, X., Mackon, E., Ma, Y. & Liu, P. Impacts of protein from high-protein rice on gelatinization and retrogradation properties in high- and low-amylose reconstituted rice flour. Agronomy 12(6), 1431. https://doi.org/10.3390/agronomy12061431 (2022).
- Chen, H. et al. Effects of nitrogen and phosphorus fertilizer on the eating quality of indica rice with different amylose content.
. Food Compos. Anal. 118, 105167. https://doi.org/10.1016/j.jfca.2023.105167 (2023). - Duan, H., Tong, H., Zhu, A., Zhang, H. & Liu, L. Effects of heat, drought and their combined effects on morphological structure and physicochemical properties of rice (Oryza sativa L.) starch. J. Cereal Sci. 95, 103059. https://doi.org/10.1016/j.jcs.2020.103059 (2020).
- Fan, X. et al. The interaction between amylose and amylopectin synthesis in rice endosperm grown at high temperature. Food Chem. 301, 125258. https://doi.org/10.1016/j.foodchem.2019.125258 (2019).
- Okpala, N. E. et al. Low temperature increased the biosynthesis of 2-AP, cooked rice elongation percentage and amylose content percentage in rice. J. Cereal Sci. 93, 102980. https://doi.org/10.1016/j.jcs.2020.102980 (2020).
- Prathap, V. et al. Starch accumulation in rice grains subjected to drought during grain filling stage. Plant Physiol. Biochem. 142, 440-451. https://doi.org/10.1016/j.plaphy.2019.07.027 (2019).
- Zhu, F. Relationships between amylopectin internal molecular structure and physicochemical properties of starch. Trends Food Sci. Technol. 78, 234-242. https://doi.org/10.1016/j.tifs.2018.05.024 (2018).
- Li, G. & Zhu, F. Physicochemical properties of quinoa flour as affected by starch interactions. Food Chem. 221, 1560-1568. https:/ /doi.org/10.1016/j.foodchem.2016.10.137 (2017).
- Zhang, G., Ao, Z. & Hamaker, B. R. Slow digestion property of native cereal starches. Biomacromolecules 7(11), 3252-3258. https:/ /doi.org/10.1021/bm060342i (2006).
- Berry, C. S. Resistant starch: Formation and measurement of starch that survives exhaustive digestion with amylolytic enzymes during the determination of dietary fibre. J. Cereal Sci. 4(4), 301-314. https://doi.org/10.1016/S0733-5210(86)80034-0 (1986).
- Englyst, H. N., Kingman, S. M., Hudson, G. J. & Cummings, J. H. Measurement of resistant starch in vitro and in vivo. Br. J. Nutr. 75(5), 749-755. https://doi.org/10.1079/BJN19960178 (1996).
- Tovar, J., Bjoerck, I. M. & Asp, N. G. Starch content and. alpha.-amylolysis rate in precooked legume flours. J. Agric. Food Chem. 38(9), 1818-1823. https://doi.org/10.1021/jf00099a007 (1990).
- Fonseca, L. M., El Halal, S. L. M., Dias, A. R. G. & da Zavareze, E. R. Physical modification of starch by heat-moisture treatment and annealing and their applications: A review. Carbohydr. Polym. 274, 118665. https://doi.org/10.1016/j.carbpol.2021.118665 (2021).
- Atkinson, F. S., Brand-Miller, J. C., Foster-Powell, K., Buyken, A. E. & Goletzke, J. International tables of glycemic index and glycemic load values 2021: A systematic review. Am. J. Clin. Nutr. 114(5), 1625-1632. https://doi.org/10.1093/ajcn/nqab233 (2021).
- Edwards, C. H., Cochetel, N., Setterfield, L., Perez-Moral, N. & Warren, F. J. A single-enzyme system for starch digestibility screening and its relevance to understanding and predicting the glycaemic index of food products. Food Funct. 10(8), 4751-4760. https://doi.org/10.1039/C9FO00603F (2019).
- Tian, Y. et al. Interfacial catalysis during amylolytic degradation of starch granules: Current understanding and kinetic approaches. Molecules 28(9), 3799. https://doi.org/10.3390/molecules28093799 (2023).
- Van Hung, P., Chau, H. T. & Phi, N. T. L. In vitro digestibility and in vivo glucose response of native and physically modified rice starches varying amylose contents. Food Chem. 191, 74-80. https://doi.org/10.1016/j.foodchem.2015.02.118 (2016).
- Dhital, S., Butardo, V. M., Jobling, S. A. & Gidley, M. J. Rice starch granule amylolysis-Differentiating effects of particle size, morphology, thermal properties and crystalline polymorph. Carbohyd. Polym. 115, 305-316. https://doi.org/10.1016/j.carbpol. 20 14.08.091 (2015).
- Bao, J., Zhou, X., Xu, F., He, Q. & Park, Y. Genome-wide association study of the resistant starch content in rice grains. Starch Stärke https://doi.org/10.1002/star.201600343 (2017).
- Kumar, A. et al. Effect of Drought stress on Resistant starch content and Glycemic index of rice ( Oryza sativa L.). Starch – Stärke 72(11-12), 1900229. https://doi.org/10.1002/star. 201900229 (2020).
- Yamakawa, H., Hirose, T., Kuroda, M. & Yamaguchi, T. Comprehensive expression profiling of rice grain filling-related genes under high temperature using DNA microarray. Plant Physiol. 144(1), 258-277. https://doi.org/10.1104/pp.107.098665 (2007).
- Lu, X., Ma, R., Qiu, H., Sun, C. & Tian, Y. Mechanism of effect of endogenous/exogenous rice protein and its hydrolysates on rice starch digestibility. Int. J. Biol. Macromol. 193, 311-318. https://doi.org/10.1016/j.ijbiomac.2021.10.140 (2021).
- Qadir, N. & Wani, I. A. Functional properties, antioxidant activity and in-vitro digestibility characteristics of brown and polished rice flours of Indian temperate region. Grain Oil Sci. Technol. 6(1), 43-57. https://doi.org/10.1016/j.gaost.2022.12.001 (2023).
- Sahoo, B. et al. Rice starch phase transition and detection during resistant starch formation. Food Rev. Int. 40(1), 158-184. https:// doi.org/10.1080/87559129.2022.2163498 (2024).
- Fan, D. et al. Determination of structural changes in microwaved rice starch using Fourier transform infrared and Raman spectroscopy. Starch – Stärke 64(8), 598-606. https://doi.org/10.1002/star. 201100200 (2012).
- Yao, Y., Zhang, J. & Ding, X. Structure-retrogradation relationship of rice starch in purified starches and cooked rice grains: A statistical investigation. J. Agric. Food Chem. 50(25), 7420-7425. https://doi.org/10.1021/jf020643t (2002).
- Dogan, A., Siyakus, G. & Severcan, F. FTIR spectroscopic characterization of irradiated hazelnut (Corylus avellana L.). Food Chem.
- Khatoon, S., Sreerama, Y. N., Raghavendra, D., Bhattacharya, S. & Bhat, K. K. Properties of enzyme modified corn, rice and tapioca starches. Food Res. Int. 42(10), 1426-1433. https://doi.org/10.1016/j.foodres.2009.07.025 (2009).
- Ma, Z. et al. Structural characterization of resistant starch isolated from Laird lentils (Lens culinaris) seeds subjected to different processing treatments. Food Chem. 263, 163-170. https://doi.org/10.1016/j.foodchem.2018.04.122 (2018).
- Hoover, R. Starch retrogradation. Food Rev. Int. 11(2), 331-346. https://doi.org/10.1080/87559129509541044 (1995).
- Kačuráková, M. & Mathlouthi, M. FTIR and laser-Raman spectra of oligosaccharides in water: Characterization of the glycosidic bond. Carbohydr. Res. 284(2), 145-157. https://doi.org/10.1016/0008-6215(95)00412-2 (1996).
- Matmin, J., Affendi, I., Ibrahim, S. & Endud, S. Additive-free rice starch-assisted synthesis of spherical nanostructured hematite for degradation of dye contaminant. Nanomaterials 8(9), 702. https://doi.org/10.3390/nano8090702 (2018).
الشكر والتقدير
نشكر أيضًا مدرسة مانيبال لعلوم الحياة، أكاديمية مانيبال للتعليم العالي، مانيبال، كارناتاكا، الهند على توفير البنية التحتية والمرافق.
مساهمات المؤلفين
IG: التصور، التجريب، تمثيل البيانات، كتابة المسودة الأصلية ARD: التجريب، تمثيل البيانات IC: التجريب، تنسيق البيانات BS & VJB: جمع العينات SSM: التجريب NM: إدارة المشروع، المراجعة والتحرير، الإشراف، الحصول على التمويل.
التمويل
تم توفير تمويل الوصول المفتوح من قبل أكاديمية مانيبال للتعليم العالي، مانيبال. نشكر بصدق المجلس الهندي للبحوث الطبية (ICMR)، حكومة الهند، الهند على منحة زمالة البحث العليا (SRF) أمر الموافقة رقم 3/1/2/297/2021-Nut. نشكر قسم التكنولوجيا الحيوية (DBT)، حكومة الهند، الهند (رقم المنحة BT/PR25099/NER/95/1014/2017) على الدعم المالي.
الإعلانات
المصالح المتنافسة
يعلن المؤلفون عدم وجود مصالح متنافسة.
معلومات إضافية
يجب توجيه المراسلات والطلبات للحصول على المواد إلى N.M.
معلومات إعادة الطبع والتصاريح متاحة علىwww.nature.com/reprints.
ملاحظة الناشر تظل Springer Nature محايدة فيما يتعلق بالمطالبات القضائية في الخرائط المنشورة والانتماءات المؤسسية.
معلومات إعادة الطبع والتصاريح متاحة علىwww.nature.com/reprints.
ملاحظة الناشر تظل Springer Nature محايدة فيما يتعلق بالمطالبات القضائية في الخرائط المنشورة والانتماءات المؤسسية.
الوصول المفتوح. هذه المقالة مرخصة بموجب رخصة المشاع الإبداعي النسب 4.0 الدولية، التي تسمح بالاستخدام والمشاركة والتكيف والتوزيع وإعادة الإنتاج بأي وسيلة أو صيغة، طالما أنك تعطي الائتمان المناسب للمؤلفين الأصليين والمصدر، وتوفر رابطًا لرخصة المشاع الإبداعي، وتوضح ما إذا تم إجراء تغييرات. الصور أو المواد الأخرى من طرف ثالث في هذه المقالة مشمولة في رخصة المشاع الإبداعي الخاصة بالمقالة، ما لم يُشار إلى خلاف ذلك في سطر الائتمان للمواد. إذا لم تكن المادة مشمولة في رخصة المشاع الإبداعي الخاصة بالمقالة وكان استخدامك المقصود غير مسموح به بموجب اللوائح القانونية أو يتجاوز الاستخدام المسموح به، فستحتاج إلى الحصول على إذن مباشرة من صاحب حقوق الطبع والنشر. لعرض نسخة من هذه الرخصة، قم بزيارة http://creativecommons.org/licenses/by/4.0/.
© المؤلف(ون) 2025
© المؤلف(ون) 2025
قسم الفيزياء الحيوية، مدرسة مانيبال لعلوم الحياة، أكاديمية مانيبال للتعليم العالي، مانيبال، كارناتاكا 576104، الهند. مختبر المواد والتحفيز، قسم الكيمياء، المعهد الوطني للتكنولوجيا كارناتاكا، سوراثكال، كارناتاكا 575025، الهند. قسم تربية النباتات وعلم الوراثة، جامعة أسام الزراعية، جورهات، أسام 785001، الهند. مركز التكنولوجيا الحيوية والمعلوماتية الحيوية، جامعة ديبروجره، أسام 786004، الهند. البريد الإلكتروني: nirmal.mazumder@manipal.edu
Journal: Scientific Reports, Volume: 15, Issue: 1
DOI: https://doi.org/10.1038/s41598-025-85660-5
PMID: https://pubmed.ncbi.nlm.nih.gov/39824900
Publication Date: 2025-01-17
DOI: https://doi.org/10.1038/s41598-025-85660-5
PMID: https://pubmed.ncbi.nlm.nih.gov/39824900
Publication Date: 2025-01-17
OPEN
Investigation of the physicochemical factors affecting the in vitro digestion and glycemic indices of indigenous indica rice cultivars
Rice (Oryza sativa) is a vital food crop and staple diet for most of the world’s population. Poor dietary choices have had a significant role in the development of type-2 diabetes in the population that relies on rice and rice-starch-based foods. Hence, our study investigated the in vitro digestion and glycemic indices of certain indigenous rice cultivars and the factors influencing these indices. Cooking properties of rice cultivars were estimated. Further, biochemical investgations such as amylose content, resistant starch content were estimated using iodine-blue complex method and megazyme kit respectively. The in vitro glycemic index was estimated using GOPOD method. The rice cultivars considered in our study were classified into low-, intermediate-, and high-amylose rice varieties. The rice cultivars were subjected to physicochemical characterization by using Fourier transform infrared (FTIR) spectroscopy and differential scanning calorimetry (DSC) techniques. FTIR spectral analysis revealed prominent bands at 3550-3200, 2927-2935, 1628-1650, 1420-1330, and 1300-1000 cm-1 which correspond to -OH groups,
, and
stretches, and
and -CH bending vibrations, confirming the presence of starch, proteins, and lipids. Additionally, the FTIR ratio R(1047/1022) confirmed the ordered structure of the amylopectin. DSC analysis revealed variations in the gelatinization parameters, which signifies variations in the fine amylopectin structures and the degree of branching inside the starch granules. The percentage of resistant starch (RS) ranged from 0.50-2.6%. The swelling power (SP) of the rice flour ranged between 4.1 and
. Furthermore, most of the rice cultivars are classified as having a high glycemic index (GI) based on the estimated in vitro GI (eGI), which varies from 73.74-90.88. The cooking properties of these materials were also investigated. Because the amylose content is one of the key factors for determining the cooking, eating, and digestibility properties of rice, we investigated the relationships between the amylose content and other biochemical characteristics of rice cultivars. The SP and GI were negatively correlated with the amylose content, whereas the RS had a positive relationship. The findings of our study can be beneficial in illustrating the nutritional profile and factors affecting the digestibility of traditional rice cultivars which will promote their consumption, cultivation, and contributes to future food security.
Keywords In vitro digestion, Glycemic index, Amylose content, Resistant starch, Swelling power, Water uptake, Cooking qualities
Rice (Oryza sativa) is one of the world’s most important food crops, and it is a staple diet for almost half of the world’s population. Rice production and consumption are the highest among the Asian population, especially among Indians
. Rice production in India accounts for
of the global rice production. The states of Karnataka
(
, latitudes
and
and longitudes
and
)
and Assam (tropical latitudes
to
and eastern longitudes
are naturally endowed with a wide variety of flora and different climatic conditions that support the cultivation of novel, indigenous rice cultivars. Furthermore, Karnataka has a tropical climate with a temperature of approximately
. and lies in the X and XII agroclimatic zones, and the annual rainfall is
. There are different types of soils throughout the state that influence agricultural cropping patterns. However, Assam is characterized by a tropical temperature of 10.4-32.3
, significant rainfall, and high humidity. Hence, two different zones of agro-climatic conditions support the growth of a wide variety of indigenous, nutrient-rich rice cultivars that vary in their nutritional properties and rate of digestion. Traditional rice varieties are predominantly cultivated and consumed around the world, and farmers are interested in these rice cultivars due to their superior grain quality. Since each cultivar demonstrates ecological adaptability, they are very important genetic reserves due to their time-tested features
. Among such traditional rice cultivars, some of the most prominent rice cultivars cultivated in Karnataka are Rajamudi, Rathnachoodi, Gandha Saale, and Jeerige Sanna. Joha, Bau, Sali, and Chakaw are the most wellknown in India’s Northeast Region. The Rajamudi rice cultivar is an exotic and prominent variety that was once highly desired for use in royal kitchens and courtly cuisine. Rajamudi rice varieties were specifically grown for the kings of the Mysore region in Karnataka. It has two varieties based on the color of the rice kernel, Bili (white) and Kempu (red) Rajamudi red rice varieties are often used by ayurvedic practitioners to treat various diseases, such as hypertension and digestive issues. In particular, red rice porridge is fed to people who are suffering from fever because it aids in maintaining optimal body temperature. Gandha (fragrant/aroma) Saale, Joha and Jeerige Sanna are aromatic rice varieties that are used on special occasions due to their fragrance and finest cooking properties. Furthermore, traditional aromatic rice varieties are used to treat anemia since they possess high iron and zinc contents and thus increase the bioavailability of iron. Bananthi (lactating women) and Akki (rice) are normally fed to lactating women because they are said to provide great stamina and promote lactation. Many traditional rice varieties are often cooked and consumed as whole grain, and often, they are described as functional foods due to their nutraceutical properties. However, some of these products are efficiently processed into rice-based food products such as rice noodles, rice cakes, rice flakes, puffed rice and other rice and rice starch-based delicacies that are popular among Asians. Since dietary carbohydrates are the primary source of energy for most people, understanding the quality of carbohydrates is crucial for the dietary management of metabolic diseases such as type 2 diabetes and obesity. Poor diet choices are the key contributors to the development of type 2 diabetes and obesity. In particular, rice and other starch-based foods are consumed. Determining the glycemic index and resistant starch content is an important approach for assessing the quality of carbohydrate-rich foods. The consumption of low-glycemia-indexed foods and high-resistance starch foods is associated with many health benefits, such as improved insulin sensitivity, improved digestive health, decreased risk of type 2 diabetes, and reduced hemoglobin
. Various studies have reported that a wide array of traditional red rice cultivars are associated with medicinal and nutritional properties, which in turn provide many health benefits for people after consumption. Additionally, local communities have several other perspectives about these traditional rice cultivars in addition to being a staple diet. Hence, in our study, we determined the in vitro digestibility, glycemic index, and resistant starch content of unpolished traditional rice cultivars that are endemic to the states of Karnataka and Assam in India. Furthermore, we characterized their cooking properties, gelatinization parameters using differential scanning calorimetry (DSC), and alterations in their chemical structure owing to differences in digestibility using Fourier transform infrared (FTIR) spectroscopy. The main aim of this study was to compare the in vitro digestibility of traditional rice cultivars grown in the region of Karnataka and Assam and to establish the relationships among the amylose content, glycemic index, resistant starch content and digestibility. Currently, in addition to being a staple diet, these traditional rice types are considered from several other perspectives. Hence, the findings of our systematic study will be beneficial for demonstrating the nutritional profile and factors affecting the digestibility of traditional rice cultivars from Karnataka and Assam, which will help to support the competitiveness of the global market and promote the consumption and cultivation of traditional rice varieties.
Materials and methods
Sample collection
The rice cultivars were collected from the local farmers of Karnataka (Bananthi akki, Gandha Saale, Bili Rajamudi, Betta Sanna, Salem Sanna, Tanu, Bili Muguthi, Kempu Rajamudi, Kage Thali, Kaveri) and Assam (Neuli, Thangam Champa, Til Bora, Kununkuruvai, Jhum Beji, Chakaw, Aad Bau, Kutkuti Sali, Basmathi, Pare) regions of India. The samples were dehusked to obtain rice grains. A 10 g of rice grains were finely ground using a mixer ( 750 Watts, Prestige Delight, India) and sieved through through a
sieve screen to obtain rice flour. It is stored in air-tight container till further analysis.
Physical characteristics of the rice grains
The phenotypical characteristics of dehusked rice grains are characterized. The physical parameters, such as the length, width, and thickness of the rice grains, were measured using digital Vernier calipers.
Determination of cooking time, water uptake ratio, grain elongation ratio, and volume expansion ratio
Cooking time
The cooking time was estimated by the open vessel cooking method. Rice kernels ( 5 g ) were cooked in 100 mL of distilled water. Meanwhile, a countdown clock was started. For every 5 min , a few rice kernels were removed from the cooking vessel and sandwiched between glass slides to check for the absence of white cores in the rice
kernels to ensure complete cooking. The countdown clock is stopped once the cooking is completed, and the final time is recorded as the established cooking time .
kernels to ensure complete cooking. The countdown clock is stopped once the cooking is completed, and the final time is recorded as the established cooking time
Water uptake (WU)
The minimum quantity of water taken by rice kernels during the process of cooking is referred to as water uptake. Two grams of rice was weighed and cooked in 10 mL of water until the rice was completely cooked. Individual rice kernels were removed and sandwiched between glass slides so that there was no white core, which ensures complete cooking. The cooked rice was then drained, and the excess water was measured. The amount of water absorbed is calculated by subtracting the amount of drained water from the amount of initial water added. Then, the water uptake of the different rice cultivars was expressed as 100 g of rice
.
Grain elongation ratio (ER) and volume expansion ratio (VER)
The initial grain length (L0) was measured using digital Vernier calipers before cooking, and the final grain length (L1) was recorded after cooking
. The grain elongation ratio was calculated as the ratio of the length of cooked rice to the length of uncooked rice kernels, and the volume expansion ratio was measured by the water displacement method and expressed as the ratio of the volume of cooked rice grains to the volume of raw rice grains
.
Fourier transform infrared (FTIR) spectroscopy of the rice varieties
FTIR spectroscopy was used to examine alterations in the chemical composition of rice flour from different varieties of rice. The rice flour samples were blended with KBr and mounted onto a potassium bromide
pellet holder. The spectra of the mounted rice flour samples were recorded using a Bruker alpha FTIR spectrometer (Bruker alpha, Germany), and the samples were scanned from 4000 to
. The spectra obtained from different rice flour samples were analyzed by monitoring the presence and absence of functional groups, chemical bonds, bond stretching, and molecular vibrations.
Differential scanning calorimetry (DSC) of rice varieties
The gelatinization parameters were determined using a differential scanning calorimeter (Shimadzu’s DSC60). The sample preparation was performed by coating approximately
of rice flour sample (
moisture) with
distilled water in an aluminum pan. The pan was manually crimped using a sample-encapsulating press (Shimadzu’s DSC60), heated at specific temperatures between 30 and
at intervals of
and monitored for DSC curves. The onset, peak, and endset temperatures and the transition enthalpy (
) were recorded. The DSC curves were analyzed using TA-60WS software.
Determination of amylose content in the rice varieties
To determine the amylose content of the starch granules, 100 mg of rice flour was weighed into a 100 mL volumetric flask, and 1 mL of
ethanol and 9 mL of 1 N NaOH solution were added to the flask. The gelatinization of starch was carried out by heating it in boiling water for 10 min . The solution was then cooled and made up to the mark in the flask with distilled water. Five milliliters of the sample solution was transferred to another 100 mL standard flask. After that, 1 mL of 1 M acetic acid and 2 mL of iodine solution were added, the solution was diluted with distilled water, and the absorbance was measured using a UV-Vis spectrophotometer at 620 nm . The amylose content was calculated using the standard graph of potato amylose
.
Determination of the swelling power of the rice varieties
One gram of rice flour was weighed and transferred to 40 mL of distilled water. The mixture was incubated in a water bath at different temperatures ranging from 55 to
for approximately 30 min . All the tubes were cooled to room temperature and centrifuged (Thermo Scientific
Sorvall
ST 8 Centrifuge) at
for approximately 20 min . The resulting pellet was recovered, and the swelling power was calculated as the ratio of the wet sediment weight to the dry rice flour weight
.
Determination of resistant starch (RS) and total starch (TS)
The RS content of the rice samples was estimated using a megazyme RS assay kit (Megazyme International Ireland Ltd., Bray, Ireland) according to the manufacturer’s protocol. One hundred milligrams of rice flour was digested with 4 mL of pancreatic
-amylase (
) in a 50 mL conical flask in the presence of amyloglucosidase
. The digestion mixture was incubated at
with continuous stirring at 200 rpm for 16 h . Then, 4 mL of absolute ethanol was gently added. The contents were then centrifuged at × 1500 g for 10 min to separate the pellet and supernatant. Two milliliters of
ethanol was added to the pellet while vigorously stirring, and the volume was increased to 8 mL by adding
ethanol. The pellet was further centrifuged at
for 10 min . The supernatant was collected in separate tubes and processed to estimate the nonresistant (digestible) starch content. The centrifugation process was repeated three times to accumulate a total volume of 24 mL of the supernatant, and the remaining drops of the supernatant were removed by inverting the tubes on the absorbent paper. Two milliliters of 2 M KOH was used to resuspend the pellet with continuous stirring in an ice bath for approximately 20 min , followed by the addition of 8 mL of 1.2 M sodium acetate buffer ( pH 3.8 ) along with 0.1 mL of amyloglucosidase (
). The tubes were vortexed well, incubated at
for 30 min and centrifuged at
for 10 min . Then, 0.1 mL of the supernatant was aliquoted into glass test tubes in triplicate, and 3 mL of glucose determining reagent, glucose oxidase peroxidase (GOPOD), was added to the tubes, which were then incubated at
for 20 min . The resulting pink complex was subjected to colorimetric absorbance at 510 nm against a blank, and the RS and TS concentrations were calculated according to the manufacturer’s formula.
Determination of the in vitro glycemic index (GI) of the rice varieties
The estimated GI of the rice varieties was determined according to the method described by Goñi et al.
Briefly, 3 g of boiled rice was put into an Erlenmeyer flask, to which 0.2 mL of pepsin
buffer,
1.5 ) was added. The reaction was accelerated by incubating the mixture at
for 1 h in a shaking water bath. After the end of the incubation period, the total volume of the solution was adjusted to 25 ml with Tris-Malaete buffer ( pH 6.9 ), followed by the addition of 5 ml of porcine pancreatic amylase ( 2.6 U ). The mixture was again incubated at
for approximately 3 h with continuous stirring. One-millilitre aliquots were taken from this solution every 30 min until the end of the incubation period. The aliquots taken were labeled for
, 120,150 , and 180 min and placed in a boiling water bath for approximately 5 min with intermittent shaking to decrease enzyme activity. One milliliter of 0.4 M sodium acetate buffer ( pH 4.75 ) and
of amyloglucosidase were added to each aliquot and incubated at
for 45 min . Later, the total volume was adjusted to 100 mL with distilled water, and the amount of glucose released was measured with a glucose oxidase peroxidase assay.
The kinetics of starch hydrolysis followed pseudo-first-order kinetics
, where C ,
, and k are the percentage of starch hydrolyzed at time ‘
‘ (min), the equilibrium percentage of starch hydrolyzed at 180 min , and the kinetic constant, respectively. The hydrolysis index (HI) was calculated by dividing the area under the hydrolysis curve of each sample by the area of a reference material, in this case, white bread. The estimated GI (eGI) was calculated using the equation
.
Statistical analysis
The mean and standard deviation of triplicate data from the experiments were calculated using Microsoft Excel 2019. Analysis of variance was calculated using GraphPad Prism 8.0.2 by applying Tukey’s test to determine the statistical significance of the values obtained. The results with
were considered to be significant. Pearson correlations (‘r’ values) among the amylose content, resistant starch content, and in vitro glycemic index were determined. An ‘ r ‘ value between – 1 and 0 indicates a negative correlation, whereas a value between 0 and 1 indicates a positive correlation.
Results and discussion
Phenotypic characterization and determination of cooking parameters
Basmathi had the greatest elongation ratio (
), followed by Thangam Champa (
) and Pare
, as shown in Fig. 1. However, the minimum elongation ratio was observed in Til Bora
and Chakaw
. The minimum cooking time of the rice varieties was determined when no longer the white core of the kernels was visible. For the Karnataka rice variety, Bili muguthi took the most time, i.e., 35 min , and Bananthi akki took the least time, 20 min , to cook, whereas for the Assam rice variety, Kununkuruvai took the most time, i.e., 35 min , and Aad Bau took the least time, 17 min , to cook. In the Karnataka rice variety, Kaveri consumed 199 mL of water, and Bananthi Akki consumed 150 mL of water, whereas in the Assam variety, Kutkuti Sali consumed 270 mL of water, and Basmathi consumed 160 mL of water for cooking. Kaveri had a maximum grain length of
, and Bananthi Akki had the minimum grain length of 4.30 mm among the Karnataka varieties, whereas Basmathi had the maximum grain length (
), and Til Bora had the minimum grain length
among the Assam varieties. The maximum volume expansion ratio was observed in Bananthi Akki (
), and the minimum volume expansion ratio was
, which was observed in Tanu and Betta Sanna from the Karnataka rice variety, whereas in the case of the Assam rice variety, Jhum Beji had the maximum volume expansion ratio (
) and minimum volume expansion ratio
. These cooking parameters are interconnected and interdependent, and they are affected by various factors, such as rice variety and genetics, cooking time and temperature, water composition, and environmental conditions during cultivation. The differences in water uptake behavior may be due to variations in the key genetic loci associated with water uptake in rice
. Furthermore, rice cultivars grown at different altitudes have been shown to possess various physical, chemical, and cooking attributes
, which supports the differences in the cooking characteristics of the Assam and Karnataka rice cultivars. Climate change-induced shifts in temperature patterns, rainfall distributions, and extreme weather events can have profound impacts on rice grain characteristics
.
Fourier transform infrared (FTIR) spectroscopy of the rice cultivars
The FTIR spectra of the Karnataka and Assam rice cultivars revealed multiple chemical bonds that are structurally positioned in the molecule. We scanned rice flours in the range of
, and there was not much significant variation in the spectra of the Karnataka and Assam rice cultivars. This is presumably due to the similar structural architecture of the predominant starch polysaccharide, which is present in all the common rice varieties. Prominent peaks were found at
, and
(Fig. 2a,b). The wide and broad FTIR bands at
correspond to the – OH groups exhibiting stretching vibrations, which confirms that the polysaccharide component is the major moiety present in the rice flour. The weak and medium-length bands at 2927-2935
and 1628
, respectively, represent
asymmetric or symmetric stretching due to the presence of nonstarch components such as lipids and proteins as well as the
stretch
Table 1
, which indicates the presence of starch-bound proteins. This confirms that these moieties influence the digestion of rice cultivars and thus the estimation of the GI. Although proteins and lipids are present in minor fractions, they contribute to the structural integrity of starch granules and affect the thermal and rheological properties of starch. In addition, they influence the texture, cooking characteristics, and sensory attributes of cooked rice and contribute to its overall nutritional quality
These bands are also attributed to the
bending of the bound water molecules, which represents the moisture content of the rice flour. The bands at
are attributed to the
bending vibrations of
due to the cis-distributed alkene groups, and the bands

Fig. 1. Graphical representation of the cooking parameters of (a) Karnataka (b) Assam rice cultivars, and (c) Bar graph showing the water uptake of rice cultivars (
).
at
are attributed to the
bending vibrations,
stretching and bending vibrations, and skeletal vibrations of
, which represent the presence of glycosidic linkages. The specific bands at 1153 to
indicate
bending and
stretching vibrations due to the presence of amylose and amylopectin polymers. Among the Karnataka rice cultivars, Kaveri, Salem Sanna, and Bili Muguthi showed differences at this position. However, in the Assam rice cultivars, Pare, Basmathi, and Kutkuti Sali were shown to have variations at the same peak positions with varied intensities. Changes in the intensity and shape of the peaks in this region may indicate variations in starch composition, degree of polymerization, and molecular interactions within the starch matrix of the different rice cultivars. Furthermore, it also reflects the functional parameters of rice grains, such as the tendency to gelatinize, retrograde, and digestible starch. The peaks beyond
represent the hydrophilicity of rice flour, where the variations in the FTIR peak intensities

Fig. 2. FTIR spectra of (a) & (c) Karnataka; (b) & (d) Assam rice cultivars; (c) & (d) fingerprint region of the FTIR spectra of the Karnataka and Assam rice cultivars, respectively.
| Wavenumber (
|
Band assignments | Prediction | References | |||||
| 3550-3200
|
Stretching vibration of O-H | Polysaccharides | 43 | |||||
| 2927-2935
|
|
Mainly unsaturated lipids and a small contribution from proteins, carbohydrates, nucleic acids | 44 | |||||
|
|
|
|
44,45 | |||||
|
|
|
Cis distributed alkenes | 46,47 | |||||
|
|
|
Lipids and proteins Presence of glycosidic linkages | 48,46,47 | |||||
|
|
|
Starch | 49 | |||||
|
|
|
Polymer chain | 46 | |||||
| 1048 | Characteristic band of crystalline region of starch | Amylopectin chains | 50 | |||||
|
|
Characteristic to region amorphous,
|
Amylose chains | 51,50 | |||||
| 930 | Skeletal mode vibrations of
|
Presence of strong glycosidic linkages and indicates the hydrophilicity of starch | 52,47 | |||||
|
|
Fingerprint region | Glucopyranose ring of starch | 53 |
Table 1. Table showing FTIR band assignments for the rice cultivars: b-broad, w-weak, s-strong, m-medium.
among different rice cultivars indicate differences in water absorption capacity, swelling behavior, and moisture retention. Furthermore, the skeletal mode vibrations of the
glycosidic linkages and glucopyranose ring structures are illustrated by the bands at
. The highly ordered structure of starch polysaccharides can be quantified using the absorbance ratio
(Table 2). The values ranged from 1.0 to 1.25 for the Karnataka rice cultivar and from
for the Assam rice cultivar. The R values are proportional to the degree of the ordered structure the highly intense peaks at 1047 and
indicate the highly ordered amorphous and crystalline domains of starch (Fig. 2c,d). Overall spectral characteristics aid in the assessment of rice grain quality and provide valuable insights into the structural features and properties of starch, which are essential for various applications in food science, nutrition, and agriculture.
Differential scanning calorimetry (DSC) of starch granules
The thermal properties of the rice flour were determined using DSC. The onset (
), endset (
), and peak gelatinization (
) temperatures varied significantly among the Karnataka and Assam rice cultivars. The
and
ranged from
, and
, respectively, for the Karnataka rice cultivars. The temperatures of the Assam rice cultivars ranged from
, and
. A high gelatinization peak temperature was observed for Kempu Rajamudi (
) in Karnataka and Kutkuti Sali (
) in Assam (Fig. 3). The onset temperatures for both the Karnataka and Assam rice cultivars were lower than those for
and
. This is because the initial swelling of starch granules does not require a high temperature, and hence, the onset temperatures are lower than the peak and endset temperatures. The gelatinization peak temperature increased in all the rice varieties due to the melting of the crystalline region (amylopectin) as gelatinization progressed. The endset temperature denotes the complete melting of crystalline regions (amylopectin) hence, the more highly ordered the amylopectin region is, the greater the endset temperature and gelatinization enthalpy
(Table 3). The high gelatinization peak temperature in the Kempu Rajamudi and Kutkuti Sali rice varieties indicates the need for more heat for the gelatinization of starch granules. The predominant factors to be considered for the analysis of these variations are the amylopectin fine structure and its degree of branching. Crystalline amylopectin is also the major determinant of the variation in the gelatinization enthalpy. The disentanglement of double helices also illustrates the higher gelatinization enthalpy for the rice flours. The samples considered in this study showed a weak negative correlation, which was not significant between the amylose content and the gelatinization peak temperature however, there are various other studies that support the negative relationship between the amylose content and gelatinization peak temperature
In addition, the differences in the total starch content, protein content, lipid content, and moisture content among the rice flours can also be attributed to variations in the transition temperature. The formation of amylose-lipid complexes, starch-bound proteins, and fiber content due to the presence of cell walls retards gelatinization, thereby increasing the gelatinization enthalpy
. Hence, in regard to the gelatinization of whole grain cereals, the interplay of all these factors justifies the variations in the gelatinization temperature, cooking time estimation, water uptake, and certain sensory attributes of the cooked rice varieties.
Determination of amylose content in the rice varieties
The amylose content is an important parameter that determines the cooking and eating qualities of rice. The amylose content also determines the suitability of starch for industrial use. The amylose contents of the rice cultivars considered in this study significantly differed (
). The rice cultivars are classified as very low (
), low (
), intermediate (
), or high-amylose (
) rice cultivars based on their amylose content. Among the Karnataka rice varieties, Kaveri had the maximum amylose content (
), and Gandha Saale had the minimum amylose content (
), whereas among the Assam rice varieties, Basmathi had the maximum amylose content
, and Neuli had the minimum amylose content
(Fig. 4). The significant variations in the amylose content of rice cultivars are attributed to various genetic factors, degrees of milling, nitrogen fertilizers
, environmental factors
, etc. Temperature during the ripening of rice grains plays an important role in the development of starch molecular structure
. Since both regions have diverse climatic conditions in terms of temperature and rainfall, the variations in the amylose content can be attributed to these factors. Furthermore, macrolevel starch structures are also impacted by salinity and water-related stressors
.
| Karnataka rice cultivars | Assam Rice cultivars | ||
| Name of the rice cultivars | R 1047/1022 | Name of the rice cultivars | R 1047/1022 |
| Bananthi akki | 1.01 | Til bora | 1.00 |
| Bili muguthi | 1.18 | Basmathi | 1.28 |
| Betta sanna | 1.10 | kunkuruvai | 1.10 |
| Gandha Sale | 1.00 | Neuli | 1.12 |
| Kaveri | 1.25 | Jhum beji | 1.14 |
| Kempu Rajamudi | 1.00 | Aad bau | 1.05 |
| Kage Thali | 1.15 | Chakaw | 1.10 |
| Salem Sanna | 1.23 | Pare | 1.20 |
| Tanu | 1.01 | Thangam Champa | 1.02 |
| Bili rajamudi | 1.02 | Kutkuti sali | 1.19 |
Table 2. Table showing R1047/1022 for different indica rice cultivars:

Fig. 3. DSC thermograms depicting the peak gelatinization temperatures of (a) Karnataka and (b) Assam rice cultivars.
Since some of the enzymes responsible for starch biosynthesis are heat labile, atmospheric temperatures greater than or less than optimal can have a significant impact on their function during starch synthesis at the molecular level, i.e., the formation of amylose and amylopectin chains and their branching
. The use of more nitrogen and phosphorus fertilizers results in lower amylose levels in certain rice cultivars
.
Determination of the swelling power of the rice varieties
The swelling power is the ratio of wet sediment from rice flour to dry sediment. It determines the water holding capacity of rice flour and hence determines its applicability in various food industries. The swelling power of the rice starches ranged from 12.42 to
for the Assam rice cultivars, whereas for the Karnataka rice cultivars, it ranged from 4.1 to
over the temperature range of
(Fig. 5). The Neuli and Thangam
| Sl. No | Rice varieties | AUC | HI | GI |
|
k ( min
|
| Assam rice cultivars | ||||||
| 1 | Neuli | 485.62 |
|
|
|
|
| 2 | Thangam Champa | 450.05 |
|
|
|
|
| 3 | Til Bora | 438.28 |
|
|
|
|
| 4 | Kununkuruvai | 427.13 |
|
|
|
|
| 5 | Jhum Beji | 439.37 |
|
|
|
|
| 6 | Chakaw | 440.43 |
|
|
|
|
| 7 | Aad Bau | 396.3 |
|
|
|
|
| 8 | Kutkuti Sali | 384.91 |
|
|
|
|
| 9 | Basmathi | 355.18 |
|
|
|
|
| 10 | Pare | 358.88 |
|
|
|
|
| Karnataka rice cultivars | ||||||
| 1 | Bananthi akki | 392.63 |
|
|
|
|
| 2 | Gandha Saale | 379.59 |
|
|
|
|
| 3 | Bili Rajamudi | 366.83 |
|
|
|
|
| 4 | Betta Sanna | 362.85 |
|
|
|
|
| 5 | Salem Sanna | 357.79 |
|
|
|
|
| 6 | Tanu | 355.78 |
|
|
|
|
| 7 | Bili Muguthi | 356.14 |
|
|
|
|
| 8 | Kempu Rajamudi | 357.7 |
|
|
|
|
| 9 | Kage Thali | 343.155 |
|
|
|
|
| 10 | Kaveri | 362.98 |
|
|
|
|
| Fresh Bread | 503.37 |
|
|
|
|
|
Table 3. In vitro digestion kinetics parameters for different rice cultivars of Assam and Karnataka.
AUC- area under the starch hydrolysis curve HI- hydrolysis index GI- glycemic index
-theoretical value of digested starch at the equilibrium point of starch hydrolysis
– rate constant for the starch hydrolysis reaction. All values are expressed as the mean of duplicate samples and the standard deviation with
. Values with different letters in the same column are significantly different at
.
Champa rice varieties of Assam and the Bananthi Akki and Gandhasaale rice varieties of Karnataka showed greater swelling than the other rice cultivars. This could be due to their low amylose content. Additionally, both the Assam and Karnataka rice varieties with high amylose contents showed the least swelling. Furthermore, there was a strong negative correlation (
) between the amylose content and the swelling power of the rice cultivars, irrespective of their region of cultivation. In high-amylose rice cultivars, amylose is a single coiled helix that precludes the binding of water molecules, and the compact structure of amylose makes the starch rigid, which resists the absorption of water molecules into it and thus reduces its swelling power. In lowamylose rice cultivars such as Neuli, Thangam Champa, Bananthi Akki, and Gandhasaale, the amylose chains are easily disorganized upon cooking, and they interfere with the highly ordered, crystalline amylopectin region as cooking proceeds, leading to the forfeiting of its structure. Amylopectin is another fundamental component of starch, and its fine structure and molecular weight play important roles in the swelling process
Apart from these two factors, the presence of nonstarch components such as proteins and lipids in whole-grain cereals results in the formation of starch-lipid and starch-protein complexes due to their interactions with starch. The formation of such complexes precludes swelling. In addition, other nonstarch components, such as dietary fiber and phenolics, can also contribute to the reduced swelling power of whole-grain rice flour
.
Determination of resistant starch (RS), nonresistant starch (NRS), and total starch (TS)
The rice varieties Karnataka and Assam showed a wide range of differences in their RS, NRS, and TS contents. In the case of the Karnataka rice variety, the highest RS value was obtained for Kaveri (
), and the lowest RS value was obtained for Bananthi Akki (
), whereas in the Assam rice variety, the highest RS was present in Pare (
), and the lowest RS was observed in Neuli (
). The RS of the Karnataka rice varieties ranged from
, whereas that of the Assam rice varieties ranged from
. The TS content varied from
for the Karnataka varieties and
for the Assam rice varieties (Fig. 6). The significant variation (
) in the RS and TS contents can be attributed to external factors during the growth of plants, such as stress, altered climatic conditions, and fertilizer use. These external factors greatly contribute to the altered enzymatic activity during starch biosynthesis. Although raw and processed rice contain appreciable amounts of RS, the amount of RS differs according to the botanical origin, degree of processing, and genetic mutation of the RS genes. Although the samples considered in this study were from the same botanical source, the percentages of RS in the rice cultivars of Assam were greater than those in the Karnataka rice cultivars. The low-amylose rice cultivars from Karnataka and Assam both exhibited a lower RS content than did the high-amylose rice cultivars thus, there was a positive correlation between the amylose content and the RS in both the Karnataka and Assam

Fig. 4. Horizontal bar graph depicting the amylose content of the Karnataka and Assam rice cultivars (
).
rice cultivars, indicating that amylose chains are responsible for the presence of RS in different rice cultivars. This difference may be due to the arrangement of the amylose chains inside the starch granules. The presence of more amylose chains reduces the surface area available for the amylases to digest the starch granules. However, because amylopectin is largely branched, it provides a larger surface area and makes the starch granules least resistant to digestion. The primary barrier to amylase access is the single helix structure of amylose. Additionally, the tightly coiled amylose framework shields the internal hydrogen bonds of starch, preventing amylase penetration
. The structural features of starch granules also contribute to the ‘resistant’ nature of starch because, during the RS determination, the use of different enzymes follows different mechanisms of action with varied internal and external structural features of starch
. Additionally, the methodology used for RS quantification, direct methods
and indirect methods
has been shown to significantly affect the measurement of RS.
Determination of the in vitro glycemic indices of the rice varieties
Among the Karnataka rice cultivars, Bananthi Akki (
) and Kage Thali (
) had the highest and lowest eGIs, respectively. However, among the Assam rice varieties, the most common GI rice cultivar was Neuli
, and the least common eGI rice variety was Pare
, with a significant difference (
) (Fig. 7). Regardless of the region where these plants are grown, the high-amylose rice cultivars exhibited less starch hydrolysis and lower eGI s than did the intermediate- and low-amylose rice cultivars. Similar findings have been reported by various authors, which supports the effect of high amylose content on reducing the digestibility of rice
. Usually, food is classified into high-GI rice cultivars (GI
), medium-GI rice cultivars (GI 56-69), and low-GI rice cultivars (GI
. In our study, all the rice cultivars were classified as high-GI rice cultivars (
) based on their estimated GI values. Although the rice cultivars considered in our study were of the same botanical origin and had high GI values, there was significant (
) variation in the HI and estimated GI of the Assam rice cultivars compared to the HI and estimated GI of the Karnataka rice varieties. The primary reason for this difference is the ratio of amylose to amylopectin in different rice cultivars. The molecular structure of these fundamental units plays an important role in determining starch digestibility. Amylose is always a single and coiled helix, and its ordered structure is well packed with strong hydrogen bonds in the starch interior. Thus, the amylose content of rice cultivars is directly proportional to the density of internal hydrogen bonds. This tightly packed configuration of amylose resists the penetration of enzymes into the starch interior and denies the accessibility of
linkages
This explains the decreased enzymatic susceptibility of high-amylose cultivars to
-amylases and thus the negative correlation between the GI and amylose content
. Furthermore, we observed the same trend in determining the resistant starch content, which clearly explains the role of high amylose content in reducing digestibility by increasing the resistant starch content (Fig. 6). However, few rice cultivars of Karnataka do not follow the above-discussed rule, and their deviation from this rule resulted

Fig. 5. Graph depicting the swelling power of (a) Karnataka; (b) Assam rice cultivars relationship between swelling power and amylose content of (c) Karnataka; (d) Assam rice cultivars.
in
Pearson correlation coefficient of -0.85 . This significant variation may be due to the different structural/ morphological features of the starch granules. The presence of pores on the external surface of starch granules sometimes extends directly to the hilum region of the starch. The presence of such pores is a unique feature of A-type cereal starches
and facilitates the direct diffusion of amylases to the core of starch granules. Once the enzyme achieves this, the resistance to enzymatic activity is dependent on the local molecular organization of the amorphous amylose and crystalline amylopectin of the starch polymers. This also explains the reduced rate constant ‘
‘ in the Karnataka rice cultivar compared to the Assam rice cultivar. In addition, plants are exposed to a wide range of stresses, such as cold stress, drought stress, low-light stress, carbon dioxide stress, and salinity stress, due to climatic changes, which results in diverse and complicated responses with respect to the enzyme activities involved in starch biosynthesis
. Alterations in starch biosynthesis directly affect the granular structure of starch and thereby modify its digestibility.
Statistical analysis
Pearson correlation analysis revealed a negative correlation among the amylose content, resistant starch content, and glycemic index of the rice cultivars. The Pearson correlation coefficients were
and -0.92 for the GI vs. amylose of the Karnataka and Assam rice cultivars, respectively. Similarly, the Pearson correlation coefficients were
and -0.6 for GI v/s RS, respectively. Furthermore, the swelling power was negatively correlated with the amylose content of both the Karnataka and Assam rice cultivars, with Pearson correlation coefficients of -0.92 and -0.94 , respectively. However, the amylose content was positively correlated with the resistant starch content of both the Karnataka and Assam rice cultivars, with Pearson correlation coefficients of 0.75 and 0.83, respectively.

Fig. 6. Graph depicting the total starch and resistant starch of (a) Karnataka; (b) Assam rice cultivars relationship between resistant starch and amylose content of (c) Karnataka; (d) Assam rice cultivars.
Conclusion
In our study, we investigated the factors affecting the digestibility of Indica rice cultivars of Karnataka and Assam origin. Through in vitro digestion experiments, we examined the differences in digestion rates and patterns among the rice cultivars. This finding sheds light on their potential to increase postmeal blood sugar, and hence, all the rice cultivars are classified as high glycemic index rice cultivars. Although the samples considered in this study were from the same botanical source (O. sativa indica), the digestibility-determining characteristics of rice, such as resistant starch, total starch, most predominantly starch hydrolysis, and glycemic index, varied significantly. These variations are mainly attributed to the nature of the building blocks of polysaccharides present in these rice cultivars, i.e., the amylose and amylopectin of starch. The major determinant of rice digestibility is the molecular structure of the starch content, in which the ratio of amylose to amylopectin plays a vital role. Although all the rice varieties considered in our study were categorized as high-GI rice varieties, the slight variations in the GI values may be due to differences in the amylopectin chain length, degree of polymerization, surface-bound proteins, and formation of amylose-lipid complexes during the cooking process. DSC thermograms revealed variations in the gelatinization parameters, and the wide range of onset, peak, endset, and gelatinization enthalpies confirmed the altered structural framework of amylopectin among the rice cultivars. The limitation of our study is, In vitro tests cannot perfectly replicate the complex processes of human digestion and absorption. Factors such as the rate of gastric emptying, the activity of digestive enzymes, and the absorption of glucose in the intestines can all influence the GI of a food in ways that may not be accurately captured in an in vitro model. while in vitro GI testing can provide useful information about the potential glycemic impact of different foods, the results should be interpreted with caution due to the potential limitations of the methodology. Further research is needed to standardize in vitro GI testing protocols and to better understand how in vitro GI values relate to in vivo GI values and to the actual glycemic responses of human consumers. The findings of our study demonstrate the nutritional qualities of traditional rice consumed by the local populations of Karnataka and Assam, which is helpful for health-conscious consumers. Furthermore, the rice variety with the best grain characteristics is the most significant predictor of market grade and end use attributes. Thus, traditional rice types can be combined

Fig. 7. Graphical representation of in vitro enzymatic kinetics showing starch hydrolysis and estimated glycemic index values of (a) & (c) Karnataka, (b) & (d) Assam rice cultivars (
, respectively). Graphs depicting the relationship between the amylose content and glycemic index of (e) Karnataka and (f) Assam rice varieties through Pearson correlation analysis.
with white rice varieties to produce novel rice and rice starch-based food items such as rice noodles and rice cakes. This information will also aid in improving the nutritional well-being of the world’s growing population and combating lifestyle disorders associated with the metabolism of dietary carbohydrates and will aid in increasing the competitiveness of the global market and promoting the cultivation of traditional rice varieties.
Data availability
The authors declare that all the data supporting the findings of this study are available within the paper. Further data supporting the findings of this study are available from the corresponding author upon request.
Received: 11 September 2024; Accepted: 6 January 2025
Published online: 17 January 2025
Published online: 17 January 2025
References
- Muthayya, S., Sugimoto, J. D., Montgomery, S. & Maberly, G. F. An overview of global rice production, supply, trade, and consumption. Ann. N. Y. Acad. Sci. 1324(1), 7-14. https://doi.org/10.1111/nyas. 12540 (2014).
- Harishnaika, N., Shilpa, N. & Ahmed, S. A. Detection of spatiotemporal patterns of rainfall trends, using non-parametric statistical techniques, in Karnataka state, India. Environ. Monit. Assess. 195(7), 909. https://doi.org/10.1007/s10661-023-11466-5 (2023).
- Deka, R. L., Mahanta, C., Pathak, H., Nath, K. K. & Das, S. Trends and fluctuations of rainfall regime in the Brahmaputra and Barak basins of Assam, India. Theor. Appl. Climatol. 114(1-2), 61-71. https://doi.org/10.1007/s00704-012-0820-x (2013).
- Bhat, S. S. & Rajanna, L. Plant diversity studies and role of halakki community in agroforestry homegardens of Uttara Kannada District, Karnataka, India. CRDEEP J. Int. J. Life Sci. Bhat & Rajanna 5(2), 54 (2015).
- Kk, A. Millets: Nutritional importance, health benefits, and bioavailability: A review. Energy 12(8), 223-227 (2023).
- Lal, M. K., Singh, B., Sharma, S., Singh, M. P. & Kumar, A. Glycemic index of starchy crops and factors affecting its digestibility: A review. Trends Food Sci. Technol. 111, 741-755. https://doi.org/10.1016/j.tifs.2021.02.067 (2021).
- Singh, M., Manickavasagan, A., Shobana, S. & Mohan, V. Glycemic index of pulses and pulse-based products: A review. Crit. Rev. Food Sci. Nutr. 61(9), 1567-1588. https://doi.org/10.1080/10408398.2020.1762162 (2021).
- Gayin, J. et al. Physical, cooking and thermal properties of African rice (Oryza glaberrima) and its starch digestibility in vitro. LWT 75, 481-487. https://doi.org/10.1016/j.lwt.2016.09.023 (2017).
- Mohapatra, D. & Bal, S. Cooking quality and instrumental textural attributes of cooked rice for different milling fractions. J. Food Eng. 73(3), 253-259. https://doi.org/10.1016/j.jfoodeng.2005.01.028 (2006).
- Lahkar, L. & Tanti, B. Morpho-physicochemical and cooking characteristics of traditional aromatic Joha rice (Oryza sativa L.) of Assam, India. Biocatal. Agric. Biotechnol. 16, 644-654. https://doi.org/10.1016/j.bcab.2018.10.001 (2018).
- Govindaraju, I. et al. Investigation of structural and physico-chemical properties of rice starch with varied amylose content: A combined microscopy, spectroscopy, and thermal study. Food Hydrocoll. 122, 107093. https://doi.org/10.1016/j.foodhyd.2021.107 093 (2022).
- Juliano, B. O. et al. International cooperative testing on the amylose content of milled rice. Starch – Stärke 33(5), 157-162. https:// doi.org/10.1002/star. 19810330504 (1981).
- He, M., Qiu, C., Liao, Z., Sui, Z. & Corke, H. Impact of cooking conditions on the properties of rice: Combined temperature and cooking time. Int. J. Biol. Macromol. 117, 87-94. https://doi.org/10.1016/j.ijbiomac.2018.05.139 (2018).
- Goñi, I., Garcia-Alonso, A. & Saura-Calixto, F. A starch hydrolysis procedure to estimate glycemic index. Nutr. Res. 17(3), 427-437. https://doi.org/10.1016/S0271-5317(97)00010-9 (1997).
- Corales, M., Nguyen, N. T. A., Abiko, T. & Mochizuki, T. Mapping quantitative trait loci for water uptake of rice under aerobic conditions. Plant Prod. Sci. 23(4), 436-451. https://doi.org/10.1080/1343943X.2020.1766361 (2020).
- Bhat, F. M. & Riar, C. S. Cultivars effect on the physical characteristics of rice (rough and milled) (Oryza Sativa L.) of temperate region of Kashmir (India). J. Food Sci. Technol. 53(12), 4258-4269. https://doi.org/10.1007/s13197-016-2420-8 (2016).
- Duchenne-Moutien, R. A. & Neetoo, H. Climate change and emerging food safety issues: A review. J. Food Prot. 84(11), 18841897. https://doi.org/10.4315/JFP-21-141 (2021).
- Ding, Y. et al. Effects of endogenous proteins and lipids on structural, thermal, rheological, and pasting properties and digestibility of adlay seed (Coix lacryma-jobi L.) starch. Food Hydrocoll. 111, 106254. https://doi.org/10.1016/j.foodhyd.2020.106254 (2021).
- Ma, M., Zhu, H., Liu, Z., Sui, Z. & Corke, H. Removal of starch granule-associated proteins alters the physicochemical properties of diverse small granule starches. Food Hydrocoll. 124, 107318. https://doi.org/10.1016/j.foodhyd.2021.107318 (2022).
- Vamadevan, V. & Bertoft, E. Observations on the impact of amylopectin and amylose structure on the swelling of starch granules. Food Hydrocoll. 103, 105663. https://doi.org/10.1016/j.foodhyd. 2020.105663 (2020).
- Farooq, M. A. et al. Investigating the structural properties and in vitro digestion of rice flours. Food Sci. Nutr. 9(5), 2668-2675. https://doi.org/10.1002/fsn3.2225 (2021).
- Zhao, Y., Dai, X., Mackon, E., Ma, Y. & Liu, P. Impacts of protein from high-protein rice on gelatinization and retrogradation properties in high- and low-amylose reconstituted rice flour. Agronomy 12(6), 1431. https://doi.org/10.3390/agronomy12061431 (2022).
- Chen, H. et al. Effects of nitrogen and phosphorus fertilizer on the eating quality of indica rice with different amylose content.
. Food Compos. Anal. 118, 105167. https://doi.org/10.1016/j.jfca.2023.105167 (2023). - Duan, H., Tong, H., Zhu, A., Zhang, H. & Liu, L. Effects of heat, drought and their combined effects on morphological structure and physicochemical properties of rice (Oryza sativa L.) starch. J. Cereal Sci. 95, 103059. https://doi.org/10.1016/j.jcs.2020.103059 (2020).
- Fan, X. et al. The interaction between amylose and amylopectin synthesis in rice endosperm grown at high temperature. Food Chem. 301, 125258. https://doi.org/10.1016/j.foodchem.2019.125258 (2019).
- Okpala, N. E. et al. Low temperature increased the biosynthesis of 2-AP, cooked rice elongation percentage and amylose content percentage in rice. J. Cereal Sci. 93, 102980. https://doi.org/10.1016/j.jcs.2020.102980 (2020).
- Prathap, V. et al. Starch accumulation in rice grains subjected to drought during grain filling stage. Plant Physiol. Biochem. 142, 440-451. https://doi.org/10.1016/j.plaphy.2019.07.027 (2019).
- Zhu, F. Relationships between amylopectin internal molecular structure and physicochemical properties of starch. Trends Food Sci. Technol. 78, 234-242. https://doi.org/10.1016/j.tifs.2018.05.024 (2018).
- Li, G. & Zhu, F. Physicochemical properties of quinoa flour as affected by starch interactions. Food Chem. 221, 1560-1568. https:/ /doi.org/10.1016/j.foodchem.2016.10.137 (2017).
- Zhang, G., Ao, Z. & Hamaker, B. R. Slow digestion property of native cereal starches. Biomacromolecules 7(11), 3252-3258. https:/ /doi.org/10.1021/bm060342i (2006).
- Berry, C. S. Resistant starch: Formation and measurement of starch that survives exhaustive digestion with amylolytic enzymes during the determination of dietary fibre. J. Cereal Sci. 4(4), 301-314. https://doi.org/10.1016/S0733-5210(86)80034-0 (1986).
- Englyst, H. N., Kingman, S. M., Hudson, G. J. & Cummings, J. H. Measurement of resistant starch in vitro and in vivo. Br. J. Nutr. 75(5), 749-755. https://doi.org/10.1079/BJN19960178 (1996).
- Tovar, J., Bjoerck, I. M. & Asp, N. G. Starch content and. alpha.-amylolysis rate in precooked legume flours. J. Agric. Food Chem. 38(9), 1818-1823. https://doi.org/10.1021/jf00099a007 (1990).
- Fonseca, L. M., El Halal, S. L. M., Dias, A. R. G. & da Zavareze, E. R. Physical modification of starch by heat-moisture treatment and annealing and their applications: A review. Carbohydr. Polym. 274, 118665. https://doi.org/10.1016/j.carbpol.2021.118665 (2021).
- Atkinson, F. S., Brand-Miller, J. C., Foster-Powell, K., Buyken, A. E. & Goletzke, J. International tables of glycemic index and glycemic load values 2021: A systematic review. Am. J. Clin. Nutr. 114(5), 1625-1632. https://doi.org/10.1093/ajcn/nqab233 (2021).
- Edwards, C. H., Cochetel, N., Setterfield, L., Perez-Moral, N. & Warren, F. J. A single-enzyme system for starch digestibility screening and its relevance to understanding and predicting the glycaemic index of food products. Food Funct. 10(8), 4751-4760. https://doi.org/10.1039/C9FO00603F (2019).
- Tian, Y. et al. Interfacial catalysis during amylolytic degradation of starch granules: Current understanding and kinetic approaches. Molecules 28(9), 3799. https://doi.org/10.3390/molecules28093799 (2023).
- Van Hung, P., Chau, H. T. & Phi, N. T. L. In vitro digestibility and in vivo glucose response of native and physically modified rice starches varying amylose contents. Food Chem. 191, 74-80. https://doi.org/10.1016/j.foodchem.2015.02.118 (2016).
- Dhital, S., Butardo, V. M., Jobling, S. A. & Gidley, M. J. Rice starch granule amylolysis-Differentiating effects of particle size, morphology, thermal properties and crystalline polymorph. Carbohyd. Polym. 115, 305-316. https://doi.org/10.1016/j.carbpol. 20 14.08.091 (2015).
- Bao, J., Zhou, X., Xu, F., He, Q. & Park, Y. Genome-wide association study of the resistant starch content in rice grains. Starch Stärke https://doi.org/10.1002/star.201600343 (2017).
- Kumar, A. et al. Effect of Drought stress on Resistant starch content and Glycemic index of rice ( Oryza sativa L.). Starch – Stärke 72(11-12), 1900229. https://doi.org/10.1002/star. 201900229 (2020).
- Yamakawa, H., Hirose, T., Kuroda, M. & Yamaguchi, T. Comprehensive expression profiling of rice grain filling-related genes under high temperature using DNA microarray. Plant Physiol. 144(1), 258-277. https://doi.org/10.1104/pp.107.098665 (2007).
- Lu, X., Ma, R., Qiu, H., Sun, C. & Tian, Y. Mechanism of effect of endogenous/exogenous rice protein and its hydrolysates on rice starch digestibility. Int. J. Biol. Macromol. 193, 311-318. https://doi.org/10.1016/j.ijbiomac.2021.10.140 (2021).
- Qadir, N. & Wani, I. A. Functional properties, antioxidant activity and in-vitro digestibility characteristics of brown and polished rice flours of Indian temperate region. Grain Oil Sci. Technol. 6(1), 43-57. https://doi.org/10.1016/j.gaost.2022.12.001 (2023).
- Sahoo, B. et al. Rice starch phase transition and detection during resistant starch formation. Food Rev. Int. 40(1), 158-184. https:// doi.org/10.1080/87559129.2022.2163498 (2024).
- Fan, D. et al. Determination of structural changes in microwaved rice starch using Fourier transform infrared and Raman spectroscopy. Starch – Stärke 64(8), 598-606. https://doi.org/10.1002/star. 201100200 (2012).
- Yao, Y., Zhang, J. & Ding, X. Structure-retrogradation relationship of rice starch in purified starches and cooked rice grains: A statistical investigation. J. Agric. Food Chem. 50(25), 7420-7425. https://doi.org/10.1021/jf020643t (2002).
- Dogan, A., Siyakus, G. & Severcan, F. FTIR spectroscopic characterization of irradiated hazelnut (Corylus avellana L.). Food Chem.
- Khatoon, S., Sreerama, Y. N., Raghavendra, D., Bhattacharya, S. & Bhat, K. K. Properties of enzyme modified corn, rice and tapioca starches. Food Res. Int. 42(10), 1426-1433. https://doi.org/10.1016/j.foodres.2009.07.025 (2009).
- Ma, Z. et al. Structural characterization of resistant starch isolated from Laird lentils (Lens culinaris) seeds subjected to different processing treatments. Food Chem. 263, 163-170. https://doi.org/10.1016/j.foodchem.2018.04.122 (2018).
- Hoover, R. Starch retrogradation. Food Rev. Int. 11(2), 331-346. https://doi.org/10.1080/87559129509541044 (1995).
- Kačuráková, M. & Mathlouthi, M. FTIR and laser-Raman spectra of oligosaccharides in water: Characterization of the glycosidic bond. Carbohydr. Res. 284(2), 145-157. https://doi.org/10.1016/0008-6215(95)00412-2 (1996).
- Matmin, J., Affendi, I., Ibrahim, S. & Endud, S. Additive-free rice starch-assisted synthesis of spherical nanostructured hematite for degradation of dye contaminant. Nanomaterials 8(9), 702. https://doi.org/10.3390/nano8090702 (2018).
Acknowledgements
We also thank the Manipal School of Life Sciences, Manipal Academy of Higher Education, Manipal, Karnataka, India for providing the infrastructure and facilities.
Author contributions
IG: Conceptualization, Experimentation, Data representation, Writing Original Draft ARD: Experimentation, Data representation IC: Experimentation, Data Curation BS & VJB: Collection of Samples SSM: Experimentation NM: Project administration, Review and editing, supervision, funding acquisition.
Funding
Open access funding provided by Manipal Academy of Higher Education, Manipal. We sincerely thank the Indian Council for Medical Research (ICMR), Government of India, India for senior research fellowship (SRF) Sanction Order No. 3/1/2/297/2021-Nut. We thank Department of Biotechnology (DBT), Government of India, India (Grant No. BT/PR25099/NER/95/1014/2017) for the financial support.
Declarations
Competing interests
The authors declare no competing interests.
Additional information
Correspondence and requests for materials should be addressed to N.M.
Reprints and permissions information is available at www.nature.com/reprints.
Publisher’s note Springer Nature remains neutral with regard to jurisdictional claims in published maps and institutional affiliations.
Reprints and permissions information is available at www.nature.com/reprints.
Publisher’s note Springer Nature remains neutral with regard to jurisdictional claims in published maps and institutional affiliations.
Open Access This article is licensed under a Creative Commons Attribution 4.0 International License, which permits use, sharing, adaptation, distribution and reproduction in any medium or format, as long as you give appropriate credit to the original author(s) and the source, provide a link to the Creative Commons licence, and indicate if changes were made. The images or other third party material in this article are included in the article’s Creative Commons licence, unless indicated otherwise in a credit line to the material. If material is not included in the article’s Creative Commons licence and your intended use is not permitted by statutory regulation or exceeds the permitted use, you will need to obtain permission directly from the copyright holder. To view a copy of this licence, visit http://creativecommons.org/licenses/by/4.0/.
© The Author(s) 2025
© The Author(s) 2025
Department of Biophysics, Manipal School of Life Sciences, Manipal Academy of Higher Education, Manipal, Karnataka 576104, India. Materials and Catalysis Lab, Department of Chemistry, National Institute of Technology Karnataka, Surathkal, Karnataka 575025, India. Department of Plant Breeding and Genetics, Assam Agricultural University, Jorhat, Assam 785001, India. Centre for Biotechnology and Bioinformatics, Dibrugarh University, Assam 786004, India. email: nirmal.mazumder@manipal.edu
